Патент на изобретение №2161858
|
||||||||||||||||||||||||||
(54) ГЕНЕРАТОР ВЫСОКОВОЛЬТНЫХ ИМПУЛЬСОВ
(57) Реферат: Изобретение относится к области высоковольтной импульсной техники. Техническим результатом является повышение напряжения на выходе генератора при формировании на согласованной резистивной нагрузке с высоким КПД прямоугольного импульса напряжения. Генератор высоковольтных импульсов содержит заземленный электрод, образующий короткозамкнутую ступенчатую линию, выполненную в виде последовательно соединенных отрезков однородных линий с распределенными параметрами одинаковой электрической длины Tо. Во внутреннем объеме первого отрезка ступенчатой линии размещен высоковольтный электрод, разделяющий этот отрезок на две водородные линии. На выходе СЛ подключены соединенные параллельно нагрузка и прерыватель тока. Между высоковольтным и заземленным электродами включен источник напряжения. В разрыв заземленного электрода в любом месте включены соединенные параллельно источник тока и разрядник. Между высоковольтным и заземленным электродами в месте соединения первого и второго отрезков ступенчатой линии подключен один из концов дополнительной однородной линии, электрическая длина которой равна электрической длине Tо. На другом конце дополнительной линии включен коммутирующий разрядник. В согласованном режиме, когда генератор в идеальном случае обладает 100%-ным КПД, на нагрузке формируется прямоугольный импульс напряжения с длительностью, равной удвоенному времени пробега электромагнитной волны по длине отдельного отрезка ступенчатой линии. 1 ил. Изобретение относится к области высоковольтной импульсной техники и может быть использовано в электрофизических установках для получения мощных высоковольтных импульсов, например, для генерации пучков заряженных частиц (105-107 B, 103-106 A, 10-7-10-8 с). Известен генератор высоковольтных импульсов /1I, фиг. 3а/, содержащий заземленный электрод, образующий короткозамкнутую ступенчатую линию (СЛ), выполненную в виде последовательно соединенных отрезков однородных линий с распределенными параметрами одинаковой электрической длины 0, высоковольтный электрод, размещенный во внутреннем объеме первого отрезка СЛ и разделяющий его на две однородные линии, источник напряжения и коммутирующий разрядник, включенные между высоковольтным и заземленным электродами, причем коммутирующий разрядник размещен в месте соединения первого и второго отрезков СЛ, резистивную нагрузку, подключенную к выходу СЛ последовательно с предымпульсным разрядником. Под действием источника напряжения два отрезка линии вблизи высоковольтного электрода заряжаются до напряжения V0, и энергия запасается в генераторе в виде электрического поля. При включении коммутирующего разрядника в результате волновых процессов энергия концентрируется на выходе СЛ. С точки зрения достижения максимального КПД оптимальными являются следующие соотношения волновых сопротивлений Zi=Zn 2/[(n-i+1)(n-i+2)],где i = 2, 3,…,n – номер отрезка СЛ; n – полное число отрезков линий в СЛ; Zi – волновое сопротивление отрезка линии с номером i; волновых сопротивлений отрезков, образованных высоковольтным электродом в первом отрезке СЛ: – с разрядником Z1=Zn 2/[(n+1)(n+2)],– без разрядника ![]() В общем случае на выходе СЛ формируются импульсы напряжения чередующейся полярности длительностью 2T0. Рабочим является второй импульс напряжения. Нагрузка подключается при срабатывании предымпульсного разрядника с задержкой на время (n+1)T0 по отношению к моменту включения коммутирующего разрядника, то есть с задержкой на время 2T0 по отношению к моменту прихода к выходу генератора первой электромагнитной волны. На согласованной нагрузке Zн = Zn формируется одиночный импульс напряжения длительностью 2T0, в течение которого вся энергия передается в нагрузку. Напряжение на согласованной нагрузке превышает зарядное в (n+1)/2 раз, включение в состав СЛ каждого дополнительного отрезка повышает напряжение в согласованном режиме на величину V0/2. Недостатком генератора является сравнительно невысокое напряжение на нагрузке, равное (n+1)V0/2 в согласованном режиме и (n+1)V0 в режиме холостого хода. Кроме того, недостатком является наличие на выходе генератора предымпульсного напряжения перед подключением нагрузки, равного по амплитуде и длительности, но противоположного по полярности напряжению на согласованной нагрузке. Наличие значительного по величине предымпульсного напряжения, что в данном генераторе является необходимым условием высокого КПД, имеет негативные последствия. Во-первых, на выходе генератора необходимо использовать разрядник, к которому предъявляются весьма высокие требования. Он должен выдерживать без пробоя высокое предымпульсное напряжение, а затем в течение относительно короткого рабочего импульса пропустить всю первоначально запасенную в генераторе энергию. Поэтому в ряде случаев предельные выходные параметры генератора определяются возможностями предымпульсного разрядника. Во-вторых, несмотря на разрядник, предымпульсное напряжение из-за наличия паразитных электрических емкостей частично попадает на нагрузку, что в ряде случаев крайне нежелательно. Например, при использовании в качестве нагрузки генератора вакуумного диода для формирования пучков заряженных частиц предымпульсное напряжение приводит к образованию в ускоряющем зазоре плазмы, оказывающей существенное влияние на характеристики диода в течение рабочего импульса и ухудшающей воспроизводимость выходных параметров генератора от импульса к импульсу. В качестве прототипа выбран генератор /2/, содержащий заземленный электрод, образующий короткозамкнутую ступенчатую линию, выполненную в виде последовательно соединенных отрезков однородных линий с распределенными параметрами одинаковой электрической длины T0. На выходе ступенчатой линии подключены параллельно соединенные прерыватель тока и резистивная нагрузка. Во внутреннем объеме первого отрезка ступенчатой линии размещен высоковольтный электрод, разделяющий первый отрезок СЛ на две однородные линии. Между высоковольтным и заземленным электродом включены источник напряжения и коммутирующий разрядник, причем разрядник размещен в месте соединения первого и второго отрезков СЛ. В разрыв заземленного электрода в любом месте включены параллельно соединенные источник тока и разрядник. Волновые сопротивления линий, образованных высоковольтным и заземленным электродами в первом отрезке ступенчатой линии, равны: – с разрядником ![]() – без разрядника ![]() – волновые сопротивления отрезков ступенчатой линии без высоковольтного электрода выбраны из соотношения ![]() где i = 2,3,…,n – номер отрезка ступенчатой линии; n – число отрезков ступенчатой линии; – отношение энергии, запасаемой первоначально в генераторе в виде электрического и в виде магнитного поля;а отношение величины зарядного напряжения к величине начального тока в генераторе выбрано равным V0/I0=Z1. Под действием источника напряжения осуществляется импульсная зарядка до напряжения V0 электрической емкости двух отрезков с волновыми сопротивлениями Z1 и . Энергия запасается в указанных отрезках в виде электрического поля. Одновременно под действием источника тока в первоначально замкнутом контуре, образованном заземленным электродом и прерывателем тока, создается ток I0 и энергия запасается дополнительно во всем объеме СЛ в виде магнитного поля. Схема генератора, волновые сопротивления, зарядное напряжение и начальный ток подобраны таким образом, что при включении коммутирующего разрядника вся первоначально запасенная энергия концентрируется на выходе генератора. При срабатывании прерывателя тока в момент прихода к нему первой электромагнитной волны от коммутирующего разрядника на согласованной нагрузке формируется одиночный прямоугольный импульс напряжения длительностью 2T0, в течение которого энергия полностью передается в нагрузку. Предымпульсное напряжение на нагрузке отсутствует. Напряжение на согласованной нагрузке превышает зарядное в +n)/2 раз.
Недостатком прототипа является сравнительно невысокое напряжение на нагрузке, равное ( +n)V0/(2 ) в согласованном режиме и ( +n)V0/2 в режиме холостого хода.
Техническим результатом является повышение напряжения на выходе генератора при формировании на согласованной резистивной нагрузке с высоким КПД прямоугольного импульса напряжения.
Технический результат достигается тем, что в генератор высоковольтных импульсов, содержащий заземленный электрод, образующий короткозамкнутую ступенчатую линию, выполненную в виде последовательно соединенных отрезков однородных линий с распределенными параметрами одинаковой электрической длины T0, высоковольтный электрод, размещенный во внутреннем объеме первого отрезка СЛ и разделяющий его на две однородные линии, источник напряжения, включенный между высоковольтным и заземленным электродами, коммутирующий разрядник, подключенные параллельно на выходе СЛ нагрузку и прерыватель тока, включенные в любом месте в разрыв заземленного электрода соединенные параллельно источник тока и разрядник, снабжен дополнительной однородной линией с электрической длиной, равной электрической длине T0, один из концов дополнительной линии подключен между высоковольтным и заземленным электродами в месте соединения первого и второго отрезков ступенчатой линии, коммутирующий разрядник включен на другом конце дополнительной линии, а волновые сопротивления линий выбраны из соотношений:![]() ![]() ![]() где Z1, – волновые сопротивления линий, образованных высоковольтным и заземленным электродами в первом отрезке ступенчатой линии, причем дополнительная линия подключена к линии с волновым сопротивлением Z1;Zi – волновое сопротивление отрезков ступенчатой линии без высоковольтного электрода; i = 2,3,…, n – номер отрезка ступенчатой линии; n – число отрезков ступенчатой линии; Z – волновое сопротивление дополнительной линии; – отношение энергии, запасаемой первоначально в генераторе в виде электрического и магнитного поля;а отношение величины зарядного напряжения к величине начального тока в генераторе выбрано равным V0/I0 = Z (2n+2 -n)/(2 ).Включение в состав генератора дополнительной линии, изменение положения коммутирующего разрядника, а также указанный оптимальный выбор волновых сопротивлений и отношения величины зарядного напряжения к величине начального тока в генераторе в совокупности обеспечивают полную передачу запасенной в генераторе энергии в согласованную нагрузку при формировании на ней прямоугольного импульса напряжения повышенной амплитуды. На фигуре приведена принципиальная схема предлагаемого генератора высоковольтных импульсов, где 1 – заземленный электрод; 2 – прерыватель тока; 3 – нагрузка; 4 – высоковольтный электрод; 5, 6 – однородные линии, образованные высоковольтным электродом 4 в первом отрезке ступенчатой линии; 7 – источник напряжения; 8 – дополнительная однородная линия; 9 – коммутирующий разрядник; 10 – источник тока; 11 – разрядник для отключения источника тока; 12 – второй отрезок ступенчатой линии. Генератор содержит заземленный электрод 1, образующий короткозамкнутую ступенчатую линию, выполненную в виде последовательно соединенных отрезков однородных линий с распределенными параметрами одинаковой электрической длины 0. На выходе ступенчатой линии подключены параллельно соединенные прерыватель тока 2 и резистивная нагрузка 3. Во внутреннем объеме первого отрезка ступенчатой линии размещен высоковольтный электрод 4, делящий первый отрезок СЛ на две однородные линии 5 и 6 с волновыми сопротивлениями, равными соответственно Z1 и Между высоковольтным 4 и заземленным 1 электродами включены источник напряжения 7, а также, в месте соединения первого и второго отрезков СЛ со стороны линии 5, один из концов дополнительной однородной линии 8, электрическая длина которой равна электрической длине T0. На другом конце дополнительной линии 8 включен коммутирующий разрядник 9. В разрыв заземленного электрода 1 в любом месте включены параллельно соединенные источник тока 10 и разрядник 11. Волновые сопротивления линий выбраны из соотношений:![]() ![]() ![]() где Z1, волновые сопротивления линий, образованных высоковольтным и заземленным электродами в первом отрезке ступенчатой линии, причем дополнительная линия подключена к линии с волновым сопротивлением Z1;Zi – волновое сопротивление отрезков ступенчатой линии без высоковольтного электрода; i= 2,3,…, n – номер отрезка ступенчатой линии; n – число отрезков ступенчатой линии; Z – волновое сопротивление дополнительной линии, – отношение энергии, запасаемой первоначально в генераторе в виде электрического и магнитного поля;а отношение величины зарядного напряжения к величине начального тока в генераторе выбрано равным V0/I0 = Z (2n+2 -n)/(2 ).Генератор работает следующим образом. Под действием источника напряжения 7 осуществляется импульсная зарядка до напряжения V0 электрической емкости отрезков 5 и 6 и дополнительной линии 8, в которых энергия запасается в виде электрического поля. Одновременно под действием источника тока 10 в первоначально замкнутом контуре, образованном заземленным электродом 1 и прерывателем тока 2, создается ток I0 и энергия запасается дополнительно во всем объеме ступенчатой линии в виде магнитного поля. Соотношение величин V0 и I0 выбраны в соответствии с указанным выше уравнением. (Полярность напряжения V0 и направление тока I0 выбираются таким образом, чтобы после прихода электромагнитной волны от коммутирующего разрядника 9 в линии 5 происходило уменьшение тока). Величины V0 и I0 определяются и фиксируются до начала зарядки генератора путем выбора соответствующих источников напряжения или тока, либо путем предварительного регулирования выходных параметров этих источников. При достижении максимального тока I0 и максимального зарядного напряжения V0 включается коммутирующий разрядник 9. Для дальнейшего анализа волновых процессов этот момент времени удобно обозначить как t = 0. (Разрядник 11, отсоединяющий источник тока 10 от ступенчатой линии, включается после достижения максимального тока I0 до прихода к нему первой электромагнитной волны от коммутирующего разрядника 9, например, в момент времени t =0). При включении коммутирующего разрядника 9 по дополнительной линии 8 будет распространяться волна разрядки -V0, после прохождения которой напряжение в дополнительной линии становится равным нулю. Будем считать полярность напряжения положительной, если вектор напряженности электрического поля на рассматриваемом рисунке направлен в СЛ снизу вверх, а в дополнительной линии справа налево. В момент времени t = T0 эта волна приходит к месту соединения дополнительной линии с линиями 5, 6 и 12. В результате в дополнительную линию 8 отразится волна напряжения -V0/2, а по линиям 5, 6 и 12 будут распространяться волны напряжения соответственно.
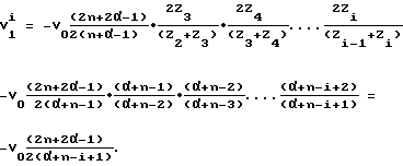
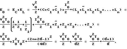
В момент времени t= 2T0 происходит следующее. Волна напряжения -V0/2, распространяющаяся по дополнительной линии 8, достигает короткозамкнутого коммутирующего разрядника 9 и отражается от него без изменения амплитуды, но с противоположной полярностью. К месту соединения линий 5 и 6 приходят две волны: -3V0/2 по линии 5 и V0 (n+ -2)/[2(n+ -1)] по линии 6. В результате суперпозиции волн в месте соединения линий с разными волновыми сопротивлениями по линии 5 в сторону дополнительной линии пойдет волна V0/2, а по линии 6 волна V0 (n+ )/[2(n+ -1)]. Легко показать, что после прохождения данных волн напряжение в каждой из этих линий становится равным нулю. Кроме того, в каждой из линий в результате прохождения волн возникает ток, равный по величине, но противоположный по полярности начальному току I0, созданному источником 10. Т.е. суммарный ток в обеих линиях становится равным нулю. Таким образом, после прохождения волн из линий 5 и 6 отбирается полностью не только электрическая, но и магнитная энергия. В этот же момент времени волна напряжения -V0 (2n+2 -1)/[2(n+ -1)] приходит к месту соединения второго 12 и третьего отрезков СЛ. В результате в линию 12 отразится волна -V0 (2n+2 -1)/[2(n+ -1)(n+ -2)], а в третий отрезок СЛ пойдет волна -V0 (2n+2 -1)/[2(n+ -2)].В момент времени t = 3T0 к месту соединения линий 5, 6, 8 и 12 приходят четыре волны: по линии 5 – волна V0/2, по линии 6 – волна V0 (n+ )/[2(n+ -1)], по линии 8 – волна V0/2 и по линии 12 – волна B результате суперпозиции суммарная амплитуда волн напряжения, отраженных и прошедших в линии 5, 6 и 8, равны нулю. Кроме того, напряжение и полный ток в каждой из указанных линий также становятся равными нулю. Т.е. к моменту времени t = 3T0 завершается процесс полного отбора энергии из линий 5, 6 и 8. В линию 12 в результате суперпозиции пойдет волна напряжения V0 (2n+2 -1)/(2[n+ -2)], обнуляющая в ней как напряжение, так и полный ток. Т.е. начинается процесс полного отбора энергии из этой линий. В этот же момент времени волна -V0 (2n+2 -1)/[2(n+ -2)], распространяющаяся по третьему отрезку СЛ достигает места ее соединения с четвертым отрезком СЛ. В результате в третий отрезок СЛ отразится волна напряжения -V0 (2n+2 -1)/(2[n+ -2)(n+ -3)], а в четвертый отрезок СЛ пройдет волна -V0 (2n+2 -1)/[2(n+ -3)].В момент времени t = 4T0 к месту соединения второго и третьего отрезков СЛ приходят две волны: V0 (2n+2 -1)/[2(n+ -2)] по второму отрезку и -V0 (2n+2 -1)/[2(n+ -2)(n+ -3)] по третьему отрезку. Суммарная амплитуда волны, отраженной во второй отрезок, равна нулю, а в третий отрезок СЛ пойдет волна V0 (2n+2 -1)/[2(n+ -3)]. К этому моменту времени завершается процесс полного отбора энергии из второго отрезка СЛ. Отбор энергии из остальных отрезков СЛ осуществляется аналогичным образом – первая электромагнитная волна начинает отбор энергии, а завершает этот процесс волна, приходящая со стороны разрядника 9 с задержкой на время 2T0. В дальнейшем достаточно рассмотреть распространение по ступенчатой линии только первой электромагнитной волны. В момент времени t=T0 в линию 12 с волновым сопротивлением Z2 побежит волна напряжения -V0(2n+2 -1)/[2[n+ -1)]. При прохождении неоднородностей в местах соединения отрезков ступенчатой линии с разными волновыми сопротивлениями волна будет изменять свою амплитуду. В интервале времени iT0 – (i + 1)T0 волна будет распространяться по отрезку СЛ с номером i и ее амплитуда V1i будет равна![]() В момент времени t =nT0, когда первая волна напряжения приходит к выходу генератора, включается прерыватель тока 2, подключающий резистивную нагрузку 3 с импедансом Zн. В результате прихода волны на нагрузке 3 формируется импульс напряжения а в результате размыкания прерывателя тока – импульс напряжения![]() Суммарная амплитуда импульса напряжения, возникающего на нагрузке 3 в момент времени t = nT0, равна ![]() и остается постоянной в интервале времени nT0 – (n+2)T0. В дальнейшем в общем случае на нагрузке формируется импульс напряжения ступенчатой формы с длительностью ступеней, равной 2T0. Генератор имеет наибольший КПД в согласованном режиме, когда Zн = Zn. В этом случае на нагрузке 3 формируется одиночный прямоугольный импульс напряжения амплитудой V0 (2n+2 -1)/(2 ) и длительностью 2T0. Энергия, переданная в течение импульса в согласованную нагрузку 3 равна по величине энергии, запасенной первоначально в генераторе![]() где EC и EL – энергия, запасаемая в генераторе в электрическом и магнитном поле, соответственно; электрическая емкость и индуктивность линий с соответствующими волновыми сопротивлениями.
Следовательно, к моменту времени t = (n + 2)T0 запасенная в генераторе энергия полностью передается в согласованную нагрузку 3, и напряжение и ток в любом сечении генератора становятся равными нулю.
В согласованном режиме, когда генератор в идеальном случае обладает 100%-ным КПД, на нагрузке формируется импульс напряжения прямоугольной формы амплитудой V0 (2n+2 -1)/(2 ), что превышает напряжение на согласованной нагрузке генератора-прототипа в 2-1/( +n) раз. Например, при =1 превышение напряжения составляет 2-1/(n+1) раз. Так как в рассматриваемом генераторе число отрезков n не может быть выбрано меньше 1, то выигрыш по напряжению составляет не менее 1,5 раз. Выигрыш растет с увеличением числа отрезков СЛ и уменьшением величины . Оптимальный выбор числа отрезков СЛ и величины должен проводиться отдельно для каждого конкретного применения.
Правильность метода анализа волновых процессов в высоковольтных генераторах на ступенчатых линиях, подобного проведенному выше, была неоднократно подтверждена при создании ряда сильноточных импульсных ускорителей электронов с системами формирования импульсов ускоряющего напряжения на ступенчатых линиях /3-7/.
Генератор может быть выполнен в вариантах, использующих полосковые, коаксиальные и радиальные линии с распределенными параметрами.
Источники информации, принятые во внимание:
th IEEE Internat. Pulsed Power Conf, Albuquerque, NM, June 21-23, 1993; Springfield, VA, NTIS. 1993. V.2. PP. 910-912.
th IEEE Internat. Pulsed Power Conf., Albuquerque, NM, June 21-23, 1993; Springfield, VA, NTIS. 1993. V.2. PP. 905-907.
Формула изобретения
источник напряжения, включенный между высоковольтным и заземленным электродами, коммутирующий разрядник, подключенные параллельно на выходе ступенчатой линии нагрузку и прерыватель тока, включенные в любом месте в разрыв заземленного электрода соединенные параллельно источник тока и разрядник, отличающийся тем, что он снабжен дополнительной однородной линией с временем задержки To, один из концов дополнительной однородной линии подключен к концу однородной линии с волновыми сопротивлениями Z1 между высоковольтным и заземленным электродами в месте соединения первого и второго отрезков ступенчатой линии, коммутирующий разрядник включен на другом конце дополнительной однородной линии, волновые сопротивления линий выбраны из соотношений:![]() ![]() ![]() где Z1 – волновое сопротивление отрезков ступенчатой линии без высоковольтного электрода; i = 3, 4 …, n – номер отрезка ступенчатой линии; n – число отрезков ступенчатой линии; Z – волновое сопротивление дополнительной однородной линии, – отношение энергии, запасаемой первоначально в генераторе в виде электрического и магнитного поля;а отношение величины зарядного напряжения к величине начального тока в генераторе выбрано равным Vo/lo= Z (2n+2 -n)/(2 ).
РИСУНКИ
MM4A Досрочное прекращение действия патента Российской Федерации на изобретение из-за неуплаты в установленный срок пошлины за поддержание патента в силе
Дата прекращения действия патента: 03.08.2003
Извещение опубликовано: 27.09.2004 БИ: 27/2004
|
||||||||||||||||||||||||||

2/[(n-i+1)(n-i+2)],



– отношение энергии, запасаемой первоначально в генераторе в виде электрического и в виде магнитного поля;
. Энергия запасается в указанных отрезках в виде электрического поля. Одновременно под действием источника тока в первоначально замкнутом контуре, образованном заземленным электродом и прерывателем тока, создается ток I0 и энергия запасается дополнительно во всем объеме СЛ в виде магнитного поля. Схема генератора, волновые сопротивления, зарядное напряжение и начальный ток подобраны таким образом, что при включении коммутирующего разрядника вся первоначально запасенная энергия концентрируется на выходе генератора. При срабатывании прерывателя тока в момент прихода к нему первой электромагнитной волны от коммутирующего разрядника на согласованной нагрузке формируется одиночный прямоугольный импульс напряжения длительностью 2T0, в течение которого энергия полностью передается в нагрузку. Предымпульсное напряжение на нагрузке отсутствует. Напряжение на согласованной нагрузке превышает зарядное в 


– волновые сопротивления линий, образованных высоковольтным и заземленным электродами в первом отрезке ступенчатой линии, причем дополнительная линия подключена к линии с волновым сопротивлением Z1;
Между высоковольтным 4 и заземленным 1 электродами включены источник напряжения 7, а также, в месте соединения первого и второго отрезков СЛ со стороны линии 5, один из концов дополнительной однородной линии 8, электрическая длина которой равна электрической длине T0. На другом конце дополнительной линии 8 включен коммутирующий разрядник 9. В разрыв заземленного электрода 1 в любом месте включены параллельно соединенные источник тока 10 и разрядник 11. Волновые сопротивления линий выбраны из соотношений:


волновые сопротивления линий, образованных высоковольтным и заземленным электродами в первом отрезке ступенчатой линии, причем дополнительная линия подключена к линии с волновым сопротивлением Z1;
соответственно.
В момент времени t= 2T0 происходит следующее. Волна напряжения -V0/2, распространяющаяся по дополнительной линии 8, достигает короткозамкнутого коммутирующего разрядника 9 и отражается от него без изменения амплитуды, но с противоположной полярностью. К месту соединения линий 5 и 6 приходят две волны: -3V0/2 по линии 5 и V0
B результате суперпозиции суммарная амплитуда волн напряжения, отраженных и прошедших в линии 5, 6 и 8, равны нулю. Кроме того, напряжение и полный ток в каждой из указанных линий также становятся равными нулю. Т.е. к моменту времени t = 3T0 завершается процесс полного отбора энергии из линий 5, 6 и 8. В линию 12 в результате суперпозиции пойдет волна напряжения V0
приходит к выходу генератора, включается прерыватель тока 2, подключающий резистивную нагрузку 3 с импедансом Zн. В результате прихода волны на нагрузке 3 формируется импульс напряжения
а в результате размыкания прерывателя тока – импульс напряжения

равна по величине энергии, запасенной первоначально в генераторе
электрическая емкость и индуктивность линий с соответствующими волновыми сопротивлениями.
Следовательно, к моменту времени t = (n + 2)T0 запасенная в генераторе энергия полностью передается в согласованную нагрузку 3, и напряжение и ток в любом сечении генератора становятся равными нулю.
В согласованном режиме, когда генератор в идеальном случае обладает 100%-ным КПД, на нагрузке формируется импульс напряжения прямоугольной формы амплитудой V0
источник напряжения, включенный между высоковольтным и заземленным электродами, коммутирующий разрядник, подключенные параллельно на выходе ступенчатой линии нагрузку и прерыватель тока, включенные в любом месте в разрыв заземленного электрода соединенные параллельно источник тока и разрядник, отличающийся тем, что он снабжен дополнительной однородной линией с временем задержки To, один из концов дополнительной однородной линии подключен к концу однородной линии с волновыми сопротивлениями Z1 между высоковольтным и заземленным электродами в месте соединения первого и второго отрезков ступенчатой линии, коммутирующий разрядник включен на другом конце дополнительной однородной линии, волновые сопротивления линий выбраны из соотношений:

