|
|
(21), (22) Заявка: 2006132389/15, 02.02.2005
(24) Дата начала отсчета срока действия патента:
02.02.2005
(30) Конвенционный приоритет:
09.02.2004 JP 2004-032551
(43) Дата публикации заявки: 20.03.2008
(46) Опубликовано: 27.11.2008
(56) Список документов, цитированных в отчете о поиске:
RU 2054004 C1, 10.02.1996. WO 9712869 A1, 10.04.1997. WO 0033845 A1, 15.06.2000. US 5750523 A, 12.05.1998. DOBRIN P.B. “Pre- vs postoperative pharmacologic inhibition of platelets: effect on intimal hyperplasia in canine autogenous vein grafts” The journal of cardiovascular surgery, 1992 Nov-Dec, vol.33, по.6, рр.705-709, реферат, [Найдено 04.04.2008] Medline [он-лайн] PMID: 1287008.
(85) Дата перевода заявки PCT на национальную фазу:
11.09.2006
(86) Заявка PCT:
JP 2005/001518 (02.02.2005)
(87) Публикация PCT:
WO 2005/074938 (18.08.2005)
Адрес для переписки:
129090, Москва, ул. Б.Спасская, 25, стр.3, ООО “Юридическая фирма Городисский и Партнеры”, пат.пов. Е.Е.Назиной, рег. № 517
|
(72) Автор(ы):
НИСИЯМА Хироси (JP), СУДО Норимаса (JP), ЦУРУЗОЕ Нобутомо (JP)
(73) Патентообладатель(и):
НИССАН КЕМИКАЛ ИНДАСТРИЗ, ЛТД. (JP), ТАЙСО ФАРМАСЬЮТИКАЛ КО., ЛТД. (JP)
|
(54) ИНГИБИТОР ГИПЕРПЛАЗИИ ИНТИМЫ СОСУДОВ
(57) Реферат:
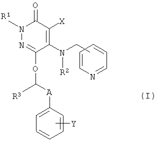
Изобретение относится к лекарственным средствам и касается ингибитора гиперплазии интимы сосудов, содержащего соединение 3(2Н)-пиридазинона, представленное формулой (I) или его фармакологически приемлемую соль. Изобретение направлено на получение высокоэффективного ингибитора гиперплазии интимы сосудов.

где каждый из R1, R2, R3, X, Y и А имеет указанные в описании значения. 4 з.п. ф-лы, 2 ил.
Область техники, к которой относится изобретение
Настоящее изобретение относится к ингибитору гиперплазии интимы сосудов, содержащему в качестве активного ингредиента соединение пиридазинона или его фармакологически приемлемую соль.
Предпосылки изобретения
Считается, что основной причиной в патогенном механизме инфаркта миокарда и стенокардии является коронарный стеноз, вызванный артериосклеротической гиперплазией интимы. С другой стороны, в последние годы для расширения участка коронарной артерии со стенозным поражением, вызванным гиперплазией интимы, широко использовали чрескожную транслюминальную ангиопластику коронарных сосудов (РТСА) и все чаще применяют имплантацию сосудистого стента. Тем не менее основной трудностью при лечении является отслоение эндотелиальных клеток сосудов после РТСА или имплантации сосудистого стента и возникновение реокклюзии вследствие гиперплазии интимы, которая сопровождается пролиферацией гладкомышечных клеток сосудов. Таким образом, в качестве лекарственных препаратов, эффективных не только для профилактики и лечения атеросклеротических заболеваний, но также для профилактики рестеноза после РТСА или имплантации сосудистого стента, представляют интерес высокобезопасные лекарственные препараты, которые избирательно ингибируют гиперплазию интимы сосудов.
Известно, что соединения пиридазинона или их соли обладают превосходным антитромбоцитарным действием, кардиотоническим действием, сосудорасширяющим действием, анти-SRS-A (SRS-A: медленно реагирующая субстанция анафилаксии) действием, активностью ингибитора тромбоксан А2-синтетазы, терапевтическим действием на стеноз позвоночного канала и эректильную дисфункцию и антиогенезстимулирующим и усиливающим действием, и представляют интерес в качестве антитромбоцитарных средств (патентные документы 1-6).
Тем не менее не было подтверждений тому, что эти соединения пиридазинона обладают активностью в отношении гиперплазии интимы сосудов. С другой стороны, наряду с другими видами терапии гиперплазии интимы сосудов фармакотерапия является признанным видом терапии, но остается потребность в улучшенной фармакотерапии.
Патентный документ 1: JP-B-7-107055
Патентный документ 2: JP-A-7-252237
Патентный документ 3: JP-A-7-285869
Патентный документ 4: WO 99/11268
Патентный документ 5: WO 00/12091
Патентный документ 6: WO 00/33845
Описание изобретения
Задачи, решаемые в настоящем изобретении
Целью настоящего изобретения является получение высокоэффективного ингибитора гиперплазии интимы сосудов.
Средства для решения задач
В результате обширных исследований авторы настоящего изобретения обнаружили, что соединения пиридазинона, представленные следующей формулой (I), или их фармакологически приемлемые соли обладают высокоэффективным ингибирующим действием в отношении гиперплазии интимы сосудов, и это привело к созданию настоящего изобретения.
В частности, настоящее изобретение относится к ингибитору гиперплазии интимы сосудов, содержащему в качестве активного ингредиента соединение 3(2Н)-пиридазинона, представленное формулой (I), или его фармакологически приемлемую соль.

где каждый из R1, R2 и R3 независимо представляет собой атом водорода или C1-6алкильную группу, Х представляет собой атом галогена, циано или атом водорода, Y представляет собой атом галогена, трифторметил или атом водорода, и А представляет собой C1-8алкилен, который может быть замещен гидроксильной группой.
Ингибитор гиперплазии интимы сосудов по настоящему изобретению предпочтительно представляет собой соединение пиридазинона формулы (I), где R1 и R2 представляют собой атомы водорода, R3 представляет собой атом водорода или C1-4алкильную группу, Х представляет собой атом галогена, Y представляет собой атом галогена или атом водорода и А представляет собой C1-5алкилен, который может быть замещен гидроксильной группой, или его фармакологически приемлемую соль.
Соединение пиридазинона, представленное формулой (I), в ингибиторе гиперплазии интимы сосудов по настоящему изобретению, в частности, представляет собой, предпочтительно, 4-бром-6-[3-(4-хлорфенил)пропокси]-5-(3-пиридилметиламино)-3(2Н)-пиридазинон или 4-бром-6-[3-(4-хлорфенил)-3-гидроксипропокси]-5-(3-пиридилметиламино)-3(2Н)-пиридазинон.
Результат использования изобретения
Настоящее изобретение относится к новому ингибитору гиперплазии интимы сосудов, содержащему соединение пиридазинона (I) или его фармакологически приемлемую соль.
Краткое описание чертежей
[Фиг.1] На фиг.1 показана площадь интимы после перорального введения 10 мг/кг соединения А или 300 мг/кг цилостазола в экспериментальном примере 1. * указывает на то, что по критерию Дуннетта разница по сравнению с группой, которой вводили растворитель, была значительной, р<0,05.
[Фиг.2] На фиг.2 показано отношение I/M после перорального введения 10 мг/кг соединения А или 300 мг/кг цилостазола в экспериментальном примере 1. * указывает на то, что по критерию Дуннетта разница по сравнению с группой, которой вводили растворитель, была значительной, р<0,05.
Наилучший способ осуществления изобретения
Далее будет описано соединение пиридазинона, представленное вышеуказанной формулой (I), или его фармакологически приемлемая соль, входящее в состав ингибитора гиперплазии интимы сосудов по настоящему изобретению.
В формуле (I) C1-6алкильные группы, такие как R1, R2 и R3, могут быть линейными или разветвленными и могут представлять собой, например, метил, этил, н-пропил, изопропил, н-бутил, изобутил, втор-бутил, трет-бутил, пентил, гексил или тому подобное.
R1 и R2 предпочтительно представляют атомы водорода, и R3 предпочтительно представляет атом водорода или C1-4алкильную группу.
В качестве R3 C1-4алкильная группа может представлять собой, например, метил, этил, н-пропил, изопропил, н-бутил, изобутил, втор-бутил, трет-бутил или тому подобное. Особенно предпочтительно, R3 является атомом водорода.
Атомы галогена Х и Y представляют собой атомы фтора, атомы хлора, атомы брома или атомы йода. Х предпочтительно представляет собой атом галогена, и Y предпочтительно представляет собой атом галогена или атом водорода.
В качестве A C1-8алкилен, который может быть замещен гидроксильной группой, может быть линейным или разветвленным и может представлять собой, например, метилен, этилен, пропилен, бутилен, пентилен, гексилен, гептилен, октилен, 2,2-диметилэтилен, 2,2-диэтилэтилен, 2,2-ди-н-пропилэтилен, гидроксиметилен, 1-гидроксиэтилен, 2-гидроксиэтилен, 3-гидроксипропилен или тому подобное.
А предпочтительно представляет C1-5алкилен, который может быть замещен гидроксильной группой.
В формуле (I) метиленовая группа может быть присоединена в любом положении пиридинового кольца, без конкретных ограничений, но, предпочтительно, присоединена в 3-положении к атому азота пиридинового кольца.
Кроме того, заместитель У может быть в любом положении бензольного кольца, но, предпочтительно, в 4-положении.
Особенно предпочтительными являются соединения пиридазинона формулы (I), где R1 и R2 представляют собой атомы водорода, R3 представляет собой атом водорода или C1-4алкил, Х представляет собой атом галогена, Y представляет собой атом галогена или атом водорода и А представляет собой C1-5алкилен, который может быть замещен гидроксильной группой.
В качестве предпочтительных соединений могут быть указаны 4-бром-6-[3-(4-хлорфенил)пропокси]-5-(3-пиридилметиламино)-3(2Н)-пиридазинон, 4-бром-6-[3-(4-хлорфенил)-3-гидроксипропокси]-5-(3-пиридилметиламино)-3(2Н)-пиридазинон и их фармакологически приемлемые соли.
В настоящем изобретении фармакологически приемлемые соли соединений пиридазинона (I) включают, например, соли неорганических кислот (такие как гидрохлориды, гидробромиды, фосфаты и сульфаты), соли органических кислот (такие как ацетаты, сукцинаты, малеаты, фумараты, малаты и тартраты). Эти соли могут быть получены из соединений пиридазинона (I) известными способами.
Соединения пиридазинона (I) по настоящему изобретению и их фармакологически приемлемые соли охватывают их стереоизомеры и оптические изомеры. Соединения пиридазинона (I) и их фармакологически приемлемые соли являются известными соединениями с низкой токсичностью. Они могут быть получены, например, способами, описанными в патентах JP-B-7-107055, US 5314883, EP-A-482208, JP-A-7-252237, US 5750523 и ЕР-А-742211.
Соединения пиридазинона (I) по настоящему изобретению и их фармакологически приемлемые соли обладают высокоэффективным ингибирующим действием в отношении гиперплазии интимы сосудов у млекопитающих, например у людей, собак, крупного рогатого скота, лошадей, кроликов, мышей и крыс.
Соединения пиридазинона (I) по настоящему изобретению и их фармакологически приемлемые соли вводят в подходящих дозах, подбираемых в зависимости от возраста, веса и состояния пациента, и обычно вводят взрослому человеку в количестве от 0,001 мг до 5 г в день, предпочтительно от 0,005 до 1000 мг в день, в виде одной до нескольких доз в день.
Соединения пиридазинона (I) по настоящему изобретению и их фармакологически приемлемые соли могут вводиться парентерально в виде инъекций (для подкожной, внутривенной, внутримышечной или внутрибрюшинной инъекции), мазей, суппозиториев, аэрозолей, глазных капель или каплей в нос, перорально в виде таблеток, капсул, гранул, пилюль, порошков, пастилок, жевательных таблеток, сиропов, растворов, эмульсий или суспензий или с помощью систем доставки лекарственных препаратов, таких как пропитанные лекарственным препаратом стенты или другие устройства, которые делают возможным локальную и непрерывную доставку лекарственного препарата.
Соединения пиридазинона (I) по настоящему изобретению и их фармакологически приемлемые соли могут быть получены в различных лекарственных формах общеизвестными способами, обычно используемыми для получения лекарственных препаратов.
Например, таблетки, капсулы, гранулы, пилюли, порошки, пастилки или жевательные таблетки для перорального приема могут быть получены известными способами с использованием наполнителя (такого как сахар, лактоза, глюкоза, крахмал или маннит), связывающего агента (такого как сироп, аравийская камедь, желатин, сорбит, трагант, метилцеллюлоза или поливинилпирролидон), дезинтегрирующего агента (такого как крахмал, карбоксиметилцеллюлоза или ее соли кальция, микрокристаллическая целлюлоза или полиэтиленгликоль), вещества, способствующего скольжению (такого как тальк, стеарат магния, стеарат кальция или оксид кремния) или смазывающего вещества (такого как лаурат натрия или глицерин).
В случае композиции для перорального введения, для улучшения растворимости и абсорбции, могут быть добавлены органические кислоты, такие как лимонная кислота, янтарная кислота, малеиновая кислота, фумаровая кислота, яблочная кислота, винная кислота.
Инъекции, аэрозоли, сиропы, растворы, эмульсии, суспензии, глазные капли и капли в нос могут быть получены обычными способами, используя растворитель для активного ингредиента (такой как вода, этиловый спирт, изопропиловый спирт, пропиленгликоль, 1,3-бутиленгликоль или полиэтиленгликоль), поверхностно-активное вещество (такое как сложный эфир сорбита и жирной кислоты, сложный эфир полиоксиэтилена сорбита и жирной кислоты, сложный эфир полиоксиэтилена и жирной кислоты, полиоксиэтиленовый сложный эфир гидрированного касторового масла или лецитина), суспендирующее вещество (такое как производное целлюлозы, например, натриевая соль карбоксиметилцеллюлозы или метилцеллюлоза или растительный каучук, например, трагант или аравийская камедь) или консервант (такой как п-гидроксибензоатный сложный эфир, хлорид бензалкония или соль сорбиновой кислоты). Суппозитории могут быть получены обычными способами, используя, например, масло какао, полиэтиленгликоль, ланолин, триглицерид жирной кислоты или кокосовое масло. Мази для чрескожной абсорбции могут быть получены, используя, например, белый вазелин, вазелиновое масло, высшие спирты, макроголовую мазь, гидрофильную мазь или гели на водной основе.
Примеры
Настоящее изобретение будет описано далее более подробно со ссылкой на примеры исследования и примеры. Однако, следует иметь в виду, что настоящее изобретение никак не ограничивается этими конкретными примерами.
В следующих примерах исследования и примерах использовали соединение А (4-бром-6-[3-(4-хлорфенил)пропокси]-5-(3-пиридилметиламино)-3(2Н)-пиридазинон гидрохлорид), полученное обычным способом.
Пример исследования 1
Влияние соединения А на гиперплазию интимы в бедренной артерии крысы
Образование гиперплазии интимы путем фотосенсебилизации
Под внутрибрюшинной анестезией пентобарбиталом (50 мг/мл/кг), в левую цервикальную вену крысы Wistar помещали катетер. Левую бедренную артерию отделяли, и на артерию помещали датчик ультразвукового импульсно-доплеровского измерителя кровотока. Артерию, расположенную рядом с датчиком, облучали зеленым светом (540 нм, 800,000 люкс) на расстоянии 5 мм от артерии. Через 10 минут после начала облучения стабильный кровяной поток сохранялся, и в левую цервикальную вену, для повреждения васкулярного эндотелия вводили инъекцией 15 мг/мл/кг бенгалроза. Затем на рассечение накладывали шов.
2. Разделение на группы и введение лекарственного средства
Крыс разделяли на группы: первой вводили растворитель (9 крыс), второй вводили 10 мг/кг соединения А (10 крыс) и третьей группе вводили 300 мг/кг цилостазола (10 крыс). Лекарственные препараты суспендировали в 0,5% растворе метилцеллюлозы, доводили до дозы, равной 5 мл/кг, и вводили перорально в день оперативного вмешательства после подтверждения послеоперационного пробуждения и затем вводили перорально один раз в день утром в течение следующих трех недель.
3. Оценка
Через три недели после оперативного вмешательства левую бедренную артерию вскрывали под анастезией. Кровь промывали перфузией физиологического раствора из левого желудка при давлении от 75 до 90 мм рт. ст. Для фиксации и иссечения левую бедренную артерию перфузировали физиологическим раствором с фосфатным буфером (PBS), содержащим 1% параформальдегид и 2% глутаральдегид. Для сравнения, неповрежденную правую бедренную артерию также рассекали. Рассеченные бедренные артерии хранили в 10% растворе формалина в нейтральном буфере. Для получения паталогических препаратов бедренные артерии последовательно резали на части по 0,5 мм толщиной и окрашивали гематоксилиномэозином (НЕ). Средние площади и площадь интимы в поперечных срезах бедренных артерий измеряли в индексах гиперплазии интимы с помощью анализатора компьютерного изображения и подсчитывали отношение площадь интимы/средняя площадь (отношение I/M).
4. Статистический анализ
Результаты выражены как средняя величина ± стандартное отклонение. Для распределения однородности в каждой группе с помощью критерия Бартлетта анализировали площади интимы и отношения I/M. Если распределение было однородным, то выполняли односторонний анализ отклонения, и средние величины для группы, которой вводили раствор, и соответствующих групп, принимавших лекарственный препарат, анализировали с помощью критерия Бартлетта для определения того, есть ли существенная разница между ними. Если распределение было неоднородным, то проводили тест рангового критерия Крускала-Уоллиса, и если была значительная разница между группой, которой вводили растворитель, и группой, принимавшей лекарственный препарат, то средние ранги для двух групп анализировали по критерию Дуннетта. Разницу между двумя группами считали значительной, если р<0,05 (двусторонний).
Результаты
Результаты показаны на фиг.1. При пероральном приеме дозы, равной 10 мг/кг, соединение А значительно снижало площадь интимы и отношение I/M и оказывало ингибирующее действие на гиперплазию интимы. При введении 300 мг/кг цилостазола эффекта не наблюдали.
Пример 1 (таблетки)
10 г соединения А, 20 г лактозы, 5 г крахмала, 0,1 г стеарата магния и 7 г карбоксиметилцеллюлозы кальция, всего 42,1 г, смешивали обычным способом и каждую таблетку, содержащую 50 мг соединения А, покрывали сахарной оболочкой.
Пример 2 (таблетки)
Получали таблетки, содержащие 10,0 мг соединения А в качестве активного ингредиента, 5,0 мг лимонной кислоты в качестве органической кислоты, 123,0 мг лактозы в качестве наполнителя, 4,0 мг гидроксипропилцеллюлозы в качестве связывающего вещества, 7,0 мг кроскармеллозы натрия в качестве дезинтегратора и 1,0 мг стеарата магния в качестве вещества, улучшающего скольжение.
Пример 3 (капсулы)
10 г соединения А, 20 г лактозы, 10 г микрокристаллической целлюлозы и 1 г стеарата магния, всего 41 г, смешивали обычным способом и помещали в желатиновые капсулы для получения капсул, содержащих по 50 мг соединения А каждая.
Пример 4 (аэрозольная суспензия)
Смешивали следующие компоненты (А) и полученную жидкую смесь помещали в снабженный клапаном сосуд. Для получения аэрозольной суспензии, распыляющее вещество (В) вводили через клапанное впускное отверстие при 20°С до величины давления, равной около от 2,46 до 2,81 мг/см2.
(A): Соединение А 0,25 мас.%, изопропил миристат 0,10 мас.%, этанол 26,40 мас.%
(B): 60-40 (массовое отношение) смесь 1,2-дихлортетрафторэтана и 1-хлорпентафторэтана: 73,25 мас.%.
Промышленная применимость
Получен новый ингибитор гиперплазии интимы, содержащий в качестве активного ингредиента соединение пиридазинона или его фармакологически приемлемую соль.
Полное описание японской патентной заявки № 2004-32551 (поданной 9 февраля, 2004), в т.ч. описание изобретения, формула изобретения, чертежи и реферат, включено здесь в качестве ссылки в полном объеме.
Формула изобретения
1. Ингибитор гиперплазии интимы сосудов, содержащий соединение 3(2Н)-пиридазинона, представленное формулой (I) или его фармакологически приемлемую соль:

где каждый из R1, R2 и R3 независимо представляет собой атом водорода или С1-6алкильную группу, Х представляет собой атом галогена, циано или атом водорода, Y представляет собой атом галогена, трифторметил или атом водорода, и А представляет собой C1-8алкилен, который может быть замещен гидроксильной группой.
2. Ингибитор гиперплазии интимы сосудов по п.1, где соединение представлено формулой (I), в которой R1 и R2 представляют собой атомы водорода, R3 представляет собой атом водорода или С1-4алкильную группу, Х представляет собой атом галогена, Y представляет собой атом галогена или атом водорода, и А представляет собой C1-5алкилен, который может быть замещен гидроксильной группой.
3. Ингибитор гиперплазии интимы сосудов по п.1, где соединение, представленное формулой (I), представляет собой 4-бром-6-[3-(4-хлорфенил)пропокси]-5-(3-пиридилметиламино)-3(2Н)-пиридазинон или 4-бром-6-[3-(4-хлорфенил)-3-гидроксипропокси]-5-(3-пиридилметиламино)-3(2Н)-пиридазинон.
4. Ингибитор гиперплазии интимы сосудов по пп.1, 2 или 3, где фармакологически приемлемая соль представляет собой соль органической или неорганической кислоты.
5. Ингибитор гиперплазии интимы сосудов по пп.1, 2 или 3, где фармакологически приемлемая соль представляет собой гидрохлорид.
РИСУНКИ
|
|