|
(21), (22) Заявка: 2006101764/04, 25.06.2004
(24) Дата начала отсчета срока действия патента:
25.06.2004
(30) Конвенционный приоритет:
02.07.2003 (пп.1-6) US 60/484,132
(43) Дата публикации заявки: 10.08.2007
(46) Опубликовано: 20.12.2008
(56) Список документов, цитированных в отчете о поиске:
US 4112075 A, 05.09.1978. US 4058519 A, 15.11.1977. US 4345068 A, 17.08.1982. US 6087340 A, 11.07.2000. RU 2097060 C1, 27.11.1997. RU 2145965 C1, 27.02.2000. RU 99121332 A, 20.07.2001.
(85) Дата перевода заявки PCT на национальную фазу:
02.02.2006
(86) Заявка PCT:
US 2004/020679 (25.06.2004)
(87) Публикация PCT:
WO 2005/004805 (20.01.2005)
Адрес для переписки:
117342, Москва, ул. Миклухо-Маклая, 65, корп.4, кв.34, пат.пов. И.Л.Стояченко, рег. № 23
|
(72) Автор(ы):
Забудкин Александр (UA), Матвиенко Виктор (UA), Матвеев Алексей (UA), ИТКИН Александр (US)
(73) Патентообладатель(и):
СОЛАКС КОРПОРЕЙШН (US)
|
(54) ТЕРМОСТОЙКИЙ КРИСТАЛЛИЧЕСКИЙ ГИДРОХЛОРИД ЭПИРУБИЦИНА И СПОСОБ ЕГО ПОЛУЧЕНИЯ
(57) Реферат:
Изобретение относится к новой кристаллической форме гидрохлорида эпирубицина, называемой кристаллическим гидрохлоридом эпирубицина “II типа”, которая обладает исключительной термостабильностью, и способу ее получения. Кристаллический гидрохлорид эпирубицина II типа имеет дифракционную картину рентгеновского рассеяния на порошке, дающую средние значения дифракционного угла (2 ) и относительной интенсивности Р(%)
Дифракционный угол 2 |
Относительная интенсивность Р (%) |
| 5.236 |
9.8 |
| 9.212 |
12.5 |
| 13.732 |
15.5 |
| 16.446 |
4.8 |
| 18.234 |
5 |
| 21.114 |
9.7 |
| 22.529 |
25.5 |
| 24.071 |
29.9 |
| 25.879 |
18.4 |
| 27.762 |
16.5 |
| 29.757 |
10.1 |
| 34.392 |
4.4 |
| 38.157 |
13.1 |
| 44.293 |
5.9 |
| 64.699 |
7.7 |
| 77.815 |
100 |
Изобретение также относится к применению новой кристаллической формы для лечения рака у людей и животных. 3 н. и 3 з.п. ф-лы, 7 ил., 4 табл.
Заявки, имеющие отношение к данному изобретению
В данной заявке заявлен приоритет по предварительной заявке США №60/484,132, поданной 2 июля 2003 г. Предварительная заявка США №60/484,132 во всей своей полноте включена в данное описание в качестве ссылки.
Область техники
В целом данная заявка относится к кристаллическим формам гидрохлорида эпирубицина, соединения, которое используют в качестве противоракового хемиотерапевтического лекарства. В частности, данное изобретение относится к конкретной кристаллической форме гидрохлорида эпирубицина, отличающейся повышенной термостабильностью. Кроме того, изобретение относится к способам получения такой кристаллической формы гидрохлорида эпирубицина, а также к способам использования указанной кристаллической формы гидрохлорида эпирубицина для лечения рака у людей и/или животных.
Уровень техники
Антрациклины образуют одну из самых больших групп природных биологически-активных соединений. Было показано, что некоторые соединения этой группы при клиническом использовании являются эффективными противоопухолевыми агентами. Перечень таких соединений включает в себя, например, даунорубицин, доксорубицин, идарубицин, эпирубицин, пирарубицин, зорубицин, акларубицин и карминомицин. Например, было показано, что эти соединения могут быть использованы в трансплантатах костного мозга, при трансплантации стволовых клеток, лечении карциномы молочной железы, острой лимфоцитарной или нелимфоцитарной лейкемии, хронической лимфоцитарной лейкемии, неходжкинской лимфомы и других солидных раковых опухолей.
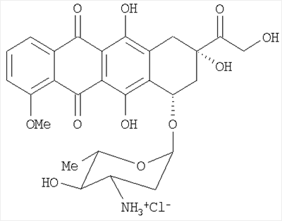
В патентах США №№4,112,076, 4,345,068, 4,861,870, 5,945,518 и 5,874,550 раскрыто получение гидрохлорида эпирубицина, формула которого приведена ниже, и его использование в качестве противоракового агента:

В настоящее время существует два основных способа извлечения гидрохлорида эпирубицина из растворов. Первый способ включает в себя обработку органического раствора эпирубицина, находящегося в форме основания, раствором соляной кислоты в метаноле. См., например, патент США №4,112,076. Альтернативно, второй способ включает в себя осаждение гидрохлорида эпирубицина ацетоном из водного или водно-органического раствора. См., например, патент США №4,861,870.
В патенте США №6,087,340 описан готовый к использованию раствор для инъекций, содержащий гидрохлорид эпирубицина. В частности, в этом патенте раскрыт стабильный, предназначенный для инъекций, стерильный, апирогенный раствор антрациклингликозида, состоящий в основном из физиологически приемлемой соли антрациклингликозида, растворенной в физиологически приемлемом растворителе, который не был восстановлен из лиофилизата, и имеет рН от 2.5 до 3.5 и предпочтительно содержится в закрытом стеклянном контейнере (емкости). Несмотря на то что в патенте США №6,087,340 раскрыты предназначенные для инъекций готовые к использованию препараты, в этом патенте не описана стабилизация гидрохлорида эпирубицина самого по себе, как лекарства.
В патенте США №6,376,469 описана форма кристаллического гидрохлорида амрубицина -типа, обладающая повышенной термостабильностью.
Существует необходимость в получении кристаллической формы гидрохлорида эпирубицина, обладающей улучшенными характеристиками термостабильности. В данном описании впервые приведены вариации термостабильности для различных кристаллических форм гидрохлорида эпирубицина.
Раскрытие изобретения
Данное изобретение относится к новой, строго определенной кристаллической форме гидрохлорида эпирубицина, называемой здесь и далее кристаллическим гидрохлоридом эпирубицина “II типа”, которая обладает исключительной термостабильностью. В описании также приведены вариации термостабильности для различных кристаллических форм гидрохлорида эпирубицина.
Кристаллический гидрохлорид эпирубицина II типа характеризуется тем, что он имеет дифракционную картину рентгеновского рассеяния на порошке, имеющую средние значения дифракционного угла (2 ) и относительной интенсивности Р (%), как показано в приведенной ниже Таблице:
Дифракционный угол 2 |
Относительная интенсивность Р (%) |
| 5.236 |
9.8 |
| 9.212 |
12.5 |
| 13.732 |
15.5 |
| 16.446 |
4.8 |
| 18.234 |
5 |
| 21.114 |
9.7 |
| 22.529 |
25.5 |
| 24.071 |
29.9 |
| 25.879 |
18.4 |
| 27.762 |
16.5 |
| 29.757 |
10.1 |
| 34.392 |
4.4 |
| 38.157 |
13.1 |
| 44.293 |
5.9 |
| 64.699 |
7.7 |
| 77.815 |
100 |
Таким образом, некоторыми целями данного изобретения являются:
(1) создание кристаллической формы (а также разработка способа ее получения) гидрохлорида эпирубицина, отличающейся улучшенными характеристиками термостабильности.
(2) разработка способа выделения (извлечения), согласно которому гидрохлорид эпирубицина кристаллизуется из водной части водно-органического раствора.
(3) разработка способа выделения (извлечения), согласно которому кристаллизацию проводят при рН, величина которого находится в диапазоне от 2 до 5.
(4) разработка способа выделения (извлечения), согласно которому кристаллизацию проводят при температуре 20°С и выше.
(5) разработка способа выделения (извлечения), согласно которому кристаллизацию проводят в присутствии гидрофильных органических растворителей, таких как содержащие разветвленные цепи C1-C4 спирты, кетоны, нитрилы и их смеси.
Таким образом, целью данного изобретения является создание кристаллической формы (т.е. типа II) гидрохлорида эпирубицина, которая отличается от других кристаллических форм гидрохлорида эпирубицина улучшенными характеристиками термостабильности. Другой целью данного изобретения является разработка способа синтеза кристаллической формы гидрохлорида эпирубицина II типа.
Краткое описание чертежей
На Фиг.1 приведена зависимость теплового потока от температуры для кристаллического гидрохлорида эпирубицина II типа.
На Фиг.2 приведен ИК-спектр кристаллического гидрохлорида эпирубицина II типа.
На Фиг.3 приведена зависимость теплового потока от температуры для кристаллического гидрохлорида эпирубицина I типа.
На Фиг.4 приведен ИК-спектр кристаллического гидрохлорида эпирубицина I типа.
На Фиг.5 приведена дифрактограмма рентгеновского рассеяния на порошке кристаллического гидрохлорида эпирубицина II типа.
На Фиг.6 приведена дифрактограмма рентгеновского рассеяния на порошке кристаллического гидрохлорида эпирубицина I типа.
На Фиг.7 приведены дифрактограммы рентгеновского рассеяния на порошках кристаллического гидрохлорида эпирубицина I и II типов.
Подробное описание изобретения
Данное изобретение относится к кристаллическому гидрохлориду эпирубицина II типа, который может быть получен кристаллизацией гидрохлорида эпирубицина из подходящего растворителя, такого как, например, вода или смесь воды и гидрофильного органического растворителя. Предпочтительно кристаллизацию гидрохлорида эпирубицина II типа проводят при температуре 20°С или выше.
Кристаллизацию проводят путем добавления гидрофильного органического растворителя, предпочтительно спирта с углеродной цепью C1-С3, к раствору гидрохлорида эпирубицина в воде или в водно-органической смеси. Предпочтительно концентрация гидрохлорида эпирубицина в водном или смешанном растворителе составляет по массе от 5% до 50% и более предпочтительно от 10% до 30%. Величину рН раствора предпочтительно поддерживают в диапазоне от 2 до 5.
Объем растворителя предпочтительно превышает объем раствора гидрохлорида эпирубицина в 2-20 раз. Процесс кристаллизации проводят при температурах от 20°С до 90°С, предпочтительно от 20°С до 50°С. Время кристаллизации варьируется от 0.5 до 12 часов и более предпочтительно от 2 до 5 часов.
Кристаллический гидрохлорид эпирубицина II типа, полученный этим способом, выделяют стандартными способами, известными специалистам в данной области техники (например, фильтрованием под вакуумом через стеклянный фильтр или с помощью фильтрующей центрифуги), с последующим высушиванием кристаллов. Полученный кристаллический гидрохлорид эпирубицина II типа можно использовать для получения конечных дозировочных форм гидрохлорида эпирубицина. В качестве иллюстрации, но не с целью введения ограничения, кристаллический гидрохлорид эпирубицина II типа можно высушить лиофильно (т.е. путем сублимации из замороженного состояния) или растворить в растворе для внутривенного введения (инъекции). Для использования в качестве внутривенной инъекции кристаллический гидрохлорид эпирубицина II типа можно растворить в подходящем носителе или носителях, известном(ых) специалистам в данной области техники.
Два примера, приведенные ниже, раскрывают способы получения кристаллического гидрохлорида эпирубицина II типа.
ПРИМЕР 1
(1) Раствор гидрохлорида эпирубицина (10.0 грамм) в воде или в водно-этанольной смеси (рН 3-4) упаривают при пониженном давлении при температуре 40°С до достижения гелеобразного состояния раствора.
(2) Затем к оставшемуся раствору добавляют 1-пропанол в объеме, в 12 раз превышающем объем оставшегося раствора, и перемешивают в течение 3 часов.
(3) Выпавшие в осадок кристаллы гидрохлорида эпирубицина затем собирают с помощью фильтрации, промывают 10 мл ацетона и высушивают при комнатной температуре.
(4) В результате получают 9.3 грамма кристаллов гидрохлорида эпирубицина II типа.
(5) Как показано на Фиг.1, температура плавления кристаллического гидрохлорида эпирубицина II типа составляет примерно 207°С, причем плавление сопровождается разложением (скорость нагрева 2°С/мин). На Фиг.2 приведен ИК-спектр (ИК (KBr)) кристаллического гидрохлорида эпирубицина II типа. Максимумы/минимумы наблюдаются при 3415, 2928, 1720, 1620, 1576, 1510, 1413, 1371, 1284, 1239, 1210, 1162, 1115, 1068, 1019, 991, 930, 908, 880, 814, 768, 719, 693, 595 см-1.
ПРИМЕР 2
(1) Раствор гидрохлорида эпирубицина (10.0 грамм) в воде или в водно-этанольной смеси (рН 3-4) упаривают при пониженном давлении при температуре 40°С до достижения гелеобразного состояния раствора.
(2) Затем к оставшемуся раствору добавляют абсолютный этанол в объеме, в 10 раз превышающем объем оставшегося раствора, и перемешивают в течение 2 часов.
(3) Выпавшие в осадок кристаллы гидрохлорида эпирубицина затем собирают с помощью фильтрации, промывают 10 мл этанола и 10 мл ацетона и высушивают при комнатной температуре.
(4) В результате получают 7.5 грамм кристаллов гидрохлорида эпирубицина II типа.
В следующем Примере (Пример 3) раскрыт способ получения кристаллов гидрохлорида эпирубицина I типа, а именно кристаллов гидрохлорида эпирубицина, как описано в патенте США №4,861,870.
ПРИМЕР 3
Стадия (1) идентична стадии 1 в приведенном выше Примере 1.
(2) Гелеобразный раствор гидрохлорида эпирубицина выливают в 300 мл ацетона.
(3) Выпавшие в осадок кристаллы гидрохлорида эпирубицина затем собирают с помощью фильтрации и промывают 50 мл ацетона.
(4) В результате получают 9.7 грамм кристаллов гидрохлорида эпирубицина I типа.
Как показано на Фиг.3, температура плавления кристаллического гидрохлорида эпирубицина I типа составляет примерно 196°С, причем плавление сопровождается разложением (скорость нагрева 2°С /мин). На Фиг.4 приведен ИК-спектр (ИК (KBr)) кристаллического гидрохлорида эпирубицина I типа. Максимумы/минимумы наблюдаются при 3430, 2934, 2027, 1724, 1617, 1583, 1508, 1445, 1412, 1284, 1236, 1211, 1162, 1121, 1064, 1018, 992, 931, 909, 876, 814, 792, 767, 738, 721, 693, 588 и 465 см-1.
ПРИМЕР 4
Кристаллический гидрохлорид эпирубицина I и II типов исследовали методом оптической микроскопии как описано ниже:
Использованный микроскоп: оптический микроскоп Labomed CXRIII с поляризационными светофильтрами. Образцы гидрохлорида эпирубицина, полученные согласно Примеру 1 (тип II) и сравнительному Примеру 3 (тип I) оба обладают двулучепреломлением и, таким образом, являются анизотропными кристаллами.
ПРИМЕР 5
В данном примере получали дифрактограммы рентгеновского рассеяния на порошках кристаллического гидрохлорида эпирубицина I и II типов. Дифрактограммы на порошках были получены с помощью рентгеновского дифрактометра Rigaku (MiniFlex) с медным анодом. Условия анализа образцов были следующими:
Начальный угол: 3
Конечный угол: 90
Шаг: 0.02
Скорость сканирования: 1.00
Дифрактограмма рентгеновского рассеяния на порошке была получена с использованием Cu К излучение ( =1.5406 Å для падающего луча).
Использовали дифрактометр с вертикальной схемой :2 с вертикальной фокусировкой Бертрано.
Использовали сцинтилляционный детектор (Nil scintillating detector) (ФЭУ амплитуды импульса).
Использовали К никелевый фильтр.
Результаты анализа полученных дифрактограмм рентгеновского рассеяния на порошках приведены ниже:
Дифракционные картины рентгеновского рассеяния различаются для образцов, полученных согласно Примеру 1 (тип II) и сравнительному Примеру 3 (тип I). В приведенной ниже Таблице 1 показаны результаты изучения кристаллического гидрохлорида эпирубицина II типа с помощью рентгеновского рассеяния, а именно зависимость относительной интенсивности (Р%) от угла дифракции (2 ). Результаты, приведенные ниже в Таблице 2, показывают зависимость относительной интенсивности (Р%) от угла дифракции (2 ) для кристаллического гидрохлорида эпирубицина I типа.
Таблица 1. Результаты анализа дифрактограмм рентгеновского рассеяния кристаллического гидрохлорида эпирубицина II типа – зависимость относительной интенсивности (Р%) от угла дифракции (2 ). |
2 |
d (A) межплоскостное расстояние |
BG (фон) |
Пик (интенсивность) |
Р (%) |
Площадь |
FWHM (ширина на полувысоте) |
| 5.236 |
16.8641 |
22 |
415 |
9.8 |
122 |
0.234 |
| 9.212 |
9.5918 |
15 |
531 |
12.5 |
207 |
0.311 |
| 13.732 |
6.4434 |
40 |
658 |
15.5 |
211 |
0.256 |
| 16.446 |
5.3855 |
122 |
204 |
4.8 |
115 |
0.449 |
| 18.234 |
4.8614 |
74 |
214 |
5 |
105 |
0.39 |
| 21.114 |
4.2042 |
43 |
411 |
9.7 |
233 |
0.453 |
| 22.529 |
3.9433 |
323 |
1084 |
25.5 |
405 |
0.299 |
| 24.071 |
3.6941 |
102 |
1272 |
29.9 |
422 |
0.265 |
| 25.879 |
3.44 |
75 |
780 |
18.4 |
348 |
0.357 |
| 27.762 |
3.2108 |
71 |
701 |
16.5 |
319 |
0.363 |
| 29.757 |
2.9999 |
109 |
428 |
10.1 |
150 |
0.279 |
| 34.392 |
2.6055 |
67 |
186 |
4.4 |
101 |
0.434 |
| 38.157 |
2.3566 |
114 |
558 |
13.1 |
196 |
0.28 |
| 44.293 |
2.0433 |
78 |
249 |
5.9 |
91 |
0.292 |
| 64.699 |
1.4395 |
19 |
328 |
7.7 |
130 |
0.316 |
| 77.815 |
1.2264 |
41 |
4250 |
100 |
1817 |
0.342 |
Таблица 2. Результаты анализа дифрактограмм рентгеновского рассеяния кристаллического гидрохлорида эпирубицина I типа – зависимость относительной интенсивности (Р%) от угла дифракции (2 ). |
2 |
d (A) межплоскостное расстояние |
BG (фон) |
Пик (интенсивность) |
Р (%) |
Площадь |
FWHM (ширина на полувысоте) |
| 38.236 |
2.3519 |
8 |
1750 |
47.7 |
585 |
0.267 |
| 44.453 |
2.0363 |
6 |
802 |
21.9 |
302 |
0.301 |
| 64,825 |
1.4371 |
7 |
373 |
10.2 |
141 |
0.301 |
| 77.955 |
1.2246 |
21 |
3667 |
100 |
1520 |
0.331 |
| 82.139 |
1.1725 |
12 |
277 |
7.6 |
120 |
0.344 |
Кристаллический гидрохлорид эпирубицина I типа дает один сильный сигнал при примерно 38 градусах. Напротив, кристаллический гидрохлорид эпирубицина II типа дает множество сильных сигналов во всем диапазоне углов рассеяния. На Фиг.5 показана дифрактограмма рентгеновского рассеяния на порошке кристаллического гидрохлорида эпирубицина II типа, полученного согласно Примеру 1. На Фиг.6 показана дифрактограмма рентгеновского рассеяния на порошке кристаллического гидрохлорида эпирубицина I типа, полученного согласно Примеру 3 (сравнительному). На Фиг.7 приведена суперпозиция (наложение) дифрактограмм рентгеновского рассеяния для кристаллического гидрохлорида эпирубицина I и II типов.
ПРИМЕР 6
Данный пример показывает повышенную термостабильность кристаллического гидрохлорида эпирубицина II типа по сравнению с кристаллическим гидрохлоридом эпирубицина I типа.
Кристаллический гидрохлорид эпирубицина II типа, полученный согласно Примеру 1, и кристаллический гидрохлорид эпирубицина I типа, полученный согласно сравнительному Примеру 3, выдерживали при температуре 40°С в течение 6 месяцев, имитируя, таким образом, ускоренное хранение. Термостабильность исследовали и измеряли путем определения следующих параметров: (1) содержание (методом жидкостной хроматографии, HPLC), (2) количество доксорубицинона (доксорубицинон, агликон эпирубицина, является важнейшим продуктом деградации эпирубицина), и (3) общее количество примесей (суммарные примеси). Результаты исследований приведены ниже в Таблице 3 и Таблице 4.
Таблица 3. Данные по стабильности кристаллического гидрохлорида эпирубицина II типа. |
| Месяцы |
Условия ускоренного хранения 40°±2°C |
| Серия ESP01 |
Серия ESP02 |
Серия ESP03 |
| Содержание* |
Доксорубицинон |
Суммарные примеси |
Содержание* |
Доксорубицинон |
Суммарные примеси |
Содержание* |
Доксорубицинон |
Суммарные примеси |
| Исходный |
99.2 |
0.04 |
0.39 |
99.3 |
Не определяется |
0.37 |
99.0 |
0.06 |
0.42 |
| 3 |
99.1 |
0.07 |
0.44 |
99.0 |
0.06 |
0.44 |
99.1 |
0.12 |
0.48 |
| 6 |
99.1 |
0.12 |
0.50 |
99.0 |
0.14 |
0.51 |
99.0 |
0.15 |
0.53 |
| * Содержание сухого вещества, не содержащего воды и растворителя. |
Таблица 4. Данные по стабильности кристаллического гидрохлорида эпирубицина I типа. |
| Месяцы |
Условия ускоренного хранения 40°С±2°С |
| Серия ESP04 |
Серия ESP05 |
Серия ESP06 |
| |
Содержание* |
Доксорубицинон |
Суммарные примеси |
Содержание* |
Доксорубицинон |
Суммарные примеси |
Содержание* |
Доксорубицинон |
Суммарные примеси |
| Исх. |
98.8 |
0.17 |
0.42 |
99.0 |
0.21 |
0.45 |
99.2 |
0.07 |
0.42 |
| 3 |
94.3 |
2.1 |
2.7 |
94.0 |
2.4 |
3.0 |
95.1 |
1.8 |
2.4 |
| 6 |
89.0 |
6.0 |
7.6 |
90.1 |
5.8 |
7.7 |
90.2 |
5.4 |
6.9 |
| * Содержание сухого вещества, не содержащего воды и растворителя. |
В результате, как подтверждают данные, приведенные в Таблицах 3 и 4, кристаллический гидрохлорид эпирубицина II типа обладает значительно большей термостабильностью, чем кристаллический гидрохлорид эпирубицина I типа. Это особенно полезно, так как кристаллический гидрохлорид эпирубицина II типа будет сохранять эффективность в течение более длительного периода времени по сравнению с кристаллическим гидрохлоридом эпирубицина I типа благодаря меньшей деградации и меньшему содержанию примесей. Это также означает, что срок хранения кристаллического гидрохлорида эпирубицина II типа более длительный, чем срок хранения кристаллического гидрохлорида эпирубицина I типа.
Несмотря на то что в описании показаны некоторые варианты выполнения данного изобретения, не выходя за рамки данного изобретения, могут быть осуществлены его различные модификации. Таким образом, данное изобретение ограничено лишь приведенной формулой изобретения с учетом эквивалентных признаков.
Формула изобретения
1. Кристаллический гидрохлорид эпирубицина, характеризующийся тем, что он имеет дифракционную картину рентгеновского рассеяния на порошке, дающую средние значения дифракционного угла (2 ) и относительной интенсивности Р (%), представленные в приведенной ниже Таблице:
Дифракционный угол 2 |
Относительная интенсивность Р (%) |
| 5.236 |
9.8 |
| 9.212 |
12.5 |
| 13.732 |
15.5 |
| 16.446 |
4.8 |
| 18.234 |
5 |
| 21.114 |
9.7 |
| 22.529 |
25.5 |
| 24.071 |
29.9 |
| 25.879 |
18.4 |
| 27.762 |
16.5 |
| 29.757 |
10.1 |
| 34.392 |
4.4 |
| 38.157 |
13.1 |
| 44.293 |
5.9 |
| 64.699 |
7.7 |
| 77.815 |
100 |
2. Кристаллический гидрохлорид эпирубицина по п.1, отличающийся тем, что его температура плавления составляет примерно 207°С.
3. Способ получения кристаллического гидрохлорида эпирубицина по п.1, при котором проводят кристаллизацию гидрохлорида эпирубицина при температуре 20°С и выше
из гидрофильного органического растворителя и раствора гидрохлорида эпирубицина в воде или смеси гидрофильного органического растворителя и воды и при этом выполняют следующие стадии:
а. растворяют гидрохлорид эпирубицина в воде или в смеси гидрофильного органического растворителя с водой для получения раствора,
b. доводят рН раствора до величины от 2 до 5.
с. упаривают раствор при температуре около 40°С до перехода раствора в гелеобразное состояние и
d. проводят кристаллизацию гидрохлорида эпирубицина путем добавления гидрофильного органического растворителя при температуре от 20 до 90°С.
4. Способ по п.3, отличающийся тем, что гидрофильный органический растворитель содержит 1-пропанол или этанол.
5. Способ по п.4, отличающийся тем, что гидрофильный органический растворитель содержит спирт с разветвленной углеродной цепью С1-С3.
6. Применение кристаллического гидрохлорида эпирубицина по п.1 для лечения рака у людей или животных.
РИСУНКИ
|