Патент на изобретение №2338814
|
||||||||||||||||||||||||||||||||||||||||||||||||||||||||||||||||||||||||||||||||||||||||||||||||||||||||||||||||||||||||||||||||||||||||
(54) ЭЛЕКТРОЛИТ ДЛЯ ЭЛЕКТРООСАЖДЕНИЯ КАДМИЯ
(57) Реферат:
Изобретение относится к области электроосаждения металлических покрытий на сталь для защиты от коррозии. Электролит содержит, г/л: сульфат кадмия 40-60, серная кислота 20-40, экстракт крахмалопаточный 10-15, N,N
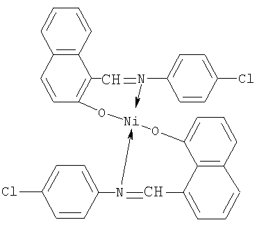
Изобретение относится к области электроосаждения гальванических защитно-декоративных металлических покрытий. Известен сульфатный электролит кадмирования, содержащий сульфат кадмия 40-60 г/л, сульфат аммония 240-260 г/л, диспергатор НФ-6 50-100 мл/л, уротропин 15-20 г/л, препарат ОС-20 0,7-1,2 г/л. Электролит позволяет получать светлые матовые осадки кадмия при плотностях тока 0,5-1,5 А/дм2, с выходом по току 96-83% (Каданер Л.И. Справочник по гальваностегии. Киев: Техника, 1976, стр.124). В указанном сульфатном электролите утрачено одно из основных достоинств электролитов на основе простых солей – их высокая производительность. Не удается получить и блестящие кадмиевые покрытия. Наиболее близким к предлагаемому по технической сущности и полученным результатам является электролит кадмирования по авторскому свидетельству СССР №344025 (МКИ С25D 3/00). В этом электролите, компонентами которого являются сульфат кадмия 45-60 г/л, серная кислота 20-15 г/л, кислые смолки (отход коксохимической промышленности) 30-55 г/л, экстракт крахмалопаточный (отход производства крахмала кукурузного) 10-15 г/л, катодная плотность тока может быть значительно увеличена до 3-5 А/дм2, что делает этот электролит одним из наиболее производительных в области кадмирования. В электролите получают блестящие мелкокристаллические кадмиевые покрытия с хорошим сцеплением с основой, катодный выход по току 76-81%, рассеивающая способность 27% (у предыдущего сульфатного 19%). Однако в электролите наблюдается заметное наводороживание покрытий и стальной основы, что препятствует применению его в тех случаях, когда водородная хрупкость недопустима (например, при кадмировании пружины). Основная техническая задача, поставленная в предлагаемом изобретении, – снижение наводороживания, возникающего при кадмировании. Для решения поставленной задачи в сульфатный электролит кадмирования предлагается ввести органические добавки, которые улучшают качество осаждаемых на катоде кадмиевых покрытий и снижают наводороживание стали. В качестве указанных добавок рекомендуется N,N’-Бис(2-окси-1-нафтилиден)-n-хлоранилин хелат никеля, имеющий следующую структуру:
и
Не входящий в отличительный признак электролита крахмалопаточный экстракт представляет собой отход пищевой промышленности, являющийся продуктом, который содержит белковые соединения (более 50%), крахмал (10-30%), жиры (7-8%) и некоторые другие вещества. Предлагаемый электролит содержит следующие компоненты, взятые в концентрациях, г/л:
Кадмирование проводят при плотностях тока 1-5 А/дм2, температуре 18-25°С, продолжительность электролиза от 15 до 60 мин. При указанных концентрациях компонентов и условиях электролиза получают блестящие осадки кадмия, отличающиеся мелкокристаллической структурой, пластичностью и хорошим сцеплением с основой. Рассеивающая способность электролита составляет 21% (при 2 А/дм2) и 29% (при 5 А/дм2), катодный выход по току 80-95%. Электролит приготавливают следующим образом: в 500 мл серной кислоты с концентрацией вдвое больше, чем указано выше, растворяют альдегид, а затем хелат никеля при энергичном перемешивании. В 400 мл воды растворяют сульфат кадмия, в 90-100 мл воды – экстракт крахмалопаточный, а затем сливают при перемешивании полученные растворы. Осаждение кадмия проводилось на стальную проволоку и плоские образцы (марки ПП), которые предварительно обезжиривали венской известью. Для определения наводороживания образцы скручивались до излома на машине К-5. Опыт проводили в 5-10 кратной повторности. Число оборотов некадмированного проволочного образца до излома принималось за 100% (полное сохранение пластичности, то есть отсутствие наводороживания). Число оборотов до излома n после кадмирования характеризует наводороживание образца в результате кадмирования: чем меньше n, тем больше водородная хрупкость стали. Тогда 100-n характеризует остаточную пластичность образца. Таким образом, чем больше величина (100-n), тем эффективнее защита от наводороживания. В таблице 1 приводятся составы электролитов, использованных для кадмирования. Под номерами 1 и 2 фигурирует известный электролит, номера 3-5 относятся к предлагаемому электролиту, под номером 6 представлен электролит только с добавкой экстракта крахмалопаточного.
Результаты испытаний образцов на наводороживание в зависимости от состава электролита и режима электролиза приводятся в таблице 2.
Рассмотрение результатов позволяет сделать ряд заключений: 1. Наиболее существенное наводороживание образцов при кадмировании наблюдается в электролитах 1 и особенно 2, то есть при максимальной концентрации кислых смолок, которые ответственны за водородную хрупкость образцов при кадмировании в известном электролите (добавка вводилась в электролит для получения блестящих покрытий). 2. В электролите 6, где присутствует только одна добавка, наводороживание меньше, чем в электролитах 1 и 2. Однако образовавшиеся кадмиевые покрытия в электролите 6 теряют блеск, а при 4 А/дм2 становятся темными. 3. В предлагаемом электролите кадмирования наводороживание образцов стали резко снижается вплоть до полного подавления его при плотности тока 4 А/дм2. 4. Таким образом, введение предложенных добавок в электролит кадмирования вместо кислых смолок позволяет решить поставленную техническую задачу.
Формула изобретения
Электролит для электроосаждения кадмия, включающий сульфат кадмия, серную кислоту и экстракт крахмалопаточный, отличающийся тем, что он дополнительно содержит добавки N,N
|
||||||||||||||||||||||||||||||||||||||||||||||||||||||||||||||||||||||||||||||||||||||||||||||||||||||||||||||||||||||||||||||||||||||||

-Бис(2-окси-1-нафтилиден)-n-хлоранилин хелат никеля 0,7-1,5,
-толуиловый альдегид 0,5-1,0. Технический результат – снижение наводороживания стали, которое приводит при кадмировании к появлению водородной хрупкости и снижению пластичности металла. 2 табл.
