|
|
(21), (22) Заявка: 2005135655/04, 07.04.2004
(24) Дата начала отсчета срока действия патента:
07.04.2004
(30) Конвенционный приоритет:
17.04.2003 DE 10317870.8
(43) Дата публикации заявки: 10.05.2006
(46) Опубликовано: 20.12.2008
(56) Список документов, цитированных в отчете о поиске:
WO 03/004558 А, 16.01.2003. WO 02/072684 A, 19.09.2002. WO 02/48249 A, 20.06.2002. SU 1381127 A1, 01.01.1970. SU 616272 A1, 25.07.1978. SU 531806 A, 15.10.1976.
(85) Дата перевода заявки PCT на национальную фазу:
17.11.2005
(86) Заявка PCT:
EP 2004/003697 (07.04.2004)
(87) Публикация PCT:
WO 2004/092260 (28.10.2004)
Адрес для переписки:
103735, Москва, ул. Ильинка, 5/2, ООО “Союзпатент”, пат.пов. А.П.Агурееву
|
(72) Автор(ы):
ВЕНЕР Вольфганг (DE), ФРИДРИХ Ханс-Хельмут (DE)
(73) Патентообладатель(и):
КЕМТУРА ВАЙНИЛ АДДИТИВЗ ГМБХ (DE)
|
(54) НОВАЯ СТАБИЛИЗИРУЮЩАЯ СИСТЕМА ДЛЯ ГАЛОИДИРОВАННЫХ ПОЛИМЕРОВ
(57) Реферат:
Стабилизирующая система, предназначенная для стабилизации хлорсодержащих полимеров от термоиндуцированной деградации, включает, по меньшей мере, (а) одну перфторалкансульфонатную соль и (b) по меньшей мере, один или несколько индолов и/или мочевин и/или алканоламинов и/или аминоурацилов, в которой индолы имеют общую формулу (I): мочевины имеют общую формулу (II) а алконоламины имеют общую формулу (III) 
которая используется в композициях, содержащих хлорсодержащие полимеры, в частности поливинилхлорид. 5 н. и 8 з.п. ф-лы, 4 табл.
Область техники, к которой относится изобретение
Настоящее изобретение относится к стабилизирующим системам, включающим, по меньшей мере, одну перфторалкансульфонатную соль и, по меньшей мере, одно или несколько соединений, выбранных из группы, состоящей из индолов, мочевин, алканоламинов и аминоурацилов, предназначенных для стабилизации галогенсодержащих полимеров.
Уровень техники
Галогенсодержащий полимер, например ПВХ, может быть стабилизирован с помощью любой из большого числа добавок. Для этой цели особенно подходят соединения свинца, бария и кадмия, однако в настоящее время их использование вызывает полемику, что связано с экологическими причинами или наличием тяжелых металлов (см. “Plastics additives Handbook”, H.Zweifel, Carl Hanser Verlag, 5th Edition, 2001, pp.427-283, и “Kunststoff Handbuch PVC” [Plastics Handbook PVC], volume 2/1, W.Becker and D.Braun, Carl Hanser Verlag, 2nd Edition, 1985, pp.531-538; и Kirk-Othmer: “Encyclopedia of Chemical Technology’, 4th Edition, 1994, vol.12, Heat Stabilizers, pp.1071-1091).
В связи с этим ведется постоянный поиск эффективных стабилизаторов и стабилизирующих систем, не содержащих свинец, барий и кадмий.
Раскрытие изобретения
Авторами изобретения обнаружено, что системы, состоящие, по меньшей мере, из одного или нескольких соединений, выбранных из группы, состоящей из индолов, мочевин, алканоламинов и аминоурацилов и, по меньшей мере, одной перфторалкансульфонатной соли, особенно подходят для стабилизации хлорсодержащих полимеров, в особенности ПВХ. Соответственно, настоящее изобретение предусматривает стабилизирующие системы, включающие, по меньшей мере,
a) одну перфторалкансульфонатную соль и
b) по меньшей мере, один или несколько индолов и/или мочевин и/или алканоламинов и/или аминоурацилов,
где индолы отвечают общей формуле (I)

где
m=0, 1, 2 или 3;
R3=C1-C18-алкил, С2-С18-алкенил, фенил или
,
С7-С24-алкилфенил, С7-С10-фенилалкил или С1-С4-алкокси;
R4, R5=Н, С1-С4-алкил или С1-С4-алкокси;
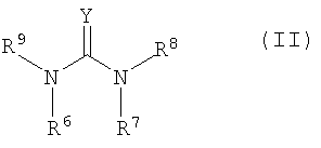
мочевины отвечают общей формуле (II)

в которой
Y=O, S или NH;
R6, R7, R8 и R9, независимо друг от друга, представляют собой Н, C1-C18-алкил, который необязательно замещен гидроксигруппами и/или С1-С4-алкокси группами, С2-C18-алкенилом, фенилом, который необязательно замещен 1-3 заместителями, выбранными из С7-С20-алкилфенила или С7-С10-фенилалкила и 2 заместителей, выбранных из R6-R9, которые также могут образовывать кольцо, и мочевиной, которая также может представлять димерную или тримерную мочевину, например, биурет или 1,3,5-трис(гидроксиалкил) изоцианурат и возможные продукты их реакций,
где алканоламины имеют общую формулу (III)

в которой
х=1, 2 или 3;
y=1, 2, 3, 4, 5 или 6;
n=1-10;
R1 и R2, независимо друг от друга, представляют собой Н, С1-С22-алкил, -[-(CHR3 а)у -CHR3 b-O-]n-H, -[-(CHR3 a)y-CHR3 bO-]n-CO-R4, С2-С20-алкенил, С2-С18-ацил, C4-C8-циклоалкил, который может содержать заместитель ОН в -положении, фенил, С7-С10-алкилфенил или С7-С10-фенилалкил, или в том случае, когда х=1, R1 и R2, совместно с атомом N, могут образовывать замкнутое 4-10-членное кольцо, состоящее из углеродных атомов, и необязательно содержащее до 2 гетероатомов, а в том случае, когда х=2, R1 также может представлять собой С2-С18-алкилен, который может содержать ОН заместитель при двух -углеродных атомах и/или содержать в цепи атомы О и/или одну или несколько NR2 групп, или может представлять собой дигидроксизамещенный тетрагидродициклопентадиенилен, дигидроксизамещенный этилциклогексанилен, дигидроксизамещенный 4,4 -(бисфенол-А-дипропиловый эфир)илен, изофоронилен, диметилциклогексанилен, дициклогексилметанилен или 3,3 -диметилдициклогексилметанилен, и при х=3, R1 также может представлять собой тригидроксизамещенный (три-N-пропилизоцианурат)триил;
R3 a и R3 b, независимо друг от друга, могут представлять собой С1-С22-алкил, C2-С6-алкенил, фенил, С6-С10-алкилфенил, Н или CH2-X-R5, где Х=О, S, -O-СО- или -СО-O-;
R4=C1-C18-алкил/алкенил или фенил; а R5=Н, С1-С22-алкенил, фенил или С6-С10-алкилфенил; и
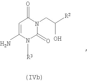
аминоурацилы имеют формулы (IVa) или (IVb)

где в формуле (IVa) R1 и R2, независимо друг от друга, представляют собой Н, незамещенный или С1-С4-алкил-С1-С4-алкокси- и/или гидроксизамещенный фенил, или фенил-С1-С4-алкил, который незамещен или имеет в качестве заместителя в фенильном кольце С1-С4-алкил, С1-С4-алкокси и/или гидрокси группу; С3-С6-алкенил, C5-C8-циклоалкил, или С3-С10-алкил, цепочка которого содержит, по меньшей мере, один атом кислорода: или CH2-CHOH-R3, R3=Н или C1-C4 алкил, С2-С4-алкенил, С4-С8-циклоалкил, фенил, С7-С10-алкилфенил, или С7-С10-фенилалкил, и в случае N- или N -монозамещенных аминоурацилов R1 или R2 также могут представлять собой С3-С22-алкил, а в формуле (IVb) R2 представляет собой Н или радикалы С1-С4-алкил, С2-С4-алкенил, или C4-C8-циклоалкил, фенил, С6-С10-алкилфенил, С7-С10-фенилалкил, -СН2-X-R4, где R4 представляет собой Н, C1-С10-алкил или C2-C4 алкенильный радикал, либо C4-C8-циклоалкил, необязательно содержащий оксирановое кольцо; или необязательно замещенный 1-3 С1-С4-алкильными радикалами, бензоилом, или С2-С18-ацильными радикалами, Х представляет собой О или S;
R3 представляет собой R2 или R4; С2-С6-алкил, замещенный, по меньшей мере, 1-5 ОН-группами и/или содержащий, по меньшей мере, 1-4 атомов О, или представляет собой CH2-CH(OH)R2 для стабилизации хлорсодержащих полимеров.
Помимо соединений формул (I)-(III), также может присутствовать, по меньшей мере, одно соединение формулы (IVa), в которой R1=R2=С1-С22-алкил или олеил и такие аминоурацилы могут быть полностью или частично заменены соответствующей структурно изомерной цианоацетилмочевиной. Предпочтительный С1-С22-алкил представляет собой метил, бутил, октил, лаурил и стеарил. Соответствующие цианоацетилмочевины представляют собой N-метил-, -бутил-, -октил-, -лаурил- или -стеарил-N -метил-, -бутил-, -октил-, -лаурил- или стеарилцианоацетилмочевину.
Перфторалкансульфонатные соли формулы (RfSO3)nМ представляют собой вещества, известные специалисту в данной области. Соответствующие кислоты, а также соли описаны в Kirk Othmer Encyclopedia of Chemical Technology, 4th Ed., John Wiley & Sons, New York, vol.11, pp.558-564 (1994).
В качестве примеров можно отметить вещества, отвечающие формуле (СmF2m+1SO3)nМ, в которой М представляет собой Li, Na, K, Mg, Ca, Sr, Ba, Sn, Zn, AI, La или Се. Индекс n соответствует валентности М, равной 1, 2 или 3. Перфторалкансульфонатные соли могут поставляться в различных родственных формах; например в виде раствора соли в воде или органическом растворителе, в форме, абсорбированной на носителе, например на ПВХ, силикате Ca, цеолитах или гидротальцитах. Примерами таких материалов могут служить перфторалкансульфонатные соли в виде комплексов или растворов, полученных с использованием спиртов (полиолов, циклодекстринов), простых эфирных производных спиртов, сложноэфирных производных спиртов или краун-эфиров.
Трифторметансульфокислота (“triflic acid”) и ее соли («трифлаты») описаны, например, в Chem. Rev. 77, 69-90 (11977).
Предпочтительно использовать трифлат натрия или калия.
Настоящее изобретение также предусматривает комбинации стабилизирующих систем, включающие, по меньшей мере, одну перфторалкансульфонатную соль и, по меньшей мере, одно или несколько соединений, выбранных из группы, состоящей из соединений общей формулы (I), (II), (III) или (IV) в присутствии, по меньшей мере, одной или нескольких традиционных присадок или стабилизаторов. Предпочтение отдается полиолам и/или дисахаридным производным спиртов, производным глицидила, гидротальцитам, цеолитам (алюмосиликаты щелочных и щелочноземельных металлов), наполнителям, металлическим производным мыл, производным щелочных и щелочноземельных соединений, таким как оксиды и гидроксиды, смазкам, пластификаторам, фосфитам, гидроксикарбоксилатам, пигментам, сложным эфирам эпоксидированных жирных кислот и другим эпоксисоединениям, антиоксидантам, УФ-модификаторам, поглотителям УФ-излучения и светостабилизаторам, оптическим осветлителям и порообразователям. Особенно предпочтительными добавками могут служить эпоксидированные соевые масла, щелочноземельные и алюминиевые производные мыл и их фосфиты.
Особенно предпочтительными являются те компоненты, которые обеспечивают получение физиологически нетоксичных продуктов.
Эта группа также охватывает продукты возможных реакций указанных компонентов.
Примеры дополнительных компонентов такого типа перечислены и описаны ниже (см. “Handbook of PVC Formulating” by E.J.Wickson, John Wiley & Sons, New York, 1993, a также Synoptic Document No, 7, Scientific Committee for Food (SCF) – EU).
Полиолы и дисахаридные спирты
Примерами подходящих соединений указанного типа являются:
глицерин, пентаэритрит, дипентаэритрит, трипентаэритрит, триметилолэтан, бис(триметилолпропан), поливиниловый спирт, бис(триметилолэтан), триметилолпропан, сахара, сахарные спирты.
Предпочтительными представителями этой группы служат пентаэритрит, триметилолпропан, сорбит и такие дисахаридные спирты, как Malbit, лактит и целлобит, а также палатинит (palatinit).
Также могут использоваться такие сиропы полиолов, как сироп сорбита, сироп маннита, и сироп мальтита. Полиолы используются в количестве 0,01-20 мас. частей, предпочтительно 0,1-20 мас. частей, и особенно предпочтительно 0,1-10 мас. частей в расчете на 100 массовых частей ПВХ.
Глицидиловые производные
Такие вещества содержат глицидильную группу

непосредственно связанную с атомами углерода, кислорода, азота или серы, причем в том случае, когда оба радикала R1 и R3 представляют собой водород, R2 представляет собой водород или метил, а n=0, а если R1 и R3 представляют собой -CH2-CH2– или -СН2-СН2-СН2-, то R2 представляет собой водород, а n равно 0 или 1.
Предпочтительно использовать глицидильные производные, содержащие две функциональные группы. Однако в принципе также можно использовать глицидильные производные, содержащие одну, три или более функциональных групп.
Преимущественно используются диглицидильные производные, содержащие ароматические группы.
Количество используемых терминальных эпоксисоединений предпочтительно составляет, по меньшей мере, 0,1 часть, предпочтительно 0,1-50 мас. частей, более предпочтительно 1-30 мас. частей и наиболее предпочтительно 1-25 частей в расчете на 100 мас. частей ПВХ.
Гидротальциты
Химический состав таких соединений известен специалисту, например, из патентов DE 3843581, US 4000100, ЕР 0062813 и WO 93/20135.
Соединения гидротальцитной серии могут быть представлены следующей общей формулой
M2+ 1-xM3+ x(OH)2(Аb-)х/b. d Н2O, в которой
М2+ представляет собой один или несколько металлов, выбранных из группы, состоящей из Mg, Ca, Sr, Zn и Sn;
М3+ представляет собой AI или В; Аn представляет собой анион с валентностью n, b равно 1-2,0
В предпочтительном соединении Аn=ОН, CIO4 –, НСО3 –, СН3СОО–, С6Н5СОО–, СО3 2-, (СНОНСОО)2 2-, (СН2СОО)2 2-, СН3СНОНСОО–, НРО3 – или HPO4 2-.
Примерами гидротальцитов могут служить AI2O3·6MgO·CO2·12H2O (i), Mg4,5AI2(OH)13·CO3·3,5H2O (ii), 4MgO·AI2O3·CO2·9H2O (iii), 4MgO·AI2O3·CO2·6H2O ZnO·3MgO·AI2O3·CO2·8-9H2O и ZnO·3MgO·AI2O3·CO2·5-6H2O. Особенно предпочтительными веществами являются соединения типов (i), (ii) и (iii).
Цеолиты (алюмосиликаты щелочных и/или щелочноземельных металлов)
Рассматриваемые вещества могут быть описаны следующей общей формулой Mx/n[(AlO2)x(SiO2)y]·wH2O, в которой n – заряд на катионе М;
М представляет собой элемент первой и второй основной группы, такой как Li, Na, К, Mg, Ca, Sr или Ва;
отношение у:x составляет 0,8-15, предпочтительно 0,8-1,2; а
w равно 0-300, предпочтительно 0,5-30.
Примерами цеолитов могут служить алюмосиликаты следующих формул:
Na12AI12Si12O48·27H2О [цеолит А], Na6AI6Si6O24·2NаX·7,5Н2О, Х=ОН, галоген, CIO4 [содалит]; Na6AI6Si30O72·24Н2O; Na8AI8Si40O96·24H2O; Na16AI16Si24O80·16H2O; Na16AI16Si32O96·16H2O; Na56AI56Si136О384·250H2O [цеолит Y], Na86AI86Si106O384·264H2O [цеолит X];
или цеолиты, которые могут быть получены частичным или полным обменом атомов Na на атомы Li, атомы К, атомы Mg, атомы Са, атомы Sr или атомы Zn, например, отвечающие формуле: (Na,K)10AI10Si22O64·20H2O; Ca4,5Na3[(AIO2)12(SiO2)12]·30H2O : K9Na3[(AIO2)12(SiO2)12]·27H2O.
Особенно предпочтительными веществами являются Na форма цеолита А и Na форма цеолита Р.
Гидротальциты и/или цеолиты могут использоваться в количестве 0,1-20 мас. частей, предпочтительно 0,1-10 мас. частей и особенно предпочтительно 0,1-5 мас. частей в расчете на 100 мас. частей галогенсодержащего полимера.
В качестве наполнителей используют карбонат кальция, доломит, волластонит, оксид магния, гидроксид магния, силикаты, фарфоровую глину, тальк, стекловолокно, стеклянные шарики, древесную муку, слюду, оксиды и гидроксиды металлов, сажу, графит, рудную муку, барит, каолин и мел. Предпочтительным веществом является мел (HANDBOOK OF PVC FORMULATING, E.J.Wickson, John Wiley & Sons, Inc., 1993, pp.393-449) и армирующие агенты (TASCHENBUCH der Kunststoffadditive [Plastics Additives Handbook], R.Gachter & H. Muller, Carl Hanser, 1990, pp.549-615).
Наполнители могут использоваться в количестве, составляющем, предпочтительно, по меньшей мере, одну массовую часть, например 5-200 мас. частей, более предпочтительно 10-150 мас. частей и особенно предпочтительно 15-100 мас. частей в расчете на 100 мас. частей ПВХ.
Металлические мыла
Металлические мыла представляют собой в основном карбоксилаты металлов, предпочтительно производные карбоновых кислот с длинной углеродной цепочкой. Хорошо известными примерами таких вещества являются стеараты, олеаты, пальмитаты, рициноляты, гидроксистеараты, дигидроксистеараты и лаураты, а также олеаты и соли относительно короткоцепных алифатических и ароматических карбоновых кислот, таких как уксусная кислота, пропионовая кислота, масляная кислота, валериановая кислота, гексановая кислота, сорбиновая кислота, щавелевая кислота, малоновая кислота, малеиновая кислота, антраниловая кислота, янтарная кислота, глутаровая кислота, адипиновая кислота, фумаровая кислота, лимонная кислота, бензойная кислота, салициловая кислота, фталевая кислота, гемимеллитовая кислота, тримеллитовая кислота, пиромеллитовая кислота.
Следует отметить следующие металлы: Li, Na, K, Mg, Ca, Sr, Ba, Zn, AI, La, Ce и редкоземельные металлы. Часто используют так называемые синергетические смеси, такие как барий/цинковые стабилизаторы, магний/цинковые стабилизаторы, кальций/цинковые стабилизаторы или кальций/магний/цинковые стабилизаторы. Металлические мыла могут использоваться отдельно или в виде смесей. Обзор традиционных металлических мыл можно найти в Ullmann s Encyclopedia of Industrial Chemistry, 5th Ed., vol. A16 (1985), стр.361 и далее.
Металлические мыла или их смеси могут использоваться в количестве 0,001-10 мас. частей, целесообразно в количестве 0,01-8 мас. частей, особенно предпочтительно 0,05-5 мас. частей в расчете на 100 мас. частей ПВХ.
Соединения щелочных и щелочноземельных металлов
В настоящем изобретении главным образом используют карбоксилаты указанных выше кислот, но также применяют соответствующие оксиды или, соответственно, гидроксиды или карбонаты. Возможно применение смесей таких веществ с органическими кислотами. Примерами указанных соединений могут служить LiOH, NaOH, КОН, CaO, Ca(OH)2, MgO, Mg(OH)2, Sr(OH)2, AI(ОН)3, СаСО3 и MgCO3 (также могут использоваться основные карбонаты, например, оксид магния и гунтит), а также Na и K соли жирных кислот. В случае карбоксилатов щелочноземельных металлов и карбоксилатов цинка можно использовать аддукты таких веществ с МО или М(ОН)2 (М=Ca, Mg, Sr или Zn), так называемые «сверхосновные» соединения. Кроме стабилизаторов настоящего изобретения, предпочтительно использовать карбоксилаты щелочных металлов, карбоксилаты щелочноземельных металлов и/или карбоксилаты алюминия.
Смазочные материалы
Примерами возможных смазочных материалов могу служить: жирные кислоты, жирные спирты, буроугольный воск, сложные эфиры жирных кислот, РЕ воски, амидные воски, хлорпарафины, сложные эфиры глицерина и мыла щелочноземельных металлов, а также жирные кетоны, а также смазки или комбинации смазочных материалов, перечисленные в ЕР 0259783. Предпочтительными веществами являются стеариновая кислота, сложные эфиры стеариновой кислоты и стеарат кальция.
Пластификаторы
Примерами органических пластификаторов могут служить следующие группы веществ.
A) Фталаты: примеры таких пластификаторов включают диметил, диэтил, дибутил, дигексил, ди-2-этилгексил, ди-н-октил, диизоокстил, диизононил, диизодецил, диизотридецил, дициклогексил, диметилциклогексил, диметилгликоль, дибутилгликоль, бензилбутил и дифенилфталат, а также смеси фталатов, например С7-С9– и С9-С11-алкилфталаты, в основном являющиеся производньми линейных спиртов, С6-С10-н-алкилфталат и С8-С10-н-алкилфталаты. Среди перечисленных веществ предпочтительными соединениями являются дибутил, дигексил, ди-2-этилгексил, ди-н-октил, диизооктил, диизононил, диизодецил, диизотридецил и бензилбутилфталат, а также смеси указанных алкилфталатов. Особенно предпочтительными веществами являются ди-2-этилгексил, диизононил и диизодецил фталат, известные также под сокращенными названием DOP (диокстилфталат, ди-2-этилгексилфталат), DINP (диизононилфталат), DIDP (диизодецилфталат).
B) Сложные эфиры алифатических дикарбоновых кислот, в особенности сложные эфиры адипиновой, азелаиновой или себациновой кислоты. Примерами таких пластификаторов могут служить ди-2-этилгексиладипат, диизоокстиладипат (смесь), диизонониладипат (смесь), диизодециладипат (смесь), бензилбутиладипат, бензилоктиладипат, ди-2-этилгексилазелат, ди-2-этилгексилсебакат и диизодецилсебакат (смесь). Предпочтительными веществами этой группы являются ди-2-этилгексиладипат и диизооктиладипат.
C) Сложные эфиры тримеллитовой кислоты, например три-2-этилгексилтримеллитат, триизодецилтримеллитат (смесь), триизотридецилтримеллитат, триизооктилтримеллитат (смесь), а также три-С6-С8-алкил, три-С6-С10-алкил, три-С7-С9-алкил и три-С9-С11-алкилтримеллитат. Последние из перечисленных тримелитатов получают этерификацией тримеллитовой кислоты со смесями соответствующих спиртов. Предпочтительными тримеллитатами являются три-2-этилгексилтримеллитат, причем указанные тримеллитаты получают из спиртовых смесей. Для обозначения таких веществ применяются традиционные сокращения, например ТОТМ (триоктилтримеллитата, три-2-этилгексилтримеллитат), TIDTM (триизодецил тримеллитат), и TITDTM (триизотридецилтримеллитат).
D) Эпоксидные пластификаторы: такие вещества, главным образом, представляют собой эпоксидированные ненасыщенные жирные кислоты, например эпоксидированное соевое масло.
Е) Полимерные пластификаторы: определение таких пластификаторов и их примеры приведены в “Kunststoffadditive” [Plastics Additives], R.Gachter and H.Muller, Carl Hanser Verlag, 3rd Edition, 1989, Chapter 5.9.6., pp.412-415, а также в “PVC Technology”, W.V.Titow, 4th Edition, Elsevier Publ., 1984, pp.165-170. Общепринятыми исходными материалами для получения полиэфирных пластификаторов являются: дикарбоновые кислоты такие, как адипиновая, фталевая, азелаиновая или себациновая кислота; диолы, например 1,2-пропандиол, 1,3-бутандиол, 1,4-бутандиол, 1,6-гександиол, неопентилгликоль и диэтиленгликоль.
F) Сложные эфиры фосфорной кислоты: определение таких сложных эфиров приведено в упомянутой “Taschenbuch der Kunststoffadditive” [“Plastics Additives Handbook”], Chapter 5.9.6., pp.408-412. Примерами таких сложных эфиров фосфорной кислоты могут служить трибутилфосфат, три-2-этилбутилфосфат, три-2-этилгексилфосфат, трихлорэтилфосфат, 2-этилгексилдифенилфосфат, крезилдифенилфосфат, трифенилфосфат, трикрезилфосфат и триксиленилфосфат. Предпочтительным веществом является три-2-этилгексилфосфат и Reofos 50 и 95 (Ciba Specialty Chemicals).
G) Хлорированные углеводороды (парафины).
Н) Углеводороды.
I) Сложные моноэфиры, например бутилолеат, феноксиэтилолеат, тетрагидрофурфурилолеат и алкилсульфонаты.
J) Сложные гликолевые эфиры, например дигликольбензоаты.
К) Сложные эфиры лимонной кислоты, например трибутилцитрат и трибутилацетилцитрат, описанные в WO 02/05206.
L) Сложные эфиры пергидрофталевой, изофталевой и терефталевой кислот, а также бензоаты пергидрированного гликоля и дигликоля. Предпочтительными веществами этой группы является диизононилпергидрофталат (®Hexamoll DINCH-BASF), описанный в DE 19756913, DE 19927977, DE 19927978 и DE 19927979.
Описание таких пластификаторов и их примеры приведены в “Kunststoffadditive” [Plastics Additives], R.Gachter/H.Muller, Carl Hanser Verlag, 3rd Edition, 1989, Chapter 5.9.6., pp.412-415, а также в “PVC Technology”, W.V.Titow, 4th Edition, Elsevier Publ., 1984, pp.165-170.
Описание и примеры пластификаторов, указанных в группах G)-J) могут быть взяты из следующих источников: “Kunststoffadditive” [Plastics Additives], R.Gachter and H.Muller, Carl Hanser Verlag, 3rd Edition, 1989, Chapter 5.9.14.2, pp.422-425, (group G), и Chapter 5.9.14.1, p.422 (group H). “PVC Technology”, W.V.Titow, 4th Edition, Elsevier Publ., 1984, Chapter 6.10.2, pp.171-173, (group G), Chapter 6.10.5 p.174 (group H), Chapter 6.10.3, p.173, (group I) и Chapter 6.10.4. pp.173-174 (group J).
Также можно использовать смеси различных пластификаторов.
Пластификаторы могут использоваться в количестве 5-20 мас. частей, предпочтительно 10-20 мас. частей в расчете на 100 мас. частей ПВХ. Твердый или полутвердый ПВХ предпочтительно содержит до 10%, особенно предпочтительно до 5% пластификатора или используется без него.
Пигменты
Подходящие вещества этой группы известны специалисту в данной области. Примерами неорганических пигментов могут служить TiO2, пигменты на основе оксида циркония, BaSO4, оксид цинка (цинковые белила) и литопоны (сульфид цинка/сульфат бария), сажа, смеси сажи с диоксидом титана, пигменты на основе оксида железа, Sb2O3, (Ti, Ba, Sb)O2, Cr2О3, такие шпинели, как кобальтовая синь и зелень Ринмана, Cd(S,Se), синий ультрамарин. Примерами органических пигментов могут служить азопигменты, фталоцианиновые пигменты, хинакридоновые пигменты, периленовые пигменты, дикетопирролопирольные пигменты и антрахиноновые пигменты. Предпочтительным пигментом также является TiO2 в мелкодисперсной форме. Могут использоваться смеси различных пигментов. Определение и дополнительное описание таких веществ может быть найдено в “Handbook of PVC Formulating”, E.J.Wickson, John Wiley&Sons, New York, 1993.
Фосфиты (триэфиры фосфорной кислоты)
Известно, что органические фосфиты являются известными состабилизаторами хлорсодержащих полимеров. Их примерами могут служить триоктил, тридецил, тридодецил, тритридецил, трипентадецил, триолеил, тристеарил, трифенил, трикрезил, трис(нонилфенил), трис (2,4-трет-бутилфенил) и трициклогексилфосфит.
Другие подходящие фосфиты представляют собой смешанные арилдиалкил или алкилдиарилфосфиты, такие как фенилдиоктил, фенилдидецил, фенилдидодецил, фенилдитридецил, фенилдитетрадецил, фенилдипентадецил, октилдифенил, децилдифенил, ундецилдифенил, додецилдифенил, тридецилдифенил, тетрадецилдифенил, пентадецилдифенил, олеилдифенил, стеарилдифенил и додецил бис(2,4-ди-трет-бутилфенил)фосфит.
Также предпочтительно использовать фосфиты различных ди- или полиолов, например тетрафенилдипропиленгликоль дифосфит, полидипропиленгликоль фенилфосфит, тетраметилолциклогексано децилдифосфит, тетраметилолциклогексанол бутоксиэтоксиэтилдифосфит, тетраметилолциклогексанол нонилфенилдифосфит, бис(нонилфенил) ди(триметилолпропан)дифосфит, бис(2-бутоксиэтил) ди(триметилолпропан)дифосфит, трис(гидроксиэтил)изоциануратгексадецилтрифосфит, дидецилпентаэритритил дифосфат, дистеарилпентаэритритил дифосфат, бис(2,4-ди-трет-бутилфенил) пентаэритритилдифосфит, а также смеси указанных фосфитов и арил/алкил фосфитные смеси эмпирического состава (H19C9-C6H4O)1,5P(OC12,13H25,27)1,5 или [С8Н17-C6H4-O-]2P[i-C8H17O], (H19C9-C6H4O)1,5P(OC9,11H19,23)1,5.
Примерами промышленных материалов могут служить Naugard P, Marck CH 300, Marck CH 301, Marck CH 302, Marck CH 304 и Marck CH 55 (продукты, выпускаемые Crompton Corporation).
Органические фосфиты или их смеси могут использоваться в количестве 0,01-10 мас. частей, предпочтительно 0,05-5 и особенно предпочтительно 0,1-3 мас. части в расчете на 100 массовых частей ПВХ.
Гидроксикарбоксилаты металлов
В рассматриваемых системах также могут присутствовать Гидроксикарбоксилаты металлов, причем в качестве металла могут использоваться щелочные и щелочноземельные металлы, а также алюминий. Предпочтительными металлами являются натрий, калий, магний или кальций. Гидроксикарбоновая кислота может представлять собой гликолевую, молочную, оксиянтарную, винную или лимонную кислоту, салициловую или 4-оксибензойную кислоту, а также глицериновую, глюконовую и сахарную кислоту (см. описание патента Великобритании GB 1694873).
Сложные эфиры эпоксидированных жирных кислот и другие эпоксисоединения
Стабилизирующая смесь настоящего изобретения может дополнительно и предпочтительно включать, по меньшей мере, один сложный эфир эпоксидированной жирной кислоты. Соединения, используемые для этой цели, главным образом, представляют собой сложные эфиры жирных кислот естественного происхождения (глицериды жирных кислот), например соевое или рапсовое масло. Однако также могут использоваться синтетические продукты, например эпоксидированный бутилолеат. Также может применяться эпоксидированный полибутадиен и полиизопрен, иногда в частично гидроксилированной форме, или глицидилакрилат и глицидилметакрила в виде гомо- или сополимера. Такие соединения также могут применяться на слоистом веществе; также см. DE-A-5031818. Эпоксисоединения предпочтительно применять в количестве, составляющем, по меньшей мере, 0,1 мас. часть, например 0,1-50 мас. частей, предпочтительно 1-30 и особенно предпочтительно 1-25 мас. частей в расчете на 100 мас. частей ПВХ.
Антиоксиданты
В качестве антиоксидантов могут использоваться алкилированные монофенолы, например 2,6-ди-третбутил-4-метилфенол, алкилтиометилфенолы, например 2,4-диоктилтиометил-6-трет-бутилфенол, алкилированные гидрохиноны, например 2,6-ди-трет-бутил-4-метоксифенол, гидроксилированные тиодифениловые эфиры, например 2,2 -тиобис(6-третбутил-4-метилфенол), алкилидленбисфенолы, например 2,2 -метиленбис (6-третбутил-4-метилфенол), бензильные производные, например 3,5,3 ,5 -тетратретбутил-4,4 -дигидроксидибензиловый эфир, гидроксибензилированные малонаты, например диоктадецил 2,2-бис (3,5-дитретбутил-2-гидроксибензил)малонат, гидроксибензилароматика, например 1,3,5-трис(3,5-дитретбутил-4-гидроксибензил)-2,4,6-триметилбензол, триазиновые соединения, например 2,4-бисоктилмеркапто-6-(3,5-ди-третбутил-4-гидроксианилино)-1,3,5-триазин, фосфонаты и фосфониты, например диметил 2,5-дитретбутил-4-гидроксибензилфосфонат, ациламинофенолы, например 4-гидроксилауранилид, сложные эфиры бета-(3,5-дитретбутил-4-гидрокси-фенил)пропионовой кислоты, бета-(5-третбутил-4-гидрокси-3-метилфенил)пропионовая кислота, бета-(3,5-дициклогексил-4-гидроксифенил)пропионовая кислота, простые эфиры 3,5-дитертбутил-4-гидроксифенилуксусной кислоты с одно- или многотомными спиртами, амиды бета-(3,5-дитретбутил-4-гидроксифенил)пропионовой кислоты, например N,N -бис(3,5-дитретбутил-4-гидроксифенилпропионил)гексаметилендиамин, витамин Е (токоферол) и его производные. Могут использоваться смеси антиоксидантов. Примерами промышленных антиоксидантов могут служить Naugard 10, Naugard 76, Naugard BHT и Naugard 45 (продукты, выпускаемые Crompton Corporation).
Антиоксиданты могут использоваться в количестве 0,01-10 мас. частей, преимущественно 0,1-10 мас. частей и особенно предпочтительно 0,1-5 мас. частей в расчете на 100 массовых частей ПВХ.
Поглотители ультрафиолетового излучения и светостабилизаторы
Примерами таких веществ являются: 2-(2 -гидроксифенил)бензотриазолы, такие как 2-(2 -гидрокси-5 -метилфенил)бензотриазол, 2-гидроксибензофеноны, сложные эфиры незамещенных и замещенных бензойных кислот, например 4-третбутилфенилсалицилат, фенилсалицилат, акрилаты, соединения никеля, оксаламиды, например 4,4 -диокстилоксиоксанилид, 2,2 -диоктилокси-5,5 -дитретбутилоксанилид, 2-(2-гидроксифенил)-1,3,5-триазины, например 2,4,6-трис(2-гидрокси-4-октилоксифенил)-1,3,5-триазин, 2-(2-гидрокси-4-октилоксифенил)-4,6-бис(2,4-диметилфенил)-1,3,5-триазин, стерические затрудненные амины, например бис(2,2,6,6-тетраметилпиперидин-4-ил)себакат, бис(2,2,6,6-тетраметилпиперидин-4-ил)сукцинат. Могут использоваться смеси поглотителей УФ излучения и светостабилизаторов.
Порообразующие агенты
Примерами порообразующих агентов могут служить органические азосоединения и органические гидразосоединения, тетразолы, оксазины, изатиновый ангидрид, а также углекислый натрий и бикарбонат натрия. Предпочтительными представителями этой группы являются азодикарбонамид и бикарбонат натрия, а также их смеси.
Описание и примеры противоударных присадок и модификаторов технологических свойств, желатинирующих средств, антистатиков, биоцидов, дезактиваторов металлов, оптических осветлителей, огнезащитных присадок, антифлокулянтов и совместимых присадок приведены в “Kunststoffadditive” [Plastics Additives], R.Gachter/H.Muller, Carl Hanser Verlag, 3rd and 4th Ed., 1989 and 2001, а также в “Handbook of Polyvinyl Cloride Formulating”, E.J.Wilson, J.Wiley & Sons, 1993, а также в “Plastics Additives”, G.Pritchard, Chapman & Hall, London, 1st edition, 1998. Противоударные агенты подробно описаны в “Impact Modifiers for PVC”, J.T.Lutz/D.L.Dunkelberger, John Wiley & Sons, 1992.
Может применяться одна или несколько присадок и/или их смеси.
Настоящее изобретение также предусматривает композиции, включающие хлорсодержащий полимер и стабилизирующую систему изобретения.
Изобретение также предусматривает композиции, содержащие хлорсодержащий полимер и стабилизирующую систему изобретения, а также один или несколько компонентов одной из групп, примерами которых могут служить производные глицидила, фосфиты, гидроксикарбоксилаты, гидротальциты, цеолиты, производные щелочных и щелочноземельных металлов, а также эпоксидированные жирные эфиры.
Соединения общих формул (I), (II), (III) и (IV) присутствующие для стабилизации в таких композициях, включающих хлорсодержащий полимер, применяются в количестве 0,01-10 мас. частей, предпочтительно 0,05-5 мас. частей, особенно предпочтительно 0,1-2 мас. частей в расчете на 100 мас. частей ПВХ.
Используемое количество перфторалкансульфонатных соединений составляет 0,001-5 мас. частей, предпочтительно 0,01-3 мас. частей, особенно предпочтительно 0,01-2 мас. частей в расчете на 100 мас. частей ПВХ.
Такие добавки, как глицидильные производные, фосфиты, гидроксикарбоксилаты, гидротальциты, цеолиты и соединения щелочных или щелочноземельных металлов, а также сложные эфиры эпоксидированных жирных кислот используют в количестве 0,01-15 мас. частей, предпочтительно 0,1-10 мас. частей, особенно предпочтительно 2-3 мас. части.
Примерами хлорсодержащих полимеров, подлежащих стабилизации, являются:
полимеры винихлорида, винилиденхлорида, виниловые смолы, структура которых содержит винилхлоридные звенья, например сополимеры винилхлорида и виниловых эфиров алифатических кислот, в особенности винилацетат, сополимеры хлористого винила со сложными эфирами акриловой и метакриловой кислоты и с акрилонитрилом, сополимеры хлористого винила с диеновыми соединениями и ненасыщенными дикарбоновыми кислотами или их ангидридами, например сополимеры винилхлорида с диэтилмалеатом, диэтилфумаратом или малеиновым ангидридом, постхлорированные полимеры и сополимеры винилхлорида, сополимеры винилхлорида и винилиденхлорида с ненасыщенными альдегидами, кетонами и другими веществами, такими как акролеин, кротоновый альдегид, винилметилкетон, винилметиловый эфир, винилизобутиловый эфир и т.п.; полимеры винилилденхлорида и его сополимеры с винилхлоридом и другими сополимеризуемыми веществами; полимеры винилхлорацетата и дихлордивинилового эфира; хлорированные полимеры винилацетата, хлорированных полимерных сложных эфиров акриловой кислоты и альфа-замещенной акриловой кислоты; полимеры хлорированных стиролов, такие как дихлорстирол; хлорированные каучуки; хлорированные полимеры этилена; полимеры и постхлорированные полимеры хлорбутадиена и их сополимеры с винилхлоридом, хлорированные природные или синтетические каучуки, а также смеси указанных полимеров друг с другом или с другими полимеризуемыми веществами. В соответствии с настоящим изобретением ПВХ включает сополимеры с полимеризуемыми соединениями, такими как акрилонитрил, винилацетат или АВС, причем это могут быть суспензионные полимеры, блочные полимеры, а также эмульсионные полимеры. Предпочтительными материалами являются ПВХ гомополимер и его комбинация с полиакрилатами.
Другие возможные полимеры представляют собой привитые полимеры ПВХ с EVA, ABS или MBS. Другими предпочтительными субстратами служат смеси упомянутых выше гомо- и сополимеров, в особенности винилхлоридных гомополимеров, с другими термопластичными и/или эластомерными полимерами, особенно смеси с ABS, MBS, NBR, SAN, EVA, СРЕ, MBAS, РМА, РММА, EPDM или с полилактонами, предпочтительно выбранными из группы, состоящей из ABS, NBR, NAR, SAN и EVA. Используемые сокращенные названия сополимеров известны специалисту в данной области и имеют следующие значения: ABS: акрилонитрил-бутадиен-стирол; SAN: стирол-акрилонитрил; NBR: акрилонитрил-бутадиен; NAR: акрилонитрил-акрилат; EVA: этилен-винилацетат. Другими возможными полимерами являются стиролакрилонитрильные сополимеры на основе акрилата (ASA). Предпочтительным компонентом в данном контексте является полимерная композиция, включающая в качестве компонентов (i) и (ii), смесь из 25-75% мас. ПВХ и 75-25% мас. упомянутых сополимеров. Особенно важными компонентами являются композиции, полученные из (i) 100 массовых частей ПВХ и (ii) 0-300 массовых частей ABS и/или SAN-модифицированного ABS и 0-80 массовых частей сополимеров NBR, NAR и/или EVA, в особенности EVA.
В соответствии с настоящим изобретением также возможно стабилизировать повторно используемые материалы на основе хлорсодержащих полимеров, в особенности, подробно описанные вышеупомянутые полимеры, подвергшиеся разрушению в ходе переработки, использования или хранения. Особенно предпочтительным является повторно используемый материал из ПВХ.
Соединения, которые могут использоваться в соответствии с настоящим изобретением, а также хлорсодержащие полимеры, хорошо известны специалисту в данной области и подробно описаны в “Kunststoffadditive” [Plastics Additives”], R.Gachter/H.Muller, Carl Hanser Verlag, 3rd and 4th Ed., 1989 and 2001; в DE 19741778 и в ЕР 967245, причем на перечисленные работы ссылаются в настоящем описании.
В соответствии с настоящим изобретением особенно выгодно стабилизировать твердые ПВХ рецептуры, предназначенные для нанесения на трубы, профильные конфигурации и пластины в виде прозрачных и непрозрачных покрытий. Для прозрачных покрытий предпочтительно использовать соединения форму (I), (II), (III) или (IVb), которые имеют температуру плавления ниже 190°С. Стабилизация также полезна для полужестких и гибких рецептур и пластизолей. Такая стабилизация не требует использования соединений тяжелых металлов (Sn стабилизаторы, Pb стабилизаторы, Cd стабилизаторы и Zn стабилизаторы) и может с успехом применяться для производства физиологически применимых потребительских продуктов из ПВХ, включая продукты медицинского назначения.
Стабилизирующие системы могут применяться следующими способами: в виде эмульсии или дисперсии; в виде сухой смеси при перемешивании добавленных компонентов или полимерных смесей; прямым добавлением в обрабатывающее устройство (например, каландр, смеситель, книдер, экструдер и т.п.), в виде раствора, или расплава, либо, соответственно, в виде чешуек или гранул, входящих в состав одной безпыльной упаковки.
Стабилизированный ПВХ настоящего изобретения может быть получен известным способом, с использованием известного оборудования, например упомянутых выше обрабатывающих устройств, для смешивания стабилизирующей системы и, если желательно, других добавок с ПВХ. Стабилизаторы могут добавляться индивидуально или в смеси, а также в виде того, что называют «концентратом».
ПВХ, стабилизированный согласно настоящему изобретению, может выпускаться в желаемой форме с использованием известного способа. Примерами процессов такого типа могут служить размалывание, каландрирование, прессование, инжекционное формование и центрифугирование, а также экструзионное дутьевое формование.
Стабилизированный ПВХ также может быть подвергнут обработке с образованием пены. ПВХ, стабилизированный в соответствии с настоящим изобретением, в особенности подходит для изготовления полых изделий (бутыли), упаковочных пленок (пленки горячей штамповки), дутых пленок, труб, тяжелых профильных изделий (оконные рамы), прозрачных стенных конструкций, конструкционных профилей, сайдинга, арматуры, офисных защитных покрытий и корпусов аппаратуры (компьютеры, бытовые приборы). Предпочтительно использовать отливки из твердой ПВХ пены и ПВХ трубы, например, для питьевой воды и сточных вод, трубы для работы под давлением, газовые трубы, трубы для прокладки кабеля и трубы для защиты кабеля, трубы для промышленных трубопроводов, водосточные трубы, сточные трубы, желоба и дренажные трубы.
ПВХ стабилизированный согласно настоящему изобретению также может использоваться для получения полутвердых и гибких рецептур, главным образом в виде гибких рецептур для армированной проволоки, изоляции кабеля, изготовления настилов, обоев, компонентов транспортных средств, гибких пленок, инжекционных отливок или шлангов, что является особенно предпочтительным. ПВХ изобретения в виде полутвердых рецептур особенно подходит для изготовления декоративных пленок, пен, сельскохозяйственных пленок, шлангов, герметичных профилей и офисных пленок. Примерами использования ПВХ настоящего изобретения в качестве пластизоля являются синтетическая кожа, настилы, текстильные покрытия, обои, покрывающие рулонные материалы и защита нижних частей транспортных средств.
Более подробная информация по этим вопросам содержится в “Kunststoffhandbuch PVC” [Plastics Handbook PVC], vol.2/2, W.Becker/H.Braun, 2nd Ed., 1985. Carl Hanser Verlag, pp.1236-1277.
Представленные ниже примеры иллюстрируют настоящее изобретение, но не ограничивают его область. Как и в описании, части и проценты приведены в весовом выражении.
Примеры
| Таблица 1. |
| Органические стабилизаторы |
| Стабилизатор |
Формула |
| 1 |
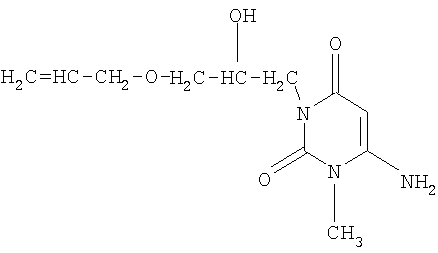
 |
| 2 |
 |
| 3 |
N-(CH2-CH2-OH)3 |
| 4а |
 |
| 4b |
 |
| 5 |
 |
Пример 1: Термообработка в статическом состоянии
Сухую смесь, состоящую из
100,0 частей Evipol (торговая марка EVC) SH 5730-ПВХ, значение К равно 57
5,0 частей Paraloid (торговая марка Rohm & Haas) BTA 7805 = MBS (метил метакрилат-бутадиен-стирольный) модификатор
5,0 частей Paraloid (торговая марка Rohm & Haas) К120N = акрилатное технологическое средство
5,0 частей Paraloid (торговая марка Rohm & Haas) К175N = акрилатное технологическое средство
1,0 часть Loxiol G16 = неполный жирный эфир глицерина (от Henkel)
0,3 части Wachs E = эфирный воск (Montane wax) (от BASF)
3,0 части ESO = эпоксидированное соевое масло
0,1 часть лаурата магния
х частей сульфоната = 30% раствор трифторметансульфоната Na в бутилдигликоле
и 0,6 частей стабилизаторов, указанных в Таблице 1, в течение 5 минут прокатывали на смесительных вальцах при 180°С. Из полученного в результате листа вырезали полоски пленки толщиной 0,3 мм. Образцы пленки нагревали в печи (=Mathis Thermo-Takter) при 190°С. Через 3-минутные интервалы определяли индекс желтизны (YI), следуя методике ASTM-D 1925-70. Полученные результаты представлены в Таблице 2. Низкие значения YI свидетельствуют о хорошей стабилизации.
| Таблица 2 |
| Стаб. |
– |
1 |
1 |
2 |
2 |
4а |
4а |
4b |
4b |
5 |
5 |
| х частей |
0.1 |
– |
0.1 |
– |
0.2 |
– |
0.05 |
– |
0. 17 |
– |
0.2 |
| Мин |
Значение YI |
| 0 |
58.39 |
18.21 |
15.76 |
33.84 |
21.35 |
9.00 |
8.66 |
7.16 |
7.35 |
37.88 |
23.95 |
| 3 |
65.46 |
20.30 |
18.20 |
50.59 |
29.74 |
12.09 |
9.77 |
7.81 |
8.14 |
39.63 |
26.39 |
| 6 |
72.50 |
30.64 |
24.07 |
87.68 |
42.68 |
15.44 |
12.29 |
9.14 |
10.26 |
72.04 |
39.93 |
| 9 |
85.48 |
52.23 |
40.12 |
146. 02 |
61.76 |
19.41 |
15.57 |
12.68 |
13.98 |
114.20 |
66.33 |
| 12 |
103.52 |
78.93 |
55.32 |
|
83.03 |
23.61 |
20.01 |
18.74 |
17.38 |
|
92.39 |
| 15 |
|
107.93 |
70.99 |
|
106. 73 |
30.26 |
25.49 |
27.91 |
24.80 |
|
103.67 |
| 18 |
|
|
88.06 |
|
|
38.58 |
32.90 |
42.36 |
32.64 |
|
|
| 21 |
|
|
107.54 |
|
|
57.00 |
42.20 |
62.90 |
40.86 |
|
|
| 24 |
|
|
100.70 |
|
|
89.17 |
56.56 |
89.15 |
52.39 |
|
|
| 27 |
|
|
|
|
|
182.84 |
75.42 |
129.83 |
64.95 |
|
|
| 30 |
|
|
|
|
|
|
124.91 |
|
81.14 |
|
|
| 33 |
|
|
|
|
|
|
|
|
97.82 |
|
|
| 36 |
|
|
|
|
|
|
|
|
118.78 |
|
|
| Примечания |
| Из данных, представленных в Таблице 2, следует, что добавление трифлата Na в стабилизатор каждого типа приводит к значительному усилению исходного цвета, прочности окраски и долгосрочной стабильности. Стаб. – стабилизация. |
Пример 2: Термообработка в статическом состоянии
Сухую смесь, состоящую из
100,0 частей Evipol (торговая марка EVC) SH 7020-ПВХ, значение К равно 70
47,0 частей диоктилфталата
3,0 части ESO = эпоксидированное соевое масло
0,3 части Loxiol® G71S = пентаэритритол адипат комплексны эфир – смазка
0,1 часть стеарата кальция
х частей сульфоната = 30% раствор трифторметансульфоната Na
и 0,27 частей стабилизаторов, указанных в Таблице 1, в течение 5 минут прокатывали на смесительных вальцах при 180°С. Из полученного в результате листа вырезали полоски пленки толщиной 0,3 мм. Образцы пленки нагревали в печи (=Mathis Thermo-Takter) при 190°С. Через 3-минутные интервалы определяли индекс желтизны (YI), следуя методике ASTM-D 1925-70. Полученные результаты представлены в Таблице 2. При необходимости в смесь добавляли 0,6 частей СН 300, смешанного арил/алкилфосфита от Crompton (см. таблицу 3). Низкие значения YI свидетельствуют о хорошей стабилизации.
| Таблица 3 |
| Стабилизация |
3 |
3 |
3 |
3* |
| Х частей сульфоната |
– |
0,2 |
0,3 |
0,3 |
| Минуты |
Значение YI |
| 0 |
17,00 |
6,97 |
6,50 |
5,79 |
| 3 |
20,28 |
7,42 |
7,66 |
5,53 |
| 6 |
30,21 |
9,97 |
9,95 |
5,96 |
| 9 |
49,09 |
16,45 |
15,76 |
6,49 |
| 12 |
66,58 |
18,12 |
19,12 |
7,33 |
| 15 |
88,15 |
16,15 |
16,53 |
9,20 |
| 18 |
109,5 |
17,96 |
20,85 |
11,77 |
| 21 |
|
28,08 |
30,04 |
19,06 |
| 24 |
|
42,97 |
46,09 |
40,68 |
| 27 |
|
65,75 |
68,70 |
61,56 |
| 30 |
|
85,49 |
85,09 |
77,85 |
| 33 |
|
95,11 |
96,11 |
86,55 |
| 36 |
|
104,69 |
105,88 |
94,57 |
| 39 |
|
|
|
100,83 |
| * +0,6 частей СН 300 = смешанный арил/алкилфосфит от Crompton |
| Примечания: |
| Из данных, представленных в Таблице 3, следует, что добавление трифлата Na приводит к усилению термостабилизирующего действия, причем эффект может быть дополнительно улучшен в результате добавления фосфита. |
Пример 3: Термообработка в статическом состоянии (ТК 101 7790)
Сухую смесь, состоящую из
100,0 частей Evipol (торговая марка EVC) SH 5730-ПВХ, значение K равно 57
5,0 частей Paraloid (торговая марка Rohm & Haas) BTA 7805 = MBS (метил метакрилат-бутадиенстирольный) модификатор
0,5 частей Paraloid (торговая марка Rohm & Haas) K120N = акрилатное технологическое средство
0,5 частей Paraloid (торговая марка Rohm & Haas) K175N = акрилатное технологическое средство
1,0 часть Loxiol G 16 = неполный жирный эфир глицерина (от Henkel)
0,3 части Wachs E = эфирный воск (Montane wax) (от BASF)
3,0 части ESO = эпоксидированное соевое масло
х частей сульфоната = 30% раствор трифторметансульфоната Na в бутилдигликоле
и 0,3 части стабилизаторов, указанных в Таблице 1, в течение 5 минут прокатывали на смесительных вальцах при 180°С. Из полученного в результате листа вырезали полоски пленки толщиной 0,3 мм. Образцы пленки нагревали в печи (=Mathis Thermo-Takter) при 190°С. Через 3-минутные интервалы определяли индекс желтизны (YI), следуя методике ASTM-D1925-70. Полученные результаты представлены в Таблице 4. Низкие значения YI свидетельствуют о хорошей стабилизации.
| Таблица 4 |
| Стабилизация |
3 |
3 |
| Х частей сульфоната |
– |
1,0 |
| Минуты |
Значение YI |
| 0 |
45,9 |
14,12 |
| 3 |
54,1 |
18,18 |
| 6 |
77,45 |
21,99 |
| 9 |
111,6 |
28,13 |
| 12 |
|
38,20 |
| 15 |
|
53,15 |
| 18 |
|
73,60 |
| 21 |
|
91,47 |
| 24 |
|
105,39 |
| Примечания |
| Как следует из таблицы 4, добавление трифлата Na приводит к заметному усилению термостабилизирующего действия. |
Формула изобретения
1. Стабилизирующая система, предназначенная для стабилизации хлорсодержащих полимеров от термоиндуцированной деградации, включающая, по меньшей мере, а) одну перфторалкансульфонатную соль и b) по меньшей мере, один или несколько индолов, и/или мочевин, и/или алканоламинов, и/или аминоурацилов,
в которой индолы имеют общую формулу (I)

где m=0, 1, 2 или 3; R3=C1-C18-алкил, С2-С18алкенил, фенил или
,
С7-С24-алкилфенил, С7-С10-фенилалкил или С1-С4-алкокси;
R4, R5=H, С1-С4-алкил или С1-С4-алкокси;
где мочевины имеют общую формулу (II)

где Y=O, S или NH;
R6, R7, R8 и R9 независимо друг от друга представляют собой Н, C1-C18-алкил, необязательно замещенный гидроксигруппами и/или С1-С4-алкоксигруппами, С2-С18-алкенил, фенил, необязательно замещенный гидрокси- и/или С1-С4-алкил/алкоксигруппами, в количестве до 3, С7-С20-алкилфенил или С7-С10-фенилалкил и 2 заместителя, выбранные из R6-R9 могут образовывать кольцо, а используемая мочевина может представлять димерную или тримерную мочевину, например биурет или 1,3,5-трис(гидроксиалкил)изоцианурат, и возможные продукты их реакций;
алканоламины имеют общую формулу (III)

где х=1, 2 или 3;
у=1, 2, 3, 4, 5 или 6;
n=1-10;
R1 и R2 независимо друг от друга представляют собой Н, С1-С22-алкил, [-(CHR3 a)у-CHRb 3-O]n-Н, -[-(CHR3 a)y-CHR3 b-O-]n-CO-R4, С2-С20-алкенил, С2-C18-ацил, С4-С8-циклоалкил, который может содержать заместитель ОН в -положении, фенил, С7-С10-алкилфенил или С7-С10-фенилалкил, или в том случае, когда х=1, R1 и R2 совместно с атомом N могут образовывать замкнутое 4-10-членное кольцо, состоящее из углеродных атомов и необязательно содержащее до 2 гетероатомов, а в том случае, когда х=2, R1 также может представлять собой С2-С18-алкилен, который может содержать ОН-заместитель при двух -углеродных атомах и/или содержать в цепи атомы О и/или одну или несколько NR2-групп, или может представлять собой дигидроксизамещенный тетрагидродициклопентадиенилен, дигидроксизамещенный этилциклогексанилен, дигидроксизамещенный 4,4 -(бисфенол-А-дипропиловый эфир)илен, изофоронилен, диметилциклогексанилен, дициклогексилметанилен или 3,3 -диметилдициклогексилметанилен, и при x=3, R1 также может представлять собой тригидроксизамещенный (три-N-пропилизоцианурат)триил;
R3 a и R3 b, независимо друг от друга могут представлять собой C1-C22-алкил, С2-С6-алкенил, фенил, С6-С10-алкилфенил, Н или CH2-X-R5, где Х=O, S, -O-СО- или -СО-O-; R4 представляет собой C1-C18-алкил/алкенил или фенил; a R5=H, С1-С22-алкенил, С2-С22-алкенилфенил или С6-С10-алкилфенил;
аминоурацилы имеют формулы (IVa) или (IVb)

где в формуле (IVa) R1 и R2 независимо друг от друга представляют собой Н, С1-С4-алкокси- и/или гидроксизамещенный фенил, или фенил-C1-С4-алкил, который имеет в качестве заместителя в фенильном кольце C1-С4-алкил, С1-С4-алкокси и/или гидросигруппу, С3-С6-алкенил или С3-С10-алкил, цепочка которого содержит, по меньшей мере, один атом кислорода, или CH2-CHOH-R3, R3=H или C1-C4-алкил, С2-С4-алкенил, С4-C8-циклоалкил, фенил, С7-С10-алкилфенил или С7-С10-фенилалкил, при условии, что R1 или R2 не могут быть одновременно водородом и в формуле (IVb) R2 представляет собой Н или радикалы С1-С4-алкил, С2-С4-алкенил или С4-С8-циклоалкил, фенил, С6-С10-алкилфенил, С7-С10-фенилалкил, -CH2-X-R4, где R4 представляет собой Н, C1-С10-алкил или С2-С4-алкенильный радикал, либо С4-С8-циклоалкил, необязательно содержащий оксирановое кольцо; или необязательно замещенный 1-3 C1-С4-алкильными радикалами, бензоилом или С2-С18-ацильными радикалами, Х представляет собой О или S;
R3 представляет собой R2 или R4; С2-С6-алкил, замещенный, по меньшей мере, 1-5 ОН-группами и/или содержащий в цепи, по меньшей мере, 1-4 атомов О, или представляет собой CH2-CH(OH)R2.
2. Стабилизирующая система по п.1, в котором перфторалкансульфонатная соль представляет собой соль таких металлов, как Li, Na, K, Mg, Ca, Sr, Ba, Sn, Zn, AI, La или Се.
3. Стабилизирующая система по п.1 или 2, в которой в соединении общей формулы (I) R3 представляет собой фенил, в соединении общей формулы (II) R6, R7, R8 и R9 независимо друг от друга представляют собой фенил или Н, в соединении общей формулы (III) n=1, у=2 или 3, в соединении общей формулы (IVa) R1 и R2, R2 и R1 представляют собой Н и С2-С4-алкенил или С3-С10-алкил, а в соединение общей формулы (IVb) R3 представляет собой метил или бензил, а R2 представляет собой С2-С8-алкил, или С3-С6-алкенил, или (С1-С8-алкокси)метил.
4. Стабилизирующая система по п.1 или 2, в которой перфторалкансульфонатная соль представляет собой трифлат натрия или калия.
5. Стабилизирующая система по п.1 или 2, в которой соединения общей формулы (I) представляют собой 2-фенилиндол или 2-фениллаурилиндол, соединения общей формулы (II) представляют собой N,N -дифенилтиомочевину, N-фенилмочевину, трисгидроксиэтил или трисгидроксипропил изоцианурат, соединения общей формулы (III) представляют собой продукты реакции NH3, первичных или вторичных аминов, в особенности жирных аминов, с оксидом этена, оксидом пропена, оксидом бутена или (тиол)глицидиловыми эфирами, взятыми в мольных отношениях 1:3, 1:2 или 1:1, или представляют собой продукты реакции (тио)глицидиловых эфиров с алканоламинами, такими, как этанол-, пропанол- или бутаноламины, взятыми в мольных отношениях 1:2 или 1:1, в соединениях общей формулы (IVa) R1 и R2 или R2 и R1 представляют собой Н и аллил, пропил и бутил, а соединениях общей формулы (IVb) R3 представляет собой метил, a R2 представляет собой этил или аллилоксиметил.
6. Стабилизирующая система по п.4, в которой совместно с соединениями формул (I)-(III) присутствует, по меньшей мере, одно соединение формулы (IVa), в котором R1=R2=C1-C22-алкил или олеил и такой аминоурацил может быть полностью или частично заменен на соответствующую структурно изомерную цианоацетилмочевину.
7. Стабилизирующая система по любому из пп.1, 2 или 6, которая при необходимости дополнительно содержит металлические мыла и/или при необходимости включает, по меньшей мере, одно или несколько других веществ, выбранных из группы, состоящей из полиолов и дисахаридных спиртов, глицидиловых соединений гидротальцитов, алюмосиликатов щелочных/щелочноземельных металлов, гидроксидов щелочных/щелочноземельных металлов, оксидов или бикарбонатов щелочноземельных металлов, или гидроксикарбоксилатов щелочных (щелочноземельных) металлов, или карбоксилатов металлов, фосфитов, пластификаторов, антиоксидантов, наполнителей, пигментов, светостабилизаторов, смазочных агентов и эпоксидированных жирных эфиров.
8. Стабилизирующая система по любому из пп.1, 2 или 6, в которой также присутствует фосфит.
9. Композиция, включающая хлорсодержащий полимер и стабилизирующую систему по любому из пп.1-8.
10. Композиция по п.9, отличающаяся тем, что в расчете на 100 мас. ч. хлорсодержащего полимера она содержит 0,01-10 мас. ч. соединений общей формулы (I), и/или (II), и/или (III), и/или (IVa), и/или (IVb) и 0,001-5 мас. ч. перфторалкансульфонатной соли.
11. Способ стабилизации хлорсодержащих полимеров от термоиндуцированной деградации, состоящий в добавлении в хлорсодержащий полимер стабилизирующей системы по любому из пп.1-8.
12. Потребительские продукты, содержащие поливинилхлорид, подвергнутый стабилизации, предотвращающей термоиндуцированную деградацию, с помощью стабилизирующей системы по любому из пп.1-8.
13. Стабилизирующая система, предназначенная для стабилизации поливинилхлорида, предотвращающая его термоиндуцированную деградацию, включающая, по меньшей мере, а) одну перфторалкансульфонатную соль и компонент b), представленный формулой (III)

предназначенный для предварительной стабилизации поливинилхлорида, предотвращающей его термоиндуцированную деградацию.
|
|