Патент на изобретение №2161619
|
||||||||||||||||||||||||||
(54) КРИСТАЛЛИЧЕСКИЕ СОЛИ ПРИСОЕДИНЕНИЯ КИСЛОТ ЦЕФЕМА, СПОСОБ ИХ ПОЛУЧЕНИЯ, СОДЕРЖАЩЕЕ ИХ ЛЕКАРСТВЕННОЕ СРЕДСТВО
(57) Реферат: Изобретение относится к новым кристаллическим солям присоединения кислот цефема общей формулы (I), где n = 1 или 2, m = 0,4 – 2,6 и Х – анион гидроксикарбоновой кислоты, проявляющие антибактериальную активность. Соли формулы (I) получают путем взаимодействия растворимой в воде соли формулы (I), например сульфатной, с соответствующей солью карбоновых формул (II – V), указанных в описании. Описывается лекарственное средство на основе соли кислот цефема формулы (I) и пригодного носителя. Технический результат – получение новых кристаллических солей присоединения кислот цефема, пригодных в качестве лекарственного средства. 3 с. и 3 з.п. ф-лы, 3 табл., 1 ил.
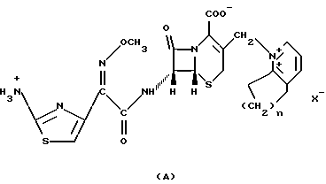
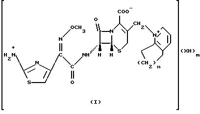
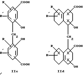
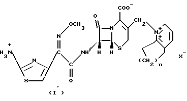
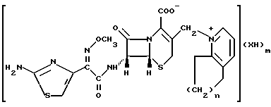
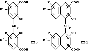
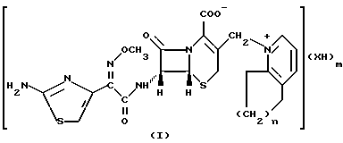
Изобретение относится к новым кристаллическим солям присоединения кислот цефема, которые отличаются особой труднорастворимостью, способам их получения, а также их применению в качестве лекарственного средства. ![]() В заявках на патенты ФРГ 3248281 (патент США 4609653) [для n = 1], а также 3706020 (патент США 4845087) [для n = 2] предлагаются кристаллические соли присоединения кислот формулы (A), которые применяются для лечения бактериальных инфекций. Однако в особенности для использования в секторе ветеринарии их уровни в отношении биологически активного вещества в плазме неудовлетворительны по продолжительности. Поэтому задачей настоящего изобретения является получение солей с отчетливо удлиненным по сравнению с известными солями конечным периодом полураспада и. таким образом, с более продолжительными уровнями биологически активного вещества в плазме и ткани. Эта задача неожиданно решается за счет солей формулы (I). ![]() где n = 1 или 2, и m = 0, 4-2, 6, и причем X – обозначает анион гидроксикарбоновой кислоты формул (IIa) – (11d): ![]() ![]() или анион гидроксифенилуксусной кислоты формулы (III): ![]() или анион гидроксифторичной кислоты формулы (IV): ![]() или анион гидроксигиппуровой кислоты формулы (V): ![]() причем R и R’ независимо друг от друга обозначают водород; карбоксил; гидроксил; галоген; линейный или разветвленный, насыщенный или ненасыщенный, алифатический C1-C5-алкильный остаток или C1-C5-алкилокси-остаток; и причем X также обозначает X/2 в случае содержащей 2 протона кислоты. Предпочтительные соединения формулы (I) содержат карбоновые кислоты формул (II)-(V), в которых R и R’ – водород, карбоксил, метил или метокси-группа, в которых m = 0,5 – 2,0 Особенно предпочтительны, например следующие кислоты: дигидроксибензойные кислоты как 2,4-, 2,5- или 3,5-дигидроксибензойная кислота; тригидроксибензойные кислоты как галловая кислота; гидроксидикарбоновые кислоты как 4-гидрокси-изофталевая кислота; гидроксинафталинкарбоновые кислоты как 2-гидрокси-нафталин-1-карбоновая кислота или 6-гидрокси-нафталин-1-карбоновая кислота; метилен-бис-гидроксибензойные кислоты как 5,5′-метилен-бис-4-гидроксибензойная кислота; метилен-бис-гидроксинафтойные кислоты как эмбоновая кислота; гидроксикоричные кислоты как феруловая кислота; гидроксигиппуровые кислоты как салициловая кислота. Руководствуясь нижеприведенной формулой (I’): ![]() можно, например, упрощенно представить предлагаемое согласно изобретению соединение с m = 1. Изображение имеет упрощенную природу, так как действительная структура в соли и прежде всего точная локализация заряда не определены. Соединения с m 1 особенно предпочтительны.
Понятие “XH” в вышеприведенной формуле (I), само собой разумеется, также может включать анион содержащей 2 протона кислоты, откуда следует, что тогда это понятие, строго говоря, нужно было бы обозначать X1/2Н.
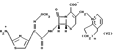
Изобретение включает далее способы получения солей формулы (I), которые отличаются тем, что:1. Растворимую в воде соль формулы (I), например, дигидрохлорид, дигидроиодид или сульфат вводят во взаимодействие с солями карбоновых кислот формул (II), (III), (IV) или (V); или 2. цефем-бетаин формулы (VI): ![]() где n имеет указанное в формуле (I) значение, вводят во взаимодействие с карбоновыми кислотами формул (II), (III), (IV) или (V). Получение растворимых в воде солей формулы (I) описывается в вышецитированных заявках на патенты, а бетаин формулы (VI) описывается в европейском патенте ЕР 64740 (патент США 5071979) Согласно способу 1 к раствору одной из этих солей формулы (I) в воде добавляют растворимую в воде соль карбоновой кислоты формул (II), (III), (IV) или (V), например, соль натрия, калия или магния, причем лежащий в основе соли анион образует труднорастворимую в воде соль присоединения кислоты формулы (I). Эти соли могут добавляться в виде вещества или в водном растворе или в смесях из воды и смешивающихся с водой органических растворителей, как, например, метанол, этанол, изопропанол, ацетон, тетрагидрофуран, ДМСО. Образование солей формулы (I) происходит при температурах от -10oC до +60oC, предпочтительно в пределах 5-30oC. Кристаллизация соли осуществляется спонтанно во время добавления солей карбоновых кислот формул (II) – (V), которые используются в эквимолярном количестве вплоть до, примерно, 2,6-кратного избытка. Способ также можно осуществлять таким образом, что берут соли карбоновых кислот формул (II) – (V) и добавляют растворенную в воде соль присоединения кислоты формулы (I). Предлагаемые согласно изобретению соли формулы (I) можно выделять путем фильтрации или центрифугирования и высушивать обычным образом, например, путем сушки вымораживанием или с помощью водоотнимающего средства, как, например, гидроксид калия или пентоксид фосфора. Примеси, например, избыточных карбоновых кислот формул (II) – (V) в случае необходимости можно удалять путем перемешивания со смешивающимся с водой органическим растворителем, как ацетон, этанол и изопропанол. Естественно, путем соответствующего выбора исходных компонентов можно получать труднорастворимые соли, которые содержат стехиометрический избыток или в недостаточном количестве карбоновую кислоту, например, 0,4-2,6 моль кислоты на моль бетаина формулы (VI). Например, в соли примера I за счет обработки с помощью органических растворителей, как, например, ацетон или этанол, можно уменьшить долю кислоты. Согласно способу 2 раствор соединения формулы (VI) в воде смешивают с карбоновыми кислотами формул (II) – (V). Эти кислоты можно добавлять в виде вещества или в растворе, например, в смешивающихся с водой органических растворителях, как ацетон, этанол или изопропанол. Реакцию и кристаллизацию проводят, как описано в способе 1. Получаемые согласно изобретению соединения общей формулы (I) обладают очень хорошей антибактериальной активностью как против грамположительных, так и также против грамотрицательных микроорганизмов, включая активность против образующих пенициллиназу и цефалоспориназу микроорганизмы. Так как к тому же они обладают благоприятными токсикологическими фармакологическими свойствами, они представляют собой ценные химиотерапевтические средства. Таким образом, изобретение также относится к лекарственным средствам для лечения микробных инфекций у млекопитающих как в случае людей, так и также в случае животных, а также в случае птиц и в аквакультуре, которые характеризуются содержанием предлагаемых согласно изобретению физиологически приемлемых солей присоединения кислот. Они также могут найти применение в комбинации с другими биологически активными веществами, например, из ряда пенициллинов, цефалоспоринов или аминогликозидов. Соединения общей формулы (I) можно вводить подкожно, внутримышечно, в случае животных также еще внутритрахеально или локально, как, например, в вымя дающих молоко животных. При этом предлагаемые согласно изобретению соли присоединения кислот, по сравнению с уже известными, легче растворимыми в воде солями, обладают замечательными преимуществами, которые основаны на их плохой растворимости и фармакокинетике у животного. Например, случае крупного рогатого скота после внутримышечного введения они пролонгированно резорбируются, конечные периоды полураспада (таблица 1), а также уровни биологически активного вещества в плазме по сравнению с известными солями значительно продолжительнее. В таблице 1 для предлагаемых согласно изобретению соединений представлены конечные периоды полураспада (t1/2) после одноразовой инъекции (внутримышечно) 5 мг бетаина формулы (VI) (n = 2) на кг веса тела в случае крупного рогатого скота. На чертеже представлены кривые концентрация в плазме – время в случае крупного рогатого скота после одноразового введения различных солей цефхинома формулы (I) (n = 2) (внутримышечно, 5 мг бетаина/кг веса тела). В качестве стандарта служат известные соли – сульфат и дигидрохлорид – из патента ФРГ 3706020. Из предлагаемых согласно изобретению солей в качестве примера представлены 6-гидрокси-1-нафтоат (пример 1), цефхином – 2,4-дигидроксибензоат (пример 11), а также салицилурат (пример 23). Также вышеописанные соли, которые отклоняются от соотношения 1:1, используются в виде базовых форм и позволяют устанавливать фармакокинетику у животного. Лекарственные средства, которые содержат одно или несколько соединений общей формулы (I) в качестве биологически активного вещества и также относятся к предмету настоящего изобретения, можно получать тем, что соединения формулы (I) смешивают с одним или несколькими физиологически приемлемыми носителями, разбавителями или буферными веществами и доводят до пригодной для парентерального или локального применения лекарственной формы. В качестве разбавителей следует упомянуть, например, полигликоли, диметилсульфоксид, N-метилпирролидон, N,N-диметилацетамид, этанол и воду. Буферными веществами, например, являются органические соединение как, например, N’N-дибензилэтилендиамин, диэтаноламин, этиламин, трис(гидроксиметил)аминометан, или неорганические соединения как, например, фосфатный буфер, бикарбонат натрия, карбонат натрия. Для парентерального введения принимают во внимание предпочтительно суспензии или растворы в воде с буферными веществами или без них. Пригодные дозы соединений общей формулы (I) при введении людям составляют примерно 0,4-20 г/день, предпочтительно 0,5-4,0 г/день для взрослых весом тела примерно 60 кг. Можно вводить одноразовые или, в общем, многоразовые дозы, причем одноразовая доза может содержать биологически активное вещество в количестве примерно 50-1000 мг, предпочтительно примерно 120-500 мг. При введении животным принимают во внимание, в принципе, всех млекопитающих, а также птиц и рыб, в отношении их значения – в особенности домашних и полезных животных. Доза в случае отдельных видов животных изменяется и может составлять, например, примерно 1,8-150, предпочтительно примерно 5-50 мг/кг веса тела животного. Нижеследующие примеры осуществления для получаемых согласно изобретению солей присоединения кислот цефем-бетаина формулы (VI) (n = 1: цефпиром; n = 2: цефхином), а также содержание пунктов формулы изобретения служат для дальнейшего пояснения изобретения, однако они не ограничивают объема охраны изобретения. Пример 1: Цефхином-6-гидрокси-1-нафтоат Способ 1 188,0 г (0,3 моль) цефхином-сульфата растворяют в 7,4 л воды при комнатной температуре. При охлаждении льдом в течение 30 минут прикапывают раствор 101,6 г (0,54 моль) 6-гидрокси-1-нафтойной кислоты в 300 мл 2H раствора гидроксида натрия и 500 мл воды. Во время прикапывания образуется суспензия, и температура снижается до 15oC. Дополнительно перемешивают в течение 45 минут при использовании ледяной бани, осадок отсасывают, суспендируют в 700 мл ледяной воды, снова отсасывают и промывают с помощью 300 мл ледяной воды. Влажный осадок подвергают сушке вымораживанием в течение 3-х дней. Выход: 225 г целевого соединения + 6-гидрокси-1-нафтойная кислота. Для удаления избыточной кислоты вещество суспендируют трижды в ацетоне, беря каждый раз по 1,2 л ацетона, перемешивают в течение 10 минут, отсасывают и промывают количеством ацетона по 200 мл. После высушивания на воздухе получают 173,5 г (0,24 моль) целевого соединения в виде бесцветного мелкокристаллического продукта. Разложение при 190-200oC. 1H-ЯМР-спектр (270 мГц, ДМСО-d6) , м.д. (миллионных долей или частей на миллион) = 1,65-2,0 (4H, м); 2,85-3,18 (4H, м); 8 циклогексен-H; 3,10 и 3,40 (2H, AB, J= 18 Гц, SCH2); 3,80 (3H, с., OCH3); 5,03 (1H, д., J = 5 Гц, 6-H[= H в положении 6]); 5,33 и 5,42 (2H, AB, J=15 Гц CH2 в положении 3′); 5,63 (1H, д.д., J = 5,8 Гц, H в положении 7); 6,72 (1H, с., H тиазола); 7,21 (4H, м. , NH2 и 2 ароматических Н); 7,43 (1H, д.д., J = 7 Гц, 1 ароматический H); 7,90 (3H, м. , 1 Py-H и 2 ароматических H); 8,26 (1H, д., J = 7 Гц, Py-H); 8,70 (1H, д., J=8 Гц, 1 ароматический H); 9,21 (1H, д., J=7 Гц, Py-H); 9,55 (1H, д., J = = 8 Гц, CONH).
По аналогии с примером 1 получают соли цефхинома формулы (I), n = 2, указанные в таблицей примеры (2-23), из цефхином-сульфата и карбоновой кислоты формулы (X).
По аналогии с примером 1 получают соли цефпирома формулы (I), n = 1, указанные в таблице 3 (примеры 24-28), из цефпиром-сульфата и карбоновой кислоты формулы (X).
Пример 29: Цефхином-2,4-дигидроксибензоатСпособ 2 К раствору 3,14 г (5 ммоль) цефхином-сульфата в 125 мл воды при комнатной температуре добавляют 5 мл 2н раствора гидроксида натрия. Образовавшийся раствор бетаина охлаждают до 15oC. Затем в течение 5 минут прикапывают раствор 1,39 г (9 ммоль) 2,4-дигидроксибензойной кислоты в 10 мл ацетона. Полученную суспензию перемешивают в течение 5 часов на ледяной бане, осадок отсасывают, промывают с помощью 5 мл ледяной воды и сушат в вакууме над пентоксидом фосфора. Сырой продукт (1,98 г) вместе с 40 мл ацетона перемешивают в течение 2-х часов, осадок отсасывают, промывают с помощью 10 мл ацетона и высушивают в вакууме над P2O5. Выход: 1,873 г (2,74 ммоль) бесцветного кристаллического продукта; разложение при 175-185oC; соединение по всем свойствам идентично соединению из примера 11. Пример 30: Цефхином-2,3-дигидрокси-5-метилбензоат По аналогии с примером 29 из 3,14 г (5 ммоль) цефхином-сульфата и 1,51 г (9 ммоль) 2,3-дигидрокси-5-метилбензойной кислоты получают 1,81 г (2,6 ммоль) целевого соединения в виде светло-коричневого кристаллического продукта. 1H-ЯМР-спектр (270 мГц, ДМСО-d6): , м.д. = 1,63-1,9 (4H, м.); 2,12 (3H, с. , CH3); 2,86-3,18 (4H, м.); 3,10 и 3,40 (2H, AB, J = 18 Гц, SCH2); 3,81 (3H, с. , OCH3); 5,10 (1H, д., J = 5 Гц, H в положении 6); 5,34 и 5,55 (2H, AB, J = 15 Гц. CH2 в положении 3′); 5,75 (1H, дд., J = 5,8 Гц, H в положении 7); 6,69 (1H, д., J = 2 Гц, ароматический Н); 6,72 (1H, с., H тиазола); 7,00 (1H, д., J = 2 Гц, ароматический Н); 7,20 (2H, ш.с., NH2); 7,90 (1H, дд., J = 7 Гц, Py-H); 8,30 (1H, д., J=7 Гц, Py-H); 9,00 (1H, д., J =7 Гц, Py-H); 9,5 (1H, д., J = 8 Гц, CONH).
Примеры приготовления конкретных композиций, представляющих собой типичные фармацевтические композиции в форме стандартных доз, пригодных для назначения в соответствии с предлагаемым изобретением. Активным ингредиентом, указанным в этих примерах являются кристаллические соли на основе солей цефема общей формулы I.
Пример A: Препарат для инъекцииВ растворе из 1 кг биологически активного вещества формулы (I) и 5 г динатрийгидрофосфата в 3 л дважды перегнанной воды устанавливают pH = 6,5 с помощью 2 н. соляной кислоты, раствор стерильно фильтруют, разливают в стеклянные емкости для препаратов для инъекции, лиофилизируют в стерильных условиях и стерильно закрывают. Каждая стеклянная емкость с препаратом для инъекции содержит 50 мг биологически активного вещества. Пример B: Раствор Готовят раствор 1 г биологически активного вещества формулы (I), 9,38 г NaH2PO4 2H2O, 28,48 г NaHPO4 12H2O и 0,1 г бензальконийхлорида в 940 мл дважды перегнанной воды. Устанавливают pH = 6,8, доливают до общего объема 1 л и стерилизуют путем облучения. Пример D: Таблетки Смесь 2 кг биологически активного вещества формулы (I), 4 кг лактозы, 1,2 кг картофельного крахмала, 0,2 кг талька и 0,1 кг стеарата магния обычным образом прессуют в таблетки так, что каждая таблетка содержит 20 мг биологически активного вещества. В зависимости от состояния больного и способа введения количество вводимых соединений для человека может составлять 0,4-20 г/день, предпочтительно 0,5-4 г в день. Формула изобретения
![]() где n = 1 или 2; m = 0,4 – 2,6; Х – анион гидроксикарбоновой кислоты формул (IIа) – (IId) ![]() ![]() или анион гидроксифенилуксусной кислоты формулы (III) ![]() или анион гидроксикоричной кислоты формулы (IV) ![]() или анион гидроксигиппуровой кислоты формулы (V) ![]() причем R и R’ независимо друг от друга – водород, карбоксил, гидроксил, Х может обозначать также Х/2 в случае содержащей два протона кислоты. 2. Соединения формулы (I) по п.1, отличающийся тем, что Х – анион карбоновой кислоты формул (II) + (V), в которых R и R’ независимо друг от друга – водород, карбоксил, гидроксил, причем m = 0,5 – 2,0. 3. Соединения формулы (I) по п.1 или 2, отличающийся тем, что Х – анион соединения, выбираемого из следующей группы кислот: дигидроксибензойные кислоты, как 2,4-, 2,5- или 3,5-дигидроксибензойная кислота; тригидроксибензойные кислоты, как галловая кислота; гидроксидикарбоновые кислоты, как 4-гидроксиизофталевая кислота; гидроксинафталинкарбоновые кислоты, как 2-гидроксинафталин-1-карбоновая кислота или 6-гидроксинафталин-1-карбоновая кислота; метилен-бис-гидроксибензойные кислоты, как 5,5′-метилен-бис-4-гидроксибензойная кислота; метилен-бис-гидроксинафтойные кислоты, как эмбоновая кислота; гидроксикоричные кислоты, как феруловая кислота; гидроксигиппуровые кислоты, как салициловая кислота. 4. Способ получения соединений формулы (I) по любому из пп.1 – 3, отличающийся тем, что растворимую в воде соль формулы (I), например сульфат, вводят во взаимодействие с соответствующей солью карбоновых кислот формул (II), (III), (IV) и (V), указанных в п.1. 5. Соединения формулы (I) по любому из пп.1 – 3, проявляющие антибактериальную активность. 6. Лекарственное средство, обладающее антибактериальной активностью, на основе солей кислот цефема и пригодного носителя, отличающееся тем, что в качестве солей цефема оно содержит соединения формулы (I) по пп.1 – 3 в эффективном количестве. РИСУНКИ
PC4A – Регистрация договора об уступке патента Российской Федерации на изобретение
Номер и год публикации бюллетеня: 22-2001
(73) Патентообладатель:
Дата и номер государственной регистрации перехода исключительного права: 19.06.2001 № 12660
Извещение опубликовано: 10.08.2001
PD4A – Изменение наименования обладателя патента Российской Федерации на изобретение
(73) Новое наименование патентообладателя:
Извещение опубликовано: 27.12.2005 БИ: 36/2005
|
||||||||||||||||||||||||||









1 особенно предпочтительны.
Понятие “XH” в вышеприведенной формуле (I), само собой разумеется, также может включать анион содержащей 2 протона кислоты, откуда следует, что тогда это понятие, строго говоря, нужно было бы обозначать X1/2Н.
Изобретение включает далее способы получения солей формулы (I), которые отличаются тем, что:
, м.д. (миллионных долей или частей на миллион) = 1,65-2,0 (4H, м); 2,85-3,18 (4H, м); 8 циклогексен-H; 3,10 и 3,40 (2H, AB, J= 18 Гц, SCH2); 3,80 (3H, с., OCH3); 5,03 (1H, д., J = 5 Гц, 6-H[= H в положении 6]); 5,33 и 5,42 (2H, AB, J=15 Гц CH2 в положении 3′); 5,63 (1H, д.д., J = 5,8 Гц, H в положении 7); 6,72 (1H, с., H тиазола); 7,21 (4H, м. , NH2 и 2 ароматических Н); 7,43 (1H, д.д., J = 7 Гц, 1 ароматический H); 7,90 (3H, м. , 1 Py-H и 2 ароматических H); 8,26 (1H, д., J = 7 Гц, Py-H); 8,70 (1H, д., J=8 Гц, 1 ароматический H); 9,21 (1H, д., J=7 Гц, Py-H); 9,55 (1H, д., J = = 8 Гц, CONH).
По аналогии с примером 1 получают соли цефхинома формулы (I), n = 2, указанные в таблицей примеры (2-23), из цефхином-сульфата и карбоновой кислоты формулы (X).
По аналогии с примером 1 получают соли цефпирома формулы (I), n = 1, указанные в таблице 3 (примеры 24-28), из цефпиром-сульфата и карбоновой кислоты формулы (X).
Пример 29: Цефхином-2,4-дигидроксибензоат




