Патент на изобретение №2341524
|
||||||||||||||||||||||||||||||||||||||||||||||||||||||||||||
(54) СПОСОБ ПОЛУЧЕНИЯ ОПТИЧЕСКИ АКТИВНОГО 5-МЕТОКСИ-2-((4-МЕТОКСИ-3,5-ДИМЕТИЛПИРИДИН-2-ИЛ)МЕТИЛСУЛЬФИНИЛ)-1Н-БЕНЗО[d]ИМИДАЗОЛА
(57) Реферат:
Изобретение относится к способу получения оптически активного 5-метокси-2-((4-метокси-3,5-диметилпиридин-2-ил)метилсульфинил)-1Н-бензо[d]имидазола, проявляющего противоязвенную активность, путем энантиоселективного окисления органическими пероксидами 5-метокси-2-((4-метокси-3,5-диметилпиридин-2-ил)метилтио)-1Н-бензо[d]имидазола в присутствии катализатора в органическом растворителе, при этом в качестве катализатора используют предварительно полученный in situ комплекс соли ванадия с хиральным основанием Шиффа, описываемым общими формулами III и IV,
причем заместители R1, R2, R3, R4 могут быть одинаковы или отличаться и могут быть атомом водорода, алкильной группой (в том числе, содержащей атомы галогена), алкоксигруппой (в том числе, содержащей атомы галогена), нитрогруппой, диалкиламиногруппой, галогеном; R5 – оптически активный заместитель; и реакцию проводят при пониженной температуре с возможным присутствием органического основания с дальнейшим выделением продукта обычными способами. 1 табл.
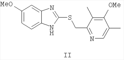
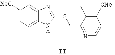
Изобретение относится к области химии лекарственных средств, а именно к получению оптически активного 5-метокси-2-((4-метокси-3,5-диметилпиридин-2-ил)метилсульфинил)-1Н-бензо[d]имидазола общей формулы I, проявляющего противоязвенную активность. Эзомепразол ((S)-I), современный высокоэффективный противоязвенный препарат, является (S)-энантиомером омепразола и значительно превосходит последний по клиническому эффекту [Лапина Т.Л. Клиническая фармакология и терапия, 2002, 11, №2]. Единственным доступным методом получения эзомепразола ((S)-I) до 1996 г. было разделение рацемической смеси [Erlandsson P., Isaksson R., Lorentzon P., Lindberg Р. J. Chromatogr. 1990, 532, 305; Kohl В., Senn-Bilfinger J. DE 4035455 (1990); Lindberg P., von Unge, S. WO 9427988 (1994); Deng J., Chi Y., Fu F, Cui X., Yu K., Zhu J., Jiang Y. Tetrahedron: Asymmetry, 2000, 11, 1729]. В 1996 г. был предложен способ энантиоселективного окисления 5-метокси-2-((4-метокси-3,5-диметилпиридин-2-ил)метилтио)-1H-бензо[d]имидазола (II) в эзомепразол ((S)-I) [Larsson E.M., Stenhede U.J., Sorensen Н., von Unge Р.О.S., Cotton H.К. WO 9602535 (1996)], включавший в себя приготовление каталитического комплекса изопропилата титана (IV), D-диэтилтартрата (D-DET) и воды в присутствии сульфида (II), выдерживание полученного каталитического комплекса при повышенной температуре (до добавления окислителя), проведение реакции в присутствии аминов, предпочтительно N,N-диизопропилэтиламина, в качестве окислителя использовался гидропероксид кумола (СНР), а растворителя – толуол, катализатор использовался в количестве 30 мольных % (схема 1). После обработки (экстракция водным раствором аммиака, подкисление водного слоя уксусной кислотой, экстракция метилизобутилкетоном), получения натриевой соли и перекристаллизации из ацетонитрила был получен эзомепразол ((S)-I) с выходом до 55%. Аналогично могут быть получены и другие родственные эзомепразолу оптически активные дигетарилсульфиды. Схема 1. Дальнейшие исследования в этой области в основном сосредоточились на изменениях в обработке реакционной смеси с целью повышения чистоты получаемого продукта и практически не затрагивали стадии энантиоселективного окисления [Hashimoto H., Maruyama H. WO 2001087874 (2001); Hashimoto H., Urai T. WO 2001083473 (2001)]. В патенте Kawada M., Yamano Т., Тауа N. [WO 2001014366 (2001)] к реакционной смеси были дополнительно добавлены молекулярные сита 3 Å. Замена хирального диола D-DET на монодентантный лиганд – метиловый эфир (S)-(+)-миндальной кислоты, также позволила получить эзомепразол ((S)-I), но со значительно меньшим выходом [Thennati R., Rehani R.B., Soni R.R., Chhabada V.C., Patel V.M. WO 2003089408 (2003)]. Аналог эзомепразола, (S)-пантопразол (схема 2), был синтезирован асимметрическим окислением соответствующего сульфида с помощью СНР в присутствии каталитического комплекса Zr(Oi-Pr)4 и L-DET, а также N,N-диизопропилэтиламина с выходом 80% [Kohl В., Mueller В., Weingart R.S. WO 2004052881 (2004]). Схема 2. Все указанные способы получения эзомепразола ((S)-I) и его аналогов обладают существенными недостатками, стимулирующими поиски новых путей синтеза. Во-первых, использование систем на основе изопропилатов титана и циркония предъявляет повышенные требования к контролю за влажностью среды как при хранении и смешивании реагентов (изопропилаты титана и циркония неустойчивы в присутствии даже следов влаги), так и в процессе реакции, что не только усложняет аппаратное оформление процесса, но и может приводить к плохой воспроизводимости результатов; во-вторых, для воспроизводимого достижения высокой энантиоселективности необходимо использовать значительные количества металлокомплексного катализатора (30 мольных % изопропилата титана, 60 мольных % дорогостоящего D-изомера диэтилтартрата), что не только приводит к необратимому расходу большого количества достаточно дорогих реагентов, но и создает существенные проблемы с обработкой реакционной смеси. Задачей настоящего изобретения является разработка простого и экономичного способа получения оптически активного 5-метокси-2-((4-метокси-3,5-диметилпиридин-2-ил)метилсульфинил)-1Н-бензо[d]имидазола I. Химическая схема решения поставленной задачи заключается в окислении 5-метокси-2-((4-метокси-3,5-диметилпиридин-2-ил)метилтио)-1H-бензо[d]имидазола формулы II: органическими пероксидами (предпочтительно гидропероксидом кумола) в присутствии предварительно полученного in situ комплекса соли ванадия (предпочтительно ацетилацетоната ванадила) с хиральным основанием Шиффа, описываемым общими формулами III или IV,
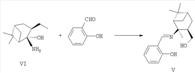
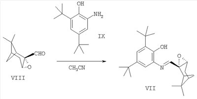
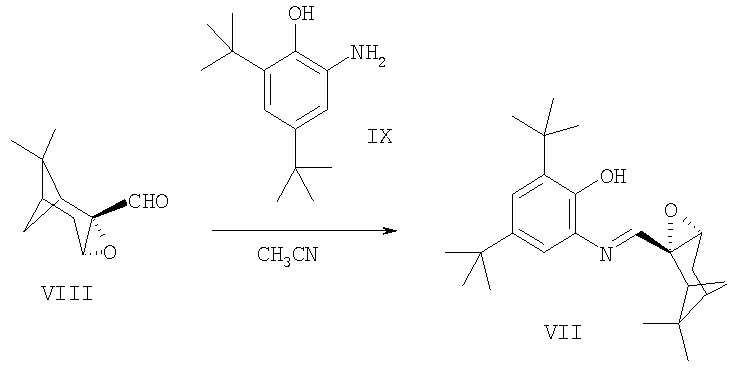
причем заместители R1, R2, R3, R4 могут быть одинаковы или отличаться и могут быть атомом водорода, алкильной группой (в том числе, содержащей атомы галогена), алкоксигруппой (в том числе, содержащей атомы галогена), нитрогруппой, диалкиламиногруппой, галогеном; R5 – оптически активный заместитель; при пониженной температуре (предпочтительно 0-10°С) в органическом растворителе (предпочтительно толуоле) с возможным присутствием органического основания (предпочтительно N,N-диизопропилэтиламина). Комплекс соли ванадия с хиральным основанием Шиффа может применяться в каталитических количествах (предпочтительно 1 мольный % по отношению к окисляемому сульфиду II). Образующийся в процессе реакции продукт может выделяться фильтрацией или экстракционной методикой. Хиральные основания Шиффа, описываемые общими формулами III или IV, могут быть синтезированы, например, взаимодействием салицилового альдегида или его производных с оптически активными аминами или взаимодействием 2-аминофенола или его производных с оптически активными альдегидами [Bolm С., Schlingloff G., Bienewald F. J. Mol. Cat. A: Chem. 1997, 117, 347; Хоменко Т.М., Саломатина О.В., Курбакова С.Ю., Ильина И.В., Волчо К.П., Комарова Н.И., Корчагина Д.В., Салахутдинов Н.Ф., Толстиков А.Г. ЖОрХ, 2006, 42, 1666]. Применение приведенной выше окислительной системы, включающей в себя органическую перекись в качестве окислителя, комплекс соли ванадия с хиральным основанием Шиффа и, при необходимости, органическое основание, для получения оптически активных дигетарилсульфоксидов не описано. Предлагаемый способ получения оптически активного соединения I с использованием в качестве катализатора окисления устойчивого в присутствии воды комплекса соли ванадия с хиральным основанием Шиффа позволяет проводить реакцию без создания специальных условий (определенной влажности, использования инертной атмосферы) на всех стадиях процесса, использовать комплекс соли ванадия с хиральным основанием Шиффа в каталитических количествах, а также упрощает обработку реакционной смеси. Изобретение иллюстрируется следующими примерами. Пример 1. Синтез лиганда 2-(((1S,2S,3R,5S)-3-гидроксиметил-2,6,6-триметилбицикло[3.1.1]гептан-2-илимино)метил)фенола V. Синтез ((1R,2R,3S,5R)-2-амино-2,2,6-триметилбицикло[3.1.1]гептан-3-ил)метанола VI проводили в соответствии с методикой, опубликованной в работе Szakonyi Z., Martinek Т., Hetenyi A. Tetrahedron [Asymmetry. 2000, 11, 4571]. В стеклянный реактор с магнитной мешалкой поместили раствор 0.050 г (0.27 ммоль) соединения VI в 4 мл абсолютного метанола и при перемешивании прибавили 0.033 г (0.27 ммоль) 2-гидроксибензальдегида в 5 мл метанола. Реакционную смесь перемешивали при комнатной температуре в течение 6 ч. Получили 0.078 г 2-(((1S,2S,3R,5S)-3-гидроксиметил-2,6,6-триметилбицикло[3,1.1]гептан-2-илимино)метил)фенола V (100%), Пример 2. Синтез лиганда 4,6-ди-трет-бутил-2-((7,7-диметил-3-оксатрицикло[4.1.1.02,4]окт-2-ил)метиленамино)-фенола VII. К раствору 0.023 г (0.1 ммоль) 2-амино-4,6-ди-трет-бутилфенола IX в 2 мл ацетонитрила при 25°С и перемешивании в атмосфере аргона прибавили раствор 0.022 г (0.13 ммоль) эпоксида миртеналя VIII, полученного в соответствии с методикой [Хоменко Т.М., Саломатина О.В., Курбакова С.Ю., Ильина И.В., Волчо К.П., Комарова Н.И., Корчагина Д.В., Салахутдинов Н.Ф., Толстиков А.Г. ЖОрХ, 2006, 42, 1666], в 0.8 мл ацетонитрила, перемешивание продолжали 0.5 ч. Растворитель отогнали. Получили 0.037 г (96%) 4,6-ди-трет-бутил-2-((7,7-диметил-3-оксатрицикло[4.1.1.02,4]окт-2-ил)метиленамино)-фенола VII, Пример 3. Синтез оптически активного соединения I. Общая методика. Катализатор синтезировали in situ непосредственно перед проведением каталитического синтеза смешением 1 мг (4×10-6 моль) ацетилацетоната ванадила и 6×10-6 моль лиганда (хирального основания Шиффа, описываемого общей формулой III или IV) в 3 мл сухого толуола (технический толуол, осушенный азеотропной перегонкой) в стеклянной колбе емкостью 25 мл при перемешивании на магнитной мешалке ( К полученному раствору добавили 130 мг (4×10-4 моль) сульфида II, перемешивали 10 мин, охладили суспензию баней с ледяной водой до температуры 0÷5°С, перемешивали 10 мин и прибавили 80 мкл (4×10-4 моль) технического 80%-ного гидропероксида кумола (СНР). После перемешивания в течение 4-6 ч при температуре 0÷5°С добавили 1 мл 10%-ного водного раствора Na2SO3, перемешивали 5 мин при комнатной температуре. Осадок отфильтровали на стеклянном пористом фильтре (размер пор 16-40 мкм), промыли 5 мл гексана, высушили на фильтре. Получили оптически активный 5-метокси-2-((4-метокси-3,5-диметилпиридин-2-ил)метилсульфинил)-1H-бензо[d]имидазол I. Конверсию исходного сульфида II определяли методом ВЭЖХ (хроматограф Миллихром А-02, колонка Pronto SIL-120-5-C18 AQ: размер – 2.0·75 мм, зерно – 5.0 В таблице приведены конкретные лиганды, используемые для образования каталитического комплекса, условия и результаты синтеза оптически активного сульфоксида I.
Формула изобретения
Способ получения оптически активного 5-метокси-2-((4-метокси-3,5-диметилпиридин-2-ил)метилсульфинил)-1Н-бензо[d]имидазола, проявляющего противоязвенную активность, формулы I путем энантиоселективного окисления органическими пероксидами (предпочтительно гидропероксидом кумола) 5-метокси-2-((4-метокси-3,5-диметилпиридин-2-ил)метилтио)-1Н-бензо[d]имидазола формулы II в присутствии катализатора в органическом растворителе (предпочтительно толуоле), отличающийся тем, что в качестве катализатора в каталитическом количестве (предпочтительно 1 мол.% по отношению к окисляемому сульфиду II) используют предварительно полученный in situ комплекс соли ванадия (предпочтительно ацетилацетоната ванадила) с хиральным основанием Шиффа, описываемым общими формулами III и IV
причем заместители R1, R2, R3, R4 могут быть одинаковы или отличаться и могут быть атомом водорода, алкильной группой (в том числе, содержащей атомы галогена), алкоксигруппой (в том числе, содержащей атомы галогена), нитрогруппой, диалкиламиногруппой, галогеном; R5 – оптически активный заместитель; и реакцию проводят при пониженной температуре (предпочтительно, 0-10°С) с возможным присутствием органического основания (предпочтительно N,N-диизопропилэтиламина) с дальнейшим выделением продукта обычными способами.
|
||||||||||||||||||||||||||||||||||||||||||||||||||||||||||||








=+2.8 (с 2.8, CHCl3). Спектр ЯМР 1Н,
, м.д. (J, Гц): 1.13 (с, 3Н, С(9)Ме), 1.19 (д, 1Н, Н(7ан), J7ан, 7 син=10), 1.27 (с, 3Н, С(10)Ме), 1.42 (с, 3Н, С(8)Ме), 1.44 (д.д.д, 1Н, Н(5ан), J5ан,5 син=13, J5ан,4 син=8, Jан,6=2), 1.92 (д.д. 1Н. Н(2), J2,6=5.5, J2,7 син=5.5), 1.95 (м, 1Н, Н(6)), 2.09 (д.д.д.д, 1Н, Н(5 син), J5 син,5ан=13, J5 син,4 син=12, J5 син,6=3.5, J5 син,7 син=2), 2.20 (д.д.д.д, 1Н, Н(7 син), J7 син,7ан=10, J7 син,2=5.5, J7 син,6 =5.5, J7 син,5 син=2), 2.28-2.42 (м, 1Н. Н(4 син)), 3.51 (д.д, 1Н, Н(11), J11,11′=10, J11,4=6.5), 3.67 (д.д, 1Н, Н(11′), J11′,11=10, J11′,4=8), 6.72 (д.д.д, 1Н, Н(17), J17,18=8, J17,16=7, J17,15=1.2), 6.82 (д.д, 1Н, H(15), J15,16=8.3, J15,17=1.2), 7.14 (д.д, 1Н, H(18), j18,17=8, J18,16=1.5), 7.21 (д.д.д, 1Н, H(16), J16,15=8.3, J16,17=7, J16,18=1.5), 8.20 (с, 1Н. Н(12)), 14.35 (ш.с, 1Н, С(14)-ОН). Спектр ЯМР 13С, 
=2.6 (с 2.1, СН3CN). Спектр ЯМР 1H (ацетон-d6),
500 об/мин-1). Смесь перемешивали 10 мин при 20°С до полного растворения кристаллов ацетилацетоната ванадила, свидетельствующего об образовании каталитического комплекса VO·Лиганд. Добавили, если это предусмотрено условиями опыта, 0.5 мг (4×10-6 моль) диизопропилэтиламина (ДИЭА), перемешивали 10 мин.
м; подвижная фаза – 0.1% трифторуксусная кислота в метаноле; скорость подачи – 150.00 мкл/мин; температура 35°С; давление 3.3 МПа). Оптическую чистоту продукта определяли методом ВЭЖХ (хроматограф Миллихром 01, колонка Kromasil CHI-DMB: размер – 2.0·75 мм, зерно – 5.0 

