|
|
(21), (22) Заявка: 2007127188/04, 17.07.2007
(24) Дата начала отсчета срока действия патента:
17.07.2007
(46) Опубликовано: 20.12.2008
(56) Список документов, цитированных в отчете о поиске:
RU 2004102392 A, 10.07.2005. RU 2301233 C2, 20.06.2007. SU 518868 C, 25.11.1977.
Адрес для переписки:
141400, Московская обл., г. Химки, ул. Рабочая, 2а, корп.1, ЗАО “ИИХР”, патентный отдел, Н.М.Шмаковой
|
(72) Автор(ы):
ИВАЩЕНКО Александр Васильевич (US), Ткаченко Сергей Евгеньевич (RU), ОКУНЬ Илья Матусович (US), Савчук Николай Филиппович (RU), Иващенко Андрей Александрович (RU), Кравченко Дмитрий Владимирович (RU), ШМИДТ-КИТТЛЕР Олег (US), РАГО Карло (US), ПАПАДОПОУЛОС Николас (US), ВЕЛКУЕЛСКУ Виктор (US), ВОГЕЛСТАИН Берт (US), КИНЗЛЕР Кеннет В. (US), Трифиленков Андрей Сергеевич (RU), Рыжова Елена Александровна (RU), ДЖУКСИЯНГ Жу (US)
(73) Патентообладатель(и):
Общество с ограниченной ответственностью “Исследовательский Институт Химического Разнообразия” (RU)
|
(54) АННЕЛИРОВАННЫЕ АЗАГЕТЕРОЦИКЛЫ, ВКЛЮЧАЮЩИЕ ПИРИМИДИНОВЫЙ ФРАГМЕНТ, СПОСОБ ИХ ПОЛУЧЕНИЯ И ИНГИБИТОРЫ PI3K КИНАЗ
(57) Реферат:
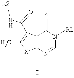
Данное изобретение относится к новым аннелированным азагетероциклам, включающим пиримидиновый фрагмент, общей формулы I в форме свободных оснований или фармацевтически приемлемых солей. Соединения настоящего изобретения обладают свойствами ингибиторов PI3 киназ и могут найти применение для приготовления лекарственных средств для лечения онкологических заболеваний. В общей формуле I

Х представляет атом кислорода или атом серы; Z представляет собой атом кислорода, R1 представляет собой атом водорода или необязательно замещенный C1-С6 алкил, или Z представляет собой атом азота, который вместе с атомом углерода, с которым он связан, образуют через Z и R1 необязательно замещенный аннелированный имидазолиновый цикл;
R2 представляет собой необязательно замещенный C1-С6алкил, необязательно замещенный С3-С8циклоалкил, необязательно замещенный фенил, возможно аннелированный с 5-6-членным гетероциклилом, содержащим гетероатомы, выбранные из кислорода и азота, необязательно замещенный 5-6-членный гетероциклил, содержащий гетероатомы, выбранные из азота, кислорода и/или серы, возможно аннелированный с фенильным кольцом. Изобретение также относится к способу получения соединений, фармацевтическим композициям и лекарственным средствам. 6 н. и 8 з.п. ф-лы, 1 табл.
Текст описания приведен в факсимильном виде.                                                                                                                                            
Формула изобретения
1. Аннелированные азагетероциклы, включающие пиримидиновый фрагмент общей формулы I в форме свободных оснований или фармацевтически приемлемых солей

где Х представляет атом кислорода или атом серы;
Z представляет собой атом кислорода, R1 представляет собой атом водорода или необязательно замещенный C1-С6 алкил, или
Z представляет собой атом азота, который вместе с атомом углерода, с которым он связан, образуют через Z и R1 необязательно замещенный аннелированный имидазолиновый цикл;
R2 представляет собой необязательно замещенный C1-С6алкил, необязательно замещенный С3-С8циклоалкил, необязательно замещенный фенил, возможно аннелированный с 5-6-членным гетероциклилом, содержащим гетероатомы, выбранные из кислорода и азота, необязательно замещенный 5-6-членный гетероциклил, содержащий гетероатомы, выбранные из азота, кислорода и/или серы, возможно аннелированный с фенильным кольцом.
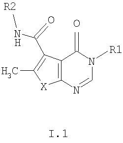
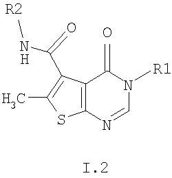
2. Соединения по п.1, представляющие собой замещенные амиды 4-оксо-3,4-дигидрофуро[2,3-b]пиримидин-5-карбоновых кислот общей формулы I.1, замещенные амиды 4-оксо-3,4-дигидротиено[2,3-b]пиримидин-5-карбоновых кислот общей формулы I.2 и замещенные амиды 2,3-дигидрофуро[3,2-е]имидазо[1,2-с]пиримидин-9-карбоновых кислот общей формулы I.3 или их фармацевтически приемлемые соли
  
где R1 и R2 имеют вышеуказанные значения; R3а и R3b независимо друг от друга представляют собой атом водорода или низший алкил.
3. Способ получения соединений общих формул I.1, I.2, I.3 по п.1 или 2 взаимодействием соответствующих кислот общих формул F1, F2, H3 с аминами общей формулы F11 в присутствии конденсирующих реагентов
   
где R1, R2, R3а и R3b имеют вышеуказанные значения.
4. Ингибиторы PI3 киназ, представляющие собой соединения общей формулы I по п.1.
5. Селективные ингибиторы по п.4 изоформы р110-альфа PI3 киназ, представляющие собой соединения общей формулы I по п.1.
6. Селективные ингибиторы по п.4 изоформы р110-бета PI3 киназ, представляющие собой соединения общей формулы I по п.1.
7. Селективные ингибиторы по п.4 изоформы р110-гамма PI3 киназ, представляющие собой соединения общей формулы I по п.1.
8. Селективные ингибиторы по п.4 изоформы р110-дельта PI3 киназ, представляющие собой соединения общей формулы I по п.1.
9. Селективные ингибиторы по п.5 изоформы р110-альфа PI3 киназ с мутацией в эксоне 20 (H1047R), представляющие собой соединения общей формулы I по п.1.
10. Соединения общей формулы I по п.1 в качестве биологически активного начала для получения лекарственных средств для лечения онкологических заболеваний.
11. Фармацевтическая композиция, предназначенная для лечения онкологических заболеваний, содержащая в качестве биологически активного начала, по крайней мере, одно соединение общей формулы I по п.1, или соединения по п.2, или их фармацевтически приемлемые соли в эффективном количестве.
12. Фармацевтическая композиция по п.11, содержащая в качестве активного начала, по крайней мере, одно соединение общих формул I.1, I.2, I.3 по п.2 или их фармацевтически приемлемые соли в эффективном количестве.
13. Способ получения фармацевтической композиции по п.11 или 12 смешением активного начала, представляющего собой, по крайней мере, одно соединение общей формулы I по п.1 или его фармацевтически приемлемую соль, с инертными наполнителями и/или растворителями.
14. Лекарственное средство в форме таблеток, капсул или инъекций, помещенных в фармацевтически приемлемую упаковку, включающее ингибитор PI3 киназ по любому из пп.4-9 или фармацевтическую композицию по любому из пп.11 и 12 в эффективном количестве.
|
|