Патент на изобретение №2341515
|
||||||||||||||||||||||||||
(54) АЦЕТИЛЕНОВЫЕ ПРОИЗВОДНЫЕ, СПОСОБ ИХ ПОЛУЧЕНИЯ, ФАРМАЦЕВТИЧЕСКАЯ КОМПОЗИЦИЯ НА ИХ ОСНОВЕ И ИХ ПРИМЕНЕНИЕ В КАЧЕСТВЕ АНТАГОНИСТОВ МЕТАБОТРОПНЫХ ГЛУТАМАТНЫХ РЕЦЕПТОРОВ (MGLUR5)
(57) Реферат:
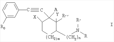
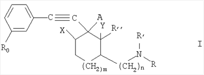
Изобретение относится к соединениям формулы I в форме свободного основания или кислотно-аддитивной соли, способу их получения, фармацевтической композиции на их основе и их применению в качестве антагонистов метаботропных глутаматных рецепторов (mGluR5). Соединения могут найти применение для лечения заболеваний, которые связаны с нарушением передачи глутаматергического сигнала, а также заболеваний нервной системы, частично или полностью опосредуемых mGluR5. В общей формуле I n обозначает 0 или 1, А обозначает гидрокси, X обозначает водород, Y обозначает водород или А образует простую связь с X или Y; причем кольцевая метиленовая группа, непосредственная связанная с -СН(Х)-, может быть диметилирована; R0 обозначает водород, С1-С4алкил, С1-С4алкокси, галоген, циано, и R обозначает -COR3, -COOR3 или -SO2R6, где R3 обозначает С1-С4алкил, С3-С7циклоалкил и R6 обозначает С1-С4алкил, С3-С7циклоалкил, или R обозначает -С(O)R3, где R3 обозначает фуранил, трифторметил, пиридинил, морфолинил или метилпиперазинил; или -С(O)OR3, где R3 обозначает тетрагидрофуранил, R’ обозначает водород, С1-С4алкил или 4-метоксибензил, и R” обозначает водород или С1-С4алкил, или R’ и R” вместе образуют группу -СН2-(СН2)Р-, где р обозначает 0, 1 или 2, при этом один из символов n и р не обозначает 0 при условии, что R0 не обозначает водород, трифторметил и метокси, когда m обозначает 1, n обозначает 0, А обозначает гидрокси, X и Y оба обозначают водород, R обозначает COOEt и R’ и R” вместе образуют группу -(СН2)2-. 4 н. и 4 з.п.ф-лы.
(56) (продолжение): CLASS=”b560m”antagonists MPEP and SIB-1893 decrease NMDA or glutamate-mediated neuronal toxicity through actions that reflect NMDA receptor antag onism» Br. J. Pharmacol. 2000. V. 131(7). P. 1429-1437. BRUNO V. et al. «Selective blockade of metabotropic glutamate receptor subtype 5 is neuroprotective» Neuropharmacology. 2000. V. 39(12). P. 2223-2230. US 4129658 A, 12.12.1978. GASPARINI F. et al. «2-Methyl-6-(phenylethynyl)-pyridine (MPEP), a potent, selective and systemically active mGlu5 receptor antagonist Neuropharmacology. 1999. V. 38(10). P. 1493-1503.
Настоящее изобретение относится к новым ацетиленовым производным, их получению, их применению в качестве фармацевтических агентов и к содержащим их фармацевтическим композициям. Более конкретно изобретение относится к соединению формулы I где m обозначает 0 или 1, n обозначает 0 или 1 и А обозначает гидрокси, X обозначает водород и Y обозначает водород, или А образует простую связь с X или Y; R0 обозначает водород, С1-С4алкил, С1-С4алкокси, трифторметил, галоген, циано, нитро, -COOR1, где R1 обозначает С1-С4алкил, или -COR2, где R2 обозначает водород или С1-С4алкил, и R обозначает -COR3, -COOR3, -CONR4R5 или -SO2R6, где R3 обозначает С1-С4алкил, С3-С7циклоалкил или необязательно замещенный фенил, 2-пиридил или 2-тиенил, R4 и R5 независимо друг от друга обозначают водород или С1-С4алкил, и R6 обозначает С1-С4алкил, С3-С7циклоалкил или необязательно замещенный фенил, R’ обозначает водород или С1-С4алкил и R” обозначает водород или С1-С4алкил, или R’ и R” вместе образуют группу -СН2-(СН2)р– где р обозначает 0,1 или 2, при этом один из символов n и р не обозначает 0, при условии, что R0 не обозначает водород, трифторметил и метокси, когда m обозначает 1, n обозначает 0, А обозначает гидрокси, X и Y оба обозначают водород, R обозначает COOEt и R’ и R” вместе образуют группу -(СН2)2-, в форме свободного основания или кислотно-аддитивной соли. С учетом того, что в соединениях формулы I и их солях присутствуют асимметричные атомы углерода, соединения могут находиться в оптически активной форме или в форме смесей оптических изомеров, например, в форме рацемических смесей. Все оптические изомеры и их смеси, включая рацемические смеси, подпадают под объем настоящего изобретения. Еще одним объектом изобретения является способ получения соединений формулы I и их солей, отличающийся тем, что включает стадию а) для получения соединения формулы I, в котором А обозначает гидрокси, взаимодействие соединения формулы II
где m, n, R, R’ и R” имеют указанные выше значения, с соединением формулы III где R0 имеет указанные выше значения, или б) для получения соединения формулы I, в котором А образует простую связь с X или Y, дегидратацию соединения формулы I, в котором А обозначает гидрокси, и выделение образовавшегося соединения формулы I в форме свободного основания или кислотно-аддитивной соли. Взаимодействие, указанное в процессе а), можно осуществлять согласно общепринятым методам, например, описанным в примерах I (стадия д), 2 (стадия г), 5 (стадия б) и 8. Дегидратация, указанная в процессе б), позволяет получать смесь соединения формулы I, в котором А образует простую связь с X, и соединения формулы I, в котором А образует простую связь с Y, которую затем разделяют с помощью общепринятых методов, например, описанных в примерах 6, 9 и 10. Полученное таким образом соединение формулы I можно превращать в другое соединение формулы I с помощью общепринятых методов, например, описанных в примерах I (стадии е и ж), 4 и 7. Обработку реакционных смесей при осуществлении вышеописанных процессов и очистку полученных соединений можно осуществлять с помощью известных методов. Кислотно-аддитивные соли можно получать из свободных оснований общепринятым методом, и наоборот. Соединения формулы I в оптически чистой форме можно получать из соответствующих рацематов с помощью хорошо известных методов. В альтернативном варианте можно применять оптически чистые исходные продукты. Исходные продукты формул II и III являются известными или их можно получать из известных соединений с помощью общепринятых методов. Соединение формулы I, полученные с помощью описанного выше процесса, можно превращать в другие соединения формулы I с использованием общепринятых методов. Образовавшиеся кислотно-аддитивные соли можно превращать в другие кислотно-аддитивные соли или в свободные основания с помощью хорошо известных методов. Соединения формулы I, включая их кислотно-аддитивные соли, можно получать также в форме гидратов, или они могут содержать растворитель, применяемый для кристаллизации. Соединения формулы I и их фармацевтически приемлемые кислотно-аддитивные соли, далее обозначенные как агенты, предлагаемые в изобретении, обладают ценными фармакологическими свойствами и их можно применять в качестве фармацевтических агентов. В частности, агенты, предлагаемые в изобретении, обладают выраженным и избирательным модулирующим, прежде всего антагонистическим действием, в отношении человеческих метаботропных глутаматных рецепторов (mGluR). Это можно определять в опытах in vitro, например, на рекомбинантных человеческих метаботропных глутаматных рецепторах, прежде всего на их подтипах, связанных с фосфолипазой С (PLC), таких как mGluR5, с использованием различных методов, например, путем измерения ингибирования индуцированного агонистом увеличения внутриклеточной концентрации Са2+ согласно методу, описанному у L.P. Daggett и др., Neuropharm. т.34, 1995, с.871-886; P.J. Flor и др., J. Neurochem., т.67, 1996, с.58-63; или путем определения степени, в которой ингибируется индуцированное агонистом увеличение метаболизма инозитолфосфата, согласно методу, описанному у Knoepfel и др., Eur. J. Pharmacol, т.288, 1994, с.389-392; L.P. Daggett и др., Neuropharm., т.67, 1996, с.58-63 и в процитированных в этих публикациях ссылках. Выделение и экспрессия подтипов человеческого mGluR описаны в US 5521297. Значения IC50 выбранных соединений, предлагаемых в изобретении, в отношении ингибирования индуцированного квискуалатом метаболизма инозитолфосфата, которые оценивали с использованием рекомбинантных клеток, экспрессирующих hmGluR5a, составляли от приблизительно 1нМ до приблизительно 50 мкМ. Таким образом, агенты, предлагаемые в изобретении, можно применять для лечения заболеваний, связанных с нарушением передачи глутаматергического сигнала, и заболеваний нервной системы, частично или полностью опосредуемых mGluR5. Заболевания, связанные с нарушением передачи глутаматергического сигнала, представляют собой, например, эпилепсию, церебральные ишемии, прежде всего острые ишемии, ишемические болезни глаз, мышечные спазмы, такие как локальная или общая мышечная спастичность, в частности, конвульсии или боль. Заболевания нервной системы, частично или полностью опосредуемые mGluR5, представляют собой, например, острые, травматические и хронические дегенеративные процессы в нервной системе, такие как болезнь Паркинсона, связанная с возрастом деменция, болезнь Альцгеймера, хорея Гентингтона, боковой амиотрофический склероз и рассеянный склероз, психиатрические болезни, такие как шизофрения и состояние тревоги, депрессия, боль, чесотка и злоупотребление лекарственными и наркотическими средствами, например, злоупотребление алкоголем и никотином, и нарушения, связанные с применением кокаина. Возможность применения агентов, предлагаемых в изобретении, для лечения вышеуказанных заболеваний можно подтверждать с помощью разнообразных стандартных тестов, включая указанные ниже тесты: Воздействие агентов, предлагаемых в изобретении, на состояние тревоги можно продемонстрировать с помощью стандартных моделей, таких как индуцированная стрессом гипертермия у мышей [ср. A. Lecci и др., Psychopharmacol. 101, с.255-261]. Дозы агента, предлагаемого в изобретении, составляющие от примерно 0,1 до примерно 30 мг/кг, р.о., прекращают проявление индуцированной стрессом гипертермии. При использовании в дозах от примерно 4 до примерно 50 мг/кг, р.о. агенты, предлагаемые в изобретении, приводят к прекращению симптомов индуцированной полным адъювантом Фрейнда (FCA) гипералгезии [ср. J. Donnerer и др., Neuroscience 49, 1992, с.693-698 и C.J. Woolf, Neuroscience 62, 1994, с.327-331]. При всех перечисленных выше показаниях соответствующие дозы, естественно, варьируются в зависимости, например, от применяемого соединения, хозяина, пути введения и природы и серьезности подлежащего лечению состояния. Однако, как правило, удовлетворительные результаты на животных можно получать при использовании суточной дозы от примерно 0,5 до примерно 100 мг/кг веса тела животного. Для более крупных млекопитающих, например, людей, рекомендованные суточные дозы составляют примерно от 5 до 1500 мг, предпочтительно от примерно 10 до примерно 1000 мг соединения, которое удобно вводить в виде разделенных доз до 4 раз в день или в виде формы с непрерывным высвобождением. Согласно вышеизложенному настоящее изобретение относится также к агенту, предлагаемому в изобретении, который предназначен для применения в качестве фармацевтического агента, например, для лечения заболеваний, связанных с нарушением передачи глутаматергического сигнала, и заболеваний нервной системы, частично или полностью опосредуемых mGluR5. Изобретение относится также к применению агента, предлагаемого в изобретении, для лечения заболеваний, связанных с нарушением передачи глутаматергического сигнала, и заболеваний нервной системы, частично или полностью опосредуемых mGluR5. Изобретение относится также к применению агента, предлагаемого в изобретении, для приготовления фармацевтической композиции, которая предназначена для лечения заболеваний, связанных с нарушением передачи глутаматергического сигнала, и заболеваний нервной системы, частично или полностью опосредуемых mGluR5. И еще одним объектом изобретения является способ лечения заболеваний, частично или полностью опосредуемых mGluR5, отличающийся тем, что теплокровному организму, который нуждается в таком лечении, вводят терапевтически эффективное количество агента, предлагаемого в изобретении. Изобретение относится также к фармацевтической композиции, которая содержит агент, предлагаемый в изобретении, в сочетании по меньшей мере с одним фармацевтическим носителем или разбавителем. Фармацевтические композиции, предлагаемые в изобретении, представляют собой композиции для энтерального, например, назального, ректального или перорального, введения, или для парентерального, например, внутримышечного или внутривенного, введения теплокровным животным (включая человека и животных), которые содержат эффективную дозу фармакологического действующего вещества индивидуально или в сочетании с требуемым количеством фармацевтически приемлемого носителя. Доза действующего вещества зависит от видов теплокровных животных, веса тела, возраста и индивидуального состояния, индивидуальных фармакокинетических параметров подлежащего лечению заболевания и пути введения. Фармацевтические композиции содержат от примерно 1 до примерно 95%, предпочтительно от примерно 20 до примерно 90%, действующего вещества. Фармацевтические композиции, предлагаемые в изобретении, могут, например, представлять собой стандартную дозу, например, иметь форму ампул, пузырьков, суппозиториев, драже, таблеток или капсул. В другом варианте агенты, предлагаемые в изобретении, можно применять, например, местно в форме крема, геля или т.п., или путем ингаляции, например, в форме сухого порошка. Примеры композиций, содержащих агент, предлагаемый в изобретении, включают, например, твердую дисперсию, водный раствор, например, раствор, содержащий солюбилизатор, микроэмульсию и суспензию агента, предлагаемого в изобретении. Значение рН композиции можно забуферивать с помощью приемлемого буфера до значения рН, составляющего, например, 3,5-9,5. Фармацевтические композиции, предлагаемые в настоящем изобретении, получают хорошо известными методами, например, с помощью общепринятых процессов растворения, лиофилизации, смешения, грануляции или конфекционирования. Агенты, предлагаемые в изобретении, можно вводить либо индивидуально, либо в сочетании с другими фармацевтическими агентами, которые обладают эффективностью при лечении указанных выше состояний. При симптомах боли агенты, предлагаемые в изобретении, можно применять в сочетании с анальгетиками (опиаты) или нестероидными противовоспалительными средствами (НСПВС), такими как рофекоксиб (Vioxx®), целекоксиб (Celebrex®) или люмиракоксиб (Prexige®). При нарушениях, связанных с употреблением никотина, агенты, предлагаемые в изобретении, можно применять в сочетании с бупропионом (Zyban®). Предпочтительные агенты, предлагаемые в изобретении, включают метиловый эфир (-)-(3aR,4S,7aR)-4-гидрокси-4-мета-толилэтинилоктагидроиндол-1-карбоновой кислоты в форме свободного основания или фармацевтически приемлемый кислотно-аддитивной соли. Это соединение ингибирует индуцированный квискуалатом метаболизм инозитолфосфата в экспрессирующих hmGluR5 клетках, при этом значение IC50 составляет 30 нМ. При использовании этого же соединения индуцированная стрессом гипертермия, составляющая 0,92±0,09°С, снижалась до 0,56±0,06°С при использовании дозы 0,1 мг/кг р.о., до 0,42±0,06°С при использовании дозы 1 мг/кг р.о. и до 0,18±0,05°С при использовании дозы 10 мг/кг р.о. (во всех случаях р<0,001). Ниже изобретение проиллюстрировано на примерах, не ограничивающих его объем. Пример 1: Метиловый эфир (-)-(3aR,4S,7aR)-4-гидрокси-4-мета-толилэтинилоктагидроиндол-1-карбоновой кислоты а) 1,5,6,7-Тетрагидроиндол-4-он (38,4 г, 28,1 ммоля), ди-трет-бутилдикарбонат (66 г; 302 ммоля) и трет-бутилат калия (6 г; 62,5 ммоля) в 1 л тетрагидрофурана выдерживают при температуре дефлегмации в течение 2 ч. После охлаждения до комнатной температуры реакционную смесь сливают на соляной раствор (1 л) и экстрагируют метил-трет-бутиловым эфиром (4×500 мл). Объединенные органические фазы сушат над Na2SO4, фильтруют и упаривают в вакууме. Выделяют 51 г желтоватого масла и очищают колоночной хроматографией на силикагеле (600 г; элюент гексан/этилацетат, 8:2 об./об.). Выделяют 30,5 г (92%)трет-бутилового эфира 1,5,6,7-тетрагидроиндол-4-он-1-карбоновой кислоты в виде кристаллов белого цвета (tпл 84-86°С). б) Трет-бутиловый эфир 1,5,6,7-тетрагидроиндол-4-он-1-карбоновой кислоты (60 г; 255 ммолей) и 15 г 5% Pt на древесном угле (который вносят в виде трех порций по 5 г каждая через 24, 48, 72 ч) в 1 л метанола гидрогенизируют (1 бар) при комнатной температуре при перемешивании в течение 92 ч. Смесь фильтруют и растворитель выпаривают в вакууме. Оставшееся масло коричневатого цвета очищают хроматографией на силикагеле, получая трет-бутиловый эфир (3aRS,4SR,7аRS)-4-гидроксиоктагидроиндол-1-карбоновой кислоты в виде желтоватого масла (41,3 г; выход=67%). в) К раствору оксалилхлорида (1,54 мл; 17,6 ммоля) в ТГФ (320 мл), охлажденному до-60°С, добавляют по каплям при перемешивании раствор ДМСО (2,28 мл; 32 ммоля) в ТГФ (32 мл). Через 5 мин добавляют раствор трет-бутилового эфира (3аRS,4SR,7аRS)-4-гидроксиоктагидроиндол-1-карбоновой кислоты (3,96 г; 16,4 ммоля) в ТГФ (64 мл) и реакционную смесь перемешивают в течение 100 мин при -60°С. Добавляют триэтиламин (11,2 мл; 80 ммолей) и убирают охлаждающую баню и реакционную смесь перемешивают еще в течение 60 мин. Реакционную смесь разбавляют этилацетатом (1 л) и промывают насыщенным раствором NaHCO3 (150 мл). Водную фазу экстрагируют этилацетатом (300 мл). Объединенные органические фазы сушат над Na2SO4, фильтруют и упаривают в вакууме. Остаток очищают колоночной хроматографией на силикагеле (150 г) и фракции, содержащие требуемое соединение, собирают и упаривают в вакууме, получая трет-бутиловый эфир (3аRS,7аRS)-4-оксооктагидроиндол-1-карбоновой кислоты (2,51 г; выход=65%). г1) Растворяют 4 г трет-бутилового эфира (3aRS,7aRS)-4-оксооктагидроиндол-1-карбоновой кислоты в 200 мл смеси гексан-этанол, 80:20 (об./об.). Этот раствор инъецируют с помощью насоса в колонку размером 5×50 см типа Chiralpak AD (фирма Daicel Chemical Industries). Хроматографию осуществляют при комнатной температуре со скоростью 100 мл/мин и проводят УФ-обнаружение при длине волны 210 нм. Подвижная фаза представляет собой смесь гексана-этанола 80:20 (об./об.). В применяемых условиях хроматографирования (+)-энантиомер выделяют из первой фракции, собранной через 11-18 мин, а (-)-энантиомер из второй фракции, собранной через 20-40 мин. После осуществления 6 инъекций, содержащих всего 27 г рацемата, объединяют фракции, содержащие соответствующие энантиомеры, получая 12,55 г (+)-энантиомера и 12,23 г (-)-энантиомера, энантиомерная чистота которых составляет 99% и 99,9% соответственно. Энантиомерную чистоту определяют на аналитической колонке типа Chiralpak AD (0,4×25 см); подвижная фаза: гексан-этанол, 90:10 (об./об.). В результате получают трет-бутиловый эфир (-)-(3аR,7аR)-4-оксооктагидроиндол-1-карбоновой кислоты ([ г2а) В альтернативном варианте трет-бутиловый эфир (-)-(3aR,7aR)-4-оксооктагидроиндол-1-карбоновой кислоты можно получать следующим методом: К 11,76 г (47,16 ммоля) трет-бутилового эфира (3aRS,4SR,7aRS)-4-гидроксиоктагидроиндол-1-карбоновой кислоты в 50 мл МТБЭ (метил-трет-бутиловый эфир) и 30 г (34,8 ммоля) винилацетата добавляют 0,5 г иммобилизованной липазы дрожжей Candida antarctica (Novozyme 435) и смесь перемешивают при комнатной температуре в течение 24 ч. После фильтрации смеси растворитель удаляют и образовавшийся маслянистый остаток очищают экспресс-хроматографией. Выделяют ацетат трет-бутилового эфира (3aS,4R,7aS)-4-ацетоксиоктагидроиндол-1-карбоновой кислоты, выход 47%, оптическая плотность >99% (ГХ, [ г2б) Спирт трет-бутилового эфира (3aR,4S,7aR)-4-гидроксиоктагидроиндол-1-карбоновой кислоты окисляют до кетона согласно методу, описанному в примере 1в), получая трет-бутиловый эфир (-)-(3aR,7aR)-4-оксооктагидроиндол-1-карбоновой кислоты. д) К раствору 1-этинил-3-метилбензола (3,248 г; 28 ммолей) в ТГФ (168 мл), охлажденному до -20°С, добавляют раствор бутиллития (17,5 мл; 28 ммолей; 1,6М в гексане). Реакционную смесь перемешивают при -20°С в течение 2 ч, затем добавляют раствор трет-бутилового эфира (-)-4-оксооктагидроиндол-1-карбоновой кислоты (3,346 г; 14 ммолей) в ТГФ (70 мл) и реакционную смесь дополнительно перемешивают при температуре 0-5°С. Через 2 ч реакционную смесь разбавляют этилацетатом (900 мл) и промывают насыщенным раствором NaHCO3 (2×90 мл). Водную фазу экстрагируют этилацетатом (400 мл). Объединенные органические фазы сушат над Na2SO4, фильтруют и упаривают в вакууме. Остаток очищают колоночной хроматографией на силикагеле (300 г) и фракции, содержащие требуемое соединение, собирают и упаривают в вакууме, получая трет-бутиловый (-)-(3aR,4S,7aR)-4-гидрокси-4-мета-толилэтинилоктагидроиндол-1-карбоновой кислоты (4,27 г; выход=85%). 1Н-ЯМР (400 МГц; ДМСО-D6): е) Трет-бутиловый (-)-(3aR,4S,7aR)-4-гидрокси-4-мета-толилэтинилоктагидроиндол-1-карбоновой кислоты (4,27 г; 12 ммолей) растворяют в растворе 1М HCl в этилацетате (240 мл) и перемешивают при комнатной температуре в течение 6 ч. После завершения гидролиза (по данным ТСХ) растворитель выпаривают в вакууме, получая гидрохлорид (-)- (3aR,4S,7aR)-4-гидрокси-4-мета-толилэтинилоктагидроиндола (3,39 г; выход=93%). tпл=181-183°С. ж) Гидрохлорид (-)-(3aR,4S,7aR)-4-гидрокси-4-мета-толилэтинилоктагидроиндола (3,38 г; 11,6 ммоля) суспендируют в CH2Cl2 (174 мл), добавляют триэтиламин (3,6 мл; 25,52 ммоля) и смесь охлаждают до 5°С. По каплям добавляют метилхлорформиат (1,2 мл; 15,08 ммоля). После завершения добавления охлаждающую баню удаляют и раствор перемешивают в течение 2 ч. Реакционную смесь разбавляют CH2Cl2 (250 мл) и промывают соляным раствором (1×50 мл). Водную фазу экстрагируют CH2Cl2 (50 мл), объединенные органические фазы сушат над Na2SO4, фильтруют и растворитель выпаривают в вакууме. Остаток очищают с помощью колоночной хроматографии на силикагеле (240 г), элюент толуол/ацетон 9:1 (об./об.) Фракции, содержащие требуемое соединение, собирают и упаривают в вакууме, получая 3,39 г метилового эфира (-)-(3aR,4S,7aR)-4-гидрокси-4-мета-толилэтинилоктагидроиндол-1-карбоновой кислоты (выход=90%). tпл=110-112°С [ С помощью такого же метода получают следующие соединения: Пример 1а: Этиловый эфир (-)-(3aR,4S,7aR)-4-гидрокси-4-мета-толилэтинилоктагидроиндол-1-карбоновой кислоты tпл=118-121°С. Пример 1б: (-)-(3aR,4S,7аR)-фуран-2-ил(4-гидрокси-4-мета-толилэтинилоктагидроиндол-1-ил)метанон tпл=195,5-196,5°С. Пример 1в: Этиловый эфир (+)-(3aRS,4SR,7aRS)-4-(3-хлорфенилэтинил)-4-гидроксиоктагидроиндол-1-карбоновой кислоты 1Н-ЯМР (400 МГц; CDCl3): 1,27(t, 3Н), 1,60-1,80(m, 4Н), 1,88-2,11(m, 5Н), 2,27(m, 1Н), 3,38(m, 1H), 3,54(m, 1H), 4,10(m, 2H), 7,22-7,31(m, 3H), 7,40(m, 1H). Пример 1г: Этиловый эфир (±)-(3aRS,4SR,7aRS)-4-(3-фторфенилэтинил)-4-гидроксиоктагидроиндол-1-карбоновой кислоты ЖХВР-МС: 354 (M+Na). Пример 1д: (S)-(Тетрагидрофуран-3-иловый) эфир (3aRS,4SR,7aRS)-4-гидрокси-4-фенилэтинилоктагидроиндол-1-карбоновой кислоты ES-MC (+): 356 (М+1). Пример 1е: (R)-(Тетрагидрофуран-3-иловый)эфир (3aRS,4SR,7aRS)-4-гидрокси-4-фенилэтинилоктагидроиндол-1-карбоновой кислоты ES-MC (+): 356 (М+1). Пример 1ж: (S)-(Тетрагидрофуран-3-иловый)эфир (3aRS,4SR,7aRS)-4-гидрокси-4-(3-хлорфенилэтинил)октагидроиндол-1-карбоновой кислоты 1Н-ЯМР (400 МГц; CHCl3): 7,39 (s, 1Н), 7,25 (m, 3Н), 5,27 (m, 1Н), 4,10-3,85 (m, 5Н), 3,55 (m, 1H), 3,4 (m, 1Н), 2,7 (m, 1H), 2,3 (s, 1H), 2,2-1,9 (m, 6Н), 1,8-1,6 (m, 3Н), 1,07 (m, 1H). Пример 1з: Этиловый эфир (±)-(3aRS,4SR,7aRS)-4-гидрокси-4-мета-толилэтинилоктагидроиндол-1-карбоновой кислоты ES-MC (+): 328,2 [М+1], tпл=123-124°С. Пример 1и: Этиловый эфир (±)-(3aRS,4SR,7aRS)-4-(4-фторфенилэтинил)-4-гидроксиоктагидроиндол-1-карбоновой кислоты ES-MC (+): 332,2, tпл=115-116°С. Пример 1к: (±)-(3aRS,4SR,7aRS)-4-(3-хлорфенилэтинил)-4-гидрокси-1-метансульфонилоктагидроиндол ЯМР (CDCl3): 7,41 (s, 1H), 7,30 (m, 3Н), 3,93 (m, 1Н), 3,57 (m, 1Н), 3,35 (m, 1H), 2,85 (s, 3Н), 2,69 (m, 1Н), 2,35 (bs, 1Н), 2,14 (m, 1Н), 2,0 (m, 1H), 1,90 (m, 1Н), 1,82-1,65 (m, 4Н), 1,35 (m, 1H). ЖХВР: 1 пик, 99%. Пример 2: Этиловый эфир (±)-(3aRS,7аRS)-4-фенилэтинил-2,3,3а,6,7,7а-гексагидроиндол-1-карбоновой кислоты и этиловый эфир (±)-(RS)-4-фенилэтинил-2,3,5,6,7,7а-гексагидроиндол-1-карбоновой кислоты Раствор, содержащий этиловый эфир 4-гидрокси-4-фенилэтинилоктагидроиндол-1-карбоновой кислоты (1,0 г, 3,19 ммоля), триэтиламин (2,2 мл, 16 ммолей) и оксихлорида фосфора (0,877 мл, 10 ммолей), нагревают до 40°С в течение 4 ч. Темную смесь охлаждают до 0°С и обрабатывают 1М гидроксидом натрия (5 мл) и затем подкисляют 10%-ным водным раствором лимонной кислоты. Смесь экстрагируют дихлорметаном, органические экстракты промывают соляным раствором, сушат над безводным сульфатом магния и упаривают в вакууме. Остаток хроматографируют на силикагеле с использованием в качестве элюента гексана и диэтилового эфира (4:1, об./об.). Из фракции, содержащей первый продукт, получают этиловый эфир (±)-(RS)-4-фенилэтинил-2,3,5,6,7,7а-гексагидроиндол-1-карбоновой кислоты (10 мг, 1%) в виде желтоватого масла. 1Н-ЯМР (400 МГц; CDCl3): 7,44 (m, 2Н), 7,32 (m, 3Н), 4,24 – 3,97 (m, 3Н), 3,8 (m, 1Н), 3,25 (m, 1H), 2,93 (m, 1Н), 2,56 (m, 1Н), 2,28 (m, 2Н), 1,90 (m, 1Н), 1,60 (m, 2Н), 1.28 (t,J=7 Гц, 3Н), 1,14 (m, 1Н). ES-MC (+): 296,1. После сбора смеси двух продуктов (475 мг, 50%) из фракции, содержащей третий продукт, получают этиловый эфир (±)-(3RS,7aRS)-4-фенилэтинил-2,3,3а,6,7,7а-гексагидроиндол-1-карбоновой кислоты (64 мг, 7%) в виде желтоватого масла. 1Н-ЯМР (400 МГц; CDCl3): 7,43 (m, 2Н), 7,31 (m, 3Н), 6,27 (т, 1Н), 4,15 (m, 2Н), 4,01 – 3,83 (m, 1H), 3,46 (m, 2Н), 2,82 (m, 1Н), 2,37 -1,82 (m, 5Н), 1,57 (m, 1Н), 1,27 (t,J=7 Гц, 3Н). ES-MC (+): 296,2. Следуя описанному выше методу синтеза, можно получать следующие соединения, приведенные ниже в примерах: Пример 2а: (±)-(3RS,7aRS)-2,2,2-трифтор-1-(4-фенилэтинил-2,3,3a,6,7,7a-гексагидроиндол-1-ил)этанон ES-MC (+): 320,3 (М+1), Rf=0,62 (ТСХ, силикагель, гексан/этилацетат, 2:1). Пример 2б: Этиловый эфир (±)-(RS)-4-мета-толилэтинил-2,3,5,6,7,7а-гексагидроиндол-1-карбоновой кислоты ES-MC (+): 310,2 (М+1), Rf=0,55 (ТСХ, силикагель, гексан/этилацетат, 2:1). Пример 2в: Этиловый эфир (±)-(3RS,7аRS)-4-мета-толилэтинил-2,3,3а,6.7,7а-гексагидроиндол-1-карбоновой кислоты ES-MC (+): 310,2 (М+1), Rf=0,59 (ТСХ, силикагель, гексан/этилацетат, 2:1). Пример 2г: Этиловый эфир (±)-(3RS,7аRS)-4-(4-хлорфенилэтинил)-2,3,3а,6,7,7а-гексагидроиндол-1-карбоновой кислоты ES-MC (+): 330,2 (М+1), Rf=0,56 (ТСХ, силикагель, гексан/этилацетат, 2:1). Пример 2д: Этиловый эфир (±)-(3RS,7aRS)-4-(2-фторфенилэтинил)-2,3,3а,6,7,7а-гексагидроиндол-1-карбоновой кислоты ES-MC (+): 314,2 (М+1), Rf=0,42 (ТСХ, силикагель, гексан/этилацетат, 2:1). Пример 2е: Этиловый эфир (±)-(3RS,7aRS)-4-(3-фторфенилэтинил)-2,3,3а,6,7,7а-гексагидроиндол-1-карбоновой кислоты ES-MC (+): 314,2 (М+1). Пример 2ж: Этиловый эфир (±)-(RS)-4-(3-фторфенилэтинил)-2,3,5,6,7,7а-гексагидроиндол-1-карбоновой кислоты ES-MC (+): 336,2 (M+Na). Пример 2з: Этиловый эфир (±)-(3RS,7aRS)-4-(3-метоксифенилэтинил)-2,3,3а,6,7.7а-гексагидроиндол-1-карбоновой кислоты ES-MC (+): 348,2 (M+Na). Пример 2и: Этиловый эфир (±)-(RS)-4-(3-метоксифенилэтинил)-2,3,5,6,7,7а-гексагидроиндол-1-карбоновой кислоты ES-MC (+): 348,2 (M+Na). Пример 3: Этиловый эфир (±)-(3aRS,4RS.7aSR)-4-гидрокси-4-фенилэтинилоктагидроизоиндол-2-карбоновой кислоты а) Раствор, содержащий 716 г (±)-(3aRS,4RS,7aRS)-2-бензил-1,3-диоксо-2,3,3а,4,7,7а-гексагидро-1H-изоиндол-4-илового эфира уксусной кислоты [CAN 153255-27-7, см. J. Chem. Soc. Perkin Trans I (1993), с.1925-1929] в 3,5 л тетрагидрофурана, добавляют по каплям к 300 г алюмогидрида лития в 3,5 л тетрагидрофурана при 50°С. Затем смесь выдерживают при температуре дефлегмации в течение 1 ч, после чего охлаждают до 0°С. Добавляют 300 мл воды, затем 300 мл 15%-ного водного раствора гидроксида натрия и вновь 600 мл при температуре максимум 15°С. После фильтрации получают 550 г коричневатого кристаллизующегося масла, представляющего собой (±)-(3аRS,4SR,7аSR)-2-бензил-2,3,3а,4,7,7а-гексагидро-1H-изоиндол-4-ола. tпл=69-71°С. б) Растворяют 1020 г (±)-(3aRS,4SR,7aSR)-2-бензил-2,3,3a,4,7,7a- гексагидро-1H-изоиндол-4-ола и 560 г дигидрата щавелевой кислоты в 18 л воды, затем гидрируют в течение 16 ч при 100°С, 100 атм, используя в качестве катализатора 200 г 10%-ного палладия на древесном угле. После отфильтровывания катализитора раствор концентрируют до объема 6 л и добавляют 4,5 л дихлорметана. Добавляют порциями 810 г гранулированного гидроксида калия, затем по каплям добавляют хлорформиат при температуре, не превышающей 30°С. Реакционную смесь экстрагируют дихлорметаном, упаривают, получая 827 г этилового эфира (±)-(3aRS,4SR,7aSR)-4-гидроксиоктагидроизоиндол-2-карбоновой кислоты в виде коричневатого масла; чистота по данным ГХ: 98,5%. в) К 6,6 г оксалилхлорида в 300 тетрагидрофурана при -60°С добавляют 7,4 г диметилсульфоксида, затем перемешивают в течение 15 мин. Добавляют при – 60°С 10 г этилового эфира (±)-(3aRS,4SR,7aSR)-4-гидроксиоктагидро-изоиндол-2-карбоновой кислоты в 50 мл тетрагидрофурана, а затем 23 г триэтиламина и дают нагреться до комнатной температуры (КТ). Суспензию фильтруют, к фильтрату добавляют 400 мл этилацетата и смесь промывают трижды 400 мл воды. Органические фазы сушат над сульфатом натрия и упаривают, получая 9,9 г этилового эфира (±)-(3aRS,7aSR)-4-оксооктагидроизоиндол-2-карбоновой кислоты в виде неочищенного масла коричневого цвета. ES-MC(-): 210 (М-1), ОФ-ЖХВР: один пик. г) К 20 мл 1М фенилацетилида лития в тетрагидрофуране в течение 10 мин добавляют при -10°С 2,1 г этилового эфира (±)-(3aRS,7aSR)-4-оксооктагидроизоиндол-2-карбоновой кислоты в 10 мл тетрагидрофурана. После выдерживания в течение 16 ч при комнатной температуре добавляют 100 мл насыщенного водного раствора хлорида аммония, смесь экстрагируют этилацетатом, растворители сушат над сульфатом натрия и упаривают. Продукт очищают с помощью экспресс-хроматографии на силикагеле, элюент гексан/этилацетат (2:1). Получают 2,2 г этилового эфира(±)-(3aRS,4RS,7aSR)-4-гидрокси-4-фенилэтинилоктагидроизоиндол-2-карбоновой кислоты в виде масла коричневого цвета. ES-MC(+): 314 (М+1), ОФ-ЖХВР: один пик. С помощью такого же метода получают следующие соединения: Пример 3а: Этиловый эфир (±)-(3aRS,4RS,7aSR)-4-гидрокси-4-мета-толилэтинилоктагидроизоиндол-2-карбоновой кислоты ES-MC(+): 328 (М+1), ОФ-ЖХВР: один пик. Пример 3б: Этиловый эфир (±)-3aRS,4RS,7aSR)-4-гидрокси-4-мета-толилэтинилоктагидроизоиндол-2-карбоновой кислоты ЖХВР-МС: один пик, 350 (M+Na). Пример 3в: Этиловый эфир (±)-(3aRS,4RS,7aSR)-4-(3-цианфенилэтинил)-4-гидроксиоктагидроизоиндол-2-карбоновой кислоты ЖХВР-МС: один пик, 361 (M+Na). Пример 3г: Этиловый эфир (+)-(3aRS,4RS,7aSR)-4-гидрокси-4-(3-метоксифенилэтинил)-октагидроизоиндол-2-карбоновой кислоты ES-MC(+): 344 (М+1), ЖХВР: один пик. Пример 3д: Этиловый эфир (±)-(3aRS,4RS,7aSR)-4-(3-фторфенилэтинил)-4-гидроксиоктагидроизоиндол-2-карбоновой кислоты ES-MC(+): 332 (М+1), ЖХВР: один пик. Пример 4: Трет-бутиловый эфир (±)-(3aRS,4RS,7aSR)-4-гидрокси-4-фенилэтинилоктагидроизоиндол-2-карбоновой кислоты а) Неочищенный трет-бутиловый эфир (±)-(3aRS,7aSR)-4-оксооктагидроизоиндол-2-карбоновой кислоты получают с помощью 4-стадийного процесса без очистки: в качестве исходного продукта используют этиловый эфир (3aSR,7aRS)-4-оксооктагидроизоиндол-2-карбоновой кислоты: 1) Получают кеталь с использованием этиленгликоля в толуоле/пара-TsOH. 2) Удаляют этилкарбамат с помощью КОН в МеОН в закрытой пробирке при 100°С. 3) Удаляют кеталь с помощью 4н. водного раствора соляной кислоты в ацетоне при комнатной температуре. 4) Получают трет-бутилкарбамат с использованием защищенного с помощью ВОС ангидрида, К2СО3 в дихлорметане. б) Осуществляют взаимодействие с трет-бутиловым эфиром (±)-(3aRS,4RS,7aSR)-4-гидрокси-4-фенилэтинилоктагидроизоиндол-2-карбоновой кислоты согласно методу, описанному в примере 3г). ES-MC(+): 342 (М+1), ОФ-ЖХВР: один пик. С помощью такого же метода получают следующее соединение: Пример 4а: Трет-бутиловый эфир (±-(3aRS,4RS,7aSR)-4-гидрокси-4-мета-толилэтинилоктагидроизоиндол-2-карбоновой кислоты ES-MC(+): 356 (М+1), ОФ-ЖХВР: один пик. Пример 5: Метиловый эфир (±)-(3aRS,4RS,7aSR)-4-гидрокси-4-мета-толилэтинилоктагидроизоиндол-2-карбоновой кислоты а) 1 г трет-бутилового эфира (±)-(3aRS,4RS,7aSR)-4-гидрокси-4-мета-толилэтинилоктагидроизоиндол-2-карбоновой кислоты обрабатывают примерно 1н. HCl в этилацетате при комнатной температуре в течение 18 ч, затем промывают насыщенным водным раствором бикарбоната натрия. Органическую фазу сушат над Na2SO4 и упаривают. Очищают с помощью препаративной ЖХВР. Получают (±)-(3aRS,4RS,7aSR)-4-мета-толилэтинилоктагидроизоиндол-4-ол. б) 60 мг (±)-(3aRS,4RS,7aSR)-4-мета-толилэтинилоктагидроизоиндол-4-ола, 25 мг метилхлорформиата и 250 мг основания Хюнига на полимерной матрице в 5 мл дихлорметана перемешивают при комнатной температуре в течение 18 ч, затем фильтруют и упаривают, после очистки с помощью препаративной ЖХВР получают метиловый эфир (±)-(3aRS,4RS,7aSR)-4-гидрокси-4-мета-толилэтинилоктагидроизоиндол-2-карбоновой кислоты. ЖХВР-МС: 336 (M+Na). С помощью такого же метода получают следующие соединения: Пример 5а: (±)-(3aRS,4RS,7aSR)фуран-2-ил(4-гидрокси-4-мета-толилэтинилоктагидроизоиндол-2-ил)метанон ЖХВР-МС: 372 (M+Na). Пример 5б: (±)-(3aRS,4RS,7aSR)-циклопропил-(4-гидрокси-4-мета-толилэтинилоктагидроизоиндол-2-илметанон ЖХВР-МС: 346 (M+Na). Пример 5в: (±)-(3aRS,4RS,7aSR)-(4-гидрокси-4-мета-толилэтинилоктагидроизоиндол-2-ил)пиридин-3-илметанон ЖХВР-МС: 361 (М+1), 383 (M+Na). Пример 6: Метиловый эфир (±)-((1SR,3SR)-3-гидрокси-3-мета-толилэтинилциклогексил)метилкарбаминовой кислоты и метиловый эфир (±)-((1RS,3SR)-3-гидрокси-3-мета-толилэтинилциклогексил)метилкарбаминовой кислоты К раствору 3-метиламиноциклогекс-2-енона (1,35 г, 10,8 ммоля; CAS 55998-74-8) и триэтиламина (4,5 мл, 32,4 ммоля) в дихлорметане (20 мл) добавляют метилхлорформиат (2,5 мл, 32,4 ммоля) при 0°С в течение 15 мин. Через 45 мин реакционную смесь разбавляют дихлорметаном и промывают трижды лимонной кислотой (10% (мас./об.)). Органическую фазу концентрируют в вакууме и остаток обрабатывают К2СО3 (3,0 г, 21,6 ммоля) в смеси вода/метанол (1:1 об./об., 20 мл) в течение 15 мин. Реакционную смесь концентрируют в вакууме и остаток распределяют между водой и дихлорметаном и после концентрирования в вакууме смесь хроматографируют на силикагеле (100 г), используя в качестве элюента гексан/этилацетат (1:1, об./об.). Получают продукт, т.е. метиловый эфир метил(3-оксоциклогекс-1-енил)карбаминовой кислоты, в виде масла светло-оранжевого цвета. ЯМР (400 МГц; CDCl3): 5,68 (s, 1Н), 3,79 (s, 3Н), 3,20 (s, 3Н), 2,82 (t, J=6,5 Гц, 2Н), 2,39 (t, J=6,5 Гц, 2Н), 2,00 (quint., J=6,5 Гц, 2Н). б) Раствор метилового эфира метил-(3-оксоциклогекс-1-енил)карбаминовой кислоты (412 мг, 2,2 ммоля) в метаноле (20 мл) гидрируют в присутствии Pd/C (10%, 80 мг, 1 бар). После фильтрации неочищенный продукт хроматографируют на силикагеле (30 г), используя в качестве элюента гексан/этилацетат (1:1, об./об.). Получают метиловый эфир метил(3-оксоциклогексил)карбаминовой кислоты в виде бесцветного масла. ЯМР (400 МГц; CDCl3): 4,23 (br, 1Н), 3,69 (s, 3Н), 2,83 (br,s, 3Н), 2,57 – 2,34 (т, 3Н), 2,21 (td, J=14 Гц, J=6 Гц, 1Н), 2,05 (m, 1H), 1,91 (m, 1Н), 1,80 (qd, J=12,5 Гц, J=3,5 Гц, 1Н), 1,6 (m, 1Н). в) Осуществляют взаимодействие метилового эфира метил-(3-оксоциклогексил)карбаминовой кислоты с метил-толилацетилидом лития согласно методу, описанному в примере 1. При хроматографировании на силикагеле с использованием в качестве элюента гексан/этилацетат (градиент от 4:1 до 1:1, об./об.) сначала элюируется указанное в заголовке соединение, т.е. метиловый эфир (±)-((1SR,3SR)-3-гидрокси-3-мета-толилэтинилциклогексил)метилкарбаминовой кислоты (выход 24%) (Rf=0,62 (ТСХ, силикагель, гексан/этилацетат, 1:1), ЖХВР-МС: 324,2 (M+Na)+), а затем элюирутся метиловый эфир (±)-((1RS,3SR)-3-гидрокси-3-мета-толилэтинилциклогексил)метилкарбаминовой кислоты (выход 50%, Rf=0,49 (ТСХ, силикагель, гексан/этилацетат, 1:1), ЖХВР-МС: 324,2 (M+Na)+). С помощью такого же метода получают следующие соединения: Пример 6а: Этиловый эфир (±)-(1RS,3SR)-((3-гидрокси-3-мета-толилэтинилциклогексил)-(4-метоксибензмркарбаминовой кислоты. ЖХВР-МС: 444,2 (M+Na)+. Пример 6б: Этиловый эфир (±)-(1RS,3RS)-((3-гидрокси-3-мета-толилэтинилциклогексил)-(4-метоксибензил)карбаминовой кислоты. ЖХВР-МС: 444,2 (M+Na)+. Пример 6в: Метиловый эфир (±)-[(1RS,3SR)-3-гидрокси-3-(3-метоксифенилэтинил)-5,5-диметилциклогексил1 метилкарбаминовой кислоты. ЖХВР-МС: 368,2 (M+Na)+. Пример 6г: Метиловый эфир (±)-(1RS,3SR)-(3-гидрокси-5,5-диметил-3-мета-толилэтинилциклогексил)метилкарбаминовой кислоты. ЖХВР-МС: 352,2 (M+Na)+. Пример 6д: Метиловый эфир (±)-[(1RS,3SR)-3-(3-фторфенилэтинил)-3-гидрокси-5,5-диметилциклогексил]метилкарбаминовой кислоты ЖХВР-МС: 356,2 (M+Na)+. Пример 6е: Метиловый эфир (±)-[(1RS,3RS)-3-(3-фторфенилэтинил)-3-гидроксициклогексил]метилкарбаминовой кислоты ЖХВР-МС: 328,2 (M+Na)+. Пример 6ж: Метиловый эфир (±)-[(1RS,3SR)-3-(3-фторфенилэтинил)-3-гидроксициклогексил]метилкарбаминовой кислоты ЖХВР-МС: 328,2 (M+Na)+. Пример 6з: Метиловый эфир (±)-[(1RS,3RS)-3-гидрокси-3-(3-метоксифенилэтинил)циклогексил]метилкарбаминовой кислоты. ЖХВР-МС: 340,2 (M+Na)+. Пример 6и: Метиловый эфир (±)-[(1RS,3SR)-3-гидрокси-3-(3-метоксифенилэтинил)циклогексил]метилкарбаминовой кислоты ЖХВР-МС: 340.2 (M+Na)+. Пример 6к: Метиловый эфир (±)-[(1RS,3RS)-3-(3-хлорфенилэтинил)-3-гидроксициклогексил]метилкарбаминовой кислоты Rf=0,31 (ТСХ, силикагель, гексан/этил ацетат 1:1). Пример 6л: Метиловый эфир (±)-[(1RS,3SR)-3-(хлорфенилэтинил)-3-гидроксициклогексил]метилкарбаминовой кислоты Rf=0,22 (ТСХ, силикагель, гексан/этил ацетат 1:1). Пример 6м: (±)-(1RS,3RS)-N-(3-гидрокси-3-мета-толилэтинилциклогексил)ацетамид ЖХВР-МС: 294,2 (M+Na). Пример 6н: (±)-(1RS,3SR)-N-(3-гидрокси-3-мета-толилэтинилциклогексил)ацетамид tпл 152-155°С. Пример 6о: Этиловый эфир (±)-(1RS,3RS)-(3-гидрокси-3-мета-толилэтинилциклогексил)карбаминовой кислоты ЖХВР-МС: 324,2 (M+Na). Пример 6п: Этиловый эфир (±)-(1RS,3SR)-(3-гидрокси-3-мета-толилэтинилциклогексил)карбаминовой кислоты tпл 106-107°С. Пример 6р: Этиловый эфир (±)-(1RS,3RS)-[3-(3-фторфенилэтинил)-3-гидроксициклогексил]карбаминовой кислоты ЖХВР-МС: 328,2 (M+Na). Пример 6с: Этиловый эфир (±)-(1RS,3SR)-[3-(3-фторфенилэтинил)-3-гидроксициклогексил]карбаминовой кислоты tпл 121-123°С. Пример 6т: Этиловый эфир (±)-(1RS,3RS)-[3-(3-метоксифенилэтинил)-3-гидроксициклогексил]карбаминовой кислоты ЖХВР-МС: 340,2 (M+Na). Пример 6у: (±)-(1RS,3RS)-N-[-3-(3-фторфенилэтинил)-3-гидроксициклогексил]ацетамид ЖХВР-МС: 340,2 (M+Na). Пример 6Ф: (±)-(1RS,3SR)-N-[3-(3-фторфенилэтинил)-3-гидроксициклогексил] ацетамид ЖХВР-МС: 276,2 (М+1), 298,2 (M+Na). Пример 6х: Этиловый эфир (±)-(1RS,3SR)-[3-гидрокси-3-(3-метоксифенилэтинил)циклогексил] карбаминовой кислоты ЖХВР-МС: 340,2 (M+Na). Пример 6ц: (±)-(1RS,3RS)-N-[3-гидрокси-3-(3-метоксифенилэтинил)-циклогексил] ацетамид ЖХВР-МС: 288,2 (М+1), 310,2 (M+Na). Пример 6ч: (±)-(1RS,3SR)-N-[3-гидрокси-3-(3-метоксифенилэтинил)циклогексил]ацетамид ЖХВР-МС: 288,2 (М+1), 310,2 (M+Na). Пример 6ш: Трет-бутиловый эфир (±)-(1RS,3RS)-[3-гидрокси-3-(3-метоксифенилэтинил)циклогексил]карбаминовой кислоты ЖХВР-МС: 368,2 (M+Na). Пример 6щ: Трет-бутиловый эфир (±)-(1RS,3SR)-[3-гидрокси-3-(3-метоксифенилэтинил)циклогексил]карбаминовой кислоты ЖХВР-МС: 368,2 (M+Na). Пример 6э: Трет-бутиловый эфир (±)-(1RS,3RS)-(3-гидрокси-3-мета-толилэтинилциклогексил)карбаминовой кислоты ЖХВР-МС: 352,2 (M+Na). Пример 6ю: Трет-бутиловый эфир (±)-(1RS,3SR)-(3-гидрокси-3-мета-толилэтинилциклогексил)карбаминовой кислоты ЖХВР-МС: 352,1 (M+Na). ЖХВР-МС: 356,2 (M+Na). Пример 6аа: Трет-бутиловый эфир (±)-(1RS,3SR)-(3-(3-фторфенилэтинил)-3-гидроксициклогексил]карбаминовой кислоты ЖХВР-МС: 356,2 (M+Na). Пример 6аб: Метиловый эфир (±)-(1RS,3RS)-[3-(3-фторфенилэтинил)-3-гидроксициклогексил]карбаминовой кислоты ЖХВР-МС: 314,2 (M+Na). Пример 6ав: Метиловый эфир (±)-(1RS,3SR)-[3-(3-фторфенилэтинил)-3-гидроксициклогексил]карбаминовой кислоты ЖХВР-МС: 314,2 (M+Na). Пример 7: Этиловый эфир (±)-(3-фенилэтинилциклогекс-2-енил)карбаминовой кислоты и этиловый эфир (±)-3-фенилэтинилциклогекс-3-енил)карбаминовой кислоты 100 мг (0,35 ммоля) этилового эфира (3-гидрокси-3-фенилэтинилциклогексил)карбаминовой кислоты (смесь двух диастереоизомеров) в 15 мл толуола обрабатывают 10 мг пара-толуолсульфоновой кислоты и перемешивают в течение 6 ч при 120°. После охлаждения и добавления 50 мл этилацетата продукт промывают водой, содержащей небольшое количество бикарбоната натрия, и соляным раствором. Органическую фазу сушат над сульфатом натрия, концентрируют и подвергают колоночной хроматографии с использованием смеси 3:1 петролейного эфира и этилацетата. Первый элюированный из колонки продукт представляет собой этиловый эфир (3-фенилэтинилциклогекс-2-енил)карбаминовой кислоты (выход, 23%), следующий продукт представляет собой этиловый эфир (3-фенилэтинилциклогекс-3-енил)карбаминовой кислоты (выход: 48%) рацемат 1: 1Н-ЯМР (400 МГц): рацемат 2: 1Н-ЯМР (400 МГц): Пример 8: Этиловый эфир (±)-метил(3-фенилэтинилциклогекс-3-енил)карбаминовой кислоты Растворяют 22 мг (0,082 ммоля) этилового эфира (3-фенилэтинилциклогекс-3-енил)карбаминовой кислоты в 2 мл ДМФ и 1 мл ТГФ. Добавляют 8 мг (0,165 ммоля) 60%-ной дисперсии NaH в масле и смесь перемешивают в атмосфере аргона в течение 90 мин при комнатной температуре. Реакционную смесь охлаждают до 0° и добавляют по каплям 16 мкл MeI в 0,5 мл ТГФ. После перемешивания в течение 1 ч при комнатной температуре реакционную смесь вновь охлаждают до 0°, добавляют сухой лед и неочищенный продукт экстрагируют этилацетатом, промывают водой и соляным раствором, сушат над сульфатом натрия и подвергают колоночной хроматографии с использованием смеси 4:1 петролейного эфира и этилацетата. Выход: 43%. 1Н-ЯМР (400 МГц): Пример 9: Этиловый эфир (±)-(4aRS,5RS,8aSR)-5-гидрокси-5-фенилэтинилоктагидрохинолин-1-карбоновой кислоты а) К смеси, содержащей оксалат (±)-(4aRS,8aSR)октагидрохинолин-5-она (1,50 г, 6,17 ммоля), толуол (5 мл) и воду (5 мл), добавляют твердый карбонат калия. После перемешивания в течение нескольких минут добавляют этилхлорформиат (0,71 мл, 7,4 ммоля) и затем реакционную смесь перемешивают при комнатной температуре в течение 3 ч. Органическую фазу отделяют и водную фазу экстрагируют дихлорметаном (3×10 мл). Объединенные органические фазы сушат над сульфатом магния и концентрируют в вакууме, получая 1,22 г (88%) этилового эфира (±)-(4aRS,8aSR)-5-оксооктагидрохинолин-1-карбоновой кислоты. 1Н-ЯМР (400 МГц; CDCl3): 1,28 (t, 3Н), 1,40-1,70 (m, 3Н), 1,72-1,90 (m, 1H), 2,0-2,20 (m, 3Н), 2,30-2,48 (m, 3Н), 2,55 (td, 1H), 3,32 (td, 1H), 3,50 (m, 2H), 4,12 (q, 2H). б) К раствору этилового эфира (±)-(4aRS,8aSR)-5-оксооктагидрохинолин-1-карбоновой кислоты (0,372 г, 1,65 ммоля) в ТГФ (15 мл) добавляют раствор фенилацетилида лития в ТГФ (3,30 мл, 3,30 ммоля; 1,0М раствор в ТГФ) при температуре -50°С. Затем реакционную смесь перемешивают в течение 1,5 ч при -50°С, после чего дают нагреться до комнатной температуры. Реакционную смесь разбавляют диэтиловым эфиром (100 мл), промывают насыщенным раствором бикарбоната натрия (2×10 мл), водой (10 мл), сушат над сульфатом магния и затем концентрируют в вакууме. Неочищенный продукт (0,860 г) очищают хроматографией на силикагеле (этилацетат/гексан, 1:3, об./об.), получая этиловый эфир (±)-(4aRS,5RS,8aSR)-5-гидрокси-5-фенилэтинилоктагидрохинолин-1-карбоновой кислоты (0,144 г, 26,7%). С помощью такого же метода получают следующие соединения: Пример 9а: (±)-[(4aRS,5SR,8aSR)-5-(3-хлорфенилэтинил)-5-гидроксиоктагидрохинолин-1-ил]фуран-2-илметанон ЯМР (ДМСО-D6, 500 МГц): 7,84 (s, 1Н), 7,45 (m, 4Н), 6,95 (d, 1Н), 6,63 (d, 1Н), 5,51 (s, 1Н), 4,03 (m, 1Н), 3,94 (m, 1Н), 3,32 (m, 1Н), 2,06 (m, 1H), 2,04 (m, 1Н), 1,96 (m, 1Н), 1,94 (m, 1Н), 1,85 (m, 1Н), 1,74 (m, 2Н), 1,71 (m, 1Н), 1,60 (m, 1H), 1,50 (m, 1H), 1,41 (m, 1H). Пример 9б: (±)-[(4аRS,5RS,8аSR)-5-(3-хлорфенилэтинил)-5-гидроксиоктагидрохинолин-1-ил]фуран-2-илметанон ЯМР (ДМСО-D6, 500 МГц): 7,83 (s, 1Н), 7,43 (m, 4Н), 6,95 (d, 1Н), 6,62 (m, 1H), 5,77 (s, 1H), 3,99 (m, 1Н), 3,90 (m, 1Н), 3,31 (m, 1H), 2,12 (m, 1H), 2,06 (m, 1Н), 1,97 (m, 1H), 1,8 (m, 1Н), 1,83 (m, 1Н), 1,77 (m, 1H), 1,66 (m, 1Н), 1,59 (m, 2Н), 1,46 (m, 1Н), 1,22 (m, 1Н). Пример 9в: Трет-бутиловый эфир (±)-(4aRS,5RS,8aSR)-5-(3-хлорфенилэтинил)-5-гидроксиоктагидрохинолин-1-карбоновой кислоты ЯМР (CDCl3): 7,42 (d,J=1,1 Гц, 1Н), 7,32 (m, 3Н), 3,55 (m, 1Н), 3,48 (m, 1H), 3,10 (m, 1Н), 2,08 (m, 3Н), 1,90 (m, 1Н), 1,8-1,6 (m, 7Н), 1,46 (s, 9Н), 1,38 (m, 1H). Пример 9г: (±)-[(4aRS,5SR,8aSR)-5-(3-хлорфенилэтинил)-5-гидроксиоктагидрохинолин-1-ил]морфолин-4-илметанон ЖХ-МС, М+1=403,1 Пример 9д: (±)-(4aRS.5SR,8aSR)-5-(3-хлорфенилэтинил)-5-гидроксиоктагидрохинолин-1-ил](4-метилпиперазин-1-ил)метанон ЖХ-МС, М+1=416,2 Пример 10: Этиловый эфир (±)-(4aRS,5RS,8aSR)-5-(3-хлорфенилэтинил)-5-гидроксиоктагидрохинолин-1-карбоновой кислоты и этиловый эфир (+)-(4aRS,5SR,8aSR)-5-(3-хлорфенилэтинил)-5-гидроксиоктагидрохинолин-1-карбоновой кислоты а) К раствору триметилсилилацетилена (1,54 мл, 10,8 ммоля) в ТГФ (10 мл) добавляют раствор н-бутиллития в гексане (6,75 мл, 10,8 ммоля; 1,6М в гексане) при 0°С. Реакционную смесь перемешивают при 0°С в течение 45 мин и затем при комнатной температуре в течение 20 ч. Реакционную смесь разбавляют диэтиловым эфиром (100 мл), промывают насыщенным раствором бикарбоната натрия (2×10 мл), сушат над сульфатом магния и концентрируют в вакууме. Неочищенный продукт (2,0 г) очищают хроматографией на силикагеле (этилацетат/гексан, градиент 0-40%, об./об.), получая этиловый эфир (±)-(4aRS,5RS,8aSR)-5-гидрокси-5-триметилсиланилэтинилоктагидрохинолин-1-карбоновой кислоты. (1,48 г, 84%); 1H-ЯМР (400 МГц; CDCl3): 1Н-ЯМР 0,1(s-перекрывание, 9Н), 1,05 (t, 3Н), 1,10-1,30 (m, 2Н), 1,30-1,60 (m, 6Н), 1,60-1,95 (m, 4Н), 2,80-3,0 (m, 1H), 3,25-3,50 (m, 1Н), 3,50-3,65 (m, 1H), 3,95(m, 2Н). Все другие хроматографические фракции содержат различные смеси этилового эфира (±)-(4aRS,5RS,8aSR)-5-гидрокси-5-триметилсиланилэтинилоктагидрохинолин-1-карбоновой кислоты и этилового эфира (±)-(4aRS,5SR,8aSR)-5-гидрокси-5-триметилсиланилэтинилоктагидрохинолин-1-карбоновой кислоты. б) Объединяют смесь (примерно 5:1) этилового эфира (±)-(4aRS,5RS,8aSR)-5-гидрокси-5-триметилсиланилэтинилоктагидрохинолин-1-карбоновой кислоты и этилового эфира (±)-(4aRS,5SR,8aSR)-5-гидрокси-5-триметилсиланилэтинилоктагидрохинолин-1-карбоновой кислоты (0,272 г, 0,84 ммоля), 1-бром-3-хлорбензол (0,161 г, 0,84 ммоля), йодид меди(1) (0,016 г, 0,093 ммоля), трифенилфосфин (0,02 г, 0,074 ммоля), карбонат калия (0,127 г, 0,92 ммоля), палладий на угле (10%) (10 мг) в дихлорметане (2 мл) и воде (1 мл) и выдерживают при 80°С в течение 24 ч в атмосфере аргона. Реакционную смесь охлаждают до комнатной температуры, фильтруют через целит, промывают диэтиловым эфиром и концентрируют в вакууме, получая неочищенное масло. Неочищенное масло (0,181 г) очищают хроматографией на силикагеле (этилацетат/гексан, градиент 0-30%) и фракции, содержащие требуемые соединения, объединяют и упаривают в вакууме, получая первый продукт, который представляет собой этиловый эфир (±)-(4aRS,5RS,8aSR)-5-(3-хлорфенилэтинил)-5-гидроксиоктагидрохинолин-1-карбоновой кислоты, (140 мг, 46%), 1Н-ЯМР (400 МГц; CDCl3): 1,28 (t, 3Н), 1,2 8-1,50 (m, 2Н), 1,50-2,00 (m, 7Н), 2,0-2,20 (m, 3Н), 3,08 (m, 1Н), 3,55 (tm, 1Н), 3,80 (m, 1Н), 4,15 (q, 2Н), 7,24-7,40 (т, 4Н), и второй продукт, который представляет собой этиловый эфир (±)-(4aRS,5SR,8aSR)-5-(3-хлорфенилэтинил)-5-гидроксиоктагидрохинолин-1-карбоновой кислоты (30 мг 10%), 1Н-ЯМР (400 МГц; CDCl3): 1,29 (t, 3Н), 1,41-1,58 (m, 2Н), 1,58 -2,00 (m, 8Н), 2,08-2,18 (m, 2Н), 3,16 (m, 1Н), 3,61 (m, 1H), 3,70 (m, 1H), 4,10 (m, 2H), 7,16 -7,30 (m, 4H). С помощью такого же метода получают следующие соединения: Пример 10а: Этиловый эфир (±)-(4aRS,5SR,8aSR)-5-гидрокси-5-мета-толилэтинилоктагидрохинолин-1-карбоновой кислоты 1Н-ЯМР (400 МГц; CDCl3): 1,25 (t, 3Н), 1,39 -1,56 (m, 2Н), 1,56 -1,98 (m, 8Н), 1,98-2,23 (m, 2Н), 2,35 (s, 3Н), 3,15 (m, 1Н), 3,55-3,79 (m, 2Н), 4,04-4,20 (m, 2Н), 7,10 (m, 1Н), 7,15-7,25 (m, 3Н). Пример 10б: Этиловый эфир (±)-(4aRS,5RS,8aSR)-5-гидрокси-5-мета-толилэтинилоктагидрохинолин-1-карбоновой кислоты 1Н-ЯМР (400 МГц; CDCl3): 1,25 (t, 3Н), 1,30-1,50 (m, 2Н), 1,56-2,20 (m, 8Н), 2,20-2,44 (m, 3Н), 2,85-3,19 (m, 1Н), 3,54-3,63 (m, 1Н), 3,69-3,84 (m, 1H), 4,07-4,19 (m, 2H), 7,05 -7,27 (m, 4H). Пример 11: Метиловый эфир (±)-этил(1SR,3SR)-3-гидрокси-3-мета-толилэтинилциклопентил)карбаминовой кислоты и метиловый эфир (±)-этил(1SR,3RS)-3-гидрокси-3-мета-толилэтинилциклопентил)карбаминовой кислоты а) К раствору 3-метоксициклопент-2-енона (800 мг, 7,13 ммоля) в 30 мл раствора этиламина в ТГФ (2,0М, 60 ммолей) добавляют уксусную кислоту (200 мкл) и смесь перемешивают при 70°С в течение 2 ч. Реакционную смесь концентрируют в вакууме и остаток фильтруют через силикагель с ацетоном. Образовавшееся твердое вещество кристаллизуют из смеси дихлорметан/простой эфир, получая 3-этиламиноциклопент-2-енон в виде кристаллов белого цвета, tпл 136-136,5°С. б) К раствору 3-этиламиноциклопент-2-енона (500 мг, 4 ммоля) в 4 мл ТГФ и 1 мл ДМФ добавляют раствор гидрида натрия (12 ммолей). После перемешивания реакционной смеси в течение 20 мин при комнатной температуре добавляют метилхлорформиат (615 мкл, 8 ммолей). После перемешивания в течение 15 мин реакцию прекращают, добавляя насыщенный водный раствор хлорида аммония, и реакционную смесь концентрируют в вакууме. Остаток распределяют между соляным раствором и дихлорметаном. Органические экстракты хроматографируют на силикагеле (30 г), используя в качестве элюента смеси дихлорметан/метанол (95:5 об./об.), получая метиловый эфир этил(3-оксоциклопент-1-енил)карбаминовой кислоты, который кристаллизуют из смеси дихлорметан/простой эфир, tпл 68-68,5°С. в) Метиловый эфир этил(3-оксоциклопент-1-енил)карбаминовой кислоты (400 мг, 2,18 ммоля) гидрируют в метаноле в присутствии Pd/C (10%, 80 мг), получая метиловый эфир (±)-этил(R,S)-3-оксоциклопентил)карбаминовой кислоты в виде желтоватого масла. г) Взаимодействие метилового эфира (±)-этил(R,S)-3-оксоциклопентил)карбаминовой кислоты с мета-толилацетилидом лития осуществляют согласно методу, описанному в примере 1. После хроматографирования на силикагеле с использованием в качестве элюента смеси гексан/ацетон (5:1 об./об.) первым элюируется указанный в заголовке метиловый эфир (±)-этил(1SR,3RS)-3-гидрокси-3-мета-толилэтинилциклопентил)карбаминовой кислоты [Rf=0,48 (ТСХ, силикагель, гексан/этилацетат, 1:1), ЖХВР-МС: 324,2 (M+Na)+)], а затем метиловый эфир (±)-этил(1SR,3SR)-3-гидрокси-3-мета-толилэтинилциклопентил)карбаминовой кислоты [Rf=0,39 (ТСХ, силикагель, гексан/этилацетат, 1:1), ЖХВР-МС: 324,2 (M+Na)+)], оба соединения в виде светло-желтого масла.
Формула изобретения
1. Соединение формулы I где m обозначает 0 или 1 n обозначает 0 или 1 и А обозначает гидрокси, X обозначает водород и Y обозначает водород или А образует простую связь с X или Y; причем кольцевая метиленовая группа, непосредственная связанная с -СН(Х)-, может быть диметилирована; R0 обозначает водород, С1-С4алкил, С1-С4алкокси, галоген, циано и R обозначает -COR3, -COOR3 или -SO2R6, где R3 обозначает С1-С4алкил, С3-С7циклоалкил, и R6 обозначает С1-С4алкил, С3-С7циклоалкил, или R обозначает-C(O)R3, где R3 обозначает фуранил, трифторметил, пиридинил, морфолинил или метилпиперазинил; или -С(O)OR3, где R3 обозначает тетрагидрофуранил, R’ обозначает водород, С1-С4алкил или 4-метоксибензил и R” обозначает водород или С1-С4алкил или R’ и R” вместе образуют группу -СН2-(СН2)р– где р обозначает 0,1 или 2, при этом один из символов n и р не обозначает 0 при условии, что R0 не обозначает водород, трифторметил и метокси, когда m обозначает 1, n обозначает 0, А обозначает гидрокси, X и Y оба обозначают водород, R обозначает COOEt и R’ и R” вместе образуют группу -(СН2)2-, в форме свободного основания или кислотно-аддитивной соли. 2. Соединение по п.1 в форме свободного основания или кислотно-аддитивной соли, выбранное из: 1: Метиловый эфир (-)-(3aR,4S 7aR)-4-гидрокси-4-мета-толилэтинилоктагидроиндол-1-карбоновой кислоты 1а: Этиловый эфир (-)-(3аR,4S,7аR)-4-гидрокси-4-мета-толилэтинилоктагидроиндол-1-карбоновой кислоты 1б: (-)-(3аR,4S,7аR)-фуран-2-ил(4-гидрокси-4-мета-толилэтинилоктагидроиндол-1-ил)метанон 1в: Этиловый эфир (±)-(3аRS,4SR,7аRS)-4-(3-хлорфенилэтинил)-4-гидроксиоктагидроиндол-1-карбоновой кислоты 1г: Этиловый эфир (±)-(3аRS,4SR,7аRS)-4-(3-фторфенилэтинил)-4-гидроксиоктагидроиндол-1-карбоновой кислоты 1д: (S)-(Тетрагидрофуран-3-иловый)эфир (3aRS,4SR,7aRS)-4-гидрокси-4-фенилэтинилоктагидроиндол-1-карбоновой кислоты 1е: (R)-(Тетрагидрофуран-3-иловый)эфир (3aRS,4SR,7aRS)-4-гидрокси-4-фенилэтинилоктагидроиндол-1-карбоновой кислоты 1ж: (S)-(Тетрагидрофуран-3-иловый)эфир (3aRS,4SR,7aRS)-4-гидрокси-4-(3-хлорфенилэтинил)октагидроиндол-1-карбоновой кислоты 1з: Этиловый эфир (±)-(3aRS,4SR,7aRS)-4-гидрокси-4-мета-толилэтинилоктагидроиндол-1 -карбоновой кислоты 1и: Этиловый эфир (±)-(3аRS,4SR,7аRS)-4-(4-фторфенилэтинил)-4-гидроксиоктагидроиндол-1-карбоновой кислоты 1к: (±)-(3аRS,4SR,7аRS)-4-(3-хлорфенилэтинил)-4-гидрокси-1-метансульфонилоктагидроиндол 2: Этиловый эфир (±)-(3аRS,7аRS)-4-фенилэтинил-2,3,3а,6,7,7а-гексагидроиндол-1-карбоновой кислоты и этиловый эфир (±)-(RS)-4-фенилэтинил-2,3,5,6,7,7а-гексагидроиндол-1-карбоновой кислоты 2а: (±)-(3RS,7аRS)-2,2,2-трифтор-1-(4-Фенилэтинил-2,3,3а,6,7,7а-гексагидроиндол-1-ил)этанон 2б: Этиловый эфир (±)-(RS)-4-мета-толилэтинил-2,3,5,6,7,7а-гексагидроиндол-1-карбоновой кислоты 2в: Этиловый эфир (±)-(3RS,7аRS)-4-мета-толилэтинил-2,3,3а,6,7,7а-гексагидроиндол-1-карбоновой кислоты 2г: Этиловый эфир (±)-(3RS,7аRS)-4-(4-хлорфенилэтинил)-2,3,3а,6,7,7а-гексагидроиндол-1-карбоновой кислоты 2д: Этиловый эфир (±)-(3RS,7аRS)-4-(2-фторфенилэтинил)-2,3,3а,6,7,7а-гексагидроиндол-1-карбоновой кислоты 2е: Этиловый эфир (±)-(3RS,7аRS)-4-(3-фторфенилэтинил)-2,3,3а,6,7,7а-гексагидроиндол-1-карбоновой кислоты 2ж: Этиловый эфир (±)-(RS)-4-(3-фторфенилэтинил)-2,3,5,6,7,7а-гексагидроиндол-1-карбоновой кислоты 2з: Этиловый эфир (±)-(3RS,7аRS)-4-(3-метоксифенилэтинил)-2,3,3а,6,7,7а-гексагидроиндол-1-карбоновой кислоты 2и: Этиловый эфир (±)-(RS)-4-(3-метоксифенилэтинил)-2,3,5,6,7,7а-гексагидроиндол-1-карбоновой кислоты 3: Этиловый эфир (±)-(3aRS,4RS,7aSR)-4-гидрокси-4-фенилэтинилоктагидроизоиндол-2-карбоновой кислоты 3а: Этиловый эфир (±)-(3aRS,4RS,7aSR)-4-гидрокси-4-мета-толилэтинилоктагидроизоиндол-2-карбоновой кислоты 3б: Этиловый эфир (±)-(3aRS,4RS,7aSR)-4-гидрокси-4-пара-толилэтинилоктагидроизоиндол-2-карбоновой кислоты 3в: Этиловый эфир (±)-(3aRS,4RS,7aSR)-4-(3-цианфенилэтинил)-4-гидроксиоктагидроизоиндол-2-карбоновой кислоты 3г: Этиловый эфир (±)-(3aRS,4RS,7aSR)-4-гидрокси-4-(3-метоксифенилэтинил)-октагидроизоиндол-2-карбоновой кислоты 3д: Этиловый эфир (±)-(3aRS,4RS,7aSR)-4-(3-фторфенилэтинил)-4-гидроксиоктагидроизоиндол-2-карбоновой кислоты 4: Трет-бутиловый эфир (±)-(3aRS,4RS,7aSR)-4-гидрокси-4-фенилэтинилоктагидроизоиндол-2-карбоновой кислоты 4а: Трет-бутиловый эфир (±)-(3aRS,4RS,7aSR)-4-гидрокси-4-мета-толилэтинилоктагидроизоиндол-2-карбоновой кислоты 5: Метиловый эфир (±)-(3aRS,4RS,7aSR)-4-гидрокси-4-мета-толилэтинилоктагидроизоиндол-2-карбоновой кислоты 5а: (±)-(3aRS,4RS,7aSR)-фуран-2-ил(4-гидрокси-4-мета-толилэтинилоктагидроизоиндол-2-ил)метанон 5б: (+)-(3aRS,4RS,7aSR)-циклопропил-(4-гидрокси-4-мета-толилэтинилоктагидроизоиндол-2-илметанон 5в: (±)-(3aRS,4RS,7aSR)-(4-гидрокси-4-мета-толилэтинилоктагидроизоиндол-2-ил)пиридин-3-илметанон 6: Метиловый эфир (±)-((1SR,3SR)-3-гидрокси-3-мета-толилэтинилциклогексил)метилкарбаминовой кислоты и метиловый эфир (±)-((1RS,3SR)-3-гидрокси-3-мета-толилэтинилциклогексил)метилкарбаминовой кислоты 6а: Этиловый эфир (±)-(1RS,3SR)-((3-гидрокси-3-мета-толилэтинилциклогексил)-(4-метоксибензил)карбаминовой кислоты. 6б: Этиловый эфир (±)-(1RS,3RS)-((3-гидрокси-3-мета-толилэтинилциклогексил)-(4-метоксибензил)карбаминовой кислоты. 6в: Метиловый эфир (±)-[(1RS,3SR)-3-гидрокси-3-(3-метоксифенилэтинил)-5,5-диметилциклогексил]метилкарбаминовой кислоты. 6г: Метиловый эфир (±)-(1RS,3SR)-(3-гидрокси-5,5-диметил-3-мета-толилэтинилциклогексил)метилкарбаминовой кислоты. 6д: Метиловый эфир (±)-[(1RS,3SR)-3-(3-фторфенилэтинил)-3-гидрокси-5,5-диметилциклогексил]метилкарбаминовой кислоты 6е: Метиловый эфир (±)-[(1RS,3SR)-3-(3-фторфенилэтинил)-3-гидроксициклогексил]метилкарбаминовой кислоты 6ж: Метиловый эфир (±)-[(1RS,3SR)-3-(3-фторфенилэтинил)-3-гидроксициклогексил]метилкарбаминовой кислоты 6з: Метиловый эфир (±)-[(1RS,3RS)-3-гидрокси-3-(3-метоксифенилэтинил)циклогексил]метилкарбаминовой кислоты. 6и: Метиловый эфир (±)-[(1RS,3SR)-3-гидрокси-3-(3-метоксифенилэтинил)циклогексил]метилкарбаминовой кислоты 6к: Метиловый эфир (±)-[(1RS,3RS)-3-(3-хлорфенилэтинил)-3-гидроксициклогексил] метилкарбаминовой кислоты 6л: Метиловый эфир (±)-[(1RS,3SR)-3-(хлорфенилэтинил)-3-гидроксициклогексил]метилкарбаминовой кислоты 6м: (±)-(1RS,3RS)-N-(3-гидрокси-3-мета-толилэтинилциклогексил)ацетамид 6н: (±)-(1RS,3SR)-N-(3-гидрокси-3-мета-толилэтинилциклогексил)ацетамид 6о: Этиловый эфир (±)-(1RS,3RS)-(3-гидрокси-3-мета-толилэтинилциклогексил)карбаминовой кислоты 6п: Этиловый эфир (±)-(1RS,3SR)-(3-гидрокси-3-мета-толилэтинилциклогексил)карбаминовой кислоты 6р: Этиловый эфир (±)-(1RS,3RS)-[3-(3-фторфенилэтинил)-3-гидроксициклогексил] карбаминовой кислоты 6с: Этиловый эфир (±)-(1RS,3SR)-[3-(3-фторфенилэтинил)-3-гидроксициклогексил] карбаминовой кислоты 6т: Этиловый эфир (±)-(1RS,3RS)-[3-(3-метоксифенилэтинил)-3-гидроксициклогексил]карбаминовой кислоты 6у: (±)-(1RS,3RS)-N-[3-(3-фторфенилэтинил)-3-гидроксициклогексил]ацетамид 6ф: (±)-(1RS,3SR)-N-[3-(3-фторфенилэтинил)-3-гидроксициклогексил]ацетамид 6х: Этиловый эфир (±)-(1RS,3SR)-[3-гидрокси-3-(3-метоксифенилэтинил)циклогексил]карбаминовой кислоты 6ц: (±)-(1RS,3RS)-N-[3-Гидрокси-3-(3-метоксифенилэтинил)-циклогексил]ацетамид 6ч: (±)-(1RS,3SR)-N-[3-гидрокси-3-(3-метоксифенилэтинил)циклогексил]ацетамид 6ш: Трет-бутиловый эфир (±)-(1RS,3RS)-[3-гидрокси-3-(3-метоксифенилэтинил)циклогексил]карбаминовой кислоты 6щ: Трет-бутиловый эфир (±)-(1RS,3SR)-[3-гидрокси-3-(3-метоксифенилэтинил)циклогексил]карбаминовой кислоты 6э: Трет-бутиловый эфир (±)-(1RS,3RS)-(3-гидрокси-3-мета-толилэтинилциклогексил)карбаминовой кислоты 6ю: Трет-бутиловый эфир (±)-(1RS,3SR)-(3-гидрокси-3-мета-толилэтинилциклогексил)карбаминовой кислоты 6я: Трет-бутиловый эфир (±)-(1RS,3SR)-(3-(3-фторфенилэтинил)-3-гидроксициклогексил]карбаминовой кислоты 6аа: Трет-бутиловый эфир (±)-(1RS,3RS)-(3-(3-фторфенилэтинил)-3-гидроксициклогексил 1 карбаминовой кислоты 6аб: Метиловый эфир (±)-(1RS,3SR)-[3-(3-фторфенилэтинил)-3-гидроксициклогексил]карбаминовой кислоты 6ав: Метиловый эфир (±)-(1RS,3SR)-[3-(3-фторфенилэтинил)-3-гидроксициклогексил]карбаминовой кислоты 7: Этиловый эфир (±)-(3-фенилэтинилциклогекс-2-енил)карбаминовой кислоты и этиловый эфир (±)-(3-фенилэтинилциклогекс-3-енил)карбаминовой кислоты 8: Этиловый эфир (±)-метил(3-фенилэтинилциклогекс-3-енил)карбаминовой кислоты 9: Этиловый эфир (±)-(4aRS,5RS,8aSR)-5-гидрокси-5-фенилэтинилоктагидрохинолин-1-карбоновой кислоты 9а: (±)-[(4aRS,5SR,8aSR)-5-(3-хлорфенилэтинил)-5-гидроксиоктагидрохинолин-1-ил] фуран-2-илметанон 9б: (±)-[(4aRS,5RS,8aSR)-5-(3-хлорфенилэтинил)-5-гидроксиоктагидрохинолин-1-ил]фуран-2-илметанон 9в: Трет-бутиловый эфир (±)-(4aRS,5RS,8aSR)-5-(3-хлорфенилэтинил)-5-гидроксиоктагидрохинолин-1-карбонрвой кислоты 9г: (±)-[(4aRS,5SR,8aSR)-5-(3-хлорфенилэтинил)-5-гидроксиоктагидрохинолин-1-ил]морфолин-4-илметанон 9д: (±)-[(4aRS,5SR,8aSR)-5-(3-хлорфенилэтинил)-5-гидроксиоктагидрохинолин-1-ил] (4-метилпиперазин-1-ил)метанон 10: Этиловый эфир (±)-(4aRS,5RS,8aSR)-5-(3-хлорфенилэтинил)-5-гидроксиоктагидрохинолин-1-карбоновой кислоты и этиловый эфир (±)-(4aRS,5SR,8aSR)-5-(3-хлорфенилэтинил)-5-гидроксиоктагидрохинолин-1-карбоновой кислоты 10а: Этиловый эфир (±)-(4aRS,5SR,8aSR)-5-гидрокси-5-мета-толилэтинилоктагидрохинолин-1-карбоновой кислоты 10б: Этиловый эфир (±)-(4aRS,5RS,8aSR)-5-гидрокси-5-мета-толилэтинилоктагидрохинолин-1-карбоновой кислоты 3. Соединение по п.1, представляющее собой метиловый эфир (-)-(3aR,4S,7aR)-4-гидрокси-4-метатолилэтинилоктагидроиндол-1-карбоновой кислоты, в форме свободного основания или кислотно-аддитивной соли. 4. Соединение по п.1 в форме свободного основания или фармацевтически приемлемой кислотно-аддитивной соли, обладающее антагонистическим действием в отношении человеческих метаботропных глутаматных рецепторов (mGluR5). 5. Соединение по п.1 в форме свободного основания или фармацевтически приемлемой кислотно-аддитивной соли, предназначенное для лечения заболеваний, которые связаны с нарушением передачи глутаматергического сигнала, и заболеваний нервной системы, частично или полностью опосредуемых mGluR5. 6. Способ получения соединений формулы I по п.1 или его соли, отличающийся тем, что включает стадии: а) для получения соединения формулы I, в котором А обозначает гидрокси, взаимодействие соединения формулы II
в которой m, n, R, R’ и R” имеют значения, указанные в п.1, с соединением формулы в котором R0 имеет значения, указанные в п.1, или б) для получения соединения формулы I, в котором А образует простую связь с X или Y, дегидротацию соединения формулы I, в котором А обозначает гидрокси, и выделение образовавшегося соединения формулы I в форме свободного основания или кислотно-аддитивной соли. 7. Фармацевтическая композиция, обладающая антагонистическим действием в отношении метаботропных глутаматных рецепторов mGluR5, содержащая эффективное количество соединения по п.1 в форме свободного основания или фармацевтически приемлемой кислотно-аддитивной соли в сочетании с фармацевтическим носителем или разбавителем. 8. Применение соединения по п.1 в форме свободного основания или фармацевтически приемлемой кислотно-аддитивной соли для приготовления фармацевтический композиции, предназначенной для лечения заболеваний, которые связаны с нарушениями передачи глутаматергического сигнала, и заболеваний нервной системы, частично или полностью опосредуемых mGluR5.
|
||||||||||||||||||||||||||





]D=-111,6); трет-бутиловый эфир (+)-(3аS,7аS)-4-оксооктагидроиндол-1-карбоновой кислоты ([
7,3-7,1 (m, 4Н), 5,5 (d, J=5 Гц, 1H), 3,85-3,65 (m, 1Н), 3,35-3,25 (m, 1Н), 3,25-3,1 (m, 1Н), 2,6-2,45 (m, 1Н), 2,28 (s, 3Н), 1,9-1,4 (m, 7Н), 1,36 (s, 9Н), 1,13-0,98 (m, 1Н).

