Патент на изобретение №2161777
|
||||||||||||||||||||||||||
(54) КОМПЛЕКСНАЯ ПРИЦЕЛЬНАЯ СИСТЕМА
(57) Реферат: Изобретение предназначено для оснащения фронтовых ударных самолетов. Система содержит бортовую оптико-локационную станцию, бортовую радиолокационную станцию, блок коммутации параметров, а также дополнительно введенные блок интегрирования, блок разности, инерциально-спутниковую систему, блок формирования параметрических функций, блок выделения систематических погрешностей, блок запоминания, обеспечивающие повышение надежности и точности работы системы посредством комплексной обработки информации, что и является достигаемым техническим результатом. 2 ил. Изобретение относится к бортовому оборудованию самолетов, обеспечивающему применение средств поражения, в частности по наземным запрограммированным неподвижным целям. Из известных аналогов, описание которых приведено в книге [1] Гришутина В. Г. “Лекции по авиационным системам стрельбы”, Киев, КВВАИУ, 1980 г., стр. 354-357, в книге [2] Мубаракшина Р.В. и др. “Прицельные системы стрельбы”, часть 1, Москва, ВВИА им. Жуковского, 1973 г., стр. 55-66, стр. 96-99, в книге [3] Бабича О. А. “Обработка информации в навигационных комплексах”, Москва, Машиностроение, 1991 г. , стр. 485-491, наиболее близким является комплексная система, приведенная в [2] на стр. 96-99. Данная система содержит бортовую оптико-локационную станцию (БОЛС), бортовую радиолокационную станцию (БРЛС), блок коммутации параметров (БКП). При этом, например, при отказе (отключении по тактической необходимости) БРЛС и при погодных условиях, не соответствующих области устойчивой работы БОЛС, комплексная система становится неработоспособной. Кроме того, при условии подавления высокочастотных погрешностей БОЛС и БРЛС ([2], стр. 114-117), например при отказе (отключении по условиям применения или техническим требованиям) БОЛС, имеющие место систематические погрешности БРЛС по дальности и углам визирования цели, приводят к соответствующим погрешностям целеуказания и применения средств поражения. Техническим результатом, достигаемым при использовании предлагаемого технического решения, является повышение надежности и точности работы комплексной системы. Обеспечивается технический результат тем, что в комплексную прицельную систему, содержащую бортовую оптико-локационную станцию, бортовую радиолокационную станцию и блок коммутации параметров, на первый, второй и третий входы которого подключены соответственно первый и второй выходы бортовой оптико-локационной станции и первый выход бортовой радиолокационной станции, дополнительно введены включенные между первым выходом и четвертым входом блока коммутации параметров последовательно соединенные блок интегрирования и блок разности, а также объединенные в кольцо блок формирования параметрических функций, блок выделения систематических погрешностей, блок запоминания, инерциально-спутниковая система, второй выход которой подключен ко входам бортовой оптико-локационной станции и бортовой радиолокационной станции, вторые выходы которых подключены соответственно ко второму и третьему входам блока разности, второй выход которого подключен к пятому входу блока коммутации параметров, второй и третий выходы которого подключены соответственно ко второму входу блока запоминания и к третьему входу блока выделения систематических погрешностей, второй вход которого объединен с третьим выходом инерциально-спутниковой системы и шестым входом блока коммутации параметров. На фиг. 1 представлена блок-схема предлагаемой системы, содержащей: 1 – бортовая оптиколокационная станция БОЛС, 2 – бортовая радиолокационная станция БРЛС, 3 – инерциально-спутниковая система ИСС, 4 – блок интегрирования БИ, 5 – блок разности БР, 6 – блок запоминания БЗ, 7 – блок формирования параметрических функций БФПФ, 8 – блок коммутации параметров БКП, 9 – блок выделения систематических погрешностей БВСП. Связи между блоками выполнены, например, в последовательном коде. На фиг. 2 приведена блок-схема технического исполнения БКП8, содержащего четыре стандартных двупозиционных нормально замкнутых релейных элемента РЭ10, РЭ11, РЭ12, РЭ13. Примеры технического выполнения блоков приведены: – БРЛС2 в книге [4] Давыдова П.С. “Авиационная радиолокация”, Москва, Транспорт, 1984 г.; – БОЛС1 в книге [5] Лазарева Л.П. “Инфракрасные и световые приборы самонаведения летательных аппаратов”, Москва, Машиностроение, 1970 г.; – ИСС3 в [3] стр. 476-485, также в книге [6] Харисова В.Н. и др. “Глобальная спутниковая радионавигационная система ГЛОНАСС”, Москва, ИПРЖР, 1998 г., стр. 373-375; – БИ4, БЗ6 в книге [7] Тетельбаума Ю.М. и др. “400 схем для АВМ”, Москва, Энергия, 1978 г., стр. 9, стр. 124; – БР5, БФПФ7, БВСП9 как устройств, реализующих арифметические операции, в книге [8] Преснухина Л.Н. и др. “Цифровые вычислительные машины”, Москва, Высшая школа, 1981 г., стр. 16. При условии подавления высокочастотных центрированных погрешностей БОЛС1, БРЛС2, ИСС3 по способу, изложенному, например, в [2] стр. 114-117, систематические погрешности БОЛС1 вблизи нуля, систематические погрешности БРЛС8 в измерении дальности и углов визирования цели 1, 2, 3; систематические погрешности ИСС3 в измерении географических координат местоположения самолета 1, 2, 3 и в измерении углов эволюций самолета (географического курса , крена , тангажа ) – 4, 5, 6.Система работает следующим образом. ИСС3 измеряет: – углы (или синусы и косинусы углов) эволюций самолета 1= ( + 4), 1= ( + 5), 1= ( + 6);– географические координаты местоположения самолета (продольную, боковую и высоту) (Lc+ 1),(Zc+ 2),(Hc+ 3), и, при заданных географических координатах цели L0, Z0, H0, географические координаты цели относительно самолета![]() дальность до цели D1=(L12+Z12+H12)0,5 или ![]() горизонтальную дальность D1г=(L12 + Z12)0,5, угол азимута цели ![]() угол места цели ![]() Сигналы параметров D1, 1, 1 с третьего выхода ИСС3 поступают на второй вход БВСП9 и на шестой вход БКП8. Сигналы углов 1, 1, 1 (или синусы и косинусы этих углов) со второго выхода ИСС3 поступают на входы БОЛС1, БРЛС2. Сигналы L1, Z1, H1, D1, D1г, sin 1,cos 1 с первого выхода ИСС3 поступают на вход БФПФ7.
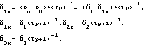
По поступившим сигналам 1, 1 БОЛС1, например устанавливается в плоскость горизонта (соответственно с погрешностями 5, 6) и по азимуту отрабатывается на угол 1 (соответственно с погрешностью 4), при обнаружении и сопровождении цели БОЛС1 измеряет ([3], стр. 487) дальность D0 = D, угол азимута цели 0= + 4, угол места цели![]() параметры D0, 0, 0 со второго выхода БОЛС1 поступают на второй вход БР5 и на второй вход БКП8, на первый вход которого с первого выхода БОЛС1 поступает сигнал U1 (U1= 0 – исправность, U1= U0 – отказ, сбой, отключение). БРЛС2 по сигналам 1, 1 устанавливается в плоскость горизонта и по сигналу 1 отрабатывается по углу азимута, при обнаружении и сопровождении той же цели БРЛС2 измеряет дальность D2= D+ 2, угол азимута цели 2= + 2+ 4, угол места цели ![]() Сигналы параметров D2, 2, 2 со второго выхода БРЛС2 поступают на третий вход БР5. С первого выхода БРЛС2 сигнал U2 (U2= 0 – исправность, U2 = U0 – отказ отключения, сбой) поступает на третий вход БКП8, в котором первый вход (сигнал U1) подключен к контакту “0” РЭ11 и к управляющему входу РЭ10, соответственно при U1 = 0 (исправность БОЛС1),четвертый вход БКП8 через контакты “1-0” РЭ10 подключен к первому выходу БКП8, таким образом первый выход БР5 подключен ко входу БИ4, где формируются корректирующие сигналы 1к, 2к, 3к, поступающие на первый вход БР5, в котором формируются сигналы Dк= (D2– 1к, к= ( 2– 2к), к= ( 2– 3к) и сигналы (Dк-D0), ( к– 0),( к– 0). Сигналы (Dк-D0), ( к– 0),( к– 0) с первого выхода БР5 через (как было отмечено) соединенные четвертый вход и первый выход БКП8 поступают на первый вход БИ4, реализованного на трех интеграторах, на которых формируются сигналы![]() где T – постоянная времени, p – оператор дифференцирования. При i= const, iк i, iTp(Tp+1)-1 0, i=1, 2, 3 тогда сигналы Dк —> D, к + 4, к + 5a1+ 6a2 со второго выхода БР5 поступают на пятый вход БКП8, с третьего входа которого сигнал U2 поступает на управляющие входы РЭ11 и РЭ12.
При отказе БОЛС1 (U1 = 0) в РЭ10 замыкаются контакты “0-2”, нулевой сигнал с контакта “0” через первый выход БКП8 вступает на вход БИ4, на выходе которого запоминаются сигналы и откорректированные сигналы Dк, k, k продолжают поступать со второго выхода БР5 на пятый вход БКП8, подключенный к контакту “1” РЭ12, на второй контакт которого поступают сигналы D0, o, o со второго входа БКП8, третий вход которого (сигнал U2) подключен к управляющим входам РЭ11 и РЭ12. При U2 = U0 (отказ БРЛС2) в РЭ11 замыкаются контакты “0-2” и выходной сигнал U3 = U1 = U0 (отказ БОЛС1 и БРЛС2) проходит на второй выход БКП8 и на управляющий вход РЭ13. Сигнал U3 = 0 при U1 = 0, U2 = U0; U3 = 0 при U1 = U0, U2 = 0; U3 = U0 при U1 = U0, U2 = U0. В РЭ12 при U2 = U0 (отказ БРЛС2) замыкаются контакты “0-2” и с контакта “0” на третий выход БКП8 и на контакт “1” РЭ13 поступают сигналы D0, o, o, Таким образом с третьего выхода БКП8 равноточные сигналы Dк, k, k или D0, o, o поступают на третий вход БВСП9.
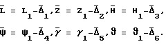
В БФПФ7 по поступившим сигналам на операциях суммирования, разности, умножения и деления формируются сигналы параметрических функций![]() которые с выхода БФПФ7 поступают на первый вход БВСП9, в котором формируется сигнал j = 1, 2, 3Здесь B1 = D1 – D0 (или B1 = D1 – Dк), b2= 1– 0,b3= 1– 0,a14 = a15 = a16 = 0, a23 = 0, a24 = -1, a34 = 0, на операции задержки (малое время ) фopмиpуютcя сигналы![]() ![]() ![]() a4i= a1i(t- ),a5i= a2i(t- ),a6i= a3i(t- ).На арифметических операциях деления, суммирования, умножения, разности, например методом исключения Гаусса ([9] , Бронштейн И.Н., Семендяев К.А. “Справочник по математике”, Москва, Наука, 1986 г., стр. 491-493) формируются параметры ![]() i 0,1 i – погрешность вычислений, i = 1-6, j = 1-6, которые с выхода БВСП9 поступают на первый вход БЗ6, на второй вход которого, как отмечено выше, поступает сигнал U3. При U3 = 0 сигнал с выхода БВСП9 поступает на вход ИСС3, при U3 = U0 в момент t0 времени в БЗ6 запоминается сигнал который с выхода БЗ6 поступает на вход ИСС3.
Сигналы практически равноточны при достаточном времени сходящегося вычислительного процесса i(t) i(t0) 0,1 i. В ИСС3 по сигналам i осуществляется коррекция параметров![]() При этом корректируемые параметры имеют погрешности i 0,1 i.Соответственно формируются откорректированные параметры ![]() которые поступают на шестой вход БКП8. Откорректированные параметры со второго входа ИСС3 поступают на входы БОЛС1, БРЛС2, тогда![]() где, как отмечено, i 0,1 i.В БКП8 шестой вход (параметры ) подключен к контакту “2” РЭ13.
При U3 = 0 на управляющем входе РЭ13 через контакты “1-0” на четвертый выход БКП8 поступают откорректированные сигналы D0=D, или равноточные им сигналы Dк, При U3 = U0 (отказ БОЛС1 и БРЛС2) в РЭ13 замыкаются контакты “0-2” и с выхода РЭ13 на четвертый выход БКП8 поступают откорректированные сигналы , практически равноточные сигналам D, (Dк, ), откуда они выдаются потребителям – в систему управления оружием, в систему управления самолетом, в систему индикации.
Таким образом обеспечивается повышение надежности и точности работы системы, что свидетельствует о достижении технического результата.
Формула изобретения
РИСУНКИ
|
||||||||||||||||||||||||||

1,
1,
, крена
, тангажа
) – 



1,
1 с третьего выхода ИСС3 поступают на второй вход БВСП9 и на шестой вход БКП8. Сигналы углов 


и откорректированные сигналы Dк, 
j = 1, 2, 3
) фopмиpуютcя сигналы



i
0,1
с выхода БВСП9 поступает на вход ИСС3, при U3 = U0 в момент t0 времени в БЗ6 запоминается сигнал
который с выхода БЗ6 поступает на вход ИСС3.
Сигналы
практически равноточны при достаточном времени сходящегося вычислительного процесса


со второго входа ИСС3 поступают на входы БОЛС1, БРЛС2, тогда
) подключен к контакту “2” РЭ13.
При U3 = 0 на управляющем входе РЭ13 через контакты “1-0” на четвертый выход БКП8 поступают откорректированные сигналы D0=D,
или равноточные им сигналы Dк,
При U3 = U0 (отказ БОЛС1 и БРЛС2) в РЭ13 замыкаются контакты “0-2” и с выхода РЭ13 на четвертый выход БКП8 поступают откорректированные сигналы
, практически равноточные сигналам D,
(Dк,
), откуда они выдаются потребителям – в систему управления оружием, в систему управления самолетом, в систему индикации.
Таким образом обеспечивается повышение надежности и точности работы системы, что свидетельствует о достижении технического результата.