Патент на изобретение №2339622
|
|||||||||||||||||||||||||||||||||||||||||||||||||||||||||||||||||||||||||||||||||||||||||||||||||||||||||||||||||||||||||||||||||||||||||||||||||||||||||||||||||||||||||||||||||||||||||||||||||||||||||||||||||||||||||||||||||||||||||||||||||||||||||||||||||||||||||||||||||||||||||||||||||||||||||||||||||||||||||||||
(54) НОВЫЕ КОМПОЗИЦИИ, СОДЕРЖАЩИЕ ХИНОЛИНОВЫЕ СОЕДИНЕНИЯ
(57) Реферат:
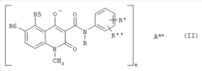
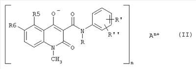
Изобретение относится к новой кристаллической соли формулы (II) где n представляет собой целое число 2 или 3; Аn+ представляет собой поливалентный катион металла, выбранный из Mg2+, Са2+, Mn2+, Cu2+, Zn2+, Al3+ и Fe3+; R представляет собой линейный или разветвленный С1-С4-алкил или -алкенил или циклический С3-С4-алкил; R5 представляет собой линейный или разветвленный, насыщенный или ненасыщенный С1-С4-алкил или -алкенил, циклический С3-С4-алкил, линейный или разветвленный С1-С4-алкилтио, циклический С3-С4-алкилтио, линейный или разветвленный С1-С4-алкилсульфинил, циклический С3-С4-алкилсульфинил, фтор-, хлор-, бром-, трифторметил или трифторметокси и R6 представляет собой водород; или R5 и R6 вместе представляют собой метилендиокси; R’ представляет собой водород, линейный или разветвленный, насыщенный или ненасыщенный С1-С4-алкил или -алкенил, циклический С3-С4-алкил, линейный или разветвленный С1-С4-алкокси, циклический С3-С4-алкокси, фтор-, хлор-, бром- или трифторметил; и R” представляет собой водород, фтор- или хлор- при условии, что R” представляет собой фтор- или хлор- только в том случае, если R’ представляет собой фтор- или хлор-. Изобретение также относится к стабильной твердой фармацевтической композиции, к способам стабилизации соли формулы (II), а также к способу получения кристаллической соли формулы (II). Технический результат – получение новой кристаллической соли формулы (II), обладающей повышенной стабильностью. 6 н. и 12 з.п. ф-лы, 4 табл.
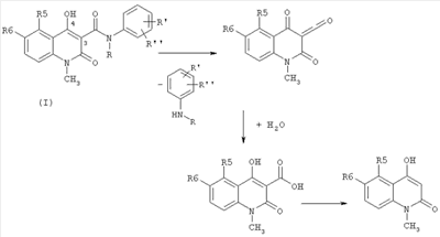
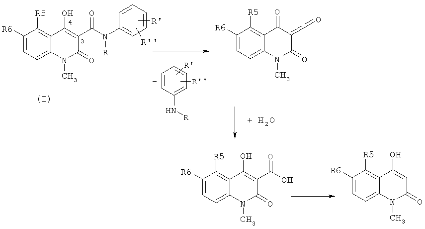
Область техники, к которой относится изобретение Настоящее изобретение имеет отношение к стабильным композициям, содержащим соль производного 3-хинолинкарбоксамида, к способам изготовления такой соли и способам изготовления твердой фармацевтической композиции с увеличенной стабильностью при длительном хранении при комнатной температуре. Уровень техники Производные 3-хинолинкарбоксамида раскрыты в американских патентах US Patent под номерами 4547511, 6077851, 6133285 и 6121287. Термин “производное 3-хинолинкарбоксамида”, используемый в этом описании, означает недиссоциированную кислотную форму, в дальнейшем называемую нейтральной формой, соединения формулы (I), то есть форму, представленную формулой (I). Неожиданно было обнаружено, что некоторые производные 3-хинолинкарбоксамида в нейтральной форме, раскрытые в американских патентах, указанных выше, в твердом состоянии подвержены химической деградации, в особенности, если они входят в состав фармацевтических композиций. Некоторые соли производных 3-хинолинкарбоксамида формулы (I) известны из указанных выше американских патентов. Однако ни одно из указанных выше патентных описаний не раскрывает доступного способа обеспечения производных 3-хинолинкарбоксамида формулы (I), подверженных деградации, в достаточно стабильной фармацевтической форме или даже не предполагает никаких преимуществ применения солевой формы производного 3-хинолинкарбоксамида в фармацевтической композиции. Раскрытие изобретения В соответствии с настоящим изобретением обеспечивается стабильная фармацевтическая композиция, которая содержит соль производного 3-хинолинкарбоксамида формулы (I) с одновалентным или поливалентным катионом, и способ получения указанной композиции. Способ включает создание капсулы или таблетки, содержащих соль производного 3-хинолинкарбоксамида и однородно распределенный щелочно-реакционный компонент, способный к нейтрализации любых протонов, диссоциирующих из эксципиентов, поддерживающий таким образом 3-хинолинкарбоксамид в форме соли формулы (II). Альтернативно, способ включает создание капсулы или таблетки, содержащих соль производного 3-хинолинкарбоксамида, труднорастворимую в воде, и соль двухвалентного металла, способную к понижению диссоциации соли формулы (II) на ионы. Щелочно-реакционный компонент настоящего изобретения типично представляет собой карбонат натрия, а соль с двухвалентным катионом металла типично представляет собой ацетат кальция. Твердая композиция настоящего изобретения включает фармацевтически приемлемые эксципиенты, такие как порошкообразные носители, связующие средства, дезинтегрирующие средства и смазывающие агенты. Кроме того, изобретение обеспечивает способ изготовления кристаллической соли производного 3-хинолинкарбоксамида формулы (I) с противоионом, который представляет собой поливалентный катион металла. Настоящее изобретение решает проблему тех производных 3-хинолинкарбоксамида, которые подвержены химической деградации в твердой фармацевтической композиции. Осуществление изобретения Некоторые производные 3-хинолинкарбоксамида в нейтральной форме, раскрытые в указанных выше американских патентах, подвержены химической деградации в твердом состоянии и, в особенности, если они входят в состав фармацевтических композиций. Основная цель настоящего изобретения состоит в преодолении этой проблемы стабильности. Решение указанной проблемы стабильности, предлагаемое настоящим изобретением, основано на удивительном и неожиданном открытии того, что форма в виде соли соединения формулы (I) обладает повышенной химической стабильностью по сравнению с нейтральной формой указанного соединения. Схема 1. Образование кетена Деградация соединений формулы (I) была внимательно изучена. Авторы настоящего изобретения показали, что анилиновая часть соединения формулы (I) неожиданно отщепляется, и образуется чрезвычайно реакционноспособный кетен. Кетен быстро реагирует, например, с соединениями ROH. При хранении без каких-либо специальных предосторожностей некоторые производные 3-хинолинкарбоксамида формулы (I) подвергаются деградации с неприемлемой скоростью. При хранении в ускоренных условиях распада, то есть при 40°С и относительной влажности около 75%, деградация некоторых производных 3-хинолинкарбоксамида может превышать 2% в течение 6 месяцев (таблица 1). Хотя скорость разложения производных 3-хинолинкарбоксамида формулы (I) в условиях нормального хранения ниже, тем не менее, желательно получить физическую форму производного 3-хинолинкарбоксамида, которая демонстрирует улучшенную стабильность. Удивительным и неожиданным образом было обнаружено, что производные 3-хинолинкарбоксамида формулы (I) после превращения в форму соли с одновалентным или поливалентным катионом металла формулы (II) обладают повышенной стабильностью по сравнению с соответствующей нейтральной формой 3-хинолинкарбоксамидов формулы (I): где n представляет собой целое число 1, 2 или 3; Аn+ представляет собой моно- или поливалентный катион металла, выбранный из Li+, Na+, К+, Mg2+, Са2+, Mn2+, Cu2+, Zn2+, Al3+ и Fe3+; R представляет собой линейный или разветвленный С1-С4-алкил или -алкенил или циклический С3-С4-алкил; R5 представляет собой линейный или разветвленный, насыщенный или ненасыщенный С1-С4-алкил или -алкенил, циклический С3-С4-алкил, линейный или разветвленный С1-С4-алкилтио, циклический С3-С4-алкилтио, линейный или разветвленный С1-С4-алкилсульфинил, циклический С3-С4-алкилсульфинил, фтор-, хлор-, бром-, трифторметил или трифторметокси и R6 представляет собой водород; или R5 и R6 вместе представляют собой метилендиокси; R’ представляет собой водород, линейный или разветвленный, насыщенный или ненасыщенный С1-С4-алкил или -алкенил или циклический С3-С4-алкил, линейный или разветвленный С1-С4-алкокси, циклический С3-С4-алкокси, фтор-, хлор-, бром- или трифторметил и R” представляет собой водород, фтор- или хлор- при условии, что R” представляет собой фтор- или хлор-, только если R’ представляет собой фтор- или хлор-. В предпочтительную группу солей 3-хинолинкарбоксамидов формулы (II) входят те, где Аn+ является Li+, Na2 и Са2+. В другую предпочтительную группу солей 3-хинолинкарбоксамида формулы (II) входят те соли, которые труднорастворимы в воде, включая соли Са2+, Zn2+ и Fe3+. Соль формулы (II) 3-хинолинкарбоксамида получают с помощью реакции 3-хинолинкарбоксамида формулы (I) с солью моно- или поливалентного металла. Примеры таких солей и условия реакции приведены ниже. В общих чертах, растворимость в воде солей формулы (II) выше у солей с моновалентными катионами, например натриевой или калиевой соли, чем у солей с поливалентными катионами, например кальциевой, цинковой медной (II) или железной (III) соли. В качестве примера, натриевые соли легко растворимы в воде, но они обладают ограниченной растворимостью в менее полярных растворителях, например в хлороформе. В противоположность этому, соль железа (III) почти нерастворима в воде, но обладает высокой растворимостью в хлороформе и низкой растворимостью в метаноле. При использовании исключительно водного растворителя для осаждения поливалентной соли, например кальциевой соли формулы (II), может образоваться аморфный осадок из-за его очень низкой растворимости в воде. Однако при повышении температуры и добавлении смешиваемого с водой органического растворителя, например, этанола, в котором соль до некоторой степени имеет более высокую, но все еще ограниченную растворимость, может выпасть в осадок кристаллическое соединение. Чтобы гарантировать получение кристаллических соединений, предпочтительно используют смесь воды и этанола, содержащую 10-95% этанола. В таких смесях размер частиц в осадке зависит от температуры реакции, более высокая температура ведет к образованию более крупных кристаллов. Температура реакции может варьироваться от 0°С до температуры дефлегмации. Альтернативно, кристаллическую соль можно получить из аморфной соли с помощью смешивания с растворителем, в котором кристаллическое соединение имеет ограниченную растворимость, как показано в примерах 4 и 7. Стабильность при хранении соединения формулы (II) значительно улучшена. Это очевидно из сравнения N-этил-N-фенил-5-хлор-1,2-дигидро-4-гидрокси-1-метил-2-оксо-3-хинолинкарбоксамида (названного в дальнейшем соединением А) с натриевой солью N-этил-N-фенил-5-хлор-1,2-дигидро-4-гидрокси-1-метил-2-оксо-3-хинолинкарбоксамида (названной в дальнейшем натриевой солью соединения А). В то время как при 40°С и относительной влажности 75% менее чем 0,01% натриевой соли соединения А в твердом состоянии превращается в продукты деградации за период в 24 месяца, 0,31% соединения А разрушается в течение периода в 6 месяцев. Другим примером производного 3-хинолинкарбоксамида, подверженного деградации, является N-этил-N-фенил-5-этил-1,2-дигидро-4-гидрокси-1-метил-2-оксо-3-хинолинкарбоксамид (названный в дальнейшем соединением В), смотри таблицу 1.
Как правило, любая тенденция к нестабильности усиливается, если соединение формулы (II) смешивают в композицию с различными эксципиентами. Это подтверждено результатами изучения совместимости, сравнивающими соединение А с натриевой солью соединения А, приведенными в таблице 2. Ясно, что форма в виде соли является предпочтительной в качестве лекарственной субстанции в любой двойной смеси указанного соединения.
Указанная натриевая соль при включении в традиционную твердую фармацевтическую композицию, однако все еще разрушается с неприемлемой скоростью с уровнем продуктов деградации, превышающим 5% за 6 месяцев при хранении при +40°С и относительной влажности около 75% (таблица 3). Такой уровень считается проблематичным. Считают, что приемлемый уровень деградации в этих условиях составляет менее чем 0,5% разрушения после 6 месяцев хранения. Этот предел считают показательным для хранения в течение 3 лет при комнатной температуре. С другой стороны, традиционная твердая фармацевтическая композиция с щелочно-реакционным компонентом также демонстрирует неприемлемую скорость деградации. Решающей стадией является получение равномерного распределения соли формулы (II), щелочно-реакционного компонента и всех фармацевтически приемлемых эксципиентов на молекулярном уровне.
Настоящее изобретение обеспечивает композиции производного 3-хинолинкарбоксамида в форме соли, такие композиции, которые демонстрируют улучшенную стабильность при хранении, что позволяет разрабатывать новые фармацевтические композиции 3-хинолинкарбоксамида с усиленной стабильностью при долговременном хранении, т.е. при хранении, по меньшей мере, в течение 3 лет при комнатной температуре. В этом описании выражение «производное 3-хинолинкарбоксамида, подверженное деградации» означает соединение с индексом реакционной способности >1,0 (смотри ниже подраздел «Пример 1. Исследование скорости деградации»). Механистические исследования деградации кетена показали, что деградация включает в себя внутримолекулярный перенос енольного протона в 4-положении хинолинового кольца на атом азота 3-карбоксамидной части молекулы (схема 1). Предполагается, что стабильная лекарственная форма соединения формулы (I) может быть получена, если указанное соединение превращается в форму соли формулы (II). Однако, несмотря на увеличенную химическую стабильность указанной соли в твердом состоянии, уровень стабильности в традиционной твердой лекарственной форме солей формулы (II) остается еще неприемлемым. В настоящее время предполагают, что причина нестабильности солей формулы (II) в традиционных твердых лекарственных формах связана с обменом противоиона на протон, связанный с конформацией соли в твердом состоянии. Исследование с помощью рентгеновских лучей натриевой соли соединения А показало, что конформация твердой соли такова, что экзоциклическая карбонильная группа отклонена от енолятного атома кислорода в 4-положении. Это приводит к открытому пути между атомом азота 3-карбоксамидной части молекулы и атомом енолятного натрия в 4-положении. Без намерения связать с какой-либо теорией действия, предполагают, что это конформационное свойство солей формулы (II) приводит к неприемлемой скорости деградации в традиционных твердых дозировочных формах после того, как противоион соли обменивается на протон, доступный из эксципиентов. Из того, что было сказано о свойствах стабильности производных 3-хинолинкарбоксамида, ясно, что стабильную дозировочную форму соединения формулы (I) получают, если указанное соединение существует и остается в форме соли формулы (II). Для клинического применения соль формулы (II) настоящего изобретения, т.е. активный ингредиент, подходящим образом включают в рецептуру фармацевтических твердых композиций для перорального способа введения. Тщательное предупреждение любого превращения указанной соли в нейтральную форму должно привести к улучшенной стабильности указанных солей в процессе изготовления и в процессе хранения фармацевтической композиции. Примерами таких композиций являются таблетки и капсулы. Обычно количество активного ингредиента приблизительно составляет от 0,01 до 10% по весу от всей композиции, предпочтительно от 0,1 до 2% по весу композиции. Фармацевтическая композиция настоящего изобретения содержит соль формулы (II) вместе с, по меньшей мере, одним компонентом, ингибирующим деградацию активного ингредиента, и фармацевтически приемлемые эксципиенты. Эти композиции являются объектом настоящего изобретения. В одном из воплощений настоящего изобретения композиция включает щелочно-реакционный компонент, который нейтрализует протоны. Количество щелочного реакционного компонента зависит от свойств указанного щелочно-реакционного компонента и приблизительно составляет от 0,1 до 99% по весу композиции, предпочтительно от 1 до 20%. Значение рН специфической композиции измеряют после добавления к 2 г композиции 4 г деионизованной воды, и затем измеряют рН полученной суспензии. Значение рН предпочтительно должно быть выше 8. Подходящие щелочно-реакционные компоненты выбирают из натриевых, калиевых, кальциевых и алюминиевых солей уксусной, угольной, лимонной, фосфорной, серной кислоты или других подходящих слабых неорганических или органических кислот. В другом воплощении композиция включает соль двухвалентного катиона металла, предпочтительно ацетат кальция и кальциевую соль формулы (II). Может быть использована любая другая соль двухвалентного металла, пригодная с точки зрения намеченного применения композиции, например соль цинка или магния. Количество указанной соли примерно составляет от 1 до 99% по весу композиции в зависимости от выбранной соли. Предполагается, что добавление соли, содержащей двухвалентный катион металла, к фармацевтической композиции должно снизить диссоциацию соли формулы (II) на ионы. Соль формулы (II), в состав которой входит двухвалентный противоион металла, обладает ограниченной растворимостью. Таким образом, протонирование аниона соли формулы (II) подавляется, что приводит к повышенной стабильности. Композиции и фармацевтические композиции, содержащие соединения формулы (II), описанные выше, изготавливают, как описано ниже в тексте. При приготовлении фармацевтических композиций в форме единичных дозировок для перорального приема внутрь соединение (II) смешивают с солью двухвалентного катиона металла и традиционными фармацевтически приемлемыми эксципиентами. Подходящие эксципиенты могут быть выбраны, но не ограничиваются только ими, из твердых порошковых носителей, например маннита, микрокристаллической целлюлозы, гидрофосфата кальция, сульфата кальция и крахмала; из связывающих соединений, например поливинилпирролидона, крахмала и гидроксипропилметилцеллюлозы; дезинтегрирующих соединений, например натриевой соли кроскармелозы, натриевой соли гликолята крахмала и поливинилпирролидона, а также из смазывающих агентов, например стеарата магния, стеарилфумарата натрия, талька и гидрогенизированного растительного масла, такого как Sterotex NF. Затем смесь обрабатывают для получения таблеток или гранул для капсул. В соответствии с одним из аспектов настоящее изобретение обеспечивает способ получения таблетки, включающей в качестве активного ингредиента производное 3-хинолинкарбоксамида с улучшенной химической стабильностью; в этом способе изготавливают основу таблетки, содержащую соль формулы (II) и щелочно-реакционный компонент или соль двухвалентного катиона металла, а также подходящие фармацевтически приемлемые эксципиенты. Решающей стадией является получение основы таблетки с равномерным распределением на молекулярном уровне щелочно-реакционного компонента для нейтрализации всех протонов, диффундирующих из фармацевтических эксципиентов, или соли двухвалентного катиона металла для подавления диссоциации на ионы соли формулы (II). Способы изготовления таблетки настоящего изобретения включают следующее: а) основу таблетки, содержащую кальциевую соль формулы (II), изготавливают с помощью распыления раствора ацетата кальция в смесь кальциевой соли формулы (II) и фармацевтически приемлемых эксципиентов; гранулирования смеси до подходящей консистенции, высушивания и затем прессования гранулята; или б) основу таблетки, содержащую соль формулы (II), труднорастворимую в воде, изготавливают с помощью распыления раствора щелочно-реакционного компонента в смесь фармацевтически приемлемых эксципиентов, гранулирования смеси до подходящей консистенции, высушивания, смешивания с кристаллической солью формулы (II), труднорастворимой в воде, и затем прессованием полученной смеси; или в) основу таблетки, содержащую литиевую, натриевую или калиевую соль формулы (II), изготавливают с помощью распыления раствора соли формулы (II) и щелочно-реакционного компонента в смесь фармацевтически приемлемых эксципиентов, гранулирования смеси до подходящей консистенции, высушивания и затем прессования гранулята; или г) при необходимости перед прессованием к грануляту можно добавлять смазывающее вещество; и д) при необходимости к указанной основе добавляют покрывающий слой, используя традиционные фармацевтические покрывающие эксципиенты. Предпочтительный способ изготовления таблетки настоящего изобретения состоит в следующем: е) основу таблетки, содержащую натриевую соль формулы (II), изготавливают с помощью распыления раствора натриевой соли формулы (II) и щелочно-реакционного компонента в смесь фармацевтически приемлемых эксципиентов, гранулирования смеси до подходящей консистенции, высушивания и затем прессования гранулята. При необходимости перед прессованием к грануляту можно добавлять смазывающее вещество, и к указанной основе при необходимости добавляют покрывающий слой, используя традиционные фармацевтические покрывающие эксципиенты. В соответствии с другим аспектом настоящее изобретение обеспечивает способ получения капсулы, включающей в качестве активного ингредиента производное 3-хинолинкарбоксамида с улучшенной химической стабильностью. Способы изготовления капсулы настоящего изобретения представляют собой следующее: ж) смесь, содержащую кальциевую соль формулы (II), изготавливают с помощью распыления раствора ацетата кальция в смесь кальциевой соли формулы (II) и фармацевтически приемлемых эксципиентов, гранулирования смеси до подходящей консистенции и последующего высушивания гранулята; или з) смесь, содержащую соль формулы (II), труднорастворимую в воде, изготавливают с помощью распыления раствора щелочно-реакционного компонента в смесь фармацевтически приемлемых эксципиентов, гранулирования смеси до подходящей консистенции, высушивания гранулята и смешивания с кристаллической солью формулы (II), труднорастворимой в воде; или и) смесь, содержащую литиевую, натриевую или калиевую соль формулы (II), более предпочтительно натриевую соль, изготавливают с помощью распыления раствора соли формулы (II) и щелочно-реакционного компонента в смесь фармацевтически приемлемых эксципиентов, гранулирования смеси до подходящей консистенции и последующего высушивания гранулята; к) при необходимости к смеси можно добавлять смазывающее вещество; и л) полученной смесью заполняют твердые желатиновые капсулы. Альтернативный способ получения соли формулы (II), которая затем должна быть легко растворима в воде, состоит в растворении соответствующего соединения формулы (I) в нейтральной форме в растворе щелочно-реакционного компонента, например карбоната натрия, для получения таким образом соли формулы (II) in situ, и затем следуют стадии способов, описанных выше. Примеры Примеры, представленные ниже, даны с целью проиллюстрировать изобретение без ограничения его объема. Пример 1 Исследование скорости деградации Скорость деградации, в дальнейшем называемую индексом реакционной способности, соединения формулы (I) определяли в растворе. Роквинимекс (Merck Index 12th Ed., No. 8418; Linomide®, LS2616, N-метил-N-фенил-1,2-дигидро-4-гидрокси-1-метил-2-оксо-3-хинолинкарбоксамид) выбрали в качестве эталонного соединения с индексом реакционной способности, принятым за 1,0. Была выбрана среда с 1% 0,01 М соляной кислоты в н-пропаноле. Температура реакции находилась в диапазоне от 45 до 60°С. К раствору н-пропанола добавляли производное 3-хинолинкарбоксамида формулы (I). В реакции соединение переводится в н-пропиловый эфир. Реакцию останавливают через 0, 2 и 4 часа и проводят анализ с помощью ВЭЖХ с использованием УФ-детекции. Для оценки индекса реакционной способности использовали исчезновение производного 3-хинолинкарбоксамида, а в качестве альтернативного определения можно также использовать образование н-пропилового эфира. Индекс реакционной способности, равный 1,0, соответствует скорости деградации, составляющей 13% в час при 60°С, индекс реакционной способности, равный 2,0, соответствует скорости деградации, составляющей 26% в час, и т.д. Индексы реакционной способности некоторых соединений формулы (I) приведены в таблице 4.
Соединение А представляет собой N-этил-N-фенил-5-хлор-1,2-дигидро-4-гидрокси-1-метил-2-оксо-3-хинолинкарбоксамид. Соединение В представляет собой N-этил-N-фенил-5-этил-1,2-дигидро-4-гидрокси-1-метил-2-оксо-3-хинолинкарбоксамид. Соединение С представляет собой N-метил-N-(2,4-дифторфенил)-5-хлор-1,2-дигидро-4-гидрокси-1-метил-2-оксо-3-хинолинкарбоксамид. Соединение D представляет собой N-метил-N-(4-трифторфенил)-1,2-дигидро-1,5-диметил-4-гидрокси-1-метил-2-оксо-3-хинолинкарбоксамид. Соединение Е представляет собой N-этил-N-фенил-5,6-метилендиокси-1,2-дигидро-4-гидрокси-1-метил-2-оксо-3-хинолинкарбоксамид. Соединение F представляет собой N-этил-N-фенил-5-метилтио-1,2-дигидро-4-гидрокси-1-метил-2-оксо-3-хинолинкарбоксамид. Следующие детализированные примеры 2-7 служат иллюстрацией способа изготовления соединений формулы (II), которые применяются в фармацевтических композициях в соответствии с настоящим изобретением. Пример 2 Натриевая соль N-этил-N-фенил-5-хлор-1,2-дигидро-4-гидрокси-1-метил-2-оксо-3-хинолинкарбоксамида N-этил-N-фенил-5-хлор-1,2-дигидро-4-гидрокси-1-метил-2-оксо-3-хинолинкарбоксамид (28 ммолей, 10,0 г) суспендировали в 99,5%-ном этаноле (150 мл) и добавляли 5 М водный раствор гидроокиси натрия (28,4 ммоля, 5,68 мл). Реакционную смесь перемешивали в течение 30 минут при комнатной температуре. Полученный кристаллический осадок отделяли фильтрованием, дважды быстро промывали холодным этанолом (2×150 мл) и сушили при пониженном давлении над P2O5 для получения соединения, указанного в заголовке (9,5 г, выход – 90%). Аналитические расчеты для C19H16ClN2O3Na: С, 60,2; Н, 4,26; N, 7,40. Найдено С, 60,4; Н, 4,20; N, 7,32. Растворимость в воде при комнатной температуре была 138 мг/мл. Пример 3 Кальциевая соль N-этил-N-фенил-5-хлор-1,2-дигидро-4-гидрокси-1-метил-2-оксо-3-хинолинкарбоксамида Натриевую соль N-этил-N-фенил-5-хлор-1,2-дигидро-4-гидрокси-1 -метил-2-оксо-3-хинолинкарбоксамида (2,63 ммоля, 1,0 г) растворяли в смеси этанола (10,5 мл) и воды (5,3 мл). Раствор нагревали до 70°С и добавляли раствор гидрата ацетата кальция в воде (1 М раствор, 1,05 эквив., 1,38 ммоля, 1,38 мл). Полученную суспензию перемешивали в течение 30 минут, затем охлаждали и кристаллы отделяли фильтрованием, промывали водой и высушивали при пониженном давлении (966 мг, выход – 98%). Аналитические расчеты для С38Н32Cl2N4O6Са: С, 60,7; Н, 4,29; N, 7,45. найдено С, 60,5; Н, 4,34; N, 7,41. Растворимость в воде при комнатной температуре была около 1,0 мг/мл. Эту соль считали труднорастворимой в воде. Пример 4 Железная (III) соль N-этил-N-фенил-5-хлор-1,2-дигидро-4-гидрокси-1-метил-2-оксо-3-хинолинкарбоксамида Натриевую соль N-этил-N-фенил-5-хлор-1,2-дигидро-4-гидрокси-1-метил-2-оксо-3-хинолинкарбоксамида (5,0 г, 13,2 ммоля) растворяли в воде (80 мл) при 40°С и добавляли хлороформ (100 мл). Добавляли пентагидрат сульфата железа (III) (0,95 эквив., 2,09 ммоля, 1,023 г), растворенный в воде (30 мл). Двухфазную систему энергично перемешивали и рН водной фазы доводили до 8 с помощью 1 М NaOH. Отделяли темно-красную органическую фазу, высушивали над сульфатом натрия и удаляли растворители, чтобы получить указанное в заголовке соединение в виде красной аморфной стекловидной массы (4,22 г, выход – 85%). MS-ESI: m/z 1122 [МН]+. Стекловидную массу растворяли в метаноле, происходило образование красных кристаллов указанного в заголовке соединения. Кристаллы отфильтровывали, промывали метанолом и сушили при пониженном давлении для получения указанного в заголовке соединения (3,96 г, выход – 80%). Аналитические расчеты для соединения С57Н48Н6O9Cl3Fe: С, 61,0; Н, 4,31; N, 7,48. Найдено С, 62,7; H, 4,37; N, 7,27. ЭДТА-титрометрическое определение железа (III) дало содержание 4,90% (теоретическое содержание составляет 4,97%). Пример 5 Литиевая соль N-этил-N-фенил-5-этил-1,2-дигидро-4-гидрокси-1-метил-2-оксо-3-хинолинкарбоксамида N-этил-N-фенил-5-этил-1,2-дигидро-4-гидрокси-1-метил-2-оксо-3-хинолинкарбоксамид (4,39 ммоля, 1,539 г) суспендировали в этаноле (7,5 мл) и добавляли раствор гидрата гидроокиси лития (1,05 эквив., 4,61 ммоля, 195 мг), растворенного в воде (1,5 мл). Смесь перемешивали в течение 4 часов и добавляли этилацетат (30 мл). После перемешивания в течение 1 часа кристаллы отфильтровывали, промывали этилацетатом и сушили при пониженном давлении для получения указанного в заголовке продукта (1,31 г, выход – 84%). Аналитические расчеты для C21H21N2O3Li: С, 70,8; Н, 5,94; N, 7,86. Найдено С, 70,5; Н, 5,22; N, 8,01. Растворимость в воде при комнатной температуре была 18 мг/мл. Пример 6 Кальциевая соль N-этил-N-фенил-5-этил-1,2-дигидро-4-гидрокси-1-метил-2-оксо-3-хинолинкарбоксамида N-этил-N-фенил-5 -этил-1,2-дигидро-4-гидрокси-1-метил-2-оксо-3-хинолинкарбоксамид (5,0 г, 14,2 ммоля) растворяли в смеси 1 М NaOH (14,26 ммоля, 14,26 мл) и этанола (30 мл) и рН доводили до 7,5. Раствор нагревали до 70°С и по каплям добавляли гидрат ацетата кальция (1,05 эквив., 7,5 ммоля, 1,335 г) в воде (7 мл) в течение 5 минут. Нагревание прекращали и смесь перемешивали при комнатной температуре в течение 1 часа, кристаллы отфильтровывали, промывали смесью этанол/вода 1/1 и сушили при пониженном давлении для получения указанного в заголовке соединения (5,16 г, выход – 98%). Аналитические расчеты для С42Н42N4O6Са: С, 68,3; Н, 5,73; N, 7,58. Найдено С, 68,4; Н, 5,72; N, 7,63. ЭДТА-титрометрическое определение кальция дало содержание, составляющее 5,42% (теоретическое содержание – 5,42%). Растворимость в воде при комнатной температуре была 0,3 мг/мл. Пример 7 Цинковая соль N-этил-N-фенил-5-этил-1,2-дигидро-4-гидрокси-1-метил-2-оксо-3-хинолинкарбоксамида N-этил-N-фенил-5-этил-1,2-дигидро-4-гидрокси-1 -метил-2-оксо-3-хинолинкарбоксамид (1,0 г, 2,85 ммоля) растворяли в смеси 1 М NaOH (2,95 ммоля, 2,95 мл) и этанола (6,0 мл). Добавляли хлороформ (20 мл) и воду (40 мл), а затем добавляли безводный ацетат цинка (3,0 ммоля, 660 мг). Двухфазную смесь энергично перемешивали в течение 10 минут, отделяли органическую фазу, сушили над сульфатом натрия и выпаривали растворители. Остаток рекристаллизовывали из метанола для получения указанного в заголовке соединения (823 мг, выход – 76%). Аналитические расчеты для C42H42N4O6Zn: С, 66,01; Н, 5,54; N, 7,33. Найдено С, 65,4; Н, 5,68; N, 7,29. ЭДТА-титрометрическое определение цинка дало содержание, составляющее 8,45% (теоретическое содержание – 8,56%). Растворимость в воде при комнатной температуре была 0,3 мг/мл. Пример 8 Описание изготовления Получали фармацевтическую композицию в форме капсул в соответствии с настоящим изобретением, имеющую следующий состав:
Натриевую соль соединения А растворяли в водном карбонате натрия и подвергали влажному гранулированию с маннитом и дополнительным карбонатом натрия. На стадии гранулирования присутствовали все эксципиенты, необходимые для заполнения капсул, за исключением смазывающего вещества. Полученные гранулы сушили с помощью общепринятых способов и пропускали через сито с подходящим размером. Высушенные гранулы тщательно смешивали со стеарилфумаратом натрия и полученной смесью заполняли капсулы. Капсулы содержали подходящие количества активного ингредиента. Пример 9 Описание изготовления Получали фармацевтическую композицию в форме капсул в соответствии с настоящим изобретением, имеющую следующий состав:
Получали первичную смесь кальциевой соли соединения В, маннита и микрокристаллической целлюлозы. Первичную смесь подвергали влажному гранулированию с помощью водного раствора ацетата кальция. На стадии гранулирования присутствовали все эксципиенты, необходимые для заполнения капсул. Полученные гранулы сушили с помощью общепринятых способов и пропускали через сито с подходящими размерами. Сухими гранулами заполняли капсулы. Капсулы содержали подходящие количества активного ингредиента. Пример 10 Описание изготовления Получали фармацевтическую композицию в форме таблеток в соответствии с настоящим изобретением, имеющую следующий состав:
Натриевую соль соединения А растворяли в водном карбонате натрия и подвергали влажному гранулированию с маннитом, пептизированным крахмалом и дополнительным карбонатом натрия. На стадии гранулирования присутствовали все эксципиенты, необходимые для получения таблеток, за исключением смазывающего вещества. Полученные гранулы сушили с помощью общепринятых способов и пропускали через сито с подходящими размерами. Высушенные гранулы тщательно смешивали со стеарилфумаратом натрия и полученную смесь прессовали в таблетки. Таблетки покрывали пленкой Opadry 03B28796 White. Таблетки содержали подходящие количества активного ингредиента. Пример 11 Описание изготовления Получали фармацевтическую композицию в форме таблеток в соответствии с настоящим изобретением, имеющую следующий состав:
Натриевую соль соединения А растворяли в водном растворе смеси карбонат натрия/гидрокарбонат натрия и подвергали влажному гранулированию с маннитом и микрокристаллической целлюлозой. На стадии гранулирования присутствовали все эксципиенты, необходимые для получения таблеток, за исключением смазывающего вещества. Полученные гранулы сушили с помощью общепринятых способов и пропускали через сито с подходящими размерами. Высушенные гранулы тщательно смешивали со стеарилфумаратом натрия и полученную смесь прессовали в таблетки. Таблетки содержали подходящие количества активного ингредиента. Пример 12 Описание изготовления Получали фармацевтическую композицию в форме таблеток в соответствии с настоящим изобретением, имеющую следующий состав:
Натриевую соль соединения А растворяли в водном растворе карбоната натрия и подвергали влажному гранулированию с маннитом, дигидратом сульфата кальция и дополнительным карбонатом натрия. На стадии гранулирования присутствовали все эксципиенты, необходимые для получения таблеток, за исключением смазывающего вещества, и полученные гранулы сушили с помощью общепринятых способов. Высушенные гранулы тщательно смешивали со стеарилфумаратом натрия и полученную смесь прессовали в таблетки. Таблетки содержали подходящие количества активного ингредиента.
Формула изобретения
1. Стабильная твердая фармацевтическая композиция, по существу, состоящая из эффективного количества соли формулы (II) где n представляет собой целое число 1, 2 или 3; Аn+ представляет собой моно- или поливалентный катион металла, выбранный из Li+ , Na+, К+, Mg2+, Са2+, Mn2+, Cu2+, Zn2+, Al3+ и Fe3+; R представляет собой линейный или разветвленный С1-С4-алкил или -алкенил или циклический С3-С4-алкил; R5 представляет собой линейный или разветвленный, насыщенный или ненасыщенный С1-С4-алкил или -алкенил, циклический С3-С4-алкил, линейный или разветвленный С1-С4-алкилтио, циклический С3-С4-алкилтио, линейный или разветвленный С1-С4-алкилсульфинил, циклический С3-С4-алкилсульфинил, фтор-, хлор-, бром-, трифторметил или трифторметокси; и R6 представляет собой водород; или R5 и R6 вместе представляют собой метилендиокси; R’ представляет собой водород, линейный или разветвленный, насыщенный или ненасыщенный С1-С4-алкил или -алкенил, циклический С3-С4-алкил, линейный или разветвленный С1-С4-алкокси, циклический С3-С4-алкокси, фтор-, хлор-, бром- или трифторметил; и R” представляет собой водород, фтор- или хлор- при условии, что R” представляет собой фтор- или хлор- только в том случае, если R’ представляет собой фтор- или хлор-; щелочно-реакционный компонент, поддерживающий рН предпочтительно выше 8, или соль с катионом двухвалентного металла; и, по меньшей мере, один фармацевтически приемлемый эксципиент; в которой указанная соль формулы (II), по существу, стабильна при хранении при комнатной температуре в течение, по меньшей мере, 3 лет. 2. Твердая фармацевтическая композиция по п.1, в которой соль формулы (II) представляет собой литиевую или кальциевую соль N-этил-N-фенил-3-хлор-1,2-дигидро-4-гидрокси-1-метил-2-оксо-3-хинолинкарбоксамида или литиевую, кальциевую или цинковую соль N-этил-N-фенил-5-этил-1,2-дигидро-4-гидрокси-1-метил-2-оксо-3-хинолинкарбоксамида. 3. Твердая фармацевтическая композиция по п.1 или 2, в которой соль формулы (II) присутствует в количестве от 0,01 до 10% по весу композиции, предпочтительно от 0,1 до 2% по весу композиции. 4. Твердая фармацевтическая композиция по п.1, в которой щелочно-реакционный компонент выбирают из натриевой, калиевой, кальциевой и алюминиевой солей уксусной кислоты, угольной кислоты, лимонной кислоты и фосфорной кислоты. 5. Твердая фармацевтическая композиция по п.1, в которой щелочно-реакционный компонент присутствует в количестве от 0,1 до 99% по весу композиции, предпочтительно от 1 до 20% по весу композиции. 6. Твердая фармацевтическая композиция по п.1, в которой соль с катионом двухвалентного металла является ацетатом кальция. 7. Твердая фармацевтическая композиция по п.6, в которой ацетат кальция присутствует в количестве от 1 до 10% по весу композиции. 8. Твердая фармацевтическая композиция по п.1, в которой фармацевтически приемлемый эксципиент выбирают из твердых порошкообразных носителей, связующих соединений, дезинтегрирующих соединений и смазывающих веществ. 9. Твердая фармацевтическая композиция по п.8, в которой твердые порошкообразные носители выбирают из маннита, микрокристаллической целлюлозы, гидрофосфата кальция, сульфата кальция и крахмала. 10. Твердая фармацевтическая композиция по п.1, в которой связующие соединения выбирают из поливинилпирролидона, крахмала и гидроксипропилметилцеллюлозы. 11. Твердая фармацевтическая композиция по п.1, в которой дезинтегрирующие соединения выбирают из натриевой соли кроскармелозы, натриевой соли гликолята крахмала и поливинилпирролидона. 12. Твердая фармацевтическая композиция по п.1, в которой смазывающие вещества выбирают из стеарата магния, стеарилфумарата натрия, талька и гидрогенизированного растительного масла. 13. Способ стабилизации соли формулы (II) где n равно 2; Аn+ является Са2+; R представляет собой линейный или разветвленный С1-С4-алкил или алкенил или циклический С3-С4-алкил; R5 представляет собой линейный или разветвленный, насыщенный или ненасыщенный С1-С4-алкил или -алкенил, циклический С3-С4-алкил, линейный или разветвленный С1-С4-алкилтио, циклический С3-С4-алкилтио, линейный или разветвленный С1-С4-алкилсульфинил, циклический С3-С4-алкилсульфинил, фтор-, хлор-, бром-, трифторметил или трифторметокси; и R6 представляет собой водород; или R5 и R6 вместе представляют собой метилендиокси; R’ представляет собой водород, линейный или разветвленный, насыщенный или ненасыщенный С1-С4-алкил или -алкенил, циклический С3-С4-алкил, линейный или разветвленный С1-С4-алкокси, циклический С3-С4-алкокси, фтор-, хлор-, бром- или трифторметил; и R” представляет собой водород, фтор- или хлор- при условии, что R” представляет собой фтор- или хлор- только в том случае, если R’ представляет собой фтор- или хлор-; с помощью распыления раствора ацетата кальция в смесь кальциевой соли формулы (II) и, по меньшей мере, одного фармацевтически приемлемого эксципиента, причем указанный способ дает соль формулы (II), которая, по существу, стабильна в твердой фармацевтической композиции во время хранения при комнатной температуре в течение, по меньшей мере, 3-летнего периода. 14. Способ стабилизации соли формулы (II) где n представляет собой целое число 2 или 3; Аn+ представляет собой поливалентный катион металла, выбранный из Са2+, Zn2+ и Fe3+; R представляет собой линейный или разветвленный С1-С4-алкил или -алкенил или циклический С3-С4-алкил; R5 представляет собой линейный или разветвленный, насыщенный или ненасыщенный С1-С4-алкил или -алкенил, циклический С3-С4-алкил, линейный или разветвленный С1-С4-алкилтио, циклический С3-С4-алкилтио, линейный или разветвленный С1-С4-алкилсульфинил, циклический С3-С4-алкилсульфинил, фтор-, хлор-, бром-, трифторметил или трифторметокси; и R6 представляет собой водород; или R5 и R6 вместе представляют собой метилендиокси; R’ представляет собой водород, линейный или разветвленный, насыщенный или ненасыщенный С1-С4-алкил или -алкенил, циклический С3-С4-алкил, линейный или разветвленный С1-С4-алкокси, циклический С3-С4-алкокси, фтор-, хлор-, бром- или трифторметил; и R” представляет собой водород, фтор- или хлор- при условии, что R” представляет собой фтор- или хлор- только в том случае, если R’ представляет собой фтор- или хлор-; с помощью распыления щелочно-реакционного компонента в фармацевтически приемлемый эксципиент или смесь фармацевтически приемлемых эксципиентов, гранулирования до подходящей консистенции, высушивания гранулята, полученного таким образом, и смешивания высушенного гранулята с солью формулы (II), причем указанный способ дает соль формулы (II), которая, по существу, стабильна в твердой фармацевтической композиции во время хранения при комнатной температуре в течение, по меньшей мере, 3-летнего периода. 15. Способ стабилизации соли формулы (II) где n равно 1; А4+ представляет собой моновалентный катион металла, выбранный из Li+, Na+, K+; R представляет собой линейный или разветвленный С1-С4-алкил или -алкенил или циклический С3-С4-алкил; R5 представляет собой линейный или разветвленный, насыщенный или ненасыщенный С1-С4-алкил или -алкенил, циклический С3-С4-алкил, линейный или разветвленный С1-С4-алкилтио, циклический С3-С4-алкилтио, линейный или разветвленный С1-С4-алкилсульфинил, циклический С3-С4-алкилсульфинил, фтор-, хлор-, бром-, трифторметил или трифторметокси; и R6 представляет собой водород; или R5 и R6 вместе представляют собой метилендиокси; R’ представляет собой водород, линейный или разветвленный, насыщенный или ненасыщенный С1-С4-алкил или -алкенил, циклический С3-С4-алкил, линейный или разветвленный С1-С4-алкокси, циклический С3-С4-алкокси, фтор-, хлор-, бром- или трифторметил; и R” представляет собой водород, фтор- или хлор- при условии, что R” представляет собой фтор- или хлор- только в том случае, если R’ представляет собой фтор- или хлор-; с помощью распыления раствора соли формулы (II) и щелочно-реакционного компонента в фармацевтически приемлемый эксципиент или смесь фармацевтически приемлемых эксципиентов, причем указанный способ дает соль формулы (II), которая, по существу, стабильна в твердой фармацевтической композиции во время хранения при комнатной температуре в течение, по меньшей мере, 3-летнего периода. 16. Способ получения кристаллической соли формулы (II) где n представляет собой целое число 2 или 3; Аn+ представляет собой поливалентный катион металла, выбранный из Mg2+, Са2+, Mn2+, Cu2+, Zn2+, Al3+ и Fe3+; R представляет собой линейный или разветвленный С1-С4-алкил или -алкенил или циклический С3-С4-алкил; R5 представляет собой линейный или разветвленный, насыщенный или ненасыщенный С1-С4-алкил или -алкенил, циклический С3-С4-алкил, линейный или разветвленный С1-С4-алкилтио, циклический С3-С4-алкилтио, линейный или разветвленный С1-С4-алкилсульфинил, циклический С3-С4-алкилсульфинил, фтор-, хлор-, бром-, трифторметил или трифторметокси; и R6 представляет собой водород; или R5 и R6 вместе представляют собой метилендиокси; R’ представляет собой водород, линейный или разветвленный, насыщенный или ненасыщенный С1-С4-алкил или -алкенил, циклический С3-С4-алкил, линейный или разветвленный С1-C4алкокси, циклический С3-С4-алкокси, фтор-, хлор-, бром- или трифторметил; и R” представляет собой водород, фтор- или хлор-, при условии, что R” представляет собой фтор- или хлор- только в том случае, если R’ представляет собой фтор- или хлор-; с помощью реакции нейтральной формы или натриевой соли производного 3-хинолинкарбоксамида с солью, содержащей поливалентный катион металла, в жидкой фазе, которая состоит из воды и, по меньшей мере, одного органического растворителя, смешиваемого с водой, и в которой соль формулы (II) труднорастворима. 17. Способ по п.16, в котором жидкая фаза представляет собой смесь воды и этанола, содержащую 10-95% этанола. 18. Кристаллическая соль формулы (II) где n представляет собой целое число 2 или 3; Аn+ представляет собой поливалентный катион металла, выбранный из Mg2+, Са2+, Mn2+, Cu2+ Zn2+, Al3+ и Fe3+; R представляет собой линейный или разветвленный С1-С4-алкил или -алкенил или циклический С3-С4-алкил; R5 представляет собой линейный или разветвленный, насыщенный или ненасыщенный С1-С4-алкил или -алкенил, циклический С3-С4-алкил, линейный или разветвленный С1-С4-алкилтио, циклический С3-С4-алкилтио, линейный или разветвленный С1-С4-алкилсульфинил, циклический С3-С4-алкилсульфинил, фтор-, хлор-, бром-, трифторметил или трифторметокси; и R6 представляет собой водород; или R5 и R6 вместе представляют собой метилендиокси; R’ представляет собой водород, линейный или разветвленный, насыщенный или ненасыщенный С1-С4-алкил или -алкенил, циклический С3-С4-алкил, линейный или разветвленный С1-С4-алкокси, циклический С3-С4-алкокси, фтор-, хлор-, бром- или трифторметил; и R” представляет собой водород, фтор- или хлор- при условии, что R” представляет собой фтор- или хлор- только в том случае, если R’ представляет собой фтор- или хлор-.
|
|||||||||||||||||||||||||||||||||||||||||||||||||||||||||||||||||||||||||||||||||||||||||||||||||||||||||||||||||||||||||||||||||||||||||||||||||||||||||||||||||||||||||||||||||||||||||||||||||||||||||||||||||||||||||||||||||||||||||||||||||||||||||||||||||||||||||||||||||||||||||||||||||||||||||||||||||||||||||||||





