|
|
(21), (22) Заявка: 2007118803/09, 21.05.2007
(24) Дата начала отсчета срока действия патента:
21.05.2007
(46) Опубликовано: 20.11.2008
(56) Список документов, цитированных в отчете о поиске:
RU 94011333 A1, 20.08.1996. RU 2284645 С1, 27.09.2006. RU 2184417 С1, 27.06.2002. SU 1453574 A1, 23.01.1989. GB 2188802 А, 07.10.1987. US 5734251 A1, 31.03.1998. EP 0442848 A1, 21.08.1991. WO 03047085 A1, 29.05.2003.
Адрес для переписки:
450000, Республика Башкортостан, г.Уфа, ул. К. Маркса, 12, УГАТУ, ОИС, В.П. Ефремовой
|
(72) Автор(ы):
Рогинская Любовь Эммануиловна (RU), Стыскин Андрей Владиславович (RU), Уразбахтина Нэля Гиндулаевна (RU), Рябухин Дмитрий Сергеевич (RU)
(73) Патентообладатель(и):
Государственное образовательное учреждение высшего профессионального образования Уфимский государственный авиационный технический университет (RU)
|
(54) УСТРОЙСТВО УПРАВЛЕНИЯ ПРЕОБРАЗОВАТЕЛЯ ЧАСТОТЫ
(57) Реферат:
Изобретение относится к области электротехники и может быть использовано для управления автономными инверторами напряжения в частотно-регулируемых электроприводах переменного тока. Техническим результатом является минимизация потерь электроэнергии в электроприводе при различных моментах нагрузки. В устройстве управления преобразователем частоты дополнительно введены модуль расчета оптимального скольжения и модуль расчета вектора тока статора. Выход задатчика частоты вращения соединен с первым входом модуля расчета оптимального скольжения и с первым входом устройства рассогласования, второй вход которого подключен к датчику измеренной частоты вращения электропривода, выход которого подключен ко второму входу модуля расчета оптимального скольжения и ко второму входу модуля расчета вектора тока статора, первый вход которого соединен с выходом модуля расчета оптимального скольжения, а третий вход соединен с задатчиком конструктивных параметров электропривода. Выход модуля расчета вектора тока статора соединен с первым входом компаратора вектора тока и со вторым входом блока выбора вектора напряжения. Датчик переменного тока инвертора соединен со входом блока преобразования вектора тока статора, выход которого соединен со вторым входом компаратора вектора тока и третьим входом блока выбора вектора напряжения, первый вход которого соединен с выходом компаратора вектора тока, а третий вход подключен к датчику выпрямленного напряжения. Выходы блока выбора вектора напряжения подключены к драйверам силовых транзисторов инвертора. 2 ил.
Изобретение относится к преобразовательной технике и может быть использовано для управления автономными инверторами напряжения в частотно-регулируемых электроприводах переменного тока.
В большинстве современных электроприводов для управления током статора двигателя используется принцип векторной широтно-импульсной модуляции (ШИМ) (Брасловский И.Я. Энергосберегающий асинхронный электропривод: Учеб. пособие для студ. высш. учеб. заведений. – М.: Академия, 2004, стр.40). Главный недостаток данного принципа заключается в том, что для получения малых гармонических искажений тока необходимо повышать тактовую частоту ШИМ, что приводит к увеличению динамических потерь в ключах инвертора. Кроме того, принцип ШИМ не позволяет полностью использовать напряжение источника питания, что ухудшает эффективность системы.
Известен электропривод с векторной системой регулирования, в котором плавность регулирования скорости достигается тем, что электропривод (Заявка на изобретение №94011333(13) RU, МКИ6 6Н02 Р7/36 от 1996.08.20) содержит асинхронный электродвигатель, подключенный статорными обмотками к инвертору напряжения, датчик токов статора, блок сравнения, блок задания, формирователь токовых ошибок, определитель сектора токовых ошибок, формирователь управляющих воздействий, определитель сектора эквивалентного напряжения, измеритель вектора эквивалентного напряжения и определитель нулевого вектора напряжения.
Недостатком данного устройства является наличие большого количества (больше двух) замкнутых контуров регулирования, способных привести к неустойчивости всей системы управления электроприводом в целом, и отсутствие каких-либо регуляторов, исключающих подобные известные явления.
Недостатком известного устройства, выбранного в качестве прототипа, реализующего данный принцип, является то, что это устройство не позволяет выбрать экономичный, рациональный режим работы при изменении характера нагрузки и смене диапазона рабочих скоростей для данного двигателя, что является существенным для ограничения его нагрева и расширения области допустимой по нагреву моментов нагрузки.
Техническим результатом предлагаемого изобретения является минимизация потерь электроэнергии в электроприводе при различных моментах нагрузки.
Технический результат достигается тем, что в устройстве управления преобразователя частоты, состоящем из внешнего контура скорости и внутреннего контура тока, задатчика чистоты вращения электропривода, задатчика конструктивных параметров электропривода, датчика переменного тока инвертора, датчика выпрямленного напряжения, датчика измеренной частоты вращения электропривода, причем внутренний контур тока содержит компаратор вектора тока и блок выбора вектора напряжения, а внешний контур скорости содержит устройство рассогласования, регулятор скорости, блок преобразования вектора тока статора, в отличие от прототипа дополнительно введены модуль расчета оптимального скольжения и модуль расчета вектора тока статора, причем выход задатчика частоты вращения соединен с первым входом модуля расчета оптимального скольжения и с первым входом устройства рассогласования, второй вход которого подключен к датчику измеренной частоты вращения электропривода, выход которого подключен ко второму входу модуля расчета оптимального скольжения и ко второму входу модуля расчета вектора тока статора, первый вход которого соединен с выходом модуля расчета оптимального скольжения, а третий вход соединен с задатчиком конструктивных параметров электропривода, выход модуля расчета вектора тока статора соединен с первым входом компаратора вектора тока и со вторым входом блока выбора вектора напряжения, датчик переменного тока инвертора соединен со входом блока преобразования вектора тока статора, выход которого соединен со вторым входом компаратора вектора тока и третьим входом блока выбора вектора напряжения, первый вход которого соединен с выходом компаратора вектора тока, а третий вход подключен к датчику выпрямленного напряжения, выходы блока выбора вектора напряжения подключены к драйверам силовых транзисторов инвертора.
В процессе работы при изменении скоростного диапазона и изменении характера и величины нагрузки в отличие от прототипа дополнительно определяют оптимальное скольжение, учитываемое при расчете вектора тока статора, соответствующего заданному моменту нагрузки и обеспечивающее оптимальное управление двигателем по минимуму потерь мощности.
Сущность заявляемого изобретения поясняется чертежами.
На фиг.1 показана зависимость оптимального скольжения от частоты вращения и момента нагрузки опт=f(М*, *). На фиг.2 показана структурная схема устройства управления преобразователя частоты.
Устройство управления преобразователя частоты состоит из двух контуров: внешнего контура скорости 1 и внутреннего контура тока 2, задатчика частоты вращения электропривода 3, задатчика конструктивных параметров электропривода 4, датчика переменного тока инвертора 5, датчика выпрямленного напряжения 6, датчика измеренной частоты вращения электропривода 7. Причем внутренний контур тока 2 содержит компаратор вектора тока 8 и блок выбора вектора напряжения 9, а внешний контур скорости 1 содержит устройство рассогласования 10, регулятор скорости 11, блок преобразования вектора тока статора 12, модуль расчета оптимального скольжения 13, модуль расчета вектора тока статора 14.
Выход задатчика частоты вращения 3 соединен с первым входом модуля расчета оптимального скольжения 13 и с первым входом устройства рассогласования 10, второй вход которого подключен к датчику измеренной частоты вращения электропривода 7, выход которого подключен ко второму входу модуля расчета оптимального скольжения 13 и ко второму входу модуля расчета вектора тока статора 14, первый вход которого соединен с выходом модуля расчета оптимального скольжения 13, а третий вход соединен с задатчиком конструктивных параметров электропривода 4. Выход модуля расчета вектора тока статора 14 соединен с первым входом компаратора вектора тока 8 и со вторым входом блока выбора вектора напряжения 9. Датчик переменного тока инвертора 5 соединен со входом блока преобразования вектора тока статора 12, выход которого соединен со вторым входом компаратора вектора тока 8 и третьим входом блока выбора вектора напряжения 9, первый вход которого соединен с выходом компаратора вектора тока 8, а третий вход подключен к датчику выпрямленного напряжения 6. Выходы блока выбора вектора напряжения 9 подключены к драйверам силовых транзисторов инвертора.
Устройство управления преобразователя частоты работает следующим образом.
Задаются основные параметры электропривода:
R1, R2 – активные сопротивления обмоток статора и ротора двигателя;
L0 – индуктивность намагничивающего контура;
L1 , L2 – индуктивности рассеяния обмоток статора и ротора двигателя;
рn – число пар полюсов двигателя;
f1ном – номинальная частота питающего напряжения;
1ном=2 f1ном;
ном – номинальная частота вращения двигателя;
– номинальное скольжение двигателя.
С задающего устройства 3 вводится сигнал, пропорциональный относительной частоте вращения *=рn / 1ном. С устройства рассогласования 10 снимается сигнал, пропорциональный разности заданной частоты вращения * и сигнала обратной связи с датчика измеренной частоты вращения электропривода *осрn 7. Согласно разности сигналов, блок регулятора скорости 11 выдает сигнал, пропорциональный моменту М*. В постоянной памяти модуля расчета оптимального скольжения 13 заложена зависимость (фиг.1) оптимального скольжения опт=f(М*, *), отражающая график (Брасловский И.Я. Энергосберегающий асинхронный электропривод: Учеб. пособие для студ. высш. учеб. заведений. – М.: Академия, 2004, стр.96, рис.3.25,а).
При изменении заданной частоты вращения * и соответствующего ей момента М* с модуля расчета оптимального скольжения 13 снимается сигнал нового оптимального скольжения, обеспечивающего оптимальный режим работы электропривода по минимуму потерь.
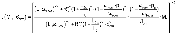
На основании введенных конструктивных параметров, номинальных данных двигателя и поступивших значениий М* и опт в модуле расчета вектора тока 14 вычисляется величина вектора тока статора

Формула для расчета IS показывает его зависимость от опт и М*, что подтверждает принцип оптимального управления моментом и током статора по минимуму суммарных потерь (Брасловский И.Я. Энергосберегающий асинхронный электропривод: Учеб. пособие для студ. высш. учеб. заведений. – М.: Академия, 2004 стр.101, ф.3.62).
Полученный вектор тока обмотки статора IS подается в контур тока 2, на выходе которого формируются векторы напряжений, подаваемых к драйверам силовых транзисторов инвертора.
Таким образом, предлагаемое устройство управления преобразователя частоты позволяет реализовать оптимальный закон управления по минимуму суммарных потерь электропривода для ограничения его нагрева и расширения области, допустимых по нагреву моментов нагрузки за счет учета оптимального скольжения при расчете ошибки тока при заданных значениях частоты вращения и момента нагрузки.
Формула изобретения
Устройство управления преобразователя частоты, состоящее из внешнего контура скорости и внутреннего контура тока, задатчика частоты вращения электропривода, задатчика конструктивных параметров электропривода, датчика переменного тока инвертора, датчика выпрямленного напряжения, датчика измеренной частоты вращения электропривода, где внутренний контур тока содержит компаратор вектора тока и блок выбора вектора напряжения, а внешний контур скорости содержит устройство рассогласования, регулятор скорости, блок преобразования вектора тока статора, причем датчик переменного тока инвертора соединен с входом блока преобразования вектора тока статора, выход которого соединен со вторым входом компаратора вектора тока и третьим входом блока выбора вектора напряжения, первый вход которого соединен с выходом компаратора вектора тока, четвертый вход подключен к датчику выпрямленного напряжения, а выходы блока выбора вектора напряжения подключены к драйверам силовых транзисторов инвертора, выход задатчика частоты вращения соединен с первым входом устройства рассогласования, второй вход которого подключен к датчику измеренной частоты вращения электропривода, а выход подключен к регулятору скорости, отличающееся тем, что дополнительно введены модуль расчета оптимального скольжения и модуль расчета вектора тока статора, причем первый вход модуля расчета оптимального скольжения соединен с выходом задатчика частоты вращения, второй вход подключен к регулятору скорости, а выход подключен к первому входу модуля расчета вектора тока статора, второй вход которого соединен с выходом регулятора скорости, третий вход подключен к задатчику конструктивных параметров электропривода, а выход подключен к первому входу компаратора вектора тока и ко второму входу блока выбора вектора напряжения.
РИСУНКИ
|
|