Патент на изобретение №2161859
|
||||||||||||||||||||||||||
(54) ГЕНЕРАТОР ВЫСОКОВОЛЬТНЫХ ИМПУЛЬСОВ
(57) Реферат: Изобретение относится к области высоковольтной импульсной техники. Техническим результатом является повышение напряжения на выходе генератора при формировании на согласованной резистивной нагрузке с высоким КПД прямоугольного импульса напряжения. Генератор высоковольтных импульсов содержит заземленный электрод, образующий короткозамкнутую ступенчатую линию, выполненную в виде последовательно соединенных отрезков однородных линий с распределенными параметрами одинаковой электрической длины Tо. Во внутреннем объеме второго отрезка ступенчатой линии (СЛ) размещен высоковольтный электрод, разделяющий этот отрезок на две однородные линии. На выходе СЛ подключены соединенные параллельно нагрузка и прерыватель тока. Между высоковольтным и заземленным электродами включен источник напряжения. В разрыв заземленного электрода в любом месте включены соединенные параллельно источник тока и разрядник. Между высоковольтным и заземленным электродами в месте соединения первого и второго отрезков ступенчатой линии подключен один из концов дополнительной однородной линии, электрическая длина которой равна электрической длине Tо. На другом конце дополнительной линии включен коммутирующий разрядник. В согласованном режиме, когда генератор в идеальном случае обладает 100%-ным КПД, на нагрузке формируется прямоугольный импульс напряжения с длительностью, равной удвоенному времени пробега электромагнитной волны по длине отдельного отрезка ступенчатой линии. 1 ил. Изобретение относится к области высоковольтной импульсной техники и может быть использовано в электрофизических установках для получения мощных высоковольтных импульсов, например, для генерации пучков заряженных частиц (105-107 B, 103-106 A, 10-7-10-8 с). Известен генератор высоковольтных импульсов [1, fig. 3б], содержащий заземленный электрод, образующий короткозамкнутую ступенчатую линию (СЛ), выполненную в виде последовательно соединенных отрезков однородных линий с распределенными параметрами одинаковой электрической длины 0, высоковольтный электрод, размещенный во внутреннем объеме второго отрезка СЛ и разделяющий его на две однородные линии, источник напряжения и коммутирующий разрядник, включенные между высоковольтным и заземленным электродами, причем коммутирующий разрядник размещен в месте соединения первого и второго отрезков СЛ, резистивную нагрузку, подключенную к выходу СЛ последовательно с предымпульсным разрядником. Под действием источника напряжения два отрезка линии вблизи высоковольтного электрода заряжаются до напряжения V0, и энергия запасается в генераторе в виде электрического поля. При включении коммутирующего разрядника в результате волновых процессов энергия концентрируется на выходе СЛ. С точки зрения достижения максимального КПД оптимальными являются следующие соотношения волновых сопротивлений: Zi=Zn 2/[(n-i+1)(n-i+2)],где i = 3,4,…, n – номер отрезка СЛ; n – полное число отрезков линий в СЛ; Zi – волновое сопротивление отрезка линии с номером i; Z1=Zn 4/[n(n+2)],а волновых сопротивлений отрезков, образованных высоковольтным электродом во втором отрезке СЛ: – с разрядником Z2=Zn 2/[(n-1)(3n-2)],– без разрадника ![]() В общем случае на выходе СЛ формируются импульсы напряжения чередующейся полярности длительностью 2T0. Рабочим является второй импульс напряжения. Нагрузка подключается при срабатывании предымпульсного разрядника с задержкой на время (n+1)T0 по отношению к моменту включения коммутирующего разрядника, то есть с задержкой на время 2T0 по отношению к моменту прихода к выходу генератора первой электромагнитной волны. На согласованной нагрузке Zн = Zn формируется одиночный импульс напряжения длительностью 2T0, в течение которого вся энергия передается в нагрузку. Напряжение на согласованной нагрузке превышает зарядное в (3n-2)/4 раз, включение в состав СЛ каждого дополнительного отрезка повышает напряжение в согласованном режиме на величину V0 3/4.
Недостатком генератора является сравнительно невысокое напряжение на нагрузке, равное (3n-2)/4 в согласованном режиме и (3n-2)/2 в режиме холостого хода.
Кроме того, недостатком является наличие на выходе генератора предымпульсного напряжения перед подключением нагрузки, равного по амплитуде и длительности, но противоположного по полярности напряжению на согласованной нагрузке. Наличие значительного по величине предымпульсного напряжения, что в данном генераторе является необходимым условием высокого КПД, имеет негативные последствия. Во-первых, на выходе генератора необходимо использовать разрядник, к которому предъявляются весьма высокие требования. Он должен выдерживать без пробоя высокое предымпульсное напряжение, а затем в течение относительно короткого рабочего импульса пропустить всю первоначально запасенную в генераторе энергию. Поэтому в ряде случаев предельные выходные параметры генератора определяются возможностями предымпульсного разрядника. Во-вторых, несмотря на разрядник, предымпульсное напряжение из-за наличия паразитных электрических емкостей частично попадает на нагрузку, что в ряде случаев крайне нежелательно. Например, при использовании в качестве нагрузки генератора вакуумного диода для формирования пучков заряженных частиц предымпульсное напряжение приводит к образованию в ускоряющем зазоре плазмы, оказывающей существенное влияние на характеристики диода в течение рабочего импульса и ухудшающей воспроизводимость выходных параметров генератора от импульса к импульсу.
В качестве прототипа выбран генератор [2] , содержащий заземленный электрод, образующий короткозамкнутую ступенчатую линию, выполненную в виде последовательно соединенных отрезков однородных линий с распределенными параметрами одинаковой электрической длины T0. На выходе ступенчатой линии подключены параллельно соединенные прерыватель тока и резистивная нагрузка. Во внутреннем объеме второго отрезка ступенчатой линии размещен высоковольтный электрод, разделяющий второй отрезок СЛ на две однородные линии. Между высоковольтным и заземленным электродами включены источник напряжения и коммутирующий разрядник, причем разрядник размещен в месте соединения первого и второго отрезков СЛ. В разрыв заземленного электрода в любом месте включены параллельно соединенные источник тока и разрядник. Волновое сопротивление первого отрезка СЛ выбирается равным![]() а волновые сопротивления линий, образованных высоковольтным и заземленным электродами во втором отрезке ступенчатой линии равны: – с разрядником ![]() – без разрядника ![]() Волновые сопротивления отрезков ступенчатой линии без высоковольтного электрода с номерами i=3,4,…,n выбраны из соотношения ![]() где n – число отрезков ступенчатой линии; – отношение энергии, запасаемой первоначально в генераторе в виде электрического и в виде магнитного поля.
Отношение величины зарядного напряжения к величине начального тока в генераторе выбрано равным![]() Под действием источника напряжения осуществляется импульсная зарядка до напряжения V0 электрической емкости двух отрезков с волновыми сопротивлениями Z2 и . Энергия запасается в указанных отрезках в виде электрического поля. Одновременно под действием источника тока в первоначально замкнутом контуре, образованном заземленным электродом и прерывателем тока, создается ток I0 и энергия запасается дополнительно во всем объеме СЛ в виде магнитного поля. Схема генератора, волновые сопротивления, зарядное напряжение и начальный ток подобраны таким образом, что при включении коммутирующего разрядника вся первоначально запасенная энергия концентрируется на выходе генератора. При срабатывании прерывателя тока в момент прихода к нему первой электромагнитной волны от коммутирующего разрядника на согласованной нагрузке формируется одиночный прямоугольный импульс напряжения длительностью 2T0, в течение которого энергия полностью передается в нагрузку. Предымпульсное напряжение на нагрузке отсутствует. Напряжение на согласованной нагрузке превышает зарядное в (2 +2n-3)/(2 ) раз.
Недостатком прототипа является сравнительно невысокое напряжение на нагрузке, равное в согласованном режиме V0(2 +2n-3)/(2 ) и V0(2 +2n-3)/ в режиме холостого хода.
Техническим результатом является повышение напряжения на выходе генератора при формировании на согласованной резистивной нагрузке с высоким КПД прямоугольного импульса напряжения.
Технический результат достигается тем, что генератор высоковольтных импульсов, содержащий заземленный электрод, образующий короткозамкнутую ступенчатую линию, выполненную в виде последовательно соединенных отрезков однородных линий с распределенными параметрами одинаковой электрической длины T0, высоковольтный электрод, размещенный во внутреннем объеме второго отрезка СЛ и разделяющий его на две однородные линии, источник напряжения, включенный между высоковольтным и заземленным электродами, коммутирующий разрядник, подключенные параллельно на выходе СЛ нагрузку и прерыватель тока, включенные в любом месте в разрыв заземленного электрода, соединенные параллельно источник тока и разрядник, снабжен дополнительной однородной линией с электрической длиной, равной электрической длине T0, один из концов дополнительной линии подключен между высоковольтным и заземленным электродами в месте соединения первого и второго отрезков ступенчатой линии, коммутирующий разрядник включен на другом конце дополнительной линии, а волновые сопротивления линий выбраны из соотношений![]() ![]() ![]() ![]() где Z1 – волновое сопротивление первого отрезка ступенчатой линии; Z2, волновые сопротивления линий, образованных высоковольтным и заземленным электродами во втором отрезке ступенчатой линии, причем дополнительная линия подключена к линии с волновым сопротивлением Z2;Zi – волновое сопротивление отрезков ступенчатой линии без высоковольтного электрода; i = 3,4,…, n – номер отрезка ступенчатой линии; n – число отрезков ступенчатой линии; Z – волновое сопротивление дополнительной линии, – отношение энергии, запасаемой первоначально в генераторе в виде электрического и магнитного поля;а отношение величины зарядного напряжения к величине начального тока в генераторе выбрано равным V0/I0=Z (3n+3 -4)/2.
Включение в состав генератора дополнительной линии, изменение положения коммутирующего разрядника, а также указанный оптимальный выбор волновых сопротивлений и отношения величины зарядного напряжения к величине начального тока в генераторе в совокупности обеспечивают полную передачу запасенной в генераторе энергии в согласованную нагрузку при формировании на ней прямоугольного импульса напряжения повышенной амплитуды.
На чертеже приведена принципиальная схема предлагаемого генератора высоковольтных импульсов, где 1 – заземленный электрод; 2 – прерыватель тока; 3 – нагрузка; 4 – высоковольтный электрод; 5 – первый отрезок ступенчатой линии; 6, 7 – однородные линии, образованные высоковольтным электродом 4 во втором отрезке ступенчатой линии; 8 – источник напряжения; 9 – дополнительная однородная линия; 10 – коммутирующий разрядник; 11 – источник тока; 12 – разрядник для отключения источника тока; 13 – третий отрезок ступенчатой линии.
Генератор содержит заземленный электрод 1, образующий короткозамкнутую на входе ступенчатую линию, выполненную в виде последовательно соединенных отрезков однородных линий с распределенными параметрами одинаковой электрической длины T0. На выходе ступенчатой линии подключены параллельно соединенные прерыватель тока 2 и резистивная нагрузка 3. Во внутреннем объеме второго отрезка ступенчатой линии размещен высоковольтный электрод 4, делящий этот отрезок СЛ на две однородные линии 6 и 7 с волновыми сопротивлениями, равными соответственно Z2 и Между высоковольтным 4 и заземленным 1 электродами включены источник напряжения 8, а также в месте соединения первого и второго отрезков СЛ со стороны линии 6 один из концов дополнительной однородной линии 9, электрическая длина которой равна электрической длине T0. На другом конце дополнительной линии 9 включен коммутирующий разрядник 10. В разрыв заземленного электрода 1 в любом месте включены параллельно соединенные источник тока 11 и разрядник 12. Волновые сопротивления линий выбраны из соотношений![]() ![]() ![]() ![]() где Z1 – волновое сопротивление первого отрезка ступенчатой линии; Z2, волновые сопротивления линий, образованных высоковольтным и заземленным электродами во втором отрезке ступенчатой линии, причем дополнительная линия подключена к линии с волновым сопротивлением Z2;Zi – волновое сопротивление отрезков ступенчатой линии без высоковольтного электрода; i = 3,4,…, n – номер отрезка ступенчатой линии; n – число отрезков ступенчатой линии; Z – волновое сопротивление дополнительной линии, – отношение энергии, запасаемой первоначально в генераторе в виде электрического и магнитного поля;а отношение величины зарядного напряжения к величине начального тока в генераторе выбрано равным V0/I0=Z (3n+3 -4)/2.
Генератор работает следующим образом. Под действием источника напряжения 8 осуществляется импульсная зарядка до напряжения V0 электрической емкости, отрезков 6 и 7 и дополнительной линии 9, в которых энергия запасается в виде электрического поля. Одновременно под действием источника тока 11 в первоначально замкнутом контуре, образованном заземленным электродом 1 и прерывателем тока 2, создается ток I0 и энергия запасается дополнительно во всем объеме ступенчатой линии в виде магнитного поля. Соотношение величин V0 и I0 выбраны в соответствии с указанным выше уравнением. (Полярность напряжения V0 и направление тока I0 выбираются таким образом, чтобы после прихода электромагнитной волны от коммутирующего разрядника 10 в линии 5 происходило уменьшение тока). Величины V0 и I0 определяются и фиксируются до начала зарядки генератора путем выбора соответствующих источников напряжения или тока либо путем предварительного регулирования выходных параметров этих источников. При достижении максимального тока I0 и максимального зарядного напряжения V0 включается коммутирующий разрядник. Для дальнейшего анализа волновых процессов этот момент времени удобно обозначить как t = 0. (Разрядник 12, отсоединяющий источник тока 11 от ступенчатой линии, включается после достижения максимального тока I0 до прихода к нему первой электромагнитной волны от коммутирующего разрядника 10, например, в момент времени t = 0). При включении коммутирующего разрядника 10 по дополнительной линии 9 будет распространяться волна разрядки – V0, после прохождения которой напряжение в дополнительной линии становится равным нулю. Будем считать полярность напряжения положительной, если вектор напряженности электрического поля на рассматриваемом чертеже направлен в СЛ снизу вверх, а в дополнительной линии справа налево. В момент времени t = T0 эта волна приходит к месту соединения дополнительной линии с линиями 5, 6 и 7. В результате в дополнительную линию 9 отразится волна напряжения – V0/2, а по линиям 5, 6 и 7 будут распространяться волны напряжения -V0 (3n+3 -4)/[2(n+ -1)],-3V0/2 и V0/[2(n+ -1)] соответственно.
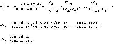
В момент времени t= 2T0 происходит следующее. Волна напряжения -V0/2, распространяющаяся по дополнительной линии 9, достигает короткозамкнутого коммутирующего разрядника 10 и отражается от него без изменения амплитуды, но с противоположной полярностью. После прохождения отраженной волны напряжение и ток в дополнительной линии 9 становятся равными нулю. Волна -V0 (3n+3 -4)/[2(n+ -1)], распространяющаяся по первому отрезку СЛ 5, также отражается от короткозамкнутого конца без изменения амплитуды, но с противоположной полярностью. После прохождения отраженной волны напряжение в этом отрезке становится равным нулю. Кроме того, в результате прохождения волн в первом отрезке СЛ возникает ток, равный по величине, но противоположный по полярности начальному току I0, созданному источником 11. Т.е. суммарный ток в отрезке 5 становится равным нулю. Таким образом, после прохождения волн из линии 5 отбирается полностью не только электрическая, но и магнитная энергия. В этот же момент времени к месту соединения линий 6, 7 и третьего отрезка СЛ 13 приходят две волны: -3V0/2 по линии 6 и V0/[2(n+ -1)] по линии 7. В результате суперпозиции волн в месте соединения линий с разными волновыми сопротивлениями по линии 6 в сторону дополнительной линии пойдет волна -V0(n+ )/[2(n+ -2)], по линии 7 – волна V0(n+ -2)/[2(n+ -1)], а в третий отрезок СЛ пройдет -V0 (3n+3 -4)/[2(n+ -2)].В момент времени t = 3T0 к месту соединения линий 5, 6, 7 и 9 приходят четыре волны: по линии 5 – волна V0 (3n+3 -4)/[2(n+ -1)], по линии 6 – волна -V0 (n+ )/[2(n+ -2)], по линии 7 – волна V0(n+ -2)/[2(n+ -1)] и по линии 9 – волна V0/2. В результате суперпозиции суммарная амплитуда волн напряжения, отраженных и прошедших в линии 5 и 9, равны нулю. Кроме того, напряжение и полный ток в каждой из указанных линий также становятся равными нулю. Т.е. к моменту времени t = 3T0 завершается процесс полного отбора энергии из линий 5 и 9. В линию 6 в результате суперпозиции пойдет волна напряжения 0 (n+ -1)/(n+ -2), а в линию 7 – волна V0/2, обнуляющие в них как напряжение, так и полный ток. Т.е. начинается процесс полного отбора энергии из этих линий. В этот же момент времени волна -V0 (3n+3 -4)/[2(n+ -2)], распространяющаяся по третьему отрезку СЛ, достигает места ее соединения с четвертым отрезком СЛ. В результате в третий отрезок СЛ отразится волна напряжения -V0 (3n+3 -4)/[2(n+ -2)(n+ -3)], а в четвертый отрезок СЛ пройдет волна -V0 (3n+3 -4)/[2(n+ -3)].В момент времени t = 4T0 к месту соединения линий 6, 7 и третьего отрезка СЛ 13 приходят три волны: V0 (n+ -1)/(n+ -2) по линии 6, V0/2 по линии 7 и -V0(3n+3 -4)/[2(n+ -2)(n+ -3)] по третьему отрезку 13. Суммарная амплитуда волн, отраженных и прошедших в линии 6 и 7, равна нулю, а в третий отрезок СЛ пойдет волна V0 (3n+3 -4)/[2(n+ -3)]. К этому моменту времени завершается процесс полного отбора энергии из линий 6 и 7. Отбор энергии из остальных отрезков СЛ осуществляется аналогичным образом – первая электромагнитная волна начинает отбор энергии, а завершает этот процесс волна, приходящая со стороны разрядника 10 с задержкой на время 2T0. В дальнейшем достаточно рассмотреть распространение по ступенчатой линии без высоковольтного электрода (i 3) только первой электромагнитной волны. В момент времени t = 2T0 в линию 13 с волновым сопротивлением Z3 побежит волна напряжения -V0 (3n+3 -4)/[2(n+ -2)]. При прохождении неоднородностей в местах соединения отрезков ступенчатой линии с разными волновыми сопротивлениями волна будет изменять свою амплитуду. В интервале времени iT0 – (i+1)T0 волна будет распространяться по отрезку СЛ с номером i и ее амплитуда V1i будет равна![]() В момент времени t = nT0, когда первая волна напряжения приходит к выходу генератора, включается прерыватель тока 2, подключающий резистивную нагрузку 3 с импедансом Zн. В результате прихода волны на нагрузке 3 формируется импульс напряжения а в результате размыкания прерывателя тока – импульс напряжения![]() Суммарная амплитуда импульса напряжения, возникающего на нагрузке 3 в момент времени t = nT0, равна ![]() и остается постоянной в интервале времени nT0 – (n + 2)T0. В дальнейшем в общем случае на нагрузке формируется импульс напряжения ступенчатой формы с длительностью ступеней, равной 2T0. Генератор имеет наибольший КПД в согласованном режиме, когда Zн = Zn. В этом случае на нагрузке 3 формируется одиночный прямоугольный импульс напряжения с амплитудой V0 (3n+3 -4)/(2 ) и длительностью 2T0. Энергия, переданная в течение импульса в согласованную нагрузку 3 равна по величине энергии, запасенной первоначально в генераторе![]() где EC и EL – энергия, запасаемая в генераторе в электрическом и магнитном поле, соответственно; электрическая емкость и индуктивность линий с соответствующими волновыми сопротивлениями.
Следовательно, к моменту времени t=(n+ 2)T0 запасенная в генераторе энергия полностью передается в согласованную нагрузку 3, и напряжение и ток в любом сечении генератора становятся равными нулю.
В согласованном режиме, когда генератор в идеальном случае обладает 100%-ным КПД, на нагрузке формируется импульс напряжения прямоугольной формы с амплитудой V0 (3n+3 -4)/(2 ), что превышает напряжение на согласованной нагрузке генератора-прототипа в 3/2+1/[2(2n + 2 – 3)] раз. Так как в рассматриваемом генераторе число отрезков n не может быть выбрано меньше 2, а > 0, то выигрыш по напряжению составляет не менее 1,5 раз. Оптимальный выбор числа отрезков СЛ и величины должен проводиться отдельно для каждого конкретного применения.
Правильность метода анализа волновых процессов в высоковольтных генераторах на ступенчатых линиях, подобного проведенному выше, была неоднократно подтверждена при создании ряда сильноточных импульсных ускорителей электронов с системами формирования импульсов ускоряющего напряжения на ступенчатых линиях [3-7].
Генератор может быть выполнен в вариантах, использующих полосковые, коаксиальные и радиальные линии с распределенными параметрами.
Источники информации
2. Патент на изобретение N 2121218. Генератор высоковольтных импульсов./ Гордеев B. C., Босамыкин B.C. – N 96112923; Заявлено 20.06.96; Опубликовано 27.10.98., Бюл. N 30.
th IEEE Internat. Pulsed Power Conf, Albuquerque, NM, June 21-23, 1993; Springfield, VA, NTIS. 1993. V.2. PP. 910-912.
th IEEE Internat. Pulsed Power Conf, Albuquerque, NM, June 21-23, 1993; Springfield, VA, NTIS. 1993. V.2. PP. 905-907.
Формула изобретения
источник напряжения, включенный между высоковольтным и заземленным электродами, коммутирующий разрядник, подключенные параллельно на выходе ступенчатой линии нагрузку и прерыватель тока, включенные в любом месте в разрыв заземленного электрода соединенные параллельно источник тока и разрядник, отличающийся тем, что он снабжен дополнительной однородной линией с временем задержки To, один из концов дополнительной однородной линии подключен к концу однородной линии с волновым сопротивлением Z2, между высоковольтным и заземленным электродами в месте соединения первого и второго отрезков ступенчатой линии, коммутирующий разрядник включен на другом конце дополнительной однородной линии, волновые сопротивления линий выбраны из соотношений:![]() ![]() ![]() ![]() где Z1 – волновое сопротивление первого отрезка ступенчатой линии; Zi – волновое сопротивление отрезков ступенчатой линии без высоковольтного электрода; i = 3, 4, …, n – номер отрезка ступенчатой линии; n – число отрезков ступенчатой линии; Z – волновое сопротивление дополнительной однородной линии, – отношение энергии, запасаемой первоначально в генераторе в виде электрического и магнитного поля;а отношение величины зарядного напряжения к величине начального тока в генераторе выбрано равным Vo/lo= Z (3n+3 -4)/2.
РИСУНКИ
MM4A Досрочное прекращение действия патента Российской Федерации на изобретение из-за неуплаты в установленный срок пошлины за поддержание патента в силе
Дата прекращения действия патента: 03.08.2003
Извещение опубликовано: 27.09.2004 БИ: 27/2004
|
||||||||||||||||||||||||||

2/[(n-i+1)(n-i+2)],




– отношение энергии, запасаемой первоначально в генераторе в виде электрического и в виде магнитного поля.
Отношение величины зарядного напряжения к величине начального тока в генераторе выбрано равным
. Энергия запасается в указанных отрезках в виде электрического поля. Одновременно под действием источника тока в первоначально замкнутом контуре, образованном заземленным электродом и прерывателем тока, создается ток I0 и энергия запасается дополнительно во всем объеме СЛ в виде магнитного поля. Схема генератора, волновые сопротивления, зарядное напряжение и начальный ток подобраны таким образом, что при включении коммутирующего разрядника вся первоначально запасенная энергия концентрируется на выходе генератора. При срабатывании прерывателя тока в момент прихода к нему первой электромагнитной волны от коммутирующего разрядника на согласованной нагрузке формируется одиночный прямоугольный импульс напряжения длительностью 2T0, в течение которого энергия полностью передается в нагрузку. Предымпульсное напряжение на нагрузке отсутствует. Напряжение на согласованной нагрузке превышает зарядное в (2



волновые сопротивления линий, образованных высоковольтным и заземленным электродами во втором отрезке ступенчатой линии, причем дополнительная линия подключена к линии с волновым сопротивлением Z2;
Между высоковольтным 4 и заземленным 1 электродами включены источник напряжения 8, а также в месте соединения первого и второго отрезков СЛ со стороны линии 6 один из концов дополнительной однородной линии 9, электрическая длина которой равна электрической длине T0. На другом конце дополнительной линии 9 включен коммутирующий разрядник 10. В разрыв заземленного электрода 1 в любом месте включены параллельно соединенные источник тока 11 и разрядник 12. Волновые сопротивления линий выбраны из соотношений



волновые сопротивления линий, образованных высоковольтным и заземленным электродами во втором отрезке ступенчатой линии, причем дополнительная линия подключена к линии с волновым сопротивлением Z2;
3) только первой электромагнитной волны. В момент времени t = 2T0 в линию 13 с волновым сопротивлением Z3 побежит волна напряжения -V0
приходит к выходу генератора, включается прерыватель тока 2, подключающий резистивную нагрузку 3 с импедансом Zн. В результате прихода волны на нагрузке 3 формируется импульс напряжения
а в результате размыкания прерывателя тока – импульс напряжения

равна по величине энергии, запасенной первоначально в генераторе
электрическая емкость и индуктивность линий с соответствующими волновыми сопротивлениями.
Следовательно, к моменту времени t=(n+ 2)T0 запасенная в генераторе энергия полностью передается в согласованную нагрузку 3, и напряжение и ток в любом сечении генератора становятся равными нулю.
В согласованном режиме, когда генератор в идеальном случае обладает 100%-ным КПД, на нагрузке формируется импульс напряжения прямоугольной формы с амплитудой V0
источник напряжения, включенный между высоковольтным и заземленным электродами, коммутирующий разрядник, подключенные параллельно на выходе ступенчатой линии нагрузку и прерыватель тока, включенные в любом месте в разрыв заземленного электрода соединенные параллельно источник тока и разрядник, отличающийся тем, что он снабжен дополнительной однородной линией с временем задержки To, один из концов дополнительной однородной линии подключен к концу однородной линии с волновым сопротивлением Z2, между высоковольтным и заземленным электродами в месте соединения первого и второго отрезков ступенчатой линии, коммутирующий разрядник включен на другом конце дополнительной однородной линии, волновые сопротивления линий выбраны из соотношений:


