Патент на изобретение №2161603
|
||||||||||||||||||||||||||
(54) БИС-N,N-ДИМЕТИЛАМИНОМЕТИЛИРОВАННЫЕ АРОМАТИЧЕСКИЕ ОСНОВАНИЯ ШИФФА И СПОСОБ ИХ ПОЛУЧЕНИЯ
(57) Реферат: Описываются новые соединения-бис-N, N-диметиламинометилированные ароматические основания Шиффа общей формулы I, где R1 означает C2-C6AIK, C6H4, Ph-Ph, Ph-CH2-Ph, R2-H, OH, R3-H, NO2, CH3, OCH3, -CH2N(CH3)2, OH, R4H, OH, CH3, OCH3, CH2N(CH3)2, R5H, OH, CH3, OCH3, CH2N(CH3)2, OH, при условии, что хотя бы один из радикалов R3, R4 и R5 означает CH2N(CH3)2, в качестве ускорителей отверждения эпоксидных смол. Описывается также способ их получения. Технический результат – расширение ассортимента класса ускорителей отверждения эпоксидных смол. 2 с.п. ф-лы, 5 табл. ![]()
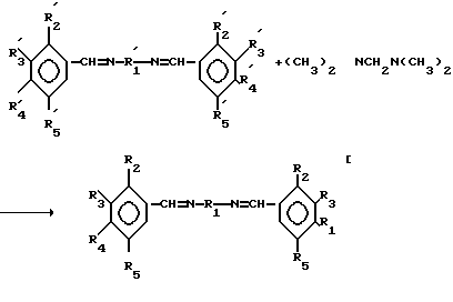
Изобретение относится к органической химия, в частности к способу получения бис-N, N’-ди-метиламинометилированных ароматических оснований Шиффа формулы: ![]() где R1 означает C2-C6Alk, -C6-H4-, Ph-Ph-, Ph-CH2-Ph; R2 = H, OH; R3 = H, NO2; CH ; OCH3; -CH2N(CH3)2; OH; R4 = H, OH; CH3; OCH3; -CH2N(CH3)2; R5 = H; OH; CH3; OCH3; -CH2N(CH3)2, при условии, что хотя бы один из радикалов R3, R4 или R5 означает CH2N(CH3)2, которые могут быть использованы в качестве ускорителей отверждения эпоксидных смол, компонентов для получения металлокомплексных соединений и катализаторов получения пенополиуретанов, основы для получения присадок к маслам. Из всего множества описанных в литературе примеров проведения реакции Манниха [A. Bucherle, F. Hannovice, F.Dicluzear. Chem.Ther., N 2, 1907, s. 410; J.BIass, Bull. Chim. France, 3120, 1966; A.c. СССР 1038339, МПК C 07 C 87/50, 1980] отсутствуют таковые для бис-ароматических оснований Шиффа формулы: ![]() где R1 = C2 – C6Alk); C6H4; -Ph-Ph-, -Ph-CH2-Ph- R2 = OH; H R3 = H; CH3; OCH3; NO2; R4 = OH; H; NO2; CH3; OCH3; R5 = H; OH; NO2; OCH3; CH3 В настоящее время в качестве ускорителей отверждения эпоксидных смол используют третичные амины [А.Ф.Николаев. Химическая технология, свойства и применение пластических масс. Л., ЛГИ, 1977, с. 5]. Эффективными ускорителями процесса отверждения эпоксидных смол ангидридами карбоновых кислот являются 2,4,6-трис-(диметиламинометил)- фенол [М.А.Мельников, Р.И.Мустафаев, А. В. Рагимов. Журнал прикладной химии. Л., 1990, N 6084-B-90] и 2,4,6-трис(диметиламинометил)- резорцин [В.Г.Кошкин и др. Монолитные, эпоксидные, полиуретановые и полиэфирные покрытия полов. М., Стройиздат, 1975, с. 10]. Основания Шиффа, как представители третичных аминов, также используются для ускорения отверждения эпоксидных смол [Заявка РФ N 98105160 от 31.03.98]. Технической задачей изобретения является получение новых полифункциональных соединений класса бис-N,N’-ди-метиламинометилированных ароматических соединений Манника вышеуказанной формулы, расширение ассортимента класса ускорителей отверждения эпоксидных смол и отвердителей. Техническая задача достигается тем, что исходные бис-ароматические основания Шиффа (бис-АОШ) общей формулы: ![]() где R’1 = C2-C6 (Alk); -C6H4-; -Ph-Ph-; -Ph-CH2-Ph- R’2 = H, OH R’3 = H, NO2; CH3; OCH3; R’4 = H, OH; CH3; OCH3; R’5 = H; OH ; CH3; OCH3, при условии, что хотя бы один из радикалов R’3, R’4 или R’5 означает водород, подвергают взаимодействию с N,N-тетраметилбис-амином (бисамином) в среде C1-C4 алифатических спиртов при мольном соотношении (бис-АОШ) бисамин:спирт, равном 1,0 : 4,1 – 4,5 : 2,5 – 10,0 при температуре 80-120oC и давлении 1 – 6 атм. Процесс описывается следующими уравнениями: ![]() Нами обнаружено, что использование доступного, дешевого бисамина, заявленные соотношения исходных реагентов и условия проведения синтезов позволяют получить аминометилированные бис-ароматические основания Шиффа практически с количественным выходом и высокого качества. Данный способ получения безотходен, т. к. растворитель можно вернуть в рецикл, а выделяющийся в ходе синтеза диметиламин можно использовать повторно, вернув его на стадию синтеза бисамина. Каких-либо других побочных продуктов в ходе синтеза не образуется. Исходные реагенты должны соответствовать следующим требованиям: 1. CH3OH – ГОСТ 6995-77. 2. C2H5OH – ТУ 6-09-1710-77. 3. C3H7OH – ТУ 6-09-4344-77. 4. i-C3H7OH – ТУ 6-09-402-75. 5. Бутанол-1 – ГОСТ 6006-78. 6. Бутапол-2 – ТУ 6-09-08-1970-88. 7. Пентанол-1 – ТУ 6-09-3467-78. 8. Пентанол-2 – ТУ 6-09-3336-79. 9. N, N’-Тетраметилметиленбисамин – A.Bucherle, F.Hannovice, F. Dicluzear. Chem. Ther., N 2, 1907, s. 410. 10. 5-Метилсалициловый альдегид – J.BIass, Bull. Chim. France, 3120, 196. 11. Бис-салицилал-этилендиамин – Бусев А.И. Синтез новых органических реагентов для неорганического синтез. Изд. Московского университета, 1972, с. 82-94. 12. Бис-салицилал-орто-фенилендиамин – Там же. 13. Бис-салицилал-пара-фенилендиамин – Там же. 14. Бис-салицилал-пара-дифенилендиамин – Там же. 15. Бис-салицилал-пропилендиамин – Там же. 16. Бис-салицилал-бутилендиамин – Там же. 17. Бис-салицилал-гексаметилендиамин – Там же. 18. Гексаметилендиамин-1,6 – ТУ 6-09-36-73. 19. Триметилендиамин-1,3 – ТУ 6-09-06-1082-82. 20. 1,4-Диаминобутан – ТУ 6-09-06-1135-84. 21. 2-Окси-3-метилбензальдегид – Casnati G.et al. Tetzahedron Letter, 1965, 243. 22. Пара-окси-бензальдегид – А.с. СССР 325829, C 07 C 205,1970. 23. Мета-окси-бензальдегид – Там же. 24. 3-Нитро-салицилового альдегида – Патент РФ 2015137, C 07 C 205, 1990. 25. 5-Нитро-салицилового альдегида – Методы получения химически: реактивов и препаратов. М., Химии, 1966, вып. 15, с. 111. 26. 3-Нитро-4-оксибензальдегид – J.Indian Chem. Soc, 9, 173, (1932). 27. 2-Окси-3-метоксибензальдегид (орто-ванилин) – Kirk, v. 14, N.Y, 1955, p. 603-611. 28. 4-Окси-3-метоксибензальдегид – Там же. 29. Пара-дифенилфенилендиамин – Физер Л., Физер М. Реагенты для органического синтеза. М., Мир, 1970-1975. 30. Орто-фенилендиамин – Там же. 31. Мета-фенилендиамин – Губен И. Методы органической химии. М-Л., Госхимиздат, 1949. 32. Пара-фенилендиамин – Губен И. Методы органической химии. М-Л., Госхимиздат, 1949. 33. 4,4′-Диамино-дифенилметан – Там же. 34. Этилендиамин – Практикум по органическому синтезу. М., Просвещение, 1974. Синтез аминометилированных бис-ароматических оснований Шиффа осуществляют двумя способами. Способ А Способ осуществляют следующим образом. В трехгорлую круглодонную колбу, снабженную механической мешалкой с гидрозатвором, газоотводной трубкой с хлоркальциевым фильтром и обратным холодильником с охлаждающей ловушкой, термометром, загружают растворитель, бис-ароматического основания Шиффа, бисамин при их мольном соотношении бис-ароматические основания Шиффа : бисамин : спирт, равном 1,0 : 4,1-4,5 : 2,5-10,0. Выдерживают при температуре 80 – 120oC в течение 12 – 18 часов. Затем из реакционной смеси отгоняют растворитель и остатки бисамина. Получают прозрачную маслообразную жидкость красно-вишневого цвета. Продукт переосаждают из соответствующего растворителя. После чего анализируют и определяют физико-химические константы. Способ Б Способ осуществляют следующим образом. В автоклав загружают растворитель, бис-ароматические основания Шиффа, бисамин при их мольном соотношении бис-ароматические основания Шиффа : бисамин : спирт, равном 1,0 : 4,1-4,5 : 2,5-10,0. Выдерживают при температуре 90 – 130oC в течение 4 – 8 часов. Затем из реакционной смеси отгоняют растворитель и остатки бисамина. Получают прозрачную маслообразную жидкость красно-вишневого цвета. Продукт переосаждают из соответствующего растворителя. После чего анализируют и определяют физико-химические константы. Сущность изобретения иллюстрируется следующими примерами. Пример 1. Способ А В круглодонную колбу емкостью 350 мл, снабженную механической мешалкой, газоотводящей трубкой с хлоркальциевым фильтром и обратным холодильником с охлаждающей ловушкой, загружают 53,66 г (0,2 моль) бис-1,2-(2-оксибензилиденимино)-этана, 130 г пропанола (2,16 моль) 162,5 мл и 83,7 г бисамина (4,2 моль) 113,1 мл. Реакционную смесь при перемешивании нагревают в течение 12 часов при температуре 100oC. Ход реакции контролируют с помощью индикаторной бумаги, следя за выделением диметиламина, а также по анализу на пластинках с силуфолом (метод тонкослойной хроматографии). Затем отгоняют на роторной установке растворитель и остатки аминометилирующего агента. Выделяют прозрачную маслообразную жидкость красно-вишневого цвета. Переосаждают полученный продукт из соответствующего растворителя. Получают 93,99 г (94,6% от теоретического) продукта, характеризующегося следующими показателями. Содержание титруемого азота, %: найдено – 10,93% вычислено для бис-1,2-(2-окси-3,5-(N,N-диметиламинометил) бензилиденимино)-этана брутто формулы C28H44O2N6 – 11,28 % Элементный анализ: вычислено, %: C = 67,70; H = 9,74; N = 16,92 найдено, %: C = 68,1; H = 9,56; N = 16,08 В ИК-спектре имеются: полоса поглощения 1618 см, характерная для C=H группы; группа полос сильной интенсивности в области 2730-2980 см, характерная для -CH2N(CH3)2 группы. Пример 2. Способ Б В автоклав объемом 500 мл загружают 47,45 г бис-(2-окси- бензилиден)-пара-фениленимина (0,15 моль) 160 г, бутанол-1 197,5 мл (2,15 моль) и 64,32 г (0,63 моль) бисамина 87 мл. Автоклав герметизируют, нагревают реакционную массу при перемешивании до 120oC и выдерживают при этой температуре 4 часа. Затем автоклав охлаждают до 20oC и разгерметизируют. Реакционную смесь переливают в колбу и отгоняют растворитель и остатки бисамина. Выделяют прозрачную маслообразную жидкость красно-вишневого цвета. Получают 74,6 г (91,3% от теоретического) продукта, характеризующегося следующими показателями . Содержание титруемого азота, %: найдено – 9,87% вычислено для бис-пара-фенилен-(2-окси-3,5-(диметиламинометил) -бензилиденимина) брутто формулы C32H44О2N6 – 10,28% Элементный анализ: найдено, %: C = 71,1; H = 8,39; N = 14,98 вычислено, %: C = 70,55; H = 8,14; N = 15,43 В ИК-спектре имеются: полоса поглощения 1618 см, характерная для C=N-группы группа полос сильной интенсивности в области 2730-2880 см, характерная для -CH2N(CH3)2-группы. Пример 3. Способ Б 31,63 г бис-салицилал-орто-фенилиденимин (0,1 моль), 45,98 г (0,45 моль) бисамина 62,1 мл и 60,1г (1 моль) изопропанола 77 мл греют в автоклаве при температуре 100oC в течение 5 часов. Выделение продукта реакции осуществляется аналогично примеру 1. Получают 75,1 г (92,3% от теоретического) продукта, характеризующегося следующими показателями. Содержание титруемого азота, %: найдено – 10,05% вычислено для бис-орто-фенилен-(2-окси-3,5-(N, N-диметиламинометил)метил)-имина брутто формулы C32H44O2N6 – 10,28%. Получение других заявляемых бис-N,N-диметиламинометилированных ароматических оснований Шиффа в условиях примера 1 представлено в таблице 1. Исходные ароматические основания Шиффа брали уже как готовые продукты или же получали по известной методике по Бусеву А.И. (Синтез новых органических реагентов для неорганического синтеза. Московский университет, 1972). (табл. 2). Выделенные продукты анализировали методом высокоэффективной жидкостной хроматографии, расчет данных хроматографии по методу внутреннего стандарта позволяет сделать вывод о содержании состава смеси: Моно-маннихованного продукта – 3-20% Ди-маннихованного продукта – 80-97% Физико-химические константы аминометилированных ароматических бис-азометинов, синтезированные по выше описанным примерам, представлены в таблице 3. Отверждение композиций изучали с помощью дифференциального термического анализа (ДТА) в динамических условиях при скорости подъема температуры 5oC/мин. На термограммах фиксировалась температуру экзотермического пика (tмакс). Термостойкость определялась с помощью термогравиметрического анализа (ДТГ) по температуре начала потери массы для композиций, отвержденных в динамических условиях при скорости нагрева 5oC/мин, и по температуре 5% потери массы для композиций, отвержденных в статических условиях. Температура столкновения (tст) определялась дилотометрическим методом на приборе для ДТА и ДТГ – дериватографе, снабженном устройством для дилатометрических измерений. Теплостойкость определяется на приборе Вика при нагрузке 49 H. Степень сшивки композиционных материалов находится экстрагированием кипящим ацетоном в аппарате Сокследа в течение суток. Пример 82 (прототип) Композиция, содержащая на 100 мас.ч. ЭД-20 70 мас. ч. i-МТГФА и 5 мас. ч. УП-606/2, отверждается в динамическом режиме при скорости нагрева 5oC/мин. Данные теплофизических свойств эпоксидных композиций, полученных методом ДТФ и ДТГ представлены в таблице 4. Пример 83 Композиция, содержащая на 100 мас.ч. ЭД-20 70 мас.ч. изо-метил-тетрагидрофталевого ангидрида (i-МТГФА) и 30 мас.ч. аминометилированного бис-ароматического основания Шиффа, отверждается в динамическом режиме при скорости нагрева 5oC/мин. Данные дифференциального термического анализа (ДТА), результаты потенциометрического титрования представлены в таблице 2. Пример 84 Композиция, содержащая на 100 мас.ч. ЭД-20 70 мас.ч. i-МТГФА и 15 мас.ч. УП-606/2, отверждается в динамическом режиме при скорости нагрева 5oC/мин. Данные теплофизических свойств эпоксидных композиций, полученных методом ДТА и ДТГ, представлены в таблице 4. Композиции с аминометилированными бис-ароматическими основаниями Шиффа в качестве ускорителя отверждения смолы ЭД-20 готовились аналогично примеру 84 с уменьшением количества аммиака в 2 раза, т.е. 25 мас.ч. Результаты приведены в таблице 4. На основании представленных данных можно сделать вывод, что получены новые N,N-диметиламинометилированные бис-ароматические основания Шиффа, которые могут найти применение в качестве ускорителей отверждения эпоксидных смол. Об их эффективности в качестве ускорителей реакции отверждения эпоксидных смол можно судить из данных, представленных в таблицах 4 и 5. Формула изобретения
![]() где R1 означает C2-C6Alk; -C6H4-, -Ph-Ph-, -Ph-CH2-Ph-; R2-H, OH; R3 – H, OH, NO2, CH3, OCH3, -CH2N(CH3)2; R4 -H, OH, CH3, OCH3, -CH2N(CH3)2; R5 – H, OH, CH3, OCH3, -CH2N(CH3)2, при условии, что хотя бы один из радикалов R3, R4 или R5 обозначает CH2N(CH3)2, в качестве ускорителей отверждения эпоксидных смол. 2. Способ получения бис-N, N-диметиламинометилированных ароматических оснований Шиффа общей формулы ![]() где R1 – R5 – как указано в п.1, отличающийся тем, что исходное бис-ароматическое основание Шиффа (бис-АОШ) общей формулы ![]() где R’1 – C2-C6 (Alk), C6H4, Ph-Ph, Ph-CH2-Ph; R’2 – H, OH, R3 – H, NO2, CH3, OCH3; R4 – H, OH, CH3, OCH3, R5 – H, OH, CH3, OCH3 при условии, что хотя бы один из R3, R4 или R5 обозначает водород, подвергают взаимодействию с N,N-тетраметилметиленбисамином (Бисамин) в среде C1-C4 алифатического спирта при мольном соотношении (бис-АОШ): бисамин : спирт, равном 1,0 : 4,1 – 4,5 : 2,5 – 10,0, при температуре 80 – 120oC и давлении 1 – 6 атм. РИСУНКИ
PC4A – Регистрация договора об уступке патента Российской Федерации на изобретение
Прежний патентообладатель:
(73) Патентообладатель:
Дата и номер государственной регистрации перехода исключительного права: 03.10.2006 № РД0012696
Извещение опубликовано: 10.11.2006 БИ: 31/2006
QB4A Регистрация лицензионного договора на использование изобретения
Лицензиар(ы): Закрытое акционерное общество “Управление активами”
Вид лицензии*: ИЛ
Лицензиат(ы): Открытое акционерное общество “Стерлитамакский нефтехимический завод”
Договор № РД0036101 зарегистрирован 16.05.2008
Извещение опубликовано: 27.06.2008 БИ: 18/2008
* ИЛ – исключительная лицензия НИЛ – неисключительная лицензия
QC4A Государственная регистрация расторжения зарегистрированного договора
Дата и номер государственной регистрации расторгаемого договора:
Вид договора: лицензионный
Лицо(а), передающее(ие) исключительное право:
Лицо, приобретающее право использования:
Дата и номер государственной регистрации расторжения договора: 21.12.2010 РД0074435
Дата публикации: 10.02.2011
PC4A Государственная регистрация договора об отчуждении исключительного права
Дата и номер государственной регистрации договора: 17.03.2011 № РД0077972
Лицо(а), передающее(ие) исключительное право:
(73) Патентообладатель(и):
Адрес для переписки:
Дата публикации: 27.04.2011
|
||||||||||||||||||||||||||








