Патент на изобретение №2161616
|
||||||||||||||||||||||||||
(54) ЦИКЛИЧЕСКИЕ СУЛЬФОНЫ, СПОСОБ ИХ ПОЛУЧЕНИЯ, ФАРМАЦЕВТИЧЕСКАЯ КОМПОЗИЦИЯ НА ИХ ОСНОВЕ И СПОСОБ ЕЕ ПОЛУЧЕНИЯ
(57) Реферат: Изобретение относится к новым гетероциклическим конденсированным бензоилгуанидинам общей формулы I, где R1 и R2 обозначают независимо друг от друга Н или А; Х обозначает CR4R5; C=Z или O, Y обозначает CR6R7, Z обозначает О или CH2, R4, R5, R6 или R7 обозначают независимо друг от друга Н, А, ОН или ОА, или R5 и R6, или R7 и R8 обозначают вместе связь, причем в каждой молекуле может появляться максимально только одна подобная связь, или R4 и R5 обозначают вместе О-(CH2)2-O или О-(CH2)3-O, или R8 и R9 обозначают независимо друг от друга Н или А; А обозначает алкил с 1 – 6 С-атомами; n обозначает 0 или 1, и их физиологически приемлемые соли. Бензоилгуанидины формулы I являются ингибиторами клеточного Na+/H+-антиносителя и используются для получения лекарственных средств. Описывается также способ получения соединений формулы I, фармацевтическая композиция на их основе и способ ее получения. 4 с. и 1 з.п. ф-лы, 1 табл.
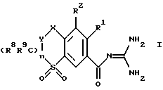
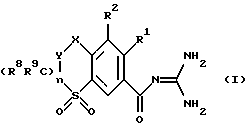
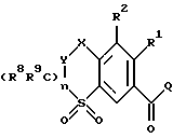
Изобретение относится к циклическим сульфонам формулы I ![]() где R1 и R2 обозначают соответственно независимо друг от друга H, A, CF3, CH2F, CHF2, C2F5, Hal, ОН, OA, NH2, NHA, NA2, NO2 или CN, X обозначает -CR4R5, C=Z, O, S, NH, NA или NR3, Y обозначает CR6R7, C=Z, O, NH, NA или NR3, Z обозначает O, S, NH, NA, NOH, NOA, CH2, CHA или CA2, R4, R5, R6 и R7 обозначают соответственно независимо друг от друга H, A, R3, Hal, ОН, OA, SH, SA, NH2, NHA или NA2, или же R5 и R6? или R7 и R8 обозначают соответственно вместе также связь, причем в каждой молекуле может появляться только одна подобная связь; R4 и R5 обозначают вместе также O-(CH2)2-O или O-(CH2)3-О, R8 и R9 обозначают соответственно независимо друг от друга H или A, A обозначает алкил с 1-6 C-атомами, Hal обозначает F, Cl, Br или I и R3 обозначает незамещенный или замещенный одно-, дву- или трехкратно A, OA, NH2, NHA, NA2, F, Cl, Br и/или CF3 фенил или бензил и n обозначает 0 или 1, и к их физиологически приемлемым солям. Задачей изобретения является поиск новых соединений с ценными свойствами, особенно такие, которые можно применять для изготовления лекарственных средств. Было найдено, что соединения формулы I и их физиологически приемлемые соли при хорошей переносимости имеют ценные фармакологические свойства. При новых соединениях речь идет об ингибиторах клеточного Na+H+-антиносителя, т. е. об активных веществах, которые тормозят механизм Na+H+-обмена клеток (Dusing и др., Med. Klin. 87, 378-384 (1992)) и представляют, следовательно, хорошие антиаритмические средства, которые пригодны особенно для лечения аритмий, появляющихся как последствие гипоксии. Самым известным активным веществом группы ацилгуанидинов является амилорид. Однако это вещество проявляет, в первую очередь, понижающее кровяное давление и салуретическое действие, что нежелательно особенно при лечении нарушений сердечного ритма, в то время как антиаритмические свойства выражены лишь очень слабо. Бензоилгуанидины описаны, например, в патенте Германии DE 4404183. Однако описанные в уровне техники соединения значительно отличаются по структуре от заявленных соединений. Предметом изобретения являются соединения формулы I и их физиологически приемлемые соли. Вещества настоящей заявки согласно изобретению проявляют хорошее кардиозащитное действие и поэтому пригодны особенно для лечения инфаркта, профилактики инфаркта и для лечения стенокардии. Далее, вещества противодействуют всем патологическим гипоксическим и ишемическим поражениям, так что благодаря им можно лечить первично или вторично вызванные заболевания. Вещества с успехом применяются также для профилактики. На основании защитных действий этих веществ при патологических, гипоксических или ишемических ситуациях возникают при этом другие возможности применения при хирургических вмешательствах для защиты временно менее снабженных кровью органов, при трансплантациях органов для защиты взятых органов, при ангиопластических вмешательствах в сосуды или сердце, при ишемиях нервной системы, при терапии шоковых состояний и для предупредительного лечения эссенциальной гипертонии. Далее, соединения можно применять также как терапевтические средства при обусловленных пролиферацией клеток заболеваниях, как артериосклероз, диабетические поздние осложнения, опухолевые заболевания, фибромные заболевания, особенно легких, печени и почек, а также гипертрофии и гиперплазии органов. Кроме того, вещества используются для целей диагностики для распознавания заболеваний, которые сопровождаются повышенной активностью Na+/H+-антиносителя, например, в эритроцитах, тромбоцитах или лейкоцитах. Действия соединений можно определять при помощи известных методов, которые указаны, например, N. Escobales и J. Fiqueroa в J. Membrane Biol., 120, 41-49 (1991) или L. Counilion, W. Schoiz, H. J. Lang и J. Pouyssegur в Mol. Pharmacol., 44, 1041-1045 (1993). В качестве подопытных животных используются например, мыши, крысы, морские свинки, собаки, кошки, обезьяны или свиньи. Соединения можно поэтому применять как активные вещества лекарственных средств в медицине и ветеринарии. Далее, они находят применение как промежуточные продукты для изготовления других активных веществ лекарственных средств. В указанных формулах группа A обозначает группу алкила с разветвленной или неразветвленной цепью с 1-6, предпочтительно 1-4, особенно 1, 2 или 3 C-атомами, в частности, предпочтительно метил, далее предпочтительно этил, пропил, изопропил, бутил, изобутил, затем предпочтительно втор.-бутил, трет. -бутил, пентил, изопентил (3-метилбутил), гексил или изогексил (4-метилпентил). R1 обозначает предпочтительно A, особенно метил или этил, или водород. R2 обозначает предпочтительно водород, в то время как R3 представляет предпочтительно фенил или бензил. X и Y соответственно представляют независимо друг от друга особенно предпочтительно -CH2-, -CH(CH3)-, -C(=CH2)-, -C(CH3)2, -CH(OH)-, -COH(CH3)-, -C(OH)R3-, -C(OCH3)CH3-, -CH(OCH3)-, -C(OCH3)R3-, -CHCl-, -CH(NH2)-, -CH(NA2)-, -CH(CN)-, -CO-, -C(=NOH)-, -C(=NOA)-, -C(O-CH2-CH2-O)-, -S-, -O-, -NH-, -NA-, или же также предпочтительно X и Y представляют вместе -CH=CH-, -C(CH3)=CH-, -CH=C(CH3)-, =CH-CH2-, =C(CH3)-CH2– или =CH-CH(CH3)-. R8 и R9 представляют преимущественно независимо друг от друга H, метил или этил. R5 и R6 или R7 и R8 могут однако соответственно вместе представлять также связь, причем, однако, только одна подобная связь может существовать на одну молекулу. Hal обозначает предпочтительно F, Cl или Br. В общем, это означает, что все остатки, как например, A, которые могут появляться многократно в молекуле, одинаковые или различные, т.е. могут быть независимыми друг от друга. В соответствии с этим предметом изобретения являются особенно такие соединения формулы I, в которых, по меньшей мере, один из названных остатков имеет одно из вышеуказанных предпочтительных значений. Некоторые предпочтительные группы соединений могут быть выражены нижеследующими формулами Ia-Ig, которые соответствуют формуле I, и в которых неназванные подробнее остатки имеют указанное для формулы I значение, где однако в Ia – X и Y обозначают соответственно CH2 и n = 0; в 1b – n = 0 и X или Y обозначает CH(CH3) и соответственно другой остаток обозначает CH2; в 1c – X и Y обозначают вместе -CH=CH-, -CH=C(CH3)-, -C(CH3)=CH-, -CH2-C(=CH2)- , -C(=CH2)-CH2-, -C(CH3)2-CH2– или -CH2-C(CH3)2– и n = 0; в Id – Y обозначает CH2 и X обозначает CHOH, C(CH3)OH, CR3OH, CHOCH3, CA(OCH3), CR3(OCH3), CHCl, CH(NH2), CH(NHA), CH(NA2), CH(CN), C=O, C(O-CH2CH2-O), C(=NOH) или C(=NOA) и n = 0; в Ie – X = О, n = 0 и Y обозначает CH2, CH(CH3) или C(CH3)2; в If – X = NH, NA или NR3, Y обозначает CH2, CH(CH3) или C(CH3)2 и n = 0; в Ig звено -(CR8R9)n – Y -X обозначает -CH2-CH=CH- или -CH=CH-CH2-. Далее, особенно предпочитают такие соединения, которые имеют названные в пунктах Ia-If предпочтительные значения, но при которых n = 1 и -CR8R9– представляет предпочтительно CH2, CH(CH3) или C(CH3)2. Далее, предметом изобретения является способ для получения соединений формулы I по пункту 1, и их солей, отличающийся тем, что соединение формулы II ![]() где R1, R2, R8, R9, X, Y и n имеют вышеуказанные значения и Q обозначает Cl, Br, OA, O-CO-A, O-CO-Ph, ОН или другую реакционноспособную этерифицированную OH-группу или обозначает легко нуклеофильно замещаемую удаляемую группу, подвергают взаимодействию с гуанидином, или что соответствующее обычно формуле I соединение, которое однако вместо одного или нескольких атомов водорода содержит одну или несколько восстанавливаемых групп и/или одну или несколько дополнительных C-C- и/или C-N-связей, обрабатывают восстанавливающим средством, или что соответствующее обычно формуле I соединение, которое однако вместо одного или нескольких атомов водорода содержит одну или несколько сольволизируемых групп, обрабатывают сольволизирующим средством, и/или что полученное основание формулы I обработкой кислотой превращают в одну из его солей. Впрочем, соединения формулы I получают известными методами, которые описаны в литературе (например, в фундаментальных трудах, как Houben-Weyl. Методы органической химии, издательство Георга Тиме, Штутгарт; Органические реакции. John Wiley & Sons, Inc., Нью-Йорк; а также в вышеуказанной заявке на патент), именно при условиях реакции, которые известны и пригодны для названных взаимодействий. При этом можно использовать также известные, не упомянутые здесь подробнее варианты. Исходные вещества могут образовываться также in Situ при желании, таким образом, что их не выделяют из реакционной смеси, а сразу превращают дальше до соединений формулы I. Предпочтительно, соединения формулы I получают взаимодействием активированного производного карбоновой кислоты формулы II, причем Q представляет особенно предпочтительно Cl или -O-CH3 с гуанидином. Особенно пригодны также варианты реакции, при которых свободную карбоновую кислоту II (Q=OH) известным способом превращают до соответствующего активированного производного и последнее затем непосредственно без промежуточного выделения приводят в реакцию с гуанидином. Методы, при которых промежуточное выделение является излишним, представляют, например, активирование с карбонилдиимидазолом, с дициклогексилкарбодиимидом или вариант Мукаяма (Angew. Chem., 91, 788-812 (1979)). Используемые в качестве промежуточных соединений карбоновые кислоты формулы II и их производные можно, например, получать (а) катализированной основаниями внутримолекулярной циклизацией 3-метил-сульфонилбензойных кислот или производных этих кислот, которые содержат в 4-положении группу карбонила или циана, например, ![]() ![]() (б) реакцией Хекка подходящих производных 3-алкенилсульфонил-4-бромбензойной кислоты, например, ![]() (реакция “Хекка см., например, Органические реакции, 27, 345 (1982)); (с) внутримолекулярным нуклеофильным замещением 4- галогенобензойных кислот или их производных, которые в 3-положении содержат подходящий гидрокси-, амино- или меркаптоалкилсульфонильный остаток (R), например, ![]() (d) окислением циклических сульфидов общей формулы ![]() (е) присоединением карбонильных соединений к меркаптофенолам или меркатоанилинам и последующим окислением ![]() или (R = ОН или NH2; R1 и Q, как определены) ![]() Указанные реакции являются стандартными реакциями органической химии и описаны, например, в J. March, Adv. Org. Chemistry, 3-е издание, John Wiley & Sons (1985). Полученные таким способом циклические сульфоны можно обычными методами превращать в производные или циклизировать. Взаимодействие реакционноспособного производного карбоновой кислоты формулы II с гуанидином осуществляют известным способом предпочтительно в протонном или апротонном, полярном или неполярном, инертном, органическом растворителе. Предпочтительный вариант состоит, правда, также в том, что компоненты реакции непосредственно без добавки растворителя, приводят в реакцию друг с другом. При получении II или при взаимодействии II с гуанидином целесообразно также работать в присутствии основания или с избытком основной компоненты. В качестве оснований используют предпочтительно, например, гидроокиси, карбонаты, алкоголяты щелочных или щелочноземельных металлов, или органические основания, такие как триэтиламин или пиридин, которые также применяют в избытке и которые в этом случае одновременно могут служить растворителями. В качестве инертных растворителей применяются особенно спирты, как метанол, этанол, изопропанол, н-бутанол или трет.-бутанол; эфиры, как диэтиловый эфир, диизопропиловый эфир, THF или диоксан; гликолевые эфиры, как этиленгликольмонометил- или -моноэтиловый эфир (метилгликоль или этилгликоль), этиленгликольдиметиловый эфир (диглим); кетоны, как ацетон или бутанон; нитрилы, как ацетонитрил; нитросоединения, как нитрометан или нитробензол; сложные эфиры, как этилацетат; амиды, как гексаметилтриамид фосфорной кислоты; сульфоксиды, как диметилсульфоксид (DMSO); хлорированные углеводороды, как дихлорметан, хлороформ, трихлорэтилен, 1,2-дихлорэтан или четыреххлористый углерод; углеводороды, как бензол, толуол или ксилол. Далее, применяются смеси этих растворителей. Особенно подходящими растворителями являются метанол, THF, диметоксиэтан, диоксан, вода или получаемые из них смеси. Реакции проводят, например, при температурах между 20oC и точкой кипения растворителя. Время реакции составляет от 5 минут до 12 часов. Целесообразно при реакции применять улавливатель кислоты. Для этого используются такие виды оснований, которые не затрудняют непосредственно реакцию. Однако особенно выгодно применение неорганических оснований, как карбонат калия или органических оснований, как триэтиламин или пиридин, или же избыток гуанидина. Далее, соединения формулы I можно получать высвобождением их из их функциональных производных сольволизом, особенно гидролизом или гидрогенолизом. Предпочтительными исходными веществами для сольволиза или гидрогенолиза являются такие вещества, которые соответствуют обычно формуле I, но вместо одной или нескольких свободных амино- и/или гидроксигрупп содержат соответствующие защищенные амино- и/или гидроксигруппы, предпочтительно такие, которые вместо H-атома, связанного с N-атомом, содержат защитную аминогруппу, особенно такие, которые вместо HN-группы содержат R’-N-группу, где R’ обозначает защитную аминогруппу, и/или такие, которые вместо H-атома гидроксигруппы содержат защищенную гидроксигруппу, например, такие, которые соответствуют формуле I, но вместо OH-группы содержат OR”-группу, где R” обозначает защищенную гидроксигруппу. В молекуле исходного вещества могут находиться также несколько – одинаковых или различных – защищенных амино- и/или гидроксигрупп. Если имеющиеся защитные группы отличаются друг от друга, они во многих случаях могут избирательно отщепляться. Выражение “защитная аминогруппа” является общеизвестным и относится к группам, которые пригодны для защиты (для блокирования) аминогруппы перед химическим взаимодействием, но которые можно легко удалять, после того как желаемая химическая реакция осуществлена на другом месте молекулы. Типичными для таких групп являются особенно незамещенные или замещенные ацил-, арильные (например, 2,4-динитрофенил (DNP)), аралкоксиметильные (например, бензилоксиметил (ВОМ)) или аралкильные группы (например, бензил, 4-нитробензил, трифенилметил). Т.к. защитные аминогруппы после желательной реакции (или последовательности реакций) удаляют, их вид и величина не является впрочем критическим; однако предпочитают группы с 1-20, особенно с 1-8 C-атомами. Выражение “ацильная группа” в связи с настоящим способом следует рассматривать в самом широком смысле. Оно включает образованные от алифатических, аралифатических, ароматических или гетероциклических карбоновых кислот или сульфокислот ацильные группы и особенно алкоксикарбонильные, арилоксикарбонильные и прежде всего аралкоксикарбонильные группы. Примерами подобных ацильных групп являются алканоил, как ацетил, пропионил, бутирил; аралканоил, как фенилацетил; ароил, как бензоил или толуоил; арилоксиалканоил, как феноксиацетил; алкоксикарбонил, как метоксикарбонил, этоксикарбонил, 2,2,2-трихлорэтоксикарбонил, изопропоксикарбонил, трет. -бутоксикарбонил (BOC) 2-йодэтоксикарбонил; аралкилоксикарбонил, как бензилоксикарбонил (CBZ), 4-метокси-бензилоксикарбонил, 9-флуоренилметоксикарбонил (FMOC). Предпочтительными защитными аминогруппами являются BOC, DNP и BOM, затем CBZ, бензил и ацетил. Выражение “защитная гидроксигруппа” также является общеизвестным и относится к группам, которые пригодны для защиты гидроксигруппы перед химическим взаимодействием, но которые можно легко удалять, после того как желаемая химическая реакция осуществлена на другом месте молекулы. Типичными для таких групп являются вышеназванные незамещенные или замещенные арильные, аралкильные или ацильные группы, затем также алкильные группы. Природа и величина защитных гидроксигрупп не является критической, т.к. они после желаемой химической реакции или последовательности реакций снова удаляются; предпочитают группы с 1-20, особенно с 1-10 C-атомами. Примерами для защитных гидроксигрупп являются, в частности, трет.-бутил, бензил, п-нитробензил, п-толуолсульфонил и ацетил, причем особенно предпочтительны бензил и ацетил. Применяемые в качестве исходных веществ функциональные производные соединений формулы I можно получать обычными методами, которые описаны, например, в названных фундаментальных трудах и в заявках на патенты, например, превращением соединений, которые соответствуют формулам II и III, причем однако, по меньшей мере, одно из этих соединений содержит защитную группу вместо H-атома. Высвобождение соединений формулы I из их функциональных производных удается – в зависимости от использованной защитной группы – например, при помощи сильных кислот, целесообразно трифторуксусной кислоты или хлорной кислоты, но также при помощи других сильных неорганических кислот, как соляная кислота или серная кислота, сильных органических карбоновых кислот, как трихлоруксусная кислота или сульфокислот, как бензол- или п-толуолсульфокислота. Возможно, но не всегда необходимо, присутствие дополнительного инертного растворителя. В качестве инертных растворителей применяются предпочтительно органические, например, карбоновые кислоты, как уксусная кислота, эфиры, как тетрагидрофуран (THF) или диоксан, амиды, как диметилформамид (DMF), галогенированные углеводороды, как дихлорметан, затем также спирты, как метанол, этанол или изопропанол и вода. Далее, применяют смеси вышеназванных растворителей. Трифторуксусную кислоту применяют предпочтительно в избытке без добавки другого растворителя, перхлорную кислоту в форме смеси из уксусной кислоты и 70% перхлорной кислоты в отношении 9:1. Температуры реакции для расщепления составляют обычно приблизительно между 0 и 50oC; предпочтительно работают между 15 и 30oC (комнатная температура). BOC-группу можно отщеплять например, предпочтительно 40% трифторуксусной кислотой в дихлорметане или приблизительно 3-5 н. HCl в диоксане при 15-60oC, FMOC- группу приблизительно 5-20% раствором диметиламина, диэтиламина или пиперидина в DMF при 15-50oC. Отщепление DNP-группы удается, например, также приблизительно 3-10% раствором 2-меркаптоэтанола в DMF/воде при 15-30oC. Удаляемые гидрогенолизом защитные группы (например, BOM, CBZ или бензил) можно отщеплять, например, обработкой водородом в присутствии катализатора (например, катализатора на основе благородного металла как палладий, целесообразно на носителе, таком как уголь). При этом в качестве растворителей применяют, как указано выше, особенно, например, спирты, как метанол или этанол или амиды, как DMF. Гидрогенолиз осуществляют, как правило, при температурах между около 0 и 100oC и при давлениях между около 1 и 200 бар, предпочтительно, при 20-30oC и при давлении 1-10 бар. Гидрогенолиз CBZ-группы хорошо удается, например, на 5-10% Pd-C в метаноле при 20-30oC. Основание формулы I можно затем с помощью кислоты переводить в соответствующую кислую аддитивную соль. Для этого взаимодействия применяют кислоты, которые дают физиологически приемлемые соли. Так, можно применять неорганические кислоты, например, серную кислоту, азотную кислоту, галогенводородные кислоты, как хлористоводородная кислота или бромистоводородная кислота, фосфорные кислоты, как ортофосфорная кислота, сульфаминовая кислота, затем органические кислоты, особенно алифатические, алициклические, аралифатические, ароматические или гетероциклические одно- или многоосновные карбоновые кислоты, сульфокислота или серная кислота, например, муравьиная кислота, уксусная кислота, пропионовая кислота, пивалиновая кислота, диэтилуксусная кислота, малоновая кислота, янтарная кислота, пимелиновая кислота, фумаровая кислота, малеиновая кислота, молочная кислота, винная кислота, яблочная кислота, бензойная кислота, салициловая кислота, 2- или 3-фенилпропионовая кислота, лимонная кислота, глюконовая кислота, аскорбиновая кислота, никотиновая кислота, изоникотиновая кислота, метан- или этансульфокислота, этандисульфокислота, 2-гидроксиэтансульфокислота, бензолсульфокислота, п-толуол-сульфокислота, нафталин-моно- и -дисульфокислоты, лаурилсерная кислота. Соединения формулы I содержат один или несколько хиральных центров и поэтому могут существовать в рацемической или в оптически активной форме. Полученные рацематы можно известными методами разделять механически или химически на энантиомеры. Предпочтительно из рацемической смеси взаимодействием с оптически активным разделительным средством образуются диастереомеры. В качестве разделительных средств применяются, например, оптически активные кислоты, как D- и L-формы винной кислоты, диацетилвинной кислоты, дибензоилвинной кислоты, миндальной кислоты, яблочной кислоты, молочной кислоты или различные оптически активные камфарасульфокислоты, как -камфарасульфокислота. Выгодно также разделять энантиомеры при помощи колонки, наполненной оптически активным разделительным средством (например, динитробензоилфенилглицином).
Разумеется, оптически активные соединения формулы I можно получать также вышеописанными методами, причем применяют исходные вещества, например, формулы II), которые уже оптически активны.
Соединения формулы I и их физиологически приемлемые соли можно применять для изготовления фармацевтических лекарственных форм, особенно нехимическим способом. При этом их приводят в подходящую дозировочную форму вместе, по меньшей мере, с одним твердым, жидким и/или полужидким носителем или вспомогательным веществом и, в случае необходимости, в комбинации с одним или с несколькими другими активными веществами.
Предметом изобретения являются затем средства, особенно фармацевтические лекарственные формы, содержащие эффективное количество, по меньшей мере, одного соединения формулы I и/или одной из его физиологически приемлемых солей.
Эти готовые формы можно применять как лекарственные средства в медицине или в ветеринарии. В качестве носителей используют органические или неорганические вещества, которые пригодны для кишечного (например, орального), парентерального или локального применения, и которые не вступают в реакцию с новыми соединениями, например, вода, растительные масла, бензиловый спирт, полиэтиленгликоли, глицеринтриацетат, желатина, углеводы, как лактоза или крахмал, стеарат магния, тальк, ланолин, вазелин. Для орального применения особенно пригодны таблетки, драже, капсулы, сиропы, соки или капли; для ректального применения служат свечи; для парентерального применения служат растворы, предпочтительно маслянистые или водные растворы, затем суспензии, эмульсии или имплантаты; для локального применения служат мази, кремы, пасты, лосьоны, гели, спреи, пенистые вещества, аэрозоли, растворы (например, растворы в спиртах, как этанол или изопропанол, ацетонитрил, DMF, диметилацетамид, 1,2-пропандиол или их смеси между собой и/или с водой) или пудра. Новые соединения можно подвергать также лиофилизации и полученные лиафилизаты применять, например, для получения препаратов для инъекций.
В частности, для локального применения используют также липосомальные лекарственные формы. Указанные лекарственные формы можно стерилизовать, и они могут содержать и/или вспомогательные вещества, как вещества, придающие скользкость, консерванты, стабилизаторы и/или смачиватели, эмульгаторы, соли для влияния на осмотическое давление, буферные вещества, красители, вкусовые добавки и/или ароматические вещества. Они могут, если желательно, содержать также одно или несколько других активных веществ, например, один или несколько витаминов.
Соединения формулы I и их физиологически приемлемые соли можно назначать людям или животным, особенно млекопитающим, как обезьяны, собаки, кошки, крысы или мыши и при терапевтическом лечении человека или животного, при лечении заболеваний, особенно при лечении и/или при профилактике нарушений сердечно-сосудистой системы. Поэтому они применяются для лечения аритмий, особенно когда последние вызваны гипоксией, стенокардии, инфарктов, ишемий нервной системы, как, например, инсульт или отек головного мозга, шоковых состояний и для предупредительного лечения.
Далее, вещества, можно применять как терапевтические средства при заболеваниях, при которых играют роль пролиферации клеток, как артериосклероз, диабетические поздние осложнения, опухолевые заболевания, фиброзы, а также гипертрофии и гиперплазии органов, в частности, при заболеваниях предстательной железы.
При этом вещества по изобретению, как правило, назначают по аналогии с известными противоаритмическими средствами, например, априндин, предпочтительно при дозировках приблизительно между 0,01 и 5 мг, особенно между 0,02 и 0,5 мг на единицу дозировки. Суточная дозировка составляет предпочтительно между около 0,0001 и 0,1, особенно между 0,0003 и 0,01 мг/кг веса тела. Однако индивидуальная доза для каждого определенного пациента зависит от самых различных факторов, например, от эффективности введенного соединения, от возраста, от веса тела, от общего состояния здоровья, от пола, от пищи, от времени и способа назначения лекарства, от скорости выделения, от комбинации лекарственных веществ и от тяжести соответствующего заболевания, на которое действует лечение. Предпочитают оральное применение.
В нижеследующих примерах “обычная переработка” обозначает:добавляют, если требуется, воду, экстрагируют органическим растворителем, как этилацетат, отделяют органическую фазу, сушат органическую фазу над сульфатом натрия, фильтруют, выпаривают и очищают хроматографией и/или кристаллизацией. Пример 1: Вносят в атмосфере азота, при перемешивании и при исключении влаги, 1,9 г натрия в 40 мл высушенного метанола. Получающийся раствор смешивают при комнатной температуре с 8,7 г гуанидингидрохлорида и перемешивают 30 минут. Суспензию фильтруют, фильтрат смешивают с 4 г 1,1-диоксида сложного метилового эфира 2,3-дигидро-3-гидрокси-1-бензотиофен-6-карбоновой кислоты (получаемого циклизацией метилата натрия и последующей обработкой кислотой сложного метилового эфира 3-метилсульфонил-4-цианбензойной кислоты и восстановлением борогидрида натрия полученного кетона) и перемешивают 3 часа при 50oC. Затем реакционную смесь при охлаждении льдом смешивают с водой, насыщают хлоридом натрия и экстрагируют сложным этиловым эфиром уксусной кислоты. После обычной переработки получают 1,1-диоксид N-диамино-метилен-2,3-дигидро-3-гидрокси-1-бензотиофен-6-карбоксамид, т. пл. 240-241oC. Обработкой метансульфокислотой в метаноле получают соответствующий метансульфонат, т. пл. 204-206oC. Аналогично получают: из 1,1-диоксида сложного метилового эфира 2,3-дигидро-3-гидрокси-5-метил-1-бензотиофен-6-карбоновой кислоты 1,1-диоксид N-диаминометилен-2,3-дигидро-3-гидрокси-5-метил-1-бензотиофен-6-карбоксамида, метансульфонат: т. пл. 266- 267oC (из метанола); из 1,1-диоксида сложного метилового эфира 2,3-дигидро-3-гидрокси-3,5-диметил-1-бензотиофен-6-карбоновой кислоты 1,1-диоксид N-диаминометилен-2,3-дигидро-3-гидрокси-3,5-диметил-1-бензотиофен-6-карбоксамида, т. пл. 243-245oC, метансульфонат: т. пл. 214-216oC; из 1,1-диоксида сложного метилового эфира 2,3-дигидро-3-гидрокси-3-этил-5-метил-1-бензотиофен-6-карбоновой кислоты 1,1-диоксид N-диаминометилен-2,3-дигидро-3-гидрокси-3-метил-5-этил-1-бензотиофен-6-карбоксамида, т.пл. 126-128o, метансульфонат: 218-220o; из 1,1-диоксида сложного метилового эфира 2,3-дигидро-3-гидрокси-5-этил-1-бензотиофен-6-карбоновой кислоты, 1,1-диоксид N-диаминометилен-2,3-дигидро-3-гидрокси-5-этил-1-бензотиофен-6-карбоксамида; из 1,1-диоксида сложного метилового эфира 2,3-дигидро-3-гидрокси-2,2,5-триметил-1-бензотиофен-6-карбоновой кислоты 1,1-диоксид N-диаминометилен-2,3-дигидро-3-гидрокси-2,2,5-триметил-1-бензотиофен-6-карбоксамида, т.пл. 253o, метансульфонат: 262-263o; из 1,1-диоксида сложного метилового эфира 2,3-дигидро-3-хлор-3-метил-5-этил-1-бензотиофен-6-карбоновой кислоты 1,1-диоксид N-диаминометилен-2,3-дигидро-3-хлор-3-метил-5-этил-1-бензотиофенон-6-карбоксамида; из 1,1-диоксида сложного метилового эфира 2,3-дигидро-3-хлор-5-этил-1-бензотиофен-6-карбоновой кислоты 1,1-диоксид N-диаминометилен-2,3-дигидро-3-хлор-5-этил-1-бензотиофен-6-карбоксамида; из 1,1-диоксида сложного метилового эфира 2,3-дигидро-3-хлор-1-бензотиофен-6-карбоновой кислоты 1,1-диоксид N-диаминометилен-2,3-дигидро-3-хлор-1-бензотиофен-6-карбоксамида; из 1,1-диоксида сложного метилового эфира 2,3-дигидро-3-хлор-3-метил-1-бензотиофен-6-карбоновой кислоты 1,1-диоксид N-диаминометилен-2,3-дигидро-3-хлор-3-метил-1-бензотиофен-6-карбоксамида; из 1,1-диоксида сложного метилового эфира 2,3-дигидро-3-циан-5-метил-1-бензотиофен-6-карбоновой кислоты 1,1-диоксид N-диаминометилен-2,3-дигидро-3-циан-5-метил-1-бензотиофен-6-карбоксамида; из 1,1-диоксида сложного метилового эфира 2,3-дигидро-3-циан-3-метил-5- этил-1-бензотиофен-6-карбоновой кислоты 1,1-диоксид N-диаминометилен-2,3-дигидро-3-циан-3-метил-5-этил-1-бензотиофен-6-карбоксамида; из 1,1-диоксида сложного метилового эфира 2,3-дигидро-3-циан-5-этил-1-бензотиофен-6-карбоновой кислоты 1,1-диоксид N-диаминометилен-2,3-дигидро-3-циан-5-этил-1-бензотиофен-6-карбоксамида; из 1,1-диоксида сложного метилового эфира 2,3-дигидро-3-циан-1-бензотиофен-6-карбоновой кислоты 1,1-диоксид N-диаминометилен-2,3-дигидро-3-циан-1-бензотиофен-6-карбоксамида; из 1,1-диоксида сложного метилового эфира 2,3-дигидро-3-циан-3-метил-1-бензотиофен-6-карбоновой кислоты 1,1-диоксид N-диаминометилен-2,3-дигидро-3-циан-3-метил-1-бензотиофен-6-карбоксамида; из 1,1-диоксида сложного метилового эфира 2,3-дигидро-3-амино-5-метил-1-бензотиофен-6-карбоновой кислоты 1,1-диоксид N-диаминометилен-2,3-дигидро-3-амино-5-метил-1-бензотиофен-6-карбоксамида; из 1,1-диоксида сложного метилового эфира 2,3-дигидро-3-амино-3-метил-5-этил-1-бензотиофен-6-карбоновой кислоты 1,1-диоксид N-диаминометилен-2,3-дигидро-3-амино-3-метил-5-этил-1-бензотиофен-6-карбоксамида; из 1,1-диоксида сложного метилового эфира 2,3-дигидро-3-амино-5-этил-1-бензотиофен-6-карбоновой кислоты 1,1-диоксид N-диаминометилен-2,3-дигидро-3-амино-5-этил-1-бензотиофен-6-карбоксамида; из 1,1-диоксида сложного метилового эфира 2,3-дигидро-3-амино-1-бензотиофен-6-карбоновой кислоты 1,1-диоксид N-диаминометилен-2,3-дигидро-3-амино-1-бензотиофен-6-карбоксамида; из 1,1-диоксида сложного метилового эфира 2,3-дигидро-3-амино-3-метил-1-бензотиофен-6-карбоновой кислоты 1,1-диоксид N-диаминометилен-2,3-дигидро-3-амино-3-метил-1-бензотиофен-6-карбоксамида; из 1,1-диоксида сложного метилового эфира 2,3-дигидро-3-N-метиламино-5-метил-1-бензотиофен-6-карбоновой кислоты 1,1-диоксид N-диаминометилен-2,3-дигидро-3-N-метиламино-5-метил-1-бензотиофен-6-карбоксамида; из 1,1-диоксида сложного метилового эфира 2,3-дигидро-3-N-метиламино-3-метил-5-этил-1-бензотиофен-6-карбоновой кислоты 1,1-диоксид N-диаминометилен-2,3-дигидро-3-N-метиламино-3-метил-5-этил-1-бензотиофен-6-карбоксамида; из 1,1-диоксида сложного метилового эфира 2,3-дигидро-3-N-метиламино-5-этил-1-бензотиофен-6-карбоновой кислоты 1,1-диоксид N-диаминометилен-2,3-дигидро-3-N-метиламино-5-этил-1-бензотиофен-6-карбоксамида; из 1,1-диоксида сложного метилового эфира 2,3-дигидро-3-N-метиламино-1-бензотиофен-6-карбоновой кислоты 1,1-диоксид N-диаминометилен-2,3-дигидро-3-N-метиламино-1-бензотиофен-6-карбоксамида; из 1,1-диоксида сложного метилового эфира 2,3-дигидро-3-N-метиламино-3-метил-1-бензотиофен-6-карбоновой кислоты 1,1-диоксид N-диаминометилен-2,3-дигидро-3-N-метиламино-3-метил-1-бензотиофен-6-карбоксамида, из 1,1-диоксида сложного метилового эфира 2,3-дигидро-3-N,N-диметиламино-5-метил-1-бензотиофен-6-карбоновой кислоты 1,1-диоксид N-диаминометилен-2,3-дигидро-3-N-диметиламино-5-метил-1-бензотиофен-6-карбоксамида; из 1,1-диоксида сложного метилового эфира 2,3-дигидро-3-N,N-диметиламино-3-метил-5-этил-1-бензотиофен-6-карбоновой кислоты 1,1-диоксид N-диаминометилен-2,3-дигидро-3-N, N-диметиламино-3-метил- 5-этил-1-бензотиофен-6-карбоксамида; из 1,1-диоксида сложного метилового эфира 2,3-дигидро-3-N,N-диметиламино-5-этил-1-бензотиофен-6-карбоновой кислоты 1,1-диоксид N-диаминометилен-2,3-дигидро-3-N, N-диметиламино-5-этил-1-бензотиофен-6-карбоксамида; из 1,1-диоксида сложного метилового эфира 2,3-дигидро-3-N,N-диметиламино-1-бензотиофен-6-карбоновой кислоты 1,1-диоксид N-диаминометилен-2,3-дигидро-3-N, N-диметиламино-1-бензотиофен-6-карбоксамида; из 1,1-диоксида сложного метилового эфира 2,3-дигидро-3-N,N-диметиламино-3-метил-1-бензотиофен-6-карбоновой кислоты 1,1-диоксид N-диаминометилен-2,3-дигидро-3-N,N-диметиламино-3-метил-1-бензотиофен-6-карбоксамида; из 1,1-диоксида сложного метилового эфира 2,3-дигидро-3-метил-5-этил-1-бензотиофен-6-карбоновой кислоты 1,1-диоксид N-диаминометилен-2,3-дигидро-3-метил-5-этил-1-бензотиофен-6-карбоксамида; из 1,1-диоксида сложного метилового эфира 2,3-дигидро-3-оксо-5-метил-1-бензотиофен-6-карбоновой кислоты 1,1-диоксид N-диаминометилен-2,3-дигидро-3-оксо-5-метил-1-бензотиофен-6-карбоксамида; из 1,1-диоксида сложного метилового эфира 2,3-дигидро-3-оксо-5-этил-1-бензотиофен-6-карбоновой кислоты 1,1-диоксид N-диаминометилен-2,3-дигидро-3-оксо-5-этил-1-бензотиофен-6-карбоксамида; из 1,1-диоксида сложного метилового эфира 2,3-дигидро-3-оксо-5-фтор-1-бензотиофен-6-карбоновой кислоты 1,1-диоксид N-диаминометилен-2,3-дигидро-3-оксо-5-фтор-1-бензотиофен-6-карбоксамида; из 1,1-диоксида сложного метилового эфира 2,3-дигидро-3-оксо-1-бензотиофен-6-карбоновой кислоты 1,1-диоксид N-диаминометилен-2,3-дигидро-3-оксо-1-бензотиофен-6-карбоксамида; из 1,1-диоксида сложного метилового эфира 2,3-дигидро-3-оксо-5-трифторметил-1-бензотиофен-6-карбоновой кислоты 1,1-диоксид N-диаминометилен-2,3-дигидро-3-оксо-5-трифторметил-1-бензотиофен-6-карбоксамида; из 1,1-диоксида сложного метилового эфира 2,3-дигидро-3,3-этилендиокси-5-метил-1-бензотиофен-6-карбоновой кислоты 1,1-диоксид N-диаминометилен-2,3-дигидро-3,3-этилендиокси-5-метил-1-бензотиофен-6-карбоксамида, т. пл. 242oC, метансульфонат: 285-287oC, из 1,1-диоксида сложного метилового эфира 2,3-дигидро-3,3-этилендиокси-5-этил-1-бензотиофен-6-карбоновой кислоты 1,1-диоксид N-диаминометилен-2,3-дигидро-3,3-этилендиокси-5-этил-1-бензотиофен-6-карбоксамида; из 1,1-диоксида сложного метилового эфира 2,3-дигидро-3,3-этилендиокси-5-фтор-1-бензотиофен-6-карбоновой кислоты 1,1-диоксид N-диаминометилен-2,3-дигидро-3,3-этилендиокси-5-фтор-1-бензотиофен-6-карбоксамида; из 1,1-диоксида сложного метилового эфира 2,3-дигидро-3,3-этилендиокси-1-бензотиофен-6-карбоновой кислоты 1,1-диоксид N-диаминометилен-2,3-дигидро-3,3-этилендиокси-1-бензотиофен-6-карбоксамида; из 1,1-диоксида сложного метилового эфира 2,3-дигидро-3,3-этилендиокси-5-трифторметил-1-бензотиофен-6-карбоновой кислоты 1,1-диоксид N-диаминометилен-2,3-дигидро-3,3-этилендиокси-5-трифторметил-1-бензотиофен-6-карбоксамида; из 1,1-диоксида сложного метилового эфира 2,3-дигидро-3-гидроксиимино-5-метил-1-бензотиофен-6-карбоновой кислоты 1,1-диоксид N-диаминометилен-2,3-дигидро-3-гидроксиимино-5-метил-1-бензотиофен-6-карбоксамида; т.пл. 250oC (метансульфонат); из 1,1-диоксида сложного метилового эфира 2,3-дигидро-3-гидроксиимино-5-этил-1-бензотиофен-6-карбоновой кислоты 1,1-диоксид N-диаминометилен-2,3-дигидро-3-гидроксиимино-5-этил-1-бензотиофен-6-карбоксамида; из 1,1-диоксида сложного метилового эфира 2,3-дигидро-3-гидроксиимино-5-фтор-1-бензотиофен-6-карбоновой кислоты 1,1-диоксид N-диаминометилен-2,3-дигидро-3-гидроксиимино-5-фтор-1- бензотиофен-6-карбоксамида; из 1,1-диоксида сложного метилового эфира 2,3-дигидро-3-гидроксиимино-2,2,5-триметил-1-бензотиофен-6-карбоновой кислоты 1,1-диоксид N-диаминометилен-2,3-дигидро-3-гидроксиимино-2,2,5-триметил-1-бензотиофен-6-карбоксамида; т. пл. 237-238oC (метансульфонат); из 1,1-диоксида сложного метилового эфира 2,3-дигидро-3-гидроксиимино-5-трифторметил-1-бензотиофен-6-карбоновой кислоты 1,1-диоксид N-диаминометилен-2,3-дигидро-3-гидроксиимино-5-трифторметил-1-бензотиофен-6-карбоксамида; из 1,1-диоксида сложного метилового эфира 2,3-дигидро-3-метоксиимино-5-метил-1-бензотиофен-6-карбоновой кислоты 1,1-диоксид N-диаминометилен-2,3-дигидро-3-метоксиимино-5-метил-1-бензотиофен-6-карбоксамида; т. пл. 284oC (метансульфонат); из 1,1-диоксида сложного метилового эфира 2,3-дигидро-3-метоксиимино-5-этил-1-бензотиофен-6-карбоновой кислоты 1,1-диоксид N-диаминометилен-2,3-дигидро-3- метоксиимино-5-этил-1-бензотиофен-6-карбоксамида; из 1,1-диоксида сложного метилового эфира 2,3-дигидро-3-метоксиимино-5-фтор-1-бензотиофен-6-карбоновой кислоты 1,1-диоксид N-диаминометилен-2,3-дигидро-3-метоксиимино-5-фтор-1-бензотиофен-6-карбоксамида, из 1,1-диоксида сложного метилового эфира 2,3-дигидро-3-метоксиимино-1-бензотиофен-6-карбоновой кислоты 1,1-диоксид N-диаминометилен-2,3-дигидро-3-метоксиимино-1-бензотиофен-6-карбоксамида; из 1,1-диоксида сложного метилового эфира 2,3-дигидро-3-метоксиимино-5-трифторметил-1-бензотиофен-6-карбоновой кислоты 1,1-диоксид N-диаминометилен-2,3-дигидро-3-метоксиимино-5-трифторметил-1-бензотиофен-6-карбоксамида; из 1,1-диоксида сложного метилового эфира 2,3-дигидро-3-метокси-1-бензотиофен-6-карбоновой кислоты 1,1-диоксид N-диаминометилен-2,3-дигидро-3-метокси-1-бензотиофен-6-карбоксамида, т. пл. 193-194oC метансульфонат: т. пл. 234-236oC; из 1,1-диоксида сложного метилового эфира 2,3-дигидро-3-метокси-5-метил-1-бензотиофен-6-карбоновой кислоты 1,1-диоксид N-диаминометилен-2,3-дигидро-3-метокси-5-метил-1-бензотиофен-6-карбоксамида, т. пл. 224oC метансульфонат: т. пл. 249-251oC. ПРИМЕР 2: Вносят при исключении влаги, в атмосфере азота и при перемешивании 1,24 г натрия в 20 мл сухого метанола. Затем смешивают раствор при комнатной температуре с 5,64 г гуанидингидрохлорида и перемешивают 30 минут. Потом фильтруют, фильтрат сгущают в вакууме, смешивают с 10 мл этиленгликольдиметилового эфира (EDME) и еще раз освобождают от растворителя. Остаток поглощают в 8 мл EDME и при перемешивании при 5-10oC в течение 45 минут суспензию 2,1 г 1,1-диоксида хлорангидрида 2,3-дигидро-3,5-диметил-1-бензотиофен-6-карбоновой кислоты [полученную взаимодействием 1,9 г 1,1-диоксида 2,3-дигидро-3,5-диметил-1-бензотиофен-6-карбоновой кислоты с 10 мл хлористого тионила при исключении влаги и при перемешивании свыше 4 часов при температуре кипения] прикапывают в 10 мл EDME. Затем реакционную смесь охлаждают до комнатной температуры, перемешивают 1 час, смешивают потом при охлаждении льдом с 60 мл воды и отсасывают образованный осадок. После перекристаллизации из дихлорметана/метанола получают 1,1-диоксид N-диаминометилен-2,3-дигидро-3,5-диметил-1-бензотиофен-6-карбоксамид, т. пл. 237-238oC. Обработкой метан-сульфокислотой в 30 мл метанола при 40oС свыше 2 часов получают соответствующий метансульфонат: т. пл. 245-248oС. Аналогично получают: из 1,1-диоксида сложного метилового эфира 2,3-дигидро-5-метил-1-бензотиофен-6-карбоновой кислоты 1,1-диоксид N-диаминометилен-2,3-дигидро-5-метил-1-бензотиофен-6-карбоксамида, т. п. 299-301oC (метансульфонат); из 1,1-диоксида сложного метилового эфира 2,3- дигидро-5-этил-1-бензотиофен-6-карбоновой кислоты 1,1-диоксид N-диаминометилен-2,3-дигидро-5-этил-1-бензотиофен-6- карбоксамида; из 1,1-диоксида сложного метилового эфира 2,3-дигидро-5- трифторметил-1-бензотиофен-6-карбоновой кислоты 1,1-диоксид N-диаминометилен-2,3-дигидро-5-трифторметил-1- бензотиофен-6-карбоксамида; из 1,1-диоксида сложного метилового эфира 2,3- дигидро-1-бензотиофен-6-карбоновой кислоты 1,1-диоксид N-диаминометилен-2,3-дигидро-1-бензотиофен- 6-карбоксамида, т.пл. 223oC метансульфонат: т.пл. 264 -265oC. из 1,1-диоксида сложного метилового эфира 2,3-дигидро-3-метил-5-фтор-1-бензотиофен-6-карбоновой кислоты 1,1-диоксид N-диаминометилен-2,3-дигидро-3-метил-5-фтор-1- бензотиофен-6-карбоксамида; из 1,1-диоксида сложного метилового эфира 2,3-дигидро-3-изопропил- 5-метил-1-бензотиофен-6-карбоновой кислоты 1,1-диоксид N-диаминометилен-2,3-дигидро-3-изопропил-5-метил- 1-бензотиофен-6-карбоксамида, т. пл. 194-196oC, из 1,1-диоксида сложного метилового эфира 2,3-дигидро-3-метил-1- бензотиофен-6-карбоновой кислоты 1,1-диоксид N-диаминометилен-2,3-дигидро-3-метил-1-бензотиофен-6-карбоксамида; из 1,1-диоксида сложного метилового эфира 2,3-дигидро-3,3-диметил-5-фтор-1-бензотиофен-6-карбоновой кислоты 1,1-диоксид N-диаминометилен-2,3-дигидро-3,3-диметил-5-фтор-1-бензотиофен-6-карбоксамида, из 1,1-диоксида сложного метилового эфира 2,3-дигидро-3,3-диметил-5-этил-1-бензотиофен-6-карбоновой кислоты 1,1-диоксид N-диаминометилен-2,3-дигидро-3,3,5-триметил-1- бензотиофен-6-карбоксамида; из 1,1-диоксида сложного метилового эфира 2,3- дигидро-3,3,5-триметил-1-бензотиофен-6-карбоновой кислоты 1,1-диоксид N-диаминометилен-2,3-дигидро-3,3-диметил-5-фтор-1-бензотиофен-6-карбоксамида; из 1,1-диоксида сложного метилового эфира 2,3-дигидро-3,3-диметил-5-трифторметил-1-бензотиофен-6-карбоновой кислоты 1,1-диоксид N-диаминометилен-2,3-дигидро-3, 3-диметил-5-трифторметил-1-бензотиофен-6-карбоксамида; из 1,1-диоксида сложного метилового эфира 2,3-дигидро-3,3-диметил-1-бензотиофен-6-карбоновой кислоты 1,1-диоксид N-диаминометилен-2,3-дигидро-3,3-диметил-1-бензотиофен-6-карбоксамида; из 1,1-диоксида сложного метилового эфира 2,3-дигидро-2,2-диметил-5-фтор-1-бензотиофен-6-карбоновой кислоты 1,1-диоксид N-диаминометилен-2,3-дигидро-2,2-диметил-5-фтор-1-бензотиофен-6-карбоксамида; из 1,1-диоксида сложного метилового эфира 2,3-дигидро-2,2-диметил-5-этил-1-бензотиофен-6-карбоновой кислоты 1,1-диоксид N-диаминометилен-2,3-дигидро-2,2-диметил-5-этил-1-бензотиофен-6-карбоксамида; из 1,1-диоксида сложного метилового эфира 2,3-дигидро-2,2,5-триметил-1-бензотиофен-6-карбоновой кислоты 1,1-диоксид N-диаминометилен-2,3-дигидро-2,2-диметил-5-фтор-1-бензотиофен-6-карбоксамида; из 1,1-диоксида сложного метилового эфира 2,3-дигидро-2,2,5-триметил-3-метокси-1-бензотиофен-6-карбоновой кислоты 1,1-диоксид N-диаминометилен-2,3-дигидро-2,2,5-триметил-3-метокси-1-бензотиофен-6-карбоксамида, т.пл. 245oC, метансульфонат: 284-285oC; из 1,1-диоксида сложного метилового эфира 2,3-дигидро-2,2-диметил-1-бензотиофен-6-карбоновой кислоты 1,1-диоксид N-диаминометилен-2,3-дигидро-2,2-диметил-1-бензотиофен-6-карбоксамида; из 1,1-диоксида сложного метилового эфира 2,3-дигидро-2,5-диметил-1-бензотиофен-6-карбоновой кислоты 1,1-диоксид N-диаминометилен-2,3-дигидро-2,5-диметил-1-бензотиофен-6-карбоксамида; из 1,1-диоксида сложного метилового эфира 2,3-дигидро-2-метил-5-этил-1-бензотиофен-6-карбоновой кислоты 1,1-диоксид N-диаминометилен-2,3-дигидро-2-метил-5-этил-1-бензотиофен-6-карбоксамида; из 1,1-диоксида сложного метилового эфира 2,3-дигидро-2-метил-5-трифторметил-1-бензотиофен-6-карбоновой кислоты 1,1-диоксид N-диаминометилен-2,3-дигидро-2-метил-5-трифторметил-1-бензотиофен-6-карбоксамида; из 1,1-диоксида сложного метилового эфира 2,3-дигидро-2-метил-1-бензотиофен-6-карбоновой кислоты 1,1-диоксид N-диаминометилен-2,3-дигидро-2- метил-1-бензотиофен-6-карбоксамида. Пример 3: В атмосфере азота, при перемешивании и при исключении влаги вносят 213 мг натрия в 5 мл метанола. Полученный раствор смешивают при комнатной температуре с 975 мг гуанидингидрохлорида и перемешивают 30 минут. Затем суспензию фильтруют. После этого фильтрат смешивают с 500 мг сложного метилового эфира 4-ацетил-2-метил-5-метилсульфонилбензойной кислоты и 1 час поддерживают при флегме. После одночасового дополнительного перемешивания при комнатной температуре смешивают при охлаждении льдом с водой, насыщают поваренной солью, экстрагируют уксусным эфиром, органическую фазу промывают водой, сушат и сгущают. Перекристаллизация из метанола/уксусного эфира дает 1,1-диоксид N-диаминометилен-2,3-дигидро-3-гидрокси-3,5- диметил-1-бензотиофен-6-карбоксамида, т. пл. 243-245oC. Обработкой метансульфокислотой в метаноле получают после перекристаллизации из метанола/ацетона соответствующий метансульфонат: т.пл. 214-216oC. Аналогично получают: из сложного метилового эфира 4-бензоил-5- метилсульфонилбензойной кислоты 1,1-диоксид N-диаминометилен-2,3-дигидро-3-фенил-3-гидрокси-1-бензотиофен-6-карбоксамид; из сложного метилового эфира 4-бензоил-2-метил-5-метилсульфонилбензойной кислоты 1,1-диоксид N-диаминометилен-2,3-дигидро-3-фенил-3-гидрокси-5-метил-1-бензотиофен-6-карбоксамид. Пример 4: Полученный – как описано в примере 3 – из 547 мг натрия, 12 мл метанола и 2,5 г гуанидингидрохлорида раствор гуанидина смешивают с 1,2 г 1,1-диоксидом сложного метилового эфира 2,3-дигидро-5-метил-3-метилен-1-бензотиофен-6-карбоновой кислоты [полученного циклизацией сложного метилового эфира 4-ацетил-2-метил-5-метилсульфонилбензойной кислоты и последующей дегидратацией] и кипятят смесь один час, затем перемешивают один час при комнатной температуре и обрабатывают как обычно. Получают 1,1-диоксид N-диаминометилен-2,3-дигидро-3-метокси-3,5-диметил-1-бензотиофен-6-карбоксамида. Обработкой метансульфокислотой в метаноле получают соответствующий метансульфонат: т.пл. 214-215oC. Аналогично получают: из 1,1-диоксида сложного метилового эфира 3-фенил-1-бензотиофен-6-карбоновой кислоты 1,1-диоксид N-диаминометилен-2,3-дигидро-3-фенил-3-метокси-1-бензотиофен-6-карбоксамида; из 1,1-диоксида сложного метилового эфира 5-метил-3- фенил-1-бензотиофен-6-карбоновой кислоты 1,1-диоксид N-диаминометилен-2,3-дигидро-3-фенил-3-метокси-5-метил-1-бензотиофен-6-карбоксамида. Пример 5: Аналогично примеру 2 взаимодействием свежеполученного гуанидина с 1,1-диоксидом хлорангидрида 3,5-диметил-1-бензотиофен-6-карбоновой кислоты [полученным взаимодействием 1,9 г 1,1-диоксида 3,5-диметил-1-бензотиофен-6-карбоновой кислоты с 10 мл хлористого тионила при исключении влаги и при перемешивании свыше 4 часов при температуре кипения] получают 1,1-диоксид N-диаминометилен-3,5-диметил-1-бензотиофен-6-карбоксамида. Обработкой метансульфокислотой в метаноле получают соответствующий метансульфонат. Аналогично получают: из 1,1-диоксида сложного метилового эфира 5-метил-1-бензотиофен-6-карбоновой кислоты 1,1-диоксид N-диаминометилен-5-метил-1- бензотиофен-6-карбоксамида; из 1,1-диоксида сложного метилового эфира 5-этил-1-бензотиофен-6-карбоновой кислоты 1,1-диоксид N-диаминометилен-5-этил-1-бензотиофен-6-карбоксамида; из 1,1-диоксида сложного метилового эфира 5- трифторметил-1-бензотиофен-6-карбоновой кислоты 1,1-диоксид N-диаминометилен-5-трифторметил-1-бензотиофен-6-карбоксамида из 1,1-диоксида сложного метилового эфира 1-бензотиофен-6-карбоновой кислоты 1,1-диоксид N-диаминометилен-1-бензотиофен-6-карбоксамида; из 1,1-диоксида сложного метилового эфира 3-метил-5-этил-1-бензотиофен-6-карбоновой кислоты 1,1-диоксид N-диаминометилен-3-метил-5-этил-1-бензо-тиофен-6-карбоксамида; из 1,1-диоксида сложного метилового эфира 3-метил-5-фтор-1-бензотиофен-6-карбоновой кислоты 1,1-диоксид N-диаминометилен-3-метил-5-фтор-1-бензотиофен-6-карбоксамида из 1,1-диоксида сложного метилового эфира 3-метил-5-трифторметил-1-бензотиофен-6-карбоновой кислоты 1,1-диоксид N-диаминометилен-3-метил-5-трифторметил-1-бензотиофен-6-карбоксамида; из 1,1-диоксида сложного метилового эфира 3-фенил-5-метил-1-бензотиофен-6-карбоновой кислоты 1,1-диоксид N-диаминометилен-3-фенил-5-метил-1-бензотиофен-6-карбоксамида; из 1,1-диоксида сложного метилового эфира 3-фенил-5-этил-1-бензотиофен-6-карбоновой кислоты 1,1-диоксид N-диаминометилен-3-фенил-5-этил-1-бензотиофен-6-карбоксамида из 1,1-диоксида сложного метилового эфира 3-фенил-1-бензотиофен-6-карбоновой кислоты 1,1-диоксид N-диаминометилен-3-фенил-1-бензотиофен-6-карбоксамида; из 1,1-диоксида сложного метилового эфира 3-метил-1-бензотиофен-6-карбоновой кислоты 1,1-диоксид N-диаминометилен-3-метил-1-бензотиофен-6-карбоксамида; из 1,1-диоксида сложного метилового эфира 2,5-диметил-1-бензотиофен-6-карбоновой кислоты 1,1-диоксид N-диаминометилен-2,5-метил-1-бензотиофен-6-карбоксамида; из 1,1-диоксида сложного метилового эфира 2-метил-5-этил-1-бензотиофен-6-карбоновой кислоты 1,1-диоксид N-диаминометилен-2-метил-5-этил-1-бензотиофен-6-карбоксамида из 1,1-диоксида сложного метилового эфира 2-метил-5-трифторметил-1-бензотиофен-6-карбоновой кислоты 1,1-диоксид N-диаминометилен-2-метил-5-трифторметил-1-бензотиофен-6-карбоксамида; из 1,1-диоксида сложного метилового эфира 2-метил-5-фтор-1-бензотиофен-6-карбоновой кислоты 1,1-диоксид N-диаминометилен-2-метил-5-фтор-1-бензотиофен-6-карбоксамида из 1,1-диоксида сложного метилового эфира 2-метил-1-бензотиофен-6-карбоновой кислоты 1,1-диоксид N-диаминометилен-2-метил-1-бензотиофен-6-карбоксамида; из 1,1-диоксида сложного метилового эфира 2,3-дигидро-3-метилен-5-метил-1-бензотиофен-6-карбоновой кислоты 1,1-диоксид N-диаминометилен-2,3-дигидро-3-метилен-5-метил-1-бензотиофен-6-карбоксамида, т. пл. 208-212oC метансульфонат: 230-235oC; из 1,1-диоксида сложного метилового эфира 2,3-дигидро-3-метилен-5-этил-1-бензотиофен-6-карбоновой кислоты 1,1-диоксид N-диаминометилен-2,3-дигидро-3-метилен-5-этил-1-бензотиофен-6-карбоксамида; из 1,1-диоксида сложного метилового эфира 2,3-дигидро-3-оксо-2,2,5-триметил-1-бензотиофен-6-карбоновой кислоты 1,1-диоксид N-диаминометилен-2,3-дигидро-3-оксо-2,2,5-триметил-1-бензотиофен-6-карбоксамида, т. пл. 250-251oC (метансульфонат); из 1,1-диоксида сложного метилового эфира 2,3-дигидро-3-метилен-5-фтор-1-бензотиофен-6-карбоновой кислоты 1,1-диоксид N-диаминометилен-2,3-дигидро-3-метилен-5-фтор-1-бензотиофен-6-карбоксамида; из 1,1-диоксида сложного метилового эфира 2,3-дигидро-3-метилен-5-трифторметил-1-бензотиофен-6-карбоновой кислоты 1,1-диоксид N-диаминометилен-2,3-дигидро-3- метилен-5-трифторметил-1-бензотиофен-6-карбоксамида; из 1,1-диоксида сложного метилового эфира 2,3-дигидро-3-метилен-1-бензотиофен-6-карбоновой кислоты 1,1-диоксид N-диаминометилен-2,3-дигидро-3-метилен-1-бензотиофен-6-карбоксамида; Пример 6: Аналогично примеру 1 получают: из 3,3-диоксида сложного метилового эфира 6-метил-1,3-бензоксатиол-5-карбоновой кислоты 3,3-диоксид N-диаминометилен-6-метил-1,3-бензоксатиол-5-карбоксамида; из 3,3-диоксида сложного метилового эфира 1,3-бензоксатиол-5-карбоновой кислоты 3,3-диоксид N-диаминометилен-1,3-бензоксатиол-5-карбоксамида; из 3,3-диоксида сложного метилового эфира 6-этил-1,3-бензоксатиол-5-карбоновой кислоты 3,3-диоксид N-диаминометилен-6-этил-1,3-бензоксатиол-5-карбоксамида; из 3,3-диоксида сложного метилового эфира 2,6-диметил-1,3-бензоксатиол-5-карбоновой кислоты 3,3-диоксид N-диаминометилен-2,6-диметил-1,3-бензоксатиол-5-карбоксамида из 3,3-диоксида сложного метилового эфира 2-метил-1,3-бензоксатиол-5-карбоновой кислоты 3,3-диоксид N-диаминометилен-2-метил-1,3- бензоксатиол-5-карбоксамида; из 3,3-диоксида сложного метилового эфира 2-метил-6-этил-1,3-бензоксатиол-5-карбоновой кислоты 3,3- диоксид N-диаминометилен-2-метил-6-этил-1,3-бензоксатиол-5-карбоксамида; из 3,3-диоксида сложного метилового эфира 2,2,6-триметил-1,3-бензоксатиол-5-карбоновой кислоты 3,3-диоксид N-диаминометилен-2,2,6-триметил-1,3-бензоксатиол-5-карбоксамида; из 3,3-диоксида сложного метилового эфира 2,2-диметил-1,3-бензоксатиол-5-карбоновой кислоты 3,3- диоксид N-диаминометилен-2,2-диметил-1,3-бензоксатиол-5-карбоксамида из 3,3-диоксида сложного метилового эфира 2,2-диметил-6-этил-1,3-бензоксатиол-5-карбоновой кислоты 3,3-диоксид N-диаминометилен-2,2-диметил-6-этил-1,3-бензоксатиол-5-карбоксамида; из 1,1-диоксида сложного метилового эфира 2,5-диметил-2,3-дигидробензотиазол-6-карбоновой кислоты 1,1-диоксид 6-N-диаминометиленкарбамоил-2,5-диметил-2,3-дигидробензотиазола; из 1,1-диоксида сложного метилового эфира 2-метил-2,3-дигидро-бензотиазол-5-карбоновой кислоты 1,1- диоксид 6-N-диаминометиленкарбамоил-2-метил-2,3-дигидробензотиазола; из 1,1-диоксида сложного метилового эфира 2-метил-6-этил-2,3-дигидробензотиазол-5-карбоновой кислоты 1,1-диоксид 6-N-диаминометиленкарбамоил-2-метил-6-этил-2,3-дигидробензотиазола, из 1,1-диоксида сложного метилового эфира 2,3,5-триметил-2,3-дигидробензотиазол-6-карбоновой кислоты 1,1-диоксид 6-N-диаминометиленкарбамоил-2, 3,5-триметил-2,3-дигидробензотиазола; из 1,1-диоксида сложного метилового эфира 2,3-диметил-2,3-дигидробензотиазол-5-карбоновой кислоты 1,1-диоксид 6-N-диаминометиленкарбамоил-2,3-диметил-2,3-дигидробензотиазола; из 1,1-диоксида сложного метилового эфира 2,3-диметил-5-этил-2,3-дигидробензотиазол-5-карбоновой кислоты 1,1-диоксид 6-N-диаминометиленкарбамоил-2,3-диметил-5-этил-2,3-дигидробензотиазола; из 1,1-диоксида сложного метилового эфира 5-метил-2,3-дигидробензотиазол-6-карбоновой кислоты 1,1-диоксид 6-N-диаминометиленкарбамоил-5-метил-2,3-дигидробензотиазола; из 1,1-диоксида сложного метилового эфира 2,3-дигидробензотиазол-5-карбоновой кислоты 1,1-диоксид 6-N-диаминометиленкарбамоил-2,3-дигидробензотиазола; из 1,1-диоксида сложного метилового эфира 6-этил-2,3-дигидробензотиазол-5-карбоновой кислоты 1,1-диоксид 6-N-диаминометиленкарбамоил-6-этил-2,3-дигидробензотиазола; из 1,1-диоксида сложного метилового эфира 3,5-диметил-2,3-дигидробензотиазол-6-карбоновой кислоты 1,1-диоксид 6-N-диаминометиленкарбамоил-3,5-диметил-2,3-дигидробензотиазола; из 1,1-диоксида сложного метилового эфира 3-метил-2,3-дигидробензотиазол- 5-карбоновой кислоты 1,1-диоксид 6-N-диаминометиленкарбамоил-3-метил-2,3-дигидробензотиазола; из 1,1-диоксида сложного метилового эфира 3-метил-5-этил-2,3-дигидробензотиазол-5-карбоновой кислоты 1,1-диоксид 6-N-диаминометиленкарбамоил-3-метил-5-этил-2,3-дигидробензотиазола; из 1,1-диоксида сложного метилового эфира 2,2,5-триметил-2,3-дигидробензотиазол-6-карбоновой кислоты 1,1-диоксид 6-N-диаминометиленкарбамоил-2,2,5-триметил-2,3-дигидробензотиазола; из 1,1-диоксида сложного метилового эфира 2,2-диметил-2,3-дигидробензотиазол-5-карбоновой кислоты 1,1-диоксид 6-N-диаминометиленкарбамоил-2,2-диметил-2,3-дигидро бензотиазола; из 1,1-диоксида сложного метилового эфира 2,2-диметил-6-этил-2,3-дигидробензотиазол-5-карбоновой кислоты 1,1-диоксид 6-N-диаминометиленкарбамоил-2,2-диметил-6-этил-2,3-дигидробензотиазола; из 1,1-диоксида сложного метилового эфира 2,2,3,5-тетраметил-2,3-дигидробензотиазол-6-карбоновой кислоты 1,1-диоксид 6-N-диаминометиленкарбамоил-2,2,3,5-тетраметил-2,3-дигидробензотиазола; из 1,1-диоксида сложного метилового эфира 2,2,3-триметил-2,3-дигидробензотиазол-5-карбоновой кислоты 1,1-диоксид 6-N-диаминометиленкарбамоил-2,2,3-триметил-2,3-дигидробензотиазола; из 1,1-диоксида сложного метилового эфира 2,2,3-триметил-5-этил-2,3-дигидро-бензотиазол-5-карбоновой кислоты 1,1-диоксид 6-N-диаминометиленкарбамоил-2,2,3-триметил-5-этил-2,3-дигидробензотиазола; Пример 7: Аналогично примеру 1 получают: из 1,1-диоксида сложного метилового эфира 6-метилтиохроман-7-карбоновой кислоты 1,1-диоксид N-диаминометилен-6-метилиохроман-7-карбоксамида; из 1,1-диоксида сложного метилового эфира тиохроман-7-карбоновой кислоты 1,1-диоксид N-диаминометилентиохроман-7-карбоксамида; из 1,1-диоксида сложного метилового эфира 6-этилтиохроман-7-карбоновой кислоты 1,1-диоксид N-диаминометилен-6-этилтиохроман-7-карбоксамида; из 1,1-диоксида сложного метилового эфира 2,6-диметилтиохроман-7- карбоновой кислоты 1,1-диоксид N-диаминометилен-2,6-диметилтиохроман-7-карбоксамида; из 1,1-диоксида сложного метилового эфира 2-метилтиохроман-7- карбоновой кислоты 1,1-диоксид N-диаминометилен-2-метилтиохроман-7-карбоксамида; из 1,1-диоксида сложного метилового эфира 2-метил-6- этилтиохроман-7-карбоновой кислоты 1,1-диоксид N-диаминометилен-2-метил-6-этилтиохроман-7-карбоксамида; из 1,1-диоксида сложного метилового эфира 2,2,6-триметилтиохроман-7-карбоновой кислоты 1,1-диоксид N-диаминометилен-2,2,6-триметилтиохроман-7-карбоксамида; из 1,1-диоксида сложного метилового эфира 2,2-диметилтиохроман-7-карбоновой кислоты 1,1-диоксид N-диаминометилен-2,2-диметилтиохроман-7-карбоксамида; из 1,1-диоксида сложного метилового эфира 2,2-диметил-6-этилтиохроман-7-карбоновой кислоты 1,1-диоксид N-диаминометилен-2,2-диметил-6-этилтиохроман-7- карбоксамида; из 1,1-диоксида сложного метилового эфира 3,6-диметилтиохроман-7-карбоновой кислоты 1,1-диоксид N-диаминометилен-3,6-диметилтиохроман-7-карбоксамида; из 1,1-диоксида сложного метилового эфира 3-метилтиохроман-7-карбоновой кислоты 1,1-диоксид N-диаминометилен-3-метилтиохроман-7-карбоксамида; из 1,1-диоксида сложного метилового эфира 3-метил-6-этилтиохроман-7-карбоновой кислоты 1,1-диоксид N-диаминометилен-3-метил-6-этил-тиохроман-7-карбоксамида; из 1,1-диоксида сложного метилового эфира 4,6-диметилтиохроман-7-карбоновой кислоты 1,1-диоксид N-диаминометилен-4,6-диметил-тиохроман-7-карбоксамида, т.пл. 204 – 205oC метансульфонат: 248-250oC; из 1,1-диоксида сложного метилового эфира 4-метилтиохроман-7-карбоновой кислоты 1,1-диоксид N-диаминометилен-4-метилтиохроман-7-карбоксамида; из 1,1- диоксида сложного метилового эфира 4-метил-6-этилтиохроман-7-карбоновой кислоты 1,1-диоксид N-диаминометилен-4-метил-6-этилтиохроман-7- карбоксамида; из 1,1-диоксида сложного метилового эфира 3,3,6-триметилтиохроман-7-карбоновой кислоты 1,1-диоксид N-диаминометилен-3,3,6-триметилтиохроман-7-карбоксамида; из 1,1- диоксида сложного метилового эфира 3,3-диметилтиохроман-7-карбоновой кислоты 1,1-диоксид N-диаминометилен-3,3-диметилтиохроман-7-карбоксамида; из 1,1-диоксида сложного метилового эфира 3,3-диметил-6-этилтиохроман-7-карбоновой кислоты 1,1- диоксид N-диаминометилен-3,3-диметил-6-этилтиохроман-7-карбоксамида; из 1,1-диоксида сложного метилового эфира 4,4,6-триметилтиохроман-7-карбоновой кислоты 1,1-диоксид N-диаминометилен-4,4,6-триметилтиохроман-7-карбоксамида; из 1,1-диоксида сложного метилового эфира 4,4-диметилтиохроман-7- карбоновой кислоты 1,1-диоксид N-диаминометилен-тиохроман-4,4- диметил-7-карбоксамида, из 1,1-диоксида сложного метилового эфира 2,2,4,6-тетраметилтиохроман-7-карбоновой кислоты 1,1- диоксид N-диаминометилен-2,2,4,6-тетраметилтиохроман-7-карбоксамида, т.пл. 256oC (метансульфонат); из 1,1-диоксида сложного метилового эфира 4,4-диметил-6-этилтиохроман-7-карбоновой кислоты 1,1-диоксид N-диаминометилен-4,4-диметил-6-этилтиохроман-7-карбоксамида; из 1,1-диоксида сложного метилового эфира 6-метил-2Н-1-бензотиопиран-7-карбоновой кислоты 1,1-диоксид N-диаминометилен-6-метил-2Н-1-бензотиопиран-7-карбоксамида; из 1,1-диоксида сложного метилового эфира 2Н-1-бензотиопиран-7-карбоновой кислоты 1,1-диоксид N-диаминометилен-2Н-1-бензотиопиран-7-карбоксамида; из 1,1-диоксида сложного метилового эфира 6-этил-2Н-1-бензотиопиран-7-карбоновой кислоты 1,1-диоксид N-диаминометилен-6-этил-2Н-1-бензотиопиран-7- карбоксамида; из 1,1-диоксида сложного метилового эфира 2,6-диметил-2Н-1- бензотиопиран-7-карбоновой кислоты 1,1-диоксид N-диаминометилен-2,6-диметил-2Н-1-бензотиопиран-7-карбоксамида; из 1,1-диоксида сложного метилового эфира 2-метил-2Н-1-бензотиопиран-7-карбоновой кислоты 1,1-диоксид N-диаминометилен-2-метил-2Н-1-бензотиопиран-7 -карбоксамида; из 1,1-диоксида сложного метилового эфира 2-метил- 6-этил-2Н-1-бензотиопиран-7-карбоновой кислоты 1,1-диоксид N-диаминометилен-2-метил-6-этил-2Н-1-бензотиопиран-7-карбоксамида; из 1,1-диоксида сложного метилового эфира 2,2,6-триметил-2Н-1-бензотиопиран-7-карбоновой кислоты 1,1-диоксид N-диаминометилен-2,2,6-триметил-2Н-1-бензотиопиран- 7-карбоксамида; из 1,1-диоксида сложного метилового эфира 2,2-диметил-2Н-1-бензотиопиран-7-карбоновой кислоты 1,1-диоксид N-диаминометилен-2,2-диметил-2Н-1-бензотиопиран-7 -карбоксамида; из 1,1-диоксида сложного метилового эфира 2,2-диметил- 6-этил-2Н-1-бензотиопиран-7-карбоновой кислоты 1,1-диоксид N-диаминометилен-2,2-диметил-6-этил-2Н-1-бензотиопиран-7- карбоксамида; из 1,1-диоксида сложного метилового эфира 3,6- диметил-2Н-1-бензотиопиран-7-карбоновой кислоты 1,1-диоксид N-диаминометилен-3,6-диметил-2Н-1-бензотиопиран-7-карбоксамида; из 1,1-диоксида сложного метилового эфира 3-метил-2Н-1- бензотиопиран-7-карбоновой кислоты 1,1-диоксид N-диаминометилен-3-метил-2Н-1-бензотиопиран-7-карбоксамида; из 1,1-диоксида сложного метилового эфира 3-метил-6-этил-2Н-1- бензотиопиран-7-карбоновой кислоты 1,1-диоксид N-диаминометилен-2Н-1-бензотиопиран-7-карбоксамид-3-метил-6-этил; из 1,1-диоксида сложного метилового эфира 4,6-диметил-2Н-1-бензотиопиран-7-карбоновой кислоты 1,1-диоксид N-диаминометилен-4,6-диметил-2Н-1- бензотиопиран-7-карбоксамида; из 1,1-диоксида сложного метилового эфира 4-метил-2Н-1-бензотиопиран- 7-карбоновой кислоты 1,1-диоксид N-диаминометилен-4-метил-2Н-1-бензотиопиран-7 -карбоксамида; из 1,1-диоксида сложного метилового эфира 4-метил-6-этил-2Н-1-бензотиопиран-7-карбоновой кислоты 1,1-диоксид N-диаминометилен-4-метил-6-этил-2Н-1- бензотиопиран-7-карбоксамида; из 1,1-диоксида сложного метилового эфира 6-метил-4Н-1-бензотиопиран-7-карбоновой кислоты 1,1-диоксид N-диаминометилен-6-метил-4Н-1-бензотиопиран-7-карбоксамида; из 1,1-диоксида сложного метилового эфира 4Н-1-бензотиопиран-7-карбоновой кислоты 1,1-диоксид N-диаминометилен-4Н-1-бензотиопиран-7-карбоксамида; из 1,1-диоксида сложного метилового эфира 6-этил-4Н- 1-бензотиопиран-7-карбоновой кислоты 1,1-диоксид N-диаминометилен-6-этил-4Н-1-бензотиопиран-7- карбоксамида; из 1,1-диоксида сложного метилового эфира 2,6-диметил-4Н-1-бензотиопиран-7-карбоновой кислоты 1,1-диоксид N-диаминометилен-2,6-диметил-4Н-1-бензотиопиран- 7-карбоксамида; из 1,1-диоксида сложного метилового эфира 2-метил-4Н-1-бензотиопиран-7-карбоновой кислоты 1,1-диоксид N-диаминометилен-2-метил-4Н-1-бензотиопиран-7 -карбоксамида, из 1,1-диоксида сложного метилового эфира 2-метил-6-этил-4Н-1-бензотиопиран-7-карбоновой кислоты 1,1-диоксид N-диаминометилен-2-метил-6-этил-4Н-1-бензотиопиран-7-карбоксамида; из 1,1-диоксида сложного метилового эфира 3,6-диметил-4Н-1-бензотиопиран-7-карбоновой кислоты 1,1-диоксид N-диаминометилен-3,6-диметил-4Н-1-бензотиопиран-7-карбоксамида; из 1,1-диоксида сложного метилового эфира 3-метил-4Н-1-бензотиопиран-7-карбоновой кислоты 1,1-диоксид N-диаминометилен-3-метил-4Н-1-бензотиопиран-7 -карбоксамида; из 1,1-диоксида сложного метилового эфира 3-метил-6-этил-4Н-1-бензотиопиран-7-карбоновой кислоты 1,1-диоксид N-диаминометилен-3-метил-6-этил-4Н-1-бензотиопиран- 7-карбоксамида; из 1,1-диоксида сложного метилового эфира 4,6-диметил-4Н-1-бензотиопиран-7-карбоновой кислоты 1,1-диоксид N-диаминометилен-4,6-диметил-4Н-1-бензотиопиран-7-карбоксамида; из 1,1-диоксида сложного метилового эфира 4-метил-4Н-1-бензотиопиран-7-карбоновой кислоты 1,1-диоксид N-диаминометилен-4-метил-4Н-1-бензотиопиран-7-карбоксамида; из 1,1-диоксида сложного метилового эфира 4-метил-6-этил-4Н-1- бензотиопиран-7-карбоновой кислоты 1,1-диоксид N-диаминометилен-4-метил-6-этил-4Н-1-бензотиопиран- 7-карбоксамида; из 1,1-диоксида сложного метилового эфира 3-гидрокси-6-метил-тиохроман-7-карбоновой кислоты 1,1-диоксид N-диаминометилен-3-гидрокси-6-метил-тиохроман-7- карбоксамида; из 1,1-диоксида сложного метилового эфира 3-гидрокси-тиохроман-7-карбоновой кислоты 1,1-диоксид N-диаминометилен-3-гидрокси-тиохроман-7-карбоксамида; из 1,1-диоксида сложного метилового эфира 3-гидрокси-6- этил-тиохроман-7-карбоновой кислоты 1,1-диоксид N-диаминометилен-3-гидрокси-6-этил-тиохроман-7 -карбоксамида; из 1,1-диоксида сложного метилового эфира 4-гидрокси-6-метил-тиохроман-7-карбоновой кислоты 1,1-диоксид N-диаминометилен-4-гидрокси-6-метил- тиохроман-7-карбоксамида; из 1,1-диоксида сложного метилового эфира 4-гидрокси-тиохроман-7- карбоновой кислоты 1,1-диоксид N-диаминометилен-4-гидрокси-тиохроман-7- карбоксамида; из 1,1-диоксида сложного метилового эфира 4-гидрокси-6-этил- тиохроман-7-карбоновой кислоты 1,1-диоксид N-диаминометилен-4-гидрокси-6-этил-тиохроман- 7-карбоксамида; из 1,1-диоксида сложного метилового эфира 3-оксо-6-метил-тиохроман-7-карбоновой кислоты 1,1-диоксид N-диаминометилен-3-оксо-6-метил-тиохроман-7- карбоксамида; из 1,1-диоксида сложного метилового эфира 3-оксо- тиохроман-7-карбоновой кислоты 1,1-диоксид N-диаминометилен-3-оксо-тиохроман-7-карбоксамида; из 1,1-диоксида сложного метилового эфира 3-оксо-6-этил-тиохроман-7-карбоновой кислоты 1,1-диоксид N-диаминометилен-3-оксо-6-этил-тиохроман-7-карбоксамида; из 1,1-диоксида сложного метилового эфира 4-оксо-6- метил-тиохроман-7-карбоновой кислоты 1,1-диоксид N-диаминометилен-4-оксо-6-метил-тиохроман-7-карбоксамида; из 1,1-диоксида сложного метилового эфира 4-оксо-тиохроман-7- карбоновой кислоты 1,1-диоксид N-диаминометилен-4-оксо-тиохроман-7-карбоксамида; из 1,1-диоксида сложного метилового эфира 4-оксо-6-этил- тиохроман-7-карбоновой кислоты 1,1-диоксид N-диаминометилен-4-оксо-6-этил-тиохроман-7-карбоксамида; Пример 8: Аналогично примеру 1 получают: из 4,4-диоксида сложного метилового эфира 7-метил-1,4-бензоксатиан-6-карбоновой кислоты 4,4-диоксид N-диаминометилен-7-метил-1,4-бензоксатиан-6- карбоксамида; из 4,4-диоксида сложного метилового эфира 7-этил- 1,4-бензоксатиан-6-карбоновой кислоты 4,4-диоксид N-диаминометилен-7-этил-1,4-бензоксатиан-6-карбоксамида; из 4,4-диоксида сложного метилового эфира 1,4-бензоксатиан-6-карбоновой кислоты 4,4-диоксид N-диаминометилен-1,4-бензоксатиан-6-карбоксамида; из 4,4-диоксида сложного метилового эфира 2,7- диметил-1,4-бензоксатиан-6-карбоновой кислоты 4,4-диоксид N-диаминометилен-2,7-диметил-1,4- бензоксатиан-6-карбоксамида; из 4,4-диоксида сложного метилового эфира 2-метил-7-этил-1,4-бензоксатиан-6-карбоновой кислоты 4,4-диоксид N-диаминометилен-2-метил-7-этил-1,4- бензоксатиан-6-карбоксамида; из 4,4-диоксида сложного метилового эфира 2-метил-1,4-бензоксатиан-6-карбоновой кислоты 4,4-диоксид N-диаминометилен-1,4-бензоксатиан-2-метил-6-карбоксамида; из 4,4-диоксида сложного метилового эфира 3,7-диметил-1,4- бензоксатиан-6-карбоновой кислоты 4,4-диоксид N-диаминометилен-3,7-диметил-1,4-бензоксатиан-6-карбоксамида из 4,4-диоксида сложного метилового эфира 3-метил-7-этил-1,4-бензоксатиан-6-карбоновой кислоты 4,4-диоксид N-диаминометилен-3-метил-7-этил-1,4-бензоксатиан-6- карбоксамида; из 4,4-диоксида сложного метилового эфира 3-метил- 1,4-бензоксатиан-6-карбоновой кислоты 4,4-диоксид N-диаминометилен-3-метил-1,4-бензоксатиан-6-карбоксамида; из 4,4-диоксида сложного метилового эфира 2,2,7-триметил-1,4- бензоксатиан-6-карбоновой кислоты 4,4-диоксид N-диаминометилен-2,2,7-триметил-1,4-бензоксатиан-6- карбоксамида; из 4,4-диоксида сложного метилового эфира 2,2-диметил-7-этил-1,4-бензоксатиан-6-карбоновой кислоты 4,4-диоксид N-диаминометилен-2,2-диметил-7- этил-1,4-бензоксатиан-6-карбоксамида; из 4,4-диоксида сложного метилового эфира 2,2-диметил-1,4- бензоксатиан-6-карбоновой кислоты 4,4-диоксид N-диаминометилен-2,2-диметил-1,4-бензоксатиан-6-карбоксамида из 4,4-диоксида сложного метилового эфира 3,3,7-триметил-1,4-бензоксатиан-6-карбоновой кислоты 4,4-диоксид N-диаминометилен-3,3,7-триметил-1,4-бензоксатиан-6- карбоксамида, т. пл. 243-244oС (метан-сульфонат); из 4,4-диоксида сложного метилового эфира 3,3-диметил-7-этил-1, 4-бензоксатиан-6-карбоновой кислоты 4,4-диоксид N-диаминометилен-3,3-диметил-7-этил-1,4-бензоксатиан- 6-карбоксамида; из 4,4-диоксида сложного метилового эфира 3,3- диметил-1,4-бензоксатиан-6-карбоновой кислоты 4,4-диоксид N-диаминометилен-3,3-диметил-7-этил-1,4- бензоксатиан-6-карбоксамида; из 4,4-диоксида сложного метилового эфира 2-оксо-7-метил-1,4-бензоксатиан-6-карбоновой кислоты 4,4-диоксид N-диаминометилен-2-оксо-7-метил-1,4- бензоксатиан-6-карбоксамида; из 4,4-диоксида сложного метилового эфира 2-оксо-7-этил-1,4-бензоксатиан-6-карбоновой кислоты 4,4-диоксид N-диаминометилен-2-оксо-7-этил-1,4-бензоксатиан-6- карбоксамида; из 4,4-диоксида сложного метилового эфира 2-оксо- 1,4-бензоксатиан-6-карбоновой кислоты 4,4-диоксид N-диаминометилен-2-оксо-1,4-бензоксатиан-6-карбоксамида. Пример 9: Аналогично примеру 1 получают: из 1,1-диоксида сложного метилового эфира 6-метил-3,1-бензоксатиан-7-карбоновой кислоты 1,1-диоксид N-диаминометилен-6-метил-3,1-бензоксатиан-7- карбоксамида; из 1,1-диоксида сложного метилового эфира 6-этил- 3,1-бензоксатиан-7-карбоновой кислоты 1,1-диоксид N-диаминометилен-6-этил-3,1-бензоксатиан-7- карбоксамида; из 1,1-диоксида сложного метилового эфира 3,1- бензоксатиан-7-карбоновой кислоты 1,1-диоксид N-диаминометилен-3,1-бензоксатиан-7-карбоксамида; из 1,1-диоксида сложного метилового эфира 2,6- диметил-3,1-бензоксатиан-7-карбоновой кислоты 1,1-диоксид N-диаминометилен-2,6-диметил-3,1-бензоксатиан- 7-карбоксамида; из 1,1-диоксида сложного метилового эфира 2-метил-6-этил-3,1- бензоксатиан-7-карбоновой кислоты 1,1-диоксид N-диаминометилен-2-метил-6-этил-3,1-бензоксатиан- 7-карбоксамида; из 1,1-диоксида сложного метилового эфира 2-метил- 3,1-бензоксатиан-7-карбоновой кислоты 1,1-диоксид N-диаминометилен-3,1-бензоксатиан-2-метил-7- карбоксамида; из 1,1-диоксида сложного метилового эфира 4,6- диметил-3,1-бензоксатиан-7-карбоновой кислоты 1,1-диоксид N-диаминометилен-4,6-диметил-3,1- бензоксатиан-7-карбоксамида; из 1,1-диоксида сложного метилового эфира 4-метил-6-этил-3,1-бензоксатиан-7-карбоновой кислоты 1,1-диоксид N-диаминометилен-4-метил-6-этил-3,1- бензоксатиан-7-карбоксамида; из 1,1-диоксида сложного метилового эфира 4-метил-3,1-бензоксатиан-7-карбоновой кислоты 1,1-диоксид N-диаминометилен-3,1-бензоксатиан-4-метил-7-карбоксамида; из 1,1-диоксида сложного метилового эфира 2,2,6- триметил-3,1-бензоксатиан-7-карбоновой кислоты 1,1-диоксид N-диаминометилен-2,2,6-триметил-3,1-бензоксатиан-7- карбоксамида; из 1,1-диоксида сложного метилового эфира 2,2-диметил-6-этил-3,1- бензоксатиан-7-карбоновой кислоты 1,1-диоксид N-диаминометилен-2,2-диметил-6-этил-3, 1-бензоксатиан-6-карбоксамида; из 1,1-диоксида сложного метилового эфира 2,2-диметил-3,1-бензоксатиан-7-карбоновой кислоты 1,1-диоксид N-диаминометилен-2, 2-диметил-3, 1-бензоксатиан-7-карбоксамида; из 1,1-диоксида сложного метилового эфира 4,4,6-триметил-3,1-бензоксатиан-7-карбоновой кислоты 1,1-диоксид N-диаминометилен-4,4,6-триметил-3,1-бензоксатиан-7- карбоксамида; из 1,1-диоксида сложного метилового эфира 4,4-диметил-6-этил-3,1-бензоксатиан-7-карбоновой кислоты 1,1-диоксид N-диаминометилен-4,4-диметил-6-этил-3,1-бензоксатиан-6- карбоксамида; из 1,1-диоксида сложного метилового эфира 4,4-диметил-3,1- бензоксатиан-6-карбоновой кислоты 1,1-диоксид N-диаминометилен-4,4-диметил-3,1-бензоксатиан-6- карбоксамида; из 1,1-диоксида сложного метилового эфира 4-оксо-6-метил-3,1-бензоксатиан-7-карбоновой кислоты 1,1-диоксид N-диаминометилен-4-оксо-6-метил- 3,1-бензоксатиан-7-карбоксамида; из 1,1-диоксида сложного метилового эфира 4-оксо-6-этил-3,1-бензоксатиан-7-карбоновой кислоты 1,1-диоксид N-диаминометилен-4-оксо-6-этил-3,1- бензоксатиан-7-карбоксамида; из 1,1-диоксида сложного метилового эфира 4-оксо-3,1-бензоксатиан-6-карбоновой кислоты 1,1-диоксид N-диаминометилен-4-оксо-3,1-бензоксатиан-6-карбоксамида. Пример 10: Аналогично примеру 1 получают: из 1,1-диоксида сложного метилового эфира 6-метил-1,4-бензодитиан-7-карбоновой кислоты 1,1-диоксид N-диаминометилен-6-метил-1,4-бензодитиан-7- карбоксамида; из 1,1-диоксида сложного метилового эфира 6-этил- 1,4-бензодитиан-7-карбоновой кислоты 1,1-диоксид N-диаминометилен-6-этил-1,4-бензодитиан-7-карбоксамида; из 1,1-диоксида сложного метилового эфира 1,4-бензодитиан-7-карбоновой кислоты 1,1-диоксид N-диаминометилен-1,4-бензодитиан-7- карбоксамида; из 1,1-диоксида сложного метилового эфира 2,6- диметил-1,4-бензодитиан-7-карбоновой кислоты 1,1-диоксид N-диаминометилен-2,6-диметил-1,4-бензодитиан- 7-карбоксамида; из 1,1-диоксида сложного метилового эфира 2-метил-6- этил-1,4-бензодитиан-7-карбоновой кислоты 1,1-диоксид N-диаминометилен-2-метил-6-этил-1,4- бензодитиан-7-карбоксамида; из 1,1-диоксида сложного метилового эфира 2-метил-1,4-бензодитиан- 7-карбоновой кислоты 1,1-диоксид N-диаминометилен-2-метил-1,4-бензодитиан-7- карбоксамида; из 1,1-диоксида сложного метилового эфира 3,6- диметил-1,4-бензодитиан-7-карбоновой кислоты 1,1-диоксид N-диаминометилен-3,6-диметил-1,4-бензодитиан- 7-карбоксамида; из 1,1-диоксида сложного метилового эфира 3-метил-6- этил-1,4-бензодитиан-7-карбоновой кислоты 1,1-диоксид N-диаминометилен-3- метил-6-этил-1,4- бензодитиан-7-карбоксамида; из 1,1-диоксида сложного метилового эфира 3-метил-1,4-бензодитиан-7-карбоновой кислоты 1,1-диоксид N-диаминометилен-3-метил-1,4-бензодитиан-7-карбоксамида; из 1,1-диоксида сложного метилового эфира 2,2,6- триметил-1,4-бензодитиан-7-карбоновой кислоты 1,1-диоксид N-диаминометилен-2,2,6-триметил-1,4- бензодитиан-7-карбоксамида; из 1,1-диоксида сложного метилового эфира 2,2- диметил-6-этил-1,4-бензодитиан-7-карбоновой кислоты 1,1-диоксид N-диаминометилен-2,2-диметил-6-этил-1,4- бензодитиан-6-карбоксамида; из 1,1-диоксида сложного метилового эфира 2,2-диметил-1,4- бензодитиан-7-карбоновой кислоты 1,1- диоксид N-диаминометилен-2,2-диметил-1,4-бензодитиан-7- карбоксамида; из 1,1-диоксида сложного метилового эфира 3,3,6-триметил-1,4- бензодитиан-7-карбоновой кислоты 1,1-диоксид N-диаминометилен-3,3,6-триметил-1,4- бензодитиан-7-карбоксамида; из 1,1-диоксида сложного метилового эфира 3,3-диметил-6-этил-1,4-бензодитиан-7-карбоновой кислоты 1,1-диоксид N-диаминометилен-3,3-диметил-6-этил-1,4- бензодитиан-6-карбоксамида; из 1,1-диоксида сложного метилового эфира 3,3-диметил-1,4-бензодитиан- 7-карбоновой кислоты 1,1-диоксид N-диаминометилен-3,3-диметил-1,4-бензодитиан-7-карбоксамида; из 1,1-диоксида сложного метилового эфира 2-оксо-6-метил-1,4-бензодитиан-7-карбоновой кислоты 1,1-диоксид N-диаминометилен-2-оксо-6-метил-1,4-бензодитиан-7- карбоксамида; из 1,1-диоксида сложного метилового эфира 2-оксо-6- этил-1,4-бензодитиан-7-карбоновой кислоты 1,1-диоксид N-диаминометилен-2-оксо-6-этил-1,4-бензодитиан- 7-карбоксамида; из 1,1-диоксида сложного метилового эфира 2-оксо-1,4- бензодитиан-7-карбоновой кислоты 1,1-диоксид N-диаминометилен-2-оксо-1,4-бензодитиан-7-карбоксамида; из 1,1-диоксида сложного метилового эфира 3-оксо-6-метил-1,4-бензодитиан-7-карбоновой кислоты 1,1-диоксид N-диаминометилен-3-оксо-6-метил-1,4- бензодитиан-7-карбоксамида; из 1,1-диоксида сложного метилового эфира 3-оксо-6-этил-1,4-бензодитиан-7-карбоновой кислоты 1,1-диоксид N-диаминометилен-3-оксо-6-этил-1,4-бензодитиан-7- карбоксамида; из 1,1-диоксида сложного метилового эфира 3-оксо- 1,4-бензодитиан-7-карбоновой кислоты 1,1-диоксид N-диаминометилен-3-оксо-1,4-бензодитиан-7-карбоксамида. Пример 11: Аналогично примеру 1 получают: из 1,1-диоксида сложного метилового эфира 6-метил-3,4-дигидро-2Н-1,4-бензотиазин-7-карбоновой кислоты 1,1-диоксид 7-N-диаминометилен-карбамоил-6- метил-3,4-дигидро-2Н-1,4-бензотиазина; из 1,1-диоксида сложного метилового эфира 6-этил-3,4-дигидро-2Н-1,4-бензотиазин-7-карбоновой кислоты 1,1-диоксид 7-N-диаминометилен-карбамоил-6- этил-3,4-дигидро-2Н-1,4-бензотиазина; из 1,1-диоксида сложного метилового эфира 3,4-дигидро-2Н-1,4-бензотиазин-7-карбоновой кислоты 1,1-диоксид 7-N-диаминометиленкарбамоил-3,4-дигидро-2Н-1,4-бензотиазина; из 1,1-диоксида сложного метилового эфира 4,6- диметил-3,4-дигидро-2Н-1,4-бензотиазин-7-карбоновой кислоты 1,1-диоксид 7-N-диаминометилен-карбамоил-4,6-диметил-3,4-дигидро-2Н-1,4-бензотиазина; из 1,1-диоксида сложного метилового эфира 4-метил-6-этил-3,4-дигидро-2Н-1,4-бензотиазин-7-карбоновой кислоты 1,1-диоксид 7-N-диаминометилен-карбамоил-4-метил-6-этил-3,4- дигидро-2Н-1,4-бензотиазина; из 1,1-диоксида сложного метилового эфира 4-метил-3,4-дигидро-2Н-1,4-бензотиазин-7-карбоновой кислоты 1,1-диоксид 7-N-диаминометилен-карбамоил-4-метил-3,4-дигидро-2Н-1,4-бензотиазина; из 1,1-диоксида сложного метилового эфира 3,6-диметил-3,4-дигидро- 2Н-1,4-бензотиазин-7-карбоновой кислоты 1,1-диоксид 7-N-диаминометилен-карбамоил-3,6-диметил-3,4- дигидро-2Н-1,4-бензотиазина; из 1,1-диоксида сложного метилового эфира 3-метил-6-этил-3,4-дигидро-2Н-1,4-бензотиазин-7-карбоновой кислоты 1,1-диоксид 7-N-диаминометилен-карбамоил-3-метил-6-этил-3,4- дигидро-2Н-1,4-бензотиазина; из 1,1-диоксида сложного метилового эфира 3-метил-3,4-дигидро-2Н-1,4-бензотиазин-7-карбоновой кислоты 1,1-диоксид 7-N-диаминометилен-карбамоил-3-метил-3,4-дигидро- 2Н-1,4-бензотиазина; из 1,1-диоксида сложного метилового эфира 3,4,6- триметил-3,4-дигидpo-2H-1,4-бензотиазин-7-карбоновой кислоты 1,1-диоксид 7-N-диаминометилен-карбамоил-3,4,6-триметил- 3,4-дигидро-2Н-1,4-бензотиазина; из 1,1-диоксида сложного метилового эфира 3,4- диметил-6-этил-3,4-дигидро-2Н-1,4-бензотиазин-7-карбоновой кислоты 1,1-диоксид 7-N-диаминометилен-карбамоил-3,4-диметил-6- этил-3,4-дигидро-2Н-1,4-бензотиазина; из 1,1-диоксида сложного метилового эфира 3,4- диметил-3,4-дигидро- 2Н-1,4-бензотиазин-7-карбоновой кислоты 1,1-диоксид 7-N-диаминометилен-карбамоил-3,4-диметил-3,4- дигидро-2Н-1,4-бензотиазина; из 1,1-диоксида сложного метилового эфира 3,3,6-триметил-3,4- дигидро-2Н-1,4-бензотиазин-7-карбоновой кислоты 1,1-диоксид 7-N-диаминометилен-карбамоил-3,3,6-триметил- 3,4-дигидро-2Н-1,4-бензотиазина; из 1,1-диоксида сложного метилового эфира 3,3-диметил-6-этил-3,4- дигидро-2Н-1,4-бензотиазин-7-карбоновой кислоты 1,1-диоксид 7-N-диаминометилен-карбамоил-3,3-диметил-6-этил-3,4- дигидро-2Н-1,4-бензотиазина; из 1,1-диоксида сложного метилового эфира 3,3- диметил-3,4-дигидро-2Н-1,4-бензотиазин-7-карбоновой кислоты 1,1-диоксид 7-N-диаминометилен-карбамоил-3,3-диметил-3,4-дигидро- 2Н-1,4-бензотиазина; из 1,1-диоксида сложного метилового эфира 3,3,4,6- тетраметил-3,4-дигидро-2Н-1,4-бензотиазин-7-карбоновой кислоты 1,1-диоксид 7-N-диаминометилен-карбамоил-3,3,4, 6-тетраметил-3,4-дигидро-2Н-1,4-бензотиазина; из 1,1-диоксида сложного метилового эфира 3,3,4-триметил-6-этил-3,4-дигидро-2Н-1,4-бензотиазин-7-карбоновой кислоты 1,1-диоксид 7-N-диаминометилен-карбамоил-3,3,4-триметил-6-этил- 3,4-дигидро-2Н-1,4-бензотиазина; из 1,1-диоксида сложного метилового эфира 3,3,4-триметил-3,4-дигидро-2Н-1,4-бензотиазин-7-карбоновой кислоты 1,1-диоксид 7-N-диаминометилен-карбамоил-3,3,4-триметил-3,4- дигидро-2Н-1,4-бензотиазина. Пример 12: Аналогично примеру 1 получают: из 1,1-диоксида сложного метилового эфира 6-метил-3,4-дигидро-2Н-1,3-бензотиазин-7-карбоновой кислоты 1,1-диоксид 7-N-диаминометилен-карбамоил-6-метил-3,4-дигидро- 2Н-1,3-бензотиазина; из 1,1-диоксида сложного метилового эфира 6-этил-3,4-дигидро- 2Н-1,3-бензотиазин-7-карбоновой кислоты 1,1-диоксид 7-N-диаминометилен-карбамоил-6- этил-3,4-дигидро-2Н-1,3-бензотиазина; из 1,1-диоксида сложного метилового эфира 3,4-дигидро-2Н-1,3-бензотиазин-7-карбоновой кислоты 1,1-диоксид 7-N-диаминометилен-карбамоил-3,4-дигидро-2Н-1,3-бензотиазина из 1,1-диоксида сложного метилового эфира 3,6-диметил-3,4-дигидро- 2H-1,3-бензотиазин-7-карбоновой кислоты 1,1-диоксид 7-N-диаминометилен-карбамоил-3,6-диметил-3,4- дигидро-2H-1,3-бензотиазина; из 1,1-диоксида сложного метилового эфира 3-метил-6- этил-3,4-дигидро-2H-1,3-бензотиазин-7-карбоновой кислоты 1,1-диоксид 7-N-диаминометилен-карбамоил-3-метил-6-этил- 3,4-дигидро-2H-1,3-бензотиазина; из 1,1-диоксида сложного метилового эфира 3-метил-3,4-дигидро- 2H-1,3-бензотиазин-7-карбоновой кислоты 1,1-диоксид 7-N-диаминометилен-карбамоил-3-метил-3,4-дигидро- 2H-1,3-бензотиазина; из 1,1-диоксида сложного метилового эфира 4-оксо-6- метил-3,4-дигидро-2H-1,3-бензотиазин-7-карбоновой кислоты 1,1-диоксид 7-N-диаминометилен-карбамоил-4-оксо-6-метил- 3,4-дигидро-2Н-1,3-бензотиазина; из 1,1-диоксида сложного метилового эфира 4-оксо-6- этил-3,4-дигидро-2H-1,3-бензотиазин-7-карбоновой кислоты 1,1-диоксид 7-N-диаминометилен-карбамоил-4-оксо-6-этил- 3,4-дигидро-2H-1,3-бензотиазина; из 1,1-диоксида сложного метилового эфира 4-оксо-3,4-дигидро- 2H-1,3-бензотиазин-7-карбоновой кислоты 1,1-диоксид 7-N-диаминометилен-карбамоил-4-оксо-3,4- дигидро-2H-1,3-бензотиазина. Нижеследующие примеры относятся к фармацевтическим лекарственным формам. Пример A: ампулы для инъекций Раствор 100 т активного вещества формулы I и 5 г динатрийгидрофосфата в 3 л двукратно дистиллированной воды при помощи 2 н. соляной кислоты доводят до pH 6,5, стерильно фильтруют, заливают в ампулы для инъекций, подвергают лиофилизации в стерильных условиях и закрывают в стерильных условиях. Каждая ампула для инъекций содержит 5 мг активного вещества. Пример B: свечи Расплавляют смесь 20 г активного вещества формулы I и 100 г соевого лецитина и 1400 г масла какао, наливают в формы и оставляют для охлаждения. Каждая свеча содержит 20 мг активного вещества. Пример C: раствор Приготовляют раствор из 1 г активного вещества формулы I, 9,38 г NaH2PO4 2H2O, 28,48 г Na2HPO4 12H2O и 0,1 г хлористого бензалкония в 940 мл двукратно дистиллированной воды. Устанавливают pH 6,8, доливают до 1 л и стерилизуют облучением. Этот раствор можно применять в форме глазных капель.
Пример D: мазьСмешивают 500 мг активного вещества формулы I с 99,5 г вазелина при асептических условиях. Пример E: таблетки Смесь 1 кг активного вещества формулы I, 4 кг лактозы, 1,2 кг картофельного крахмала, 0,2 кг талька и 0,1 кг стеарата магния формуют в таблетки обычным способом, так, чтобы каждая таблетка содержала 10 мг активного вещества. Пример F: драже Аналогично примеру E формуют таблетки, на которые затем обычным способом наносят покрытие из сахарозы, картофельного крахмала, талька, траганта и красителя. Пример G: капсулы 2 кг активного вещества формулы I вводят обычным способом в капсулы из твердой желатины, так, чтобы каждая капсула содержала 20 мг активного вещества. Пример H: ампулы Раствор 1 кг активного вещества формулы I в 60 литрах двукратно дистиллированной воды фильтруют в стерильных условиях, разливают в ампулы, подвергают лиофилизации в стерильных условиях и закрывают в стерильных условиях. Каждая ампула содержит 10 мг активного вещества. ФАРМАКОЛОГИЧЕСКИЕ ДАННЫЕ Определена ингибирующая активность в отношении Na+/H+-обмена соединений общей формулы ![]() где Me = метил, Et = этил. Ингибирующую активность в отношении Na+-поглощения в эритроцитах кролика определяли в соответствии с методом, описанным Duesing и сотр., Med.Clin., 87, 378-384 (1992). Ингибирующая активность представлена величиной IC50, соответствующей 50%-ному ингибированию Na+/H+ – обмена (Na+-поглощения) в эритроцитах кролика. Как видно из полученных данных, приведенных в таблице 1, предлагаемые согласно изобретению соединения формулы (I) обладают достаточной ингибирующей активностью в отношении Na+/H+-обмена и тем самым пригодны для лечения сердечных заболеваний, поскольку приводят к хорошему кардиозащитному эффекту. Эти соединения пригодны для лечения аритмии, стенокардии, инфарктов и патологических гипоксических или ишемических нарушений. Формула изобретения
![]() где R1 и R2 обозначают независимо друг от друга H или A; X обозначает CR4R5, C=Z или O; Y обозначает CR6R7; Z обозначает O или CH2, R4, R5, R6 или R7 обозначают независимо друг от друга H, A, OH или OA, или R5 и R6, или R7 и R8 обозначают вместе связь, причем в каждой молекуле может появляться максимально только одна подобная связь, или R4 и R5 обозначают вместе O-(CH2)2-O или O-(CH2)3-O, или R8 и R9 обозначают независимо друг от друга H или A; A обозначает алкил с 1 – 6 C-атомами; n обозначает 0 или 1, и их физиологически приемлемые соли. 2. Соединение по п.1, представляющие собой: (a) 1,1-диоксид N-диаминометилен-2,3-дигидро-3-гидрокси-1-бензотиофен-6-карбоксамида; (b) 1,1-диоксид N-диаминометилен-2,3-дигидро-3-гидрокси-5-метил-1-бензотиофен-6-карбоксамида; (c) 1,1-диоксид N-диаминометилен-2,3-дигидро-3-гидрокси-3,5-диметил-1-бензотиофен-6-карбоксамида; (d) 1,1-диоксид N-диаминометилен-2,3-дигидро-3-гидрокси-3-метокси-3,5-диметил-1-бензотиофен-6-карбоксамида; (e) 1,1-диоксид N-диаминометилен-2,3-дигидро-3,5-диметил-1-бензотиофен-6-карбоксамида; (f) 1,1-диоксид N-диаминометилен-2,3-дигидро-3-гидрокси-3,5-диметил-1-бензотиофен-6-карбоксамида. 3. Способ получения циклических сульфонов формулы I по п.1 и их солей, отличающийся тем, что соединение формулы II ![]() где R1, R2, R8, R9, X, Y и n имеют значения, указанные в п.1; Q обозначает Cl, Br, OA, где A имеет значение, указанное в п.1, подвергают взаимодействию с гуанидином, с последующим выделением основания формулы I или переводят его в соль действием кислоты. 4. Способ получения фармацевтических композиций, отличающийся тем, что соединение формулы I по п.1 и/или одну из его физиологически приемлемых солей переводят в подходящую дозировочную форму вместе, по меньшей мере, с одним твердым, жидким или полужидким носителем или вспомогательным веществом. 5. Фармацевтическая композиция, обладающая ингибирующей активностью в отношении Na+/H+ обмена, отличающаяся тем, что она содержит, по меньшей мере, одно соединение общей формулы I по п.1 и/или одну из его физиологически приемлемых солей. РИСУНКИ
MM4A Досрочное прекращение действия патента Российской Федерации на изобретение из-за неуплаты в установленный срок пошлины за поддержание патента в силе
Дата прекращения действия патента: 17.12.2002
Извещение опубликовано: 20.11.2004 БИ: 32/2004
|
||||||||||||||||||||||||||










-камфарасульфокислота. Выгодно также разделять энантиомеры при помощи колонки, наполненной оптически активным разделительным средством (например, динитробензоилфенилглицином).
Разумеется, оптически активные соединения формулы I можно получать также вышеописанными методами, причем применяют исходные вещества, например, формулы II), которые уже оптически активны.
Соединения формулы I и их физиологически приемлемые соли можно применять для изготовления фармацевтических лекарственных форм, особенно нехимическим способом. При этом их приводят в подходящую дозировочную форму вместе, по меньшей мере, с одним твердым, жидким и/или полужидким носителем или вспомогательным веществом и, в случае необходимости, в комбинации с одним или с несколькими другими активными веществами.
Предметом изобретения являются затем средства, особенно фармацевтические лекарственные формы, содержащие эффективное количество, по меньшей мере, одного соединения формулы I и/или одной из его физиологически приемлемых солей.
Эти готовые формы можно применять как лекарственные средства в медицине или в ветеринарии. В качестве носителей используют органические или неорганические вещества, которые пригодны для кишечного (например, орального), парентерального или локального применения, и которые не вступают в реакцию с новыми соединениями, например, вода, растительные масла, бензиловый спирт, полиэтиленгликоли, глицеринтриацетат, желатина, углеводы, как лактоза или крахмал, стеарат магния, тальк, ланолин, вазелин. Для орального применения особенно пригодны таблетки, драже, капсулы, сиропы, соки или капли; для ректального применения служат свечи; для парентерального применения служат растворы, предпочтительно маслянистые или водные растворы, затем суспензии, эмульсии или имплантаты; для локального применения служат мази, кремы, пасты, лосьоны, гели, спреи, пенистые вещества, аэрозоли, растворы (например, растворы в спиртах, как этанол или изопропанол, ацетонитрил, DMF, диметилацетамид, 1,2-пропандиол или их смеси между собой и/или с водой) или пудра. Новые соединения можно подвергать также лиофилизации и полученные лиафилизаты применять, например, для получения препаратов для инъекций.
В частности, для локального применения используют также липосомальные лекарственные формы. Указанные лекарственные формы можно стерилизовать, и они могут содержать и/или вспомогательные вещества, как вещества, придающие скользкость, консерванты, стабилизаторы и/или смачиватели, эмульгаторы, соли для влияния на осмотическое давление, буферные вещества, красители, вкусовые добавки и/или ароматические вещества. Они могут, если желательно, содержать также одно или несколько других активных веществ, например, один или несколько витаминов.
Соединения формулы I и их физиологически приемлемые соли можно назначать людям или животным, особенно млекопитающим, как обезьяны, собаки, кошки, крысы или мыши и при терапевтическом лечении человека или животного, при лечении заболеваний, особенно при лечении и/или при профилактике нарушений сердечно-сосудистой системы. Поэтому они применяются для лечения аритмий, особенно когда последние вызваны гипоксией, стенокардии, инфарктов, ишемий нервной системы, как, например, инсульт или отек головного мозга, шоковых состояний и для предупредительного лечения.
Далее, вещества, можно применять как терапевтические средства при заболеваниях, при которых играют роль пролиферации клеток, как артериосклероз, диабетические поздние осложнения, опухолевые заболевания, фиброзы, а также гипертрофии и гиперплазии органов, в частности, при заболеваниях предстательной железы.
При этом вещества по изобретению, как правило, назначают по аналогии с известными противоаритмическими средствами, например, априндин, предпочтительно при дозировках приблизительно между 0,01 и 5 мг, особенно между 0,02 и 0,5 мг на единицу дозировки. Суточная дозировка составляет предпочтительно между около 0,0001 и 0,1, особенно между 0,0003 и 0,01 мг/кг веса тела. Однако индивидуальная доза для каждого определенного пациента зависит от самых различных факторов, например, от эффективности введенного соединения, от возраста, от веса тела, от общего состояния здоровья, от пола, от пищи, от времени и способа назначения лекарства, от скорости выделения, от комбинации лекарственных веществ и от тяжести соответствующего заболевания, на которое действует лечение. Предпочитают оральное применение.
В нижеследующих примерах “обычная переработка” обозначает:
2H2O, 28,48 г Na2HPO4 

