|
|
(21), (22) Заявка: 2005125048/04, 06.01.2004
(24) Дата начала отсчета срока действия патента:
06.01.2004
(30) Конвенционный приоритет:
06.01.2003 US 60/438.152 25.11.2003 US 60/524.972 02.12.2003 US 60/526.358
(43) Дата публикации заявки: 10.02.2006
(46) Опубликовано: 27.11.2008
(56) Список документов, цитированных в отчете о поиске:
US 6316482 В1, 13.11.2001.
(85) Дата перевода заявки PCT на национальную фазу:
08.08.2005
(86) Заявка PCT:
US 2004/001188 (06.01.2004)
(87) Публикация PCT:
WO 2004/063330 (29.07.2004)
Адрес для переписки:
129090, Москва, ул. Б.Спасская, 25, стр.3, ООО “Юридическая фирма Городисский и Партнеры”, пат.пов. Е.Е.Назиной, рег. № 517
|
(72) Автор(ы):
УИНН Грехем Майкл (GB), ДОЙЛ Кевин (GB), АХМЕД Салех (GB), Ли Ань-Ху (US), КЕЙЛИ Джон Фрейзер (GB), РАЗАМИЗОН Кристелль (GB), ПЕГГ Нил Энтони (GB), САБА Имаад (GB), ТОМАС Клэр (GB), СМИТ Дон (GB), САДИК Шазиа (GB), НЬЮТОН Гари (GB), ДОСОН Грехем (GB), КРЮ Эндрю Филип (US), КАСТЭЛАНО Арлиндо Лукас (US)
(73) Патентообладатель(и):
ОСИ ФАРМАСЬЮТИКАЛЗ, ИНК. (US)
|
(54) СОЕДИНЕНИЯ (2-КАРБОКСИАМИДО)(3-АМИНО)ТИОФЕНА
(57) Реферат:
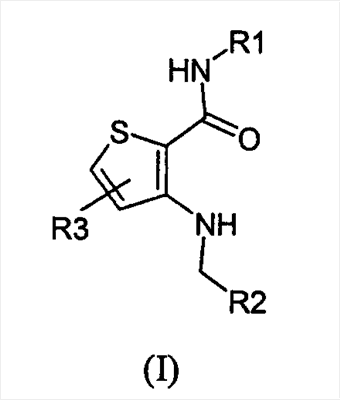
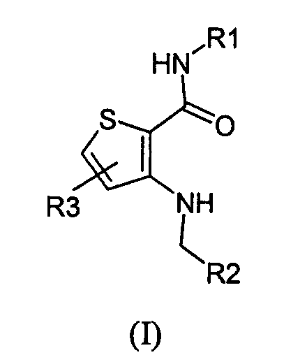
Настоящее изобретение относится к соединению общей формулы I

или его фармацевтически приемлемым солям или N-оксидам, где R1 представляет собой R2 представляет собой R3 представляет собой С0-4алкил. Соединения могут быть использованы при разработке противораковых фармацевтических препаратов. 2 н. и 9 з.п. ф-лы, 1 табл.
Настоящее изобретение направлено на 2,3-замещенные тиофены. Конкретно, настоящее изобретение направлено на (2-карбоксамидо)(3-амино)тиофены, являющиеся ингибиторами с-Kit протоонкогена (так же известного как Kit, CD-117, рецептор фактора стволовых клеток, рецептор фактора роста тучных клеток).
Полагают, что с-Kit протоонкоген имеет большое значение в эмбриогенезе, меланогенезе, гематопоэзе и патогенезе мастоцитоза, опухолей желудочно-кишечного тракта и других солидных опухолей, а также некоторых лейкемий, включая AML. Соответственно, является желательным разработать новые соединения, которые являются ингибиторами с-Kit рецептора.
Во многих современных способах лечения гиперпролиферативных нарушений (рак) используются соединения, ингибирующие синтез ДНК. По механизму действия такие соединения являются токсичными для клеток, в особенности, быстро делящихся опухолевых клеток. Таким образом, их обширная токсичность может представлять проблему для пациента. Однако были исследованы другие подходы к противораковым средствам, действующим образом отличным, чем ингибирование синтеза ДНК, в попытках усилить селективность противоракового действия и посредством чего снизить неблагоприятные побочные эффекты.
Известно, что клетки могут становиться раковыми вследствие трансформации части их ДНК в онкоген (т.е. ген, который при активации ведет к образованию злокачественных опухолевых клеток). Многие онкогены кодируют белки, являющиеся аберрантными протеин-тирозинкиназами, способными вызывать трансформацию клеток. При отличном пути сверхэкспрессия нормальной протоонкогенной тирозинкиназы может также приводить к пролиферативным нарушениям, иногда приводящим к злокачественному фенотипу. Альтернативно, ко-экспрессия рецептора тирозинкиназы и ее сходного лиганда в пределах такого же клеточного типа также может вести к злокачественной трансформации.
Рецепторные тирозинкиназы представляют собой крупные ферменты, которые встроены в клеточную мембрану и обладают i) внеклеточным доменом связывания для факторов роста, таких как KIT лиганд (так же известный как фактор стволовых клеток (SCF), фактор Стила (SLF) или фактор роста тучных клеток (MGF)), ii) трансмембранным доменом и iii) внутриклеточной частью, которая функционирует как киназа, фосфорилирующая специфичные остатки тирозина в белках. Связывание KIT лиганда с KIT тирозинкиназой приводит к гомодимеризации рецептора, активации активности KIT тирозинкиназы и последующему фосфорилированию различных белковых субстратов, многие из которых являются эффекторами передачи внутриклеточных сигналов. Данные явления могут приводить к увеличенной пролиферации клеток или стимулировать увеличение выживаемости клеток. С некоторыми рецепторными киназами может также происходить гетеродимеризация рецептора.
Известно, что такие киназы зачастую аберрантно экспрессируются при распространенных раковых заболеваниях человека, таких как рак молочной железы, раки головы и шеи, гастроинтестинальный рак, такой как рак толстой кишки, рак прямой кишки и желудка, лейкемия и рак яичника, бронхов, легкого или поджелудочной железы. Экспрессия Kit киназы была документирована при большом разнообразии злокачественных заболеваний человека, таких как мастоцитоз/тучноклеточная лейкемия, стромальные гастроинтестинальные опухоли (GIST), мелкоклеточная карцинома легкого (SCLC), синоназальная естественная Т-киллерклеточная лимфома, рак тестикул (семинома), карцинома щитовидной железы, злокачественная меланома, карцинома яичника, карцинома лимфатических пузырьков, острая миелогенная лейкемия (AML), карцинома молочной железы, детская острая Т-клеточная лимфобластная лейкемия, ангиосаркома, анапластическая крупноклеточная лимфома, карцинома эндометрия и карцинома предстательной железы. Активность киназы у KIT включена в патофизиологию многих из указанных и дополнительных опухолей, включая карциному молочной железы, SCLC, GIST, эмбриональноклеточные опухоли, тучноклеточную лейкемию, нейробластому, AML, меланому и карциному яичника.
Сообщается о некоторых механизмах KIT-активации в опухолевых клетках, включая активирующие мутации, аутокринную и паракринную активацию рецепторной киназы посредством ее лиганда, утрату активности протеин-тирозинфосфатазы и перекрестную активацию других киназ. Полагают, что механизмы трансформации, инициируемые активирующими мутациями, включают образование димера и повышение внутренней активности домена киназы, оба из которых приводят к сложной лиганд-независимой активации киназы и возможно измененной специфичности субстрата. Более тридцати активирующих мутаций Kit белка соотнесено со злокачественными опухолями с высокой степенью малигнизации у человека.
Соответственно, признают, что ингибиторы рецепторных тирозинкиназ пригодны в качестве селективных ингибиторов роста раковых клеток млекопитающих. Например, GleevecTM (так же известный как иматинибмезилат или STI571), 2-фенилпиримидиновый ингибитор тирозинкиназы, который ингибирует активность киназы BCR-ABL гибридного генного продукта, был недавно разрешен U.S. Food and Drug Administration для лечения CML. GleevecTM в дополнение к ингибированию BCR-ABL киназы также ингибирует KIT киназу и PDGF-рецепторную киназу, несмотря на то, что он неэффективен в отношении всех мутантных изоформ KIT киназы. Рост МО7е лейкемических клеток человека, стимулируемый Kit-лигандом, ингибируется GleevecTM, который также индуцирует апоптоз в данных условиях. Напротив, рост МО7е лейкемических клеток человека, стимулируемый GM-CSF, не подвергается влиянию GleevecTM. Далее, в недавних клинических исследованиях, c использованием GleevecTM для лечения пациентов с GIST, заболевания, при котором KIT киназа вовлечена в трансформацию клеток, у многих пациентов отмечают заметное улучшение.
Данные исследования показали, насколько ингибиторы KIT киназы могут лечить опухоли, чей рост зависит от активности KIT киназы. Другие ингибиторы киназ показали даже большую избирательную способность к киназам. Например, соединение 4-анилинохиназолина TarcevaTM с высокой эффективностью ингибирует только рецептор EGF киназы, несмотря на то, что оно может ингибировать передачу сигналов других рецепторных киназ, вероятно, вследствие того факта, что данные рецепторы гетеродимеризируются с EGF рецептором.
Хотя противораковые соединения, такие как описано выше, вносят заметный вклад в данную область, сохраняется потребность в усовершенствовании противораковых фармацевтических препаратов и является желательной разработка новых соединений с улучшенной селективностью и эффективностью или со сниженной токсичностью или побочными эффектами.
В опубликованной заявке № WO00/27820 описаны амидные производные N-арил(тио)антраниловой кислоты. В опубликованной заявке № WO99/32477 и патенте США № 6140351 описаны производные ортоантранилимида. В опубликованной заявке № WO00/27819 описаны амиды антраниловой кислоты. В опубликованных заявках №№ WO02/00651 и WO01/19798 описаны ингибиторы фактора Ха. В опубликованной заявке № WO01/07050 описаны агонисты рецептора ноцицептина ORL-1. В патенте США № 5968965 описаны ингибиторы фарнезил-белка. В опубликованной заявке № WO01/64642 и патенте США №6376515 описаны бензамиды. В опубликованной заявке № WO01/05763 и патенте США №6410561 описаны соединения, активные в отношении мускаринового рецептора. Патент США № 6410561 описывает амидные производные.
В опубликованной заявке № WO02/066470 описаны замещенные производные алкиламина. В опубликованной заявке № WO02/068406 описаны производные замещенных аминов. В опубликованной заявке № WO02/055501 описаны производные замещенных ариламинов.
В патентах США №№ 6207693 и 6316482 и Европейском патенте № ЕР0832061 описаны бензамидные производные, обладающие антагонистической активностью по отношению к вазопрессину.
Настоящее изобретение относится к соединениям, представленным формулой (I):

или его фармацевтически приемлемой соли или N-оксиду, где R1 представляет собой

R2 представляет собой 
и R3 представляет собой С0-4алкил, полезные для лечения опухолей.
Настоящее изобретение относится к соединению, представленному формулой (I):

или его фармацевтически приемлемой соли или N-оксиду, где R1 представляет собой

R2 представляет собой 
и R3 представляет собой С0-4алкил.
В одном варианте, настоящее изобретение направлено на соединение, представленное формулой (I), или его фармацевтически приемлемую соль или N-оксид, где R2 представляет собой ; и другие переменные являются такими, как описано выше для формулы (I).
В одной из форм выполнения данного варианта настоящее изобретение направлено на соединение, представленное формулой (I), или его фармацевтически приемлемую соль или N-оксид, где R2 представляет собой ; R3 представляет собой водород; и другие переменные являются такими, как описано выше для формулы (I).
Во втором варианте, настоящее изобретение направлено на соединение, представленное формулой (I), или его фармацевтически приемлемую соль или N-оксид, где R2 представляет собой ; R3 представляет собой С0-4алкил, и другие переменные являются такими, как описано для формулы (I).
В одной из форм воплощения второго варианта настоящее изобретение направлено на соединение, представленное формулой (I), или его фармацевтически приемлемую соль или N-оксид, где R2 представляет собой ; R3 представляет собой водород; и другие переменные являются такими, как описано выше для формулы (I).
В третьем варианте, настоящее изобретение направлено на соединение, представленное формулой (I), или его фармацевтически приемлемую соль или N-оксид, где R2 представляет собой ; R3 представляет собой С0-4алкил, и другие переменные являются такими, как описано выше для формулы (I).
В одной из форм воплощения третьего варианта настоящее изобретение направлено на соединение, представленное формулой (I), или его фармацевтически приемлемую соль или N-оксид, где R2 представляет собой ; R3 представляет собой водород; и другие переменные являются такими, как описано выше для формулы (I).
В четвертом варианте, настоящее изобретение направлено на соединение, представленное формулой (I), или его фармацевтически приемлемую соль или N-оксид, где R2 представляет собой ; R3 представляет собой С0-4алкил, и другие переменные являются такими, как описано выше для формулы (I).
Настоящее изобретение также направлено на способ лечения гиперпролиферативных нарушений, включающих рак молочной железы, рак головы или рак шеи, гастроинтестинальный рак, лейкемию, рак яичников, бронхов, легких и поджелудочной железы, синоназальную лимфому природных киллеров/Т-клеток, рак тестикул (семиному), карциному щитовидной железы, злокачественную меланому, карциному лимфатических желез, ангиосаркому, анапластическую крупноклеточную лимфому, карциному эндометрия или карциному предстательной железы, посредством введения эффективного количества соединения, представленного формулой (II) или его фармацевтически приемлемой соли:

где R11 представляет собой арил, С3-6циклоалкил или гетероциклил, каждый из которых необязательно замещен 1-6 независимыми атомами галогена; гидрокси; нитро; амино; ацил; замещенный ацил; ацилС1-6алкилсульфинил; ацилС1-6алкилсульфонил; ацилокси; С1-6алкиламиноС1-6алкилкарбамоилокси; арил; циано; гетероциклил; С2-6алкенил, необязательно замещенный ацилом, замещенным ацилом, арилом или ацилзамещенным арилом; С2-6алкинил, необязательно замещенный амино, ациламино или замещенной ациламино; С1-6алкил, необязательно замещенный атомом галогена, амино, С1-6алкиламино, ациламино, замещенной ациламино, гидрокси, ацилокси, ацилС1-6алканоилокси, ацилом, замещенным ацилом, ацилС1-6алкоксимино, арилом или ацилзамещенным арилом; С1-6алкилтио, необязательно замещенный ацилом или замещенным ацилом; алкокси, необязательно замещенный арилом, замещенным арилом, гидрокси, ацилокси, амино, низшим алкиламино, защищенной аминогруппой, гетероциклилом, ацилзамещенным пиридилом, замещенным ацилзамещенным пиридилом, атомом галогена, ацилС1-6алкиламино, N-защищенным ацилС1-6алкиламино, N-ацилС1-6алкил-N-низшим алкиламино, ацилом, замещенным ацилом, ациламино, замещенным ациламино, С1-6алкилгидразинокарбониламино, гидроксиимино, ацилС1-6алкоксиимино, замещенным ацилС1-6алкоксиимино, ацилС1-6алкокси, гуанидино или N-защищенным гуанидино; или С2-6алкенилокси, необязательно замещенный ацилом или замещенными ацилом заместителями;
R21 представляет собой водород; низший алкил, необязательно замещенный гидрокси, арилом или ацилом; или цикло(низший)алкил;
R31 представляет собой водород; галоген; гидрокси; ацилокси; замещенный ацилокси; С1-6алкил, необязательно замещенный гидрокси или С1-6алкокси; С1-6алкокси, необязательно замещенный арилом, амино, защищенной аминогруппой, ацилом, гидрокси, циано или С1-6алкилтио; нитро; амино; ацил; замещенный ацил; или С3-6циклоалкилокси;
R41 представляет собой гидрокси; галоген; нитро; амино; защищенный амино; С1-6алкиламино; ацилокси; аминоС1-6алкиламино; N-защищенный аминоС1-6алкиламино; С1-6алкокси, необязательно замещенный гидрокси, арилом, замещенным арилом, ацилом, замещенным ацилом, амино, С1-6алкиламино, ациламино, замещенным ациламино, защищенной аминогруппой, гетероциклилом или гуанидино; С1-6алкилтио, необязательно замещенный ацилом, замещенным ацилом, амино, С1-6алкиламино, ациламино, замещенным ациламино, защищенной аминогруппой, гетероциклилом, гидрокси, С1-6алкилсульфонилокси, арилсульфонилокси, арС1-6алкокси или замещенным арС1-6алкокси; С1-6алкил, замещенный ацилом, замещенным ацилом, амино, низшим алкиламино, ациламино, замещенным ациламино, защищенной аминогруппой, гетероциклилом, гидрокси, С1-6алкилсульфонилокси или арилсульфонилокси; С2-6алкенил, необязательно замещенный ацилом; С2-6алкинил, необязательно замещенный гидрокси, амино, защищенной аминогруппой, С1-6алкилсульфонилокси или арилсульфонилокси; аминоС1-6алкилсульфонил; N-защищенный аминоС1-6алкилсульфонил; С1-6алкиламиносульфонил; гетероциклилсульфонил; аминоС1-6алкилсульфинил; N-защищенный аминоС1-6алкилсульфинил; пиперидилокси; или N-защищенный пиперидилокси;
R51 представляет собой водород, С1-6алкил, С1-6алкокси или галоген;
А представляет собой простую связь, О или NH;
Е представляет собой С1-6алкилен, С2-6алкилен, 
или Е представляет собой группу формулы -G-J-, в которой
G представляет собой С1-6алкилен и
J представляет собой О или , где R61 представляет собой водород или N-защитную группу;
X представляет собой -СН=СН-, -С=N- или S и
Y представляет собой СН или N.
Соединения формулы (II) описаны в патенте США № 6054457.
В одном варианте настоящее изобретение направлено на способ лечения гиперпролиферативных заболеваний, включающих рак молочной железы, рак головы или рак шеи, гастроинтестинальный рак, лейкемию, рак яичника, бронхов, легкого и поджелудочной железы, синоназальную лимфому природных киллеров/Т-клеток, рак тестикул (семиному), карциному щитовидной железы, злокачественную меланому, карциному лимфатических желез, ангиосаркому, анапластическую крупноклеточную лимфому, карциному эндометрия или карциному предстательной железы, посредством введения эффективного количества соединения, представленного формулой II, или его фармацевтически приемлемой соли, где Х представляет собой S, и другие переменные являются такими, как описано для формулы II.
В одной из форм воплощения данного варианта настоящее изобретение направлено на способ лечения гиперпролиферативных заболеваний, включающих рак молочной железы, рак головы или рак шеи, гастроинтестинальный рак, лейкемию, рак яичника, бронхов, легкого и поджелудочной железы, синоназальную лимфому природных киллеров/Т-клеток, рак тестикул (семиному), карциному щитовидной железы, злокачественную меланому, карциному лимфатических желез, ангиосаркому, анапластическую крупноклеточную лимфому, карциному эндометрия или карциному предстательной железы, посредством введения эффективного количества соединения, представленного формулой II, или его фармацевтически приемлемой соли, где Х представляет собой S; R11 представляет собой необязательно замещенный арил, и другие переменные являются такими, как описано для формулы II.
В еще одной из форм воплощения данного варианта настоящее изобретение направлено на способ лечения гиперпролиферативных заболеваний, включающих рак молочной железы, рак головы или рак шеи, гастроинтестинальный рак, лейкемию, рак яичника, бронхов, легкого и поджелудочной железы, синоназальную лимфому природных киллеров/Т-клеток, рак тестикул (семиному), карциному щитовидной железы, злокачественную меланому, карциному лимфатических желез, ангиосаркому, анапластическую крупноклеточную лимфому, карциному эндометрия или карциному предстательной железы, посредством введения эффективного количества соединения, представленного формулой II, или его фармацевтически приемлемой соли, где Х представляет собой S; R11 представляет собой необязательно замещенный гетероциклил, и другие переменные являются такими, как описано для формулы II.
В еще одной из форм воплощения данного варианта настоящее изобретение направлено на способ лечения гиперпролиферативных заболеваний, включающих рак молочной железы, рак головы или рак шеи, гастроинтестинальный рак, лейкемию, рак яичника, бронхов, легкого и поджелудочной железы, синоназальную лимфому природных киллеров/Т-клеток, рак тестикул (семиному), карциному щитовидной железы, злокачественную меланому, карциному лимфатических желез, ангиосаркому, анапластическую крупноклеточную лимфому, карциному эндометрия или карциному предстательной железы, посредством введения эффективного количества соединения, представленного формулой II, или его фармацевтически приемлемой соли, где Х представляет собой S, Y представляет собой N, и другие переменные являются такими, как описано для формулы II.
Настоящее изобретение также направлено на способ лечения гиперпролиферативных заболеваний, включающих рак молочной железы, рак головы или рак шеи, гастроинтестинальный рак, лейкемию, рак яичника, бронхов, легкого и поджелудочной железы, синоназальную лимфому природных киллеров/Т-клеток, рак тестикул (семиному), карциному щитовидной железы, злокачественную меланому, карциному лимфатических желез, ангиосаркому, анапластическую крупноклеточную лимфому, карциному эндометрия или карциному предстательной железы, посредством введения эффективного количества соединения, представленного формулой III:

где
R12 представляет собой арил, С3-6циклоалкил или гетероциклил, каждый из которых необязательно замещен 1-6 независимыми атомами галогена; гидрокси; нитро; защищенную аминогруппу, амино; ацил; замещенный ацил; ацилС1-6алкилсульфинил; ацилС1-6алкилсульфонил; ацилокси; С1-6алкиламиноС1-6алкилкарбамоилокси; арил; циано; гетероциклил; С2-6алкенил, необязательно замещенный ацилом, замещенным ацилом, арилом или ацилзамещенным арилом; С2-6алкинил, необязательно замещенный амино, ациламино или замещенным ациламино; С1-6алкил, необязательно замещенный галогеном, амино, С1-6алкиламино, ациламино, замещенной ациламино, гидрокси, ацилокси, ацилС1-6алканоилокси, ацилом, замещенным ацилом, ацилС1-6алкоксиимино, арилом или ацилзамещенным арилом; С1-6алкилтио, необязательно замещенный ацилом или замещенным ацилом; алкокси, необязательно замещенный арилом, замещенным арилом, гидрокси, алкокси, амино, низшей алкиламино, защищенной аминогруппой, гетероциклилом, ацилзамещенным пиридилом, замещенным ацилзамещенным пиридилом, галогеном, ацилС1-6алкиламино, N-защищенным ацилС1-6алкиламино, N-ацилС1-6алкил-N-низшим алкиламино, ацилом, замещенным ацилом, алкиламино, замещенным алкиламино, С1-6алкилгидразинкарбониламино, гидроксиимино, ацилС1-6алкоксиимино, замещенными ацилС1-6алкоксиимино, ацилС1-6алкокси, гуанидино или N-защищенным гуанидино; или С2-6алкенилокси, необязательно замещенный ацилом или замещенными ацилом заместителями;
R22 представляет собой водород; С1-6алкил, необязательно замещенный гидрокси, арилом или ацилом; или С3-6циклоалкил;
R32 представляет собой водород; галоген; гидрокси; ацилокси; замещенный ацилокси; С1-6алкил, необязательно замещенный гидрокси или С1-6алкокси; С1-6алкокси, необязательно замещенный арилом, амино, защищенной аминогруппой, ацилом, гидрокси, циано или С1-6алкилтио; нитро; амино; ацил; замещенный ацил; или С3-6циклоалкокси;
А1 представляет собой простую связь, О или NH;
Е1 представляет собой С1-6алкилен, С2-6алкенил, 
или Е1 представляет собой группу формул, -G1-J1-, в которой
G1 представляет собой С1-6алкилен или и
J1 представляет собой О или , где R62 представляет собой водород или N-защитную группу;
X1 представляет собой -СН=СН-, -С=N- или S; и
Y1 представляет собой арил, необязательно замещенный 1-6 независимыми ацилами, замещенным аминоС1-6алканоилом, защищенными амино и нитрогруппами, амино и нитро или диамино заместителями; или Y1 представляет собой сопряженный гетероциклил, необязательно замещенный 1-6 галогенами, ацилом, С1-6алкокси, гидрокси, гуанидино, меркапто, ациламино, амино, гетероциклилом, цианамино, аминоС1-6алкил(С1-6алкил)амино, С1-6алкиламино, С1-6алкиламино(С1-6алкиламино), замещенным гетероциклилом, С1-6алкилгидразино, арилокси, С1-6алкилтио, арилом, защищенной аминогруппой, N-защищенным С1-6алкиламино(С1-6алкил)амино, N-защищенным аминоС1-6алкил(N’-С1-6алкил)амино, аминоС1-6алкил(N-С1-6алкил)амино, С1-6алкиламино(С1-6алкил)(N-С1-6алкил)амино или С1-6алкокси(С1-6алкил)амино заместителями, или С1-6алкильным заместителем, дополнительно необязательно замещенным арилом, арС1-6алкокси, циано, гидроксиимино, меркапто, С1-6алкиламино, ацилокси, галогеном, С1-6алкокси, защищенным гидрокси, гидрокси, С1-6алкоксиарилом, защищенной аминогруппой, амино, гетероциклилом или замещенными гетероциклилом заместителями;
при условии, если Y1 представляет собой фенил, необязательно замещенный С1-6алкилом или арилом,
А1 представляет собой простую связь и
Е1 представляет собой .
Соединения формулы (III) описаны в патенте США № 6316482.
В одном варианте настоящее изобретение направлено на способ лечения гиперпролиферативных заболеваний, включающих рак молочной железы, рак головы или рак шеи, гастроинтестинальный рак, лейкемию, рак яичника, бронхов, легкого и поджелудочной железы, синоназальную лимфому природных киллеров/Т-клеток, рак тестикул (семиному), карциному щитовидной железы, злокачественную меланому, карциному лимфатических желез, ангиосаркому, анапластическую крупноклеточную лимфому, карциному эндометрия или карциному предстательной железы, посредством введения эффективного количества соединения, представленного формулой III, или его фармацевтически приемлемой соли, где Х1 представляет собой S, и другие переменные являются такими, как описано для формулы III.
В настоящем изобретении “С0-4алкил” означает алкил, имеющий 0-4 углерода, то есть 0, 1, 2, 3 или 4 углерода, в неразветвленной или разветвленной структуре. Алкил, не имеющий углерода, представляет собой водород, если алкил представляет собой концевую группу. Алкил, не имеющий углерода, представляет собой прямую связь, если алкил представляет собой мостиковую (соединяющую) группу.
В настоящем изобретении, если не указано иначе, “алкил”, “алкенил” и “алкинил” включают разветвленные и неразветвленные структуры. Низшие алкилы, алкенилы и алкинилы имеют 1-6 углеродов. Высшие алкилы, алкенилы и алкинилы имеют более чем 6 углеродов.
В настоящем изобретении, если не указано иначе, термины “арил” и “ар” хорошо известны химикам и включают, например, фенил и нафтил, а также фенил с одной или более короткими алкильными группами (толил, ксилил, мезитил, куменил, ди(трет-бутил)фенил). Фенил, нафтил, толил и ксилил являются предпочтительными. “Замещенный арил” представляет собой арил, замещенный подходящими заместителями, такими как, например, ацил, замещенный ацил, N-защищенный пиперазинилсульфонил, пиперазинилсульфонил, N-C1-6алкилпиперазинилсульфонил, гидроксиС1-6алкил, гетероциклил, галоген, нитро, амино, С1-6алкиламино, циано или С1-6алкокси.
В настоящем изобретении, если не указано иначе, “гетероциклил” является хорошо известным химикам и содержит, по меньшей мере, один N, S или О гетероциклический атом и включает насыщенные, ненасыщенные, частично насыщенные, моно- и полициклические гетероциклические группы, такие как, например, пирролил, пирролинил, имидазолил, пиразолил, пиридил, пиримидинил, пиразинил, пиридазинил, триазолил, тетразолил, пирролидинил, имидазолидинил, пиперидил, пиперазинил, гомопиперазинил, индолил, изоиндолил, индолизинил, бензимидазолил, хинолил, изохинолил, имидазопиридил, индазолил, бензотриазолил, тетразолопиридазинил, пиранил, фурил, 1Н-тетрагидропиранил, тетрагидрофуранил, тиенил, оксазолил, изоксазолил, оксадиазолил, оксазолинил, морфолинил, бензофуранил, бензоксазолил, бензоксадиазолил, тиазолил, тиадиазолил, тиазолидинил, бензотиазолил, бензотиадиазолил, бензофуранил или бензодиоксил и подобные. Такие гетероциклилы подходящим образом замещены низшими алкилами или оксо заместителями.
В настоящем изобретении, если не указано иначе, “ацил” включает, например, карбокси, этерифицированный карбокси, карбамоил, низший алкилкарбамоил, низший алканоил, ароил, гетероциклилкарбонил и подобные. Этерифицированный карбокси включает замещенный или незамещенный низший алкоксикарбонил, такой как метоксикарбонил, этоксикарбонил, пропоксикарбонил, бутоксикарбонил, трет-бутоксикарбонил, гексилоксикарбонил, 2-иодэтоксикарбонил, 2,2,2-трихлорэтоксикарбонил, диметиламинопропоксикарбонил, диметилэтоксиаминокарбонил; замещенный или незамещенный арилоксикарбонил, такой как феноксикарбонил, 4-нитрофеноксикарбонил, 2-нафтилоксикарбонил; замещенный или незамещенный ар(низший)алкоксикарбонил, такой как бензилоксикарбонил, фенетилоксикарбонил, бензгидрилоксикарбонил, 4-нитробензилоксикарбонил, 3-метокси-4-нитробензилоксикарбонил и N-содержащий гетероциклилкарбонил, такой как N-метилпиперидилоксикарбонил, и подобные.
В настоящем изобретении, если не указано иначе, “галоген” представляет собой фтор, хлор, бром или йод.
В настоящем изобретении, если не указано иначе, “С1-6алкилгидразино” может быть 2-моно- или 2,2-ди(С1-6алкил)гидразино, таким как 2-метилгидразино, 2,2-диметилгидразино, 2-этилгидразино, 2,2-диэтилгидразино или т.п.
В настоящем изобретении, если не указано иначе, “С1-6алкиламиноС1-6алкил” включает, например, метиламинометил, диметиламинометил, диметиламиноэтил или т.п.
“С1-6алканоил” включает замещенные или незамещенные алканоилы, такие как формил, ацетил, пропионил, бутирил, изобутирил, валерил, изовалерил, пивалоил, гексаноил, трифторацетил или т.п.
“Ароил” включает бензоил, нафтоил, толуоил, ди(трет-бутил)бензоил и т.п.
В настоящем изобретении, если не указано иначе, “N-защитная группа” в “защищенной аминогруппе” включает замещенный или незамещенный низший алканил (такой как, например, формил, ацетил, пропионил, трифторацетил), фталоил, низший алкоксикарбонил (такой как трет-бутоксикарбонил, трет-амилоксикарбонил), замещенный или незамещенный аралкилоксикарбонил (такой как бензилоксикарбонил, п-нитробензилоксикарбонил), 9-флуоренилметоксикарбонил, замещенный или незамещенный аренсульфонил (бензолсульфонил, тозил). Фталоил, трет-бутоксикарбонил или 9-флуоренилметоксикарбонил являются предпочтительными.
В настоящем изобретении, если не указано иначе, “N-защитная группа” в “защищенном гуанидино” включает низший алкоксикарбонил (такой как трет-бутоксикарбонил, трет-амилоксикарбонил).
В настоящем изобретении, если не указано иначе, “гидрокси-защитная группа” включает замещенный или незамещенный арилметил (например, бензил, низший алкоксибензил), ацил или замещенный силил (например, трет-бутилдифенилсилил).
Приведенные выше формулы I, II и III показаны без определенной стереохимии в некоторых положениях. Настоящее изобретение включает все стереоизомеры соединений, представленных формулами I, II, и III, и их фармацевтически приемлемых солей. Далее, также включены смеси стереоизомеров, равно как и выделенные специфические стереоизомеры. В ходе синтеза, применяемого для получения таких соединений, или при использовании рацемизации или эпимеризации, известных специалистам в данной области, результатом таких методик может быть смесь стереоизомеров.
Настоящее изобретение также охватывает фармацевтическую композицию, включающую соединение формулы I в комбинации с фармацевтически приемлемым носителем.
Предпочтительно, композиция включает фармацевтически приемлемый носитель и нетоксичное терапевтически эффективное количество соединения формулы I, как описано выше (или его фармацевтически приемлемой соли или N-оксида).
Вместе с тем, в пределах данного предпочтительного варианта, настоящее изобретение охватывает фармацевтическую композицию для лечения заболевания посредством ингибирования с-Kit киназы, которая может быть формой дикого типа или мутантной формой белка, включающую фармацевтически приемлемый носитель и нетоксичное терапевтически эффективное количество соединения, представленного формулой I, как описано выше (или его фармацевтически приемлемой соли или N-оксида).
Соединения и композиции настоящего изобретения эффективны для лечения млекопитающих, таких как, например, человек.
Термин “фармацевтически приемлемые соли” означает соли, полученные из фармацевтически приемлемых нетоксичных оснований или кислот. Если соединение настоящего изобретения является кислотным, его соответствующая соль может быть легко получена из фармацевтически приемлемых нетоксичных оснований, включающих неорганические основания и органические основания. Соли полученные из таких неорганических оснований, включают соли алюминия, аммония, кальция, меди (I и II), трехвалентного железа, двухвалентного железа, лития, магния, марганца (I и II), калия, натрия, цинка и подобные соли. Особенно предпочтительны соли аммония, кальция, магния, калия и натрия. Соли, полученные из фармацевтически приемлемых органических нетоксичных оснований, включают соли первичных, вторичных и третичных аминов, а также циклических аминов и замещенных аминов, таких как природные или синтезированные замещенные амины. Другие фармацевтически приемлемые органические нетоксичные основания, из которых могут образовываться соли, включают ионообменные смолы, такие как, например, аргинин, бетаин, кофеин, холин, N’,N’-дибензилэтилендиамин, диэтиламин, 2-диэтиламиноэтанол, 2-диметиламиноэтанол, этаноламин, этилендиамин, N-этилморфолин, N-этилпиперидин, глюкамин, глюкозамин, гистидин, гидрабамин, изопропиламин, лизин, метилглюкамин, морфолин, пиперазин, пиперидин, полиаминовые смолы, прокаин, пурины, теобромин, триэтиламин, триметиламин, трипропиламин, трометамин и подобные.
Если соединение настоящего изобретения является основным, его соответствующая соль может быть легко получена из фармацевтически приемлемых нетоксичных кислот, включающих неорганические и органические кислоты. Такие кислоты включают, например, уксусную, бензолсульфоновую, бензойную, камфорсульфоновую, лимонную, этансульфоновую, фумаровую, глюконовую, глутаминовую, бромистоводородную, хлористоводородную, изэтионовую, молочную, малеиновую, яблочную, миндальную, метансульфоновую, слизевую, азотную, памоевую, пантотеновую, фосфорную, янтарную, серную, винную, п-толуолсульфоновую кислоту и подобные. Особенно предпочтительными являются лимонная, бромистоводородная, хлористоводородная, малеиновая, фосфорная, серная, метансульфоновая и винная кислоты.
Фармацевтические композиции настоящего изобретения или используемые в способах настоящего изобретения включают соединение, представленное формулами I, II или III (или его фармацевтически приемлемую соль или N-оксид), в качестве активного ингредиента, фармацевтически приемлемый носитель и необязательно другие терапевтические ингредиенты или адъюванты. Композиции включают композиции, пригодные для перорального, ректального, местного и парентерального (включая подкожное, внутримышечное и внутривенное) введения, несмотря на то, что наиболее удобный путь введения в каждом случае будет зависеть от конкретного организма и природы и тяжести состояний, при которых применяются активные ингредиенты. Фармацевтические композиции могут быть представлены в виде подходящих единичных дозированных форм и приготовлены одним из способов, хорошо известных в области фармацевтики.
На практике, соединение, представленное формулой I, или его фармацевтически приемлемые соли, или N-оксиды данного изобретения могут быть комбинированы как активные ингредиенты в смеси с фармацевтическими носителями в соответствии с общепринятыми методами получения фармацевтических композиций. Носитель может принимать большое разнообразие форм в зависимости от приготовления форм, желаемых для введения. Например, пероральные или парентеральные (включая внутривенные). Таким образом, фармацевтические композиции настоящего изобретения могут быть представлены как дискретные единицы, подходящие для перорального введения, такие как капсулы, саше или таблетки, каждая из которых содержит заранее установленное количество активного ингредиента. Далее, композиции могут быть представлены в виде порошка, гранул, раствора, суспензии в водной жидкости, в неводной жидкости, эмульсии типа “масло в воде” или жидкой эмульсии типа “вода в масле”. В дополнение к обычным дозированным формам, указанным выше, соединение, представленной формулой I, или его фармацевтически приемлемая соль или N-оксид, может также быть введено посредством средств управляемого высвобождения и/или устройств доставки. Композиции могут быть получены любым фармацевтическим способом. В общих чертах, такие способы включают стадию введения в состав активного ингредиента с носителем, который составляет один или более необходимых ингредиентов. В целом, композиции получают при равномерном и тщательном перемешивании активных ингредиентов с жидкими носителями или мелкодиспергированными твердыми носителями, или обоими. Затем продукту может быть легко придана подходящая для введения форма.
Таким образом, фармацевтические композиции данного изобретения могут включать фармацевтически приемлемый носитель и соединение или его фармацевтически приемлемую соль, или N-оксид, представленные формулами I, II или III. Соединения, представленные формулами I, II или III, или фармацевтически приемлемые соли, или N-оксиды могут также быть включены в фармацевтические композиции в комбинации с одним или более другими терапевтически активными соединениями.
Фармацевтические композиции данного изобретения включают фармацевтически приемлемую липосомальную готовую форму, содержащую соединение формул I, II или III или их фармацевтически приемлемую соль или N-оксид.
Используемый фармацевтический носитель может быть, например, твердым, жидким или газообразным. Примеры твердых носителей включают лактозу, белую глину (каолин), сахарозу, тальк, желатин, агар, пектин, акацию, стеарат магния и стеариновую кислоту. Примерами жидких носителей являются сахарный сироп, арахисовое масло, оливковое масло и вода. Примеры газообразных носителей включают диоксид углерода и азот.
При получении композиций для пероральных дозированных форм могут быть использованы любые общепринятые фармацевтические средства. Например, вода, гликоли, масла, спирты, ароматизаторы, красители и т.п. могут быть использованы для составления жидких пероральных препаратов, таких как суспензии, эликсиры и растворы; в то время как носители, такие как крахмалы, сахара, микрокристаллическая целлюлоза, разбавители, гранулирующие средства, лубриканты, связующие, дезинтегрирующие средства и подобные могут быть использованы для составления твердых пероральных препаратов, таких как порошки, капсулы и таблетки. Таблетки и капсулы являются предпочтительными пероральными единицами дозирования в связи с простотой их применения, в силу чего используются твердые фармацевтические носители. Необязательно, таблетки могут быть покрыты оболочкой с использованием стандартной водной или безводной технологий.
Таблетка, содержащая композицию данного изобретения, может быть получена прессованием или формованием, необязательно с одним или более вспомогательными ингредиентами или адъювантами. Прессованные таблетки могут быть приготовлены прессованием в подходящем аппарате, активный ингредиент в свободно-текучей форме, такой как порошок или гранулы, необязательно смешивают со связующим соединением, лубрикантом, инертным разбавителем, поверхностно-активным или диспергирующим средством или другими такими эксципиентами. Данные эксципиенты могут представлять собой, например, инертные разбавители, такие как карбонат кальция, карбонат натрия, лактоза, фосфат кальция или фосфат натрия; гранулирующие и дезинтегрирующие средства, например, кукурузный крахмал или альгиновая кислота; связующие средства, например, крахмал, желатин или акация; и лубриканты, например, стеарат магния, стеариновая кислота или тальк. Таблетки могут быть непокрытыми или они могут быть покрыты оболочкой по известным технологиям для задержки дезинтеграции и абсорбции в желудочно-кишечном тракте и, тем самым, обеспечения устойчивой активности в течение долгого времени. Например, для временной задержки могут быть использованы такие вещества, как моностеарат глицерина или дистеарат глицерина.
В твердых желатиновых капсулах активный ингредиент смешивается с инертным твердым разбавителем, например, карбонатом кальция, фосфатом кальция или каолином. В мягких желатиновых капсулах активный ингредиент смешивается с водой или масляной средой, например, арахисовым маслом, жидким парафином или оливковым маслом. Формованные таблетки могут быть получены формованием в подходящем аппарате из смеси порошкообразных веществ, смоченных инертным жидким разбавителем. Каждая таблетка предпочтительно содержит от примерно 0,05 мг до примерно 5 г активного ингредиента и каждая облатка или капсула предпочтительно содержит от примерно 0,05 мг до примерно 5 г активного ингредиента.
Например, готовая форма, предназначенная для перорального введения человеку, может содержать от примерно 0,5 мг до примерно 5 г активного вещества, смешанного с соответствующим и подходящим соединением-носителем, количество которого может варьировать от примерно 5 до примерно 95 процентов от общей композиции. Единичная дозированная форма обычно содержит от примерно 1 мг до примерно 2 г активного ингредиента, обычно 25 мг, 50 мг, 100 мг, 200 мг, 300 мг, 400 мг, 500 мг, 600 мг, 800 мг или 1000 мг.
Фармацевтические композиции настоящего изобретения, подходящие для парентерального введения, могут быть приготовлены как растворы или суспензии активного вещества в воде. Подходящее поверхностно-активное вещество может включать, например, такое, как гидроксипропилцеллюлоза. Дисперсии могут также быть приготовлены в глицерине, жидких полиэтиленгликолях или их смесях в масле. Далее, может быть включен консервант, предотвращающий рост вредных микроорганизмов.
Фармацевтические композиции настоящего изобретения, подходящие для инъекционного применения, включают стерильные водные растворы или дисперсии. Кроме того, композиции могут быть представлены в форме стерильных порошков для немедленного приготовления таких стерильных растворов или дисперсий для инъекций. Во всех случаях, конечная инъекционная форма должна быть стерильной и должна быть эффективной жидкостью для легкого забора шприцом. Фармацевтические композиции должны быть стабильными при изготовлении и хранении; таким образом, предпочтительно, чтобы было предохранение от загрязняющей активности микроорганизмов, таких как бактерии и грибы. Носитель может содержать растворяющую или диспергирующую среду, например, воду, этанол, полиол (т.е. глицерин, пропиленгликоль и жидкий полиэтиленгликоль), растительные масла и их подходящие смеси.
Фармацевтические композиции настоящего изобретения могут быть представлены в форме, подходящей для местного применения, такой как, например, аэрозоль, крем, мазь, лосьон, пудра или подобные. Далее, композиции могут быть в форме, подходящей для чрескожного способа применения. Данные композиции могут быть приготовлены с использованием соединения, представленного формулой I, данного изобретения или его фармацевтически приемлемой соли или N-оксида посредством обычных способов обработки. Как пример, крем или мазь готовятся перемешиванием гидрофильного вещества или воды вместе с от приблизительно 5 мас.% до приблизительно 10 мас.% соединения, для получения крема или мази, имеющих желаемую консистенцию.
Фармацевтические композиции данного изобретения могут быть представлены в форме, подходящей для ректального применения, где носитель является твердым. Предпочтительны смешанные формы дозированных суппозиториев. Подходящие носители включают масло какао и другие, обычно используемые средства. Удобно формировать суппозитории примешиванием первой композиции к смягченному или расплавленному носителю (носителям), с последующим охлаждением и формованием в шаблонах.
В добавление к приведенным выше ингредиентам-носителям, описанные выше фармацевтические составы могут включать, как соответствующие, один или более дополнительных ингредиентов-носителей, таких как разбавители, буферы, ароматизаторы, связующие вещества, поверхностно-активные вещества, загустители, лубриканты, консерванты (включая антиоксиданты) и подобные. Кроме того, другие адъюванты могут быть включены для придания готовой форме изотоничности с кровью предназначенного реципиента. Композиции, содержащие соединение, описанное формулой I, или его фармацевтически приемлемую соль или N-оксид, могут также быть получены в виде концентрированного порошка или жидкости.
Для лечения в вышеописанных условиях обычно применяется порядок уровня дозировки от примерно 0,01 мг/кг до примерно 150 мг/кг массы тела в день или, альтернативно, примерно от 0,5 мг до примерно 10 мг на пациента в день. Например, возможно эффективное применение при лечении рака молочной железы, рака головы и шеи и гастроинтестинального рака, такого как рак толстой кишки, прямой кишки или желудка, от примерно 0,01 до 100 мг вещества на килограмм массы тела в день или, альтернативно, примерно от 0,5 мг до примерно 7 г на пациента в день.
Аналогичным образом, возможно эффективное применение при лечении лейкемии, рака яичника, бронхов, легкого и поджелудочной железы от примерно 0,01 до 100 мг вещества на килограмм массы тела в день или, альтернативно, примерно 0,5 мг до примерно 7 г на пациента в день.
При лечении мастоцитоза/тучноклеточной лейкемии, гастроинтестинальных стромальных опухолей (GIST), мелкоклеточной карциномы легкого (SCLC), синоназальной лимфомы естественных киллеров/Т-клеток, рака текстикул (семиномы), карциномы щитовидной железы, злокачественной меланомы, карциномы яичника, карциномы лимфатических узлов, острой миелобластной лейкемии (AML), карциномы молочной железы, детской Т-клеточной острой лимфобластной лейкемии, ангиосаркомы, анапластической крупноклеточной лимфомы, карциномы эндометрия и карциномы предстательной железы возможно эффективное применение от примерно 0,01 до 100 мг вещества на килограмм массы тела в день или, альтернативно, примерно 0,5 мг до примерно 7 г на пациента в день.
Понятно впрочем, что специфический уровень дозировки для конкретных различных пациентов будет зависеть от множества факторов, включающих возраст, массу тела, общее состояние здоровья, пол, диету, время введения, путь введения, темп экскреции, комбинацию медикаментов и тяжесть конкретного заболевания, подвергающегося лечению.
Соединения настоящего изобретения или их фармацевтически приемлемые соли или N-оксиды могут также эффективно вводиться в сочетании с другими соединениями для лечения рака. Например, цитотоксичные средства и ингибирующие ангиогенез средства могут быть благоприятными со-средствами с соединениями настоящего изобретения. Соответственно, настоящее изобретение включает композиции, содержащие соединения, представленные формулой I, или их фармацевтически приемлемые соли, или N-оксиды и цитотоксические средства или ингибирующие ангиогенез средства. Каждое может быть в терапевтически эффективном для него количестве, в каждом случае совместный эффект может преодолеть резистентность рака к лечению монотерапией. Количества некоторых могут также быть субтерапевтическими, минимизируя неблагоприятные эффекты у конкретных чувствительных пациентов.
Известно, что лечение рака зависит от типа рака. Например, рак легкого лечится первым курсом терапии иначе, чем лечится рак толстой кишки или рак молочной железы. В сравнении, при раке легкого, например, первый курс терапии отличается от второго курса терапии, который, в свою очередь, отличается от третьего курса терапии. Вновь диагностированные пациенты могут лечиться в режиме, содержащем цисплатин. При неудаче, они переходят на второй курс терапии, такой как таксан. Наконец, если этого недостаточно, они переходят на ингибитор EGFR тирозинкиназы, как третий курс терапии. Далее, утвержденный регулирующий процесс отличается от страны к стране. Соответственно, принятый режим лечения может отличаться от страны к стране. Тем не менее, соединения настоящего изобретения или их фармацевтически приемлемые соли или N-оксиды могут быть выгодно совместно вводиться в сочетании или комбинации с другими такими соединениями для терапии рака. Такие другие соединения включают, например, множество цитотоксических средств (алкилаторы, ингибиторы ДНК топоизомеразы, антиметаболиты, средства, связывающие тубулин); ингибиторов ангиогенеза; и различные другие виды терапии включают ингибиторы киназы, такие как Tarceva, моноклональные антитела и противораковые вакцины. Другие такие вещества, которые могут быть благоприятно совместно вводиться с соединениями настоящего изобретения, включают доксорубицин, винкристин, цисплатин, карбоплатин, гемцитабин и таксаны. Таким образом, композиции настоящего изобретения включают соединение, соответствующее формуле I, или его фармацевтически приемлемую соль или N-оксид и антинеопластическое, противоопухолевое, антиангиогенное или химиотерапевтическое средство.
Соединения настоящего изобретения или их фармацевтически приемлемые соли или N-оксиды могут также быть эффективно введены в сочетании с другими терапевтическими соединениями, независимо от терапии рака. Например, терапевтические средства, эффективные для улучшения неблагоприятных побочных эффектов, могут быть благоприятными со-средствами с соединениями настоящего изобретения.
Примеры настоящего изобретения представлены в обобщенном виде в таблице.
| |
R1 |
| |
 |
 |
 |
 |
 |
| |
 |
Пр.1 |
Пр.2 |
Пр.3 |
Пр.4 |
| R2 |
 |
Пр.11 |
Пр.5 |
Пр.6 |
Пр.7 |
| |
 |
Пр.12 |
Пр.9 |
Пр.10 |
Пр.8 |
I. Бенч-анализ активированной с-Kit киназы
КДНК, кодирующую домен Kit тирозинкиназы, выделяют из клеток К562 и клонируют в вектор экспрессии бакуловируса для экспрессии белка в виде гибридного белка с GST (глутатион S-трансферазы) в клетках насекомых. После очистки фермент инкубируют с АТФ для генерации тирозинфосфорилированной, активированной формы фермента, которую используют в анализах киназы для определения способности соединений ингибировать фосфорилирование экзогенного субстрата посредством домена Kit тирозинкиназы.
Фосфорилирование с-Kit белка
Используют следующие реагенты:
Буфер для колонки:
50 мМ HEPES рН 7,4 125мМ NaCl
10% глицерин
1 мг/мл BSA
2 мМ DTT
200 мкМ NaVO3
Буфер для фосфорилирования:
50 мМ HEPES рН 7,4
125 мМ NaCl
24 мМ MgCl2
1 мМ MnCl2
1% глицерин
200 мкМ NaVO3
2 мМ DTT
2 мМ АТФ
75 мкл очищенного белка тирозинкиназы GST-Kit (приблизительно 150 мкг) инкубируют с 225 мкл буфера для фосфорилирования в течение 1 час при 30оС. В холодной комнате колонку для обессоливания (например, колонку Pharmacia PD-10) уравновешивают, используя 25 мл буфера для колонки. Фосфорилированный белок наносят на колонку с последующим нанесением достаточного количества буфера для колонки до 2,5 мл в целом (в данном случае, 2,2 мл). Фосфорилированный Kit белок далее элюируют 3,5 мл буфера для колонки и собирают в пробирку, содержащую 3,5 мл глицерина (конечная концентрация равна 50% глицерина). После смешивания аликвоты хранят при -20оС или -70оС.
Анализ активности с-Kit киназы
Активность киназы определяют аналитическим методом на основе ELISA, который измеряет способность Kit фосфорилировать экзогенный субстрат (поли Glu:Tyr) по тирозиновым остаткам в присутствии АТФ. Фософрилирование субстрата регистрируют по количественной оценке степени связывания антитела, которое распознает только фосфорилированные остатки тирозина в субстрате с последующим инкубированием с Kit. Используемое антитело имеет репортерный фермент (например, пероксидаза хрена, HRP), присоединенный ковалентно таким образом, что связывание антитела с фосфорилированным субстратом может быть определено количественно при инкубации с соответственным HRP субстратом (например, ABTS).
Используют следующие исходные реагенты:
13,3 мкг/мл исходного раствора PGT: добавляют 66,7 мкл 10 мг/мл PGT к 50 мл PBS.
1Х промывочный буфер: разбавляют 20Х промывочный буфер (KPL#50-63-00) до 1Х с помощью Н2О.
Буфер для анализа:
50 мМ Hepes, pH 7,4
125 мМ NaCl
24 мМ MgCl2
1 мМ MnCl2
1% глицерин
200 мкМ ванадат – добавляют немедленно перед применением
2 мМ DTT – добавляют немедленно перед применением
Аналитический буфер+АТФ: Добавляют 5,8 мкл 75 мМ АТФ к 12 мл аналитического буфера.
Активированный GST-c-kit(TK): Разбавляют 1:500 в аналитическом буфере.
Блокирующий буфер:
PBS, содержащий 0,5% Твин-20, 3% BSA
200 мкМ ванадат – добавляют немедленно перед применением
рY20-HRP:
Добавляют 6,2 мкл исходного раствора 100 мкг/мл Y20-HRP к 10 мл блокирующего буфера.
ABTS субстрат: KPL 3 50-66-06, используют как предоставлено.
Методика анализа
Каждую лунку 94-луночного иммулон-4 микротитровального планшета покрывают 75 мкл 13,3 мкг/мл исходного раствора PGT, инкубируют в течение ночи при 37оС и однократно промывают 250 мкл 1Х промывочного буфера.
К лункам для отрицательного контроля добавляют 50 мкл буфера для анализа (без АТФ), все другие лунки содержат 50 мкл буфера для анализа+АТФ. К лункам для положительного и отрицательного контроля добавляют 10 мкл 5% ДМСО, другие лунки содержат 10 мкл тестируемых соединений (при концентрациях между 10 нМ и 100 мкм), растворенных в 5% ДМСО.
Добавляют 30 мкл активированного GST-c-kit для инициации анализа при инкубации при комнатной температуре в течение 30 минут и далее останавливают посредством добавления 50 мкл/на лунку 0,5 М ЭДТА. Планшет промывают 3 раза 1Х промывочным буфером и далее добавляют 75 мкл фосфотирозинспецифичного конъюгата антитело-HRP (например, pY20-HRP, Calbiochem) в блокирующем буфере. Планшет инкубируют при комнатной температуре в течение двух часов и далее промывают три раза 1Х промывочным буфером. Далее добавляют 100 мкл ABTS субстрата, планшет инкубируют при комнатной температуре в течение 30 минут и реакцию останавливают добавлением 100 мкл 1% SDS. Реакцию количественно оценивают, измеряя оптическую плотность при 405/490 нм на считывающем устройстве для микротитровальных планшетов.
Сравнение аналитических сигналов, полученных в присутствии соединения с сигналами от контролей в присутствии и отсутствии АТФ, без добавления соединения позволяет оценить степень ингибирования активности киназы, определенной в диапазоне концентраций соединения. Данные значения ингибирования используют для построения сигмоидальной кривой ингибирования доза-ответ для определения значений IC50 (т.е. концентрации соединения, которая снижает активность киназы до 50% контрольной активности).
Соединения данного изобретения снижают способность Kit для фосфорилирования поли(Glu:Tyr) в вышеуказанном анализе, таким образом демонстрируя прямое ингибирование тирозинкиназной активности с-Kit рецептора. Значения IC50 в данном анализе находятся между 9 нМ и 388 нМ.
Соединения настоящего изобретения удивительным образом и неожиданно демонстрируют улучшенную активность ингибирования с-Kit в соответствии с вышеуказанным анализом, чем ближайшие сходные соединения тиофена в данной области (значения IC50 в данном анализе для соединений настоящего изобретения являются меньшими, чем значения IC50 в данном анализе для известных ближайших соединений тиофена). Дополнительно, соединения настоящего изобретения удивительным образом и неожиданно являются более стабильными химически, чем многие из их соответственных региоизомеров.
Экспериментальная часть
Соединения примеров настоящего изобретения получают в соответствии со следующими методиками:
Co ссылкой на схему, приведенную ниже для примера 1, анилиды типа 3 могут быть получены непосредственно из сложных эфиров, таких как соединение 1, в условиях амидирования по Вайнребу, причем в данных условиях указанные сложные эфиры взаимодействуют с анилинами, как продемонстрировано примером соединения 2 в присутствии реагентов алкилалюминия, таких как (но не ограничиваясь ими) триметилалюминий или хлордиметилалюминий в нейтральном растворителе, таком как толуол или дихлорметан (Synthetic Communications, (1982), 12, 989).
Соединения, такие как 3, несущие первичную функциональную аминогруппу, могут далее взаимодействовать с альдегидами в условиях восстановления с получением вторичных аминов, таких как соединение примера 1, например, в присутствии смеси триэтилсилана и трифторуксусной кислоты или других реагентов, таких как (но, не ограничиваясь ими) цианоборгидрид натрия, триацетоксиборгидрид натрия, боргидрид натрия и водород.
ПРИМЕР 1
N-(4-трифторметоксифенил)-3-[(хинолин-4-илметил)амино]тиофен-2-карбоксамид

Соединение примера 1 получают в соответствии со следующей методикой:

Часть 1:
N-(4-трифторметоксифенил)-3-аминотиофен-2-карбоксамид: К перемешиваемому раствору 4-трифторметоксианилина (7,8 г, 44,5 ммоль) в толуоле (50 мл) в атмосфере азота добавляют триметилалюминий (2М в толуоле, 26,7 мл, 53,4 ммоль). Смесь перемешивают при комнатной температуре в течение 16 часов. Добавляют метил-3-амино-2-тиофенкарбоксилат (7 г, 44,5 ммоль) и полученный в результате раствор перемешивают при кипячении с обратным холодильником (масляная баня, температура: 130оС) в атмосфере азота в течение 24 часов. После охлаждения до комнатной температуры осторожно по каплям добавляют насыщенный раствор бикарбоната натрия (100 мл) и перемешивают смесь при комнатной температуре в течение 30 минут. Продукт экстрагируют дихлорметаном (3×100 мл), органический слой сушат над Na2SO4 и концентрируют с образованием масла, которое затем растирают в смеси гексан/этилацетат, с получением N-(4-трифторметоксифенил)-3-аминотиофен-2-карбоксамида в виде коричневого твердого вещества.
1Н-ЯМР (400 МГц/CD3OD): =6,65 (д, J=5,6Гц, 1Н), 7,23 (д, J=8,4Гц, 2Н), 7,39 (д, J=5,2Гц, 1Н), 7,67 (д, J=9,2Гц, 2Н). МС(ES+): 303[MH+].
Часть 2:
N-(4-трифторметоксифенил)-3-[(хинолин-4-илметил)амино]тиофен-2-карбоксамид: Раствор N-(4-трифторметоксифенил)-3-аминотиофен-2-карбоксамида (1 г, 3,31 ммоль) и хинолин-4-карбоксальдегида (347 мг, 2,21 ммоль) в смеси трифторуксусная кислота:дихлорметан (1:1, 30 мл) нагревают при кипячении с обратным холодильником в течение 2 часов в атмосфере азота. Реакционную смесь охлаждают до комнатной температуры и добавляют триэтилсилан (0,71 мл, 4,42 ммоль). Полученный в результате раствор перемешивают далее при кипячении с обратным холодильником в течение 16 часов в атмосфере азота. После охлаждения до комнатной температуры реакционную смесь упаривают при пониженном давлении и остаток распределяют между этилацетатом (3×100 мл) и насыщенным раствором бикарбоната натрия (50 мл). Органические слои сушат над Na2SO4, фильтруют и концентрируют. Остаток очищают хроматографией на силикагеле (20-30% этилацетата в гексане), с получением соединения примера 1 в виде светло-желтого твердого вещества, температура плавления 168-170оС.
1Н-ЯМР (400 МГц/CD3OD): =5,01 (д, J=6,2Гц, 2Н), 6,56 (д, J=5,4Гц, 1Н), 7,12 (с, 1Н), 7,22 (д, J=8,7Гц, 2Н), 7,25 (с, 1Н), 7,44 (д, J=4,3Гц, 1Н), 7,58 (д, J=9,0Гц, 2Н), 7,62 (д, J=8,2Гц, 1Н), 7,76 (т, J=8,3Гц, 1Н), 8,02 (д, J=7,5Гц, 2Н), 8,17 (д, J=8,3Гц, 1Н), 8,86 (д, J=4,5Гц, 1Н). МС(ES+): 444[MH+].
13С-ЯМР (400 МГц/CDCl3): =45,9 101,4, 117,9, 118,9, 119,5, 121,9, 122,0, 122,6, 126,5, 127,2, 129,1, 129,7, 130,6, 136,8, 144,5, 145,4, 148,3, 150,7, 155,9, 163,8. Анализ. Вычислено для C22H16F3N3O2S: C, 59,59; H, 3,64; N, 9,48; F, 12,85; S, 7,23. Найдено: C, 59,59; H, 3,67; N, 9,46; F, 13,01; S, 7,23.
ПРИМЕР 2
N-(4-бром-3-метилфенил)-3-[(хинолин-4-илметил)амино]тиофен-2-карбоксамид
Соединение примера 2 получают согласно методике, описанной выше для примера 1, используя 4-бром-3-метиланилин вместо 4-трифторметоксианилина. МС(ES+): 452, 454 [MH+].
ПРИМЕР 3
N-(2,2,3,3-тетрафторбензодиоксан-6-ил)-3-[(хинолин-4-илметил)амино]тиофен-2-карбоксамид
Соединение примера 3 получают согласно методике, описанной выше для примера 1, используя 6-амино-2,2,3,3-тетрафторбензодиоксан вместо 4-трифторметоксианилина. МС(ES+): 490 [MH+].
ПРИМЕР 4
N-(4-хлорфенил)-3-[(хинолин-4-илметил)амино]тиофен-2-карбоксамид
Соединение примера 4 получают согласно методике, описанной выше для примера 1, используя 4-хлоранилин вместо 4-трифторметоксианилина. МС(ES+): 394, 396 [MH+].
ПРИМЕР 5
Метиламид 4-{[2-(4-бром-3-метилфенилкарбамоил)тиофен-3-иламино]метил}пиридин-2-карбоновой кислоты
К перемешиваемому раствору N-(4-бром-3-метилфенил)-3-аминотиофен-2-карбоксамида (1 экв., полученному, как описано выше для примера 1, часть 1, используя 4-бром-3-метиланилин вместо 4-трифторметоксианилина) в ТГФ при 0оС в открытой колбе добавляют 2-(N-метилкарбамоил)пиридин-4-карбоксальдегид (полученный, как описано в опубликованной заявке № WO 01/23375) (1,1 экв.) в ТГФ и 4М H2SO4 (0,1 экв.) и смесь перемешивают в течение 30 минут при 0оС. Добавляют по частям боргидрид натрия (1 экв.), смеси дают нагреться до комнатной температуры и перемешивают в течение 2 часов. Затем добавляют воду, смесь подщелачивают до рН 12 2М раствором гидроксида натрия и полученный в результате продукт экстрагируют этилацетатом. Объединенные экстракты промывают водой, далее насыщенным раствором соли, сушат (MgSO4), фильтруют и концентрируют в вакууме до получения желтого полутвердого вещества, которое очищают колоночной хроматографией, элюируя смесью 95:5 гексан:этилацетат, с постепенно нарастающим градиентом до 50:50, МС(ES+): 459, 461 [MH+].
ПРИМЕР 6
Метиламид 4-{[2-(2,2,3,3-тетрафторбензодиоксан-6-илкарбамоил)тиофен-3-иламино]метил}пиридин-2-карбоновой кислоты
Соединение примера 6 получают в соответствии с методикой, описанной выше для примера 5, используя N-(2,2,3,3-тетрафторбензодиоксан-6-ил)-3-аминотиофен-2-карбоксамид (полученный, как описано выше для примера 1, часть 1, используя 6-амино-2,2,3,3-тетрафторбензодиоксан вместо 4-трифторметоксианилина). МС(ES+): 497 [MH+].
ПРИМЕР 7
Метиламид 4-{[2-(4-хлорфенилкарбамоил)тиофен-3-иламино]метил}пиридин-2-карбоновой кислоты
Соединение примера 7 получают в соответствии с методикой, описанной выше для примера 5, используя N-(4-хлорфенил)-3-аминотиофен-2-карбоксамид (полученный, как описано выше для примера 1, часть 1, используя 4-хлоранилин вместо 4-трифторметоксианилина). МС(ES+): 401, 403 [MH+].
ПРИМЕР 8
N-(4-хлорфенил)-3-[(1Н-пирроло[2,3-b]пиридин-3-илметил)амино]тиофен-2-карбоксамид
Часть 1:
7-азаиндол-3-карбоксальдегид: Оксихлорид фосфора (36,5 мл) добавляют по каплям в охлажденный раствор ДМФА (40 мл), поддерживая температуру ниже 10оС. Полученный в результате раствор дополнительно охлаждают до 5оС и медленно, в течение 30-40 минут, добавляют раствор 7-азаиндола в ДМФА (40 мл), поддерживая температуру ниже 25оС. Смесь нагревают до 95оС в течение 48 часов, затем охлаждают до 35оС и осторожно, при перемешивании в течение часа, добавляют холодный насыщенный раствор бикарбоната натрия (800 мл). Смесь экстрагируют этилацетатом (4×500 мл) и объединенные экстракты промывают водой (500 мл) и насыщенным раствором соли (500 мл), затем сушат (MgSO4), фильтруют и концентрируют в вакууме до получения темно-коричневого полутвердого вещества. Данный неочищенный продукт очищают, используя колоночную хроматографию, элюируя смесью 50:50 этилацетат:гексан, постепенно увеличивая градиент до 90:10.
1Н-ЯМР (400МГц/D6-ДМСО): =7,25 (м, 1Н), 8,38 (м, 2Н), 8,42 (с, 1Н), 9,92 (с, 1Н), 12,62 (уш.с, 1Н). МС(ES+): 147[MH+].
Часть 2:
N-(4-хлорфенил)-3-[(1Н-пирроло[2,3-b]пиридин-3-илметил)амино]тиофен-2-карбоксамид: получают в соответствии с методикой, описанной выше для примера 5, используя N-(4-хлорфенил)-3-аминотиофен-2-карбоксамид (полученный, как описано в примере 1, часть 1, используя 4-хлоранилин вместо 4-трифторметоксианилина) и 7-азаиндолил-3-карбоксальдегид (пример 8, часть 1) вместо 2-(N-метилкарбамоил)пиридин-4-карбоксальдегида. МС(ES+): 383, 385 [MH+].
ПРИМЕР 9
N-(4-бром-3-метилфенил)-3-[(1Н-пирроло[2,3-b]пиридин-3-илметил)амино]тиофен-2-карбоксамид
Соединение примера 9 получают в соответствии с методикой, описанной в примере 5, используя N-(4-бром-3-метилфенил)-3-аминотиофен-2-карбоксамид (полученный, как описано в примере 1, часть 1, используя 4-бром-3-метиланилин вместо 4-трифторметоксианилина) и 7-азаиндол-3-карбоксальдегид (пример 8, часть 1) вместо 2-(N-метилкарбамоил)пиридин-4-карбоксальдегида. МС(ES+): 441, 443 [MH+].
ПРИМЕР 10
N-(2,2,3,3-тетрафторбензодиоксан-6-ил)-3-[(1Н-пирроло[2,3-b]пиридин-3-илметил)амино]тиофен-2-карбоксамид
Соединение примера 10 получают в соответствии с методикой, описанной в примере 5, используя N-(2,2,3,3-тетрафторбензодиоксан-6-ил)-3-аминотиофен-2-карбоксамид (полученный, как описано в примере 1, часть 1, используя 6-амино-2,2,3,3-тетрафторбензодиоксан вместо 4-трифторметоксианилина) и 7-азаиндол-3-карбоксальдегид (пример 8, часть 1) вместо 2-(N-метилкарбамоил)пиридин-4-карбоксальдегида. МС(ES+): 479 [MH+].
ПРИМЕР 11
Метиламид N-{[2-(4-трифторметоксифенилкарбамоил)тиофен-3-иламино]метил}пиридин-2-карбоновой кислоты
Соединение примера 11 получают в соответствии с методикой, описанной выше для примера 5, используя N-(4-трифторметоксифенил)-3-аминотиофен-2-карбоксамид (полученный, как описано выше для примера 1). МС(ES+): 451 [MH+].
ПРИМЕР 13
N-(4-трифторметокси)фенил-3-[(1Н-пирроло[2,3-b]пиридин-4-илметил)амино]тиофен-2-карбоксамид

Часть 1:
4-хлор-1Н-пирроло[2,3-b]пиридин: 7-оксид 1H-пирроло[2,3-b]пиридина медленно добавляют к 200 мл POCl3 и полученную в результате смесь перемешивают при 80оС в течение ночи. Затем избыток POCl3 удаляют в вакууме, остаток обрабатывают 500 мл H2O и подщелачивают насыщенным водным раствором К2СО3 (водн.) перед экстракцией EtOAc (2×300 мл). Объединенные экстракты промывают водой и насыщенным раствором соли, сушат над безводным сульфатом натрия и концентрируют в вакууме с получением 4-хлор-1Н-пирроло[2,3-b]пиридина (12,9 г, 76%). МС(ES+): 153 [MH+].
Часть 2:
4-иод-1Н-пирроло[2,3-b]пиридин: К раствору 4-хлор-1Н-пирроло[2,3-b]пиридина (12,9 г, 84,3 ммоль) и NaI (40 г, 168 ммоль) в ацетонитриле (150 мл) медленно добавляют ацетилхлорид (12,6 мл, 176 ммоль). Смесь перемешивают при 80оС в течение 4 дней и затем избыток ацетонитрила удаляют в вакууме. 300 мл 10% водного раствора К2СО3 (водн.) добавляют к остатку и смесь экстрагируют CH2Cl2 (3×100 мл). Объединенные органические экстракты промывают 10% водным раствором бисульфита натрия и насыщенным раствором соли, сушат над безводным сульфатом натрия и концентрируют в вакууме с получением неочищенного продукта (22,2 г). К раствору данного неочищенного продукта в ТГФ (150 мл) добавляют 1М NaOH (100 мл). Смесь перемешивают при комнатной температуре в течение 2 часов, перед выпариванием растворителя в вакууме, разбавлением водой и экстракцией CH2Cl2. Экстракты промывают насыщенным раствором соли, сушат над безводным сульфатом натрия и концентрируют в вакууме. Полученное коричневое твердое вещество очищают хроматографией на силикагеле и перекристаллизовывают из ацетонитрила с получением чистого 4-иод-1Н-пирроло[2,3-b]пиридина (9,75 г, 48%). МС(ES+): 245 [MH+].
Часть 3:
1Н-пирроло[2,3-b]пиридин-4-карбонитрил: К раствору (4,7 г, 19,3 ммоль) 4-иод-1Н-пирроло[2,3-b]пиридина в дегазированном ДМФА (25 мл) добавляют Pd2(dba)3 (10 мг), dppf (15 мг), дегазированную H2O (2 мл) и Zn(CN)2 (1,4 г, 11,6 ммоль). Смесь перемешивают при 90оС в атмосфере азота в течение 20 часов, затем охлаждают до 70оС и добавляют 75 мл 4:1:4 смеси насыщенного NH4Cl:NH4OH:H2O. Смесь перемешивают при 5оС в течение 20 минут, полученный осадок отфильтровывают, промывают 75 мл смеси 4:1:5 насыщенного NH4Cl:NH4OH:H2O, 500 мл Н2О и 100 мл толуола, затем сушат в вакууме с получением 2,06 г (74%) 1Н-пирроло[2,3-b]пиридин-4-карбонитрила. МС (ES+): 143 [MH+].
1Н-ЯМР (400МГц, D6-ДМСО): =6,65 (д, 1Н, J=3,2Гц), 7,56 (д, 1Н, J=4,8Гц), 7,84 (д, 1Н, J=4,0Гц), 8,40 (д, 1Н, J=4,8Гц).
Часть 4:
1Н-пирроло[2,3-b]пиридин-4-карбоксальдегид: К раствору (200 мг, 1,4 ммоль) 1Н-пирроло[2,3-b]пиридин-4-карбонитрила в ТГФ (7 мл) при -78оС в атмосфере азота добавляют Dibal-H (1,0М в толуоле, 3,07 мл, 3,07 ммоль). Реакционную смесь перемешивают при -78оС в течение 1 часа, нагревают до 55оС и дополнительно перемешивают в течение 2 часов. Добавляют дополнительно один эквивалент Dibal-H (1,4 мл, 1,4 ммоль) и смесь перемешивают при 55оС в течение 2 часов. Смесь охлаждают до 5оС, подкисляют 2M HCl и перемешивают в течение 15 минут. Затем смесь нейтрализуют насыщенным водным раствором NaHCO3, экстрагируют CH2Cl2 (5×25 мл), промывают насыщенным раствором соли, сушат над безводным сульфатом натрия и концентрируют в вакууме с получением 1Н-пирроло[2,3-b]пиридин-4-карбоксальдегида (107 мг, 52%). МС (ES+): 146 [MH+].
1Н-ЯМР (400МГц, D6-ДМСО): =7,22 (д, 1Н, J=3,6Гц), 7,57 (д, 1Н, J=4,8Гц), 7,67 (д, 1Н, J=2,4Гц), 8,61 (д, 1Н, J=5,2Гц), 10,42 (с, 1Н).
Часть 5:
Метил-3-[(1Н-пирроло[2,3-b]пиридин-4-илметил)амино]тиофен-2-карбоксилат: Раствор метилового эфира 3-аминотиофен-2-карбоновой кислоты (110 мг, 0,701 ммоль) и 1Н-пирроло[2,3-b]пиридин-4-карбоксальдегида (107 мг, 0,736 ммоль) в смеси ТФУ/CH2Cl2 (2 мл/2 мл) перемешивают при 50оС в течение 3 часов. Раствор охлаждают до 0оС и по каплям добавляют триэтилсилан (0,224 мл, 1,40 ммоль). Затем смесь перемешивают при 50оС в течение 4 часов и обрабатывают 2н. водным раствором NaOH (до рН 6) и затем насыщенным водным раствором NaHCO3 (до рН 8). Органический слой отделяют и водный слой экстрагируют CH2Cl2 (3×10 мл). Органические экстракты объединяют, промывают насыщенным раствором соли, сушат над безводным сульфатом натрия и концентрируют в вакууме. Остаток очищают хроматографией на силикагеле (градиент от 20% EtOAc/гексаны до 70% EtOAc/гексаны), получая метил-3-[(1Н-пирроло[2,3-b]пиридин-4-илметил)амино]тиофен-2-карбоксилат (98 мг, 49%). МС (ES+): 287 [MH+].
1Н-ЯМР (400МГц, D6-ДМСО): =3,75 (с, 3Н), 4,84 (д, 2Н, J=4,4Гц), 6,74 (дд, 1Н, J=2,8Гц и 2,0 Гц), 6,70 (д, 1Н, J=5,6Гц), 7,01 (д, 1Н, J=4,8Гц), 7,51 (т, 1Н, J=2,4Гц), 7,61 (д, 1Н, J=5,2Гц), 8,18 (д, 1Н, J=4,8Гц).
Часть 6:
N-(4-трифторметокси)фенил-3-[(1Н-пирроло[2,3-b]пиридин-4-илметил)амино]тиофен-2-карбоксамид: К раствору 4-трифторметоксианилина (0,381 мл, 1,74 ммоль) в безводном толуоле (5 мл) добавляют AlMe3 (2,0М в толуоле, 0,520 мл, 1,4 ммоль) и раствор перемешивают при комнатной температуре в течение ночи. Добавляют метил-3-[(1Н-пирроло[2,3-b]пиридин-4-илметил)амино]тиофен-2-карбоксилат (100 мг, 0,348 ммоль) и смесь перемешивают при 130оС в течение ночи перед охлаждением до комнатной температуры и обработкой 15 мл насыщенного водного раствора NaHCO3. После перемешивания в течение 1 часа смесь фильтруют, отфильтрованные слои разделяют и водный слой экстрагируют CH2Cl2 (3×10 мл). Выделенное твердое вещество растворяют в 15 мл CH2Cl2 и все органические растворы (толуол и CH2Cl2) объединяют, промывают насыщенным раствором соли, сушат над безводным сульфатом натрия и концентрируют в вакууме. Остаток очищают хроматографией на силикагеле (градиент от 20% EtOAc/гексаны до 50% EtOAc/гексаны), получая N-(4-трифторметокси)фенил-3-[(1Н-пирроло[2,3-b]пиридин-4-илметил)амино]тиофен-2-карбоксамид (93 мг, 62%). МС (ES+): 432 [MH+].
1Н-ЯМР (400МГц, D6-ДМСО): =4,81 (д, 2Н, J=6,4Гц), 6,62 (дд, 1Н, J=3,6 и 1,6Гц), 6,78 (д, 1Н, J=5,6Гц), 6,99 (д, 1Н, J=4,8Гц), 7,31 (д, 2Н, J=8,8Гц), 7,45 (дд, 1Н, J=2,8 и 3,2Гц), 7,59 (д, 1Н, J=5,6Гц), 7,79 (ддд, 2Н, J=8,8, 3,2 и 2,0Гц), 8,08 (т, 1Н, J=6,4Гц), 8,15 (д, 1Н, J=4,8Гц), 9,54 (с, 1Н).
Следующие аналоги получают, используя метил-3-[(1Н-пирроло[2,3-b]пиридин-4-илметил)амино]тиофен-2-карбоксилат (пример 13, часть 5) и подходящий анилин, в соответствии с методикой, описанной выше для примера 13, часть 6.
ПРИМЕР 14
N-(4-хлорфенил)-3-[(1Н-пирроло[2,3-b]пиридин-4-илметил)амино]тиофен-2-карбоксамид
(5,1 мг, 4%). МС(ES+): 383 [MH+].

ПРИМЕР 15
3-[(1Н-пирроло[2,3-b]пиридин-4-илметил)амино]-N-(2,2,3,3-тетрафтор-2,3-дигидро-1,4-бензодиоксин-6-ил)тиофен-2-карбоксамид
(19,4 мг, 16%). МС(ES+): 479 [MH+].

ПРИМЕР 16
4-метил-N-(4-трифторметоксифенил)фенил-3-[(хинолин-4-илметил)амино]тиофен-2-карбоксамид

Получают в соответствии с методикой, описанной для примера 13, части 5 и 6, используя метил-3-амино-4-метилтиофен-2-карбоксилат, хинолин-4-карбоксальдегид и 4-(трифторметокси)анилин в качестве исходных веществ. МС(ES+): 458 [MH+], 459 [MH2+].
1Н-ЯМР (400МГц, CDCl3): =2,15 (д, 2Н, J=1,2Гц), 5,01 (д, 2Н, J=7,2Гц), 6,98 (д, 1Н, J=1,2Гц), 7,17-7,24 (м, 3Н), 7,51-7,54 (м, 3Н), 7,58 (ддд, 1Н, J=8,0, 6,4 и 1,2Гц), 7,74 (ддд, 1Н, J=8,0, 6,8 и 1,2Гц), 7,86 (уш.с, 1Н), 7,97 (дд, 1Н, J=8,8 и 0,8Гц), 8,16 (д, 1Н, J=8,0Гц), 8,89 (д, 1Н, J=4,8Гц).
Следующие соединения примеров получают аналогичным образом, используя в каждом случае подходящий анилин.
ПРИМЕР 17
N-(4-хлорфенил)-4-метил-3-[(хинолин-4-илметил)амино]тиофен-2-карбоксамид
МС(ES+): 408, 410 [MH+].

ПРИМЕР 18
N-(4-бром-3-метилфенил)-4-метил-3-[(хинолин-4-илметил)амино]тиофен-2-карбоксамид
МС(ES+):467, 469 [MH+].

ПРИМЕР 19
4-метил-3-[(хинолин-4-илметил)амино]-N-(2,2,3,3-тетрафтор-2,3-дигидро-1,4-бензодиоксин-6-ил)тиофен-2-карбоксамид
МС(ES+): 503 [MH+].

ПРИМЕР 20
3-{[(1-оксидохинолин-4-ил)метил]амино}-N-[4-(трифторметокси)фенил]тиофен-2-карбоксамид

Часть 1:
Хинолин-4-илметанол
Раствор хинолин-4-карбальдегида (0,50 г, 3,24 ммоль) в метаноле (5 мл) охлаждают до 0оС. Затем по частям добавляют боргидрид натрия (0,11 г, 2.91 ммоль). После перемешивания в течение 1 часа при 0оС по каплям добавляют 2М водный раствор HCl до доведения рН 5. Затем метанол выпаривают в вакууме и водную фазу нейтрализуют добавлением насыщенного водного раствора NaHCO3. Водный раствор экстрагируют CH2Cl2 (3×) и объединенные органические экстракты промывают насыщенным водным раствором NaHCO3 и насыщенным раствором соли. Органический раствор сушат над Na2SO4, фильтруют и концентрируют в вакууме, получая хинолин-4-илметанол в виде желтого твердого вещества. МС (ES+): 160 [MH+].
1Н-ЯМР (400МГц, CDCl3): =2,41 (уш.с, 1Н), 5,25 (уш.с, 2Н), 7,75 (ддд, 1Н, J=4,4, 1,2 и 1,2Гц), 7,58 (ддд, 1Н, J=8,4, 7,2 и 1,2Гц), 7,73 (ддд, 1Н, J=8,4, 6,8 и 1,6Гц), 7,97 (ддд, 1Н, J=8,4, 1,2 и 0,4Гц), 8,14 (ддд, 1Н, J=8,0, 1,2 и 0,4Гц), 8,90 (д, 1Н, J=4,4Гц).
Часть 2:
(1-оксидохинолин-4-ил)метанол
К раствору хинолин-4-илметанола (0,20 г, 1,26 ммоль) в CH2Cl2 (10 мл), который охлаждают до 0оС, добавляют м-хлорпербензойную кислоту (57-86% м/м в H2O, 0,50 мг) одной порцией. Реакционной смеси дают медленно при перемешивании нагреться до комнатной температуры. Через 17,5 часов полученное твердое вещество отфильтровывают и промывают CH2Cl2, с получением (1-оксидохинолин-4-ил)метанола в виде белого твердого вещества. МС (ES+): 176 [MH+].
Часть 3:
1-Оксид хинолин-4-карбальдегида
К энергично перемешиваемой суспензии (1-оксидохинолин-4-ил)метанола (0,10 г, 0,57 ммоль) в ацетонитриле (10 мл) добавляют Dess-Martin периодинан (0,47 г, 0,63 ммоль). Через 1 час добавляют 2М водный раствор NaOH (2 мл) и этилацетат (105 мл) и реакционную смесь перемешивают в течение 5 минут. Затем разделяют слои и органическую фазу промывают насыщенным водным раствором NaHCO3, насыщенным раствором соли и сушат над MgSO4, фильтруют и концентрируют в вакууме до светло-желтого твердого вещества. МС(ES+): 174 [MH+].
(Данное промежуточное соединение может также быть получено, как описано в Heterocycles (2003), 60(4), 953).
Часть 4:
3-{[(оксидохинолин-4-ил)метил]амино}-N-[4-(трифторметокси)фенил]тиофен-2-карбоксамид
Раствор 1-оксида хинолин-4-карбоксальдегида (0,12 г, 0,69 ммоль), 3-амино-N-[4-(трифторметокси)фенил]тиофен-2-карбоксамида (0,21 г, 0,69 ммоль), дихлорметана (2 мл) и трифторуксусной кислоты (2 мл) нагревают при 50оС в течение 2 часов, затем охлаждают до комнатной температуры, обрабатывают триэтисиланом (0,22 мл, 1,38 ммоль) и перемешивают при 50оС в течение еще 2 часов. После этого времени смесь разбавляют водой (40 мл), подщелачивают (рН 9) 2М водным раствором NaOH и экстрагируют этилацетатом (3×20 мл). Экстракты промывают водой (30 мл) и насыщенным раствором соли (30 мл), затем сушат (MgSO4) и концентрируют в вакууме, получая неочищенный продукт. Данный продукт хроматографируют на силикагеле, элюируя смесью 15% ацетонитрил/CH2Cl2, и затем выделенное вещество очищают кристаллизацией из ацетонитрила, получая 3-{[(1-оксидохинолин-4-ил)метил]амино}-N-[4-(трифторметокси)фенил]тиофен-2-карбоксамид. МС (ES+): 460 [MH+].
1Н-ЯМР (400МГц, D6-ДМСО): =5,00 (с, 2Н), 6,87 (д, 1Н, J=5,6Гц), 7,25-7,40 (м, 3Н), 7,65 (д, 1Н, J=5,3Гц), 7,73-7,91 (м, 4Н), 8,04 (т, 1Н, J=6,4Гц), 8,30 (д, 1Н, J=7,1Гц), 8,56 (д, 1Н, J=6,3Гц), 8,61 (д, 1Н, J=8,3Гц), 9,60 (с, 1Н).
Формула изобретения
1. Соединение, представленное формулой (I)
(I)
или его фармацевтически приемлемая соль или N-оксид, где R1 представляет собой

R2 представляет собой и

R3 представляет собой С0-4алкил.
2. Соединение по п.1 или его фармацевтически приемлемая соль
или N-оксид, где R2 представляет собой.

3. Соединение по п.1 или его фармацевтически приемлемая
соль или N-оксид, где R2 представляет собой и R3 представляет собой водород.
4. Соединение по п.1 или его фармацевтически приемлемая соль или N-оксид, где R2 представляет собой .
5. Соединение по п.1 или его фармацевтически приемлемая соль или N-оксид, где R2 представляет собой и R3 представляет собой водород.
6. Соединение по п.1 или его фармацевтически приемлемая соль или N-оксид, где R2 представляет собой
7. Соединение по п.1 или его фармацевтически приемлемая соль или N-оксид, где R2 представляет собой и R3 представляет собой С0-4алкил.
8. Соединение по п.1 или его фармацевтически приемлемая соль, или N-оксид, где R2 представляет собой 
и R3 представляет собой водород.
9. Соединение по п.1 или его фармацевтически приемлемая соль или N-оксид, где R2 представляет собой и R3 представляет собой С0–4алкил.
10. Соединение по п.1, выбранное из
N-(4-трифторметоксифенил)-3-[(хинолин-4-илметил)амино]тиофен-2-карбоксамида;
N-(4-бром-3 -метилфенил)-3-[(хинолин-4-илметил)амино]тиофен-2-карбоксамида;
N-(2, 2, 3, 3-тетрафторбензодиоксан-6-ил)-3-[(хинолин-4-илметил)амино]тиофен-2-карбоксамида;
N-(4-хлорфенил)-3-[(хинолин-4-илметил)амино]тиофен-2-карбоксамида;
метиламида 4-{[2-(4-бром-3-метилфенилкарбамоил)тиофен-3-иламино]метил}пиридин-2-карбоновой кислоты;
метиламида 4-{[2-(2, 2, 3, 3-тетрафторбензодиоксан-6-илкарбамоил)тиофен-3-иламино]метил}пиридин-2-карбоновой кислоты;
метиламида 4-{[2-(4-хлорфенилкарбамоил)тиофен-3-иламино]метил} пиридин-2-карбоновой кислоты;
N-(4-хлорфенил)-3-[(1Н-пирроло[2,3-b]пиридин-3-илметил)амино]тиофен-2-карбоксамида;
N-(4-бром-3-метил фенил)-3-[(1Н-пирроло-[2,3-b]пиридин-3-илметил)амино]тиофен-2-карбоксамида;
N-(2, 2, 3, 3-тетрафторбензодиоксан-6-ил)-3-[(1Н-пирроло[2, 3-b]пиридин-3-илметил)амино]тиофен-2-карбоксамида;
метиламида N-{[2-(4-трифторметоксифенилкарбамоил)тиофен-3-иламино]метил}пиридин-2-карбоновой кислоты;
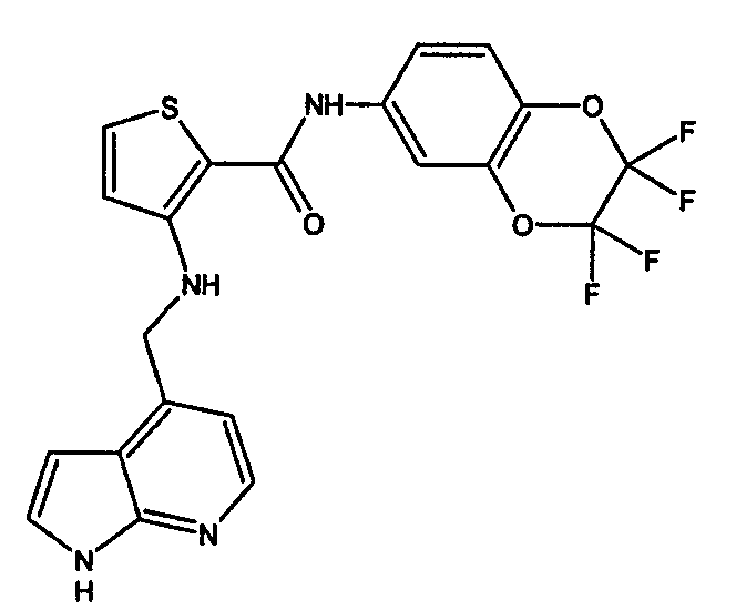
N-(4-трифторметокси)фенил-3-[(1Н-пирроло-[2,3-b]пиридин-4-илметил)амино]тиофен-2-карбоксамида;
N-(4-хлорфенил)-3-[(1Н-пирроло-[2,3-b]пиридин-4-илметил)амино]тиофен-2-карбоксамида;
3-[(1Н-пирроло [2,3-b] пиридин-4-илметил)амино]-N-(2, 2, 3, 3-тетрафтор-2,3-дигидро-1,4-бензодиоксин-6-ил)тиофен-2-карбоксамида;
4-метил-N-(4-трифторметоксифенил)фенил-3-[(хинолин-4-илметил)амино]тиофен-2-карбоксамида;
N-(4-хлорфенил)-4-метил-3-[(хинолин-4-илметил)амино]тиофен-2-карбоксамида;
N-(4-бром-3-метилфенил)-4-метил-3-[(хинолин-4-илметил)амино]тиофен-2-карбоксамида;
4-метил-3-[(хинолин-4-илметил)амино]-N-(2, 2, 3, 3-тетрафтор-2,3-дигидро-1,4-бензодиоксин-6-ил)тиофен-2-карбоксамида;
3-{[(1-оксидохинолин-4-ил)метил]амино}-N-[4-(трифторметокси)фенил]тиофен-2-карбоксамида
или его фармацевтически приемлемой соли или N-оксида.
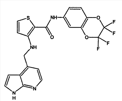
11. Соединение формулы (I), представляющее собой N-(4-трифторметоксифенил)-3-[(хинолин-4-илметил)амино]тиофен-2-карбоксамида или его фармацевтически приемлемую соль или N-оксид.
|
|