|
|
(21), (22) Заявка: 2007108780/11, 12.03.2007
(24) Дата начала отсчета срока действия патента:
12.03.2007
(46) Опубликовано: 27.11.2008
(56) Список документов, цитированных в отчете о поиске:
RU 58236 U1, 10.11.2006. RU 2235043 C1, 27.08.2004. RU 2235042 C1, 27.08.2004. RU 2235044 C1, 27.08.2004.
Адрес для переписки:
127055, Москва, ул. Образцова, 7 , ОАО МНПК “Авионика”
|
(72) Автор(ы):
Воробьев Александр Владимирович (RU), Штейнгардт Борис Хаскельевич (RU), Залесский Сергей Евгеньевич (RU), Можаров Валерий Алексеевич (RU), Капцов Сергей Васильевич (RU)
(73) Патентообладатель(и):
Открытое акционерное общество Московский научно-производственный комплекс “Авионика” (ОАО МНПК “Авионика”) (RU)
|
(54) СПОСОБ АВТОМАТИЧЕСКОГО УПРАВЛЕНИЯ ПОЛЕТОМ ВЫСОКОМАНЕВРЕННОГО САМОЛЕТА
(57) Реферат:
Изобретение относится к области автоматического управления пространственным маневрированием самолета. Способ предусматривает при отказе информационной системы переключение с основного контура управления на резервный контур управления. В резервном контуре управления запоминают текущие значения высотно-скоростных параметров полета. Устанавливают передаточные числа по сигналам с интегрального блока датчиков равными в основном и резервном контурах управления и соответствующими сигналам с информационной системы о текущих высотно-скоростных параметрах. Это позволяет осуществить «безударное» переключение с основного контура управления на резервный контур управления в случае отказа информационной системы. При отказе информационной системы формируют управляющий сигнал резервного контура. При этом передаточные числа по сигналам с интегрального блока датчиков изменяют во времени в зависимости от запомненных величин высотно-скоростных параметров в момент отказа информационной системы таким образом, чтобы обеспечить требуемые характеристики устойчивости и управляемости при полете самолета по траектории возврата на аэродром. Изобретение позволяет повысить безопасность полета высокоманевренного самолета при отказе информационной системы. 1 ил.
Заявляемое изобретение относится к способам автоматического управления самолетом, в частности к способам управления самолетом при отказе информационной системы.
Известны способы автоматического управления полетом самолета, при которых в случае отказа информационной системы основного контура управления управление полетом осуществляют посредством резервного (аварийного) контура. Подобные способы управления описаны, в частности, в патентах на изобретения RU 2235042, В64С 13/00, G06F 13/00; RU 2235043, B64C 13/00, G06F 13/00; RU 2235044, B64C 13/00, G06F 13/00; в книге Автоматизированное управление полетом воздушных судов. / Под ред. С.М.Федорова. М.: Транспорт, 1992, с.165-167 и в Руководстве по летной эксплуатации самолета А-320.
К недостаткам известных способов автоматического управления, использующих основной и резервный контуры управления, следует отнести тот факт, что в случае отказа информационной системы и переключения на резервный контур управления не представляется возможным обеспечить требования к качеству переходных процессов в контуре управления во всем эксплуатационном диапазоне высот и скоростей, в частности, применительно к высокоманевренным самолетам.
Наиболее близким по технической сущности к заявляемому способу является способ автоматического управления полетом самолета, представленный в Руководстве по летной эксплуатации самолета А-320. Данный способ управления также предусматривает в случае отказа информационной системы переключение с основного контура управления на резервный (“direct law”). При этом формирование управляющего сигнала осуществляют в соответствии с алгоритмом, согласно которому передаточные числа по сигналам угловых скоростей, перегрузок и сигналов датчиков отклонения органов управления имеют постоянные наперед заданные значения и не зависят от высотно-скоростных параметров в момент отказа информационной системы.
Недостатком известного способа управления является то, что для высокоманевренного самолета, например, типа Миг-29 КУБ не удается обеспечить приемлемые характеристики управляемости во всем диапазоне высот и скоростей полета при постоянных передаточных числах сигналов управления. Причем передаточные числа в основном и резервном контурах управления, как правило, отличаются минимум в 3 раза, в результате чего при переключении режимов происходит существенное изменение параметров движения самолета, таких как нормальная и боковая перегрузки, углы тангажа, крена и рыскания, что в свою очередь существенно снижает безопасность полета.
Целью изобретения является обеспечение требуемых характеристик управляемости самолета и безопасности полета при отказе информационной системы.
Поставленная цель достигается за счет того, что согласно предлагаемому способу управления полетом самолета, предусматривающему переключение с основного контура управления на резервный контур управления в случае отказа информационной системы, на выходе которой формируются сигналы, соответствующие высотно-скоростным параметрам полета, в резервном контуре управления запоминают текущие значения высотно-скоростных параметров, устанавливают передаточные числа по сигналам с интегрального блока датчиков равными в основном и резервных контурах управления и соответствующими сигналам с информационной системы о текущих высотно-скоростных параметрах, а при отказе информационной системы формируют управляющий сигнал резервного контура в соответствии с алгоритмом, согласно которому передаточные числа по сигналам с интегрального блока датчиков изменяют во времени в зависимости от запомненных величин высотно-скоростных параметров в момент отказа информационной системы таким образом, чтобы обеспечить требуемые характеристики устойчивости и управляемости при полете самолета по траектории возврата на аэродром.
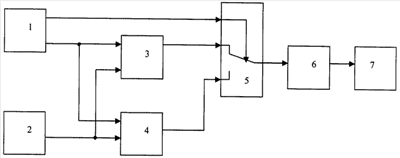
Сущность изобретения поясняется чертежом, на котором представлена блок-схема системы, реализующей заявляемый способ автоматического управления полетом высокоманевренного самолета при отказе информационной системы и переключении управления с основного контура на резервный.
Система содержит информационную систему 1, интегральный блок 2 датчиков, вычислитель 3 основного контура управления, вычислитель 4 резервного контура управления, коммутатор 5, привод 6 и аэродинамический руль 7.
При полете самолета происходит изменение его высотно-скоростных параметров, таких как, например, статическое давление, динамический скоростной напор, приборная скорость и др., которые формируются на выходе информационной системы 1. Данные сигналы подают на первые входы вычислителей 3 и 4 основного и резервного контуров управления и с их помощью осуществляют изменение значений передаточных чисел управляющих сигналов, поступающих с выхода интегрального блока 2 датчиков на вторые входы вычислителей 3 и 4 основного и резервного контуров управления. В вычислителе 4 резервного контура постоянно запоминают значения высотно-скоростных параметров и устанавливают значения передаточных чисел по сигналам управления равными значениям в основном контуре управления до момента отказа информационной системы 1.
Таким образом, при отказе информационной системы 1 передаточные числа в вычислителе 4 резервного контура управления равны передаточным числам в вычислителе 3 основного контура управления и соответствуют запомненным значениям высотно-скоростных параметров на момент отказа системы 1. Тем самым обеспечивается «безударное» переключение системы управления с основного контура управления на резервный контур управления. В случае отсутствия сигнала об исправности информационной системы 1 на управляющем входе коммутатора 5 происходит отключение вычислителя 3 основного контура управления и подключение вычислителя 4 резервного контура управления к приводу 6, посредством которого осуществляют отклонение аэродинамического руля 7 и управление самолетом. При этом в вычислителе 4 резервного контура управления изменение передаточных чисел по сигналам от интегрального блока 2 датчиков осуществляют в функции времени с учетом запомненных значений высотно-скоростных параметров на момент отказа информационной системы 1 и выбранных значений передаточных чисел, обеспечивающих удовлетворительные характеристики устойчивости и управляемости при полете самолета по траектории возврата на аэродром.
Например, если отказ происходит на дозвуковых режимах полета, то передаточные числа по сигналам управления могут быть выбраны только для дозвуковых режимов полета (без учета полета на сверхзвуковых режимах полета) и плавно в зависимости от времени изменены от значений в момент отказа до выбранных значений.
Если отказ информационной системы происходит на сверхзвуковых режимах полета, летчик вручную или с помощью автомата тяги может установить рычаги управления тягой двигателя в положение, соответствующее торможению самолета, и в течение 1,5 мин изменять передаточные числа от значений, соответствующих моменту отказа информационной системы 1, до значений, выбранных для дозвуковых режимов полета.
Для реализации заявленного способа автоматического управления высокоманевренным самолетом не требуется специального оборудования. Так, в качестве информационной системы могут быть использованы выпускаемые промышленностью датчики давления типа ДДАД-1-1, в качестве интегрального блока датчиков – ИБД-51, а функции вычислителей могут быть реализованы с помощью бортовой вычислительной машины.
Как показали результаты моделирования комплексной системы управления КСУ-941 и проверка ее на стенде, при использовании данного способа автоматического управления высокоманевренным самолетом предоставляется возможность при отказе информационной системы «безударно» (без динамических ошибок по сигналам перегрузок и угловых скоростей) перейти на резервный контур управления и, изменяя в нем передаточные числа в функции времени, обеспечить удовлетворительные характеристики устойчивости и управляемости в системе.
Таким образом, предлагаемый способ реализуем и применим, в частности, для высокоманевренного самолета типа МИГ-29 КУБ.
Формула изобретения
Способ автоматического управления полетом высокоманевренного самолета, предусматривающий переключение с основного контура управления на резервный контур управления в случае отказа информационной системы, на выходе которой формируются сигналы, соответствующие высотно-скоростным параметрам полета, отличающийся тем, что в резервном контуре управления запоминают текущие значения высотно-скоростных параметров, устанавливают передаточные числа по сигналам с интегрального блока датчиков равными в основном и резервном контурах управления и соответствующими сигналам с информационной системы о текущих высотно-скоростных параметрах, а при отказе информационной системы формируют управляющий сигнал резервного контура в соответствии с алгоритмом, согласно которому передаточные числа по сигналам с интегрального блока датчиков изменяют во времени в зависимости от запомненных величин высотно-скоростных параметров в момент отказа информационной системы таким образом, чтобы обеспечить требуемые характеристики устойчивости и управляемости при полете самолета по траектории возврата на аэродром.
РИСУНКИ
|
|