|
|
(21), (22) Заявка: 2005121262/04, 04.12.2003
(24) Дата начала отсчета срока действия патента:
04.12.2003
(30) Конвенционный приоритет:
06.12.2002 GB 0228533.6
(43) Дата публикации заявки: 20.01.2006
(46) Опубликовано: 27.11.2008
(56) Список документов, цитированных в отчете о поиске:
WO 01/39759 A2, 07.06.2001. WO 99/16747 A1, 08.04.1999. RU 2152954 C1, 20.07.2000.
(85) Дата перевода заявки PCT на национальную фазу:
06.07.2005
(86) Заявка PCT:
EP 03/13800 (04.12.2003)
(87) Публикация PCT:
WO 2004/052878 (24.06.2004)
Адрес для переписки:
129090, Москва, ул. Б.Спасская, 25, стр.3, ООО “Юридическая фирма Городисский и Партнеры”, пат.пов. Е.Е.Назиной, рег. № 517
|
(72) Автор(ы):
ДЕЛЛЬ ОРКО Филип К. (US), КЕЛЛИ Генри Андерсон (GB), ШАХ Гита Пунджабхай (GB), УОТСОН Найджел Стефен (GB), ЯНГ Роберт Джон (GB)
(73) Патентообладатель(и):
ГЛЭКСО ГРУП ЛИМИТЕД (GB)
|
(54) КРИСТАЛЛИЧЕСКАЯ ФОРМА
(57) Реферат:
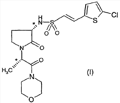
Изобретение относится к (Е)-2-(5-хлортиен-2-ил)-N-{(3S)-1-[(1S)-1-метил-2-морфолин-4-ил-2-оксоэтил]-2-оксопирролидин-3-ил}этенсульфонамиду в по существу кристаллической форме, который обладает активностью ингибитора фактора Ха, фармацевтической композиции на его основе, к способу его получения и к его применению для получения лекарственного средства. (Е)-2-(5-Хлортиен-2-ил)-N-{(3S)-1-[(1S)-1-метил-2-морфолин-4-ил-2-оксоэтил]-2-оксопирролидин-3-ил}этенсульфонамид в по существу кристаллической форме имеет порошковую рентгенограмму, выраженную в значениях углов 2 и полученную при помощи дифрактометра, включающую пики, находящиеся в следующих положениях, выраженных в углах 2 : 9,1-9,2 (±0,1), 16,0-16,1 (±0,1), 18,0-18,2 (±0,1) и 18,3-18,4 (±0,1) градусов, а термин «по существу кристаллическая форма» означает, что эта форма, в основном, свободна от аморфной формы (Е)-2-(5-хлортиен-2-ил)-N-{(3S)-1-[(1S)-1-метил-2-морфолин-4-ил-2-оксоэтил]-2-оксопирролидин-3-ил}этенсульфонамида, и под термином «в основном свободна от» подразумевается содержание аморфной формы меньше чем 50%. 4 н. и 11 з.п. ф-лы, 2 ил., 5 табл.
Настоящее изобретение относится к кристаллическим производным оксопирролидинового соединения и их применению в медицине. В частности, изобретение относится к по существу кристаллической форме (E)-2-(5-хлортиен-2-ил)-N-{(3S)-1-[(1S)-1-метил-2-морфолин-4-ил-2-оксоэтил]-2-оксопирролидин-3-ил}этенсульфонамида, фармацевтическим композициям на ее основе, способам ее получения и ее применению в медицине, в частности применению для улучшения клинического состояния, для которого требуется ингибитор Фактора Ха.
Фактор Xa является представителем ферментов, относящихся к классу трипсиноподобных сериновых протеиназ. Он является ключевым ферментом в каскаде свертывания крови. Взаимно-однозначное связывание Факторов Xa и Va с ионами кальция и фосфолипидом превращает протромбин в тромбин. Тромбин играет центральную роль в механизме свертывания крови, превращая растворимый белок плазмы, фибриноген, в нерастворимый фибрин. Нерастворимая фибриновая матрица требуется для стабилизации первичной гемостатической пробки. Многие распространенные заболевания связаны с аномальным гемостазом. С точки зрения коронарной артериальной сосудистой системы, аномальное образование тромба вследствие разрыва сформировавшейся атеросклеротической бляшки является основной причиной острого инфаркта миокарда и нестабильной стенокардии. Как лечение оклюзионного коронарного тромба путем тромболитической терапии, так и чрескожная транслюминальная коронарная ангиопластика (PTCA) часто сопровождаются резкой повторной тромботической закупоркой пораженного сосуда, что требует немедленного вмешательства. Что касается венозной сосудистой системы, высокий процент пациентов, подвергающихся обширному оперативному вмешательству в нижних конечностях или брюшной полости, страдает образованием тромбов в венозной сосудистой системе, которое может привести к уменьшению кровотока в пораженной конечности и предрасположенности к эмболии сосудов легких. Диссеминированное внутрисосудистое свертывание обычно происходит в обеих сосудистых системах во время септического шока, при некоторых вирусных инфекциях и раке и характеризуется быстрым расходом коагуляционных факторов и системной коагуляции, что приводит к образованию угрожающих жизни тромбов, возникающих по всей сосудистой системе, за которым следует поражение многих органов.
Помимо своей непосредственной роли в образовании обогащенных фибрином кровяных сгустков, тромбин, как сообщалось, обладает выраженным биорегуляторным воздействием на ряд клеточных компонентов внутри сосудистой системы и в крови (Shuman, M.A., Ann. NY Acad. Sci., 405:349(1986)).
Ингибитор Фактора Xa может быть использован для лечения острых сосудистых заболеваний, таких как острые коронарные синдромы (например, первичное и вторичное предотвращение инфаркта миокарда и лечение протромботических последствий, связанных с инфарктом миокарда или сердечной недостаточностью), тромбоэмболия, острая закупорка сосуда, связанная с тромболитической терапией и чрескожной транслюминальной коронарной ангиопластикой, преходящие ишемические нарушения, эмболия сосудов легких, глубокий венозный тромбоз, периферическая артериальная окклюзия, предотвращения сужения просвета сосуда (рестеноза) и предотвращения случаев тромбоэмболических осложнений, связанных с фибрилляцией предсердий, например удара. Ингибиторы Фактора Xa могут быть также использованы для профилактики тромбоза и осложнений у пациентов с наследственной предрасположенностью к артериальному тромбозу или венозному тромбозу и пациентов, которые имеют связанную с заболеванием предрасположенностью к тромбозу (например, с диабетом типа 2). Тромбин, как сообщалось, вносит вклад в пролиферацию фибробластов легких, поэтому ингибиторы Фактора Xa могут быть использованы для лечения некоторых легочных фиброзных заболеваний. Ингибиторы Фактора Ха могут быть также использованы для лечения метастаза опухоли путем подавления свертывания крови, вследствие чего предотвращается отложение фибрина, облегчающее образование метастаза. Ингибитор Фактора Ха может быть также полезен в качестве противовоспалительного средства за счет ингибирования опосредованной FXa активации активируемых протеазой рецепторов (PAR 1-4). Ингибитор Фактора Ха может быть также полезен в качестве противоатеросклеротического средства за счет подавления активации тромбоцитов. Тромбин может вызывать ретракцию нейрита, и поэтому ингибиторы Фактора Xa могут потенциально использоваться в лечении нейродегенеративных заболеваний, таких как болезнь Паркинсона и болезнь Альцгеймера. Ингибиторы Фактора Ха могут быть также полезны в качестве противосвертывающих средств в процессе получения, хранения, фракционирования или применением цельной крови. Как сообщалось, они находят применение в сочетании с тромболитическими средствами, позволяя тем самым использовать более низкую дозу тромболитического средства.
(E)-2-(5-Хлортиен-2-ил)-N-{(3S)-1-[(1S)-1-метил-2-морфолин-4-ил-2-оксоэтил]-2-оксопирролидин-3-ил}этенсульфонамид представляет собой ингибитор FXa, раскрытый в патентных публикациях W002/100886 и W002/100830, включенных в настоящее описание в виде ссылки, в по существу аморфной форме. (E)-2-(5-Хлортиен-2-ил)-N-{(3S)-1-[(1S)-1-метил-2-морфолин-4-ил-2-оксоэтил]-2-оксопирролидин-3-ил}этенсульфонамид имеет структуру, представленную ниже:

Сущность изобретения
Авторами изобретения было обнаружено, что (E)-2-(5-хлортиен-2-ил)-N-{(3S)-1-[(1S)-1-метил-2-морфолин-4-ил-2-оксоэтил]-2-оксопирролидин-3-ил}этенсульфонамид можно получить в по существу кристаллической форме. В соответствии с этим, в первом аспекте изобретения предлагается (E)-2-(5-хлортиен-2-ил)-N-{(3S)-1-[(1S)-1-метил-2-морфолин-4-ил-2-оксоэтил]-2-оксопирролидин-3-ил}этенсульфонамид в по существу кристаллической форме.
Другие аспекты изобретения представляют собой:
– фармацевтическую композицию, содержащую (E)-2-(5-хлортиен-2-ил)-N-{(3S)-1-[(1S)-1-метил-2-морфолин-4-ил-2-оксоэтил]-2-оксопирролидин-3-ил}этенсульфонамид в по существу кристаллической форме вместе с фармацевтическим носителем и/или наполнителем;
– (E)-2-(5-Хлортиен-2-ил)-N-{(3S)-1-[(1S)-1-метил-2-морфолин-4-ил-2-оксоэтил]-2-оксопирролидин-3-ил}этенсульфонамид в по существу кристаллической форме для применения в терапии;
– применение (E)-2-(5-хлортиен-2-ил)-N-{(3S)-1-[(1S)-1-метил-2-морфолин-4-ил-2-оксоэтил]-2-оксопирролидин-3-ил}этенсульфонамида в по существу кристаллической форме для получения лекарственного средства для лечения пациента, страдающего от состояния, восприимчивого к улучшению при помощи ингибитора Фактора Ха;
– способ лечения пациента, страдающего от состояния, которое можно улучшить при помощи ингибитора Фактора Ха, включающий введение терапевтически эффективного количества (E)-2-(5-хлортиен-2-ил)-N-{(3S)-1-[(1S)-1-метил-2-морфолин-4-ил-2-оксоэтил]-2-оксопирролидин-3-ил}этенсульфонамида в по существу кристаллической форме.
Подробное описание изобретения
По существу кристаллическую форму (E)-2-(5-хлортиен-2-ил)-N-{(3S)-1-[(1S)-1-метил-2-морфолин-4-ил-2-оксоэтил]-2-оксопирролидин-3-ил}этенсульфонамида можно получить кристаллизацией при определенных условиях в форме игольчатых и/или планкообразных частиц, длиной вплоть до 250 микрон, как описано ниже. Поэтому в другом аспекте изобретения предлагается по существу кристаллический (E)-2-(5-хлортиен-2-ил)-N-{(3S)-1-[(1S)-1-метил-2-морфолин-4-ил-2-оксоэтил]-2-оксопирролидин-3-ил}этенсульфонамид в форме игольчатых кристаллов. В другом аспекте изобретения предлагается также по существу кристаллический (E)-2-(5-хлортиен-2-ил)-N-{(3S)-1-[(1S)-1-метил-2-морфолин-4-ил-2-оксоэтил]-2-оксопирролидин-3-ил}этенсульфонамид в форме планкообразных кристаллов. В другом аспекте изобретения предлагается также по существу кристаллический (E)-2-(5-хлортиен-2-ил)-N-{(3S)-1-[(1S)-1-метил-2-морфолин-4-ил-2-оксоэтил]-2-оксопирролидин-3-ил}этенсульфонамид в форме смеси игольчатых кристаллов и планкообразных кристаллов. Предпочтительно кристаллы имеют длину вплоть до 250 микрон. Однако следует иметь в виду, что при некоторых условиях можно получить кристаллы альтернативных видов. Соответственно, следует иметь в виду, что все такие альтернативные виды кристаллов находятся в пределах объема настоящего изобретения.
Используемый здесь термин “иглообразный” означает иглоподобную призму. Эта форма также известна как “игловидная”. Предпочтительно игольчатые кристаллы имеют размер вплоть до 250 микрон по длине.
Используемый здесь термин “планкообразный (lath-shaped)” подразумевает клино- или лопатообразный кристалл, другими словами, сплюснутую игловидную форму. Предпочтительно планкообразные кристаллы имеют размер вплоть до 250 микрон по длине.
По существу кристаллический (E)-2-(5-хлортиен-2-ил)-N-{(3S)-1-[(1S)-1-метил-2-морфолин-4-ил-2-оксоэтил]-2-оксопирролидин-3-ил}этенсульфонамид имеет начальную температуру точки плавления 163-165°C. Таким образом, в следующем аспекте изобретения обеспечивается (E)-2-(5-хлортиен-2-ил)-N-{(3S)-1-[(1S)-1-метил-2-морфолин-4-ил-2-оксоэтил]-2-оксопирролидин-3-ил}этенсульфонамид в по существу кристаллической форме, имеющий начальную температуру плавления согласно измерению при помощи ДСК (DSC) (±0,5°C): 160°C или больше, предпочтительно в диапазоне 161-167°C, более предпочтительно в диапазоне 163-165°C.
Для образца по существу кристаллического (E)-2-(5-хлортиен-2-ил)-N-{(3S)-1-[(1S)-1-метил-2-морфолин-4-ил-2-оксоэтил]-2-оксопирролидин-3-ил}этенсульфонамида, полученного, как описано ниже, были получены порошковые дифракционные картины рентгеновских лучей, приведенные на Фиг.1 и Фиг.2. Дифракционная картина рентгеновских лучей (далее в тексте «рентгенограмма») является специфической для кристаллической формы. По существу кристаллическая форма демонстрирует дифракционную картину с единственным в своем роде набором дифракционных пиков, которые могут быть выражены в углах 2 тета (°), d-межплоскостных расстояниях (Å) и/или относительных интенсивностях пиков.
Дифракционные углы 2 и соответствующие значения межплоскостных расстояний (d) отвечают за положения различных пиков на рентгенограмме. Значения межплоскостных расстояний d рассчитывают по наблюдаемым углам 2 и длине волны CuK 1, используя уравнение Брэгга. Возможны незначительные колебания в наблюдаемых значениях углов 2 и межплоскостных расстояниях d, исходя из конкретной модели используемого дифрактометра и методики приготовления анализируемого образца. Более значительные колебания ожидаются в значениях относительной интенсивности пиков. Идентификация точной формы кристалла соединения должна опираться, главным образом, на наблюдаемые углы 2 или межплоскостные расстояния (d), при этом относительные интенсивности пиков имеют меньшее значение. Для идентификации по существу кристаллического (E)-2-(5-хлортиен-2-ил)-N-{(3S)-1-[(1S)-1-метил-2-морфолин-4-ил-2-оксоэтил]-2-оксопирролидин-3-ил}этенсульфонамида характеристический пик угла 2 находится при 18,3±0,1 градусах, или межплоскостном расстоянии d 4,8±0,1 Å. В одном аспекте изобретения характеристический пик угла 2 находится при 18,39 градусах, или межплоскостном расстоянии d 4,2 Å.
Хотя специалист в данной области техники может идентифицировать по существу кристаллический (E)-2-(5-хлортиен-2-ил)-N-{(3S)-1-[(1S)-1-метил-2-морфолин-4-ил-2-оксоэтил]-2-оксопирролидин-3-ил}этенсульфонамид, исходя из характеристического пика угла 2 при 18,3±0,1, например 18,39, градуса, в некоторых случаях для идентификации по существу кристаллического (E)-2-(5-хлортиен-2-ил)-N-{(3S)-1-[(1S)-1-метил-2-морфолин-4-ил-2-оксоэтил]-2-оксопирролидин-3-ил}этенсульфонамида желательно использовать пики при нескольких углах 2 или соответствующие им несколько межплоскостных расстояний d. По существу кристаллический (E)-2-(5-хлортиен-2-ил)-N-{(3S)-1-[(1S)-1-метил-2-морфолин-4-ил-2-оксоэтил]-2-оксопирролидин-3-ил}этенсульфонамид можно также идентифицировать по присутствию нескольких характеристических пиков, соответствующих углам 2 , включая два, три или все четыре угла 2 , которые являются достаточно характерными для этой конкретной кристаллической формы. Эти пики находятся в следующих положениях, выраженных в углах 2 (±0,1 градус): 9,1-9,2, 16,0-16,1, 18,0-18,2, 18,3-18,4 градусов. В одном варианте для идентификации по существу кристаллического (E)-2-(5-хлортиен-2-ил)-N-{(3S)-1-[(1S)-1-метил-2-морфолин-4-ил-2-оксоэтил]-2-оксопирролидин-3-ил}этенсульфонамида используют, по крайней мере, один из вышеупомянутых углов 2 .
В одном конкретном аспекте изобретения пики соответствуют следующим положениям, выраженным в углах 2 (±0,1 градусов): 9,21, 13,79, 16,11, 18,11, 18,39 градусов. Для идентификации по существу кристаллического (E)-2-(5-хлортиен-2-ил)-N-{(3S)-1-[(1S)-1-метил-2-морфолин-4-ил-2-оксоэтил]-2-оксопирролидин-3-ил}этенсульфонамида используют, по крайней мере, один, предпочтительно два, более предпочтительно 3, ещё более предпочтительно 4, наиболее предпочтительно 5 из вышеупомянутых углов 2 .
В другом конкретном аспекте изобретения пики находятся в следующих положениях, выраженных в углах 2 (±0,1 градусов): 9,1, 16,0, 18,0, 18,3 градусов. Для идентификации по существу кристаллического (E)-2-(5-хлортиен-2-ил)-N-{(3S)-1-[(1S)-1-метил-2-морфолин-4-ил-2-оксоэтил]-2-оксопирролидин-3-ил}этенсульфонамида используют, по крайней мере, один, предпочтительно два, более предпочтительно 3, наиболее предпочтительно 4 из вышеупомянутых углов 2 .
Некоторый предел погрешности присутствует в каждом из указанных значений угла 2 и межплоскостных расстояний d, описанных выше. Погрешность в определении межплоскостных расстояний d уменьшается с увеличением дифракционного угла сканирования или уменьшением межплоскостного расстояния d. Предел ошибки для вышеприведенных углов 2 составляет приблизительно ±0,1 градуса, предпочтительно ±0,05 градуса для каждого из указанных значений вышеприведенных пиков. Предел ошибки для значений межплоскостных расстояний d составляет приблизительно ±0,1 ангстрем, предпочтительно ±0,05 ангстрем.
Поскольку существует некоторый предел погрешности в определяемом значении углов 2 и межплоскостных расстояний d, предпочтительный метод сравнения порошковых рентгенограмм с целью идентификации конкретной кристаллической формы состоит в наложении порошковой рентгенограммы образца неизвестной формы на порошковую рентгенограмму образца известной формы. Например, специалист в данной области техники может наложить порошковую рентгенограмму неидентифицированной формы (E)-2-(5-хлортиен-2-ил)-N-{(3S)-1-[(1S)-1-метил-2-морфолин-4-ил-2-оксоэтил]-2-оксопирролидин-3-ил}этенсульфонамида, полученного с использованием описанных здесь способов, на Фиг.1 или Фиг.2 и легко определить, является ли рентгенограмма неидентифицированной формы по существу такой же, как порошковая рентгенограмма по существу кристаллического (E)-2-(5-хлортиен-2-ил)-N-{(3S)-1-[(1S)-1-метил-2-морфолин-4-ил-2-оксоэтил]-2-оксопирролидин-3-ил}этенсульфонамида. Если порошковая рентгенограмма окажется по существу такой же, как на Фиг.1 или Фиг.2, то ранее неизвестную форму можно легко и безошибочно идентифицировать как форму по существу кристаллического (E)-2-(5-хлортиен-2-ил)-N-{(3S)-1-[(1S)-1-метил-2-морфолин-4-ил-2-оксоэтил]-2-оксопирролидин-3-ил}этенсульфонамида.
Хотя основной способ идентификации конкретной кристаллической формы заключается в определении углов 2 или межплоскостных расстояний d, желательно также проведение сравнения относительных интенсивностей пиков. Как отмечалось выше, относительные интенсивности пиков могут варьироваться в зависимости от используемой модели дифрактометра и методики приготовления анализируемого образца. Интенсивности пиков соотносятся с интенсивностью наиболее сильного пика. Единицы интенсивности на графике дифракционного спектра представлены как число импульсов/с. Абсолютное число импульсов = число импульсов/время x время импульса = число импульсов/сек x 10 с.
Используемый здесь термин “по существу кристаллическая форма” означает, что она (кристаллическая форма), в основном, свободна от аморфной формы (E)-2-(5-хлортиен-2-ил)-N-{(3S)-1-[(1S)-1-метил-2-морфолин-4-ил-2-оксоэтил]-2-оксопирролидин-3-ил}этенсульфонамида. Под термином “в основном свободна от” подразумевается содержание аморфной формы меньше, чем 50%, предпочтительно содержание аморфной формы меньше, чем 20%, более предпочтительно содержание аморфной формы меньше, чем 10%, более предпочтительно содержание аморфной формы меньше, чем 5%, ещё более предпочтительно содержание аморфной формы меньше, чем 2%, наиболее предпочтительно содержание аморфной формы меньше, чем 1%.
Используемый здесь термин “по существу аморфная форма” означает аморфную форму (E)-2-(5-хлортиен-2-ил)-N-{(3S)-1-[(1S)-1-метил-2-морфолин-4-ил-2-оксоэтил]-2-оксопирролидин-3-ил}этенсульфонамида, которая может содержать вплоть до 10% кристаллической формы (E)-2-(5-хлортиен-2-ил)-N-{(3S)-1-[(1S)-1-метил-2-морфолин-4-ил-2-оксоэтил]-2-оксопирролидин-3-ил}этенсульфонамида, но предпочтительно содержит меньше, чем 5% кристаллической формы, более предпочтительно меньше, чем 3% кристаллической формы, ещё более предпочтительно меньше, чем 2% кристаллической формы, наиболее предпочтительно меньше, чем 1% кристаллической формы.
(E)-2-(5-хлортиен-2-ил)-N-{(3S)-1-[(1S)-1-метил-2-морфолин-4-ил-2-оксоэтил]-2-оксопирролидин-3-ил}этенсульфонамид содержит хиральные (асимметрические) центры, обозначенные * в формуле (I). Индивидуальные стереоизомеры (энантиомеры и диастереоизомеры) и их смеси входят в объем настоящего изобретения. Предпочтительно, стереохимическая конфигурация 3-положения 2-оксопирролидинового кольца представляет собой (S)-конфигурацию. Предпочтительно, 1-положение оксоэтильной группы находится в стереохимической конфигурации (S).
Настоящее изобретение также предлагает способ получения (E)-2-(5-хлортиен-2-ил)-N-{(3S)-1-[(1S)-1-метил-2-морфолин-4-ил-2-оксоэтил]-2-оксопирролидин-3-ил}этенсульфонамида в по существу кристаллической форме, и этот способ включает кристаллизацию (E)-2-(5-хлортиен-2-ил)-N-{(3S)-1-[(1S)-1-метил-2-морфолин-4-ил-2-оксоэтил]-2-оксопирролидин-3-ил}этенсульфонамида из органического раствора, необязательно в присутствии воды. Как правило, (E)-2-(5-хлортиен-2-ил)-N-{(3S)-1-[(1S)-1-метил-2-морфолин-4-ил-2-оксоэтил]-2-оксопирролидин-3-ил}этенсульфонамид растворяют в органическом растворителе, например ароматическом углеводороде (например, толуоле), циклоалкане (например, циклогексане), сложном эфире (например, этилацетате), спирте (например, этаноле, метаноле или пропан-2-оле) или кетоне (например, ацетоне), предпочтительно в кетоне (например, ацетоне) или циклоалкане (например, циклогексане), более предпочтительно в циклогексане, предпочтительно при повышенной температуре, например, 50-70°C, и необязательно добавляют воду в качестве противорастворителя. Кристаллизацию проводят, понижая температуру раствора, предпочтительно до температуры в диапазоне от комнатной температуры до 0°C, более предпочтительно 0-5°C. В предпочтительном аспекте изобретения кристаллы (E)-2-(5-хлортиен-2-ил)-N-{(3S)-1-[(1S)-1-метил-2-морфолин-4-ил-2-оксоэтил]-2-оксопирролидин-3-ил}этенсульфонамида выделяют фильтрацией.
Описанные здесь способы получения по существу кристаллического вещества составляют следующий аспект настоящего изобретения.
(E)-2-(5-Хлортиен-2-ил)-N-{(3S)-1-[(1S)-1-метил-2-морфолин-4-ил-2-оксоэтил]-2-оксопирролидин-3-ил}этенсульфонамид представляет собой ингибитор Фактора Ха и его, как таковой, используют в лечении клинических состояний, которые можно улучшить путем введения ингибитора Фактора Ха. Такие состояния включают острые сосудистые заболевания, такие как острые коронарные синдромы (например, первичное и вторичное предотвращение инфаркта миокарда и нестабильной стенокардии и лечение протромботических последствий, связанных с инфарктом миокарда или сердечной недостаточностью), тромбоэмболия, острая закупорка сосуда, связанная с тромболитической терапией и чрескожной транслюминальной коронарной ангиопластикой (PTCA), преходящие ишемические нарушения, эмболия сосудов легких, глубокий венозный тромбоз, периферическая артериальная окклюзия, предотвращение сужения просвета сосуда (рестеноз) и предотвращение случаев тромбоэмболических осложнений, связанных с фибрилляцией предсердий, например удар; лечение ишемического удара; для профилактики тромбоза и осложнений у пациентов, генетически предрасположенных к артериальному тромбозу или венозному тромбозу, и пациентов, которые имеют связанную с заболеванием предрасположенность к тромбозу (например, с диабетом типа 2); лечение легочного фиброза; лечение метастаза опухоли; лечение воспаления; атеросклероз; нейродегенеративное заболевание, такое как болезни Паркинсона и Альцгеймера; синдром Kasabach Merritt; гемолитический уремический синдром; дисфункция эндотелия; в качестве противосвертывающих средств для экстракорпоральной крови, например, при диализе, фильтрации крови, шунтировании и хранении продукта крови и для покрытия инвазийных устройств, таких как протезы, искусственные клапаны и катетеры, для снижения риска образования тромбов.
Соответственно один аспект настоящего изобретения обеспечивает (E)-2-(5-хлортиен-2-ил)-N-{(3S)-1-[(1S)-1-метил-2-морфолин-4-ил-2-оксоэтил]-2-оксопирролидин-3-ил}этенсульфонамид в по существу кристаллической форме для применения в терапии, в частности для применения с целью улучшения клинического состояния у млекопитающего, включая человека, для которого требуется ингибитор Фактора Ха.
В другом аспекте изобретение предлагает способ лечения и/или профилактики млекопитающего, включая человека, страдающего от состояния, которое может быть улучшено при помощи ингибитора Фактора Ха, и этот способ включает введение пациенту эффективного количества (E)-2-(5-хлортиен-2-ил)-N-{(3S)-1-[(1S)-1-метил-2-морфолин-4-ил-2-оксоэтил]-2-оксопирролидин-3-ил}этенсульфонамида в по существу кристаллической форме.
В другом аспекте настоящее изобретение предлагает применение (E)-2-(5-хлортиен-2-ил)-N-{(3S)-1-[(1S)-1-метил-2-морфолин-4-ил-2-оксоэтил]-2-оксопирролидин-3-ил}этенсульфонамида в по существу кристаллической форме для получения лекарственного средства для лечения и/или профилактики состояния, которое может быть улучшено при помощи ингибитора Фактора Ха.
Предпочтительно состояние, которое может быть улучшено при помощи ингибитора Фактора Ха, выбирают из лечения острых сосудистых заболеваний, таких как коронарный тромбоз (например, инфаркт миокарда и нестабильная стенокардия), тромбоэмболии, острой закупорки сосуда, связанной с тромболитическим лечением и чрескожной транслюминальной коронарной ангиопластикой, преходящих ишемических нарушений, эмболии сосудов легких, глубокого тромбоза вен, периферической артериальной окклюзии, предотвращения сужения просвета сосуда (рестеноз) и предотвращения случаев тромбоэмболических осложнений, связанных с фибрилляцией предсердий, например удар.
Более предпочтительно состояние, которое можно улучшить посредством ингибитора Фактора Ха, выбирают из коронарного тромбоза (например, инфаркт миокарда и нестабильная стенокардия), эмболии сосудов легких, глубокого тромбоза вен и предотвращения случаев тромбоэмболических осложнений, связанных с фибрилляцией предсердий, например удара.
Следует иметь в виду, что ссылка на лечение включает лечение острого заболевания или профилактику, а также облегчение установленных симптомов.
Хотя возможно, что для использования в терапии (E)-2-(5-хлортиен-2-ил)-N-{(3S)-1-[(1S)-1-метил-2-морфолин-4-ил-2-оксоэтил]-2-оксопирролидин-3-ил}этенсульфонамид в по существу кристаллической форме может быть введен в виде исходного химического продукта, предпочтительно, чтобы он присутствовал в виде активного компонента в составе фармацевтической композиции.
В следующем аспекте изобретение предлагает фармацевтическую композицию, содержащую (E)-2-(5-хлортиен-2-ил)-N-{(3S)-1-[(1S)-1-метил-2-морфолин-4-ил-2-оксоэтил]-2-оксопирролидин-3-ил}этенсульфонамид в по существу кристаллической форме в смеси с фармацевтически приемлемым носителем и/или наполнителем. Носитель и/или наполнитель должен быть “приемлемым” в том смысле, что он должен быть совместим с другими компонентами композиции и не вреден для реципиента.
Соответственно настоящее изобретение предлагает фармацевтическую композицию, содержащую (E)-2-(5-хлортиен-2-ил)-N-{(3S)-1-[(1S)-1-метил-2-морфолин-4-ил-2-оксоэтил]-2-оксопирролидин-3-ил}этенсульфонамид в по существу кристаллической форме совместно с фармацевтически приемлемым носителем и/или наполнителем. Носитель и/или наполнитель должен быть “приемлемым” в том смысле, что он должен быть совместим с другими компонентами композиции и не вреден для реципиента.
В другом аспекте изобретение предлагает фармацевтическую композицию, содержащую в качестве активного компонента (E)-2-(5-хлортиен-2-ил)-N-{(3S)-1-[(1S)-1-метил-2-морфолин-4-ил-2-оксоэтил]-2-оксопирролидин-3-ил}этенсульфонамид в по существу кристаллической форме совместно с фармацевтически приемлемым носителем и/или наполнителем для применения в терапии, и, в частности для лечения человека или животного, страдающего от состояния, которое может быть улучшено при помощи ингибитора Фактора Ха.
Далее согласно настоящему изобретению обеспечивается способ получения фармацевтической композиции, и этот способ включает смешивание (E)-2-(5-хлортиен-2-ил)-N-{(3S)-1-[(1S)-1-метил-2-морфолин-4-ил-2-оксоэтил]-2-оксопирролидин-3-ил}этенсульфонамида в по существу кристаллической форме с фармацевтически приемлемым носителем и/или наполнителем.
(E)-2-(5-Хлортиен-2-ил)-N-{(3S)-1-[(1S)-1-метил-2-морфолин-4-ил-2-оксоэтил]-2-оксопирролидин-3-ил}этенсульфонамид в по существу кристаллической форме может быть в составе композиции для перорального, буккального, парентерального, местного, ректального или трансдермального введения или в форме, подходящей для введения путем ингаляции или инсуффляции (либо через рот, либо нос).
Для перорального введения фармацевтические композиции могут принимать форму, например, таблеток или капсул, получаемых обычным способом с фармацевтически приемлемыми наполнителями, такими как связующие средства (например, клейстеризованный кукурузный крахмал, поливинилпирролидон или гидроксипропилметилцеллюлоза); наполнители (например, лактоза, микрокристаллическая целлюлоза или гидрофосфат кальция); смазки (например, стеарат магния, тальк или диоксид кремния); дезинтеграторы (например, картофельный крахмал или натрийкрахмалгликолят) или увлажняющие средства (например, лаурилсульфат натрия). На таблетки может быть нанесено покрытие способами, известными в данной области. Жидкие препараты для перорального введения могут иметь форму, например, растворов, сиропов или суспензий, или они могут быть представлены в виде сухого порошка для разведения водой или другими подходящими наполнителями перед использованием. Такие жидкие препараты можно получить обычным способом с фармацевтически приемлемыми добавками, такими как суспендирующие средства (например, сироп сорбита, производные целлюлозы или гидрогенизированные пищевые жиры); эмульгирующие средства (например, лецитин или акация); неводные наполнители (например, миндальное масло, маслянистые сложные эфиры, этиловый спирт или фракционированные растительные масла) и консерванты (например, метил- или пропил-п-гидроксибензоаты или сорбиновая кислота). Препараты могут также содержать буферные соли, ароматизирующие, красящие и подслащивающие средства, если целесообразно.
Препараты для перорального введения могут быть соответствующим образом изготовлены в виде форм с контролируемым высвобождением активного соединения, используя фармацевтически приемлемый носитель и/или наполнители, например гидроксипропилметилцеллюлозу.
Для буккального введения композиции могут принимать форму таблеток или леденцов соответствующего состава.
Соединения по данному изобретению могут быть в виде состава для парентерального введения при помощи инъекции, например путем болюсной инъекции или непрерывного вливания. Препараты для инъекции могут быть представлены в дозированной лекарственной форме, например в ампулах или контейнерах с многими дозами, с добавлением консерванта. Композиции могут иметь такие формы, как суспензии, растворы или эмульсии в маслянистых или водных наполнителях, и могут содержать вспомогательные средства, такие как суспендирующие, стабилизирующие и/или диспергирующие средства. Альтернативно, активный компонент может быть в виде порошка для разведения последнего перед использованием подходящим наполнителем, например стерильной, апирогенной водой.
Соединения по данному изобретению могут быть в виде состава для местного применения путем инсуффляции и ингаляции. Примеры препаратов для местного введения включают спреи и аэрозоли для использования в ингаляторах и инсуффляторах.
Порошки для наружного применения могут быть сформированы с помощью любой порошковой основы, например лактозы, талька или крахмала. Композиции для распыления могут быть сформированы в виде водных растворов или суспензий либо в виде аэрозолей, распыляемых из находящихся под давлением упаковок, таких как ингаляторы с регулируемой дозой, с использованием подходящего пропелланта.
Соединения по данному изобретению могут быть также сформированы в виде ректальных композиций, таких как суппозитории или удерживающие клизмы, содержащие обычные основы для суппозиториев, такие как масло какао или другие глицериды.
Помимо препаратов, описанных ранее, соединения могут быть сформированы в виде препарата пролонгированного действия. Такие препараты длительного действия можно вводить путем имплантации (например, подкожно, чрескожно или внутримышечно) или при помощи внутримышечной инъекции. Так, соединения по данному изобретению могут быть в виде состава с подходящими полимерными или гидрофобными веществами (например, в виде эмульсии в приемлемом масле) или ионообменными смолами или в виде труднорастворимых производных, например в виде труднорастворимой соли.
Предлагаемая доза (E)-2-(5-хлортиен-2-ил)-N-{(3S)-1-[(1S)-1-метил-2-морфолин-4-ил-2-оксоэтил]-2-оксопирролидин-3-ил}этенсульфонамида в по существу кристаллической форме по данному изобретению для введения человеку (с массой тела приблизительно 70 кг) составляет от 0,1 мг до 1 г, предпочтительно от 1 мг до 500 мг активного компонента в стандартной дозе, выраженной в виде массы свободного основания. Стандартную дозу можно вводить, например, от 1 до 4 раз в день. Доза обычно зависит от пути введения. Следует иметь в виду, что может возникнуть необходимость внести обычные изменения в дозировку в зависимости от возраста и массы пациента, а также серьезности состояния, подлежащего лечению. Доза может также зависеть от пути введения. Выбор точной дозы и пути введения, в конечном счете, обычно делается по усмотрению штатного врача больницы или ветеринара.
(E)-2-(5-Хлортиен-2-ил)-N-{(3S)-1-[(1S)-1-метил-2-морфолин-4-ил-2-оксоэтил]-2-оксопирролидин-3-ил}этенсульфонамид в по существу кристаллической форме может быть также использован в комбинации с другими терапевтическими средствами. Таким образом, в другом аспекте изобретение обеспечивает комбинацию, содержащую (E)-2-(5-хлортиен-2-ил)-N-{(3S)-1-[(1S)-1-метил-2-морфолин-4-ил-2-оксоэтил]-2-оксопирролидин-3-ил}этенсульфонамид в по существу кристаллической форме вместе с другим терапевтическим средством.
Когда (E)-2-(5-хлортиен-2-ил)-N-{(3S)-1-[(1S)-1-метил-2-морфолин-4-ил-2-оксоэтил]-2-оксопирролидин-3-ил}этенсульфонамид в по существу кристаллической форме используют в комбинации со вторым терапевтическим средством, активным в отношении такого же болезненного состояния, доза каждого соединения может отличаться от той дозы, которую используют при применении только одного соединения. Соответствующие дозы могут быть легко подобраны специалистами в данной области. Следует иметь в виду, что количество соединения по данному изобретению, требуемое для использования в лечении, может варьироваться в зависимости от природы состояния, подлежащего лечению, и возраста и состояния пациента и, в конечном счете, обычно устанавливается по усмотрению штатного врача больницы или ветеринара. (E)-2-(5-Хлортиен-2-ил)-N-{(3S)-1-[(1S)-1-метил-2-морфолин-4-ил-2-оксоэтил]-2-оксопирролидин-3-ил}этенсульфонамид в по существу кристаллической форме можно использовать в комбинации с другими антитромботическими средствами (такими как ингибиторы тромбина, антагонисты рецептора тромбоксана, миметики простациклина, ингибиторы фосфодиэстеразы, антагонисты фибриногена, тромболитические средства, такие как тканевый активатор плазминогена и стрептокиназа, нестероидные противовоспалительные средства, такие как аспирин, и т.п.), гипотензивными средствами (такими как ингибиторы ангиотензин-превращающего фермента, антагонисты рецептора ангиотензина-II, ингибиторы ACE/NEP, -блокаторы, блокаторы кальциевых каналов, ингибиторы PDE, блокаторы альдостерона), антиатероскреротическими/дислипидемическими средствами (такими как ингибиторы редуктазы HMG-CoA) и антиаритмическими средствами.
Вышеуказанные комбинации могут быть подходящим образом представлены для применения в форме фармацевтической композиции, и соответственно фармацевтические композиции, содержащие определенную выше комбинацию вместе с фармацевтически приемлемым носителем или наполнителем, составляют дополнительный аспект изобретения. Индивидуальные компоненты таких комбинаций можно вводить либо последовательно, либо одновременно в отдельных или комбинированных фармацевтических композициях любым подходящим путем.
При последовательном введении сначала можно вводить либо ингибитор Фактора Ха, либо второе терапевтическое средство. При одновременном введении комбинацию можно вводить либо в одной и той же, либо в разных фармацевтических композициях.
При объединении в одном и том же препарате следует иметь в виду, что два соединения должны быть стабильными и совместимыми друг с другом и другими компонентами препарата. При формировании раздельно они могут быть представлены в любом подходящем составе, удобно таким образом, как известно для таких соединений в данной области техники.
В дальнейшем настоящее изобретение иллюстрируется прилагаемыми примерами, которые не следует рассматривать как ограничивающие каким-либо образом объем изобретения.
Все публикации, включая, но не ограничиваясь ими, патенты и патентные заявки, цитируемые в данном описании, включены в виде ссылки, как если бы каждая индивидуальная публикация была конкретно и индивидуально обозначена, как включенная в полном объеме в виде ссылки.
Примеры
Сокращения
API Активный фармацевтический компонент.
DCM Дихлорметан.
ДМФА N,N-Диметилформамид.
HOBT 1-Гидроксибензотриазол.
ГХ Газовая хроматография.
LOD Потеря при сушке.
PAR Отношение площадей пиков (Peak Area Ratio).
Промежуточное соединение 1
трет-Бутил N-[(бензилокси)карбонил]-L-метионил-L-аланинат
Z-Защищенный L-метионин (10 г) растворяют в ДМФА (200 мл) и добавляют 1-[3-(диметиламино)пропил]-3-этилкарбодиимид гидрохлорид (8,13 г) с последующим добавлением HOBT (5,72 г) и триэтиламина (19,7 мл). Смесь перемешивают в течение 1 ч, затем добавляют трет-бутиловый эфир L-аланина (7,7 г) и перемешивание продолжают в течение 18 ч. Смесь концентрируют при пониженном давлении и распределяют между диэтиловым эфиром и водой. Отделенную органическую фазу промывают хлороводородной кислотой (1М), насыщенным раствором бикарбоната натрия и насыщенным раствором соли, сушат (над сульфатом магния) и концентрируют при пониженном давлении, получая указанное в заголовке соединение (11,9 г) в виде оранжевого масла, которое кристаллизуется при стоянии.
Масс-спектр: Найдено: MH+ 411.
Промежуточное соединение 2
трет-Бутил (2S)-2-((3S)-3{[(бензилокси)карбонил]амино}-2-оксопирролидин-1-ил)пропаноат
Раствор промежуточного соединения 1 (11,9 г) в ацетоне (75 мл) обрабатывают метилиодидом (18 мл) и перемешивают при комнатной температуре в течение 72 ч. Затем реакционную смесь концентрируют при пониженном давлении, получая оранжевое твердое вещество, которое растворяют в ацетонитриле (200 мл). Добавляют смолу Dowex (OH-форму) (19,42 г) и смесь перемешивают в течение 18 ч при комнатной температуре. Смесь фильтруют и смолу промывают этилацетатом. Фильтрат концентрируют при пониженном давлении, получая желтое масло, которое очищают хроматографией Biotage (элюируя смесью циклогексан:этилацетат 3:2), получая указанное в заголовке соединение (2,92 г) в виде бесцветного масла.
Масс-спектр: Найдено: MH+ 363.
Промежуточное соединение 3
(2S)-2-((3S)-3-{[(Бензилокси)карбонил]амино}-2-оксипирролидин-1-ил)пропановая кислота
Промежуточное соединение 2 (0,5 г) растворяют в DCM (7 мл) и добавляют трифторуксусную кислоту (4,7 мл). Смесь перемешивают при комнатной температуре в течение 1,5 ч и затем концентрируют при пониженном давлении, получая указанное в заголовке соединение (0,423 г) в виде бесцветного масла, которое после азеотропной перегонки с толуолом кристаллизуется.
Масс-спектр: Найдено: MH+ 307.
Промежуточное соединение 4
Бензил (3S)-1-[(1S)-1-метил-2-морфолин-4-ил-2-оксоэтил]-2-оксопирролидин-3-илкарбамат
Промежуточное соединение 3 (84,5 г) растворяют в ДМФА (2 л) и добавляют тетрафторборат O-(бензотриазол-1-ил)-N,N,N’,N’-тетраметилурония (161 г), с последуюшим добавлением N,N-диизопропилэтиламина (92 мл) и морфолина (46 мл). Смесь перемешивают в атмосфере азота в течение 2,5 ч и добавляют насыщенный водный хлорид аммония. Смесь перемешивают в течение 15 мин, затем распределяют между водой и этилацетатом. Отделенный органический слой промывают хлоридом лития (10% мас.), затем насыщенным бикарбонатом натрия и насыщенным раствором соли. Органический слой сушат (над сульфатом натрия) и концентрируют при пониженном давлении, получая указанное в заголовке соединение (65 г) в виде желтого твердого вещества.
Масс-спектр: Найдено: MH+ 376.
Промежуточное соединение 5
(3S)-3-Амино-1-[(1S)-1-метил-2-морфолин-4-ил-2-оксоэтил]пирролидин-2-он
Смесь промежуточного соединения 4 (20 г), 10% палладия на углероде (2 г) и этанола (1,3 л) перемешивают в атмосфере водорода в течение 16 ч. Реакционную смесь фильтруют через Целит и фильтрат концентрируют при пониженном давлении, получая указанное в заголовке соединение (12,3 г) в виде бледно-белого масла.
1H ЯМР (D4MeOH): 5,05 (1H, дд), 3,59 (9H, м), 3,37 (2H, м), 2,42 (1H, м), 1,75 (1H, м), 1,30 (3H, д) м.д.
Промежуточное соединение 6
(S)-3-Амино-1-[(S)-1-метил-2-морфолин-4-ил-2-оксоэтил]пирролидин-2-он гидрохлорид
К суспензии промежуточного соединения 4 (5 г, 0,013 моль, 1 эквивалент) в этаноле (75 мл) и хлороводородной кислоты (2,2 мл, 0,026 моль, 2 эквивалента) добавляют 20% гидроксид палладия на углероде, увлажненный 50% воды (100 мг, 2% мас.). Суспензию перемешивают при комнатной температуре при приблизительно 15-20 фунт/дюйм2 в течение приблизительно 3 часов. Смесь фильтруют через целит. Осадок промывают ацетонитрилом (2×30 мл). Фильтрат содержал (S)-3-амино-1-[(S)-1-метил-2-морфолин-4-ил-2-оксоэтил]пирролидин-2-он гидрохлорид (выход достигал 100%).
Пример 1
(E)-2-(5-Хлортиен-2-ил)-N-{(3S)-1-[(1S)-1-метил-2-морфолин-4-ил-2-оксоэтил]-2-оксопирролидин-3-ил}этенсульфонамид (способ 1)
К раствору промежуточного соединения 5 (14,9 г) в безводном ацетонитриле (750 мл) добавляют (E)-2-(5-хлортиен-2-ил)этенсульфонилхлорид (16,5 г) в ацетонитриле (250 мл) и пиридин (11 мл) и смесь перемешивают при комнатной температуре в течение 72 ч. Добавляют насыщенный раствор хлорида аммония и полученную смесь перемешивают при комнатной температуре в течение 30 мин. Смесь концентрируют при пониженном давлении и остаток распределяют между хлороформом и смесью 1:1 хлороводородной кислоты (2М) и воды. Органический слой промывают смесью 1:1 насыщенного бикарбоната натрия и воды и насыщенным раствором соли. Органический слой отделяют, сушат (над сульфатом магния) и концентрируют при пониженном давлении, получая указанное в заголовке соединение (19,3 г) в виде белого твердого вещества (по существу аморфная форма).
Масс-спектр: Найдено: MH+ 448.
ВЭЖХ (HPLC) Rt 2,99 мин.
1H ЯМР (CDCl3): 7,48 (1H, д), 7,08 (1H, д), 6,90 (1H, д), 6,55 (1H, д), 5,12 (1H, ш.д), 5,06(1H, к), 3,96 (1H, м), 3,70-3,48 (9H, м), 3,35 (1H, м), 2,62 (1H, м), 2,05 (1H, м), 1,34 (3H, д) м.д.
Кристаллизация продукта примера 1
Продукт примера 1 (33,3 г) растворяют в ацетоне (350 мл) при 55°C при перемешивании в атмосфере азота. Воду (780 мл) добавляют по каплям и порциями на протяжении 3,5 ч, во время этого добавления раствор начинает мутнеть. Нагрев прекращают и раствор оставляют до достижения комнатной температуры на протяжении 2 ч. Смесь выдерживают в течение ещё 18 ч при комнатной температуре в отсутствие света. Полученную суспензию фильтруют, промывают холодной водой (200 мл) и затем сушат в вакууме 30°C на протяжении 24 ч, получая указанное в заголовке соединение в виде белого по существу кристаллического твердого вещества.
Полученное по существу кристаллическое вещество используют в качестве затравки, чтобы инициировать кристаллизацию в повторном процессе кристаллизации (описанном выше), в котором затравку добавляют после удаления нагрева, чтобы получить указанное в заголовке соединение (29,2 г) в виде белого по существу кристаллического твердого вещества.
Температура плавления (согласно ДСК (дифференциальная сканирующая калориметрия)): начало плавления 163-165°C.
По существу кристаллическое твердое вещество существует преимущественно в виде игольчатых и планкообразных частиц, по длине до 250 микрон, которые образуют рыхлые аггломераты.
Порошковую рентгенограмму кристаллического соединения, показанную на Фиг.1, получают, используя установочные параметры, представленные в таблице 1. В таблице 2 приведен перечень данных характеристических пиков.
| Таблица 1(a) |
| Характеристики прибора для регистрации порошковой рентгенограммы (XRPD) и условия измерения |
| Производитель |
Philips Analytical X-Ray B.V. Нидерланды |
| Тип дифрактометра |
PW3040 |
| Серия |
DY667 |
| Анод трубки |
Cu |
 1 |
1,54056 |
 2 |
1,54439 |
Отношение 2/ 1 |
0,50000 |
| Дивергенционная щель |
Prog. Div. Slit |
| Приемная щель |
Prog. Rec. Slit |
| Используемый монохроматор |
YES |
| Напряжение генератора |
40 кВ |
| Ток в трубке |
50 мA |
Диапазон углов (°2 ) |
2,0000-45,0000 |
Размер сканирующего шага (°2 ) |
0,020 |
| Тип сканирования |
Непрерывный |
| Время шага сканирования |
1,00 секунд |
| Таблица 1 (b) |
| Характеристики прибора для определения начала плавления методом ДСК и условия измерения |
| Прибор |
Производитель/Модель: |
TA Instruments DSC2920 |
| |
Серийный No. |
M2920-234 |
| Способ |
Предварительная обработка образца |
Никакой |
| |
Продувка газом/ скорость потока |
Азот/20 мл мин-1 |
| |
Тип изложницы для образца |
Фильера алюминий |
| |
Скорость нагревания |
10°C мин-1 |
| |
Диапазон температур нагревания |
От температуры окружающей среды до 300°C |
Начало плавления для по существу кристаллического вещества 163-165°C.
Микроскопия
Частицы описаны как игловидные или планкообразные кристаллы по длине до 400 микрон.
| Таблица 2 |
| Данные пиков порошковой рентгенограммы (XRPD) для (E)-2-(5-хлортиен-2-ил)-N-{[(3S)-1-[(S)-1-метил-2-морфолин-4-ил-2-оксоэтил]-2-оксопирролидин-3-ил}этенсульфонамида в по существу кристаллической форме (Пример 1); характеризуемые порошковой рентгенограммой, которая содержит, но не ограничивается ими, пики, представленные в таблице 2 |
Угол (°2 ) |
d K-альфа1 (Å) |
Относительная интенсивность (%) |
| 4,65 |
18,98 |
0,9 |
| 8,67 |
10,19 |
0,69 |
| 9,21 |
9,59 |
17,5 |
| 9,55 |
9,26 |
1,1 |
| 10,82 |
8,17 |
3,2 |
| 12,41 |
7,13 |
3,4 |
| 12,71 |
6,96 |
1,0 |
| 13,79 |
6,42 |
11,6 |
| 14,38 |
6,16 |
3,2 |
| 15,19 |
5,83 |
0,7 |
| 16,11 |
5,50 |
13,2 |
| 16,64 |
5,32 |
5,8 |
| 16,80 |
5,27 |
6,7 |
| 17,27 |
5,13 |
2,5 |
| 18,11 |
4,89 |
16,8 |
| 18,39 |
4,82 |
100,0 |
| 18,90 |
4,69 |
2,7 |
| 19,57 |
4,53 |
2,3 |
| 20,25 |
4,38 |
3,7 |
| 20,62 |
4,30 |
3,1 |
| 21,14 |
4,20 |
4,0 |
| 21,95 |
4,05 |
2,6 |
| 22,37 |
3,97 |
9,6 |
Пример 2
(E)-2-(5-Хлоротиен-2-ил)-N-{(3S)-1-[(1S)-1-метил-2-морфолин-4-ил-2-оксоэтил]-2-оксопирролидин-3-ил}этенсульфонамид (способ 2)
Стехиометрию исходных веществ и реагентов и объемы (об.) используемых растворителей рассчитывали, исходя из количества гидрохлорида (S)-3-амино-1-[(S)-1-метил-2-морфолин-4-ил-2-оксоэтил]пирролидин-2-она, выход которого из промежуточного соединения 5 достигал 100%.
В реактор загружают гидрохлорид (S)-3-Амино-1-[(S)-1-метил-2-морфолин-4-ил-2-оксоэтил]пирролидин-2-она (1,0 экв.), Промежуточное соединение 6 в этаноле и пиридин (3 объема) и затем содержимое концентрируют в вакууме при температуре ниже 40°C до приблизительно 3 объемов. Добавляют 10 объемов ацетонитрила, затем раствор концентрируют в вакууме при температуре ниже 40°C до приблизительно 3 объемов. Добавление и концентрирование ацетонитрила повторяют (4 цикла) до тех пор, пока приемлемый уровень этанола не станет ниже 0,1% мас./мас. (анализ на этанол методом ГХ). Пробу на ГХ отбирают между 4-м и 5-м циклами после добавления 10 об. ацетонитрила.
Объемы раствора гидрохлорида (S)-3-амино-1-[(S)-1-метил-2-морфолин-4-ил-2-оксоэтил]пирролидин-2-она доводят до около 13 объемов ацетонитрилом (грубо пиридин, 3 об.; ацетонитрил, 10 об.) при температуре окружающей среды. В реактор загружают одной порцией (E)-2-(5-хлортиофен-2-ил)этенсульфонилхлорид (1,0-1,4 экв.) в виде твердого вещества. Смесь перемешивают при температуре окружающей среды до завершения реакции, контролируя ход её ВЭЖХ. (Замечание: реакцию считали завершенной, когда согласно анализу ВЭЖХ отношение (E)-2-(5-хлортиен-2-ил)-N-{(3S)-1-[(1S)-1-метил-2-морфолин-4-ил-2-оксоэтил]-2-оксопирролидин-3-ил}этенсульфонамид:(E)-2-(5-хлортиофен-2-ил)этенсульфонилхлорид (плюс кислота из (E)-2-(5-хлортиофен-2-ил)этенсульфонилхлорида) составляло больше чем 86:14 PAR.) В реакционную смесь добавляют бутилацетат (15 об.). Растворители удаляют дистилляцией в вакууме при температуре ниже 70°C до достижения приблизительно 12-13 об. Добавляют воду (10 об.) и перемешивают при приблизительно 70°C в течение 30-60 мин, чтобы гарантировать растворение всех маслянистых веществ. Смесь отстаивают на протяжении около 30 мин и разделяют. Органическую фазу промывают водой (5 об.) при 60-70°C. Объединенные водные фазы экстрагируют бутилацетатом (15 об.) при приблизительно 60°C. Объединенные органические фазы фильтруют при 50-60°C (конечный API) и затем концентрируют до приблизительно 10 об. в вакууме при температуре <80°C. Во время концентрирования осаждается твердое вещество. Суспензию охлаждают до температуры окружающей среды. Добавляют циклогексан (10 об. фильтрованный) и суспензию выдерживают в течение 4-24 ч. Твердое вещество отфильтровывают и промывают циклогексаном (10 об. фильтрованный). Продукт сушат при 60-70°C в вакууме до постоянной массы или LOD <0,5% при 125°C в течение 5 мин, получая не совсем белое твердое вещество. Наблюдаемый диапазон выхода: 60-70%.
Кристаллизация продукта примера 2
(E)-2-(5-Хлортиен-2-ил)-N-{(3S)-1-[(1S)-1-метил-2-морфолин-4-ил-2-оксоэтил]-2-оксопирролидин-3-ил}этенсульфонамид (29,25 г) суспендируют в н-пропаноле (225 мл, 7,5 объемов). Суспензию нагревают до 75°C. Затем раствор фильтруют горячим. Добавляют циклогексан (225 мл, 7,5 объемов) и смесь нагревают до температуры дефлегмации (74°C). Затем раствор охлаждают до около 65°C и добавляют затравку (0,2% мас./мас. в циклогексане). Полученную суспензию выдерживают при 65°C в течение 30 минут после начала кристаллизации. Содержимое охлаждают до 0-5°C (скорость охлаждения 0,5°C/мин). Суспензию перемешивают при 0-5°C в течение 1 часа и фильтруют в вакууме. Затем осадок промывают циклогексаном (150 мл, 5,0 объемов) и устанавливают в вакуумном сушильном шкафу (60°C/25 ммHg) для сушки до постоянной массы. Масса (E)-2-(5-хлортиен-2-ил-N-{(3S)-1-[(1S)-1-метил-2-морфолин-4-ил-2-оксоэтил]-2-оксопирролидин-3-ил}этенсульфонамида составляла 24,7 г (85%). Наблюдаемый диапазон выхода, %: 85-90% светло-желтого твердого вещества.
| Таблица 3 |
| Характеристики прибора для регистрации XRPD и условия измерения |
| Производитель |
Philips Analytical |
| Тип дифрактометра |
X’Pert Pro MPD Diffractometer |
| Тип детектора |
X’Celerator RTMS(Real Time Multi Strip) |
| Анод трубки |
Cu |
 1 (Е) |
1,54056 |
 2 (Е) |
1,54439 |
Отношение 2/ 1 |
0,50000 |
| Оптика первичного пучка |
Фиксированные щели (0,5° апертура), щели соллера 0,04 радиана, ограничение пучка до 10 мм |
| Оптика дифракционного пучка |
Фиксированные щели (модуль X’Celerator), щели соллера 0,04 радиана |
| Напряжение генератора (кВ) |
40 |
| Ток в трубке (мА) |
40 |
Диапазон углов (°2 ) |
2,0-40,0 |
Размер сканирующего шага(°2 ) |
0,017 |
| Тип сканирования |
Непрерывный |
| Время шага сканирования(сек) |
80 |
| Вращение образца (об/мин) |
25 |
| Таблица 4 |
| Данные пиков порошковой рентгенограммы (XRPD) для (E)-2-(5-хлортиен-2-ил)-N-{(3S)-1-[(1S)-1-метил-2-морфолин-4-ил-2-оксоэтил]-2-оксопирролидин-3-ил}этенсульфонамида в по существу кристаллической форме (Пример 2); характеризуемого порошковой рентгенограммой, которая содержит, но не ограничиваясь ими, пики, представленные в таблице 4 |
Угол (°2 ) |
d K-альфа 1 (Å) |
Относительная интенсивность (%) |
| 4,5 |
19,5 |
21 |
| 8,6 |
10,3 |
22 |
| 9,1 |
9,7 |
38 |
| 9,4 |
9,4 |
28 |
| 10,7 |
8,3 |
53 |
| 12,3 |
7,2 |
34 |
| 12,6 |
7,0 |
16 |
| 13,7 |
6,5 |
17 |
| 16,0 |
5,5 |
66 |
| 16,6 |
5,3 |
86 |
| 16,7 |
5,3 |
77 |
| 17,2 |
5,2 |
27 |
| 18,0 |
4,9 |
81 |
| 18,3 |
4,8 |
100 |
| 19,5 |
4,6 |
19 |
| 20,2 |
4,4 |
31 |
| 20,5 |
4,3 |
18 |
| 21,9 |
4,1 |
19 |
| 22,3 |
4,0 |
27 |
| 22,9 |
3,9 |
19 |
| 23,1 |
3,8 |
20 |
| 23,5 |
3,8 |
22 |
Формула изобретения
1. (Е)-2-(5-Хлортиен-2-ил)-N-{(3S)-1-[(1S)-1-метил-2-морфолин-4-ил-2-оксоэтил]-2-оксопирролидин-3-ил}этенсульфонамид в по существу кристаллической форме, имеющей порошковую рентгенограмму, выраженную в значениях углов 2 и полученную при помощи дифрактометра, причем эта порошковая рентгенограмма включает пики, находящиеся в следующих положениях, выраженных в углах 2 : 9,1-9,2 (±0,1), 16,0-16,1(±0,1), 18,0-18,2 (±0,1) и 18,3-18,4 (±0,1)°, и где термин «по существу кристаллическая форма» означает, что эта форма, в основном, свободна от аморфной формы (Е)-2-(5-хлортиен-2-ил)-N-{(3S)-1-[(1S)-1-метил-2-морфолин-4-ил-2-оксоэтил]-2-оксопирролидин-3-ил}этенсульфонамида, и под термином «в основном свободна от» подразумевается содержание аморфной формы меньше чем 50%.
2. По существу кристаллическая форма по п.1 в форме игольчатых кристаллов.
3. По существу кристаллическая форма по п.1 в форме планкообразных кристаллов.
4. По существу кристаллическая форма по п.1 в форме смеси игольчатых кристаллов и планкообразных кристаллов.
5. По существу кристаллическая форма по любому из пп.1-4, у которой температура плавления выше чем 160°С.
6. По существу кристаллическая форма по п.1, имеющая порошковую рентгенограмму, выраженную в значениях углов 2 , и полученную при помощи дифрактометра, причем эта порошковая рентгенограмма включает пики, находящиеся в следующих положениях, выраженных в углах 2 : 9,21±0,05, 13,79±0,05, 16,11±0,05, 18,11±0,05 и 18,39±0,05°.
7. По существу кристаллическая форма по п.1, имеющая порошковую рентгенограмму, выраженную в значениях углов 26, и полученную при помощи дифрактометра, причем эта порошковая рентгенограмма включает пики, находящиеся в следующих положениях, выраженных в углах 2 : 9,1±0,1,16,0±0,1,18,0±0,1 и 18,3±0,1°.
8. По существу кристаллическая форма по п.1, данные рентгенограммы которой представлены в табл.2.
9. По существу кристаллическая форма по п.1, данные рентгенограммы которой представлены в табл.4.
10. По существу кристаллическая форма по п.1, рентгенограмма которой представлена на фиг.1.
11. По существу кристаллическая форма по п.1, рентгенограмма которой представлена на фиг.2.
12. Способ получения (Е)-2-(5-хлортиен-2-ил)-N-{(3S)-1-[(1S)-1-метил-2-морфолин-4-ил-2-оксоэтил]-2-оксопирролидин-3-ил}этенсульфонамида в по существу кристаллической форме по любому из пп.1-11, включающий кристаллизацию (Е)-2-(5-хлортиен-2-ил)-N-{(3S)-1-[(1S)-1-метил-2-морфолин-4-ил-2-оксоэтил]-2-оксопирролидин-3-ил}этенсульфонамида из органического раствора, необязательно в присутствии воды.
13. Способ по п.12, где органический раствор выбран из ароматического углеводорода, циклоалкана, сложного эфира, спирта или кетона, или их смеси.
14. Фармацевтическая композиция в твердой форме, обладающая активностью ингибитора фактора Ха, включающая терапевтически эффективное количество (Е)-2-(5-хлортиен-2-ил)-N-{(3S)-1-[(1S)-1-метил-2-морфолин-4-ил-2-оксоэтил]-2-оксопирролидин-3-ил}этенсульфонамида в по существу кристаллической форме по любому из пп.1-11 вместе с фармацевтическим носителем и/или наполнителем.
15. Применение (Е)-2-(5-хлортиен-2-ил)-N-{(3S)-1-[(1S)-1-метил-2-морфолин-4-ил-2-оксоэтил]-2-оксопирролидин-3-ил}этенсульфонамида в по существу кристаллической форме по любому из пп.1-11 для получения лекарственного средства для лечения пациента, страдающего от состояния, которое может быть улучшено с помощью ингибитора Фактора Ха.
РИСУНКИ
|
|