Патент на изобретение №2161779
|
||||||||||||||||||||||||||
(54) РАСХОДОМЕР
(57) Реферат: Изобретение предназначено для измерения расхода в трубопроводах большого диаметра (более 200 мм). Расходомер включает в себя два волноводных резонатора, расположенных в разных сечениях вдоль трубопровода, с внешней его стороны. Каждый резонатор выполнен составным и содержит К трехплечих циркуляторов и волноводы с упругими торцевыми стенками (мембранами), общими с трубопроводом. По разности собственных частот резонаторов определяют перепад давления, функционально связанный с расходом. Изобретение имеет повышенную чувствительность к измеряемому расходу. 5 ил. Изобретение относится к области измерительной техники и может быть использовано для измерения расхода веществ, перемещаемых по трубопроводу, и применимо в пищевой, химической, нефтяной и других отраслях промышленности, в энергетике и др. Во всех этих отраслях преимущественная область применения – измерение расхода в трубах достаточно большого диаметра (более 200 мм). Известны расходомеры, основанные на разных физических принципах (Кремлевский П. П. Расходомеры и счетчики количества. Л.: Машиностроение (Ленинградское отделение), 1975). В частности, известны описанные в этой книге (главы I-V) расходомеры, основанные на измерении перепада давления в магистралях и связанные с применением расположенных внутри трубопроводов сужающих устройств-сопел различных форм и конструкций. Применение таких расходомеров вызывает нарушение структуры потока, развитие турбулентности, нарушение цельнометаллической конструкции трубопровода при отборе давления. Во многих практических задачах это недопустимо. Например, при измерениях расхода в тяжелых эксплуатационных условиях (на объектах химии, энергетики и др.) необходимо применение приборов, не имеющих указанных недостатков. В то же время применяемые приборы должны быть простыми и надежными в эксплуатации, при проведении ремонтных и регламентных работ, быть взаимозаменяемыми. Наиболее близким по технической сущности к предлагаемому устройству является расходомер, принятый за прототип (Billeter T.R., Phillipp L.D., Schemmel R. R. Microwave fluid flow monitor. Пат. США N 3939406, НКИ 324-58.5). Этот расходомер является бесконтактным, не нарушающим структуру и динамику потока. Он содержит два объемных СВЧ-резонатора, которые установлены снаружи трубопровода в разных сечениях вдоль его длины. Каждый из этих резонаторов имеет с трубопроводом общую упругую торцевую стенку (мембрану, диафрагму и т.п.), а также соединенные с каждым резонатором блоки для генерации резонансной (собственной) частоты электромагнитных колебаний резонатора и блок сравнения резонансных частот указанных резонаторов. Выходной сигнал блока сравнения соответствует измеряемому расходу. Такое устройство обеспечивает сохранение цельнометаллической конструкции трубопровода и не содержит внутри него каких-либо конструктивных элементов. Это не приводит к нарушению гидродинамических характеристик и структуры потока. Резонансная частота каждого объемного резонатора является функцией давления внутри трубопровода в том его сечении, в области которого установлен данный резонатор. Эта частота имеет обычно величину порядка нескольких гигагерц и зависит от размеров резонатора, выбранного “рабочего” типа электромагнитных колебаний. При этом изменение давления в трубопроводе приводит к смещению гибкой стенки, общей для резонатора (это его торцевая стенка) и трубопровода, изменяя продольный размер полости резонатора и, как следствие, его резонансную частоту. В трубопроводе давление имеет разную величину в разных его сечениях. Соответствующие этим величинам давления значения прогиба торцевых стенок резонаторов, расположенных вдоль трубопровода в двух его сечениях, также различны. Перепад давления зависит функционально от скорости потока вещества в трубопроводе. Определяя этот перепад давления по разности резонансных частот двух резонаторов, можно найти скорость потока и расход вещества. У такого расходомера чувствительность зависит, помимо других факторов, не связанных с прибором, также и от расстояния между резонаторами, установленными на трубопроводе вдоль его длины. Увеличения чувствительности расходомера можно добиться путем увеличения этого расстояния между резонаторами, что часто не представляется возможным. Так, например, в устройстве-прототипе для определения скорости жидкого натрия в трубопроводе, равной ~1,8 м/с (минимальная величина) по падению давления, расстояние между резонаторами должно составлять ~3 м. При меньшем расстоянии чувствительность расходомера оказывается недопустимо низкой. Целью изобретения является повышение чувствительности устройства к измеряемому расходу. Поставленная цель в предлагаемом расходомере, содержащем два расположенных вдоль трубопровода с внешней его стороны волноводных резонатора, каждый из которых имеет общую с трубопроводом упругую торцевую стенку, достигается тем, что он снабжен в каждом резонаторе K трехплечими циркуляторами и волноводами с упругими торцевыми стенками по числу циркуляторов, резонаторы выполнены составными, а каждый циркулятор двумя из своих плеч сопрягает смежные отрезки резонаторов, а третьим плечом соединен с соответствующим волноводом, имеющим общую с трубопроводом упругую торцевую стенку. Существенными отличиями, по мнению авторов, является выполнение каждого резонатора составным, имеющим K трехплечих циркулятора, причем каждый из них двумя из своих плеч сопрягает смежные отрезки резонатора; третье плечо циркулятора соединено с соответствующим волноводом, имеющим общую упругую торцевую стенку с трубопроводом. Совокупность отличительных признаков предлагаемого устройства обусловливает новое свойство предлагаемого расходомера: обеспечена возможность восприятия полезного сигнала одновременно упругими торцевыми стенками K волноводов, входящих в состав каждого из составных резонаторов, расположенных в разных сечениях вдоль трубопровода с внешней его стороны. Данное свойство обеспечивает полезный эффект, сформулированный в цели предложения. Изобретение поясняется чертежами. На фиг.1 приведена условная схема образования в волноводном резонаторе стоячей волны при многократном восприятии давления в трубопроводе одной из встречных волн в резонаторе, образующих стоячую волну. На фиг.2 приведена схема, когда для получения полезной информации используются не одна, а обе встречные волны в резонаторе, воспринимающие давление в трубопроводе за счет прогиба упругих торцевых стенок раздельно. На фиг.3 приведена схема устройства, соответствующая схеме зондирования на фиг.1. На фиг. 4 – схема зондирования на фиг.2. На фиг.5 – функциональная схема расходомера. На чертежах устройства (фиг. 3), (фиг.4) и (фиг.5) введены следующие обозначения. Здесь 1 – трубопровод с контролируемым веществом; 2 и 3 – волноводные резонаторы; 4 – трехплечие циркуляторы; 5 – волноводы с упругими торцевыми стенками 6; 7 и 8 – блоки для генерации электромагнитных колебаний и регистрации резонансных частот; 9 – блок сравнения резонансных частот; 10 – индикатор. Устройство работает следующим образом. В данном устройстве обеспечивается многократное и одновременное восприятие значения давления (за счет измерения величины прогиба упругого элемента) в каждом из двух сечений трубопровода. При этом, соответственно, многократно возрастает чувствительность к измеряемой величине, т.е. к прогибу мембраны, вызванному текущим значением давления в каждом из сечений трубопровода. Информативным параметром датчика расхода в данном устройстве является резонансная частота f(x) электромагнитных колебаний составного волноводного резонатора, где x – величина прогиба мембраны, точнее ее центральной части относительно ее исходного положения, соответствующего отсутствию движения потока вещества. По сравнению с прототипом, где каждый волноводный резонатор имеет только одну упругую торцевую стенку, общую с трубопроводом, в предлагаемом устройстве каждый такой резонатор, являющийся теперь составным, имеет K = 2, 3, .. . упругих торцевых стенок (мембран), общих с трубопроводом и расположенных в одном и том же поперечном сечении. Как приведено в описании к устройству-прототипу, падение давления P на участке длиной l между двумя областями расположения резонаторов выражается следующей формулой:![]() где – плотность вещества, – вязкость, D – диаметр трубопровода, – коэффициент трения, g – ускорение свободного падения.
Изменение скорости потока и расхода вещества приводит к соответствующим изменениям величины коэффициента трения, который зависит также от степени шероховатости стенок трубопровода. Упругая стенка может быть изготовлена, например, из нержавеющей стали. Толщина диафрагмы может составлять 0,1 – 0,2 мм, а диаметр ~10-40 мм (в зависимости от диаметра трубопровода).
Очевидно, что наличие нескольких тонких мембран в одном и том же сечении трубопровода может снизить его прочность на таком его измерительном участке. Поэтому предпочтительная область применения предлагаемого расходомера, содержащего в каждом из резонаторов несколько указанных мембран, это расходометрия в трубопроводах относительно большого диаметра (более 200 мм). Для них наличие нескольких мембран в каждом из двух сечений не снижает прочности и надежности трубопроводаНа фиг. 1 приведена условная схема образования стоячей волны в волноводном резонаторе с образованием в этом резонаторе стоячей волны при многократном восприятии величины x одной из встречных волн в резонаторе, образующих стоячую волну. На фиг.2 показана условная схема с использованием не одной, а обеих встречных волн для восприятия прогиба упругих торцевых стенок (мембран) раздельно. Операцию зондирования мембраны электромагнитными волнами в резонаторе в указанных схемах осуществляют такое число раз, которое необходимо для получения требуемой чувствительности. Для схем на фиг.1 и фиг. 2 условие резонанса в таких синтезируемых резонаторах можно записать в линейном приближении следующим образом: 2 nL+K2 nx = 2 n, (2)где L – общая длина волноводного тракта вне области зондирования, т.е. выше пунктирной линии на фиг.1 и фиг.2; n= 2 fn/Vф – фазовая постоянная; Vф – фазовая скорость волны в резонаторе; f – собственная (резонансная) частота электромагнитных колебаний резонатора n-ого типа; K=1, 2, … – число зондирований, т.е. число раз, которыми волны, образующие стоячую волну в резонаторе, взаимодействуют с упругим торцевым элементом (мембраной).
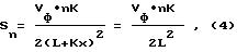
Из соотношения (1) следует![]() Число n соответствует номеру возбуждаемого типа колебаний. Чувствительность Sn= dfn/dx к измеряемому положению мембраны, характеризуемого перемещением x, как следует из выражения (2), есть ![]() где x< Формула изобретения
РИСУНКИ
MM4A Досрочное прекращение действия патента Российской Федерации на изобретение из-за неуплаты в установленный срок пошлины за поддержание патента в силе
Дата прекращения действия патента: 01.07.2001
Номер и год публикации бюллетеня: 34-2002
Извещение опубликовано: 10.12.2002
|
||||||||||||||||||||||||||

P на участке длиной l между двумя областями расположения резонаторов выражается следующей формулой:
– плотность вещества,
– вязкость, D – диаметр трубопровода,
– коэффициент трения, g – ускорение свободного падения.
Изменение скорости потока и расхода вещества приводит к соответствующим изменениям величины коэффициента трения, который зависит также от степени шероховатости стенок трубопровода. Упругая стенка может быть изготовлена, например, из нержавеющей стали. Толщина диафрагмы может составлять 0,1 – 0,2 мм, а диаметр ~10-40 мм (в зависимости от диаметра трубопровода).
Очевидно, что наличие нескольких тонких мембран в одном и том же сечении трубопровода может снизить его прочность на таком его измерительном участке. Поэтому предпочтительная область применения предлагаемого расходомера, содержащего в каждом из резонаторов несколько указанных мембран, это расходометрия в трубопроводах относительно большого диаметра (более 200 мм). Для них наличие нескольких мембран в каждом из двух сечений не снижает прочности и надежности трубопровода
nL+K2
n, (2)
