|
(21), (22) Заявка: 2005119991/04, 19.11.2003
(24) Дата начала отсчета срока действия патента:
19.11.2003
(30) Конвенционный приоритет:
25.11.2002 US 10/303,287
(43) Дата публикации заявки: 20.01.2006
(46) Опубликовано: 20.11.2008
(56) Список документов, цитированных в отчете о поиске:
RU 99124191 А, 20.08.2001. ЕР 0850291 В1, 30.01.2002. WO 98/41604 А1, 24.09.1998. WO 98/07812 А2, 26.02.1998. ЕР 0816322 А1, 07.01.1998. WO 97/34578 А1, 25.09.1997. GB 2359750 А, 05.09.2001. ЕР 0905115 А1, 31.03.1998. СА 2293252 А1, 30.12.1998. ЕР 0012543 В1, 11.05.1983.
(85) Дата перевода заявки PCT на национальную фазу:
27.06.2005
(86) Заявка PCT:
US 03/36964 (19.11.2003)
(87) Публикация PCT:
WO 2004/047788 (10.06.2004)
Адрес для переписки:
129090, Москва, ул. Б.Спасская, 25, стр.3, ООО “Юридическая фирма Городисский и Партнеры”, пат.пов. Е.Е.Назиной, рег. № 517
|
(72) Автор(ы):
СМИТ Дэниел В. (US), ФАРУК Амджад (US), У. Дунхой (US), ХЕЙБЕЛ Мария (US), ДРЕС Карен (US)
(73) Патентообладатель(и):
КОЛГЕЙТ-ПАЛМОЛИВ КОМПАНИ (US)
|
(54) ФУНКЦИОНАЛЬНЫЙ ПРЕДШЕСТВЕННИК АРОМАТИЗАТОРА, ЕГО СПОСОБ ПОЛУЧЕНИЯ И КОМПОЗИЦИЯ НА ЕГО ОСНОВЕ, ИСПОЛЬЗУЕМАЯ В КАЧЕСТВЕ СТИРАЛЬНОГО ПОРОШКА, ОТДУШКИ, КАК ПРОДУКТ ДЛЯ ЛИЧНОЙ ГИГИЕНЫ ИЛИ КАК ПРОДУКТ ДЛЯ УХОДА ЗА ПОЛОСТЬЮ РТА ИЛИ ЗА ТВЕРДОЙ ПОВЕРХНОСТЬЮ
(57) Реферат:
Настоящее изобретение относится к классу соединений-предшественников ароматизаторов, включая в себя одно или несколько соединений, полученных при взаимодействии Х-ОН и альдегида или кетона, указанные соединения-предшественники ароматизаторов имеют формулу X-O-C(R)(R*)(OR**), в которой R представляет собой С6-24алкильную группу, С6-24аралкильную группу или С6-24алкарильную группу; R* представляет собой Н или С6-24алкильную группу, С6-24аралкильную группу или С6-24алкарильную группу; R** представляет собой Н или X; Х-О представляет собой группу, производную от Х-ОН, где Х-ОН представляет собой мягчитель для ткани на основе ди(жирных) амидоаминов. Во втором аспекте оно относится к способу получения таких предшественников. Также изобретение относится к получению композиций и продуктов, таких как стиральный порошок, мягчитель для ткани, отдушка или высококачественный ароматизатор, продукт для личной гигиены или продукт для ухода за полостью рта, или продукт для ухода за твердой поверхностью. Целью настоящего изобретения является получение композиций для доставки соединения-предшественника ароматизатора, обладающих замедленным высвобождением ароматизатора, 7 н. и 13 з.п. ф-лы, 10 ил.
Область техники, к которой относится изобретение
Настоящее изобретение относится к классу соединений и, в частности, к группе соединений-предшественников ароматизаторов, которые используются для создания ароматического эффекта, предпочтительно, на поверхностях, таких как волокна, кожа, волосы, и на твердых поверхностях. Более конкретно, настоящее изобретение относится к группе соединений-предшественников ароматизаторов, которые разлагаются на указанных выше поверхностях и, в результате этого, высвобождают отдушку. В предпочтительных вариантах осуществления настоящее изобретение относится к определенным гемиацеталевым и ацеталевым соединениям. Поскольку отдушка или ароматизатор высвобождается только тогда, когда соединения по настоящему изобретению разлагаются, соединения по настоящему изобретению способны обеспечивать длительный ароматический эффект. То есть соединения по настоящему изобретению позволяют осуществить замедленное высвобождение ароматизаторов.
Еще в одном аспекте настоящее изобретение относится к способу получения этих соединений-предшественников. Соединения-предшественники ароматизаторов состоят из исходных материалов ароматизаторов и функциональных соединений, таких как поверхностно-активные вещества, полимеры и тому подобное, которые придают полезные свойства, такие как защита поверхности, кондиционирование поверхности и/или очистка поверхности.
В дополнение к этому настоящее изобретение относится к композициям, содержащим соединения по настоящему изобретению, и к системам доставки исходных материалов ароматизаторов, которые позволяют расширить полезные свойства ароматизаторов.
Уровень техники
В WO-00/72816 описываются системы доставки ароматизаторов, которые содержат про-ароматизаторы или про-аккорды (аккорд – сочетание запахов, пер.), выбранные, по меньшей мере, из двух из следующих соединений: (i) альдегида и кетона, высвобождающих про-ароматизаторы, эти про-ароматизаторы включают в себя, среди прочих, и, предпочтительно, оксазолидины; (ii) -амино про-ароматизаторов и (iii) про-аккордов на основе ортоэфиров. Описанные про-ароматизаторы способны доставлять альдегиды и кетоны исходных материалов ароматизаторов, в частности, на кожу человека. Более подробно, указанная международная заявка на патент основана на тех данных, что некоторые исходные продукты для альдегидных ароматизаторов, такие как пара-трет-букинал, цимил и лилиаль, могут контролируемо высвобождаться из конкретных гетероциклических про-ароматизаторов, в частности, на коже.
В продуктах для стирки, таких как мягчители для ткани или стиральные порошки, как правило, присутствуют добавки отдушек, которые делают указанные продукты более эстетически приятными для потребителей. Продукт должен не только приятно пахнуть и, таким образом, влиять на восприятие покупателя, но также придавать приятный и, предпочтительно, длительный аромат волокнам или тканям, обработанным им. Одна из проблем, с которыми сталкиваются специалисты в данной области, заключается в том, что количество сохраняющейся отдушки является скорее очень малым; много ароматизатора теряется в процессе стирки и исчезает при отжиме. Было бы очень желательно найти пути более эффективной доставки отдушки или ароматизаторов к волокнам, тканям и текстильным изделиям и достигнуть ароматического эффекта в течение более длительного периода времени.
В заявке Colgate-Palmolive WO 02/057400 описан водорастворимый, поперечно сшитый катионный полимер, полученный при полимеризации 5-100 молярных процентов катионного винилового аддитивного мономера, 0-95 молярных процентов акриламида и 70-300 м.д. дифункционального агента для поперечной сшивки винилового аддитивного мономера, который улучшает доставку ароматизатора из композиции, смягчающей ткань, к ткани, которая должна быть смягчена.
В находящейся на одновременном рассмотрении заявке Colgate-Palmolive на патент США, серийный №9/893117, подана 27 июня 2001, описана композиция для ухода за тканями, содержащая катионный мягчитель; не ограниченное в выборе ароматизирующее масло и, по меньшей мере, один ингредиент для улучшения свойств ткани или кожи, такой как ароматизирующее масло, содержащееся внутри самоклеющихся микрокапсул, для обеспечения улучшения доставки такого ингредиента, улучшающего свойства, в ткань.
Цели настоящего изобретения
Первой целью настоящего изобретения является разработка альтернативных предшественников ароматизаторов или про-ароматизаторов.
Другой целью является создание более эффективной системы доставки ароматизатора или отдушки на поверхности.
Следующей целью является разработка функциональных предшественников ароматизаторов, которые придают улучшенные свойства в отношении длительности ароматического эффекта, в частности, на материалах, содержащих волокна, таких как ткани и белье.
Кроме того, целью настоящего изобретения является создание системы контролируемого или замедленного высвобождения ароматизатора в течение более длительного периода времени.
Еще одной целью является создание композиционных потребительских товаров, которые могли бы обеспечить замедленное высвобождение ароматизатора.
Другие цели станут понятны из следующего далее описания и достигаются, в частности, для продуктов для стирки, продуктов для личной гигиены, продуктов для ухода за твердыми поверхностями, продуктов для перорального использования и так далее.
Сущность изобретения
В соответствии с настоящим изобретением обнаружен класс химических соединений, в частности класс соединений-предшественников ароматизаторов, которые образуют основу продуктов и способов, которые удовлетворяют, по меньшей мере, некоторым из указанных выше целей.
Более конкретно, настоящее изобретение относится к соединениям-предшественникам ароматизаторов, которые способны разлагаться в условиях окружающей среды и которые представляют собой продукт взаимодействия производного гидроксила Х-ОН и альдегида или кетона. Более конкретно, настоящее изобретение относится к соединению-предшественнику ароматизатора, включая одно или несколько из соединений, полученных при взаимодействии Х-ОН и альдегида или кетона, указанные соединения-предшественники ароматизаторов имеют формулу X-O-C(R)(R*)(OR**), где R представляет собой С6-24алкильную группу, С6-24аралкильную группу или С6-24алкарильную группу; R* представляет собой Н или С6-24алкильную группу, С6-24аралкильную группу или С6-24алкарильную группу; R** представляет собой Н или X; Х-O представляет собой остаток, полученный из Х-ОН, где Х-ОН представляет собой соединение, выбранное из группы, состоящей из поверхностно-активного вещества, мягчителей для тканей, предшественника мягчителя на основе сложноэфирных аминов, предшественника мягчителя на основе амидоаминов, кондиционеров для волос, кондиционеров для кожи, сахаридов и полимеров.
В предпочтительных вариантах осуществления Х-ОН имеет следующую структуру:

где R1 и R2 представляют собой, каждый независимо, Н, или
(a) C1-C22 представляет собой алкиленкарбоксигруппу, имеющую формулу -(CH2)eR3, где R3 представляет собой -NHCOR4, или -OCOR4, или -NR5COR4, где R4 и R5 представляют собой, каждый независимо, С1-С22алкил или алкенил и е представляет собой целое число от 1 до 22, или
(b) С1-С22алкил с прямой или разветвленной цепью; или
(c) С1-С22алкенил с прямой или разветвленной цепью; или
(d) C2-C22 замещенную или незамещенную алкиленокси; или
(e) С3-С22 замещенный или незамещенный алкиленоксиалкил; или
(f) C6-C22 замещенную или незамещенную арилокси; или
(g) C7-C22 замещенный или незамещенный алкиленарил; или
(h) C7-C22 замещенный или незамещенный алкиленоксиарил; или
(i) С7-С22аксиалкиленарил; или
(j) анионное звено, имеющее формулу
-(CH2)yR6
где R6 представляет собой -SO3M, -OSO3M, -PO3М, -OPO3М, Cl или их смеси, где М представляет собой водород или один или несколько катионов, образующих соли, достаточных для сохранения баланса заряда, или их смеси; у представляет собой целое число от 1 до 22; или
(k) смесь, содержащую, по меньшей мере, два соединения из (а)-(j), и
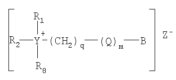
q представляет собой целое число от 0 до 22; m представляет собой целое число от 0 до 22; Q представляет собой (СН2)m или (CH2CHR7O); R7 представляет собой, независимо, водород, метил, этил, пропил или бензил; В представляет собой Н или ОН и Y представляет собой CR1 или N.

где R1 и R2, независимо, представляют собой С12-С30алифатические углеводородные группы, R3 представляет собой (СН2СН2O)рН, СН3 или Н; Т представляет собой NH; n представляет собой целое число от 1 до 5; m представляет собой целое число от 1 до 5 и р представляет собой целое число от 1 до 10.

где R1 представляет собой Н или
(a) С1-С22алкиленкарбоксигруппу, имеющую формулу -(CH2)eR3, где R3 представляет собой -NHCOR4, или -OCOR4, или -NR5COR4 и где R4 и R5 представляют собой, каждый независимо, С1-С22алкил или алкенил и е представляет собой целое число от 1 до 22, или
(b) С1-С22алкил с прямой или разветвленной цепью; или
(c) С1-С22алкенил с прямой или разветвленной цепью; или
(d) C2-C22 замещенную или незамещенную алкиленокси; или
(e) С3-С22 замещенный или незамещенный алкиленоксиалкил;
(f) C6-C22 замещенную или незамещенную арилокси; или
(g) С7-С22 замещенный или незамещенный алкиленарил; или
(h) C7-C22 замещенный или незамещенный алкиленоксиарил;
(i) С7-С22аксиалкиленарил; или
(j) анионное звено, имеющее формулу
-(CH2)yR6
где R6 представляет собой -SO3M, -OSO3M, -PO3М, -ОРО3М, Cl или их смеси, где М представляет собой водород, или один или несколько катионов, образующих соли, достаточных для сохранения баланса заряда, или их смеси; у представляет собой целое число от 1 до 22, и
(k) смесь, содержащую, по меньшей мере, два из (a)-(j), и
q представляет собой целое число от 0 до 22; m представляет собой целое число от 0 до 22; Q представляет собой (СН2)m или (CH2CHR7O); R7 представляет собой, независимо, водород, метил, этил, пропил или бензил; В представляет собой Н или ОН и Y представляет собой О или S.

где R1 и R2 представляют собой, каждый независимо, Н или
(a) С1-С22алкиленкарбоксигруппу, имеющую формулу -(СН2)еR3, где R3 представляет собой -NHCOR4, или -OCOR4, или -NR5COR4 и где R4 и R5 представляют собой, каждый, независимо, С1-С22алкил или алкенил и е представляет собой целое число от 1 до 22, или
(b) С1-С22алкил с прямой или разветвленной цепью; или
(с) С1-С22алкенил с прямой или разветвленной цепью; или
(d) C2-C22 замещенную или незамещенную алкиленокси; или
(e) С3-С22 замещенный или незамещенный алкиленоксиалкил; или
(f) C6-C22 замещенную или незамещенную арилокси; или
(g) С7-С22 замещенный или незамещенный алкиленарил; или
(h) C7-C22 замещенный или незамещенный алкиленоксиарил; или
(i) С7-С22аксиалкиленарил; или
(j) анионное звено, имеющее формулу
-(CH2)yR6
где R6 представляет собой -SO3M, -OSO3M, -PO3М, -ОРО3М, Cl или их смеси, где М представляет собой водород, или один или несколько катионов, образующих соли, достаточных для сохранения баланса заряда, или их смеси; R6 может также представлять собой хлорид; у представляет собой целое число от 1 примерно до 22, и
(k) смесь, содержащую, по меньшей мере, два соединения из (а)-(j), и
q представляет собой целое число от 0 до 22; m представляет собой целое число от 0 до 22; Q представляет собой (СН2)m или (CH2CHR7O); R7 представляет собой, независимо, водород, метил, этил, пропил или бензил; и их смеси; В представляет собой Н или ОН; Y представляет собой С или N; R8 представляет собой Н или С1-С4алкил; Z представляет собой противоанион, предпочтительно хлорид, или метилсульфат.

где R1 и R2 являются такими, как определено в I; R’ и R” представляют собой, каждый независимо, ОН или R1 при условии, что, по меньшей мере, один из R’ и R” представляет собой ОН.
Во втором аспекте настоящее изобретение относится к способу получения соединений по настоящему изобретению, включающему взаимодействие альдегидов и/или кетонов с соединением Х-ОН. Х-ОН является таким, как определено выше.
В третьем аспекте настоящее изобретение относится к водной композиции для доставки ароматизатора, содержащей один или несколько продуктов реакции в соответствии с настоящим изобретением. Предпочтительно указанная композиция представляет собой мягчитель для ткани.
Краткое описание чертежей
На фиг.1 представлена реакция между ди(жирным) амидоамином и С10альдегидом;
На фиг.2 представлено высвобождение ароматизатора из ткани, обрабатываемой мягчителем для ткани, содержащим соединения-предшественники ароматизаторов по настоящему изобретению, через 1 и через 5 дней, для С8, С9 и С10 альдегидов, с помощью ГХ/МС с микроэкстракцией твердой фазой;
На фиг.3 представлен спектр ГХ/МС чистого С10альдегида и соединения, высвобожденного из ткани, обработанной соединением-предшественником ароматизатора на основе С10альдегида и Varisoft 510;
На фиг.4a-4d показаны спектры протонного ЯМР и спектры 13С-ЯМР Varisoft 510 и Varisoft 510, реагирующего с С10альдегидом, и
На фиг.5а-5с показаны масс-спектры продуктов реакции Varisoft 510 с С10альдегидом.
Подробное описание изобретения
Как рассмотрено здесь выше, настоящее изобретение относится к продукту взаимодействия между Х-ОН и альдегидом или кетоном. В исходных производных альдегида или кетона для этой реакции С6-24алкильный остаток охватывает алкильные группы с прямой и разветвленной цепью, которые могут иметь одну или несколько ненасыщенных связей. Такие группы могут быть замещены заместителями, которые не влияют отрицательно на ароматизирующую активность альдегидов или кетонов. Примеры таких заместителей включают F, Cl и ОН.
С6-24алкарильный и аралкильный остатки могут также иметь разветвленную цепь и содержать заместители, которые не влияют отрицательно на свойства ароматизатора.
В более предпочтительном варианте осуществления Х-ОН, предпочтительно, имеет следующую структуру:

где R1 и R2 представляют собой, каждый независимо, Н или
(a) С1-С22алкиленкарбокси остаток, имеющий формулу -(СН2)еR3, где R3 представляет собой -NHCOR4, или -OCOR4, или -NR5COR4 и где R4 и R5 представляют собой, каждый независимо, С1-С22алкил или алкенил и е представляет собой целое число от 1 до 22; или
(b) С1-С22алкил с прямой или разветвленной цепью; или
(c) С1-С22алкенил с прямой или разветвленной цепью; или
(d) C2-C22 замещенную или незамещенную алкиленокси; или
(e) С3-С22 замещенный или незамещенный алкиленоксиалкил; или
(f) С6-С22 замещенную или незамещенную арилокси; или
(g) C7-C22 замещенный или незамещенный алкиленарил; или
(h) C7-C22 замещенный или незамещенный алкиленоксиарил; или
(i) С7-С22аксиалкиленарил; или
(j) анионное звено, имеющее формулу
-(CH2)yR6
где R6 представляет собой -SO3M, -OSO3M, -PO3M, -OPO3M, Cl или их смеси, где М представляет собой водород или один или несколько катионов, образующих соли, достаточных для сохранения баланса заряда, или их смеси; у представляет собой целое число от 1 до 22, или
(k) смесь, содержащую, по меньшей мере, два соединения из (a)-(j), и
q представляет собой целое число от 0 до 22; m представляет собой целое число от 0 до 22; Q представляет собой (CH2)m или (CH2CHR7O); R7 представляет собой, независимо, водород, метил, этил, пропил или бензил; В представляет собой Н или ОН и Y представляет собой CR1 или N.
Альдегиды, пригодные для использования по настоящему изобретению, могут представлять собой одно или несколько из соединений, но, не ограничиваясь этим, из следующей группы альдегидов:
(a) фенилацетальдегид; или
(b) п-метилфенилацетальдегид; или
(c) п-изопропилфенилацетальдегид; или
(d) метилнонилацетальдегид; или
(e) фенилпропанал; или
(f) 3-(4-трет-бутилфенил)-2-метилпропаналь; или
(g) 3-(4-трет-бутилфенил)пропаналь; или
(h) 3-(4-метоксифенил)-2-метилпропаналь; или
(i) 3-(4-изопропилфенил)-2-метилпропаналь; или
(j) 3-(3,4-метилендиоксифенил)-2-метилпропаналь; или
(k) 3-(4-этилфенил)-2,2-диметилпропаналь; или
(l) фенилбутаналь; или
(m) 3-метил-5-фенилпентаналь; или
(n) гексаналь; или
(о) транс-2-гексеналь; или
(р) цис-гекс-3-еналь; или
(q) гептаналь; или
(r) цис-4-гептеналь; или
(s) 2-этил-2-гептеналь; или
(t) 2,6-диметилпропаналь; или
(u) 2,4-гептадиеналь; или
(v) октаналь; или
(w) 2-октеналь; или
(х) 3,7-диметилоктаналь; или
(у) 3,7-диметил-2,6-октадиен-1-аль; или
(z) 3,7-диметил-1,6-октадиен-3-аль; или
(аа) 3,7-диметил-6-октеналь; или
(bb) 3,7-диметил-7-гидроксиоктан-1-аль; или
(cc) нонаналь; или
(dd) 6-ноненаль; или
(ее) 2,4-нонадиеналь; или
(ff) 2,6-нонадиеналь; или
(gg) деканаль; или
(hh) 2-метилдеканаль; или
(ii) 4-деценаль; или
(jj) 9-деценаль; или
(kk) 2,4-декадиеналь; или
(ll) ундеканаль; или
(mm) 2-метилдеканаль; или
(nn) 2-метилундеканаль; или
(оо) 2,6,10-триметил-9-ундеценаль; или
(рр) ундец-10-енилальдегид; или
(qq) ундец-8-енаналь; или
(rr) додеканаль; или
(ss) тридеканаль; или
(tt) тетрадеканаль; или
(uu) анисальдегид; или
(vv) буржинональ; или
(ww) коричный альдегид; или
(хх) -амилциннамальдегид; или
(уу) -гексилциннамальдегид; или
(zz) метоксициннамальдегид; или
(ааа) цитронеллаль; или
(bbb) гидроксицитронеллаль; или
(ссс) изоциклоцитраль; или
(ddd) цитронеллилоксиацетальдегид; или
(еее) кортексальдегид; или
(fff) куминовый альдегид; или
(ggg) цикламенальдегид; или
(hhh) флоргидраль; или
(iii) гелиотропин; или
(jjj) гидротропный альдегид; или
(kkk) лилиаль; или
(lll) ванилин; или
(mmm) этилванилин; или
(nnn) бензальдегид; или
(ооо) п-метилбензальдегид; или
(ррр) 3,4-диметоксибензальдегид; или
(qqq) 3- и 4-(4-гидрокси-4-метилпентил)-3-циклогексен-1-карбоксальдегид; или
(rrr) 2,4-диметил-3-циклогексен-1-карбоксальдегид; или
(sss) 1-метил-3-4-метилпентил-3-циклогексенкарбоксальдегид и
(ttt) п-метилфеноксиацетальдегид.
Когда используется альдегид, предшественник по настоящему изобретению представляет собой ацеталь или гемиацеталь.
Кетоны, пригодные для использования по настоящему изобретению, могут представлять собой один или несколько кетонов, но, не ограничиваясь этим, из группы следующих кетонов:
(a) альфа-дамаскон; или
(b) бета-дамаскон; или
(c) дельта-дамаскон; или
(d) бета-дамасценон; или
(e) мускон; или
(f) 6,7-дигидро-1,1,2,3,3-пентаметил-4(5Н)-инданон; или
(g) кашмеран; или
(h) цис-джасмон; или
(i) дигидроджасмон; или
(j) альфа-ионон; или
(k) бета-ионон; или
(l) дигидро-бета-ионон; или
(m) гамма-метилионон; или
(n) альфа-изо-метилионон; или
(о) 4-(3,4-метилендиоксифенил)бутан-2-он; или
(р) 4-(4-гидроксифенил)бутан-2-он; или
(q) метил-бета-нафтилкетон; или
(r) метилцедрилкетон; или
(s) 6-ацетил-1,1,2,4,4,7-гексаметилтетралин (тоналид); или
(t) 1-карвон; или
(u) 5-циклогексадецен-1-он; или
(v) ацетофенон; или
(w) декатон; или
(х) 2-[2-(4-метил-3-циклогексенил-1-ил)пропил]циклопентан-2-он; или
(у) 2-втор-бутилциклогексанон; или
(z) бета-дигидроионон; или
(аа) аллилионон; или
(bb) альфа-ирон; или
(cc) альфа-цетон; или
(dd) альфа-иризон; или
(ее) ацетанизол; или
(ff) геранилацетон; или
(gg) 1-(2-метил-5-изопропил-2-циклогексенил)-1-пропанон; или
(hh) ацетилдиизоамилен; или
(ii) метилциклоцитрон; или
(jj) 4-трет-пентилциклогексанон; или
(kk) п-трет-бутилциклогексанон; или
(ll) о-трет-бутилциклогексанон; или
(mm) этиламилкетон; или
(nn) этилпентилкетон; или
(оо) ментон; или
(рр) метил-7,3-дигидро-2Н-1,5-бензодиоксепин-3-он; или
(qq) фенхон; или
(rr) метилнафтилкетон; или
(ss) пропилнафтилкетон и
(tt) метилгидроксинафтилкетон.
Было обнаружено, что соединение-предшественник ароматизатора по настоящему изобретению действует в качестве источника длительного ароматизирующего эффекта, в особенности, когда они наносятся на таких поверхностях, как волокна, кожа, волосы и твердые поверхности, в частности на ткани и белье. Более конкретно, настоящее изобретение относится к соединениям-предшественникам ароматизаторов, которые разлагаются на таких поверхностях как волокна, кожа, волосы и твердые поверхности, в частности на тканях и белье, и в результате этого высвобождают отдушку.
Поскольку отдушка или ароматизатор высвобождаются только тогда, когда соединения по настоящему изобретению разлагаются, соединения по настоящему изобретению могут обеспечивать длительный ароматический эффект. То есть соединения по настоящему изобретению обеспечивают замедленное высвобождение ароматизаторов.
В соответствии с настоящим изобретением имеется равновесие между степенью разложения соединений-предшественников ароматизаторов с образованием ароматизатора и интенсивностью запаха ароматизатора. Интенсивность запаха ароматизатора по существу основывается на образующемся ароматизаторе.
Чтобы гарантировать также высвобождение ароматизатора через несколько дней, например через 5, предпочтительно через 7 дней, ароматизатор должен высвобождаться при контролируемом разложении соединений-предшественников ароматизаторов по настоящему изобретению. То есть равновесие между соединениями-предшественниками ароматизаторов и компонентами, включающими в себя ароматизатор, предпочтительно должно быть таким, чтобы достаточное количество ароматизатора высвобождалось в течение ряда дней.
Это равновесие зависит от типа альдегида и/или кетона и природы соединения Х-ОН.
В другом варианте осуществления настоящего изобретения соединение-предшественник ароматизатора по настоящему изобретению получают из соединения Х-ОН, выбранного из группы, состоящей из полиалкиленгликоля, сложного эфира полиалкиленгликоля и полисахарида. Предпочтительно полиалкиленгликоль или его сложный эфир основываются на полиэтиленгликоле, полипропиленгликоле и поли(этилен/пропилен)гликоле.
Соединения-предшественники ароматизаторов по настоящему изобретению, в частности, предназначены для включения в композиции для обработки поверхностей, таких как волокна, кожа, волосы и твердые поверхности, в частности для тканей и белья. С этой точки зрения, было бы очень желательным иметь доступные соединения, которые не только являются совместимыми с композициями, используемыми для обработки таких материалов, но, в дополнение к этому, имели бы свойства, полезные в таких композициях. В этом отношении в особенно предпочтительных вариантах осуществления настоящее изобретение относится к соединениям-предшественникам ароматизаторов типа, описанного здесь выше, где Х-ОН представляет собой поверхностно-активное вещество, описанное здесь выше как I. Предпочтительная структура имеет формулу (R1-(СН2)z)x-N-(СН2)У-OH, где R1 независимо выбран из группы, состоящей из остатка жирного амидоамина формулы АлкС(O)NH-, остатка, имеющего формулу АлкС(O)O, остатка, имеющего формулу Алк-О-, где Алк представляет собой С2-С24алкил с прямой или разветвленной цепью или алкиленовую группу, необязательно замещенную одной или несколькими гидроксильными группами, нитрогруппами, аминовыми группами и/или атомами галогена, или представляет собой группу CHOH-R. z и у независимо представляют собой целые числа, имеющие значение, находящееся в пределах между 0 и 10, предпочтительно между 0 и 5, более предпочтительно между 1 и 3; х представляет собой 2 или 3.
Эти соединения-предшественники ароматизаторов, например, основаны на жирных или ди(жирных) амидоаминах, которые, сами по себе, имеют свойства мягчителей для тканей. Примеры таких жирных амидоаминов представляют собой, например, мягчители для тканей, продающиеся под торговым наименованием Varisoft, например Varisoft 510 (от Goldschmidt, Germany), как рассмотрено в патенте США US-A-5501806. Как будет следовать из примеров, приведенных здесь ниже, продукты реакции между ди(жирным) амидоамином (Varisoft 510) и С8-12альдегидами дают про-ароматизаторы, которые обеспечивают непрерывное высвобождение альдегидов даже более чем через 1 неделю.
Соединения-предшественники ароматизаторов по настоящему изобретению могут быть получены при взаимодействии ароматизатора на основе альдегида и/или кетона и соединения Х-ОН; Х-ОН выбран из группы, состоящей из поверхностно-активных веществ, мягчителей для ткани, предшественников мягчителей на основе сложноэфирных аминов или амидоаминов, кондиционеров для волос и кожи и полимеров. Это представляет собой еще один аспект настоящего изобретения.
Действительно, образование ацеталя, гемиацеталя и/или кеталя включает в себя использование соединения, содержащего, по меньшей мере, одну нуклеофильную свободную группу -ОН, и альдегид и/или кетон. Эта реакция известна сама по себе. Предпочтительно эта реакция осуществляется в водном растворе в присутствии кислоты или катализатора.
На фиг.1, в качестве примера, представлено взаимодействие амидоамина и С10альдегида. Пример исходного соединения на основе амидоамина представляет собой Varisoft 510. Продукты, полученные от этой реакции, можно очень удобно включить в состав продукта, такого как мягчитель для ткани для цикла полоскания, и из указанного продукта доставить на поверхность с получением длительно действующего ароматизатора.
В зависимости от количества свободных гидроксильных групп одна или несколько молекул альдегида и/или кетона могут быть связаны с молекулой Х-ОН. Это приводит к тому, что способность ароматизатора к высвобождению может до некоторой степени контролироваться.
Еще в одном аспекте настоящее изобретение относится к водной композиции для доставки ароматизатора, содержащей одно или несколько соединений-предшественников ароматизаторов по настоящему изобретению. Предпочтительно указанная водная композиция представляет собой композицию мягчителя для ткани, в частности композицию мягчителя для ткани для цикла полоскания.
Хорошие результаты получают, когда в водную композицию включается 0,001-10 мас.% предшественника ароматизатора по настоящему изобретению, относительно общей массы композиции. Предпочтительно 0,01-35 мас.%, а более предпочтительно 2-15 мас.%, любого активного ингредиента для смягчения тканей. Предпочтительный катионный мягчитель представляет собой мягчитель на основе сложного эфира четвертичного амина (эстеркват), имеющего следующую структурную формулу:

где R4 представляет собой алифатическую углеводородную группу, имеющую от 8 до 22 атомов углерода, R2 и R3 представляют собой (CH2)S-R5, где R5 представляет собой алкоксикарбонильную группу, содержащую от 8 до 22 атомов углерода, бензил, фенил, фенил, замещенный (C1-C4) алкилом, ОН или Н; q, s, и t, каждый независимо, представляют собой целое число от 1 до 3 и X представляет собой анион, совместимый с мягчителем.
Далее настоящее изобретение описано более подробно в следующих ниже примерах, которые не ограничивают настоящее изобретение, но только лишь иллюстрируют настоящее изобретение. Если не указано иного, все проценты являются массовыми относительно массы конечной композиции.
Пример 1
Предпочтительно, но не ограничиваясь этим, предшественники ароматизаторов могут быть получены при объединении Varisoft 510 (3,0 г) с децилальдегидом (1,8 мл), водой (0,2 мл) и моногидратом п-толуолсульфоновой кислоты (20 мг). Затем реакционную смесь нагревают при 60°C на масляной бане с перемешиванием в течение ночи на открытом воздухе. Затем реакционную смесь охлаждают до комнатной температуры и отверждают при стоянии. На фиг.4 приведены спектры протонного и 13С-ЯМР для Varisoft 510 и Varisoft 510, взаимодействующего с С10альдегидом. На фиг.5 представлен масс-спектр продуктов реакции.
Предшественники ароматизаторов также могут получаться, предпочтительно, но не ограничиваясь этим, при осуществлении указанной выше реакции без добавления воды.
Пример 2
Получают композиции мягчителей для ткани, содержащие 5 мас.%, эстерквата, имеющего следующую структурную формулу:

где R4 представляет собой алифатическую углеводородную группу, имеющую от 8 до 22 атомов углерода, R2 и R3 представляют собой (CH2)s-R5, где R5 представляет собой алкоксикарбонильную группу, содержащую от 8 до 22 атомов углерода, бензил, фенил, фенил, замещенный (С1-С4) алкилом, ОН или Н; q, s, и t, каждый независимо, представляют собой целое число от 1 до 3 и X– представляет собой анион, совместимый с мягчителем. Получают 1 мас.% соединений-предшественников ароматизаторов на основе амидоаминов и 94 мас.% воды. Ткань обрабатывают полученной композицией мягчителя для ткани, и высвобождение ароматизатора измеряют через 1 день и через 5 дней, посредством микроэкстракции твердой фазой (SPME), связанной с ГХ/МС. Для С10альдегидов, количество ароматизатора, высвобождающееся в день 1 и в день 5, является примерно одинаковым. Это показывает желаемое замедленное высвобождение ароматизатора с поверхности ткани.
Формула изобретения
1. Соединение-предшественник ароматизатора, содержащее одно или несколько соединений, полученных при взаимодействии Х-ОН и альдегида или кетона, имеющее формулу X-O-C(R)(R*)(OR**), где R представляет собой С6-24алкильную группу, С6-24аралкильную группу или С6-24алкарильную группу; R* представляет собой Н или С6-24алкильную группу, С6-24аралкильную группу или С6-24алкарильную группу; R** представляет собой Н или X; Х-O представляет собой остаток, полученный из Х-ОН, и где Х-ОН представляет собой мягчитель для ткани на основе ди(жирных)амидоаминов.
2. Предшественник ароматизатора по п.1, где Х-ОН имеет следующую структуру:

где R1 и R2 представляют собой, каждый, независимо, Н или:
(a) С1-С22 представляет собой алкиленкарбоксигруппу, имеющую формулу -(CH2)eR3, где R3 представляет собой -NHCOR4; или -NR5COR4; и где R4 и R5 представляют собой, каждый, независимо, С1-С22алкил или алкенил; и е представляет собой целое число от 1 до 22; или
(b) С1-С22алкил с прямой или разветвленной цепью; или
(c) С1-С22алкенил с прямой или разветвленной цепью; или
(c) C2-C22 замещенную или незамещенную алкиленокси; или
(е) С3-С22 замещенный или незамещенный алкиленоксиалкил; или
(j) анионное звено, имеющее формулу:
-(CH2)yR6,
где R6 представляет собой -SO3M, -OSO3M, -PO3М, -ОРО3М, Cl или их смеси, где М представляет собой водород или один или несколько катионов, образующих соли, достаточных для сохранения баланса заряда, или их смеси;
у представляет собой целое число от 1 до 22; или
(k) смесь, содержащую, по меньшей мере, два соединения из (a)-(j); и
q представляет собой целое число от 0 до 22; m представляет собой целое число от 0 до 22; Q представляет собой (СН2)m или (CH2CHR7O); R7 представляет собой, независимо, водород, метил, этил, пропил или бензил; В представляет собой Н или ОН; и Y представляет собой CR1 или N.
3. Предшественник ароматизатора по п.1, где Х-ОН имеет следующую структуру:

где R1 и R2, независимо, представляют собой С12-С30алифатические углеводородные группы, R3 представляет собой (СН2СН2O)PН, СН3 или Н; Т представляет собой NH; n представляет собой целое число от 1 до 5; m представляет собой целое число от 1 до 5, и р представляет собой целое число от 1 до 10.
4. Предшественник ароматизатора по п.3, где R3 представляет собой (CH2CH2O)pH; n равно 2; m равно 2; и р имеет значение от 1,5 до 10.
5. Предшественник ароматизатора по п.1, где Х-ОН имеет следующую структуру:
R1-Y-(CH2)q-(Q)m-B,
где R1 представляет собой Н или:
(а) С1-С22алкиленкарбокси остаток, имеющий формулу: -(СН2)еR3, где R3 представляет собой -NHCOR4; или -NR5COR4; и где R4 и R5 представляют собой, каждый, независимо, С1-С22алкил или алкенил; и е представляет собой целое число от 1 до 22; или
(b) С1-С22алкил с прямой или разветвленной цепью; или
(c) С1-С22алкенил с прямой или разветвленной цепью; или
(d) C2-C22 замещенную или незамещенную алкиленокси; или
(e) С3-С22 замещенный или незамещенный алкиленоксиалкил; или
(j) анионное звено, имеющее формулу:
-(CH2)yR6,
где R6 представляет собой -SO3M, -OSO3M, -PO3М, -ОРО3М, Cl или их смеси, где М представляет собой водород, или один или несколько катионов, образующих соли, достаточных для сохранения баланса заряда, или их смеси;
у представляет собой целое число от 1 до 22; и
(k) смесь, содержащую, по меньшей мере, два соединения из (a)-(j); и
q представляет собой целое число от 0 до 22; m представляет собой целое число от 0 до 22; Q представляет собой (СН2)m или (CH2CHR7O); R7 представляет собой, независимо, водород, метил, этил, пропил или бензил; В представляет собой Н или ОН; и Y представляет собой О или S.
6. Предшественник ароматизатора по п.1, где Х-ОН имеет следующую структуру:

где R1 и R2 представляют собой, каждый, независимо, Н или:
(а) С1-С22алкиленкарбоксигруппу, имеющую формулу -(CH2)eR3, где R3 представляет собой -NHCOR4 или -NR5COR4; и где R4 и R5 представляют собой, каждый, независимо, С1-С22алкил или алкенил; и е представляет собой целое число от 1 до 22; или
(b) С1-С22алкил с прямой или разветвленной цепью; или
(c) С1-С22алкенил с прямой или разветвленной цепью; или
(d) C2-C22 замещенную или незамещенную алкиленокси; или
(e) С3-С22 замещенный или незамещенный алкиленоксиалкил; или
(j) анионное звено, имеющее формулу:
-(СН2)уR6,
где R6 представляет собой -SO3M, -OSO3M, -РО3М, -ОРО3М, Cl или их смеси, где М представляет собой водород, или один или несколько катионов, образующих соли, достаточных для сохранения баланса заряда, или их смеси; R6 может также представлять собой хлорид;
у представляет собой целое число от 1 до 22; и
(k) смесь, содержащую, по меньшей мере, два соединения из (a)-(j); и
q представляет собой целое число от 0 до 22; m представляет собой целое число от 0 до 22; Q представляет собой (СН2)m или (CH2CHR7O); R7 представляет собой, независимо, водород, метил, этил, пропил или бензил; и их смеси; В представляет собой Н или ОН; Y представляет собой С или N; R8 представляет собой Н или C1-C4алкил; Z представляет собой противоанион, и, предпочтительно, хлорид или метилсульфат.
7. Предшественник ароматизатора по п.1, где остаток -C(R)(OR**)(R*) получают из одного или нескольких из следующих альдегидов:
(a) фенилацетальдегид; или
(b) п-метилфенилацетальдегид; или
(c) п-изопропилфенилацетальдегид; или
(d) метилнонилацетальдегид; или
(e) фенилпропаналь; или
(f) 3-(4-трет-бутилфенил)-2-метилпропаналь; или
(g) 3-(4-трет-бутилфенил)пропаналь; или
(h) 3-(4-метоксифенил)-2-метилпропаналь; или
(i) 3-(4-изопропилфенил)-2-метилпропаналь; или
(j) 3-(3,4-метилендиоксифенил)-2-метилпропаналь; или
(k) 3-(4-этилфенил)-2,2-диметилпропаналь; или
(l) фенилбутаналь; или
(m) 3-метил-5-фенилпентаналь; или
(n) гексаналь; или
(о) транс-2-гексеналь; или
(р) цис-гекс-3-еналь, – или
(q) гептаналь; или
(r) цис-4-гептеналь; или
(s) 2-этил-2-гептеналь; или
(t) 2,6-диметилпропаналь; или
(u) 2,4-гептадиеналь; или
(v) октаналь; или
(w) 2-октеналь; или
(х) 3,7-диметилоктаналь; или
(у) 3,7-диметил-2,6-октадиен-1-аль; или
(z) 3,7-диметил-1,6-октадиен-3-аль; или
(аа) 3,7-диметил-6-октеналь; или
(bb) 3,7-диметил-7-гидроксиоктан-1-аль; или
(cc) нонаналь; или
(dd) 6-ноненаль; или
(ее) 2,4-нонадиеналь; или
(ff) 2,6-нонадиеналь; или
(gg) деканаль; или
(hh) 2-метилдеканаль; или
(ii) 4-деценаль; или
(jj) 9-деценаль; или
(kk) 2,4-декадиеналь; или
(ll) ундеканаль; или
(mm) 2-метилдеканаль; или
(nn) 2-метилундеканаль; или
(оо) 2,6,10-триметил-9-ундеценаль; или
(рр) ундец-10-енилальдегид; или
(qq) ундец-8-енаналь; или
(rr) додеканаль; или
(ss) тридеканаль; или
(tt) тетрадеканаль; или
(uu) анисальдегид; или
(vv) буржинональ; или
(ww) коричный альдегид; или
(хх) -амилциннамальдегид; или
(yy) -гексилциннамальдегид; или
(zz) метоксициннамальдегид; или
(ааа) цитронеллаль; или
(bbb) гидроксицитронеллаль; или
(ссс) изоциклоцитраль; или
(ddd) цитронеллилоксиацетальдегид; или
(еее) кортексальдегид; или
(fff) куминовый альдегид; или
(ggg) цикламенальдегид; или
(hhh) флоргидраль; или
(iii) гелиотропин; или
(jjj) гидротропный альдегид; или
(kkk) лилиаль; или
(lll) ванилин; или
(mmm) этилванилин; или
(nnn) бензальдегид; или
(ооо) п-метилбензальдегид; или
(ррр) 3,4-диметоксибензальдегид; или
(qqq) 3- и 4-(4-гидрокси-4-метилпентил)-3-циклогексен-1-карбоксальдегид;
или
(rrr) 2,4-диметил-3-циклогексен-1-карбоксальдегид; или
(sss) 1-метил-3-4-метилпентил-3-циклогексенкарбоксальдегид; и
(ttt) п-метилфеноксиацетальдегид.
8. Предшественник ароматизатора по п.1, где остаток -CHOR*-R является производным одного или нескольких из следующих кетонов:
(a) альфа-дамаскон; или
(b) бета-дамаскон; или
(c) дельта-дамаскон; или
(d) бета-дамасценон; или
(e) мускон; или
(f) 6,7-дигидро-1,1,2,3,3-пентаметил-4(5Н)-инданон; или
(g) кашмеран; или
(h) цис-джасмон; или
(i) дигидроджасмон; или
(j) альфа-ионон; или
(k) бета-ионон; или
(l) дигидро-бета-ионон; или
(m) гамма-метилионон; или
(n) альфа-изометилионон; или
(о) 4-(3,4-метилендиоксифенил)бутан-2-он; или
(р) 4-(4-гидроксифенил)бутан-2-он; или
(q) метил-бета-нафтилкетон; или
(r) метилцедрилкетон; или
(s) 6-ацетил-1,1,2,4,4,7-гексаметилтетралин (тоналид); или
(t) 1-карвон; или
(u) 5-циклогексадецен-1-он; или
(v) ацетофенон; или
(w) декатон; или
(х) 2-[2-(4-метил-3-циклогексенил-1-ил)пропил]циклопентан-2-он; или
(у) 2-втор-бутилциклогексанон; или
(z) бета-дигидроионон; или
(аа) аллилионон; или
(bb) альфа-ирон; или
(cc) альфа-цетон; или
(dd) альфа-иризон; или
(ее) ацетанизол; или
(ff) геранилацетон, или
(gg) 1-(2-метил-5-изопропил-2-циклогексенил)-1-пропанон; или
(hh) ацетилдиизоамилен; или
(ii) метилциклоцитрон; или
(jj) 4-трет-пентилциклогексанон; или
(kk) п-трет-бутилциклогексанон; или
(ll) о-трет-бутилциклогексанон; или
(mm) этиламилкетон; или
(nn) этилпентилкетон; или
(оо) ментон; или
(рр) метил-7,3-дигидро-2Н-1,5-бензодиоксепин-3-он; или
(qq) фенхон; или
(rr) метилнафтилкетон; или
(ss) пропилнафтилкетон; и
(tt) метилгидроксинафтилкетон.
9. Композиция для доставки соединения-предшественника ароматизатора, обладающая замедленным высвобождением ароматизатора, состоящая из:
(а) по меньшей мере, около 0,001 мас.% конъюгата предшественника ароматизатора, представляющего собой соединение-предшественник ароматизатора по п.1, способное к высвобождению исходного материала ароматизатора; и
(b) оставшуюся часть носителей и вспомогательных ингредиентов.
10. Стиральный порошок, содержащий:
(а) по меньшей мере, около 0,001 мас.% конъюгата предшественника ароматизатора, представляющего собой соединение-предшественник ароматизатора по п.1, способное к высвобождению исходного материала ароматизатора; и
(b) эффективное количество моющего поверхностно-активного вещества; и
(с) оставшуюся часть носителей и вспомогательных ингредиентов.
11. Мягчитель для ткани, содержащий:
(a) по меньшей мере, около 0,001 мас.% конъюгата предшественника ароматизатора, представляющего собой соединение-предшественник ароматизатора по п.1, способное к высвобождению исходного материала ароматизатора; и
(b) эффективное количество мягчителя для ткани; и
(c) оставшуюся часть носителей и вспомогательных ингредиентов.
12. Отдушка или высококачественный ароматизатор, содержащий:
(а) по меньшей мере, около 0,001 мас.% конъюгата предшественника ароматизатора, представляющего собой соединение-предшественник ароматизатора по п.1, способное к высвобождению исходного материала ароматизатора; и
(c) по меньшей мере, от 0,01 до 99 мас.% смеси исходных материалов ароматизаторов; и
(d) оставшуюся часть носителей и вспомогательных ингредиентов.
13. Продукт для личной гигиены или продукт для ухода за полостью рта, или продукт для ухода за твердой поверхностью, содержащий:
(a) от около 0,001 мас.% конъюгата предшественника ароматизатора, представляющего собой соединение-предшественник ароматизатора по п.1, способное к высвобождению исходного материала ароматизатора; и
(b) от около 0,1 мас.% поверхностно-активного вещества или мягчителя, или абразивного или противобактериального агента, пригодного для использования в продуктах для личной гигиены или ухода за полостью рта, или продуктах для ухода за твердыми поверхностями; и
(с) оставшуюся часть носителей и вспомогательных ингредиентов.
14. Композиция по п.9, в которой указанные носители и вспомогательные ингредиенты выбраны из группы, состоящей из наполнителей, оптических отбеливателей, отбеливателей, усилителей отбеливания, катализаторов отбеливания, активаторов отбеливания, полимеров для удаления пятен, агентов-переносчиков красителя, дисперсантов, ферментов, подавителей пены, красителей, отдушек, подкрашивающих веществ, заполняющих солей, гидротропных агентов, фотоактиваторов, флуоресцентных агентов, кондиционеров для ткани, гидролизуемых поверхностно-активных веществ, консервантов, антиоксидантов, хелатирующих агентов, стабилизаторов, агентов против усадки, агентов против сминания, гермицидов, фунгицидов, антикоррозионных агентов, и их смесей.
15. Стиральный порошок по п.10, в котором указанные носители и вспомогательные ингредиенты выбраны из группы, состоящей из наполнителей, оптических отбеливателей, отбеливателей, усилителей отбеливания, катализаторов отбеливания, активаторов отбеливания, полимеров для удаления пятен, агентов-переносчиков красителя, дисперсантов, ферментов, подавителей пены, красителей, отдушек, подкрашивающих веществ, заполняющих солей, гидротропных агентов, фотоактиваторов, флуоресцентных агентов, кондиционеров для ткани, гидролизуемых поверхностно-активных веществ, консервантов, антиоксидантов, хелатирующих агентов, стабилизаторов, агентов против усадки, агентов против сминания, гермицидов, фунгицидов, антикоррозионных агентов и их смесей.
16. Мягчитель для ткани по п.11, в котором указанные носители и вспомогательные ингредиенты выбраны из группы, состоящей из наполнителей, оптических отбеливателей, отбеливателей, усилителей отбеливания, катализаторов отбеливания, активаторов отбеливания, полимеров для удаления пятен, агентов-переносчиков красителя, дисперсантов, ферментов, подавителей пены, красителей, отдушек, подкрашивающих веществ, заполняющих солей, гидротропных агентов, фотоактиваторов, флуоресцентных агентов, кондиционеров для ткани, гидролизуемых поверхностно-активных веществ, консервантов, антиоксидантов, хелатирующих агентов, стабилизаторов, агентов против усадки, агентов против сминания, гермицидов, фунгицидов, антикоррозионных агентов и их смесей.
17. Отдушка или высококачественный ароматизатор по п.12, в которой указанные носители и вспомогательные ингредиенты выбраны из группы, состоящей из наполнителей, оптических отбеливателей, отбеливателей, усилителей отбеливания, катализаторов отбеливания, активаторов отбеливания, полимеров для удаления пятен, агентов-переносчиков красителя, дисперсантов, ферментов, подавителей пены, красителей, отдушек, подкрашивающих веществ, заполняющих солей, гидротропных агентов, фотоактиваторов, флуоресцентных агентов, кондиционеров для ткани, гидролизуемых поверхностно-активных веществ, консервантов, антиоксидантов, хелатирующих агентов, стабилизаторов, агентов против усадки, агентов против сминания, гермицидов, фунгицидов, антикоррозионных агентов и их смесей.
18. Продукт для личной гигиены или продукт для ухода за полостью рта, или продукт для ухода за твердой поверхностью, по п.13, в котором указанные носители и вспомогательные ингредиенты выбраны из группы, состоящей из наполнителей, оптических отбеливателей, отбеливателей, усилителей отбеливания, катализаторов отбеливания, активаторов отбеливания, полимеров для удаления пятен, агентов-переносчиков красителя, дисперсантов, ферментов, подавителей пены, красителей, отдушек, подкрашивающих веществ, заполняющих солей, гидротропных агентов, фотоактиваторов, флуоресцентных агентов, кондиционеров для ткани, гидролизуемых поверхностно-активных веществ, консервантов, антиоксидантов, хелатирующих агентов, стабилизаторов, агентов против усадки, агентов против сминания, гермицидов, фунгицидов, антикоррозионных агентов и их смесей.
19. Способ получения соединения-предшественника ароматизатора формулы X-O-C(R)(R*)(OR**), где R представляет собой С6-24алкильную группу, С6-24аралкильную группу или С6-24алкарильную группу; R* представляет собой Н или С6-24алкильную группу, С6-24аралкильную группу или С6-24алкарильную группу; R** представляет собой Н или X; X-О представляет собой группу, производную от Х-ОН, и в котором Х-ОН представляет собой соединение, выбранное из группы, состоящей из поверхностно-активного вещества, содержащего, по меньшей мере, одну гидроксильную группу, мягчителей для тканей, содержащих, по меньшей мере, одну гидроксильную группу, предшественника мягчителя на основе аминов сложных эфиров, содержащего, по меньшей мере, одну гидроксильную группу, предшественника мягчителя на основе амидоаминов, содержащего, по меньшей мере, одну гидроксильную группу, кондиционеров для волос, содержащих, по меньшей мере, одну гидроксильную группу, кондиционеров для кожи, содержащих, по меньшей мере, одну гидроксильную группу, сахаридов и полимеров, содержащих, по меньшей мере, одну гидроксильную группу; где Х-ОН имеет следующую структуру:

где R1 и R2 представляют собой, каждый, независимо, Н или:
(a) С1-С22 представляет собой алкиленкарбоксигруппу, имеющую формулу -(CH2)eR3, где R3 представляет собой -NHCOR4; или -NR5COR4; и где R4 и R5 представляют собой, каждый, независимо, С1-С22алкил или алкенил; и е представляет собой целое число от 1 до 22; или
(b) С1-С22алкил с прямой или разветвленной цепью; или
(c) С1-С22алкенил с прямой или разветвленной цепью; или
(d) C2-C22 замещенную или незамещенную алкиленокси; или
(e) С3-С22 замещенный или незамещенный алкиленоксиалкил; или
(j) анионное звено, имеющее формулу:
-(CH2)yR6,
где R6 представляет собой -SO3M, -OSO3M, -РО3М, -ОРО3М, Cl или их смеси, где М представляет собой водород или один или несколько катионов, образующих соли, достаточных для сохранения баланса заряда, или их смеси;
у представляет собой целое число от 1 до 22; или
(k) смесь, содержащую, по меньшей мере, два соединения из (a)-(j); и
q представляет собой целое число от 0 до 22; m представляет собой целое число от 0 до 22; Q представляет собой (СН2)m или (CH2CHR7O); R7 представляет собой, независимо, водород, метил, этил, пропил или бензил; В представляет собой Н или ОН; и Y представляет собой CR1 или N; включающий взаимодействие ароматизатора на основе альдегида или кетона формулы R-C(O)R* и соединения, представленного Х-ОН.
20. Способ по п.19, где осуществляется кислотный катализ реакции.
РИСУНКИ
|