|
|
(21), (22) Заявка: 2005127330/04, 02.02.2004
(24) Дата начала отсчета срока действия патента:
02.02.2004
(30) Конвенционный приоритет:
31.01.2003 US 60/443,988 28.03.2003 US 60/458,297 16.09.2003 US 60/503,520 30.01.2004 US 10/768,579
(43) Дата публикации заявки: 10.03.2006
(46) Опубликовано: 27.11.2008
(56) Список документов, цитированных в отчете о поиске:
ЕР 89089, 21.09.1983. US 4948892, 14.08.1990.
(85) Дата перевода заявки PCT на национальную фазу:
31.08.2005
(86) Заявка PCT:
US 2004/002858 (02.02.2004)
(87) Публикация PCT:
WO 2004/069794 (19.08.2004)
Адрес для переписки:
129090, Москва, ул. Б.Спасская, 25, стр.3, ООО “Юридическая фирма Городисский и Партнеры”, пат.пов. Е.Е.Назиной, рег. № 517
|
(72) Автор(ы):
ДАНОА Дэйл С. (US), ЧЕНЬ Донли (US), БЕККЕР Орен (IL), НОЙМАН Сильвия (IL), ЧЕРУКУ Сриниваса Рао (US), МАРАНТЦ Яэл (IL), ШАРАДЕНДУ Анураг (US), ШАЧЕМ Шарон (IL), ХЕЙФЕТЦ Александр (IL), МОХАНТИ Прадиумна (US), ИНБАЛ Боаз (IL), ФИЧМАН Мерав (IL), НУДЕЛЬМАН Рафаэль (IL), БАР-ХАИМ Шай (IL)
(73) Патентообладатель(и):
ПРЕДИКС ФАРМАСЬЮТИКАЛЗ ХОЛДИНГЗ, ИНК. (US)
|
(54) НОВЫЕ АРИЛПИПЕРАЗИНИЛОВЫЕ СОЕДИНЕНИЯ
(57) Реферат:
Настоящее изобретение относится к арилпиперазиниловым соединениям общей формулы I или его фармацевтически приемлемым солям и/или сложным эфирам,

где: R1 незамещенный алкил или циклоалкил; R2 и R3 независимо водород; низший алкил; циклоалкил; или -NR4R5, где R4 и R5 независимо представляют собой Н, О, R6 или COR6, где R6 может представлять собой низший алкил или сульфонамидоалкил; при условии, что R2 и R3, оба, не являются водородом; атомы, обозначенные связанными пунктирной линией, взятые вместе с атомами, к которым они присоединены, могут образовывать шестичленное кольцо; Z представляет собой N или С; m равно 0, 1 или 2; n равно 1, 2, 3, 4, 5 или 6; р равно 0, 1, 2, 3 или 4. Соединения могут быть использованы для лечения заболеваний, медиируемые непосредственно или опосредованно 5-НТ-рецепторами. Такими заболеваниями являются расстройства центральной нервной системы. Описаны также фармацевтические композиции на основе соединений I, их применение и промежуточные соединения, используемые в синтезе соединений I. 16 н. и 34 з.п. ф-лы, 12 ил., 2 табл.
Область, к которой относится изобретение
В общих чертах, настоящее изобретение относится к модуляторам рецептора серотонина (5-гидрокситриптамина или 5-НТ), например к агонистам или антагонистам, а более конкретно к новым арилпиперазиниловым соединениям, которые также представляют собой модуляторы 5-НТ, и к использованию этих соединений, например, для лечения, модуляции и/или предупреждения физиологических состояний, ассоциированных с действием серотонина.
Предшествующий уровень техники
Было показано, что серотонергическая нервная система головного мозга оказывает влияние на ряд физиологических функций, которые проявляются в виде различных расстройств, таких как нарушение питания; шизофрения; невралгия; расстройства, связанные с привыканием к дозированным средствам; депрессия; обсессивно-компульсивные состояния; панические атаки; тревожные состояния; нарушения половых функций, вызываемые расстройством центральной нервной системы; нарушение сна и усвоения пищи; алкоголизм; боли, расстройства памяти; однополярная депрессия, дистимия; биполярная депрессия; депрессия, не поддающаяся лечению; депрессия у соматических больных; паническая атака; обсессивно-компульсивные состояния, нарушение питания; социальная фобия и предменструальная дисфория.
Модуляторы 5-НТ-рецептора, например агонисты или антагонисты, и/или селективные ингибиторы повторного поглощения серотонина (СИППС), такие как флуоксетин, пароксетин, флувоксамин, сертралин, лоразепам, имипрамин, циталопрам и нортриптилин, могут быть использованы для лечения вышеуказанных состояний, и в качестве средств для расширения сосудов и сокращения гладкой мышцы, а также для лечения бронхостеноза, заболеваний головного мозга, таких как сосудистые расстройства, например стенокардия и мигрень; и невропатологических расстройств, включая болезнь Паркинсона и болезнь Альцгеймера. Эти соединения могут быть также полезны для модуляции расстройств сердечно-сосудистой системы. Они могут также способствовать регуляции кровообращения головного мозга, а поэтому эти соединения представляют собой эффективные средства для лечения мигрени. Эти соединения могут быть также полезны для профилактики и купирования приступов инфаркта головного мозга (апоплексического удара), таких как удар или ишемия головного мозга. Эти соединения могут быть также использованы для лечения расстройств желудочно-кишечного тракта, которые характеризуются нарушением серотонинергической системы, а также нарушением углеводного обмена.
Тразодон регулирует действие 5-НТ, а флуоксетин и флувоксамин улучшают серотонинергическую нейротрансмиссию посредством сильного и селективного ингибирования повторного поглощения серотонина в пресинаптических нейронах. 3-хлоримипрамин ингибирует повторное поглощение как 5-НТ, так и норэпинефрина. Другими соединениями, представляющими в настоящее время интерес как антидепрессанты, являются зимелдин, бупропион и номифензин.
Описание сущности изобретения
Желательно получить такие селективные высокоаффинные метаболически стабильные модуляторы 5-НТ-рецептора, которые обладали бы хорошей биодоступностью, способностью проникать в ЦНС и хорошими фармакокинетическими свойствами, например, in vivo. А поэтому настоящее изобретение относится к получению новых соединений для лечения индивидуумов, страдающих состоянием, требующим лечения, путем введения этому индивидууму определенного количества соединения настоящего изобретения, эффективного для лечения этого состояния. Указанные соединения, взятые отдельно и/или в комбинации с другими дозированными средствами, могут быть использованы для лечения различных состояний, восприимчивых к этим соединениям, либо для достижения желаемого лечения указанного(ых) состояния(й), эти соединения, взятые отдельно и/или в комбинации с другими дозированными средствами, могут быть использованы в целях модуляции физиологических симптомов, ассоциированных с некоторыми состояниями.
Так, например, соединения настоящего изобретения могут быть использованы для расширения сосудов и сокращения гладкой мышцы, а также для лечения бронхостеноза, заболеваний головного мозга, таких как сосудистые расстройства, например расстройства кровообращения, вызываемые расширением сосудов, и вазоспастические заболевания, такие как стенокардия, головная боль, мигрень и болезнь Рейно; и невропатологических расстройств, включая болезнь Паркинсона и болезнь Альцгеймера; для модуляции расстройств сердечно-сосудистой системы; для профилактики и лечения приступов церебрального инфаркта (апоплексического удара), таких как удар или ишемия головного мозга; и для лечения расстройств кишечного тракта, которые характеризуются нарушениями серотонинергической системы, а также нарушениями углеводного обмена. Эти соединения могут быть также полезны для лечения ассоциированных со стрессом соматических расстройств; симпатической рефлекторной дистрофии, такой как синдром “плечо/кисть”; расстройств мочевого пузыря, таких как цистит; гиперрефлексии мышцы-сжимателя мочевого пузыря и недержания мочи; и болей или болевых ощущений, вызываемых любыми из вышеуказанных расстройств или ассоциированных с ними, а в частности распространения боли при мигрени.
В одном из предпочтительных аспектов изобретения было обнаружено, что соединения настоящего изобретения являются модуляторами 5-НТ, например агонистами или антагонистами и/или СИППС, которые могут быть использованы для лечения, предупреждения или устранения 5-НТ-ассоциированных состояний. В частности, было обнаружено, что некоторые арилпиперазинилсульфонамидные соединения являются эффективными модуляторами 5-НТ-рецептора и/или СИППС.
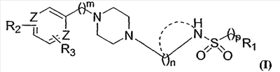
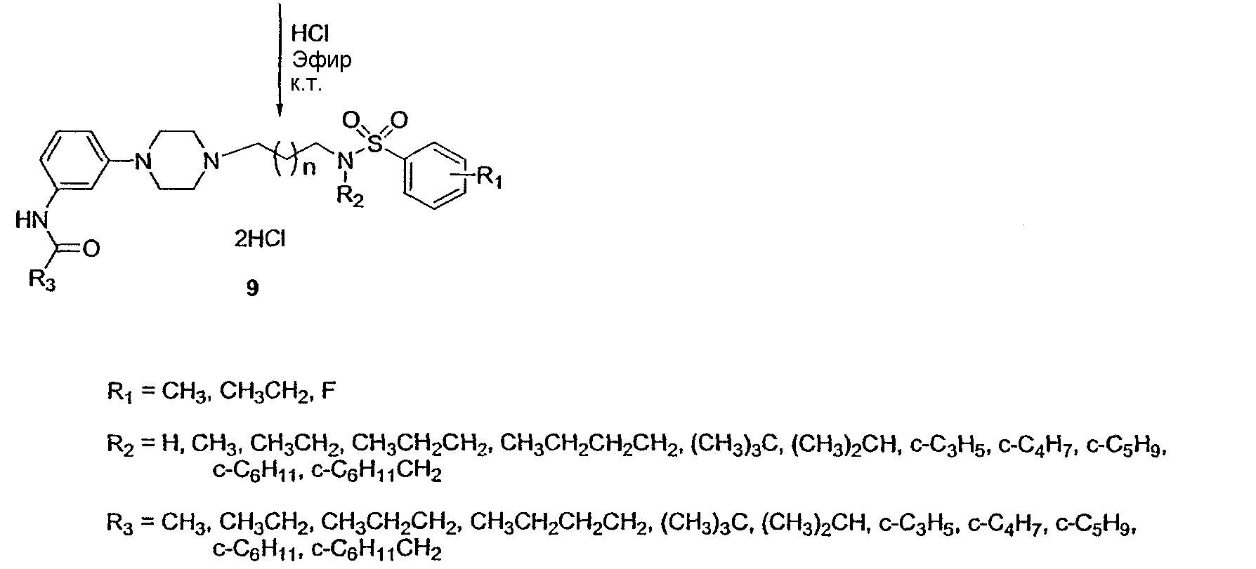
В одном из вариантов осуществления изобретения, соединениями настоящего изобретения являются соединения, имеющие формулу:

где: R1 представляет собой функциональную группу, которая по существу не влияет на перекрестную реактивность адренергического 5-HT1A/5-HT2A-рецептора с указанным соединением; R2 и R3 независимо представляют собой водород или функциональную группу, которая по существу не влияет на ингибирование взаимодействия HERG-канала с указанным соединением; Z представляет собой N или С; m может быть равно 0, 1, 2, 3, 4, 5 или 6; n может быть равно 1, 2, 3, 4, 5 или 6; а р может быть равно 0, 1, 2, 3 или 4, а более предпочтительно более чем 0; и их фармацевтически приемлемые соли и/или сложные эфиры. m преимущественно равно 0, n преимущественно равно 3 или 4, а р преимущественно равно 0 или 1.
R1 может представлять собой замещенный или незамещенный арил, алкил, циклоалкил или алкиларил; R2 и R3 независимо могут представлять собой водород или низший алкил; циклоалкил; тригалогенметил; галоген; -NR4R5, где R4 и R5 независимо представляют собой Н, О, R6 или COR6, где R6 может представлять собой низший алкил (например, нитро, NHCO-алкил, например NHCO-низший алкил, такой как NHCO-(С2-С4)алкил, включая NHCO-(СН3), NHCO-(СН2СН3), NHCO-(СН2СН2-СН3), NHCO-(СН(СН2)2) (т.е. циклопропил) и NCO-диалкил, аминоалкил, например амино(низший)алкил, такой как аминометил, аминоэтил, аминопропил, аминоциклопропил, аминобутил или диалкиламино); сульфонамидоалкил, например сульфонамидо(С2-С4)алкил; гидроксил; циано; или сопряженный пяти- или шестичленный цикл или гетероцикл, при условии, что R2 и R3, оба, не являются водородом. Если р=0, то R1 предпочтительно представляет собой группу, не являющуюся замещенным или незамещенным арилом, а R2 и R3 независимо, предпочтительно, не являются фенилом или алкоксифенилом.
Арильная, пиридинильная, пиримидинильная или пиразинильная группа (т.е. где Z=N) может быть замещена заместителем, таким как низший алкил, например С1-С4; циклоалкил, например С3-С6; тригалогенметил, например CF3 или OCF3; галоген, например F, Br или Cl; сопряженный пяти- или шестичленный цикл или гетероцикл, например 3,4-метилендиокси; нитро; NHCO-алкил, например NHCO-низший алкил, такой как NHCO-(С2-С4)алкил, включая NHCO-(СН3), NHCO-(СН2СН3), NHCO-(СН2СН2-СН3) и NHCO-(СН(СН2)2) (т.е., циклопропил); NCO-диалкил; сульфонамидоалкил, например сульфонамидо(С2-С4)алкил; гидроксил или циано. Сама арильная группа может представлять собой, например, замещенный или незамещенный фенил, нафтил, толуил или бифенил.
Соединения настоящего изобретения также являются агонистами или антагонистами 5-НТ-рецептора, например агонистами или антагонистами 5-НТ1-рецептора, включая 5-НТ1А,В,С,D,E или F-рецепторы, а предпочтительно агонистами 5-НТ1А-рецептора. Неожиданно было обнаружено, что соединения настоящего изобретения являются очень эффективными агонистами 5-НТ1А-рецептора и обладают превосходной активностью и селективностью. Соединения настоящего изобретения обладают более селективным действием и обнаруживают незначительную перекрестную реактивность с другими рецепторами, такими как -адренергические рецепторы, или вообще не обнаруживают такой реактивности. Кроме того, соединения настоящего изобретения обнаруживают незначительное ингибирующее действие на HERG-каналы или вообще не оказывают такого действия, которое, в той или иной степени, может быть нежелательным для дозированных средств, полученных на основе соединений настоящего изобретения. И все эти факторы, по существу, в значительной степени повышают эффективность соединений настоящего изобретения, например, в качестве транквилизаторов.
В одном из вариантов настоящего изобретения R1 может представлять собой низший алкил, например н-бутил, втор-бутил, изобутил; п-толуол, п-галогенфенил (например, п-фторфенил, п-хлорфенил или п-бромфенил), циклоалкил, например циклопропил, циклобутил, циклопентил, циклогексил, циклогексилметил и циклогексилфенил. В одной из версий этого варианта изобретения, R2 может представлять собой аминоалкил, например амино(низший)алкил, такой как аминометил, аминоэтил, аминопропил, аминоциклопропил, аминобутил или диалкиламино. В другой версии R2 может представлять собой NHCO-алкил, например NHCO-(С2-С4)алкил, включая NHCO-(СН3), NHCO-(СН2СН3), NHCO-(СН2СН2-СН3) и NHCO-(СН(СН2)2) (т.е. NHCO-циклопропил).
В одном из вариантов изобретения R3 представляет собой Н, а R2 не является Н и находится в мета-положении. В одной из версий этого варианта R2 может представлять собой аминоалкил, например амино(низший)алкил, такой как аминометил, аминоэтил, аминопропил, аминоциклопропил, аминобутил или диалкиламино. В другой версии R2 может представлять собой NHCO-алкил, например NHCO-(С2-С4)алкил, включая NHCO-(СН3), NHCO-(СН2СН3), NHCO-(СН2СН2-СН3) и NHCO-(СН(СН2)2) (т.е. NHCO-циклопропил). В одной из версий этого варианта изобретения R1 может представлять собой п-толуол, п-галогенфенил (например, п-фторфенил, п-хлорфенил или п-бромфенил), циклогексилметил, циклогексил или циклогексилфенил.
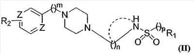
В другом варианте осуществления изобретения соединениями настоящего изобретения являются соединения, имеющие формулу:

где: R1 может представлять собой замещенный или незамещенный арил, алкил, циклоалкил или алкиларил, например, толуил или циклогексил. R1 предпочтительно является несопряженным, если он представляет собой кольцосодержащую группу, и может преимущественно представлять собой замещенный или незамещенный алкил или циклоалкил, например циклогексил. R2 может представлять собой низший алкил, например С1-С4алкил, тригалогенметил, например CF3; галоген, например F, Br или Cl; сопряженный пяти- или шестичленный цикл или гетероцикл, например 3,4-метилендиокси; -NR4R5, где R4 и R5 независимо представляют собой Н, О, или COR6, где R6 может представлять собой низший алкил, например нитро; NHCO-алкил, например NHCO-низший алкил, такой как NHCO-(С2-С4)алкил, включая NHCO-(СН3), NHCO-(СН2СН3), NHCO-(СН2СН2-СН3), NHCO-(СН(СН2)2) (т.е. циклопропил); NCO-диалкил; сульфонамидоалкил, например сульфонамидо(С2-С4)алкил; атомы, обозначенные связанными пунктирной линией, взятые вместе, могут образовывать четырех-, пяти-, шести- или семичленный цикл или гетероцикл; Z представляет собой N или С; m может быть равно 0, 1 или 2; n может быть равно 1, 2, 3 или 4, а р может быть равно 0 или 1; и их фармацевтически приемлемые соли и/или сложные эфиры. m преимущественно равно 0, n предпочтительно равно 3 или 4, а р предпочтительно равно 0 или 1.
В одном из вариантов настоящего изобретения R1 может представлять собой низший алкил, например н-бутил, втор-бутил, изобутил; п-толуол, п-галогенфенил (например, п-фторфенил, п-хлорфенил или п-бромфенил), циклоалкил, например, циклопропил, циклобутил, циклопентил, циклогексил, циклогексилметил и циклогексилфенил. R1 предпочтительно может представлять собой циклоалкил, например циклопропил, циклобутил, циклопентил, циклогексил, циклогексилметил и циклогексилфенил. В этом варианте изобретения R2 может представлять собой аминоалкил, например амино(низший)алкил, такой как аминометил, аминоэтил, аминопропил, аминоциклопропил, аминобутил или диалкиламино. R2 предпочтительно может представлять собой NHCO-алкил, например, NHCO-(С2-С4)алкил, включая NHCO-(СН3), NHCO-(СН2СН3), NHCO-(СН2СН2-СН3) и NHCO-(СН(СН2)2) (т.е. NHCO-циклопропил).
В одном из вариантов изобретения R2 находится в мета-положении. В одной версий этого варианта изобретения R2 может представлять собой аминоалкил, например амино(низший)алкил, такой как аминометил, аминоэтил, аминопропил, аминоциклопропил, аминобутил или диалкиламино. В другой версии R2 может представлять собой NHCO-алкил, например NHCO-(С2-С4)алкил, включая NHCO-(СН3), NHCO-(СН2СН3), NHCO-(СН2СН2-СН3) и NHCO-(СН(СН2)2) (т.е. NHCO-циклопропил). В одной из версий этого варианта, R1 может представлять собой н-бутил, втор-бутил, изобутил, п-толуол, п-галогенфенил (например, п-фторфенил, п-хлорфенил или п-бромфенил), циклогексилметил, циклогексил или циклогексилфенил. Соединения настоящего изобретения преимущественно представляют собой фармацевтически приемлемые соли, например HCl.
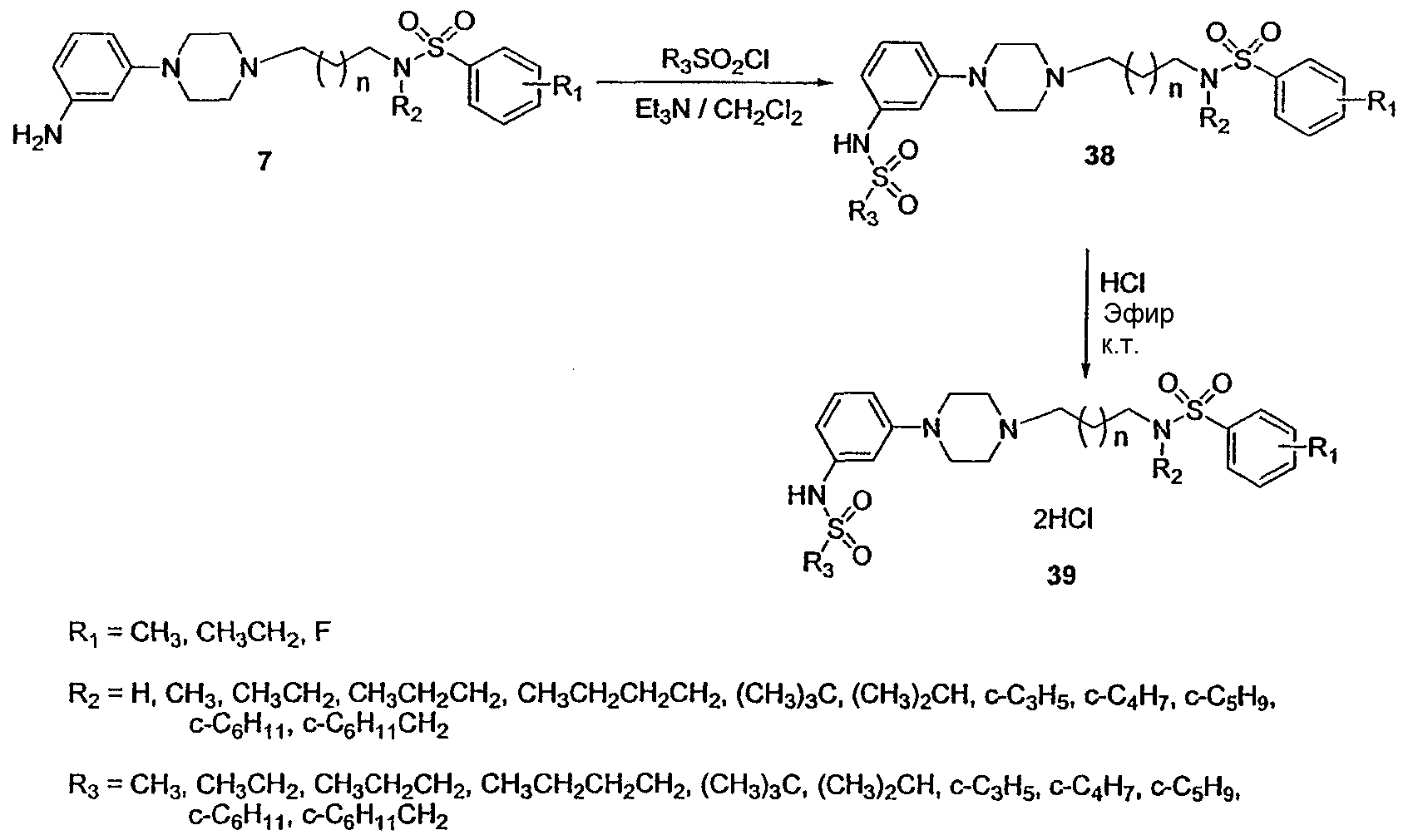
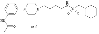
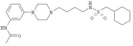
В конкретных вариантах, соединениями настоящего изобретения являются 4-метил-N-{4-[4-(3-нитрофенил)пиперазин-1-ил]бутил}-бензолсульфонамид; HCl-соль 4-метил-N-{4-[4-(3-нитрофенил)пиперазин-1-ил]бутил}-бензолсульфонамида; (3-{4-[4-(толуол-4-сульфониламино)бутил]пиперазин-1-ил}фенил)амид циклопропанкарбоновой кислоты; N-(3-{4-[4-(толуол-4-сульфониламино)бутил]пиперазин-1-ил}фенил)бутирамид; 2,2-диметил-N-(3-{4-[4-(толуол-4-сульфониламино)бутил]пиперазин-1-ил}фенил)пропионамид; N-(3-{4-[4-(толуол-4-сульфониламино)бутил]пиперазин-1-ил}фенил)изобутирамид; N-{4-[4-(3-этансульфониламинофенил)пиперазин-1-ил]бутил}-4-метилбензолсульфонамид; 4-метил-N-(4-{4-[3-(пропан-2-сульфониламино)фенил]пиперазин-1-ил}бутил)бензолсульфонамид; 4-метил-N-{4-[4-(3-нитрофенил)пиперазин-1-ил]бутил}-бензолсульфонамид; 4-метил-N-[4-(4-пиридин-2-ил-пиперазин-1-ил)-бутил]бензолсульфонамид; N-{4-[4-(2-метокси-5-нитрофенил)пиперазин-1-ил]бутил}-4-метилбензолсульфонамид; 4-метил-N-[4-(4-пиримидин-2-илпиперазин-1-ил)бутил]-бензолсульфонамид; N-{4-[4-(3-метоксифенил)пиперазин-1-ил]бутил}-4-метилбензолсульфонамид; N-{4-[4-(3-этансульфониламинофенил)пиперазин-1-ил]бутил}-4-метилбензолсульфонамид; N-{4-[4-(3-метансульфониламинофенил)-пиперазин-1-ил]бутил}-4-метилбензолсульфонамид; 4-метил-N-{4-[4-(3-пиразин-2-илфенил)пиперазин-1-ил]бутил}бензолсульфонамид; N-[4-(4-бифенил-3-илпиперазин-1-ил)бутил]-4-метилбензолсульфонамид; 4-метил-N-[4-(4-фенилпиперазин-1-ил)бутил]бензолсульфонамид; С-циклогексил-N-{4-[4-(2-метоксифенил)пиперазин-1-ил]бутил}метансульфонамид; N-(3-{4-[4-(толуол-4-сульфониламино)бутил]пиперазин-1-ил}фенил)ацетамид; N-(3-{4-[4-(толуол-4-сульфониламино)бутил]пиперазин-1-ил}фенил)пропионамид; (3-{4-[1-(4-фтор-бензолсульфонил)пиперидин-4-илметил]пиперазин-1-ил}фенил)диметиламин; 1-[1-(4-фторбензолсульфонил)пиперидин-4-илметил]-4-пиридин-2-илпиперазин; С-циклогексил-N-{4-[4-(3-диметиламинофенил)пиперазин-1-ил]бутил}метансульфонамид; С-циклогексил-N-[4-(4-пиридин-2-илпиперазин-1-ил)бутил]-метансульфонамид; N-(3-{4-[1-(4-фторбензолсульфонил)пиперидин-4-илметил]пиперазин-1-ил}фенил)ацетамид; N-(3-{4-[4-(4-фторбензолсульфониламино)бутил]пиперазин-1-ил}фенил)ацетамид; N-{3-[4-(4-циклогексилметансульфониламинобутил)пиперазин-1-ил]фенил}ацетамид; N-{3-[4-(1-циклогексилметансульфонил-пиперидин-4-илметил)пиперазин-1-ил]фенил}ацетамид; {3-[4-(4-циклогексилметансульфониламинобутил)пиперазин-1-ил]фенил}амид циклопропанкарбоновой кислоты, N-(3-{4-[1-(пропан-2-сульфонил)пиперидин-4-илметил]пиперазин-1-ил}фенил)ацетамид; N-(3-{4-[4-(пропан-2-сульфониламино)бутил]пиперазин-1-ил}фенил)ацетамид; N-{3-[4-(4-циклогексансульфониламинобутил)-пиперазин-1-ил]фенил}ацетамид; N-(3-{4-[4-(циклогексилметансульфонилметиламино)бутил]пиперазин-1-ил}фенил)ацетамид; N-(3-{4-[4-(2-метилпропан-1-сульфониламино)-бутил]пиперазин-1-ил}фенил)ацетамид; N-[3-(4-{4-[метил-(2-метилпропан-1-сульфонил)амино]бутил}пиперазин-1-ил)фенил]-ацетамид; N-(3-пиперазин-1-илфенил)ацетамид, (3-пиперазин-1-илфенил)амид циклопропанкарбоновой кислоты и 1-(2-метоксифенил)-4-[1-(толуол-4-сульфонил)пиперидин-3-илметил]пиперазин.
В другом своем аспекте, как указывалось выше, настоящее изобретение относится к способам лечения индивидуумов, страдающих состояниями, требующими лечения, путем введения эффективного количества соединения настоящего изобретения. При этом такому лечению могут быть подвергнуты индивидуумы, страдающие различными состояниями, восприимчивыми к введению указанных соединений; либо эти соединения могут быть использованы отдельно и/или в комбинации с другими дозированными средствами в целях модуляции физиологических симптомов, ассоциированных с некоторыми состояниями, для проведения желаемого лечения указанного(ых) состояния(й). Такими состояниями или физиологическими симптомами являются расширение сосудов и сокращение гладкой мышцы, бронхостеноз, заболевания головного мозга, такие как сосудистые расстройства, например расстройства кровообращения, вызываемые расширением сосудов, и вазоспастические заболевания, такие как стенокардия, головная боль, мигрень и болезнь Рейно; и невропатологические расстройства, включая болезнь Паркинсона и болезнь Альцгеймера; расстройства сердечно-сосудистой системы; приступы церебрального инфаркта (апоплексический удар), такие как удар или ишемия головного мозга; и расстройства кишечного тракта, которые характеризуются нарушением серотонинергической системы, а также нарушением углеводного обмена; ассоциированные со стрессом соматические расстройства; рефлекторная дистрофия симпатической нервной системы, такая как синдром “плечо/кисть”; нарушение функции мочевого пузыря, такое как цистит; гиперрефлексия мышцы-сжимателя мочевого пузыря и недержание мочи; и боли или болевые ощущения, вызываемые любыми из вышеуказанных расстройств или ассоциированные с ними, а в частности, распространение боли при мигрени.
Настоящее изобретение также относится к способам лечения состояний, ассоциированных с серотонергической гипофункцией или гиперфункцией, предусматривающим введение соединения настоящего изобретения индивидууму для лечения такого состояния. Как указывалось выше, соединения настоящего изобретения могут обладать антагонистической активностью по отношению к 5-НТ1А-рецепторам, что будет приводить к подавлению механизма отрицательной обратной связи, индуцируемого ингибированием повторного поглощения серотонина; и предполагается, что такое подавление будет усиливать эффект ингибирования поглощения серотонина соединениями настоящего изобретения. Другие соединения настоящего изобретения обладают агонистической активностью по отношению к 5-НТ-рецепторам, таким как 5-НТ1А-рецепторы.
В другом своем аспекте настоящее изобретение относится к фармацевтической композиции, содержащей определенное количество соединения формулы I или II, эффективное для лечения тревожных состояний, а в частности генерализованного тревожного состояния, у млекопитающего, страдающего указанным заболеванием, и фармацевтически приемлемый носитель.
В другом своем аспекте настоящее изобретение относится к способу лечения тревожного состояния, а в частности генерализованного тревожного состояния у млекопитающего, такого как человек, где указанный способ предусматривает введение указанному млекопитающему терапевтически эффективного количества соединения формулы I или II.
В другом своем аспекте настоящее изобретение относится к фармацевтической композиции, содержащей определенное количество соединения формулы I или II, эффективное для лечения панической атаки у млекопитающего, страдающего указанным заболеванием, и фармацевтически приемлемый носитель.
В другом своем аспекте настоящее изобретение относится к способу лечения панической атаки у млекопитающего, такого как человек, где указанный способ предусматривает введение указанному млекопитающему терапевтически эффективного количества соединения формулы I или II.
В другом своем аспекте настоящее изобретение относится к фармацевтической композиции, содержащей определенное количество соединения формулы I или II, эффективное для лечения такого расстройства, такого как дефицит внимания (ADD), ассоциированного или не ассоциированного с гиперактивностью, т.е. ADHD, у млекопитающего, страдающего таким расстройством, и фармацевтически приемлемый носитель.
В другом своем аспекте настоящее изобретение относится к способу лечения такого расстройства, как дефицит внимания, ассоциированного или не ассоциированного с гиперактивностью у млекопитающего, такого как человек, где указанный способ предусматривает введение такому млекопитающему терапевтически эффективного количества соединения формулы I или II.
В другом своем аспекте настоящее изобретение относится к фармацевтической композиции, содержащей определенное количество соединения формулы I или II, эффективное для лечения расстройств, связанных со злоупотреблением веществами у млекопитающего, страдающего таким расстройством, и фармацевтически приемлемый носитель.
В другом своем аспекте настоящее изобретение относится к способу лечения расстройств, связанных со злоупотреблением веществами у млекопитающего, такого как человек, где указанный способ предусматривает введение такому млекопитающему терапевтически эффективного количества соединения формулы I или II.
В другом своем аспекте настоящее изобретение относится к фармацевтической композиции, содержащей определенное количество соединения формулы I или II, эффективное для лечения состояний, ассоциированных с сосудистыми расстройствами, такими как стенокардия и мигрень.
В другом своем аспекте настоящее изобретение относится к способу лечения состояний, ассоциированных с сосудистыми расстройствами, такими как стенокардия и мигрень.
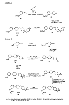
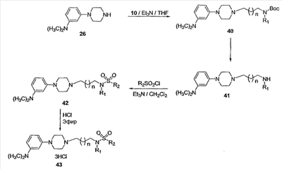
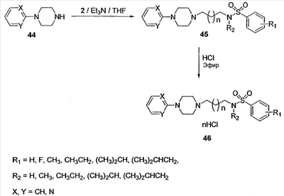
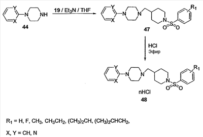
В настоящее изобретение также включены способы получения соединений и новые промежуточные соединения.
Краткое описание графического материала
На фиг.1-12 проиллюстрированы эффекты, наблюдаемые у животных при введении им соединения настоящего изобретения в различных тестах, подробно описанных в примерах 40 и 41.
Подробное описание изобретения
Отличительные признаки и другие детали осуществления настоящего изобретения более конкретно описаны ниже со ссылками на графический материал и определены в формуле изобретения. Следует отметить, что описанные здесь конкретные варианты приводятся лишь в целях иллюстрации настоящего изобретения и не должны рассматриваться как его ограничение. Существенные признаки настоящего изобретения могут быть использованы в различных вариантах его осуществления, не выходящих за рамки объема изобретения. Все части и проценты даны по массе, если это не оговорено особо.
Определения
Для удобства, в описании, примерах и в прилагаемой формуле изобретения приводятся определения некоторых терминов.
Термины “модулятор 5-НТ-рецептора” или “5-НТ-модулятор” включают соединения, обладающие действием, направленным на 5-НТ1-, 5-НТ2-, 5-НТ3-, 5-НТ4-, 5-НТ5-, 5-НТ6– или 5-НТ7-рецепторы, включая подтипы каждого из этих рецепторов, такие как 5-НТ1А,В,С,D,Е или F; 5-НТ2А,В или С и 5-НТ5А или В. Модуляторы 5-НТ могут быть агонистами, частичными агонистами или антагонистами.
Термин “лечение” означает любой эффект, например ослабление, облегчение, модуляцию или устранение симптомов, которые приводят к положительной динамике данного состояния, заболевания или расстройства и т.п.
Термин “алкил” означает насыщенные алифатические группы, включая алкильные группы с прямой цепью (например, метил, этил, пропил, бутил (например, н-бутил, втор-бутил, изобутил), пентил, гексил, гептил, октил, нонил, децил), алкильные группы с разветвленной цепью (например, изопропил, трет-бутил, изобутил), циклоалкильные (например, алициклические) группы (например, циклопропил, циклопентил, циклогексил, циклогептил, циклооктил), замещенные алкилом циклоалкильные группы и замещенные циклоалкилом алкильные группы. Термин “алкил” также включает алкильные группы, которые имеют атомы кислорода, азота, серы или фосфора, заменяющие один или несколько атомов углерода на углеводородной основной цепи. В некоторых вариантах изобретения алкил с прямой или разветвленной цепью имеет в своей основной цепи шесть или менее атомов углерода (например, С1-С6 для прямой цепи, С3-С6 для разветвленной цепи), а более предпочтительно четыре или менее атомов углерода. Аналогичным образом, предпочтительные циклоалкилы имеют в своей циклической структуре от трех до восьми атомов углерода, а более предпочтительно пять или шесть атомов углерода. Термин “С1-С6” относится к алкильным группам, содержащим от одного до шести атомов углерода.
Термин “алкил” также включает “незамещенные алкилы” и “замещенные алкилы”, где замещенные алкилы представляют собой алкильные группы, имеющие заместители, заменяющие водород на одном или нескольких атомах углерода углеводородной основной цепи. Такими заместителями могут быть, например, алкил, алкенил, алкинил, галоген, гидроксил, алкилкарбонилокси, арилкарбонилокси, алкоксикарбонилокси, арилоксикарбонилокси, карбоксилат, алкилкарбонил, арилкарбонил, алкоксикарбонил, аминокарбонил, алкиламинокарбонил, диалкиламинокарбонил, алкилтиокарбонил, алкоксил, фосфат, фосфонато, фосфинато, циано, амино (включая алкиламино, диалкиламино, ариламино, диариламино и алкилариламино), ациламино (включая алкилкарбониламино, арилкарбониламино, карбамоил и уреидо), амидино, имино, сульфгидрил, алкилтио, арилтио, тиокарбоксилат, сульфаты, алкилсульфинил, сульфонато, сульфамоил, сульфонамидо, нитро, трифторметил, циано, азидо, гетероциклил, алкиларил или ароматическая или гетероароматическая группа. Циклоалкилы могут быть, кроме того, замещены, например, заместителями, описанными выше. “Алкиларильная” или “аралкильная” группа представляет собой алкил, замещенный арилом (например, фенилметил (бензил)). Термин “алкил” также включает боковые цепи природных и неприродных аминокислот.
Термин “арил” означает ароматические группы, включая 5- и 6-членные “несопряженные” или ароматические группы, состоящие из одного кольца, которые могут включать от нуля до четырех гетероатомов, а также “сопряженные” или полициклические системы, содержащие, по крайней мере, одно ароматическое кольцо. Примерами арильных групп являются бензол, фенил, пиррол, фуран, тиофен, тиазол, изотиазол, имидазол, триазол, тетразол, пиразол, оксазол, изооксазол, пиридин, пиразин, пиридазин и пиримидин и т.п. Кроме того, термин “арил” включает полициклические арильные группы, например трициклические, бициклические группы, а именно нафталин, бензоксазол, бензодиоксазол, бензотиазол, бензоимидазол, бензотиофен, метилендиоксифенил, хинолин, изохинолин, нафтиридин, индол, бензофуран, пурин, бензофуран, деазапурин или индолизин. Такими арильными группами, имеющими в своей циклической структуре гетероатомы, могут быть также “арилгетероциклы”, “гетероциклы”, “гетероарилы” или “гетероароматические группы”. Ароматическое кольцо может быть замещено в одном или нескольких положениях заместителями, описанными выше, такими как, например, галоген, гидроксил, алкокси, алкилкарбонилокси, арилкарбонилокси, алкоксикарбонилокси, арилоксикарбонилокси, карбоксилат, алкилкарбонил, алкиламинокарбонил, аралкиламинокарбонил, алкениламинокарбонил, алкилкарбонил, арилкарбонил, аралкилкарбонил, алкенилкарбонил, алкоксикарбонил, аминокарбонил, алкилтиокарбонил, фосфат, фосфонато, фосфинато, циано, амино (включая алкиламино, диалкиламино, ариламино, диариламино и алкилариламино), ациламино (включая алкилкарбониламино, арилкарбониламино, карбамоил и уреидо), амидино, имино, сульфгидрил, алкилтио, арилтио, тиокарбоксилат, сульфаты, алкилсульфинил, сульфонато, сульфамоил, сульфонамидо, нитро, трифторметил, циано, азидо, гетероциклил, алкиларил или ароматическая или гетероароматическая группа. Арильные группы могут быть также конденсированы или могут образовывать мостиковую связь с алициклическими или гетероциклическими кольцами, которые не являются такими ароматическими кольцами, которые могут образовывать полициклическую систему (например, тетралин, метилендиоксифенил).
Термин “алкенил” включает ненасыщенные аналоги алифатических групп, которые имеют длину и возможные замещения, аналогичные описанным выше для алкилов, но которые содержат, по крайней мере, одну двойную связь. Так, например, термин “алкенил” включает алкенильные группы с прямой цепью (например, этенил, пропенил, бутенил, пентенил, гексенил, гептенил, октенил, ноненил, деценил), алкенильные группы с разветвленной цепью, циклоалкенильные (например, алициклические) группы (например, циклопропенил, циклопентенил, циклогексенил, циклогептенил, циклооктенил), замещенные алкилом или алкенилом циклоалкенильные группы и замещенные циклоалкилом или циклоалкенилом алкенильные группы. Термин “алкенил”, кроме того, включает алкенильные группы, которые имеют атомы кислорода, азота, серы или фосфора, заменяющие один или несколько атомов углерода на углеводородном остове. В некоторых вариантах изобретения, алкенильная группа с прямой или разветвленной цепью имеет на своем остове шесть или менее атомов углерода (например, С2-С6 для прямой цепи, С3-С6 для разветвленной цепи). Аналогичным образом, циклоалкенильные группы могут иметь на своей циклической структуре от трех до восьми атомов углерода, а более предпочтительно пять или шесть атомов углерода. Термин “С2-С6” относится к алкенильным группам, содержащим от двух до шести атомов углерода.
Термин “алкенил” также включает “незамещенные алкенилы” и “замещенные алкенилы”, где замещенные алкенилы представляют собой алкенильные группы, имеющие заместители, заменяющие водород на одном или нескольких атомах углерода углеводородной основной цепи. Такими заместителями могут быть, например, алкильные группы, алкинильные группы, галогены, гидроксил, алкилкарбонилокси, арилкарбонилокси, алкоксикарбонилокси, арилоксикарбонилокси, карбоксилат, алкилкарбонил, арилкарбонил, алкоксикарбонил, аминокарбонил, алкиламинокарбонил, диалкиламинокарбонил, алкилтиокарбонил, алкоксил, фосфат, фосфонато, фосфинато, циано, амино (включая алкиламино, диалкиламино, ариламино, диариламино и алкилариламино), ациламино (включая алкилкарбониламино, арилкарбониламино, карбамоил и уреидо), амидино, имино, сульфгидрил, алкилтио, арилтио, тиокарбоксилат, сульфаты, алкилсульфинил, сульфонато, сульфамоил, сульфонамидо, нитро, трифторметил, циано, азидо, гетероциклил, алкиларил или ароматическая или гетероароматическая группа.
Термин “алкинил” включает ненасыщенные аналоги алифатических групп, которые имеют длину и возможные замещения, аналогичные описанным выше для алкилов, но которые содержат, по крайней мере, одну тройную связь. Так, например, термин “алкинил” включает алкинильные группы с прямой цепью (например, этинил, пропинил, бутинил, пентинил, гексинил, гептинил, октинил, нонинил, децинил), алкинильные группы с разветвленной цепью, и замещенные циклоалкилом или циклоалкенилом алкинильные группы. Термин “алкинил”, кроме того, включает алкинильные группы, которые имеют атомы кислорода, азота, серы или фосфора, заменяющие один или несколько атомов углерода в углеводородной основной цепи. В некоторых вариантах изобретения алкинильная группа с прямой или разветвленной цепью имеет в своей основной цепи шесть или менее атомов углерода (например, С2-С6 для прямой цепи, С3-С6 для разветвленной цепи). Термин “С2-С6” относится к алкинильным группам, содержащим от двух до шести атомов углерода.
Термин “алкинил” также включает “незамещенные алкинилы” и “замещенные алкинилы”, где замещенные алкинилы представляют собой алкинильные группы, имеющие заместители, заменяющие водород на одном или нескольких атомах углерода углеводородной основной цепи. Такими заместителями могут быть, например, алкильные группы, алкинильные группы, галогены, гидроксил, алкилкарбонилокси, арилкарбонилокси, алкоксикарбонилокси, арилоксикарбонилокси, карбоксилат, алкилкарбонил, арилкарбонил, алкоксикарбонил, аминокарбонил, алкиламинокарбонил, диалкиламинокарбонил, алкилтиокарбонил, алкоксил, фосфат, фосфонато, фосфинато, циано, амино (включая алкиламино, диалкиламино, ариламино, диариламино и алкилариламино), ациламино (включая алкилкарбониламино, арилкарбониламино, карбамоил и уреидо), амидино, имино, сульфгидрил, алкилтио, арилтио, тиокарбоксилат, сульфаты, алкилсульфинил, сульфонато, сульфамоил, сульфонамидо, нитро, трифторметил, циано, азидо, гетероциклил, алкиларил или ароматическая или гетероароматическая группа.
Если число атомов углерода не оговорено особо, то термин “низший алкил” включает алкильную группу, определенную выше, но имеющую в своей основной цепи от одного до десяти, а более предпочтительно от одного до шести атомов углерода. Длина цепи “низшего алкенила” и “низшего алкинила” составляет, например, 2-5 атомов углерода.
Термин “ацил” включает соединения и молекулы, которые содержат ацильный радикал (СН3СО-) или карбонильную группу. Термин “замещенный ацил” включает ацильные группы, где один или несколько атомов водорода заменены, например, алкильными группами, алкинильными группами, галогенами, гидроксилом, алкилкарбонилокси, арилкарбонилокси, алкоксикарбонилокси, арилоксикарбонилокси, карбоксилатом, алкилкарбонилом, арилкарбонилом, алкоксикарбонилом, аминокарбонилом, алкиламинокарбонилом, диалкиламинокарбонилом, алкилтиокарбонилом, алкоксилом, фосфатом, фосфонато, фосфинато, циано, амино (включая алкиламино, диалкиламино, ариламино, диариламино и алкилариламино), ациламино (включая алкилкарбониламино, арилкарбониламино, карбамоил и уреидо), амидино, имино, сульфгидрилом, алкилтио, арилтио, тиокарбоксилатом, сульфатами, алкилсульфинилом, сульфонато, сульфамоилом, сульфонамидо, нитро, трифторметилом, циано, азидо, гетероциклилом, алкиларилом или ароматической или гетероароматической группой.
Термин “ациламино” включает группы, где ацильная часть связана с аминогруппой. Так, например, этот термин включает алкилкарбониламиногруппу, арилкарбониламиногруппу, карбамоильную группу и уреидогруппу.
Термин “ароил” включает соединения и части, где арильный или гетероароматический радикалы связаны с карбонильной группой. Примерами ароильных групп являются фенилкарбокси, нафтилкарбокси и т.п.
Термины “алкоксиалкил”, “алкиламиноалкил” и “тиоалкоксиалкил” включают алкильные группы, описанные выше, которые, кроме того, включают атомы кислорода, азота или серы, заменяющие один или несколько атомов углерода в углеводородной основной цепи, например атомы кислорода, азота или серы.
Термин “алкокси” включает замещенную и незамещенную алкильную, алкенильную и алкинильную группы, ковалентно связанные с атомом кислорода. Примерами алкоксигрупп являются метокси, этокси, изопропилокси, пропокси, бутокси и пентоксигруппы. Примерами замещенных алкоксигрупп являются галогенированные алкоксигруппы. Алкоксигруппы могут быть замещены такими группами, как алкенил, алкинил, галоген, гидроксил, алкилкарбонилокси, арилкарбонилокси, алкоксикарбонилокси, арилоксикарбонилокси, карбоксилат, алкилкарбонил, арилкарбонил, алкоксикарбонил, аминокарбонил, алкиламинокарбонил, диалкиламинокарбонил, алкилтиокарбонил, алкоксил, фосфат, фосфонато, фосфинато, циано, амино (включая алкиламино, диалкиламино, ариламино, диариламино и алкилариламино), ациламино (включая алкилкарбониламино, арилкарбониламино, карбамоил и уреидо), амидино, имино, сульфгидрил, алкилтио, арилтио, тиокарбоксилат, сульфаты, алкилсульфинил, сульфонато, сульфамоил, сульфонамидо, нитро, трифторметил, циано, азидо, гетероциклил, алкиларил или ароматическая или гетероароматическая группы. Примерами замещенных галогеном алкоксигрупп являются, но не ограничиваются ими, фторметокси, дифторметокси, трифторметокси, хлорметокси, дихлорметокси и трихлорметокси.
Термины “гетероциклил” или “гетероциклическая группа” означают замкнутые циклические структуры, например 3-10- или 4-7-членные кольца, включающие один или несколько гетероатомов. Гетероциклильные группы могут быть насыщенными или ненасыщенными, и такими группами являются пирролидин, оксолан, тиолан, пиперидин, пиперазин, морфолин, лактоны, лактамы, такие как азетидиноны и пирролидиноны, сультамы, сультоны и т.п. Гетероциклическое кольцо может быть замещено в одном или нескольких положениях заместителями, описанными выше, такими как, например, галоген, гидроксил, алкилкарбонилокси, арилкарбонилокси, алкоксикарбонилокси, арилоксикарбонилокси, карбоксилат, алкилкарбонил, алкоксикарбонил, аминокарбонил, алкилтиокарбонил, алкоксил, фосфат, фосфонато, фосфинато, циано, амино (включая алкиламино, диалкиламино, ариламино, диариламино и алкилариламино), ациламино (включая алкилкарбониламино, арилкарбониламино, карбамоил и уреидо), амидино, имино, сульфгидрил, алкилтио, арилтио, тиокарбоксилат, сульфаты, сульфонато, сульфамоил, сульфонамидо, нитро, трифторметил, циано, азидо, гетероциклил или ароматическая или гетероароматическая группы.
Термин “тиокарбонил” или “тиокарбокси” включает соединения и части, содержащие углерод, связанный с атомом серы посредством двойной связи.
Термин “простой эфир” включает соединения или части, содержащие кислород, связанный с двумя различными атомами углерода или гетероатомами. Так, например, этот термин включает “алкоксиалкил”, который представляет собой алкильную, алкенильную или алкинильную группу, ковалентно связанную с атомом кислорода, ковалентно связанным с другой алкильной группой.
Термин “сложный эфир” включает соединения и части, содержащие углерод или гетероатом, связанный с атомом кислорода, который связан с атомом углерода карбонильной группы. Термин “сложный эфир” включает алкоксикарбоксигруппы, такие как метоксикарбонил, этоксикарбонил, пропоксикарбонил, бутоксикарбонил, пентоксикарбонил и т.п. Алкильная, алкенильная или алкинильная группы определены выше.
Термин “простой тиоэфир” включает соединения и части, содержащие атом серы, связанный с двумя различными атомами углерода или гетероатомами. Примерами тиоэфиров являются, но не ограничиваются ими, алкилтиоалкилы, алкилтиоалкенилы и алкилтиоалкинилы. Термин “алкилтиоалкилы” включает соединения, в которых алкильная, алкенильная или алкинильная группа связана с атомом серы, который связан с алкильной группой. Аналогичным образом, термины “алкилтиоалкенилы” и “алкилтиоалкинилы” означают соединения или части, в которых алкильная, алкенильная или алкинильная группа связана с атомом серы, который ковалентно связан с алкинильной группой.
Термин “гидрокси” или “гидроксил” включает группы, содержащие -ОН или -О–.
Термин “галоген” включает фтор, бром, хлор, иод и т.п. Термин “пергалогенированный”, в целом, относится к группе, в которой все атомы водорода заменены атомами галогена.
Термин “полициклил” или “полициклический радикал” означает два или более циклов (например, циклоалкилы, циклоалкенилы, циклоалкинилы, арилы и/или гетероциклилы), в которых два или более атомов углерода являются общими для двух смежных колец. Кольца, связанные между собой посредством несмежных атомов, называются “мостиковыми” кольцами. Каждое из колец такого полицикла может быть замещено заместителями, описанными выше, такими как, например, галоген, гидроксил, алкилкарбонилокси, арилкарбонилокси, алкоксикарбонилокси, арилоксикарбонилокси, карбоксилат, алкилкарбонил, алкоксикарбонил, алкиламинокарбонил, аралкиламинокарбонил, алкениламинокарбонил, алкилкарбонил, арилкарбонил, аралкилкарбонил, алкенилкарбонил, аминокарбонил, алкилтиокарбонил, алкоксил, фосфат, фосфонато, фосфинато, циано, амино (включая алкиламино, диалкиламино, ариламино, диариламино и алкилариламино), ациламино (включая алкилкарбониламино, арилкарбониламино, карбамоил и уреидо), амидино, имино, сульфгидрил, алкилтио, арилтио, тиокарбоксилат, сульфаты, алкилсульфинил, сульфонато, сульфамоил, сульфонамидо, нитро, трифторметил, циано, азидо, гетероциклил, алкил, алкиларил или ароматическая или гетероароматическая группа.
Термин “гетероатом” включает атомы любого элемента, не являющегося углеродом или водородом. Примерами гетероатомов являются азот, кислород, сера и фосфор.
Следует отметить, что структура некоторых соединений настоящего изобретения включает асимметрические атомы углерода. В соответствии с этим, следует также отметить, что изомеры, образующиеся в результате такой асимметрии (например, все энантиомеры и диастереомеры) входят в объем настоящего изобретения, если это не оговорено иначе. Такие изомеры могут быть получены, в основном, в чистой форме классическими методами разделения и методом стереохимически регулируемого синтеза. Кроме того, структуры и другие соединения и радикалы, обсуждаемые в настоящей заявке, также включают все их таутомеры. Алкены, где это возможно, могут иметь Е- или Z-геометрическую структуру.
Термин “комбинированная терапия” (или “ко-терапия”) включает введение модулятора 5-НТ настоящего изобретения, и, по крайней мере, второго агента как части конкретной схемы лечения, предназначенной для достижения благоприятного эффекта от совместного действия этих терапевтических средств. Благоприятными эффектами такой комбинированной терапии являются, но не ограничиваются ими, фармакокинетическое или фармакодинамическое совместное действие в результате введения комбинации терапевтических средств. Введение этих терапевтических средств в комбинации друг с другом обычно осуществляют в течение определенного периода времени (обычно в течение нескольких минут, часов, дней или недель, в зависимости от выбранной комбинации). Термин “комбинированная терапия” может подразумевать, но обычно не подразумевает введение двух или более указанных терапевтических средств как части отдельных схем монотерапии, которые случайно и спонтанно приводят к эффектам комбинированной терапии настоящего изобретения. Термин “комбинированная терапия” предназначен для охвата последовательного введения этих терапевтических средств, т.е. когда каждое терапевтическое средство вводят в различные периоды времени, а также, в основном, одновременного введения этих терапевтических средств, или, по крайней мере, двух из этих терапевтических средств. В основном, одновременное введение может предусматривать, например, введение индивидууму одной капсулы, имеющей фиксированное содержание каждого терапевтического средства, или множества отдельных капсул для каждого из указанных терапевтических средств. Последовательное или, в основном, одновременное введение каждого терапевтического средства может быть осуществлено любым подходящим способом, включая, но не ограничиваясь ими, пероральное, внутривенное, внутримышечное введение и прямую абсорбцию через ткани слизистой мембраны. Терапевтические средства могут быть введены одним и тем же способом или различными способам. Так, например, первое терапевтическое средство данной выбранной комбинации может быть введено путем внутривенной инъекции, а другие терапевтические средства данной комбинации могут быть введены перорально. Альтернативно, например, все терапевтические средства могут быть введены перорально, либо все они могут быть введены внутривенно. Последовательность введения терапевтически средств не имеет существенного значения. Термин “комбинированная терапия” также может охватывать введение терапевтически средств, описанных выше, в другой комбинации с другими биологически активными ингредиентами, а также в комбинации с недозированной терапией (например, хирургической операцией или лучевой терапией). Если комбинированная терапия, кроме того, предусматривает недозированную терапию, то такая недозированная терапия может быть проведена в любой подходящий период времени, при условии, что при этом будет достигаться благоприятный эффект от совместного введения комбинации терапевтически средств и недозированной терапии. Так, например, в некоторых случаях благоприятный эффект достигается даже тогда, когда недозированную терапию временно прекращают из-за введения терапевтических средств, возможно на несколько дней или даже недель.
Используемый здесь термин “анионная группа” означает группу, которая является отрицательно заряженной при физиологическом рН. Предпочтительными анионными группами являются карбоксилат, сульфат, сульфонат, сульфинат, сульфамат, тетразолил, фосфат, фосфонат, фосфинат или фосфортиоат, или их функциональные эквиваленты. “Функциональными эквивалентами” анионных групп являются биоизостеры, например, биоизостеры карбоксилатной группы. Термин “биоизостеры” охватывает классические биоизостерические эквиваленты и неклассические биоизостерические эквиваленты. Классические и неклассические биоизостеры хорошо известны специалистам (см., например, Silverman, R.B. The Organic Chemistry of Drug Design and Drug Action, Academic Press, Inc. San Diego, Calif., 1992, pp.19-23). Особенно предпочтительной анионной группой является карбоксилат.
Термин “гетероциклическая группа” означает замкнутые циклические структуры, в которых один или несколько атомов в кольце представляют собой элемент, не являющийся углеродом, например азот, кислород или серу. Гетероциклические группы могут быть насыщенными или ненасыщенными, а гетероциклические группы, такие как пиррол и фуран, могут обладать ароматичностью. Такими группами являются конденсированные циклические структуры, такие как хинолин и изохинолин. Другими примерами гетероциклических групп являются пиридин и пурин. Гетероциклические группы могут быть также замещены у одного или нескольких составляющих их атомов, например галогеном, низшим алкилом, низшим алкенилом, низшим алкокси, низшим алкилтио, низшим алкиламино, низшим алкилкарбоксилом, нитро, гидроксилом, -CF3, -CN или т.п.
Настоящее изобретение относится к обнаружению новых соединений для лечения индивидуумов, страдающих различными состояниями, которые могут быть восприимчивыми к введению этих соединений отдельно и/или в комбинации с другими дозированными средствами. Так, например, соединения настоящего изобретения могут быть использованы для расширения сосудов и сокращения гладкой мышцы, а также для лечения бронхостеноза; заболеваний головного мозга, таких как сосудистые расстройства, например расстройства кровообращения, вызываемые расширением сосудов и вазоспастические заболевания, такие как стенокардия, головная боль, мигрень и болезнь Рейно; и невропатологических расстройств, включая болезнь Паркинсона и болезнь Альцгеймера; для модуляции расстройств сердечно-сосудистой системы; для профилактики и лечения приступов церебрального инфаркта (апоплексический удар), такого как удар или ишемия головного мозга; и для лечения расстройств кишечного тракта, которые характеризуются нарушением серотонинергической системы, а также нарушением углеводного обмена. Эти соединения могут быть также использованы для лечения ассоциированных со стрессом соматических расстройств; рефлекторной дистрофии симпатической нервной системы, такой как синдром “плечо/кисть”; нарушения функции мочевого пузыря, такого как цистит, гиперрефлексия мышцы-сжимателя мочевого пузыря и недержание мочи; и боли или болевых ощущений, вызываемых любыми из вышеуказанных расстройств или ассоциированных с ними, особенно распространения боли при мигрени.
В соответствии с одним предпочтительным аспектом изобретения было обнаружено, что соединения настоящего изобретения представляют собой модуляторы 5-НТ, например агонисты или антагонисты и/или СИППС, которые могут быть использованы для лечения, предупреждения или устранения 5-НТ-ассоциированных состояний. В частности, было обнаружено, что некоторые арилпиперазинилсульфонамидные соединения являются эффективными модуляторами 5-НТ-рецептора и/или СИППС.
В одном из вариантов осуществления изобретения соединениями настоящего изобретения являются соединения, имеющие формулу:

где: R1 представляет собой функциональную группу, которая по существу не влияет на перекрестную реактивность адренергического 5-HT1A/5-HT2A-рецептора с указанным соединением; R2 и R3 независимо представляют собой водород или функциональную группу, которая по существу не влияет на ингибирование взаимодействия HERG-канала с указанным соединением; Z представляет собой N или С; m может быть равно 0, 1, 2, 3, 4, 5 или 6; n может быть равно 1, 2, 3, 4, 5 или 6; а р может быть равно 0, 1, 2, 3 или 4, а более предпочтительно более чем 0; и их фармацевтически приемлемые соли и/или сложные эфиры. Преимущественно m равно 0, n преимущественно равно 3 или 4, а р преимущественно равно 0 или 1.
R1 может представлять собой замещенный или незамещенный арил, алкил, циклоалкил или алкиларил; R2 и R3 независимо может представлять собой водород или низший алкил; циклоалкил; тригалогенметил; галоген; -NR4R5, где R4 и R5 независимо представляют собой Н, О, R6 или COR6, где R6 может представлять собой низший алкил (например, NR4R5 представляет нитро, NHCO-алкил, например NHCO-низший алкил, такой как NHCO-(С2-С4)алкил, включая NHCO-(СН3), NHCO-(СН2СН3), NHCO-(СН2СН2-СН3), NHCO-(СН(СН2)2) (т.е. циклопропил) и NCO-диалкил, аминоалкил, например амино(низший)алкил, такой как аминометил, аминоэтил, аминопропил, аминоциклопропил, аминобутил или диалкиламино); сульфонамидоалкил, например сульфонамидо(С2-С4)алкил; гидроксил; циано; или сопряженный пяти- или шестичленный цикл или гетероцикл при условии, что R2 и R3, оба, не являются водородом.
Арильная, пиридинильная, пиримидинильная или пиразинильная группа (т.е. где Z=N) может быть замещена заместителем, таким как низший алкил, например С1-С4; циклоалкил, например С3-С6; тригалогенметил, например CF3 или OCF3; галоген, например F, Br или Cl; сопряженный пяти- или шестичленный цикл или гетероцикл, например 3,4-метилендиокси; нитро; NHCO-алкил, например NHCO-низший алкил, такой как NHCO-(С2-С4)алкил, включая NHCO-(СН3), NHCO-(СН2СН3), NHCO-(СН2СН2-СН3) и NHCO-(СН(СН2)2) (т.е. циклопропил); NCO-диалкил; сульфонамидоалкил, например сульфонамидо(С2-С4)алкил; гидроксил или циано. Сама арильная группа может представлять собой, например, замещенный или незамещенный фенил, нафтил, толуил или бифенил.
В одном из вариантов настоящего изобретения R1 может представлять собой низший алкил, например, н-бутил, втор-бутил, изобутил; п-толуол, п-галогенфенил (например, п-фторфенил, п-хлорфенил или п-бромфенил), циклоалкил, например циклопропил, циклобутил, циклопентил, циклогексил, циклогексилметил и циклогексилфенил. В одной из версий этого варианта R2 может представлять собой аминоалкил, например амино(низший)алкил, такой как аминометил, аминоэтил, аминопропил, аминоциклопропил, аминобутил или диалкиламино. В другой версии R2 может представлять собой NHCO-алкил, например NHCO-(С2-С4)алкил, включая NHCO-(СН3), NHCO-(СН2СН3), NHCO-(СН2СН2-СН3) и NHCO-(СН(СН2)2) (т.е. NHCO-циклопропил).
В одном из вариантов изобретения R3 представляет собой Н, а R2 не является Н и находится в мета-положении. В одной из версий этого варианта R2 может представлять собой аминоалкил, например амино(низший)алкил, такой как аминометил, аминоэтил, аминопропил, аминоциклопропил, аминобутил или диалкиламино. В другой версии этого варианта изобретения R2 может представлять собой NHCO-алкил, например NHCO-(С2-С4)алкил, включая NHCO-(СН3), NHCO-(СН2СН3), NHCO-(СН2СН2-СН3) и NHCO-(СН(СН2)2) (т.е. NHCO-циклопропил). В одной из версий этого варианта изобретения R1 может представлять собой п-толуол, п-галогенфенил (например, п-фторфенил, п-хлорфенил или п-бромфенил), циклогексилметил, циклогексил или циклогексилфенил.
В другом варианте осуществления изобретения соединениями настоящего изобретения являются соединения, имеющие формулу:

где R1 может представлять собой замещенный или незамещенный арил, алкил, циклоалкил или алкиларил, например толуил или циклогексил. R1 предпочтительно является несопряженным, если он представляет собой кольцосодержащую группу и может преимущественно представлять собой замещенный или незамещенный алкил или циклоалкил, например циклогексил. R2 может представлять собой низший алкил, например С1-С4алкил; тригалогенметил, например CF3; галоген, например F, Br или Cl; сопряженный пяти- или шестичленный цикл или гетероцикл, например 3,4-метилендиокси; -NR4R5, где R4 и R5 независимо представляют собой Н, О, или COR6, где R6 может представлять собой низший алкил: например, NR4R5 представляет нитро; NHCO-алкил, например, NHCO-низший алкил, такой как NHCO-(С2-С4)алкил, включая NHCO-(СН3), NHCO-(СН2СН3), NHCO-(СН2СН2-СН3), NHCO-(СН(СН2)2) (т.е. циклопропил); NCO-диалкил; сульфонамидоалкил, например сульфонамидо(С2-С4)алкил; атомы, обозначенные связанными пунктирной линией, взятые вместе, могут образовывать четырех-, пяти-, шести или семичленный цикл или гетероцикл; Z представляет собой N или С; m может быть равно 0, 1 или 2; n может быть равно 1, 2, 3 или 4, а р может быть равно 0 или 1; и их фармацевтически приемлемые соли и/или сложные эфиры; m преимущественно равно 0, n преимущественно равно 3 или 4, а р преимущественно равно 0 или 1.
В одном из вариантов настоящего изобретения R1 может представлять собой низший алкил, например н-бутил, втор-бутил, изобутил; п-толуол, п-галогенфенил (например, п-фторфенил, п-хлорфенил или п-бромфенил), циклоалкил, например циклопропил, циклобутил, циклопентил, циклогексил, циклогексилметил и циклогексилфенил. R1 преимущественно может представлять собой циклоалкил, например циклопропил, циклобутил, циклопентил, циклогексил, циклогексилметил и циклогексилфенил. В этом варианте изобретения R2 может представлять собой аминоалкил, например амино(низший)алкил, такой как аминометил, аминоэтил, аминопропил, аминоциклопропил, аминобутил или диалкиламино. R2 преимущественно может представлять собой NHCO-алкил, например NHCO-(С2-С4)алкил, включая NHCO-(СН3), NHCO-(СН2СН3), NHCO-(СН2СН2-СН3) и NHCO-(СН(СН2)2) (т.е. NHCO-циклопропил).
В одном из вариантов изобретения R2 находится в мета-положении. В одной из версий этого варианта R2 может представлять собой аминоалкил, например амино(низший)алкил, такой как аминометил, аминоэтил, аминопропил, аминоциклопропил, аминобутил или диалкиламино. В другой версии этого варианта, R2 может представлять собой NHCO-алкил, например NHCO-(С2-С4)алкил, включая NHCO-(СН3), NHCO-(СН2СН3), NHCO-(СН2СН2-СН3) и NHCO-(СН(СН2)2) (т.е. NHCO-циклопропил). В одной из версий этого варианта изобретения R1 может представлять собой н-бутил, втор-бутил, изобутил, п-толуол, п-галогенфенил (например, п-фторфенил, п-хлорфенил или п-бромфенил), циклогексилметил, циклогексил или циклогексилфенил. Соединения настоящего изобретения предпочтительно представляют собой фармацевтически приемлемые соли, например HCl.
В конкретных вариантах изобретения соединениями настоящего изобретения являются 4-метил-N-{4-[4-(3-нитрофенил)пиперазин-1-ил]бутил}бензолсульфонамид; HCl-соль 4-метил-N-{4-[4-(3-нитрофенил)пиперазин-1-ил]бутил}бензолсульфонамида; (3-{4-[4-(толуол-4-сульфониламино)бутил]пиперазин-1-ил}фенил)амид циклопропанкарбоновой кислоты; N-(3-{4-[4-(толуол-4-сульфониламино)бутил]пиперазин-1-ил}фенил)бутирамид; 2,2-диметил-N-(3-{4-[4-(толуол-4-сульфониламино)бутил]пиперазин-1-ил}фенил)пропионамид; N-(3-{4-[4-(толуол-4-сульфониламино)бутил]пиперазин-1-ил}фенил)изобутирамид; N-{4-[4-(3-этансульфониламинофенил)пиперазин-1-ил]бутил}-4-метилбензолсульфонамид; 4-метил-N-(4-{4-[3-(пропан-2-сульфониламино)фенил]пиперазин-1-ил}бутил)бензолсульфонамид; 4-метил-N-{4-[4-(3-нитрофенил)пиперазин-1-ил]бутил}-бензолсульфонамид; 4-метил-N-[4-(4-пиридин-2-ил-пиперазин-1-ил)-бутил]бензолсульфонамид; N-{4-[4-(2-метокси-5-нитрофенил)пиперазин-1-ил]бутил}-4-метилбензолсульфонамид; 4-метил-N-[4-(4-пиримидин-2-илпиперазин-1-ил)бутил]-бензолсульфонамид; N-{4-[4-(3-метоксифенил)пиперазин-1-ил]бутил}-4-метилбензолсульфонамид; N-{4-[4-(3-этансульфониламинофенил)пиперазин-1-ил]бутил}-4-метилбензолсульфонамид; N-{4-[4-(3-метансульфониламинофенил)-пиперазин-1-ил]бутил}-4-метилбензолсульфонамид; 4-метил-N-{4-[4-(3-пиразин-2-илфенил)пиперазин-1-ил]бутил}бензолсульфонамид; N-[4-(4-бифенил-3-илпиперазин-1-ил)бутил]-4-метилбензолсульфонамид; 4-метил-N-[4-(4-фенилпиперазин-1-ил)бутил]бензолсульфонамид; С-циклогексил-N-{4-[4-(2-метоксифенил)пиперазин-1-ил]бутил}метансульфонамид; N-(3-{4-[4-(толуол-4-сульфониламино)бутил]пиперазин-1-ил}фенил)ацетамид; N-(3-{4-[4-(толуол-4-сульфониламино)бутил]пиперазин-1-ил}фенил)пропионамид; (3-{4-[1-(4-фтор-бензолсульфонил)пиперидин-4-илметил]пиперазин-1-ил}фенил)диметиламин; 1-[1-(4-фторбензолсульфонил)пиперидин-4-илметил]-4-пиридин-2-илпиперазин; С-циклогексил-N-{4-[4-(3-диметиламинофенил)пиперазин-1-ил]бутил}метансульфонамид; С-циклогексил-N-[4-(4-пиридин-2-илпиперазин-1-ил)бутил]-метансульфонамид; N-(3-{4-[1-(4-фторбензолсульфонил)пиперидин-4-илметил]пиперазин-1-ил}фенил)ацетамид; N-(3-{4-[4-(4-фторбензолсульфониламино)бутил]пиперазин-1-ил}фенил)ацетамид; N-{3-[4-(4-циклогексилметансульфониламинобутил)пиперазин-1-ил]фенил}ацетамид; N-{3-[4-(1-циклогексилметансульфонил-пиперидин-4-илметил)пиперазин-1-ил]фенил}ацетамид; {3-[4-(4-циклогексилметансульфониламинобутил)пиперазин-1-ил]фенил}амид циклопропанкарбоновой кислоты, N-(3-{4-[1-(пропан-2-сульфонил)пиперидин-4-илметил]пиперазин-1-ил}фенил)ацетамид; N-(3-{4-[4-(пропан-2-сульфониламино)бутил]пиперазин-1-ил}фенил)ацетамид; N-{3-[4-(4-циклогексансульфониламинобутил)-пиперазин-1-ил]фенил}ацетамид; N-(3-{4-[4-(циклогексилметансульфонилметиламино)бутил]пиперазин-1-ил}фенил)ацетамид; N-(3-{4-[4-(2-метилпропан-1-сульфониламино)-бутил]пиперазин-1-ил}фенил)ацетамид; N-[3-(4-{4-[метил-(2-метилпропан-1-сульфонил)амино]бутил}пиперазин-1-ил)фенил]ацетамид; N-(3-пиперазин-1-илфенил)ацетамид, (3-пиперазин-1-илфенил)амид циклопропанкарбоновой кислоты и 1-(2-метоксифенил)-4-[1-(толуол-4-сульфонил)пиперидин-3-илметил]пиперазин.
Соединения настоящего изобретения также являются агонистами или антагонистами 5-НТ-рецептора, например агонистами или антагонистами 5-НТ1-рецептора, включая 5-НТ1А,В,С,D,E или F-рецепторы, а предпочтительно агонистами 5-НТ1А-рецептора. Неожиданно было обнаружено, что соединения настоящего изобретения являются очень эффективными агонистами 5-НТ1А-рецептора и обладают превосходной активностью и селективностью по сравнению с некоторыми коммерчески доступными агонистами, например BuSpar® (буспирон, Bristol-Myers Squibb).
Соединения настоящего изобретения обладают более селективным действием и не обнаруживают перекрестной реактивности с другими рецепторами, такими как -адренергические рецепторы. Кроме того, эти соединения являются не только селективными, но они также и хорошо связываются с 5-НТ1-рецепторами, например 5-НТ1А-рецепторами, не подвергаются быстрому метаболизму, как это обычно наблюдается в случае токсических метаболитов. Таким образом, соединения настоящего изобретения имеют более длительное время полужизни в организме (in vivo), например, они не подвергаются метаболизму или подвергаются лишь частичному метаболизму [HLM (время полужизни метаболита) Т1/2>20-90 мин, т.е. до 100% соединения, остающегося неизмененным]. Не имея намерения ограничиваться в дальнейшем какой-либо конкретной теорией, авторы настоящего изобретения, тем не менее, считают, что в этом отношении особенно эффективными являются соединения формулы I, где R1 представляет собой циклоалкил, например циклопропил, циклобутил, циклопентил, циклогексил, циклогексилметил и циклогексилфенил; а R2 представляет собой -NR4R5, где R4 и R5 независимо представляют собой Н, О или COR6, где R6 может представлять собой низший алкил; например, R2 представляет нитро, NHCO-алкил, например NHCO-низший алкил, такой как NHCO-(С2-С4)алкил, включая NHCO-(СН3), NHCO-(СН2СН3), NHCO-(СН2СН2-СН3) и NHCO-(СН(СН2)2) (т.е. циклопропил) и NCO-диалкил. По существу, эффективность соединений настоящего изобретения, используемых например, в качестве антидепрессантов, является гораздо более высокой.
R1 может представлять собой замещенный или незамещенный арил, алкил, циклоалкил или алкиларил, например толуил или циклогексил. R2 может представлять собой низший алкил, например С1-С4алкил; тригалогенметил, например CF3; галоген, например F, Br или Cl; сопряженный пяти- или шестичленный цикл или гетероцикл, например 3,4-метилендиокси; -NR4R5, где R4 и R5 независимо представляют собой Н, О, или COR6, где R6 может представлять собой низший алкил; например, R2 представляет нитро; NHCO-алкил, например NHCO-низший алкил, такой как NHCO-(С2-С4)алкил, включая NHCO-(СН3), NHCO-(СН2СН3), NHCO-(СН2СН2-СН3), NHCO-(СН(СН2)2) (т.е. циклопропил); NCO-диалкил; сульфонамидоалкил, например сульфонамидо(С2-С4)алкил; атомы, обозначенные связанными пунктирной линией, взятые вместе, могут образовывать четырех-, пяти-, шести или семичленный цикл или гетероцикл; Z представляет собой N или С; m может быть равно 0, 1 или 2; n может быть равно 1, 2, 3 или 4, а р может быть равно 0 или 1; m преимущественно равно 0, n преимущественно равно 3 или 4, а р преимущественно равно 0 или 1.
В одном из вариантов настоящего изобретения R1 может представлять собой низший алкил, например н-бутил, втор-бутил, изобутил; п-толуол, п-галогенфенил (например, п-фторфенил, п-хлорфенил или п-бромфенил), циклоалкил, например циклопропил, циклобутил, циклопентил, циклогексил, циклогексилметил и циклогексилфенил. В основном, R1 может представлять собой циклоалкил, например циклопропил, циклобутил, циклопентил, циклогексил, циклогексилметил и циклогексилфенил. В этом варианте изобретения R2 может представлять собой аминоалкил, например амино(низший)алкил, такой как аминометил, аминоэтил, аминопропил, аминоциклопропил, аминобутил или диалкиламино. В основном, R2 может представлять собой NHCO-алкил, например, NHCO-(С2-С4)алкил, включая NHCO-(СН3), NHCO-(СН2СН3), NHCO-(СН2СН2-СН3) и NHCO-(СН(СН2)2) (т.е. NHCO-циклопропил).
Настоящее изобретение относится к получению новых соединений для лечения индивидуумов, страдающих состоянием, требующим лечения, путем введения этому индивидууму эффективного количества соединения настоящего изобретения для лечения указанного(ых) состояния(й). Различные состояния могут быть восприимчивы к введению этих соединений отдельно и/или в комбинации с другими дозированными средствами.
В другом своем аспекте настоящее изобретение относится к способам лечения индивидуумов, страдающих состояниями, восприимчивыми к введению указанных соединений; либо к способам изменения физиологических симптомов, ассоциированных с некоторыми состояниями, для проведения желаемого лечения указанного(ых) состояния(й) путем введения этих соединений отдельно и/или в комбинации с другими дозированными средствами. Такими состояниями или физиологическими симптомами являются расширение сосудов и сокращение гладкой мышцы, бронхостеноз, заболевания головного мозга, такие как сосудистые расстройства, например расстройства кровообращения, вызываемые расширением сосудов, и вазоспастические заболевания, такие как стенокардия, головная боль, мигрень и болезнь Рейно; и невропатологические расстройства, включая болезнь Паркинсона и болезнь Альцгеймера; расстройства сердечно-сосудистой системы; приступы церебрального инфаркта (апоплексический удар), такие как удар или ишемия головного мозга; и расстройства кишечного тракта, которые характеризуются нарушением серотонинергической системы, а также нарушением углеводного обмена; ассоциированные со стрессом соматические расстройства; симпатическая рефлекторная дистрофия, такая как синдром “плечо/кисть”; расстройство мочевого пузыря, такое как цистит; гиперрефлексия мышцы-сжимателя мочевого пузыря и недержание мочи; и боли или болевые ощущения, вызываемые или ассоциированные с любым их вышеуказанных расстройств, а в частности распространение боли при мигрени.
Настоящее изобретение также относится к способам лечения состояний, ассоциированных с серотонергической гипофункцией или гиперфункцией, предусматривающим введение соединения настоящего изобретения индивидууму для лечения такого состояний. Как указывалось выше, соединения настоящего изобретения могут обладать антагонистической активностью по отношению к 5-НТ1А-рецепторам, что будет приводить к подавлению механизма отрицательной обратной связи, индуцируемого ингибированием повторного поглощения серотонина; и предполагается, что такое подавление будет усиливать эффект ингибирования повторного поглощения серотонина соединениями настоящего изобретения. Другие соединения настоящего изобретения обладают агонистической активностью по отношению к 5-НТ-рецепторам, таким как 5-НТ1А-рецепторы.
В другом своем аспекте настоящее изобретение относится к фармацевтической композиции, содержащей определенное количество соединения формулы I или II, эффективное для лечения тревожных состояний, а в частности генерализованного тревожного состояния, у млекопитающего, страдающего указанным заболеванием, и фармацевтически приемлемый носитель.
В другом своем аспекте, настоящее изобретение относится к способу лечения тревожного состояния, а в частности генерализованного тревожного состояния у млекопитающего, такого как человек, где указанный способ предусматривает введение указанному млекопитающему терапевтически эффективного количества соединения формулы I или II.
В другом своем аспекте настоящее изобретение относится к фармацевтической композиции, содержащей определенное количество соединения формулы I или II, эффективное для лечения панической атаки у млекопитающего, страдающего указанным заболеванием, и фармацевтически приемлемый носитель.
В другом своем аспекте настоящее изобретение относится к способу лечения панической атаки у млекопитающего, такого как человек, где указанный способ предусматривает введение указанному млекопитающему терапевтически эффективного количества соединения формулы I или II.
В другом своем аспекте настоящее изобретение относится к фармацевтической композиции, содержащей определенное количество соединения формулы I или II, эффективное для лечения расстройства, такого как дефицит внимания (ADD), ассоциированный или не ассоциированный с гиперактивностью, т.е. ADHD у млекопитающего, страдающего таким расстройством, и фармацевтически приемлемый носитель.
В другом своем аспекте настоящее изобретение относится к способу лечения расстройства, такого как дефицит внимания, ассоциированного или не ассоциированного с гиперактивностью у млекопитающего, такого как человек, где указанный способ предусматривает введение такому млекопитающему терапевтически эффективного количества соединения формулы I или II.
В другом своем аспекте настоящее изобретение относится к фармацевтической композиции, содержащей определенное количество соединения формулы I или II, эффективное для лечения расстройств, связанных со злоупотреблением веществами, у млекопитающего, страдающего таким расстройством, и фармацевтически приемлемый носитель.
В другом своем аспекте настоящее изобретение относится к способу лечения расстройств, связанных со злоупотреблением веществами у млекопитающего, такого как человек, где указанный способ предусматривает введение указанному млекопитающему терапевтически эффективного количества соединения формулы I или II.
В другом своем аспекте настоящее изобретение относится к фармацевтической композиции, содержащей определенное количество соединения формулы I или II, эффективное для лечения состояний, ассоциированных с сосудистыми расстройствами, такими как стенокардия и мигрень.
В другом своем аспекте настоящее изобретение относится к лечению состояний, ассоциированных с сосудистыми расстройствами, такими как стенокардия и мигрень.
Настоящее изобретение также включает способы получения соединений и новые промежуточные соединения.
Настоящее изобретение также относится к способам лечения состояний, ассоциированных с серотонергической гипофункцией или гиперфункцией, где указанные способы предусматривают введение соединения настоящего изобретения индивидууму для лечения указанного состояния. Как указывалось выше, соединения настоящего изобретения могут обладать антагонистической активностью по отношению к 5-НТ1А-рецепторам, что будет приводить к подавлению механизма отрицательной обратной связи, индуцируемого ингибированием повторного поглощения серотонина; и предполагается, что такое подавление будет усиливать эффект ингибирования повторного поглощения серотонина соединениями настоящего изобретения. Другие соединения настоящего изобретения обладают агонистической активностью по отношению к 5-НТ-рецепторам, таким как 5-НТ1А-рецепторы.
Соединения настоящего изобретения, взятые отдельно и/или в комбинации с другими дозированными средствами, являются эффективными для лечения различных клинических состояний, характеризующихся избытком или отсутствием серотонина, например серотонергической гипофункцией или гиперфункцией. Такими состояниями являются нарушение питания; шизофрения; невралгия; расстройства, вызываемое привыканием к дозированным средствам; абсессивно-компульсивные состояния; паническая атака; нарушения половых функций, вызываемые расстройством центральной нервной системы; нарушение сна и усвоения пищи; алкоголизм; боли; расстройства памяти; униполярная депрессия; дистимия; биполярная депрессия; депрессия, не поддающаяся лечению; депрессия у соматических больных; панические атаки; абсессивно-компульсивное состояние; нарушение питания, социальные фобии; предменструальная дисфория; расстройства настроения, такие как депрессия или более конкретно, депрессивные расстройства, например эпизодические или рецидивирующие глубокие депрессивные расстройства и дистимия; или биполярные расстройства, например биполярное расстройство I, биполярное расстройство II и циклотимия; тревожные состояния, такие как паническая атака с агорафобией или без агорафобии; агорафобия без предшествующей панической атаки; конкретные фобии, например боязнь конкретных животных; социальные фобии, расстройства, вызываемые стрессом, включая посттравматический стресс и острый стресс и генерализованные тревожные состояния; шизофрения и другие психотические расстройства, например расстройства по типу шизофрении, шизоаффективные расстройства, бредовые состояния, кратковременные психические расстройства, генерализованные психотические расстройства и психотические расстройства с бредом или галлюцинациями; делирий; деменция; амнезия и другие нарушения познавательной способности или нейродегенеративные расстройства, такие как болезнь Альцгеймера, сенильная демениця, деменция типа Альцгеймера, сосудистая деменция и деменции другого типа, например деменция, ассоциированная с ВИЧ-инфекцией, травмой головы, болезнью Паркинсона, болезнью Гентингтона, болезнью Пика, болезнью Крейтцфельда-Якоба или деменция множественной этиологии; болезнь Паркинсона и другие экстрапирамидальные двигательные расстройства, такие как двигательные расстройства, индуцированные дозированными препаратами, например, паркинсонизм, вызываемый нейролептиками, нейролептический злокачественный синдром; острая дистония, вызываемая нейролептиками; острая акатизия, вызываемая нейролептиками; поздняя дискинезия, вызываемая нейролептиками, и постуральный тремор, вызываемый дозированными средствами; расстройства, связанные со злоупотреблением алкоголя, амфетаминов (или амфетаминподобных веществ), кофеина, гашиша, кокаина, галлюциногенов, летучих химических веществ и аэрозольных пропеллентов, никотина, опиоидов, производных фенилглицидина, седативных средств, снотворных и транквилизаторов, где такими расстройствами, связанными со злоупотреблением указанных веществ, являются зависимость от этих веществ и злоупотребление ими, интоксикация, абстиненция, делирий, связанный с интоксикацией, абстинентный делирий, прогредиентная деменция; психотические расстройства, расстройства настроения, тревожные состояния, нарушение половых функций и расстройства сна; эпилепсия; синдром Дауна; димиелинизирующие заболевания, такие как РС (рассеянный склероз) и АБС (амиотрофический боковой склероз) и другие нейропатологические расстройства, такие как периферическая невропатия, например, диабетическая невропатия, невропатия, индуцированная химиотерапией, посттерапевтическая невралгия, невралгия тройничного нерва, сегментарная или межреберная невралгия и невралгии других типов; сосудистые расстройства головного мозга, вызываемые острыми или хроническими поражениями сосудов головного мозга, такими как инфаркт головного мозга, субарахноидальная геморрагия или отек головного мозга. В одном из вариантов изобретения, состояния, характеризующиеся избытком или отсутствием серотонина (серотонергической гипофункцией или гиперфункцией), не включают депрессию.
Соединения настоящего изобретения могут быть использованы для лечения вышеуказанных состояний, для расширения сосудов и сокращения гладкой мышцы, а также для лечения бронхостеноза, заболеваний головного мозга, таких как сосудистые расстройства, например расстройства кровообращения, вызываемые расширением сосудов, и вазоспастические заболевания, такие как стенокардия, головная боль, мигрень и болезнь Рейно; и невропатологических расстройств, включая болезнь Паркинсона и болезнь Альцгеймера; для модуляции расстройств сердечно-сосудистой системы; для профилактики и лечения приступов церебрального инфаркта (апоплексического удара), такого как удар или ишемия головного мозга; и для лечения расстройств кишечного тракта, которые характеризуются нарушением серотонинергической системы, а также нарушением углеводного обмена.
Эти соединения могут быть также полезны для лечения различных других состояний, включая ассоциированные со стрессом соматические расстройства; симпатическую рефлекторную дистрофию, такую как синдром “плечо/кисть”; расстройства мочевого пузыря, таких как цистит, гиперрефлексия мышцы-сжимателя мочевого пузыря и недержание мочи; и боли или болевые ощущения, вызываемые любым из вышеуказанных состояний или ассоциированные с ними, а в частности распространение боли при мигрени.
Для лечения некоторых состояний может оказаться желательным использовать соединения настоящего изобретения в комбинации с другим фармакологически активным агентом. Соединения настоящего изобретения могут присутствовать вместе с другим терапевтическим агентом в виде комбинированного препарата для одновременного, раздельного или последовательного применения. Такие комбинированные препараты могут быть получены, например, в форме сдвоенной упаковки.
В другом своем аспекте настоящее изобретение относится к соединениям по изобретению в комбинации с другим антагонистом 5-НТ и/или СИППС, например с антагонистом 5-НТ3, таким как ондансетрон, гранисетрон, трописетрон или затисетрон. Кроме того, соединения настоящего изобретения могут быть введены в комбинации с противовоспалительным кортикостероидом, таким как дексаметазон. Кроме того, соединения настоящего изобретения могут быть введены в комбинации с хемотерапевтическим агентом, таким как алкилирующий агент, антиметаболит, митотический ингибитор или цитотоксический антибиотик, как описано выше. В общих чертах подходящими дозированными средствами являются имеющиеся в настоящее время дозированные формы известных терапевтических средств, применяемых в подобных комбинациях.
В другом или альтернативном аспекте настоящее изобретение относится к соединениям, используемым для изготовления дозированного средства для лечения или предупреждения состояний, восприимчивых к введению этих соединений; или для изменения физиологических симптомов, ассоциированных с некоторыми состояниями, в целях достижения нужного лечебного воздействия на указанные состояния, где указанное соединение может быть использовано отдельно и/или в комбинации с другими дозированными средствами. Такими состояниями или физиологическими симптомами являются расширение сосудов и сокращение гладкой мышцы, бронхостеноз, заболевания головного мозга, такие как сосудистые расстройства, например расстройства кровообращения, вызываемые расширением сосудов и вазоспастические заболевания, такие как стенокардия, головная боль, мигрень и болезнь Рейно; и невропатологические расстройства, включая болезнь Паркинсона и болезнь Альцгеймера; расстройства сердечно-сосудистой системы; приступы церебрального инфаркта (апоплексический удар), такие как удар или ишемия головного мозга; и расстройства кишечного тракта, которые характеризуются нарушением серотонинергической системы, а также нарушением углеводного обмена; ассоциированные со стрессом соматические расстройства; симпатическая рефлекторная дистрофия, такая как синдром “плечо/кисть”; расстройство мочевого пузыря, такое как цистит, гиперрефлексия мышцы-сжимателя мочевого пузыря и недержание мочи; и боли или болевые ощущения, вызываемые или ассоциированные с любым из вышеуказанных расстройств, а в частности распространение боли при мигрени.
В другом или альтернативном аспекте настоящее изобретение относится к соединениям, используемым для изготовления дозированного средства для лечения или предупреждения физиологических расстройств, ассоциированных с избытком или отсутствием серотонина, например с серотонергической гипофункцией или гиперфункцией.
Настоящее изобретение также относится к способам лечения или предупреждения физиологических расстройств, ассоциированных с избытком или отсутствием серотонина, например с серотонергической гипофункцией или гиперфункцией, где указанный способ предусматривает введение пациенту, нуждающемуся в этом, эффективного количества соединения настоящего изобретения или композиции, содержащей соединение настоящего изобретения.
Для лечения или предупреждения мигрени соединения настоящего изобретения могут быть использованы в комбинации с другими средствами против мигрени, такими как эрготамины или агонисты 5-НТ1, а в частности суматриптан и ризатриптан. Аналогичным образом, для лечения поведенческой гипералгезии соединения настоящего изобретения могут быть использованы в комбинации с антагонистом N-метил-D-аспартата (NMDA), таким как дизоцилпин.
Кроме того, следует отметить, что для лечения или предупреждения тревожных состояний и/или депрессии, соединения настоящего изобретения могут быть использованы в комбинации с антидепрессантом или транквилизатором. Подходящими классами антидепрессантов, используемых в настоящем изобретении, являются ингибиторы повторного поглощения норэпинефрина, селективные ингибиторы повторного поглощения серотонина, ингибиторы моноаминоксидазы, обратимые ингибиторы моноаминоксидазы, ингибиторы повторного поглощения серотонина и норадреналина, антагонисты фактора высвобождения кортикотропина (CRF), антагонисты -адренорецептора и атипичные антидепрессанты. Другим классом антидепрессантов, используемых в настоящем изобретении, являются норадренергические и специфические серотонергические антидепрессанты, такие как миртазапин. Подходящими примерами ингибиторов повторного поглощения норэпинефрина являются амитрипдилин, кломипрамин, доксепин, имипрамин, тримипрамин, амоксапин, дезипрамин, мапротилин, нортриптилин, ребоксетин, протриптилин и их фармацевтически приемлемые соли. Подходящими примерами селективных ингибиторов повторного поглощения серотонина являются флуоксетин, флувоксамин, пароксетин, сертралин и их фармацевтически приемлемые соли. Подходящими примерами ингибиторов моноаминоксидазы являются изокарбоксазид, фенелзин, транилципромаин, селегилин и их фармацевтически приемлемые соли. Подходящими примерами обратимых ингибиторов моноаминоксидазы являются моклобемид и его фармацевтически приемлемые соли. Подходящими примерами ингибиторов повторного поглощения серотонина и норадреналина являются венлафаксин и его фармацевтически приемлемые соли. Подходящими примерами антагонистов фактора высвобождения кортикотропина (CRF) являются соединения, описанные в Международных патентных заявках №№ WO 94/13643, WO 94/13644, WO 94/13661, WO 94/13676 и WO 94/13677. Подходящими примерами атипичных антидепрессантов являются бупропион, литий, нефазоедон, сибутрамин, тразодон, вилоксазин и их фармацевтически приемлемые соли. Другими антидепрессантами, используемыми в настоящем изобретении, являются адинозолам, алапроклат, аминептин, комбинация амитриптилина/хлордиазепоксида, атипамезол, азамианзерин, базинаприн, фефуралин, бифемелан, бинодалин, бипенамол, брофаромин, бупропион, кароксазон, церикламин, цианопрамин, цимоксатон, циталопрам, клемепрол, кловоксамин, дазепинил, деанол, демексиптилин, дибензепин, дотиэпин, дроксидопа, энефексин, сетазолам, этоперидон, фемоксетин, фенгабин, фезоламин, флуотрацен, идазоксан, индалпин, инделоксазин, иприндол, левопротилин, литоксетин, лофепрамин, медифоксамин, метапрамин, метралиндол, мианзерин, милнаципран, минаприн, миртазапин, монтерилин, небрацетам, нефопам, ниаламид, номифензин, норфлуоксетин, оротирелин, оксафлозан, пиназепам, пириндол, пизотилин, ритазерин, ролипрам, серклоримин, сетиптилин, сибутрамин, силбутиамин, сулприд, тенилоксазин, тозалинон, тимолиберин, тианептин, тифлукарбин, тофенацин, тофизопам, толоксатон, томоксетин, вералиприд, виквалин, зимелидин, зометапин и их фармацевтически приемлемые соли, а также зверобой продырявленный (или Hypericum perforatum) или его экстракты. Предпочтительными антидепрессантами являются селективные ингибиторы обратного поглощения серотонина, а в частности флуоксетин, флувоксамин, пароксетин, сертралин и их фармацевтически приемлемые соли.
Подходящими классами транквилизаторов, используемых в настоящем изобретении, являются бензодиазепины и агонисты или антагонисты 5-НТ1А, а в частности частичные агонисты 5-НТ1А и антагонисты фактора высвобождения кортикотропина (CRF). Помимо бензодиазепинов, другими подходящими классами транквилизаторов являются не относящиеся к бензодиазепину седативно-снотворные средства, такие как золпидерн; средства, повышающие настроение, такие как клобазам, габапентин, ламотригин, лореклезол, окскарбамазепин, стирипентол и вигабатрин; и барбитураты. Подходящими бензодиазепинами, используемыми в настоящем изобретении, являются алпразолам, хлордизепоксид, клоназепам, хлоразепат, диазепам, галазепам, лорезепам, оксазепам, празепам и их фармацевтически приемлемые соли. Подходящими примерами агонистов или антагонистов 5-НТ1А, используемых в настоящем изобретении, являются, в частности, частичные агонисты 5-НТ1А, такие как буспирон, флезиноксан, гепирон, ипсапирон, пиндолол и их фармацевтически приемлемые соли. Другим классом транквилизаторов, используемых в настоящем изобретении, являются соединения, обладающие мускариновой холинергической активностью. Подходящими соединениями этого класса являются антагонисты мускаринового холинергического рецептора m1, такие как соединения, описанные в Европейских патентных заявках №№ 0709093, 0709094 и 0773021 и в Международной патентной заявке № WO 96/12711. Другим классом транквилизаторов, используемых в настоящем изобретении, являются соединения, действующие на ионные каналы. Подходящими соединениями этого класса являются карбамазепин, ламотригин, валпроат и их фармацевтически приемлемые соли.
Поэтому в другом своем аспекте настоящее изобретение относится к фармацевтической композиции, содержащей соединение настоящего изобретения и антидепрессант или транквилизатор, в комбинации, по крайней мере, с одним фармацевтически приемлемым носителем или эксципиентом.
Подходящими антипсихотическими средствами, используемыми в комбинации с соединениями настоящего изобретения, являются фенотиазины, например хлорпромазин, мезоридазин, тиоридазин, ацетофеназин, флуфеназин, перфеназин и трифлуоперазин; тиоксантины, например хлорпротиксен или тиотиксен; гетероциклические дибензазепины, например клозапин или оланзапин; бутирофеноны, например галоперидол, дифенилбутилпиперидины, например пимозид, и индолоны, например молиндолен. Другими антипсихотическими средствами являются локсапин, сулпирид и рисперидон. Следует отметить, что антипсихотические средства, при их использовании в комбинации с соединениями настоящего изобретения, могут быть в форме фармацевтически приемлемой соли, например гидрохлорид хлорпромазина, безилат мезоридазина, гидрохлорид тиоридазина, малеат ацетофеназина, гидрохлорид флуфеназина, энатат флурфеназина, деканоат флуфеназина, гидрохлорид трифлуоперазина, гидрохлорид тиотиксена, деканоат галоперидола, сукцинат локсапина и гидрохлорид молиндона. Перфеназин, хлорпротиксен, клозапин, оланзапин, галоперидол, пимозид и рисперидон обычно используются в несолевой форме.
Другими классами антипсихотических средств, используемых в комбинации с соединениями настоящего изобретения, являются антагонисты допаминового рецептора, а в частности антагонисты допаминового рецептора D2, D3 и D4, и агонисты мускаринового рецептора m1. Примером антагониста допаминового рецептора D3 является соединение PNU-99194А. Примером антагониста допаминового рецептора D4 является PNU-101387. Примером агониста мускаринового рецептора m1 является ксаномелин.
Другим классом антипсихотических средств, используемых в комбинации с соединениями настоящего изобретения, являются антагонисты 5-НТ2А-рецептора, например MDL100907 и фананзерин. В комбинации с соединением настоящего изобретения также используются антагонисты серотонина-допамина (SDA), которые, очевидно, обладают комбинированной антагонистической активностью против 5-НТ2А-рецептора и допаминового рецептора, и их примерами являются оланзапин и зиперазидон.
Поэтому в другом своем аспекте настоящее изобретение относится к фармацевтической композиции, содержащей соединение настоящего изобретения и антипсихотическое средство в комбинации, по крайней мере, с одним фармацевтически приемлемым носителем или эксципиентом.
Соединения настоящего изобретения и другое фармакологически активное средство могут быть введены пациенту одновременно, последовательно или в комбинации. При этом следует отметить, что при использовании комбинации настоящего изобретения, соединение настоящего изобретения и другое фармакологически активное средство могут находиться в одном и том же фармацевтически приемлемом носителе, а поэтому их вводят одновременно. Они могут находиться в отдельных фармацевтических носителях, например, в виде подходящих пероральных дозированных форм, вводимых одновременно. Термин “комбинация” также используется в том случае, когда указанные соединения представлены в виде отдельных дозированных форм и вводятся последовательно.
Настоящее изобретение также относится к применению таких соединений для лечения такого расстройства, как дефицит внимания, связанный с гиперактивностью (ADHD). ADHD, связанный или не связанный с гиперактивностью (также называемый в литературе дефицитом внимания/синдромом гиперактивности (ADD/HS)), представляет собой состояние (или группу состояний), характеризующееся импульсивностью, рассеянностью, неадекватным поведением в социальных ситуациях и гиперактивностью. Сообщалось, что ADD/HS преобладает у 3-5% детей (в соответствии с критерием, описанным в Руководстве и статистике психических расстройств (DSM-IV)). Полагают, что примерно 30-60% таких случаев этого расстройства сохраняется у совершеннолетних. Это расстройство может негативно влиять на социальную адаптацию, обучение и/или развитие, а поэтому в настоящее время оно рассматривается как серьезная проблема. Кроме того, считается, что у многих детей с ADHD с наступлением совершеннолетия развиваются и другие сопутствующие психические нарушения либо возникают проблемы с социальной адаптацией.
В клинической медицине ADHD диагностируется в том случае, если один из трех основных клинических признаков – невнимательность, гиперактивность и импульсивность – присутствует в двух или более ситуациях, например, как дома, так и в школе (Американская ассоциация психиаторов. Руководство по диагностике и статистике психических расстройств, четвертое издание (DSM-IV), American Psychiatric Association. Diagnostic and Statistical Manual of Mental Disorders, Fourth Edition (DSM-IV) Washington D.C.; American Psychiatric Association, 1994).
Особенно тяжелой формой ADHD является гиперкинетическое расстройство. Этот диагноз может быть поставлен в том случае, если все три основных клинических признака (невнимательность, гиперактивность и импульсивность) присутствовавшие в раннем возрасте, наблюдаются в более, чем одной ситуации (например, дома и в школе) и негативно влияют на функцию организма (Классификация ICD-10 психических и поведенческих расстройств: диагностические критерии для исследований. Женева: Всемирная организация здравоохранения, 1993: 155-7)(The ICD-10 Classification of Mental and Behavioural Disorders: Diagnostics Criteria for Research. Geneva: World Health Organization, 1993:155-7). Сообщалось, что гиперкинетическим расстройством страдает 1 из 200 детей.
В настоящее время существует лишь несколько терапевтических средств, которые считаются эффективными для лечения ADHD у детей, и такими дозированными средствами являются декстроамфетамин, пемолин, а в частности метилфенидат (Ritalin®). В некоторых случаях могут также оказаться эффективными антидепрессанты и антипсихотические дозированные средства, такие как рисперидон, но они обычно не применяются в стандартной терапии. Хотя метилфенидат представляет собой, по всей вероятности, наиболее широко используемое дозированное средство для лечения ADHD, однако он имеет ряд недостатков, а именно он является дозированным средством контролируемого распространения, подвергается интенсивному метаболизму и может вызывать спутанность сознания и галлюцинации. Кроме того, метилфенидат не устраняет один из трех основных клинических признаков ADHD, а именно невнимательность, и, кроме того, он не нормализует ADHD у детей.
Соединения настоящего изобретения могут быть введены пациентам (животным и человеку), нуждающимся в таком лечении, в дозах, обеспечивающих оптимальную фармацевтическую эффективность. Следует отметить, что доза, необходимая для любого конкретного применения может варьироваться для каждого отдельного пациента и зависит не только от конкретно выбранного соединения или композиции, но также и от способа введения, природы состояния, подвергаемого лечению, возраста и состояния здоровья пациента, от одновременно вводимого другого дозированного средства или режима питания пациента, и от других факторов, известных специалистам, однако, в конечном счете, соответствующая доза назначается лечащим врачом.
При лечении состояний, ассоциированных с избытком или отсутствием серотонина, например серотонергической гипофункцией или гиперфункцией, соответствующая доза обычно составляет примерно от 0,001 до 50 мг/кг массы тела пациента в день и может быть введена в виде разовой дозы или в виде многократных доз. При пероральном введении уровень дозы может составлять примерно от 0,01 до 30 мг/кг в день, например от 0,01 примерно до 1, 3, 5, 7, 10, 15, 20, 25 или 30 мг/кг в день. При внутривенном введении уровни доз могут быть несколько ниже, например от 0,01 примерно до 0,3, 1, 3, 5, 7 или 10 мг/кг в день. Так, например, для лечения или предупреждения расстройства центральной нервной системы подходящий уровень дозы для перорального введения может составлять примерно от 0,01 до 30 мг/кг в день, например от 0,01 примерно до 1, 3, 5, 7, 10, 15, 20, 25 или 30 мг/кг в день. Эти соединения могут быть введены 1-4 раза в день, а предпочтительно один или два раза в день.
Следует отметить, что количество соединения настоящего изобретения, необходимое для любого лечения, может варьироваться и зависит не только от конкретно выбранных соединений или композиций, но и также от способа введения, природы состояния, подвергаемого лечению, возраста и состояния здоровья пациента, но, в конечном счете, такое количество назначается лечащим врачом.
Композиции и средства для комбинированной терапии настоящего изобретения могут быть введены в комбинации с различными фармацевтически приемлемыми эксципиентами, включая описанные здесь стабилизаторы, носители и/или инкапсулированные композиции.
Водные композиции настоящего изобретения содержат эффективное количество пептидов настоящего изобретения, растворенных или диспергированных в фармацевтически приемлемом носителе или в водной среде.
Термин “фармацевтически или фармакологически приемлемый” относится к молекулярным соединениям и композициям, которые при их введении животному или, если это необходимо, человеку не вызывают побочных, аллергических или каких-либо других нежелательных реакций. Термин “фармацевтически приемлемый носитель” включает любой и все растворители, дисперсионные среды, покрытия, антибактериальные и противогрибковые агенты, изотонические агенты и агенты, замедляющие абсорбцию и т.п. Применение таких сред и агентов для получения фармацевтически активных веществ хорошо известно специалистам. В терапевтических композициях могут быть использованы все указанные стандартные среды или агенты, за исключением любых сред или агентов, которые являются несовместимыми с активным ингредиентом. В данные композиции могут быть также включены дополнительные активные ингредиенты.
Для введения человеку препараты должны отвечать требованиям к стерильности, апирогенности, общей безопасности и чистоты, в соответствии с биологическими стандартами, установленными Управлением по контролю за качеством пищевых продуктов, медикаментов и косметических средств.
Композиции и препараты для комбинированной терапии настоящего изобретения, в основном, приготавливают для парентерального введения, например, для инъекций, вводимых внутривенно, внутримышечно, подкожно, в пораженный участок или даже внутрибрюшинно. Получение водной композиции, содержащей композицию настоящего изобретения или активный компонент или ингредиент, будет понятно для каждого специалиста исходя из описания настоящего изобретения. Обычно такие композиции могут быть получены в виде препаратов для инъекций либо в виде жидких растворов или суспензий; при этом могут быть также приготовлены твердые формы, подходящие для получения растворов или суспензий после добавления жидкости перед инъекцией, и такие препараты могут быть также эмульгированными.
Фармацевтическими формами, подходящими для инъекций, являются стерильные водные растворы или дисперсии; композиции, включающие кунжутное масло, арахисовое масло или водный пропиленгликоль; и стерильные порошки для немедленного приготовления стерильных растворов или дисперсий для инъекций. Во всех случаях такая форма должна быть стерильной и должна быть жидкой настолько, чтобы она могла быть легко введена через шприц. Эта форма должна быть стабильной в условиях приготовления и хранения, и должна быть защищена от загрязняющего действия микроорганизмов, таких как бактерии и грибы.
Растворы активных соединений, используемые в виде свободного основания или фармакологически приемлемых солей, могут быть приготовлены в воде, соответствующим образом смешанной с поверхностно-активным веществом, таким как гидроксипропилцеллюлоза. Дисперсии могут быть также приготовлены в глицерине, в жидком полиэтиленгликоле и в их смесях, и в маслах. В обычных условиях хранения и применения эти препараты содержат консервант для предотвращения роста микроорганизмов.
Терапевтические или фармакологические композиции настоящего изобретения обычно включают эффективное количество компонента(ов) комбинированной терапии, растворенного(ых) или дисперигированного(ых) в фармацевтически приемлемой среде. Фармацевтически приемлемыми средами или носителями являются любой и все растворители, дисперсионные среды, покрытия, антибактериальные и противогрибковые агенты, изотонические агенты и агенты, замедляющие абсорбцию и т.п. Применение таких сред и агентов для получения фармацевтически активных веществ хорошо известно специалистам. В терапевтические композиции настоящего изобретения могут быть также включены дополнительные активные ингредиенты.
Получение фармацевтических или фармакологических композиций будет понятно для каждого специалиста исходя из описания настоящего изобретения. Обычно такие композиции могут быть получены в виде препаратов для инъекций либо в виде жидких растворов или суспензий, в виде твердых форм, подходящих для приготовления растворов или суспензий после добавления жидкости перед инъекцией, в виде таблеток или других твердых форм для перорального введения, в виде капсул с высвобождением в определенный интервал времени, или в любой другой стандартной форме, включая кремы, лосьоны, жидкости для полоскания рта, средства, применяемого при ингаляции и т.п.
Стерильные растворы для инъекций получают путем включения в эти растворы активных соединений в требуемом количестве в соответствующем растворителе, вместе с вышеперечисленными другими различными ингредиентами, если это необходимо, с последующей стерилизацией фильтрованием. В общих чертах, дисперсии получают путем включения различных стерилизованных активных ингредиентов в стерильный носитель, который содержит основную дисперсионную среду и другие необходимые ингредиенты, перечисленные выше. В случае использования стерильных порошков в целях приготовления стерильных растворов для инъекций, предпочтительными методами такого приготовления являются сушка в вакууме и сушка сублимацией (лиофилизация), в результате чего из такого предварительно отфильтрованного в стерильных условиях раствора получают порошок, состоящий из активного ингредиента и любого дополнительного нужного ингредиента.
Также рассматривается получение более концентрированных или высококонцентрированных растворов для внутримышечных инъекций. В этой связи, использование ДМСО в качестве растворителя является предпочтительным, поскольку он обеспечивает исключительное быстрое проникновение и доставку высоких концентраций активного(ых) соединения(й) или агента(ов) в небольшой участок.
Особенно полезным может оказаться использование стерильных композиций, таких как промывки на основе физиологических растворов хирургами, лечащими врачами или медико-санитарными работниками для очистки конкретных участков тела пациента в области, подвергаемой операции. Терапевтические композиции настоящего изобретения могут быть приготовлены в форме жидкостей для полоскания рта или в комбинации с противогрибковыми агентами. Рассматриваются также формы для ингаляции. Терапевтические композиции настоящего изобретения могут быть также получены в формах, подходящих для местного применения, таких как кремы и лосьоны.
Подходящими консервантами, используемыми в таких растворах, являются хлорид бензалкония, хлорид бензэтония, хлорбутанол, тимерозал и т.п. Подходящие буферы включают борную кислоту, бикарбонат натрия и калия, бораты натрия и калия, карбонат натрия и калия, ацетат натрия, бифосфат натрия и т.п. в количествах, подходящих для поддержания рН в пределах примерно от 6 до 8, а предпочтительно в пределах примерно от 7 до 7,5. Подходящими агентами, придающими тоничность, являются декстран 40, декстран 70, декстроза, глицерин, хлорид калия, пропиленгликоль, хлорид натрия и т.п., например 0,9±0,2% хлорид натрия, эквивалентный офтальмическому раствору. Подходящими антиоксидантами и стабилизаторами являются бисульфит натрия, метабисульфит натрия, тиосульфит натрия, тиомочевина и т.п. Подходящими смачивающими и осветляющими агентами являются полисорбат 80, полисорбат 20, полоксамер 282 и тилоксапол. Подходящими агентами, повышающими вязкость, являются декстран 40, декстран 70, желатин, глицерин, гидроксиэтилцеллюлоза, гидроксиметилпропилцеллюлоза, ланолин, метилцеллюлоза, вазелин, полиэтиленгликоль, поливиниловый спирт, поливинилпирролидон, карбоксиметилцеллюлоза и т.п.
После приготовления терапевтические композиции могут быть введены способом, совместимым с данной дозированной формой, и в фармакологически эффективном количестве. Эти композиции могут быть легко введены в различных дозированных формах, таких как растворы для инъекций, описанные выше, но при этом могут быть также использованы и капсулы, высвобождающие дозированное средство в определенный период времени, и т.п.
В этом контексте, количество активного ингредиента и объем вводимой композиции зависят от вида животного-хозяина, подвергаемого лечению. Точное количество активного соединения, необходимое для введения, устанавливается лечащим врачом и назначается в соответствии с характерными признаками каждого конкретного индивидуума.
Обычно используется минимальный объем композиции, необходимый для диспергирования активных соединений. Подходящие схемы введения также могут варьироваться, но обычно начинают с введения начальной дозы соединения, затем проводят мониторинг результатов этого введения, после чего вводят дополнительные контрольные дозы через другие интервалы времени. Так, например, для парентерального введения может быть приготовлен изотонический водный раствор, забуференный подходящим образом, если это необходимо, и такой раствор используют для внутривенного, внутримышечного, подкожного или даже внутрибрюшинного введения. Одна доза может быть растворена в 1 мл изотонического раствора NaCl, а затем она может быть либо добавлена в 1000 мл жидкости для подкожных инъекций, либо инъецирована в соответствующий участок для инфузии (см., например, Remington’s Pharmaceutical Sciences, 15th Edition, pages 1035-1038 and 1570-1580).
В некоторых вариантах изобретения активные соединения могут быть введены перорально. Такое введение может предусматриваться для дозированных средств, которые обычно являются устойчивыми или могут сообщать устойчивость к протеолизу пищеварительными ферментами. При этом предусматривается, что такими соединениями являются соединения, полученные химическим синтезом, или модифицированные соединения; правовращающие пептиды, и пептидные и липосомные композиции в капсулах, высвобождающих дозированное средство в определенный период времени, во избежание расщепления пептидазами и липазами.
Фармацевтически приемлемыми солями являются кислотно-аддитивные соли, и эти соли образованы неорганическими кислотами, такими как, например, соляная или фосфорная кислоты, или органическими кислотами, такими как уксусная, щавелевая, винная, миндальная кислоты и т.п. Соли, образованные свободными карбоксильными группами, могут быть получены из неорганических оснований, таких как, например, гидроксиды натрия, калия, аммония, кальция или железа(3), и органических оснований, таких как изопропиламин, триметиламин, гистидин, прокаин и т.п.
Носителем может быть также растворитель или дисперсионная среда, содержащая, например, воду, этанол, полиол (например, глицерин, пропиленгликоль, жидкий полиэтиленгликоль и т.п.), подходящие смеси этих компонентов и растительные масла. Соответствующая текучесть может поддерживаться, например, путем применения покрытия, такого как лецитин, путем сохранения требуемого размера частиц в случае дисперсии и путем применения поверхностно-активных веществ. Защита от действия микроорганизмов может быть достигнута путем введения различных антибактериальных и противогрибковых средств, таких как, например, парабены, хлорбутанол, фенол, сорбиновая кислота, тимерозал и т.п. Во многих случаях может оказаться предпочтительным включение агентов, придающих изотоничность, таких как, например, сахара или хлорид натрия. Пролонгированная абсорбция композиций для инъекций может достигаться путем включения в эти композиции агентов, замедляющих абсорбцию, таких как, например, моностеарат алюминия и желатин.
Стерильные растворы для инъекций получают путем включения в них активных соединений в требуемом количестве и в соответствующем растворителе, в сочетании с перечисленными выше другими различными ингредиентами, и, если это необходимо, с последующей стерилизацией фильтрованием. В общих чертах, дисперсии получают путем включения различных стерилизованных активных ингредиентов в стерильный носитель, который содержит основную дисперсионную среду и необходимые другие ингредиенты, перечисленные выше. В случае использования стерильных порошков для приготовления стерильных растворов для инъекций, предпочтительными способами такого приготовления являются сушка в вакууме и сушка сублимацией, в результате чего из такого предварительно отфильтрованного в стерильных условиях раствора получают порошок, состоящий из активного ингредиента и любого дополнительного нужного ингредиента.
Также рассматривается получение более концентрированных или высококонцентрированных растворов для прямой инъекции, где такое применение ДМСО в качестве растворителя обеспечивает исключительное быстрое проникновение и доставку высоких концентраций активных агентов в небольшой участок.
После приготовления растворы могут быть введены способом, совместимым с данной дозированной формой, и в терапевтически эффективном количестве. Эти композиции могут быть легко введены в различных дозированных формах, таких как растворы для инъекций, описанные выше, но при этом могут быть также использованы и капсулы, высвобождающие дозированное средство в определенный период времени и т.п.
Для парентерального введения в водном растворе этот раствор, например, должен быть подходящим образом забуферен, и если это необходимо, то жидкому разбавителю сначала придают изотоничность с использованием достаточного количества физиологического раствора или глюкозы. Такие водные растворы являются особенно подходящими для внутривенного, внутримышечного, подкожного или внутрибрюшинного введения. В этих целях могут быть использованы известные стерильные водные среды, либо такие среды могут быть выбраны самим специалистом, исходя из описания настоящего изобретения.
Помимо соединений, приготовленных для парентерального введения, такого как внутривенная или внутримышечная инъекция, могут быть использованы и другие фармацевтически приемлемые формы, применяемые в настоящее время, например таблетки или твердые формы для перорального введения, липосомальные препараты, капсулы с высвобождением в нужный период времени и любые другие формы, применяемые в настоящее время, включая кремы.
Другими композициями, подходящими для других способов введения, являются суппозитории. Стандартными связывающими агентами и носителями, используемыми в суппозиториях являются, например полиалкиленгликоли или триглицериды; и такие суппозитории могут быть получены из смесей, содержащих активный ингредиент в пределах от 0,5% до 10%, а предпочтительно 1%-2%.
Пероральные композиции включают обычно используемые эксципиенты, такие как, например, фармацевтически чистые маннит, лактоза, крахмал, стеарат магния, натрий-сахарин, целлюлоза, карбонат магния и т.п. Эти композиции приготавливают в форме растворов, суспензий, таблеток, драже, капсул, композиций для пролонгированного высвобождения или порошков.
В некоторых вариантах изобретения пероральные фармацевтические композиции содержат инертный разбавитель или легко усваиваемый пищевой носитель, или они могут быть заключены в жесткие или мягкие желатиновые капсулы, или они могут быть спрессованы в таблетки, или они могут быть непосредственно добавлены в пищу. Для перорального терапевтического введения активные соединения могут быть включены в композицию вместе с эксципиентами и использованы в форме таблеток для глотания, таблеток для медленного растворения в щечном кармане, пастилок, капсул, эликсиров, суспензий, сиропов, облаток и т.п. Такие композиции и препараты должны содержать, по крайней мере, 0,1% активного соединения. Процент этого активного соединения в композиции может варьироваться, но обычно он составляет в пределах примерно от 2 до 75% или предпочтительно 25-60% по массе разовой дозированной формы. Количество активных соединений в таких терапевтически приемлемых композициях должно быть таким, чтобы оно позволяло получить подходящую дозу.
Таблетки, пастилки, драже, капсулы и т.п. могут также содержать следующие компоненты: связующий агент, такой как трагакантовая камедь, аравийская камедь, кукурузный крахмал или желатин; эксципиенты, такие как дикальцийфосфат; дезинтегрирующий агент, такой как кукурузный крахмал, картофельный крахмал, альгиновая кислота и т.п.; лубрикант, такой как стеарат магния; и могут быть также добавлены подсластитель, такой как сахароза, лактоза или сахарин, или ароматизатор, такой как перечная мята, масло грушанки (винтергреновое масло) или вишневая отдушка. Если единичной дозированной формой является капсула, то помимо вышеуказанных ингредиентов, она может содержать жидкий носитель. Могут также присутствовать и различные другие компоненты, используемые в качестве покрытий или для какой-либо другой модификации физической формы дозированной единицы. Так, например, таблетки, драже или капсулы могут быть покрыты шеллаком, сахаром, либо тем и другим. Сироп или эликсир могут содержать активные соединения, сахарозу в качестве подсластителя, метил- и пропилпарабены в качестве консервантов, краситель и ароматизатор, такой как вишневая или апельсиновая отдушка.
Фармацевтические композиции настоящего изобретения могут быть использованы в форме фармацевтического препарата, например, в твердой, в полутвердой или в жидкой форме, которые содержат одно или несколько соединений настоящего изобретения в качестве активного ингредиента в смеси с органическим или неорганическим носителем или эксципиентом, подходящим для наружного, внутреннего или парентерального применения. Активный ингредиент может быть смешан, например, с обычными нетоксичными фармацевтически приемлемыми носителями для таблеток, драже, капсул, суппозиториев, растворов, эмульсий, суспензий и любых других форм, подходящих для данного применения. В качестве носителей могут быть использованы вода, глюкоза, лактоза, аравийская камедь, желатин, маннит, крахмалсодержащая паста, трисиликат магния, тальк, кукурузный крахмал, кератин, коллоидальная двуокись кремния, картофельный крахмал, мочевина и другие носители, подходящие для изготовления препаратов в твердой, полутвердой или жидкой форме, а также могут быть использованы вспомогательные добавки, стабилизаторы, загустители, красители и ароматизаторы. Активное соединение присутствует в фармацевтической композиции в количестве, достаточном для продуцирования желаемого воздействия на патологический процесс или стадию данного заболевания.
Для получения твердых композиций, таких как таблетки, активный ингредиент смешивают с фармацевтическим носителем, например со стандартными ингредиентами, используемыми для изготовления таблеток, такими как кукурузный крахмал, лактоза, сахароза, сорбит, тальк, стеариновая кислота, стеарат магния, дикальцийфосфат или камеди, и с другими фармацевтическими разбавителями, например водой, с получением твердой предварительной массы данной композиции, содержащей гомогенную смесь соединения настоящего изобретения или его нетоксичной фармацевтически приемлемой соли. Причем, если указанную предварительную композиционную массу называют гомогенной, то это означает, что активный ингредиент равномерно диспергирован по всей композиции, так, чтобы эту композицию можно было легко разделить на равные эффективные единичные дозированные формы, такие как таблетки, драже и капсулы. Затем эту твердую предварительную композиционную массу разделяют на единичные дозированные формы описанного выше типа, содержащие от 0,1 и примерно до 500 мг активного ингредиента настоящего изобретения. Таблетки или драже новой композиции могут иметь покрытия, либо они могут быть приготовлены как-либо иначе с получением дозированной формы, имеющей то преимущество, что она обладает пролонгированным действием. Так, например, таблетки или пилюли могут содержать внутренний и внешний дозированный компонент, при этом последний компонент присутствует в форме оболочки для первого. Эти два компонента могут быть разделены слоем, представляющим собой энтеропокрытие, который служит для предотвращения дезинтеграции в желудке и позволяет внутреннему компоненту проходить интактным в двенадцатиперстную кишку или высвобождаться с замедленной скоростью. Для таких энтеросолюбилизированных слоев или покрытий могут быть использованы различные материалы, включая различные полимерные кислоты и смеси полимерных кислот с такими компонентами, как шеллак, цетиловый спирт и ацетат целлюлозы.
Жидкие формы, в которые композиции настоящего изобретения могут быть включены, для перорального введения или введения путем инъекций, включают водный раствор, подходящие ароматизированные сиропы, водные или масляные суспензии и эмульсии с подходящими маслами, такими как масло семян хлопчатника, кунжутное масло, кокосовое масло или арахисовое масло, или с солюбилизирующим или эмульгирующим агентом, подходящим для внутривенного введения, а также эликсиры и аналогичные фармацевтические носители. Подходящими диспергирующими или суспендирующими агентами для водных суспензий являются синтетические и природные смолы, такие как трагакантовая камедь, аравийская камедь, альгинат, декстран, натрийсодержащая карбоксиметилцеллюлоза, метилцеллюлоза, поливинилпирролидон или желатин.
Композициями, подходящими для ингаляции или инсуффляции, являются растворы и суспензии в фармацевтически приемлемых водных или органических растворителях или в их смесях и порошки. Жидкие или твердые композиции могут содержать подходящие фармацевтически приемлемые эксципиенты, описанные выше. Такие композиции предпочтительно вводят перорально или через назальные дыхательные пути для достижения местного или системного действия. Композиции в предпочтительно стерильных фармацевтически приемлемых растворителях могут быть приготовлены в виде аэрозолей с использованием инертных газов. Аэрозольные растворы можно вдыхать непосредственно из ингалятора, либо с использованием лицевой маски, к которой подсоединен ингалятор, кислородная палатка или дыхательный аппарат с периодически прилагаемым положительным давлением. Композиции в виде раствора, суспензии или порошка могут быть введены предпочтительно перорально или интраназально, с использованием устройств, которые обеспечивают соответствующую доставку данной композиции подходящим способом.
Для лечения клинических состояний и заболеваний, указанных выше, соединение настоящего изобретения может быть введено перорально, местно, парентерально, путем аэрозольной ингаляции или ректально в композиции в виде единичной дозы, содержащей стандартные нетоксические фармацевтически приемлемые носители, адъюванты и разбавители. Используемый здесь термин “парентеральный” относится к подкожным, внутривенным, внутримышечным, внутригрудинным инъекциям или вливаниям.
Способы получения соединений настоящего изобретения проиллюстрированы в нижеследующих примерах. Нижеследующие примеры приводятся в целях иллюстрации настоящего изобретения и не должны рассматриваться как ограничение существа и объема настоящего изобретения.
Синтез арилпиперазинилсульфонамидных соединений
Арилпиперазинилсульфонамидные соединения настоящего изобретения синтезировали в соответствии со следующими схемами.
Схема 1

Схема 2
 
Схема 3



Схема 7

Схема 8

Схема 9
 
Схема 10

Схема 11

Схема 12

Схема 13

Препаративный пример 1

К охлажденному льдом раствору аминоспирта 1 (1,0 г, 11,0 ммоль) в безводном метиленхлориде (25 мл) в атмосфере N2 добавляли Et3N (6,1 мл, 44,0 ммоль), а затем добавляли тозилхлорид (5,3 г, 28,0 ммоль). Смесь перемешивали при 0°С в течение 3 ч, а затем реакцию гасили холодным водным насыщенным раствором NaHCO3 (15 мл), и органическую фазу промывали водой (3х15 мл). Органический слой сушили над MgSO4, фильтровали и растворитель удаляли при пониженном давлении с получением коричневато-красного остатка. Этот неочищенный продукт использовали в следующей стадии без дополнительной очистки.
Пример 1

Смесь 1-(3-нитрофенил)пиперазина (3,4 г, 16,4 ммоль), продукта препаративного примера 1: 4-(тозиламино)бутил-4-метилбензолсульфоната (7,8 г, 19,6 ммоль) и триэтиламина (2,4 г, 23,7 ммоль) в ТГФ или СН3CN (500 мл) перемешивали в атмосфере азота при комнатной температуре в течение 48 часов. Реакционную смесь разбавляли дихлорметаном и промывали 10% водным раствором карбоната натрия (2х200 мл) и водой (2х200 мл), а затем сушили над сульфатом натрия. После удаления сульфата натрия, растворитель выпаривали при пониженном давлении. Остаток очищали флеш-хроматографией на силикагеле с использованием смеси дихлорметан-метанол (100:2) в качестве элюента, в результате чего получали 5,4 г (выход 76%) указанного в заголовке соединения, 4-метил-N-{4-[4-(3-нитрофенил)пиперазин-1-ил]бутил}бензолсульфонамида.
1H ЯМР (400 МГц, CDCl3): (м.д.) 7,74-7,66 (м, 4H), 7,40 (т, 1H), 7,29 (д, 2H), 7,22-7,20 (м, 1H), 3,34-3,2 (м, 4H), 2,99 (т, 1H), 2,63-2,61 (м, 4H), 2,42 (с, 3H), 2,39 (т, 2H), 1,61-1,59 (м, 4H); МС (APCI): m/z 433 (MH+; 100%).
Пример 2

К раствору продукта примера 1 (150 мг, 0,35 ммоль) в дихлорметане (0,5 мл) при комнатной температуре добавляли 2 мл 2 М раствора хлористого водорода в эфире. Осадок собирали фильтрацией, промывали эфиром и сушили в вакууме в течение ночи с получением соли продукта примера 1 в виде белого твердого вещества (168 мг, выход 95%).
1H ЯМР (400 МГц, CD3OD): (м.д.) 7,83 (с, 1H), 7,76-7,72 (м, 3H), 7,51 (т, 1H), 7,44-7,38 (м, 3H), 4,00 (д, 2H), 3,69 (м, 2H), 3,30-3,15 (м, 6H), 2,90 (т, 2H), 2,42( с, 3H), 1,88 (м, 2H), 1,59 (м, 2H); МС (APCI): m/z 433 (MH+; 100%).
Препаративный пример 2

К раствору хлорида олова (3,5 г, 18,5 ммоль) в метаноле (50 мл) и в концентрированном хлористом водороде (10 мл) одной порцией добавляли раствор продукта примера 1 (800 мг, 1,85 ммоль) в метаноле (50 мл) при -10°С. Затем реакционную смесь оставляли для нагревания до комнатной температуры и перемешивали до завершения реакции, на что указывала ТСХ. Реакцию гасили добавлением 10% раствора карбоната натрия (200 мл), и смесь экстрагировали дихлорметаном (3х200 мл). Объединенные экстракты сушили над сульфатом натрия и упаривали при пониженном давлении. Остаток разделяли флеш-хроматографией на силикагеле с использованием смеси дихлорметан-метанол (100:2) в качестве элюента, в результате чего получали указанное в заголовке соединение, 3-(4-(4-(тозиламино)бутил)пиперазин-1-ил)бензоламин (670 мг, выход 90%). Восстановление также проводили путем гидрирования в присутствии катализатора Pd/С. В результате получали нужный продукт.
1H ЯМР (400 МГц, CDCl3): (м.д.) 7,75 (д, 2H), 7,29 (д, 2H), 7,09 (т, 1H), 6,41 (д, 1H), 6,30 (с, 1H), 6,28 (д, 1H), 3,65 (сш, 2H), 3,25-3,22 (м, 4H), 3,00 (т, 2H), 2,63-2,61 (м, 4H), 2,45 (с, 3H), 2,41 (т, 2H), 1,64-1,60 (м, 4H); МС (APCI): m/z 403 (MH+; 100%).
Пример 3

К раствору продукта препаративного примера 2 (31 мг, 0,077 ммоль) в дихлорметане (3 мл) и пиридине (2 мл) добавляли циклопропанкарбонилхлорид (8,1 мг, 0,077 ммоль) при 0°С. Смесь перемешивали при комнатной температуре в течение ночи, и летучие вещества удаляли при пониженном давлении. Остаток разбавляли дихлорметаном, промывали 10% водным раствором карбоната натрия (2х100 мл) и водой (2х100 мл), сушили над сульфатом натрия, очищали флеш-хроматографией на силикагеле (элюент: МеОН/СН2Cl2=1:100), в результате чего получали указанное в заголовке соединение, (3-{4-[4-(толуол-4-сульфониламино)бутил]пиперазин-1-ил}фенил)амид циклопропанкарбоновой кислоты (27 мг, выход 75%). Ацилирование также осуществляли с использованием ангидрида с получением нужного продукта.
1H ЯМР (400 МГц, CDCl3): (м.д.) 7,70 (д, 2H), 7,42-7,40 (м, 2H), 7,26-7,16 (м, 2H), 6,83 (д, 1H), 6,65 (д, 1H), 3,24-3,22 (м, 4H), 2,96 (т, 2H), 2,59-2,567 (м, 4H), 2,40 (с, 3H), 2,37 (т, 2H), 1,60-1,48 (м, 5H), 1,09-1,07 (м, 2H), 0,86-0,83 (м, 2H). МС (APCI): m/z 471 (MH+; 100%).
Пример 4

В результате реакции взаимодействия продукта примера 3 с хлористым водородом в эфире, проведенной как описано в примере 2, получали нужный продукт в виде белого твердого вещества, то есть соли соединения примера 3.
1H ЯМР (400 МГц, CD3OD): (м.д.) 7,73 (д, 2H), 7,48 (с, 1H), 7,38 (д, 2H), 7,23 (т, 1H), 7,00 (д, 1H), 6,79 (д, 1H), 3,83 (д, 2H), 3,65 (д, 2H), 3,28-3,10 (м, 6H), 2,90 (т, 2H), 2,43 (с, 3H), 1,90-1,82 (м, 2H), 1,78-1,74 (м, 1H), 1,61-1,56 (м, 2H), 0,95-0,92 (м, 2H), 0,87-0,84 (м, 2H); МС (APCI): m/z 471 (MH+; 100%).
Пример 5

В результате реакции взаимодействия продукта препаративного примера 2 с изобутирилхлоридом в дихлорметане, проведенной как описано в примере 3, получали нужный продукт, N-(3-{4-[4-(толуол-4-сульфониламино)бутил]пиперазин-1-ил}фенил)изобутирамид, в виде белого твердого вещества.
1H ЯМР (400 МГц, CDCl3): (м.д.) 7,71 (д, 2H, J=8,4 Гц), 7,44 (м, 1H), 7,25-7,12 (м, 3H), 6,84-6,82 (м, 1H), 6,68-6,65 (м, 1H), 3,27-3,26 (м, 4H), 2,98-2,95 (м, 1H), 2,61-2,58 (м, 4H), 2,553-2,49 (м, 1H), 2,41 (с, 3H), 2,40-2,38 (м, 2H), 1,60-1,58 (м, 4H), 1,27 (с, 3H), 1,26 (с, 3H). МС (APCI): m/z 473 (MH+; 100%).
Пример 6

В результате реакции взаимодействия продукта препаративного примера 2 с бутирилхлоридом в дихлорметане, проведенной как описано в примере 3, получали нужный продукт, N-(3-{4-[4-(толуол-4-сульфониламино)бутил]пиперазин-1-ил}фенил)бутирамид, в виде белого твердого вещества.
1H ЯМР (400 МГц, CDCl3): (м.д.) 7,70 (д, 2H), 7,36 (с, 1H), 7,27-7,16 (м, 4H), 6,87 (д, 1H), 6,66 (д, 1H), 3,24-3,22 (м, 4H), 2,97-2,95 (м, 1H), 2,58-2,56 (м, 4H), 2,40 (с, 3H), 2,37-2,32 (м, 4H), 1,79-1,73 (м, 2H), 1,58-1,57 (м, 4H), 1,01 (т, 3H). МС (APCI): m/z 473 (MH+; 100%).
Пример 7

В результате реакции взаимодействия продукта препаративного примера 2 с 2,2-диметилпропионилхлоридом в дихлорметане, проведенной как описано в примере 3, получали нужный продукт, 2,2-диметил-N-(3-{4-[4-(толуол-4-сульфониламино)бутил]пиперазин-1-ил}фенил)пропионамид, в виде белого твердого вещества.
1H ЯМР (400 МГц, CDCl3): (м.д.) 7,71 (д, 2H), 7,44-7,35 (м, 1Н), 7,29-7,26 (м, 3H), 7,19 (т, 1H), 6,82 (д, 1Н), 6,67 (д, 1H), 3,25 (т, 4H), 2,96 (т, 2H), 2,58 (т, 4H), 2,40 (с, 3H), 2,36 (т, 2H), 1,59-1,58 (м, 4H), 1,32 (с, 9H); МС (APCI): m/z 487 (MH+; 100%).
Пример 8

В результате реакции взаимодействия продукта препаративного примера 2 с ацетилхлоридом в дихлорметане, проведенной как описано в примере 3, получали нужный продукт, N-(3-{4-[4-(толуол-4-сульфониламино)бутил]пиперазин-1-ил}фенил)ацетамид, в виде белого твердого вещества.
1H ЯМР (400 МГц, CDCl3): (м.д.) 7,96 (д, 2H), 7,60 (д, 1H), 7,44 (м, 3H), 7,04 (д, 1Н), 6,88 (т, 1H), 3,32 (т, 4H), 3,04 (т, 2H), 2,68 (т, 4H), 2,46 (с, 3H), 2,42 (т, 2H), 2,28 (с, 3H), 1,64 (м, 4H); МС (APCI): m/z 445,8 (MH+;100%).
Пример 9

В результате реакции взаимодействия продукта примера 8 с хлористым водородом в эфире, проведенной как описано в примере 2, получали нужный продукт в виде белого твердого вещества, то есть соли соединения примера 8.
1H ЯМР (400 МГц, CD3OD): (м.д.) 7,74 (д, 2H), 7,46 (д, 1H), 7,40 (д, 2H), 7,24 (т, 1H), 6,98 (д, 1Н), 6,80 (т, 1Н), 3,82 (т, 2H), 3,66 (т, 2H), 3,22 (м, 6H), 2,90 (т, 2H), 2,42 (с, 3H), 2,12 (с, 3H), 1,86 (т, 2H), 1,58 (т, 2H); МС (APCI): m/z 445,8 (MH+;100%).
Пример 10

В результате реакции взаимодействия продукта препаративного примера 2 с пропионилхлоридом в дихлорметане, проведенной как описано в примере 3, получали нужный продукт, N-(3-{4-[4-(толуол-4-сульфониламино)бутил]пиперазин-1-ил}фенил)пропионамид, в виде белого твердого вещества.
1H ЯМР (400 МГц, CDCl3): (м.д.) 8,30 (с, 1H), 7,72 (д, 2H), 7,40 (с, 1H), 7,32 (м, 3H), 6,84 (д, 1H), 6,62 (д, 1H), 3,26 (т, 4H), 2,94 (т, 2H), 2,62 (т, 4H), 2,40 (с, 3H), 2,38 (м, 4H), 1,59 (м, 4H), 1,24 (т, 3H); МС (APCI): m/z 459,4 (МН+; 100%).
Пример 11

К смеси продукта препаративного примера 2 (31 мг, 0,077 ммоль) и пиридина (2 мл) в дихлорметане (5 мл) добавляли метаносульфонилхлорид (0,008 мл, 0,10 ммоль) при 0°С. Смесь перемешивали при комнатной температуре в течение ночи и концентрировали в вакууме досуха. Полученный остаток разбавляли дихлорметаном и промывали водным раствором карбоната натрия и водой, а затем сушили над сульфатом натрия, фильтровали и концентрировали. После очистки хроматографией на силикагеле (метанол/дихлорметан) получали 36 мг (97%) нужного продукта, N-{4-[4-(3-метансульфониламинофенил)-пиперазин-1-ил]бутил}-4-метилбензолсульфонамида, в виде белого твердого вещества.
1H ЯМР (400 МГц, CDCl3): 7,71 (д, 2H), 7,27 (д, 2H), 7,22 (т, 1H), 6,81 (с, 1H), 6,74 (д, 1H), 6,67 (д, 1H), 3,25 (т, 4H), 3,01 (с, 3H), 2,96 (т, 2H), 2,59 (т, 4H), 2,41 (с, 3H), 2,37 (т, 2H), 1,61-1,57 (м, 4H); МС (APCI): m/z 481 (MH+;100%).
Пример 12

В результате реакции взаимодействия продукта препаративного примера 2 с пропан-2-сульфонилхлоридом в дихлорметане, проведенной как описано в примере 11, получали нужный продукт, 4-метил-N-(4-{4-[3-пропан-2-сульфониламино)фенил]пиперазин-1-ил}бутил)бензолсульфонамид, в виде белого твердого вещества.
1H ЯМР (400 МГц, CDCl3): (м.д.) 7,72 (д, 2H), 7,26 (д, 2H), 7,18 (т, 1H), 6,85-6,84 (м, 1H), 6,71-6,67 (м, 2H), 3,36-3,30 (м, 1H), 3,24-3,22 (м, 4H), 2,96 (т, 2H), 2,59-2,56 (м, 4H), 2,41 (с, 3H), 2,36 (т, 2H), 1,58-1,56 (м, 4H), 1,38 (д, 6H); МС (APCI): m/z 509 (MH+;100%).
Пример 13

В результате реакции взаимодействия продукта препаративного примера 2 с этансульфонилхлоридом в дихлорметане, проведенной как описано в примере 11, получали нужный продукт, N-{4-[4-(3-этансульфониламинофенил)пиперазин-1-ил]бутил}-4-метилбензолсульфонамид, в виде белого твердого вещества.
1H ЯМР (400 МГц, CDCl3): 7,72 (д, 2H), 7,29 (д, 2H), 7,22 (т, 1H), 6,83 (т, 1H), 6,74 (д, 1H), 6,64 (д, 1H), 3,30 (т, 4H), 3,14 (кв, 2H), 2,98 (т, 2H), 2,67 (т, 4H), 2,46 (т, 2H), 2,42 (с, 3H), 1,62 (т, 4H), 1,37 (т, 3H); МС (APCI): m/z 495,5 (MH+; 100%).
Пример 14

В результате реакции взаимодействия 1-фенилпиперазина с продуктом препаративного примера 1, проведенной как описано в примере 1, получали нужный продукт, 4-метил-N-[4-(4-фенилпиперазин-1-ил)бутил]бензолсульфонамид.
1H ЯМР (400 МГц, CDCl3): (м.д.) 7,72 (д, 2H), 7,29-7,24 (м, 4H), 6,93 (д, 2H), 6,87 (т, 1H), 3,21 (т, 4H), 2,96 (т, 2H), 2,58 (т, 4H), 2,39 (с, 3H), 2,53 (т, 2H), 1,62-1,54 (м, 4H); МС (APCI): m/z 388 (MH+;100%).
Пример 15

В результате реакции взаимодействия 2-пиперазин-1-ил-пиримидина с продуктом препаративного примера 1, проведенной как описано в примере 1, получали нужный продукт, 4-метил-N-[4-(4-пиримидин-2-ил-пиперазин-1-ил)бутил]бензолсульфонамид.
1H ЯМР (400 МГц, CDCl3): (м.д.) 8,36 (д, 2H), 7,78 (д, 2H), 7,34 (д, 2H), 6,52 (т, 1H), 3,90 (т, 4H), 3,00 (т, 2H), 2,54 (т, 4H), 2,42 (с, 3H), 2,36 (т, 2H), 1,60 (м, 4H); МС (APCI): m/z 390,2 (MH+;100%).
Пример 16

В результате реакции взаимодействия продукта примера 15 с хлористым водородом в эфире, проведенной как описано в примере 2, получали нужный продукт в виде белого твердого вещества, то есть соли соединения примера 15.
1H ЯМР (400 МГц, CD3OD): (м.д.) 9,28 (д, 2H), 8,22 (шир.с, 1H), 7,92 (д, 2H), 7,74 (т, 1H), 7,10 (щир.с, 1H), 4,26 (т, 4H), 3,96 (т, 4H), 3,34 (м, 4H), 2,38 (с, 3H), 1,96 (м, 4H); МС (APCI): m/z 390,2 (MH+; 100%).
Пример 17

В результате реакции взаимодействия 1-пиридин-2-ил-пиперазина с продуктом препаративного примера 1, проведенной как описано в примере 1, получали нужный продукт, 4-метил-N-[4-(4-пиридин-2-ил-пиперазин-1-ил)бутил]бензолсульфонамид.
1H ЯМР (400 МГц, CDCl3): (м.д.) 8,20 (д, 1H), 7,72 (д, 2H), 7,51-7,47 (м, 1H), 7,26 (д, 2H), 6,66-6,23 (м, 2H), 3,59 (т, 4H), 2,97 (т, 2H), 2,56 (т, 4H), 2,41 (с, 3H), 2,37 (т, 2H), 1,60-1,58 (м, 4H); МС (APCI): m/z 389 (MH+; 100%).
Пример 18

В результате реакции взаимодействия продукта примера 17 с хлористым водородом в эфире, проведенной как описано в примере 2, получали нужный продукт в виде белого твердого вещества, то есть соли соединения примера 17.
1H ЯМР (400 МГц, CD3OD): (м.д.) 8,17-8,08 (м, 2H), 7,76 (д, 2H), 7,48 (д, 1H), 7,39 (д, 2H), 7,15 (т, 1H), 4,41 (м, 2H), 3,76 (м, 4H), 3,33-3,23 (м, 4H), 2,89 (т, 2H), 2,43 (с, 3H), 1,94-1,86 (м, 2H), 1,63-1,56 (м, 2H); МС (APCI): m/z 389 (МН+; 100%).
Препаративный пример 3

Смесь 2-метокси-5-нитрофениламина (16,8 г, 0,1 моль), хлористого водорода бис-(2-хлорэтил)амина (17,8 г, 0,1 моль) и карбоната калия (69 г, 0,5 моль) в хлорбензоле (300 мл) кипятили с обратным холодильником в течение 48 ч, и промывали водой. Водную фазу экстрагировали дихлорметаном. Органические слои объединяли, сушили над сульфатом натрия, очищали флеш-хроматографией на силикагеле (СН2Cl2/МеОН) и получали нужный продукт, 1-(2-метокси-5-нитрофенил)пиперазин (10,7 г, 45%).
1H ЯМР (400 МГц, CDCl3): (м.д.) 7,95 (дд, 1H), 7,79 (д, 1H), 6,90 (д, 1H), 3,98 (с, 3H), 3,09 (с, 8H), 1,96 (с, 1H). МС (APCI): m/z 238 (MH+; 100%).
Пример 19

В результате реакции взаимодействия продукта препаративного примера 3 с продуктом препаративного примера 1, проведенной как описано в примере 1, получали нужный продукт, N-{4-[4-(2-метокси-5-нитрофенил)пиперазин-1-ил]бутил}-4-метилбензолсульфонамид.
1H ЯМР (400 МГц, CDCl3): (м.д.) 7,97 (дд, 1Н), 7,8 (д, 1H), 7,74 (д, 2H), 7,32 (д, 2H), 5 6,91 (д, 1H), 3,98 (с, 3H), 3,22-3,16 (м, 4H), 2,99 (т, 2H), 2,68-2,62 (м, 4H), 2,44 (с, 3H), 2,41 (т, 2H), 1,63-1,58 (м, 4H); МС (APCI): m/z 447 (МН+; 100%).
Препаративный пример 4

В результате реакции взаимодействия тозилхлорида с пиперидин-4-илметанолом, проведенной как описано в препаративном примере 1, получали нужное соединение, (1-тозилпиперидин-4-ил)метил-4-метилбензолсульфонат, который использовали без дополнительной очистки.
Пример 20

В результате реакции взаимодействия 1-(2-метоксифенил)пиперазина с продуктом препаративного примера 4, проведенной как описано в примере 1, получали нужный продукт, 1-(2-метоксифенил)-4-[1-(толуол-4-сульфонил)пиперидин-3-илметил]пиперазин.
1H ЯМР (400 МГц, CDCl3): (м.д.) 7,64 (д, 2H), 7,31 (д, 2H), 6,90 (м, 2H), 6,85 (д, 2H), 3,84 (с, 3H), 3,80 (т, 4H), 3,47 (д, 2H), 3,03 (т, 2H), 2,54 (т, 2H), 2,43 (с, 3H), 2,24 (м, 2H), 1,80 (т, 2H), 1,60 (м, 1H), 1,34 (м, 4H); МС (APCI): m/z 444,2 (MH+; 100%).
Пример 21

В результате реакции взаимодействия продукта примера 20 с хлористым водородом в эфире, проведенной как описано в примере 2, получали нужный продукт в виде белого твердого вещества, то есть соли соединения примера 20.
1H ЯМР (400 МГц, CD3OD): (м.д.) 7,82 (д, 2H), 7,44 (м, 1H), 7,38 (д, 2H), 7,16 (м, 3H), 4,01 (т, 4H), 3,80 (с, 3H), 3,78 (т, 2H), 3,49 (д, 2H), 3,03 (т, 2H), 2,41 (с, 3H), 2,19 (м, 2H), 1,96 (т, 2H), 1,63 (м, 1H), 1,30 (м, 4H); МС (APCI): m/z 444,2 (МН+; 100%).
Препаративный пример 5

В результате реакции взаимодействия трет-бутилового эфира (4-гидроксибутил)карбаминовой кислоты с тозилхлоридом, проведенной как описано в препаративном примере 1, получали нужное соединение, которое использовали без дополнительной очистки.
Препаративный пример 6

В результате реакции взаимодействия 1-(3-нитрофенил)пиперазина с продуктом препаративного примера 5, проведенной как описано в примере 1, получали нужное соединение, трет-бутил-4-(4-(3-нитрофенил)пиперазин-1-ил)бутилкарбамат.
1H ЯМР (400 МГц, CDCl3): (м.д.) 7,78 (с, 1H), 7,67 (д, 1H), 7,41 (т, 1H), 7,21 (д, 1H), 5,21 (шс, 1Н), 3,39-3,21 (м, 4H), 2,68 (м, 4H), 2,23 (м, 2H), 2,17 (м, 2H), 1,78-1,42 (м, 4H), 1,44 (с, 9H); МС (APCI): m/z 379 MH+; 100%).
Препаративный пример 7

К раствору продукта препаративного примера 6 (14,0 г, 0,037 моль) в дихлорметане (100 мл) при 0°С добавляли трифторуксусную кислоту (10 мл, 0,13 моль). Полученный раствор перемешивали еще 2 часа. Растворитель выпаривали при пониженном давлении. Остаток промывали диэтиловым эфиром (100 мл). Затем осадок сушили и получали продукт 4-(4-(3-нитрофенил)пиперазин-1-ил)бутан-1-амин (16,85 г) с выходом 90%.
1H ЯМР (400 МГц, CD3OD): (м.д.) 10,05 (шс, 1H), 7,79-7,42 (м, 4H), 4,07-3,48 (м, 4H), 3,25 (шс, 3H), 2,83 (м, 4H), 2,17 (м, 2H), 1,99-1,42 (м, 6H); МС (APCI): m/z 279 MH+; 100%). Эту реакцию также проводили с использованием хлористого водорода в диоксане, в результате чего получали нужный продукт.
Препаративный пример 8

К раствору продукта препаративного примера 7 (0,5 ммоль) в дихлорметане (25 мл) и триэтиламине (0,75 ммоль) добавляли циклогексилметансульфонилхлорид (0,5 ммоль) при 0°С. Смесь оставляли на 2-3 ч при 0°С при перемешивании и летучие вещества удаляли при пониженном давлении. Остаток разбавляли дихлорметаном, промывали 10% водным раствором карбоната натрия (2х15 мл) и водой (2х15 мл) и сушили над сульфатом натрия. После удаления растворителя остаток очищали флеш-хроматографией на силикагеле (2% МеОН/СН2Cl2) и получали указанное в заголовке соединение (выход 75-88%).
1H ЯМР (400 МГц, CDCl3): (м.д.) 7,45 (с, 1H), 7,21 (т, 1H), 6,97 (д, 1H), 6,75 (д, 1H), 3,85 (м, 2H), 3,63 (м 2H), 3,28-3,05 (м, 14H), 1,99-1,39 (м, 12H); МС (APCI): m/z 439 MH+; 100%).
Препаративный пример 9

В результате реакции взаимодействия продукта препаративного примера 9 с хлоридом олова, либо гидрирования в присутствии катализатора Pd/С, как описано в препаративном примере 2, получали нужный продукт.
1H ЯМР (400 МГц, CDCl3): (м.д.) 7,50 (с, 1H), 7,11 (т, 1H), 6,89 (д, 1H), 6,69 (д, 1H), 3,85 (шс, 2H), 3,63 (м 2H), 3,35-3,02 (м, 16H), 2,01-1,44 (м, 12H); МС (APCI): m/z 409 MH+; 100%).
Препаративный пример 10

В результате реакции взаимодействия продукта препаративного примера 9 с ацетилхлоридом в дихлорметане, проведенной как описано в примере 3, получали нужный продукт, N-{3-[4-(4-(циклогексилметансульфониламинобутил)пиперазин-1-ил]фенил}ацетамид в виде белого твердого вещества.
1H ЯМР (400 МГц, CDCl3): (м.д.) 7,44 (с, 1H), 7,30 (с, 1H), 7,20 (т, 1H), 6,93 (д, 1H), 6,70 (шир.с, 1H), 6,68 (д, 1Н), 3,27 (т, 4H), 3,15 (т, 2H), 2,89 (д, 2H), 2,46 (т, 4H), 2,45 (т, 2H), 2,19 (с, 3H), 1,99 (т, 2H), 1,68 (м, 7H), 1,33-1,02 (м, 6H); МС (APCI): m/z 451,3 (MH+; 100%).
Пример 22

В результате реакции взаимодействия продукта препаративного примера 10 с хлористым водородом в эфире, проведенной как описано в примере 2, получали нужный продукт в виде белого твердого вещества, то есть соли соединения препаративного примера 10.
1H ЯМР (400 МГц, CD3OD): (м.д.) 7,50 (т, 1H), 7,27 (т, 1H), 7,02 (д, 1Н), 6,85 (д, 1H), 3,88 (т, 2H), 3,74 (т, 2H), 2,46 (т, 2H), 2,45 (т, 2H), 2,98 (д, 2H), 2,15 (с, 3H), 1,99 (м, 6H), 1,68 (м, 6H), 1,33-1,02 (м, 7H); МС (APCI): m/z 451,3 (MH+; 100%).
Препаративный пример 11

В результате реакции взаимодействия продукта препаративного примера 9 с циклопропанкарбонилхлоридом в дихлорметане, проведенной как описано в примере 3, получали нужный продукт, {3-[4-(4-(циклогексилметансульфониламинобутил)пиперазин-1-ил]фенил}амид циклопропанкарбоновой кислоты в виде белого твердого вещества.
1H ЯМР (400 МГц, CDCl3): (м.д.) 7,41-7,17 (м, 2H), 6,82 (д, 1H), 6,65 (д, 1H), 3,24 (м, 4H), 3,05 (м, 4H), 2,87 (м, 4H), 2,62 (м, 4H), 2,41 (м, 2H) 1,95-1,49 (м, 13H), 1,38-0,91 (м, 5H); МС (APCI): m/z 477 (MH+; 100%).
Пример 23

В результате реакции взаимодействия продукта препаративного примера 11 с хлористым водородом в эфире, проведенной как описано в примере 2, получали нужный продукт в виде белого твердого вещества, то есть соли продукта препаративного примера 11.
1H ЯМР (400 МГц, CD3OD): (м.д.) 7,48 (с, 1H), 7,27 (т, 1H), 6,92 (д, 1Н), 6,71 (д, 1Н), 4,84 (шс, 4H), 3,90 (м, 2H), 3,68 (м 2H), 3,34-3,02 (м, 15H), 1,95-1,49 (м, 10H), 1,38-0,91 (м, 5H); МС (APCI): m/z 477 (MH+; 100%).
Препаративный пример 12

В результате реакции взаимодействия пропан-2-сульфонилхлорида с продуктом препаративного примера 7, проведенной как описано в препаративном примере 8, получали нужный продукт.
1H ЯМР (400 МГц, CD3OD): (м.д.) 7,81-7,69 (м, 2H), 7,44-7,22 (м, 2H), 6,60 (сш, 1H), 3,44-3,33 (м, 4H), 3,24-3,13 (м, 3H), 2,75-2,64 (м, 4H), 2,58-2,50 (м, 2H), 1,77-1,70 (м, 4H), 1,40 (д, 6H); МС (APCI): m/z 385 (MH+; 100%).
Препаративный пример 13

В результате реакции взаимодействия продукта препаративного примера 9 с хлоридом олова, проведенной как описано в препаративном примере 2, получали нужный продукт.
1H ЯМР (400 МГц, CD3OD): (м.д.)7,04 (т, 1H), 6,36 (д, 1H), 6,26-6,21 (м, 2H), 3,60 (сш, 2H), 3,22-3,01 (м, 7H), 2,63-2,61 (м, 4H), 2,44 (т, 2H), 1,70-1,64 (м, 4H), 1,34 (д, 6H); МС (APCI): m/z 355 (MH+; 100%).
Препаративный пример 14

В результате реакции взаимодействия продукта препаративного примера 13 с ацетилхлоридом в дихлорметане, проведенной как описано в примере 3, получали нужный продукт, N-(3-{4-[4-(пропан-2-сульфониламино)бутил]пиперазин-1-ил}фенил)ацетамид в виде белого твердого вещества.
1H ЯМР (400 МГц, CDCl3): (м.д.) 7,32-7,21 (м, 2H), 6,92 (д, 1H), 6,71 (д, 2H), 3,29-3,11 (м, 7H), 2,67-2,66 (м, 4H), 2,50-2,48 (м, 2H), 2,22 (с, 3H), 1,77-1,66 (м, 4H), 1,39 (д, 6H); МС (APCI): m/z 397 (MH+; 100%).
Пример 24

В результате реакции взаимодействия продукта препаративного примера 14 с хлористым водородом в эфире, проведенной как описано в примере 2, получали нужный продукт в виде белого твердого вещества, то есть соли продукта препаративного примера 14.
1H ЯМР (400 МГц, CD3OD): (м.д.) 7,50 (с, 1H), 7,27 (м, 1H), 7,02 (д, 1Н), 6,84 (д, 1H), 3,90-3,72 (м, 4H), 3,41-3,31 (м, 9H), 2,17 (т, 3H), 1,97-1,91 (м, 2H), 1,72-1,65 (м, 2H), 1,38 (д, 6H), МС (APCI): m/z 397 (MH+; 100%).
Препаративный пример 15

В результате реакции взаимодействия 2-метилпропан-1-сульфонилхлорида с продуктом препаративного примера 7, проведенной как описано в примере 8, получали нужный продукт. Полученную неочищенную смесь использовали для восстановления без дополнительной очистки.
МС (APCI): m/z 399 (MH+; 100%).
Препаративный пример 16

В результате реакции взаимодействия продукта препаративного примера 15 с хлоридом олова или гидрирования продукта препаративного примера 15 в присутствии катализатора Pd/С, проведенных как описано в препаративном примере 2, получали нужный продукт.
1H ЯМР (400 МГц, CDCl3): (м.д.) 7,03 (т, 1H), 6,37-6,34 (м, 1H), 6,25-6,20 (м, 2H), 3,21-3,18 (м, 4H), 3,08 (т, 2H), 2,85 (д, 2H), 2,61-2,85 (м, 4H), 2,42 (т, 2H), 2,27-2,16 (м, 1H), 1,68-1,61 (м, 4H), 1,08 (д, 6H); МС (APCI): m/z 369 (MH+; 100%).
Препаративный пример 17

В результате реакции взаимодействия продукта препаративного примера 16 с ацетилхлоридом в дихлорметане, проведенной как описано в примере 3, получали нужный продукт, N-(3-{4-[4-(2-метилпропан-1-сульфониламино)бутил]пиперазин-1-ил}фенил)ацетамид в виде белого твердого вещества.
1H ЯМР (400 МГц, CDCl3): (м.д.) 7,02 (т, 1H), 6,36 (д, 1H), 6,24 (т, 1H), 6,21 (д, 1Н), 3,21-3,18 (м, 4H), 3,08 (т, 2H), 2,85 (д, 2H), 2,61-2,59 (м, 4H), 2,42 (т, 2H), 2,27-2,20 (м, 1H), 1,68-1,61 (м, 4H), 1,08 (д, 6H); МС (APCI): m/z 411 (MH+; 100%).
Пример 25

В результате реакции взаимодействия продукта препаративного примера 17 с хлористым водородом в эфире, проведенной как описано в примере 2, получали нужный продукт в виде белого твердого вещества, то есть, соли продукта препаративного примера 17.
1H ЯМР (400 МГц, CD3OD): (м.д.) 7,5 (с, 1H), 7,22 (т, 1H), 6,95 (д, 1H), 6,78 (д, 1H), 3,83 (д, 2H), 3,67 (д, 2H), 3,28-3,22 (м, 4H), 3,14-3,05 (м, 4H), 2,95 (д, 2H), 2,23-2,15 (м, 2,12 (с, 3H), 1,94-1,86 (м, 2H), 1,67-1,61 (м, 2H), 1,10 (д, 6H); МС (APCI): m/z 411 (MH+; 100%)
Препаративный пример 18

В результате реакции взаимодействия {4-[4-(3-аминофенил)пиперазин-1-ил]бутил}амида циклогексансульфоновой кислоты с ацетилхлоридом в дихлорметане, проведенной как описано в примере 3, получали нужный продукт, N-{3-[4-(4-циклогексансульфониламинобутил)пиперазин-1-ил]фенил}ацетамид в виде белого твердого вещества.
1H ЯМР (400 МГц, CDCl3): (м.д.) 7,36 (т, 1H), 7,28 (т, 1H), 6,91 (д, 1H), 6,73 (д, 1H), 3,28 (т, 4H), 3,16 (т, 2H), 2,86 (м, 1H), 2,66 (т, 4H), 2,49 (т, 2H), 2,21 (с, 3H), 1,99-1,12 (м, 14H); МС (APCI): m/z 437,3 (МН+; 100%).
Пример 26

В результате реакции взаимодействия продукта препаративного примера 18 с хлористым водородом в эфире, проведенной как описано в примере 2, получали нужный продукт в виде белого твердого вещества, то есть соли продукта препаративного примера 18.
1H ЯМР (400 МГц, CD3OD): (м.д.) 7,69 (т, 1H), 7,42 (т, 1Н), 7,22 (д, 1H), 7,13 (д, 1Н), 3,78 (т, 2H), 3,62 (т, 2H), 3,46 (т, 2H), 3,01 (м, 1H), 2,98 (т, 4H), 2,49 (т, 2H), 2,19 (с, 3H), 2,14 (т, 2H), 1,99-1,12 (м, 14H); МС (APCI): m/z 437,3 (MH+; 100%).
Препаративный пример 19

В результате реакции взаимодействия 1-(3-нитрофенил)пиперазина с 4-(трет-бутоксикарбонилметиламино)бутиловым эфиром толуол-4-сульфоновой кислоты, проведенной как описано в примере 1, получали нужное соединение.
1H ЯМР (400 МГц, CDCl3): (м.д.) 7,75 (с, 1H), 7,63 (дд, 1Н), 7,34 (т, 1H), 7,19 (дд, 1H), 3,47 (м, 4H), 2,68 (м, 4H), 2,37 (с, 3H), 2,23 (м, 2H), 2,17 (м, 2H), 1,88-1,45 (м, 4H), 1,44 (с, 9H); МС (APCI): m/z 393 MH+; 100%).
Препаративный пример 20

В результате реакции взаимодействия продукта препаративного примера 19 с TFA, проведенной как описано в препаративном примере 7, получали нужный продукт.
1H ЯМР (400 МГц, CD3OD): (м.д.) 7,75 (с, 1Н), 7,53 (т, 1H), 7,25 (д, 1H), 7,09 (д, 1H), 4,56 (шс, 3H), 3,48 (м, 4H), 2,78 (м, 4H), 2,27 (с, 3H), 2,13 (м, 2H), 1,99-1,45 (м, 6H); МС (APCI): m/z 293 (MH+; 100%).
Препаративный пример 21

В результате реакции взаимодействия циклогексилметансульфонилхлорида с продуктом препаративного примера 20, проведенной как описано в препаративном примере 8, получали нужный продукт.
1H ЯМР (400 МГц, CDCl3): (м.д.) 7,35 (с, 1H), 7,23 (т, 1H), 6,94 (д, 1H), 6,81 (д, 1H), 3,87 (м, 2H), 3,68 (м 2H), 3,25-3,03 (м, 14H), 2,17 (с, 3H), 1,96-1,34 (м, 11H); МС (APCI): m/z 453 (MH+; 100%).
Препаративный пример 22

В результате реакции взаимодействия продукта препаративного примера 21 с хлоридом олова, проведенной как описано в препаративном примере 2, получали нужный продукт.
1H ЯМР (400 МГц, CDCl3): (м.д.) 7,25 (м, 2H), 6,937 (д, 1H), 6,30 (д, 1H), 3,85 (шс, 2H), 3,63 (м 2H), 3,28-3,05 (м, 16H), 2,17 (с, 3H), 1,99-1,39 (м, 11H); МС (APCI): m/z 423 (MH+; 100%).
Препаративный пример 23

В результате реакции взаимодействия продукта препаративного примера 22 с ацетилхлоридом в дихлорметане, проведенной как описано в примере 3, получали нужный продукт, N-(3-{4-[4-(циклогексилметансульфонилметиламино)бутил]пиперазин-1-ил}фенил)ацетамид в виде белого твердого вещества.
1H ЯМР (400 МГц, CDCl3): (м.д.) 7,37 (с, 1H), 7,15 (т, 1H), 6,98 (д, 1Н), 6,71 (д, 1H), 3,43-3,25 (м, 6H), 2,97-1,47 (м 30 H); МС (APCI): m/z 465 (MH+; 100%).
Пример 27

В результате реакции взаимодействия продукта препаративного примера 23 с хлористым водородом в эфире, проведенной как описано в примере 2, получали нужный продукт в виде белого твердого вещества, то есть соли продукта препаративного примера 23.
1H ЯМР (400 МГц, CDCl3): (м.д.) 7,42 (с, 1H), 7,21 (т, 1Н), 6,97 (д, 1H), 6,75 (д, 1H), 4,84 (шс, 4H), 3,85 (м, 2H), 3,63 (м 2H), 3,28-3,05 (м, 13H), 2,07 (с, 3H), 1,99-1,15 (м, 14H); МС (APCI): m/z 465 (MH+; 100%).
Препаративный пример 24

В результате реакции взаимодействия 2-метилпропан-1-сульфонилхлорида с продуктом препаративного примера 20, проведенной как описано в препаративном примере 8, получали нужный продукт.
1H ЯМР (400 МГц, CDCl3): (м.д.) 7,26 (с, 1Н), 7,12 (т, 1H), 6,96 (д, 1H), 6,77 (д, 1H), 3,89 (м, 2H), 3,65 (м 2H), 3,29-3,02 (м, 14H), 2,17 (с, 3H), 1,97-1,34 (м, 7H); МС (APCI): m/z 413 (MH+; 100%).
Препаративный пример 25

В результате реакции взаимодействия продукта препаративного примера 24 с хлоридом олова, либо гидрирования продукта препаративного примера 24 в присутствии катализатора Pd/С, как описано в препаративном примере 2, получали нужный продукт.
1H ЯМР (400 МГц, CDCl3): (м.д.) 7,27 (с, 1H), 7,13 (т, 1H), 6,95 (д, 1H), 6,74 (д, 1H), 3,95 (шс, 2H), 3,65 (м 2H), 3,29-3,03 (м, 16H), 2,17 (с, 3H), 1,99-1,39 (м, 5H); МС (APCI): m/z 383 (MH+; 100%).
Препаративный пример 26

В результате реакции взаимодействия продукта препаративного примера 25 с ацетилхлоридом в дихлорметане, проведенной как описано в примере 3, получали нужный продукт, N-(3-{4-[1-(пропан-2-сульфонил)пиперидин-4-илметил]пиперазин-1-ил}фенил)ацетамид в виде белого твердого вещества.
1H ЯМР (400 МГц, CDCl3): (м.д.) 7,47 (с, 1H), 7,23 (т, 1H), 6,98 (д, 1H), 6,73 (д, 1H), 3,43-3,25 (м, 6H), 2,97-1,17 (м 26 H); МС (APCI): m/z 425 (MH+; 100%).
Пример 28

В результате реакции взаимодействия продукта препаративного примера 26 с хлористым водородом в эфире, проведенной как описано в примере 2, получали нужный продукт в виде белого твердого вещества, то есть соли продукта препаративного примера 26.
1H ЯМР (400 МГц, CD3OD): (м.д.) 7,45 (с, 1H), 7,26 (т, 1H), 6,97 (д, 1H), 6,85 (д, 1H), 4,87 (шс, 4H), 3,87 (м, 2H), 3,73 (м 2H), 3,38-3,05 (м, 12H), 2,07 (с, 3H), 1,99-1,15 (м, 11H); МС (APCI): m/z 425 (MH+; 100%).
Препаративный пример 27

В результате реакции взаимодействия 1-(2-метоксифенил)пиперазина с продуктом препаративного примера 5, проведенной как описано в примере 1, получали нужное соединение.
1H ЯМР (400 МГц, CDCl3): (м.д.) 7,02 (м, 4H), 3,92 (с, 3H), 3,21 (т, 6H), 2,76 (т, 4H), 2,44 (т, 2H), 1,60 (м, 4H), 1,41 (с, 9H); МС (APCI): m/z 364,5 (MH+; 100%).
Препаративный пример 28

В результате реакции взаимодействия продукта препаративного примера 27 с TFA, проведенной как описано в препаративном примере 7, получали нужный продукт.
1H ЯМР (400 МГц, CD3OD): (м.д.) 7,29 (м, 2H), 6,64 (м, 2H), 3,90 (с, 3H), 3,28 (т, 2H), 3,19 (т, 2H), 3,01 (т, 2H), 2,62 (т, 4H), 2,39 (т, 2H), 1,55 (м, 4H); МС (APCI): m/z 264,3 (MH+; 100%).
Препаративный пример 29

В результате реакции взаимодействия циклогексилметансульфонилхлорида и продукта препаративного примера 28, проведенной как описано в препаративном примере 8, получали нужный продукт, С-циклогексил-N-{4-[4-(2-метоксифенил)пиперазин-1-ил]бутил}-метансульфонамид.
1H ЯМР (400 МГц, CDCl3): (м.д.) 6,98 (м, 4H), 3,86 (с, 3H), 3,10 (т, 6H), 2,85 (д, 2H), 2,64 (т, 2H), 2,49 (т, 2H) 1,98 (м, 3H), 1,67 (м, 8H), 1,26-0,91 (м, 6H); МС (APCI): m/z 424,2 (MH+; 100%).
Пример 30

В результате реакции взаимодействия продукта препаративного примера 29 с хлористым водородом в эфире, проведенной как описано в примере 2, получали нужный продукт в виде белого твердого вещества, то есть соли продукта препаративного примера 29.
1H ЯМР (400 МГц, CD3OD): (м.д.) 7,91 (д, 1Н), 7,48 (м, 1H), 7,22 (д, 2H), 3,80 (с, 3H), 3,52 (т, 4H), 3,41 (т, 2H), 2,91 (д, 2H), 2,89 (т, 2H), 2,77 (т, 2H) 2,51 (т, 2H), 1,62 (м, 9H), 1,29-0,86 (м, 6H); МС (APCI): m/z 424,2 (MH+; 100%).
Препаративный пример 29

В результате реакции взаимодействия {3-[4-(4-аминобутил)пиперазин-1-ил]фенил}диметиламина с циклогексилметансульфонилхлоридом, проведенной как описано в препаративном примере 8, получали нужное соединение, С-циклогексил-N-{4-[4-(3-диметиламинофенил)пиперазин-1-ил]бутил}метансульфонамид.
1H ЯМР (400 МГц, CDCl3): (м.д.) 7,12 (т, 1H), 6,33 (т, 2H), 6,30 (с, 1H), 3,24 (т, 2H) 3,03 (т, 2H), 2,92 (с, 6H), 2,88 (д, 2H), 2,64 (т, 4H), 2,44 (т, 2H), 1,95 (м, 3H), 1,67 (м, 8H), 1,32-1,01 (м, 6H); МС (APCI): m/z 437,5 (МН+; 100%).
Пример 31

В результате реакции взаимодействия продукта препаративного примера 29 с хлористым водородом в эфире, проведенной как описано в примере 2, получали нужный продукт в виде белого твердого вещества, то есть соли продукта препаративного примера 29.
1H ЯМР (400 МГц, CD3OD): (м.д.) 7,49 (т, 1H), 7,34 (м, 1H), 7,19 (м, 2H), 4,02 (т, 2H) 3,72 (т, 2H), 3,70 (т, 6H), 3,12 (с, 6H), 3,13 (т, 2H), 2,95 (д, 2H), 1,93 (м, 5H), 1,74 (м, 4H), 1,44-1,01 (м, 6H); МС (APCI): m/z 437,5 (МН+; 100%).
Препаративный пример 30

В результате реакции взаимодействия 1-пиридин-2-илпиперазина с продуктом препаративного примера 5, проведенной как описано в примере 1, получали нужное соединение.
1H ЯМР (400 МГц, CDCl3): (м.д.) 8,20-8,18 (м, 1H), 7,50-7,45 (м, 1H), 6,66-6,61 (м, 2H), 5,40 (сш, 1H), 3,58-3,56 (м, 4H), 3,16 (м, 2H), 2,57-2,54 (м, 4H), 2,40 (т, 2H), 1,60-1,56 (м, 4H), 1,43 (с, 9H); МС (APCI): m/z 335 (MH+; 100%).
Препаративный пример 31

В результате реакции взаимодействия продукта препаративного примера 30 с TFA, проведенной как описано в препаративном примере 7, получали нужный продукт.
1H ЯМР (400 МГц, CD3OD): (м.д.) 8,15-8,13 (м, 1H), 7,84-7,80 (м, 1H), 7,13 (д, 1H), 6,95 (т, 1Н), 3,92-3,84 (м, 4H), 3,48-3,40 (м, 4H), 3,24-3,22 (м, 2H), 3,00 (т, 2H), 1,90-1,84 (м, 2H), 1,76-1,72 (м, 2H); МС (APCI): m/z 235 (MH+; 100%).
Препаративный пример 32

В результате реакции взаимодействия циклогексилметансульфонилхлорида с продуктом препаративного примера 31, проведенной как описано в препаративном примере 8, получали нужный продукт, C-циклогексил-N-[4-(4-пиридин-2-илпиперазин-1-ил)бутил]метансульфонамид.
1H ЯМР (400 МГц, CDCl3): (м.д.) 8,19-8,18 (м, 1H), 7,50-7,46 (м, 1H), 6,66-6,61 (м, 2H), 3,61-3,59 (м, 4H), 3,10 (т, 2H), 2,86 (д, 2H), 2,60-2,58 (м, 4H), 2,44 (т, 2H), 11,96-1,92 (м, 3H), 1,71-1,62 (м, 7H), 1,30-1,03 (м, 5H); МС (APCI): m/z 395 (MH+; 100%).
Пример 32

В результате реакции взаимодействия продукта препаративного примера 32 с хлористым водородом в эфире, проведенной как описано в примере 2, получали нужный продукт в виде белого твердого вещества, то есть соли продукта препаративного примера 32.
1H ЯМР (400 МГц, CD3OD): (м.д.) 8,21-8,17 (м, 1H), 8,09 (д, 1H), 7,52 (д, 1H), 7,18 (т, 1Н), 4,41 (д, 2H), 3,80-3,70 (м, 4H), 3,35-3,29 (м, 4H), 3,12 (т, 2H), 2,95 (д, 2H), 1,96-1,90 (м, 5H), 1,77-1,64 (м, 5H), 1,42-1,11 (м, 5H); МС (APCI): m/z 395 (MH+; 100%).
Препаративный пример 33

В результате реакции взаимодействия диметил-(3-пиперазин-1-илфенил)амина с 1-(4-фтор-бензолсульфонил)пиперидин-4-илметиловым эфиром 4-фторбензолсульфоновой кислоты, проведенной как описано в примере 1, получали нужный продукт, (3-{4-[1-(4-фторбензолсульфонил)пиперидин-4-илметил]пиперазин-1-ил}фенил)диметиламин.
1H ЯМР (400 МГц, CDCl3): (м.д.) 7,80-7,77 (м, 2Н), 7,23-7,10 (м, 3H), 6,33-6,27 (м, 3H), 3,80 (д, 2H), 3,14 (т, 4H), 2,92 (с, 6H), 2,50 (т, 4H), 2,27 (т, 2H), 2,20 (д, 2H), 1,85 (д, 2H), 1,50-1,42 (м, 1H), 1,34-1,27 (м, 2H); МС (APCI): m/z 461 (MH+; 100%).
Пример 33

В результате реакции взаимодействия продукта препаративного примера 33 с хлористым водородом в эфире, проведенной как описано в примере 2, получали нужный продукт в виде белого твердого вещества, то есть соли продукта препаративного примера 33.
1H ЯМР (400 МГц, CDCl3): (м.д.) 10,78 (сш, 1H), 7,92-7,88 (м, 2H), 7,58 (т, 2H), 7,39-7,36 (м, 1H), 7,20-6,90 (м, 3H), 3,86 (д, 2H), 3,71-3,34 (м, 6H), 3,10 (м, 9H), 2,31 (т, 2H), 2,03-1,95 (м, 3H), 1,37-1,30 (м, 3H); МС (APCI): m/z 461 (MH+; 100%).
Препаративный пример 34

В результате реакции взаимодействия 1-пиридин-2-илпиперазина с 1-(4-фторбензолсульфонил)пиперидин-4-илметиловым эфиром 4-фторбензолсульфоновой кислоты, проведенной как описано в примере 1, получали нужный продукт, 1-[1-(4-фторбензолсульфонил)пиперидин-4-илметил]-4-пиридин-2-ил-пиперазин.
1H ЯМР (400 МГц, CDCl3): (м.д.) 8,01 (д, 1H), 7,91 (д, 1H), 7,77 (т, 2H), 7,62 (д, 1H), 7,02 (т, 2H), 6,95 (т, 1Н), 3,75 (т, 4H), 3,41 (т, 2H), 3,22 (т, 2H), 3,13 (т, 2H), 2,21 (т, 2H), 1,77 (м, 3H), 1,39 (м, 4H); МС (APCI): m/z 419,6 (MH+; 100%).
Пример 34

В результате реакции взаимодействия продукта препаративного примера 34 с хлористым водородом в эфире, проведенной как описано в примере 2, получали нужный продукт в виде белого твердого вещества, то есть соли продукта препаративного примера 34.
1H ЯМР (400 МГц, CD3OD): (м.д.) 8,16 (т, 1H), 8,08 (д, 1H), 7,85 (т, 2H), 7,50 (д, 1H), 7,36 (т, 2H), 7,15 (т, 1Н), 3,83 (т, 4H), 3,35 (т, 2H), 3,25 (т, 2H), 3,17 (т, 2H), 2,36 (т, 2H), 1,98 (м, 3H), 1,43 (м, 4H); МС (APCI): m/z 419,6 (MH+; 100%).
Препаративный пример 35

В результате реакции взаимодействия 1-(3-нитрофенил)пиперазина с 1-(4-фторбензолсульфонил)пиперидин-4-илметиловым эфиром 4-фторбензолсульфоновой кислоты, проведенной как описано в примере 1, получали нужное соединение.
1H ЯМР (400 МГц, CD3OD): (м.д.) 7,81-7,77 (м, 2H), 7,69-7,63 (м, 2H), 7,36 (т, 1H), 7,24-7,15 (м, 3H), 3,81 (д, 2H), 3,25-3,22 (м, 4H), 2,53-2,51 (м, 4H), 2,30-2,21 (м, 4H), 1,86-1,83 (м, 2H), 1,49-1,44 (м, 1H), 1,35-1,25 (м, 2H); МС (APCI): m/z 363 (MH+; 100%).
Препаративный пример 36

В результате реакции взаимодействия продукта препаративного примера 35 с хлоридом олова, проведенной как описано в препаративном примере 2, получали нужный продукт.
1H ЯМР (400 МГц, CD3OD): (м.д.) 7,81-7,77 (м, 2H), 7,28-7,20 (м, 2H), 7,06-7,02 (м, 1H), 6,35 (д, 1H), 6,24-6,21 (м, 2H) 3,80 (д, 2H), 3,60 (с, 2H), 3,19 (м, 4H), 2,39 (м, 4H), 2,29-2,19 (м, 4H), 1,85 (д, 2H), 1,47 (м, 1H), 1,35-1,28 (м, 2H); МС (APCI): m/z 433 (MH+; 100%).
Препаративный пример 37

В результате реакции взаимодействия продукта препаративного примера 36 с ацетилхлоридом в дихлорметане, проведенной как описано в примере 3, получали нужный продукт, N-(3-{4-[1-(4-фторбензолсульфонил)пиперидин-4-илметил]пиперазин-1-ил}фенил)-ацетамид в виде белого твердого вещества.
1H ЯМР (400 МГц, CDCl3): (м.д.) 7,80-7,76 (м, 2H), 7,32-7,13 (м, 5H), 6,78 (д, 1H), 6,63 (д, 1H), 3,79 (д, 2H), 3,14 (т, 4H), 2,47 (т, 4H), 2,28-2,10 (м, 7H), 1,83 (д, 2H), 1,47-1,43 (м, 1H), 1,33-1,23 (м, 2H); МС (APCI): m/z 457 (МН+; 100%).
Пример 35

В результате реакции взаимодействия продукта препаративного примера 37 с хлористым водородом в эфире, проведенной как описано в примере 2, получали нужный продукт в виде белого твердого вещества, то есть соли продукта препаративного примера 37.
1H ЯМР (400 МГц, CD3OD): (м.д.) 7,88-7,84 (м, 2H), 7,48-7,5 (сш 1H), 7,37 (т, 2H), 7,22 (т, 1Н), 6,95 (д, 1H), 6,77 (д, 1H), 3,81 (т, 4H), 3,64 (д, 2H), 3,26-3,13 (м, 6H), 2,37 (т, 2H), 2,11 (с, 3H), 1,91 (д, 2H), 1,43-1,37 (м, 3H); МС (APCI): m/z 457 (MH+; 100%).
Препаративный пример 38

В результате реакции взаимодействия 1-(3-нитрофенил)пиперазина с 4-(4-фторбензолсульфониламино)бутиловым эфиром 4-фторбензолсульфоновой кислоты, проведенной как описано в примере 1, получали нужное соединение.
1H ЯМР (400 МГц, CDCl3): (м.д.) 7,85 (м, 2H), 7,75-7,63 (м, 2H), 7,22-7,06 (м, 4H), 3,38 (м, 4H), 2,95 (м, 2H), 2,45 (м, 4H), 2,05 (м, 1H), 1,61 (м, 4H); МС (APCI): m/z 437 (MH+; 100%).
Препаративный пример 39

В результате реакции взаимодействия продукта препаративного примера 38 с хлоридом олова, проведенной как описано в препаративном примере 2, получали нужный продукт.
1H ЯМР (400 МГц, CDCl3): (м.д.) 7,95 (м, 2H), 7,45-6,95 (м, 4H), 6,51-6,19 (м, 2H), 3,95-2,83 (м, 8H), 2,65-2,31 (м, 7H), 1,61 (м, 4H); МС (APCI): m/z 407 (MH+; 100%).
Препаративный пример 40

В результате реакции взаимодействия продукта препаративного примера 39 с ацетилхлоридом в дихлорметане, проведенной как описано в примере 3, получали нужный продукт, N-(3-{4-[4-(4-фторбензолсульфониламино)бутил]пиперазин-1-ил}фенил)ацетамид в виде белого твердого вещества.
1H ЯМР (400 МГц, CDCl3): (м.д.) 7,45-7,16 (м, 4H), 6,81 (д, 2H), 6,65 (д, 2H), 3,48 (с, 1H), 3,28 (м, 4H), 2,95 (м, 2H), 2,62 (м, 5H), 2,35 (м, 2H), 2,08 (с, 3H), 1,65 (м, 4H); МС (APCI): m/z 449 (MH+; 100%).
Пример 36

В результате реакции взаимодействия продукта препаративного примера 40 с хлористым водородом в эфире, проведенной как описано в примере 2, получали нужный продукт в виде белого твердого вещества, то есть соли продукта препаративного примера 40.
1H ЯМР (400 МГц, CD3OD): (м.д.) 7,99 (м, 2H), 7,61-7,45 (м, 2H) 7,01 (д, 2H), 6,81 (д, 2H), 5,01 (шс, 4H), 3,99 (м, 1H), 3,75 (м, 1H), 3,45-3,21 (м, 8H), 2,18 (с, 3H), 2,01 (м, 2H), 1,89-1,65 (м, 4H); МС (APCI): m/z 449 (MH+; 100%).
Препаративный пример 41

В результате реакции взаимодействия 1-(3-нитрофенил)-4-пиперидин-4-илметилпиперазина, TFA-соли, с пропан-2-сульфонилхлоридом, проведенной как описано в препаративном примере 8, получали нужный продукт.
1H ЯМР (400 МГц, CDCl3): (м.д.) 7,89-7,02 (м, 4H), 3,90-1,09 (м, 26H); МС (APCI): m/z 411 (MH+; 100%).
Препаративный пример 42

В результате реакции взаимодействия продукта препаративного примера 41 с хлоридом олова, проведенной как описано в препаративном примере 2, получали нужный продукт.
1H ЯМР (400 МГц, CDCl3): (м.д.) 7,92-7,10 (м, 4H), 3,98-1,11 (м, 26 H); МС (APCI): m/z 411 (MH+; 100%).
Препаративный пример 43

В результате реакции взаимодействия продукта препаративного примера 42 с ацетилхлоридом в дихлорметане, проведенной как описано в примере 3, получали нужный продукт в виде белого твердого вещества.
1H ЯМР (400 МГц, CDCl3): (м.д.) 7,40-6,60 (м, 4H), 3,99-1,20 (м, 29H); МС (APCI): m/z 423 (MH+; 100%).
Пример 37

В результате реакции взаимодействия продукта препаративного примера 43 с хлористым водородом в эфире, проведенной как описано в примере 2, получали нужный продукт в виде белого твердого вещества, то есть N-(3-{4-[1-(пропан-2-сульфонил)пиперидин-4-илметил]пиперазин-1-ил}фенил)ацетамид.
1H ЯМР (400 МГц, CDCl3): (м.д.) 7,50-6,80 (м, 4H), 4,00-1,25 (м, 29 H); МС (APCI): m/z 423 (MH+; 100%).
Препаративный пример 44

В результате реакции взаимодействия 1-(3-нитрофенил)-4-пиперидин-4-илметилпиперазина, TFA-соли, с циклогексилметансульфонилхлоридом, проведенной как описано в препаративном примере 8, получали нужный продукт.
1H ЯМР (400 МГц, CDCl3): (м.д.) 7,90-7,20 (м, 4H), 3,90-0,90 (м, 32 H); МС (APCI): m/z 465 (МН+; 100%).
Препаративный пример 45

В результате реакции взаимодействия продукта препаративного примера 44 с хлоридом олова, проведенной как описано в препаративном примере 2, получали нужный продукт.
1H ЯМР (400 МГц, CDCl3): (м.д.) 7,79-6,20 (м, 4H), 4,00-1,00 (м, 32H); МС (APCI): m/z 435 (MH+; 100%).
Препаративный пример 46

В результате реакции взаимодействия продукта препаративного примера 45 с ацетилхлоридом в дихлорметане, проведенной как описано в примере 3, получали нужный продукт N-{3-[4-(1-циклогексилметансульфонилпиперидин-4-илметил)пиперазин-1-ил]фенил}ацетамид в виде белого твердого вещества.
1H ЯМР (400 МГц, CDCl3): (м.д.) 7,26-6,70 (м, 4H), 3,79-1,05 (м, 35H); МС (APCI): m/z 477 (МН+; 100%).
Пример 38

В результате реакции взаимодействия продукта препаративного примера 46 с хлористым водородом в эфире, проведенной как описано в примере 2, получали нужный продукт в виде белого твердого вещества, то есть соли продукта препаративного примера 46.
1H ЯМР (400 МГц, CDCl3): (м.д.) 7,50-6,79 (м, 4H), 3,90-1,10 (м, 35H); МС (APCI): m/z 477 (MH+; 100%).
Пример 39
Активность арилпиперазинилсульфонамидных соединений
Арилпиперазинилсульфонамидные соединения настоящего изобретения получали методом синтеза, описанным выше, и определяли их активность и селективность. Такими соединениями являются 4-метил-N-{4-[4-(3-нитрофенил)пиперазин-1-ил]бутил}бензолсульфонамид; HCl-соль 4-метил-N-{4-[4-(3-нитрофенил)пиперазин-1-ил]бутил}-бензолсульфонамида; (3-{4-[4-(толуол-4-сульфониламино)бутил]пиперазин-1-ил}фенил)амид циклопропанкарбоновой кислоты; N-(3-{4-[4-(толуол-4-сульфониламино)бутил]-пиперазин-1-ил}фенил)бутирамид; 2,2-диметил-N-(3-{4-[4-(толуол-4-сульфониламино)бутил]пиперазин-1-ил}фенил)пропионамид; N-(3-{4-[4-(толуол-4-сульфониламино)бутил]пиперазин-1-ил}фенил)изобутирамид; N-{4-[4-(3-этансульфониламинофенил)-пиперазин-1-ил]бутил}-4-метилбензолсульфонамид; 4-метил-N-(4-{4-[3-(пропан-2-сульфониламино)фенил]пиперазин-1-ил}бутил)бензолсульфонамид; 4-метил-N-{4-[4-(3-нитрофенил)пиперазин-1-ил]бутил}бензолсульфонамид; 4-метил-N-[4-(4-пиридин-2-ил-пиперазин-1-ил)-бутил]бензолсульфонамид; N-{4-[4-(2-метокси-5-нитрофенил)пиперазин-1-ил]бутил}-4-метилбензолсульфонамид; 4-метил-N-[4-(4-пиримидин-2-илпиперазин-1-ил)бутил]-бензолсульфонамид; N-{4-[4-(3-метоксифенил)-пиперазин-1-ил]бутил}-4-метилбензолсульфонамид; N-{4-[4-(3-этансульфониламинофенил)пиперазин-1-ил]бутил}-4-метилбензолсульфонамид; N-{4-[4-(3-метансульфониламинофенил)-пиперазин-1-ил]бутил}-4-метилбензолсульфонамид; 4-метил-N-{4-[4-(3-пиразин-2-илфенил)пиперазин-1-ил]бутил}бензолсульфонамид; N-[4-(4-бифенил-3-илпиперазин-1-ил)бутил]-4-метилбензолсульфонамид; 4-метил-N-[4-(4-фенилпиперазин-1-ил)бутил]бензолсульфонамид; С-циклогексил-N-{4-[4-(2-метоксифенил)пиперазин-1-ил]бутил}метансульфонамид; N-(3-{4-[4-(толуол-4-сульфониламино)бутил]пиперазин-1-ил}фенил)ацетамид; N-(3-{4-[4-(толуол-4-сульфониламино)бутил]пиперазин-1-ил}фенил)пропионамид; (3-{4-[1-(4-фтор-бензолсульфонил)пиперидин-4-илметил]пиперазин-1-ил}фенил)диметиламин; 1-[1-(4-фторбензолсульфонил)пиперидин-4-илметил]-4-пиридин-2-илпиперазин; С-циклогексил-N-{4-[4-(3-диметиламинофенил)пиперазин-1-ил]бутил}метансульфонамид; С-циклогексил-N-[4-(4-пиридин-2-илпиперазин-1-ил)бутил]-метансульфонамид; N-(3-{4-[1-(4-фторбензолсульфонил)пиперидин-4-илметил]пиперазин-1-ил}фенил)ацетамид; N-(3-{4-[4-(4-фторбензолсульфониламино)бутил]пиперазин-1-ил}фенил)ацетамид; N-{3-[4-(4-циклогексилметансульфониламинобутил)пиперазин-1-ил]фенил}ацетамид; N-{3-[4-(1-циклогексилметансульфонил-пиперидин-4-илметил)пиперазин-1-ил]фенил}ацетамид; {3-[4-(4-циклогексилметансульфониламинобутил)пиперазин-1-ил]фенил}амид циклопропанкарбоновой кислоты, N-(3-{4-[1-(пропан-2-сульфонил)пиперидин-4-илметил]пиперазин-1-ил}фенил)ацетамид; N-(3-{4-[4-(пропан-2-сульфониламино)бутил]пиперазин-1-ил}фенил)-ацетамид; N-{3-[4-(4-циклогексансульфониламинобутил)-пиперазин-1-ил]фенил}ацетамид; N-(3-{4-[4-(циклогексилметансульфонилметил-амино)бутил]пиперазин-1-ил}фенил)ацетамид; N-(3-{4-[4-(2-метилпропан-1-сульфониламино)-бутил]пиперазин-1-ил}фенил)-ацетамид; N-[3-(4-{4-[метил-(2-метилпропан-1-сульфонил)амино]-бутил}пиперазин-1-ил)фенил]ацетамид; N-(3-пиперазин-1-илфенил)ацетамид, (3-пиперазин-1-илфенил)амид циклопропанкарбоновой кислоты и 1-(2-метоксифенил)-4-[1-(толуол-4-сульфонил)пиперидин-3-илметил]пиперазин.
Было обнаружено, что эти соединения (например, при концентрациях примерно от 0,1 до 10 мкМ) являются активными и селективными модуляторами 5-НТ1А. Данные анализов представлены в таблице 1. Соответственно, полагают, что соединения настоящего изобретения полезны в качестве модуляторов 5-НТ1А-рецептора, например, для лечения различных клинических состояний, характеризующихся избытком или отсутствием серотонина, например серотонергической гипофункцией или гиперфункцией. Такими состояниями являются нарушение питания; шизофрения; невралгия; расстройства, вызываемое привыканием к дозированным средствам; обессивно-компульсивные состояния; паническая атака; нарушения половых функций, вызываемые расстройством центральной нервной системы; нарушение сна и усвоения пищи; алкоголизм; боли; расстройства памяти; униполярная депрессия; дистимия; биполярная депрессия; депрессия, не поддающаяся лечению; депрессия у соматических больных; панические атаки; обессивно-компульсивное состояние; нарушение питания, социальные фобии; предменструальная дисфория; расстройства настроения, такие как депрессия или более конкретно, депрессивные расстройства, например, эпизодические или рецидивирующие глубокие депрессивные расстройства и дистимия; или биполярные расстройства, например, биполярное расстройство I, биполярное расстройство II и циклотимия; тревожные состояния, такие как паническая атака с агорафобией или без агорафобии; агорафобия без предшествующей панической атаки; конкретные фобии, например боязнь конкретных животных; социальные фобии, расстройства, вызываемые стрессом, включая посттравматический стресс, острый стресс и генерализованные тревожные состояния; шизофрения и другие психотические расстройства, например расстройства по типу шизофрении, шизоаффективные расстройства, бредовые состояния, кратковременные психические расстройства, генерализованные психотические расстройства и психотические расстройства с бредом или галлюцинациями; делирий; деменция; амнезия и другие нарушения познавательной способности или нейродегенеративные расстройства, такие как болезнь Альцгеймера, сенильная деменция, деменция типа Альцгеймера, сосудистая деменция и деменции другого типа, например деменция, ассоциированная с ВИЧ-инфекцией, травмой головы, болезнью Паркинсона, болезнью Гентингтона, болезнью Пика, болезнью Крейтцфельда-Якоба или деменция множественной этиологии; болезнь Паркинсона и другие экстрапирамидальные двигательные расстройства, такие как двигательные расстройства, индуцированные дозированными препаратами, например паркинсонизм, вызываемый нейролептиками, нейролептический злокачественный синдром; острая дистония, вызываемая нейролептиками; острая акатизия, вызываемая нейролептиками; поздняя дискинезия, вызываемая нейролептиками, и постуральный тремор, вызываемый дозированными средствами; расстройства, связанные со злоупотреблением алкоголя, амфетаминов (или амфетаминподобных веществ), кофеина, гашиша, кокаина, галлюциногенов, летучих химических веществ и аэрозольных пропеллентов, никотина, опиоидов, производных фенилглицидина, седативных средств, снотворных и транквилизаторов, где такими расстройствами, связанными со злоупотреблением указанных веществ, являются зависимость от этих веществ и злоупотребление ими, интоксикация, абстиненция, делирий, связанный с интоксикацией, абстинентный делирий, прогредиентная деменция; психотические расстройства, расстройства настроения, тревожные состояния, нарушение половых функций и расстройства сна; эпилепсия; синдром Дауна; димиелинизирующие заболевания, такие как РС (рассеянный склероз) и АБС (амиотрофический боковой склероз) и другие нейропатологические расстройства, такие как периферическая невропатия, например диабетическая невропатия, невропатия, индуцированная химиотерапией, посттерапевтическая невралгия, невралгия тройничного нерва, сегментарная или межреберная невралгия и невралгии других типов; сосудистые расстройства головного мозга, вызываемые острыми или хроническими поражениями сосудов головного мозга, такими как инфаркт головного мозга, субарахноидальная геморрагия или отек головного мозга.
| Таблица 1 |
| Соединение |
5-НТ1А (Кi) нМ |
1 % ингибирования (1 мкм) |
2 % ингибирования (1 мкм) |
| 4-метил-N-{4-[4-(3-нитрофенил)-пиперазин-1-ил]бутил}бензолсульфонамид; |
125 |
56 |
14 |
| HCl-соль 4-метил-N-{4-[4-(3-нитрофенил)пиперазин-1-ил]бутил}-бензолсульфонамида |
105 |
61 |
23 |
| 4-метил-N-(4-{4-[3-(пропан-2-сульфониламино)фенил]-пиперазин-1-ил}бутил)бензолсульфонамид |
78 |
15 |
<10 |
| N-{4-[4-(3-этансульфониламино-фенил)пиперазин-1-ил]бутил}-4-метилбензолсульфонамид |
141 |
47 |
14 |
| 4-метил-N-[4-(4-фенилпиперазин-1-ил)бутил]бензолсульфонамид |
40 |
98 |
90 |
| N-(3-{4-[4-(толуол-4-сульфониламино)бутил]-пиперазин-1-ил}фенил)изобутирамид |
47 |
47 |
12 |
| N-{4-[4-(3-метансульфониламино-фенил)пиперазин-1-ил]бутил}-4-метилбензолсульфонамид |
46 |
51 |
21 |
| 4-метил-N-[4-(4-пиримидин-2-илпиперазин-1-ил)бутил]бензолсульфонамид |
26 |
<10 |
16 |
| HCl-соль 4-метил-N-[4-(4-пиримидин-2-ил-пиперазин-1-ил)бутил]бензолсульфонамида |
30 |
35 |
17 |
| HCl-соль (3-{4-[4-(толуол-4-сульфониламино)бутил]-пиперазин-1-ил}фенил)амида циклопропанкарбоновой кислоты |
21 |
40 |
15 |
| N-{4-[4-(2-метокси-5-нитрофенил)пиперазин-1-ил]бутил}-4-метилбензолсульфонамид |
415 |
28 |
0 |
| N-(3-{4-[4-(толуол-4-сульфониламино)бутил]-пиперазин-1-ил}фенил)бутирамид |
56 |
12 |
12 |
| 2,2-диметил-N-(3-{4-[4-(толуол-4-сульфониламино)бутил]-пиперазин-1-ил}фенил)пропионамид |
1360 |
0 |
11 |
| 4-метил-N-[4-(4-пиридин-2-ил-пиперазин-1-ил)бутил]бензолсульфонамид |
10 |
81 |
63 |
| HCl-соль 4-метил-N-[4-(4-пиридин-2-ил-пиперазин-1-ил)бутил]-бензолсульфонамида |
7,7 |
80 |
72 |
| 1-(2-метоксифенил)-4-[1-(толуол-4-сульфонил)-пиперидин-3-илметил]пиперазин |
9,2 |
74 |
57 |
| С-циклогексил-N-{4-[4-(2-метоксифенил)пиперазин-1-ил]бутил}метансульфонамид |
3,9 |
98 |
86 |
| HCl-соль С-циклогексил-N-{4-[4-(2-метоксифенил)пиперазин-1-ил]бутил}метансульфонамида |
3,2 |
98 |
87 |
| N-(3-{4-[4-(толуол-4-сульфониламино)бутил]-пиперазин-1-ил}фенил)ацетамид |
16 |
22 |
43 |
| HCl-соль N-(3-{4-[4-(толуол-4-сульфониламино)бутил]-пиперазин-1-ил}фенил)ацетамида |
6,8 |
10 |
15 |
| N-(3-{4-[4-(толуол-4-сульфониламино)бутил]-пиперазин-1-ил}фенил)пропионамид |
213 |
0 |
31 |
| HCl-соль (3-{4-[1-(4-фторбензолсульфонил)-пиперидин-4-илметил]пиперазин-1-ил}фенил)-диметиламина |
507 |
74 |
0 |
| HCl-соль 1-[1-(4-фтор-бензолсульфонил)-пиперидин-4-илметил]-4-пиридин-2-илпиперазина |
21 |
42 |
68 |
| HCl-соль С-циклогексил-N-{4-[4-(3-диметиламинофенил)-пиперазин-1-ил]бутил}-метансульфонамида |
110 |
85 |
25 |
| HCl-соль С-циклогексил-N-[4-(4-пиридин-2-ил-пиперазин-1-ил)бутил]метансульфонамида |
6,5 |
81 |
51 |
| HCl-соль N-(3-{4-[1-(4-фторбензолсульфонил)-пиперидин-4-илметил]пиперазин-1-ил}фенил)ацетамида |
13 |
49 |
<10 |
N-(3-{4-[4-(4-фтор-бензолсульфониламино)бутил] пиперазин-1-ил}фенил)ацетамид |
18 |
39 |
<10 |
| N-{3-[4-(4-циклогексилметансульфонил-аминобутил)пиперазин-1-ил]фенил}ацетамид |
5,1-11 |
<25 (Ki=1600 нМ) |
<10 |
| N-{3-[4-(1-циклогексилметансульфонилпиперидин-4-илметил)-пиперазин-1-ил]фенил}ацетамид |
10 |
13 |
<10 |
| {3-[4-(4-циклогексилметансульфонил-аминобутил)пиперазин-1-ил]фенил}амид циклопропанкарбоновой кислоты |
8,9 |
22 |
<10 |
| N-(3-{4-[1-(пропан-2-сульфонил)пиперидин-4-илметил]-пиперазин-1-ил}фенил)ацетамид |
112 |
<10% |
<10 |
| N-(3-{4-[4-(пропан-2-сульфониламино)бутил]-пиперазин-1-ил}фенил)ацетамид |
24 |
<10 |
12′ |
| N-{3-[4-(4-циклогексансульфониламино-бутил)пиперазин-1-ил]фенил}ацетамид |
40 |
<10 |
12 |
| N-(3-{4-[4-(циклогексилметансульфонил-метиламино)бутил]пиперазин-1-ил}фенил)ацетамид |
1,3 |
37 |
47 (Ki=616 нМ) |
| N-(3-{4-[4-(2-метилпропан-1-сульфониламино)бутил]пипера-зин-1-ил}фенил)ацетамид |
11 |
5 |
0 |
| HCl-соль N-(3-пиперазин-1-илфенил)ацетамида |
2,9 |
0 |
35 |
| HCl-соль (3-пиперазин-1-илфенил)амида циклопропанкарбоновой кислоты |
4,6 |
0 |
14 |
Для дополнительного подтверждения применимости соединений настоящего изобретения в качестве агонистов 5-НТ, например агонистов 5-НТ1А, арилпиперазинилсульфонамидное соединение настоящего изобретения: N-{3-[4-(4-циклогексилметансульфониламино)бутил]пиперазин-1-ил]фенил}ацетамид (“соединение А”) оценивали на лабораторных животных в нескольких стандартных тестах, описанных ниже.
Пример 40
Активность репрезентативного арилпиперазинилсульфонамидного соединения in vivo – оценка тревожного состояния и двигательной активности
В этом эксперименте, соединение настоящего изобретения, N-{3-[4-(4-циклогексилметансульфониламинобутил)пиперазин-1-ил]фенил}ацетамид-HCl (“соединение А”) оценивали на мышах в животной модели тревожного состояния и двигательной активности. Эффект этого соединения исследовали после перорального введения ударной дозы. Соединение А, перорально введенное мышам, давало эффект, подобный действию анксиолитиков, который был определен по поведенческим и физиологическим признакам путем проведения теста “возвышение плюс лабиринт” и теста на индуцированную стрессом гипертермию, соответственно. Самая высокая доза соединения А (то есть 20 мг/кг) была эффективна в тесте на индуцированную стрессом гипертермию, тогда как более низкая доза (то есть 3 мг/кг) была эффективна в тесте “возвышение плюс лабиринт”. Это позволяет предположить, что различные дозы данного соединения могут быть направлены на различные аспекты индуцированного стрессом тревожного состояния.
В отличие от известных соединений, хлордиазепоксида и буспирона, соединение А, в основном, не влияло на двигательную активность, на что указывало отсутствие эффекта в тесте “открытое поле”, а также в тесте “возвышение плюс лабиринт”, что позволяет предположить, что соединение А имеет предпочтительный профиль действия в этих моделях.
Материалы и методы
Животные
В тесте “возвышение плюс лабиринт” использовали молодых взрослых самцов мышей С57BI6/J из лаборатории Джексона (Jackson Laboratory, Bar Harbor, Maine); в тестах на индуцированную стрессом гипертермию, в тестах “открытое поле” и в тестах подвешивания за хвост использовали мышей 129svev из Taconic, Germantown, NY, а в тесте “принудительного плавания” использовали мышей DBA/2J из лаборатории Джексона (Jackson Laboratory, Bar Harbor, Maine). Все полученные мыши имели возраст 6 недель, и каждой из них был присвоен индивидуальный идентификационный номер. Мышей помещали в поликарбонатные клетки с фильтром в верхней части, по 4 животных на клетку, при этом номер на хвосте животных сохраняли для их идентификации в клетках. Животных оставляли на 7 дней для акклиматизации и обеспечивали свободный доступ к воде и питью. До начала эксперимента мышей в возрасте 8 недель обследовали для того, чтобы убедиться в их адекватном состоянии здоровья и пригодности для исследований. В процессе исследования, в клетках поддерживали цикл смены дня и ночи: 12 часов – день/12 часов – ночь, при этом день начинался в 7:00 а.m. Комнатную температуру поддерживали при 20-23°С, а относительную влажность поддерживали в пределах 30%-70%. При этом обеспечивался свободный доступ к пище и воде.
В каждом тесте животных произвольно распределяли по группам обработки и в каждую клетку помещали одинаковое число животных. Для каждой группы обработки использовали десять животных. До проведения экспериментов, мышей, предназначенных для теста “открытое поле” и для теста на индуцированную стрессом гипертермию, ежедневно подвергали приручению в течение 2 дней подряд. Мышей, предназначенных для экспериментов “возвышение плюс лабиринт”, не подвергали приручению для увеличения уровня стресса во время эксперимента.
Дозированные средства
Для этих экспериментов использовали следующие соединения:
Тестируемое соединение:
HCl-соль N-{3-[4-(4-циклогексилметансульфониламинобутил)пиперазин-1-ил]фенил}ацетамида (“Соединение А”) (1, 3 и 20 мг/кг)(Lot # DC-006-022-L2, C23H38N4O3S2HCl, дозы выражены в миллиграммах (мг) соли).
Стандартные соединения:
Буспирон (3, 10 и 20 мг/кг, Sigma, Lot # 101H0402)
Гидрохлоридная соль сертралина (5, 20 мг/кг, любезно предоставленная Pfizer CP-51,974-01, Lot # 047451-029-19)
Хлордиазепоксид (CDP, 10 мг/кг, Sigma, Lot # 94H1023).
Все соединения растворяли в стерильной воде для инъекций, которая служила в качестве контроля-носителя. Все растворы получали в день начала экспериментов. Во всех тестах, соединение А вводили животным перорально (п.о.) в объеме 10 мл/кг; все стандартные известные соединения вводили животным внутрибрюшинно (i.p.), за исключением буспирона, который вводили перорально в тесте “возвышение плюс лабиринт” (ЕРМ) и в тесте “открытое поле” (OF). Во всех тестах, за исключением теста подвешивания за хвост (TS), дозированные средства вводили в ударной дозе, а в тесте TS, соединение А вводили один раз в день в течение 3 дней до начала теста (включая день испытаний). Во всех тестах соединения вводили животным за тридцать минут до испытаний, за исключением теста SIH, в котором соединения вводили животным за один час до испытаний.
Методы
Все эксперименты проводили при комнатной температуре и при световом дне, с 9:00 а.m. до 5:00 р.m. в течение 40 дней. Результаты регистрировали автоматически и обрабатывали на микрокомпьютере либо обрабатывали вручную на бланке индивидуальных данных, расшифровывали и проверяли по пунктам.
Тест “возвышение плюс лабиринт” (ЕРМ)
Тест “возвышение плюс лабиринт” представляет собой тест, обычно используемый для оценки тревожных состояний у грызунов. Лабиринт состоял из двух закрытых коридоров (длина х ширина х высота: 15 см х 6 см х 30 см) и двух открытых коридоров (ширина 6 см и длина 30 см), которые при пересечении образуют квадратную центральную платформу (6х6 см). Грызуны по своей природе боятся открытых пространств и большую часть времени стремятся проводить в закрытых коридорах. Анксиолитики снимают этот страх открытых пространств и увеличивают время, проводимое животным в открытых коридорах. Все видимые поверхности были изготовлены из черного акрила. Каждый коридор лабиринта был помещен на опорную стойку, расположенную на высоте 50 см от пола. Над открытыми коридорами, интенсивность света составляла 100 люкс, а над закрытыми коридорами 70 люкс. Животных помещали в экспериментальную камеру, по крайней мере, за 1 час до начала испытания в жилой клетке (со свободным доступом к пище и воде). Затем мышей помещали в центр устройства “возвышение плюс лабиринт” мордой к открытому коридору, и сразу проводили тест, один раз в течение 5 минут. Время нахождения животного в открытых/закрытых коридорах и число их переходов в открытые/закрытые коридоры регистрировали видиокамерой и эти данные использовали как меру тревожного состояния. После проведения теста мышей возвращали в жилые клетки, а затем в групповую клетку.
Индуцированная стрессом гипертермия (SIH)
В естественных условиях, у мышей в ответ на стресс повышается температура, и это явление было предложено использовать как меру тревожного состояния, индуцированного стрессом (Olivier, Zethof, Ronken & van der Heyden, European Journal of Pharmacology 342(2-3):177-82, 1998). Известно, что анксиолитики снижают этот гипертермический ответ на стресс. В этом тесте у каждого животного проводили два измерения ректальной температуры через интервал времени 10 минут. За день до проведения теста животных помещали в экспериментальную камеру за 1 час до выключения света по расписанию и держали поодиночке в этой камере в течение ночи со свободным доступом к пище и воде. Утром животным вводили первую инъекцию исследуемого соединения или носитель. Через 1 час после обработки животное вынимали из жилой клетки, помещали в положении лежа на спине и измеряли ректальную температуру с использованием ректального зонда, подсоединенного к термометру PhysiTemp (Fisher Scientific). Для каждого испытуемого животного ректальный зонд очищали тампоном, пропитанным спиртом и смазанным стерильным гелем K-Y, и медленно вводили в прямую кишку животного на глубину примерно 3-5 мм. Зонд оставляли в прямой кишке животного примерно на 5 с, или до тех пор, пока температура тела не стабилизировалась, при этом также регистрировали фоновую ректальную температуру (Т1). После этого животное сразу помещали в его жилую клетку, и через 10 минут проводили второе измерение ректальной температуры (Т2) в соответствии с процедурой, аналогичной измерению Т1. Затем животное возвращали в его жилую клетку и после завершения экспериментов животных возвращали в групповую клетку.
“Открытое поле” (OF)
Для измерения общей двигательной активности использовали систему мониторинга активности в тесте “открытое поле” (Med Associates, Inc.). Этот тест проводили при нормальном освещении (400 люкс). Мышей переносили в экспериментальную камеру и оставляли там, по крайней мере, на 1 час для акклиматизации. Через тридцать минут после обработки, каждую мышь помещали в закрытую камеру для тестирования (длина х ширина х высота: 27 см х 27 см х 20 см), снабженную источником инфракрасного излучения для автоматического мониторинга активности животных. При этом одновременно тестировали восемь животных из сбалансированной группы обработки. Сеанс испытаний продолжался 40 минут, и по окончании этого сеанса животных возвращали в их жилые клетки. Важными параметрами этого теста являются передвижение (общее расстояние, проходимое животным), подъем на задние лапы (вертикальная активность), число вхождений в центральную часть поля и время (в процентах), проводимое животным в центральной части OF-поля.
Статистические анализы
Все данные анализировали путем сравнения групп, обработанных тестируемым веществом, с группами, обработанными контролем-носителем или стандартным веществом. Статистический анализ проводили с помощью ANOVA, а затем, если это необходимо, проводили оценку с применением post-hoc критерия Фишера. Р<0,05 рассматривается как статистически значимое отличие. Данные представлены как среднее и стандартная ошибка среднего (ст. ош. ср.)
Результаты
Тест “возвышение плюс лабиринт”
Стандартное соединение CDP и тестируемое соединение А обладали действием, подобным действию анксиолитиков, как было установлено по увеличению времени пребывания животных в открытых коридорах и увеличению числа вхождений в открытые коридоры (фиг.1 и 2). Следует отметить, что на фиг.1, увеличение числа вхождений в открытые коридоры по сравнению с величинами, полученными для группы, обработанной носителем, является показателем анксиолитического эффекта. Сравнение группы обработки с группой, обработанной носителем (водой), давало *Р<0,05. ANOVA выявил значимый главный эффект для группы обработки (р=0,0029). PLSD Фишера для парного сравнения показал, что стандартное анксиолитическое соединение CDP, но не буспирон, способствовало значимому увеличению количества (в процентах) вхождений в открытые коридоры (р=0,011), и этот эффект соответствовал клиническим анксиолитическим эффектам CDP. Соединение А в дозе 3 мг/кг индуцировало значимый эффект, подобный действию анксиолитиков (р=0,039). Более высокие дозы соединения А (10 и 20 мг/кг) обнаруживали аналогичную тенденцию, но не достигали статистической значимости (р=0,279 и р=0,074 соответственно). На фиг.2 увеличение времени пребывания в открытых коридорах по сравнению с величинами, полученными для группы, обработанной носителем, является показателем анксиолитического эффекта. Сравнение группы обработки с группой, обработанной носителем (водой), давало *Р<0,05. ANOVA выявил значимый эффект для группы обработки (р=0,04). PLSD Фишера для парного сравнения показал, что стандартное анксиолитическое соединение CDP способствовало почти значимому увеличению времени пребывания в открытых коридорах (р=0,0554), тогда как буспирон не давал такого эффекта. Соединение А в дозе 3 мг/кг индуцировало анксиолитически значимый эффект (р=0,048). Более высокие дозы соединения А (10 и 20 мг/кг) обнаруживали аналогичную тенденцию, но не достигали статистической значимости (р=0,467 и р=0,543 соответственно).
Однако буспирон не продуцировал значимого анксиолитически подобного эффекта в ЕРМ. Такое отсутствие эффекта у буспирона было уже описано в литературе. Анксиолитическое действие соединения А было специфическим, поскольку указанное соединение не влияло на двигательную активность, как было установлено по отсутствию влияния на число вхождений животных в закрытые коридоры или на общее число вхождений в закрытые и в открытые коридоры (фиг.3 и 4). На фиг.3 сравнение группы обработки с группой, обработанной носителем (водой), давало *Р<0,05. ANOVA выявил значимый эффект для группы обработки (р=0,0028). PLSD Фишера для парного сравнения показал, что стандартное соединение буспирон в дозе 20 мг/кг, но не CDP и не соединение А, давало значимое число вхождений животных в закрытые коридоры (р=0,0012). На фиг.4 показано, что увеличение или снижение общего числа вхождений животных по сравнению с животными группы, обработанной носителем, является показателем повышенной или пониженной двигательной активности. Сравнение группы обработки с группой, обработанной носителем (водой), давало *р<0,05, **р<0,01. ANOVA выявил значимый главный эффект для группы обработки (р=0,0001). В соответствии с PLSD Фишера для парного сравнения был выявлен значимый эффект CDP по сравнению с носителем (р=0,021), что указывало на небольшое увеличение двигательной активности. Самая высокая доза буспирона (20 мг/кг) давала значимое снижение общего числа вхождений (р=0,0014). Соединение А не влияло на общее число вхождений.
Таким образом, в этом тесте соединение А не влияло на двигательную активность. Интересно отметить, что CDP продуцировало небольшое увеличение общего числа вхождений, тогда как самая высокая доза буспирона (20 мг/кг) приводила к снижению общего числа вхождений.
Индуцированная стрессом гипертермия
Стандартное соединение буспирон и соединение А обнаруживали дозозависимый анксиолитически подобный эффект, определенный по снижению гипертермического ответа при высокой тестируемой дозе (то есть 20 мг/кг). Этот эффект также сопровождался изменением базальной ректальной температуры (фигуры 5-6). Этот феномен может быть также ассоциирован с анксиолитически подобным профилем, который обычно наблюдается в клинических исследованиях с использованием анксиолитиков. На фигуре 5 сравнение группы обработки с группой, обработанной носителем (водой), давало *Р<0,05, **р<0,01. ANOVA выявил значимый эффект для группы обработки (р=0,0109). В соответствии с PLSD Фишера для парного сравнения было показано, что буспирон (20 мг/кг) давал значимое снижение (р=0,044) базальной ректальной температуры. Аналогичным образом, соединение А в дозе 20 мг/кг также давало значимое снижение (р=0,0023). Более низкая доза дозированного средства не давала значимых эффектов (р=0,808 и р=0,326 для 1 и 3 мг/кг соединения А соответственно). На фиг.6 показаны увеличение ректальной температуры у животных обработанных носителем (индуцированная стрессом гипертермия) и блокирующий эффект буспирона (20 мг/кг; Р<0,05 по сравнению с группой, обработанной носителем) и соединения А (20 мг/кг; Р<0,01 по сравнению с группой, обработанной носителем). ANOVA выявил значимый эффект для группы обработки (р=0,0009). В соответствии с PLSD Фишера для парного сравнения было показано, что буспирон (20 мг/кг) давал значимое снижение (р=0,024) индуцированной стрессом гипертермии. Аналогичным образом, соединение А в дозе 20 мг/кг также давало значимое снижение (р=0,0067). Более низкая доза дозированного средства не давала значимых эффектов (р=0,618 и р=0,2911 для 1 и 3 мг/кг соединения А соответственно).
Тест “открытое поле”
Соединение А не влияет на двигательную активность, как было измерено по общему расстоянию, проходимому животными (фиг.7), по числу вертикальных стоек (фигура 8) и расстоянию, проходимому по центральной части (фиг.9-11). На фигуре 7 интервалы между тестами (time bin) представляют собой 5-минутные интервалы при общем времени испытаний 40 минут. Гистограмма представляет собой суммарное общее расстояние, проходимое животными в течение периода времени 40 минут. Анализ ANOVA для повторных измерений не выявил значимого главного эффекта для группы обработки (р=0,2736). Однако для группы обработки была идентифицирована взаимосвязь “расстояние х обработка” (р<0,0001). В соответствии с PLSD Фишера для парного сравнения не было обнаружено какого-либо значимого отличия по сравнению с контрольной группой, обработанной водой. На фигуре 8 показано, что ANOVA не выявил какого-либо значимого эффекта для группы обработки (р=0,087). Соединение А, в любой дозе, не оказывало значимого влияния на вертикальную активность, в отличие от буспирона, который давал снижение числа вертикальных стоек. На фигуре 9 показано, что ANOVA не выявил какого-либо значимого главного эффекта для группы обработки (р=0,923). Эти результаты показали, что ни буспирон, ни соединение А не влияют на расстояние (%), проходимое животными в центре. На фигуре 10 показано, что ANOVA не выявил какого-либо значимого главного эффекта для группы обработки (р=0,834). Эти результаты показали, что ни буспирон, ни соединение А не влияют на время (%) передвижения животных по центру. На фигуре 11 интервалы между тестами представляют собой 5-минутные интервалы при общем времени испытаний 40 минут. Гистограмма представляет собой суммарное общее расстояние, проходимое животными в течение периода времени 40 минут. Анализ ANOVA для повторных измерений не выявил значимого главного эффекта для группы обработки (р=0,492) или взаимосвязи “время х обработка” (р=0,659). Эти результаты показали, что ни буспирон, ни соединение А не влияли на активность животного в пересечении зон (между периферией и центром).
Обсуждение
Результаты этих исследований были систематизированы в нижеприведенной таблице 2.
Таблица 2
| |
Соединение А |
| Тест |
станд. соединение |
|
| Возвышение плюс лабиринт |
CDP/буспирон |
3 мг/кг |
10 мг/кг |
20 мг/кг |
| Число вхождений в открытый коридор |
увеличено (CDP) |
увеличено |
без изменений |
без изменений |
| Время пребывания в открытом коридоре |
увеличено (CDP) |
увеличено |
без изменений |
без изменений |
| Число вхождений в закрытый коридор |
снижено (BUS,20) |
без изменений |
без изменений |
без изменений |
| Общее число вхождений |
увеличено (CDP) снижено (BUS,20) |
без изменений |
без изменений |
без изменений |
| Индуцированная стрессом гипертермия |
буспирон |
1 мг/кг |
3 мг/кг |
20 мг/кг |
| Базальная ректальная температура |
пониженная |
без изменений |
без изменений |
пониженная |
| Изменение температуры |
пониженная |
без изменений |
без изменений |
пониженная |
| Открытое поле |
буспирон |
1 мг/кг |
3 мг/кг |
20 мг/кг |
| Общее расстояние (горизонтальное) |
без изменений |
без изменений |
без изменений |
без изменений |
| Вертикальная активность (вертикальная стойка) |
снижение |
без изменений |
без изменений |
без изменений |
| Расстояние (%) в центре |
без изменений |
без изменений |
без изменений |
без изменений |
| Время (%) в центре |
без изменений |
без изменений |
без изменений |
без изменений |
| Частота пересекания зон |
без изменений |
без изменений |
без изменений |
без изменений |
В условиях экспериментов, проводимых авторами настоящего изобретения, соединение А, перорально введенное мышам, обнаруживало эффект, подобный действию анксиолитиков, который был определен по поведенческим и физиологическим признакам в тесте “возвышение плюс лабиринт” и в тесте на индуцированную стрессом гипертермию. Самая высокая доза соединения А (то есть 20 мг/кг) была эффективна в отношении индуцированной стрессом гипертермии, тогда как более низкая доза (то есть 3 мг/кг) была эффективна в тесте “возвышение плюс лабиринт”. Это позволяет предположить, что различные дозы данного соединения могут быть направлены на различные аспекты индуцированного стрессом тревожного состояния. В других исследованиях, проводимых в конкретных условиях, например, в тесте подвешивания за хвост или в тесте принудительного плавания было выявлено, что соединение А не обладало явными антидепрессивными свойствами.
В противоположность известным соединениям, хлордиазепоксиду и буспирону, соединение А, в основном, не влияло на двигательную активность, на что указывало отсутствие эффекта в тесте “открытое поле”, а также в тесте “возвышение плюс лабиринт”, что позволяет предположить, что соединение А может обнаруживать предпочтительный профиль действия у этих моделей.
Все полученные результаты дают основание предполагать, что соединение А обладает заметным анксиолитически подобным действием в используемых экспериментальных условиях.
Пример 41
Активность репрезентативного арилпиперазинилсульфонамидного соединения in vivo – оценка на двигательную гиперактивность
В этом эксперименте соединение настоящего изобретения, N-{3-[4-(4-циклогексилметансульфониламино)бутил]пиперазин-1-ил]фенил}ацетамид-HCl (“соединение А”), вводимое перорально в дозах 1 и 20 мг/кг снижало двигательную гиперактивность, наблюдаемую у мышей Coloboma. Этот эффект был аналогичен эффекту, наблюдаемому с использованием d-амфетамина. В целом полученные данные позволяют предположить, что в данных экспериментальных условиях соединение А может нормализовать гиперактивность.
Мыши-мутанты Coloboma рассматриваются как животные с моделью расстройства, выражающегося в дефиците внимания (ADHD), обусловленного высоким уровнем спонтанной гиперактивности. Действительно, синдромы гиперактивности наблюдаются у большого числа детей, у которых была диагностирована неспособность к обучению, а поэтому особое внимание следует обратить на причину такой гиперактивности у детей и на ее лечение.
Мыши-мутанты Coloboma обнаруживали высокую спонтанную двигательную гиперактивность, обусловленную делеционной мутацией. Эта делеция охватывает несколько генов, включая ген Snap, который кодирует белок SNAP-25, то есть белок нервного окончания, участвующий в высвобождении нейромедиаторов. В 1996 г. Гесс и др. продемонстрировали, что амфетамин, то есть используемое в медицине средство, которое нормализует гиперактивность, наблюдаемую у детей с ADHD, заметно снижает двигательную активность у мышей Coloboma, но увеличивает активность у контрольных мышей. При введении мышам линии Coloboma трансгена, кодирующего белок SNAP-25, в целях комплементации делеции гена Snap, гиперактивность, экспрессируемая у этих мышей, была устранена, в результате чего, у этих мышей наблюдались нормальные уровни двигательной активности. Милл и др. (Mill et al., 2002) в исследовании на сцепление генов, также продемонстрировали, что SNAP-25 может играть определенную роль в генетической этиологии ADHD, хотя для подтверждения или опровержения этой гипотезы требуются дополнительные исследования. В целом эти результаты подтвердили, что мыши Coloboma могут быть использованы в качестве модели для имитации гиперактивности у грызунов.
В этом эксперименте эффект соединения А был исследован после его “острого” перорального введения. Мышам Coloboma вводили три дозы тестируемого соединения, и их спонтанную активность измеряли путем проведения теста “открытое поле”. В качестве позитивного контроля использовали d-амфетамин.
Материалы и методы
Животные
Мыши, используемые в настоящем исследовании, представляют собой потомство, полученное при скрещивании пар (С3Н/HeSnj-Cm), закупленных в Лаборатории Джексона (Jackson Laboratory, Bar Harbor, Maine). Из 48 тестируемых мышей 22 мыши были самцами, а 26 мышей были самками в возрасте примерно 12-20 недель. Этих животных отлучали от матки в возрасте 21 день и помещали в клетки по 2-4 животных одного помета на клетку, где поддерживались стандартные условия содержания животных. В групповой клетке животных поддерживался цикл смены дня и ночи: 12 часов – день/12 часов – ночь, где световой день начинался с 7:00 а.m. Температуру поддерживали при 20-23°С, а относительную влажность поддерживали в пределах 30-70%. При этом животным обеспечивался свободный доступ к пище и воде.
Лекарственные средства
Для этих экспериментов использовали следующие соединения:
Тестируемое соединение:
HCl-соль N-{3-[4-(4-циклогексилметансульфониламинобутил)пиперазин-1-ил]фенил}ацетамида (“Соединение А”) (1, 3 и 20 мг/кг) (Lot # DC-006-022-L2, C23H38N4O3S2HCl, дозы выражены в миллиграммах (мг) соли).
Стандартные соединения:
d-амфетамин (4 мг/кг, Sigma, Lot # 60К1909).
Все соединения растворяли в стерильной воде для инъекций, которая служила в качестве контроля-носителя. Все растворы получали в день начала экспериментов. Во всех тестах, соединение А, а также его носитель (вода) вводили животным перорально (п.о.) в объеме 10 мл/кг, все стандартные известные соединения вводили животным внутрибрюшинно (i.p.). Соединение А и носитель вводили животным за тридцать минут до испытаний, а d-амфетамин (AMPH) вводили животным за 15 минут до испытаний.
Методы
Все эксперименты с животными проводили в течение двух дней подряд при световом дне, с 10:00 а.m. до 5:00 р.m. ежедневно. Мышей разделяли на пять групп обработки, в которых они были равномерно распределены по полу и возрасту и дням проведения испытаний. В каждой группе находилось по 10 животных. Результаты регистрировали автоматически и обрабатывали на микрокомпьютере.
Для измерения общей двигательной активности использовали систему мониторинга активности в тесте “открытое поле” (Med Associates, Inc.). Этот тест проводили при нормальном освещении (400 люкс). Затем мышей переносили в экспериментальную камеру и оставляли, по крайней мере, на 1 час для акклиматизации, а затем вводили дозированные средства. После введения дозированного средства (то есть через 30 минут после введения соединения А или носителя и через 15 минут после введения d-амфетамина), каждую мышь помещали в закрытую тест-камеру (длина х ширина х высота: 27 см х 27 см х 20 см), снабженную источником инфракрасного излучения для автоматического мониторинга активности животных. Затем одновременно тестировали восемь животных из сбалансированных групп обработки. Сеанс испытаний продолжался 40 минут, и по окончании этого сеанса животных возвращали в жилые клетки. Важным параметром этого теста является расстояние, проходимое животными.
Статистические анализы
Все данные анализировали путем сравнения групп, обработанных тестируемым веществом, с группами, обработанными контролем-носителем или стандартным веществом. Статистический анализ проводили с помощью ANOVA, а затем, если это необходимо, проводили оценку с применением post-hoc критерием Фишера. Р<0,05 рассматривалось как статистически значимое отличие. Данные представлены как среднее и стандартная ошибка среднего (ст. ош. ср.)
Результаты
Амфетамин вызывал значимое снижение двигательной активности по сравнению с группой, обработанной носителем. В целом, соединение А также давало значимое снижение уровня активности. Анализ post-hoc показал, что эффект соединения А отличался от эффекта носителя только при дозах 1 и 20 мг/кг соединения А.
Интервалы времени между тестами представляют собой 5-минутные интервалы при общем времени испытаний 40 минут. Гистограмма представляет собой суммарное общее расстояние, проходимое животными в течение периода времени 40 минут. Сравнение групп обработки с контрольными животными, обработанными водой, давало *р<0,05.
Обсуждение
Исходя из вышеуказанных данных, можно сделать вывод, что соединение А, перорально вводимое мышам в дозах 1 и 20 мг/кг, снижало двигательную гиперактивность. Этот эффект был аналогичен эффекту, наблюдаемому с использованием d-амфетамина.
Как было продемонстрировано в примере 3, соединение А не оказывает заметного влияния на общую двигательную активность, на что указывало отсутствие какого-либо эффекта в тесте “возвышение плюс лабиринт и в тесте “открытое поле” с нормальными мышами С57B16/J и 129 svev соответственно. Поэтому, маловероятно, что эффект соединения настоящего изобретения был связан с его неспецифическим седативным действием.
В целом, эти результаты дают основание предполагать, что соединение А приводит к нормализации гиперактивности в используемых экспериментальных условиях, а поэтому, очевидно, что это соединение может быть полезным в качестве дозированного средства для лечения расстройства, характеризующегося дефицитом внимания, связанного с гиперактивностью, такого как ADD и ADHD.
Вышепривиденные примеры продемонстрировали возможность применения соединений настоящего изобретения в качестве агонистов 5-НТ и их предполагаемую эффективность в лечении вышеуказанных состояний, например тревожных состояний ADD и ADHD.
Эквиваленты
Для каждого специалиста очевидно, что в описанные здесь конкретные процедуры могут быть внесены многочисленные эквивалентные модификации, и каждый специалист может самостоятельно внести такие модификации путем не более чем рутинного экспериментирования. При этом считается, что такие эквиваленты входят в объем настоящего изобретения и охватываются приведенной ниже формулой изобретения. В настоящее изобретение могут быть внесены различные замены, альтерации и модификации, не выходящие за рамки существа и объема настоящего изобретения, определенного в нижеследующей формуле изобретения. В объем настоящего изобретения также входят и другие аспекты, преимущества и варианты настоящего изобретения. Содержание всех работ, выданных патентов и опубликованных патентных заявок, цитируемых в настоящей заявке, вводится в настоящее описание посредством ссылки. Для осуществления настоящего изобретения и его вариантов могут быть выбраны соответствующие компоненты, процедуры и методы, описанные в указанных патентах, заявках и других документах.
Формула изобретения
1. Соединение, имеющее формулу

где R1 представляет собой незамещенный алкил или циклоалкил;
R2 и R3 независимо представляют собой водород; низший алкил; циклоалкил; или -NR4R5, где R4 и R5 независимо представляют собой Н, О, R6 или COR6, где R6 может представлять собой низший алкил или сульфонамидоалкил; при условии, что R2 и R3, оба, не являются водородом;
атомы, обозначенные связанными пунктирной линией, взятые вместе с атомами, к которым они присоединены, могут образовывать шестичленное кольцо;
Z представляет собой N или С;
m равно 0, 1 или 2;
n равно 1, 2, 3, 4, 5 или 6;
p равно 0, 1, 2, 3 или 4;
и его фармацевтически приемлемые соли и/или сложные эфиры.
2. Соединение по п.1, где оба атома Z представляют собой С.
3. Соединение по п.1, где оба атома Z представляют собой С;
R2 представляет собой нитро, NHCO-алкил или аминоалкил; а R3 представляет собой Н.
4. Соединение по п.3, где указанным NHCO-алкилом является NHCO-низший алкил.
5. Соединение по п.4, где указанным NHCO-низшим алкилом является NHCO-(СН3), NHCO-(СН2СН3), NHCO-(СН2СН2-СН3) или NHCO-CH(CH2)2.
6. Соединение по п.3, где R2 находится в мета-положении.
7. Соединение по п.1, где указанным низшим алкилом является (C1-C4).
8. Соединение по п.1, где указанным циклоалкилом является циклогексил.
9. Соединение по п.1, где R1 представляет собой н-бутил, втор-бутил, изобутил или циклоалкил.
10. Соединение по п.9, где указанным циклоалкилом является циклогексил.
11. Соединение по п.1, где m равно 0.
12. Соединение по п.1, где n равно 3 или 4.
13. Соединение по п.1, где указанное соединение представляет собой антагонист 5-НТ1A-рецептора.
14. Фармацевтическая композиция, содержащая соединение по п.1 в количестве, эффективном для лечения тревожного состояния, и фармацевтически приемлемый носитель.
15. Фармацевтическая композиция, содержащая соединение по п.1 в количестве, эффективном для лечения гиперактивности или расстройства дефицита внимания, связанного с гиперактивностью, и фармацевтически приемлемый носитель.
16. Применение соединения по п.1 при производстве лекарственного средства для модуляции 5-HT1A-рецептора.
17. Применение соединения по п.1 при производстве лекарственного средства для лечения тревожного состояния.
18. Применение соединения по п.1 при производстве лекарственного средства для лечения гиперактивности или расстройства дефицита внимания, связанного с гиперактивностью.
19. Соединение, выбранное из группы, включающей
4-метил-N-{4-[4-(3-нитрофенил)пиперазин-1-ил]бутил}бензолсульфонамид;
HCl-соль 4-метил-N-{4-[4-(3-нитрофенил)пиперазин-1-ил]бутил}бензолсульфонамида;
N-(3-{4-[4-(толуол-4-сульфониламино)бутил]пиперазин-1-ил}фенил)бутирамид;
2,2-диметил-N-(3-{4-[4-(толуол-4-сульфониламино)бутил]пиперазин-1-ил}фенил)пропионамид;
N-(3-{4-[4-(толуол-4-сульфониламино)бутил]пиперазин-1-ил}фенил)изобутирамид
N-{4-[4-(3-этансульфониламинофенил)пиперазин-1-ил]бутил}-4-метилбензолсульфонамид;
4-метил-N-(4-{4-[3-(пропан-2-сульфониламино)фенил]пиперазин-1-ил}бутил)бензолсульфонамид;
4-метил-N-{4-[4-(3-нитрофенил)пиперазин-1-ил]бутил}бензолсульфонамид;
4-метил-N-[4-(4-пиридин-2-ил-пиперазин-1-ил)-бутил]бензолсульфонамид;
N-{4-[4-(2-метокси-5-нитрофенил)пиперазин-1-ил]бутил}-4-метилбензолсульфонамид;
4-метил-N-[4-(4-пиримидин-2-илпиперазин-1-ил)бутил]бензолсульфонамид;
N-{4-[4-(3-метоксифенил)пиперазин-1-ил]бутил}-4-метилбензолсульфонамид;
N-{4-[4-(3-этансульфониламинофенил)пиперазин-1-ил]бутил}-4-метилбензолсульфонамид;
N-{4-[4-(3-метансульфониламинофенил)-пиперазин-1-ил]бутил}-4-метилбензолсульфонамид;
4-метил-N-{4-[4-(3-пиразин-2-илфенил)пиперазин-1-ил]бутил}бензолсульфонамид;
N-[4-(4-бифенил-3-илпиперазин-1-ил)бутил]-4-метилбензолсульфонамид;
4-метил-N-[4-(4-фенилпиперазин-1-ил)бутил]бензолсульфонамид;
1-циклогексил-N-{4-[4-(2-метоксифенил)метоксифенил)пиперазин-1-ил]бутил}метансульфонамид;
N-(3-{4-[4-(толуол-4-сульфониламино)бутил]пиперазин-1-ил}фенил)пропионамид;
(3-{4-[1-(4-фторбензолсульфонил)пиперидин-4-илметил]пиперазин-1-ил}фенил)диметиламин;
1-[1-(4-фторбензолсульфонил)пиперидин-4-илметил]-4-пиридин-2-илпиперазин;
1-циклогексил-N-{4-[4-(3-диметиламинофенил)пиперазин-1-ил]бутил} метансульфонамид;
N-(3-{4-[1-(4-фторбензолсульфонил)пиперидин-4-илметил]пиперазин-1-ил}фенил)ацетамид;
N-(3-{4-[4-(4-фторбензолсульфониламино)бутил]пиперазин-1-ил}фенил)ацетамид; и
1-(2-метоксифенил)-4-[1-(толуол-4-сульфонил)пиперидин-3-илметил]пиперазин;
или их фармацевтически приемлемые соли и/или сложные эфиры.
20. Соединение, имеющее формулу

где R1 представляет собой незамещенный алкил или циклоалкил;
R2 представляет собой низший алкил; циклоалкил; или -NR4R5, где R4 и R5 независимо представляют собой Н, О, R6 или COR6, где R6 может представлять собой низший алкил или сульфонамидоалкил;
атомы, обозначенные связанными пунктирной линией, взятые вместе с атомами, к которым они присоединены, могут образовывать шестичленное кольцо;
Z представляет собой N или С;
m равно 0;
n равно 1, 2, 3 или 4; и
p равно 0 или 1;
и его фармацевтически приемлемые соли и/или сложные эфиры.
21. Соединение по п.20, где оба атома Z представляют собой С; R2 представляет собой нитро, NHCO-алкил или аминоалкил.
22. Соединение по п.21, где указанным NHCO-алкилом является NHCO-низший алкил.
23. Соединение по п.22, где указанным NHCO-низшим алкилом является NHCO-(СН3), NHCO-(СН2СН3), NHCO-(СН2СН2-СН3) или NHCO-СН(СН2)2.
24. Соединение по п.21, где R2 находится в мета-положении.
25. Соединение по п.20, где указанным низшим алкилом является (C1-C4).
26. Соединение по п.20, где указанным циклоалкилом является циклогексил.
27. Соединение по п.20, где R1 представляет собой н-бутил, втор-бутил, изобутил или циклоалкил.
28. Соединение по п.27, где указанным циклоалкилом является циклогексил.
29. Соединение по п.20, где n равно 3 или 4.
30. Соединение по п.20, где p равно 1.
31. Соединение по п.20, где указанное соединение представляет агонист 5-НТ1А-рецептора.
32. Соединение, выбранное из группы, включающей
(3-{4-[4-(толуол-4-сульфониламино)бутил]пиперазин-1-ил}фенил)амид циклопропанкарбоновой кислоты;
N-(3-{4-[4-(толуол-4-сульфониламино)бутил]пиперазин-1-ил}фенил)ацетамид;
N-{3-[4-(4-циклогексилметансульфониламинобутил)пиперазин-1-ил]фенил}ацетамид;
N-{3-[4-(1-циклогексилметансульфонилпиперидин-4-илметил)пиперазин-1-ил]фенил}ацетамид;
{3-[4-(4-циклогексилметансульфониламинобутил)пиперазин-1-ил]фенил}амид циклопропанкарбоновой кислоты;
N-(3-{4-[1-(пропан-2-сульфонил)пиперидин-4-илметил]пиперазин-1-ил}фенил)ацетамид;
N-(3-{4-[4-(пропан-2-сульфониламино)бутил]пиперазин-1-ил}фенил)ацетамид;
N-{3-[4-(4-циклогексансульфониламинобутил)пиперазин-1-ил]фенил}ацетамид;
N-(3-{4-[4-(циклогексилметансульфонилметиламино)-бутил]пиперазин-1-ил} фенил)ацетамид;
N-(3-{4-[4-(2-метилпропан-1-сульфониламино)бутил]пиперазин-1-ил}фенил)ацетамид;
N-[3-(4-{4-[метил-(2-метилпропан-1-сульфонил)амино]бутил}пиперазин-1-ил)фенил]ацетамид;
N-(3-пиперазин-1-илфенил)ацетамид;
(3-пиперазин-1-илфенил)амид циклопропанкарбоновой кислоты;
или их фармацевтически приемлемые соли и/или сложные эфиры.
33. Фармацевтическая композиция, содержащая соединение по п.20 в количестве, эффективном для лечения тревожного состояния, и фармацевтически приемлемый носитель.
34. Фармацевтическая композиция, содержащая соединение по п.20 в количестве, эффективном для лечения гиперактивности или расстройства дефицита внимания, связанного с гиперактивностью, и фармацевтически приемлемый носитель.
35. Применение одного или более соединений по п.20 при производстве лекарственного средства для модуляции 5-НТ1А-рецептора.
36. Применение одного или более соединений по п.20 при производстве лекарственного средства для лечения тревожного состояния.
37. Применение одного или более соединений по п.20 при производстве лекарственного средства для лечения гиперактивности или расстройства дефицита внимания, связанного с гиперактивностью.
38. Применение соединения по п.1 или 20 при производстве лекарственного средства для лечения депрессии.
39. Применение соединения формулы III при производстве лекарственного средства для лечения депрессии, где формула III является следующей:
,
включая его фармацевтически приемлемые соли.
40. Применение по п.39, где указанное соединение представляет собой
.
41. Соединение по п.21, где R2 представляет собой NHCO-алкил.
42. Соединение по п.41, где R1 представляет собой циклоалкил.
43. Соединение по п.42, где n равно 4, и p равно 1.
44. Соединение по п.43, где указанное соединение представляет собой соль хлористоводородной кислоты.
45. Фармацевтическая композиция, содержащая соединение по п.1 или 20 и фармацевтически приемлемый носитель.
46. Фармацевтическая композиция по п.45, дополнительно включающая антидепрессант, антипсихотическое средство или транквилизатор.
47. Соединение формулы
,
включая его фармацевтически приемлемые соли.
48. Соединение по п.47, где указанное соединение представляет собой гидрохлоридную соль.
49. Соединение по п.47, где указанное соединение представляет собой
.
50. Соединение по п.47, где указанное соединение представляет собой

РИСУНКИ
MM4A – Досрочное прекращение действия патента СССР или патента Российской Федерации на изобретение из-за неуплаты в установленный срок пошлины за поддержание патента в силе
Дата прекращения действия патента: 03.02.2009
Извещение опубликовано: 27.07.2010 БИ: 21/2010
|
|