Патент на изобретение №2335731
|
||||||||||||||||||||||||||||||||||||||||||||||||||||||||||||||||||||||||||||||||||||||||||||||||||||||||||||||||||||||||||||||||||||||||||||||||||||||||||||||||||||||||||||||||||||||||||
(54) СПОСОБ ВОЗДЕЙСТВИЯ НА ВЕЩЕСТВА И ОБЪЕКТЫ ПОСЛЕДОВАТЕЛЬНЫМИ УДАРНЫМИ ВОЛНАМИ
(57) Реферат:
Изобретение относится к дистанционному ударно-волновому воздействию на различные вещества и объекты, в частности инженерные боеприпасы, взрывчатые вещества и живую силу противника. Способ заключается в том, что воздействие производят серией ударных волн, оперативно управляя продолжительностью, периодичностью и силой каждой из них. Повышается поражающий эффект и уменьшаются затраты при воздействии на различные вещества и объекты, обеспечивается дистанционное инициирование взрывчатых веществ или поражение живых организмов. 1 табл.
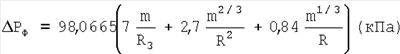
Изобретение относится к военной технике и предназначено для экономии материалов и энергии при дистанционном ударно-волновом воздействии на различные вещества и объекты, в частности инженерные боеприпасы, взрывчатые вещества и живую силу противника. Известны трудности, связанные с необходимостью малыми средствами, с безопасного удаления, надежно выводить из строя людей и технику. В качестве одного из универсальных способов поражения давно и с успехом применяют ударные волны, возникающие после детонации взрывчатых веществ (далее ВВ). Они зажигают и разрушают материальные предметы, инициируют подрыв боеприпасов и мгновенно подавляют нормальную жизнедеятельность биологических объектов. Недостатком обычных способов применения ударных волн является высокая стоимость процедуры. Дозировать масштаб разрушений в реальной боевой обстановке трудно. Избирательно уничтожать только основу вражеской военной машины (людей и боеприпасы) нельзя, а экономить в таком деле опасно. В итоге понесенные расходы и конечный ущерб многократно превосходят полезный эффект. Мощные взрывы крушат все подряд. Гонка обычных вооружений привела к парадоксальному результату. Запредельная огневая мощность современной военной техники все еще недостаточна. Как и сто лет назад, ее мало для 100% уничтожения расположенных в простых окопах, прямо под открытым небом солдат, лежащих на виду боеприпасов, а так же минно-взрывных заграждений, если, конечно, не ставить задачи превратить местность в выжженную пустыню. Теоретически известно, что одинакового результата (детонации заряда ВВ, причинения тяжелой травмы) в отношении основных элементов современных вооруженных сил можно добиться, действуя на цель один раз мощной ударной волной, или повторным действием на нее нескольких гораздо более слабых ударных волн. По материальным и энергетическим затратам последний вариант в сотни раз выгоднее. Люди и взрывоопасные предметы уничтожаются, а материальные ценности сохраняются. Вероятность точного совпадения силы и частоты следования случайного набора ударных волн с резонансными свойствами конкретной цели в реальном бою невелика. Тем не менее, ее учитывают, например, в рекомендуемых нормах предельной плотности минирования, а так же при использовании для скоростного разминирования местности и уничтожения живой силы противника, объемных взрывов топливно-воздушных смесей. В чистом виде упомянутый эффект наблюдается редко и не регулярно. Известно, что точно согласовывая силу и частоту упругих колебаний, с характеристиками озвучиваемого предмета и звуковым импедансом промежуточной среды, можно добиться его механического разрушения или инициирования химических реакций. К такого рода воздействию особенно чувствительны биологические объекты и взрывчатые вещества. Необходимого результата достигают при затратах энергии многократно меньших, чем потребовалось бы в случае одиночного механического удара или простого нагрева. (Фокусирование звуковых и ультразвуковых волн. И.Н.Каневский, Монография. – М., Наука, 1977. – 336 с., ил., стр.324-329). Непосредственно использовать ультразвук в боевых условиях, для дистанционного уничтожения живой силы и инженерных боеприпасов технически невозможно. Требуется механический контакт между излучателем и целью. Реальная среда (воздух, обычная вода, различные грунты), через которую должны распространяться упругие колебания, не обеспечивает дальней передачи мощности, достаточной для эффективного воздействия. Особенно сильно затухание ультразвука во влажной атмосфере. Для решения проблемы нужен способ совмещения большой дальности передачи энергии в реальных средах (характерной для обычных ударных волн), с возможностью управления их силой и частотой следования (характерной для обычных звуковых излучателей). За прототип принят способ применения по указанному назначению серии ударных волн, возникающих при одиночном взрыве в результате автоколебательного процесса. Эффекта дробления на порции энергии взрывных газов и ее вывода в окружающее пространство как последовательности ударно-волновых фронтов достигают подбором оптимального отношения плотности заряда ВВ и плотности вещества окружающей среды. Известен способ получения растянутой во времени пульсации газовой полости продуктов детонации после взрыва объемно детонирующих боеприпасов. Поражающий эффект такого взрыва заметно выше, чем от заряда плотной взрывчатки равной мощности. (Физика взрыва / Под. ред. Л.П.Орленко, в 2 т., Т.1. – М.: ФИЗМАТЛИТ, 2004.- 832 с., ил. стр.526). Известен колебательный процесс (пульсация газовой полости), когда один заряд ВВ создает серию (из 5-10 и более) последовательных ударных волн, наблюдаемый при подводных взрывах. Поражающий эффект таких волн так же существенно выше, чем в случае одиночной ударной волны, несущей одинаковую энергию. (Физика взрыва / Под. ред. Л.П.Орленко, в 2 т., Т.1 – М.: ФИЗМАТЛИТ, 2004. – 832 с., ил. стр.613-614). Используют принцип деления кинетической энергии в момент упругого удара материальных тел. На границе контакта взрывных газов с нейтральной средой, окружающей эпицентр, происходит обмен импульсом движения. После удара большую скорость и большую долю энергии приобретает тело, обладающее меньшей массой. Если плотность вещества в области, занятой продуктами детонации, существенно ниже плотности окружающей среды, то часть энергии взрыва (до 50%) возвращается обратно. Возникает апериодический колебательный процесс. Сферическая ударная волна, расходящаяся из эпицентра взрыва, на границе раздела сред отражается и превращается в сходящуюся. Цикл повторяется. Вся энергия взрыва передается окружающей среде после нескольких последовательных пульсаций, в виде серии слабеющих ударных волн переменной частоты. Признаки прототипа, совпадающие с существенными признаками заявляемого изобретения: воздействие на вещества и объекты осуществляют серией последовательных ударных волн. Сила и частота этих волн меняется. Перечисленные факторы при совпадении с резонансными характеристиками цели усиливают полезный поражающий эффект одиночного взрыва. Причины, препятствующие получению требуемого технического результата по прототипу: генерирующее ударные волны устройство разрушается при взрыве и используется только один раз. Процесс генерации автоколебательный и не поддается оперативному управлению. Сила и частота следования ударных волн сложным образом зависят друг от друга, от параметров взрыва и физических свойств окружающей среды. Течение процесса не предсказуемо, на него влияет много факторов. Генерировать с высокой частотой мощные ударные волны таким образом невозможно. Технический результат применения способа Лучший по сравнению с одиночными ударными волнами, поражающий эффект и меньшие материально-энергетические затраты при воздействии на различные вещества и объекты, дистанционном инициировании детонации взрывчатых веществ или бесконтактном поражении живых организмов. Полное управление существенными параметрами процесса. Способ отличается простотой, предсказуемостью результатов и универсальностью. Он позволяет преобразовать в поражающий фактор не только тепловую энергию пиротехнического происхождения, но так же энергию от электрического или механического источника достаточной мощности. Технический результат достигается следующим образом: всеми существенными параметрами воздействия управляют. Обеспечивают генерацию ударных волн произвольной продолжительности (от коротких серий порядка 3-10 импульсов до непрерывной), произвольной частоты (от инфразвуковой до ультразвуковой) и произвольной силы (в пределах мощности излучателя). Энергия, передаваемая серией ударных волн, в отличие от гармонических колебаний, не ограничивает звуковой импеданс среды распространения. Это позволяет точно согласовать характер воздействия с физическими свойствами конкретной удаленной цели. Существенные признаки заявляемого изобретения В качестве средства воздействия на вещества и объекты применяют ударные волны. Воздействие производят серией последовательных ударных волн. Продолжительностью воздействия, силой каждой ударной волны и периодичностью их следования управляют так, чтобы они соответствовали оптимальным для решаемой задачи значениям. В отличие от прототипа продолжительность серии ударных волн, сила каждой волны и периодичность их следования не являются взаимно зависимыми величинами. Каждый из перечисленных параметров можно задавать и оперативно изменять отдельно от всех остальных. Влияние существенных признаков заявляемого изобретения на получаемый технический эффект Чем больше расстояние между волновым генератором и объектом воздействия, тем сильнее влияет на процесс передачи волновой энергии разделяющая их среда. Звуковой импеданс атмосферного воздуха или грунта существенно ограничивает мощность передаваемых гармонических колебаний, если их частотный диапазон выходит за определенные рамки. На ударные волны данное ограничение не распространяется. Каждая из них движется независимо от всех остальных. Серия ударных волн позволяет, например, осуществить передачу мощных импульсов давления ультразвуковой частоты через воздух, где обычный ультразвук быстро затухает. Каждый материальный объект обладает определенными резонансными свойствами. Достаточно долго действуя на любой предмет ударными волнами правильно выбранной частоты и силы, можно возбудить в нем резонансные колебания, вызвать механические разрушения или спровоцировать химические реакции, например детонацию заряда взрывчатки. Полный расход энергии на получение описанного результата гораздо меньше, чем в случае применения одиночной ударной волны большой мощности. Если физические свойства объекта воздействия заранее не известны точно, то оптимальные частоту и силу ударных волн можно подобрать, плавно изменяя их параметры до получения результата или периодически перестраивая режим генерации по определенной программе. Тот же способ удобен для одновременной и независимой обработки группы объектов с отличающимися друг от друга физическими характеристиками. Способ отличается не характерной для обычных видов вооружения избирательностью. Если параметры серии ударных волн (частота, сила, продолжительность) не соответствуют резонансным характеристикам объекта воздействия, то их разрушительный эффект оказывается слабым или отсутствует. Например, процедура сплошного сканирования дороги перед движущимся транспортным средством сериями ударных волн, настроенных на возбуждение детонации инженерных боеприпасов, не повредит гравийное покрытие и подземные коммуникации. Воронки останутся только от взрывов и только там, где действительно были заложены мины. Если непрерывно генерировать ударные волны постоянной силы и периодичности, то при частоте следования выше 25-30 кГц (ультразвуковой диапазон) можно сделать их полностью безопасными для окружающих. Ослабевая, ударные волны превращаются в звуковые, а ультразвуковые колебания в воздухе быстро гаснут. Таким образом, сплошной поток ударных волн, на дистанции 5-10 м вызывающий детонацию инженерных боеприпасов, на удалении 40-50 м сольется в однотонный свист высокой частоты, а с расстояния 100-150 м не будет заметен вообще. Возбуждение резонансных процессов не требует больших затрат энергии. Слабость серийных ударных волн компенсируется их рациональным использованием. Разрушительное действие таких волн на элементы конструкции генератора можно свести к минимуму. Это позволяет применять для их создания разнообразные устройства как одноразовые (взрывающиеся), так и способные к долгой непрерывной работе. Сравнительно с обычными методами получения ударных волн это расширяет спектр их применения и обеспечивает экономный расход материальных ресурсов. Примеры осуществления изобретения 1. Резонансная противопехотная мина одноразового действия В атмосфере летальное поражение организма человека на 99% гарантировано при действии одиночной ударной волны с давлением на фронте от 150 кПа (1,5 атм) до 700 кПа (7 атм) и длительностью не менее чем 7-10 мс.(Проблемы прочности в биомеханике. И.Ф.Образцов, И.С.Адамович, А.С.Барер и др. – М.; Высшая школа, 1988. – 311 с., ил.; стр.163). Связь тяжести поражения и величины скачка давления на фронте не линейная. При времени действия ударной волны порядка 1 мс для получения 99% летального исхода оно уже должно быть не менее 1,7-25 МПа, что на 1-2 порядка выше указанных величин. (Физика взрыва / Под. ред. Л.П.Орленко, в 2 т., Т.1 – М.: ФИЗМАТЛИТ, 2004. – 832 с., ил. стр.611-612). Зависимость скачка давления на фронте сферической ударной волны в воздухе (при нормальных атмосферных условиях) от дистанции и веса заряда стандартного ВВ (ТНТ) определяется формулой Садовского: Здесь: m – масса заряда тринитротолуола (кг); R – дистанция (м); Примеры расчета
Видно, что ударная волна одиночного взрыва конденсированного ВВ быстро теряет силу и уже на дистанции нескольких метров не способна наверняка причинить человеку смертельное увечье. Зато затраты на ее получение в тысячи раз превышают необходимый для этого минимум, особенно по сравнению с кинетическими поражающими элементами. Убойным по живой силе принято считать осколок (или пулю) с энергией 78,5 Дж по небронированной технике с энергией 980 Дж, по легкобронированной технике с энергией 1960 Дж. (В.Я.Лебедев, Справочник офицера наземной артиллерии. – М.: Воениздат, 1984. – 400 с., ил., стр.257). Подавляющее большинство практически применяемых боеприпасов (мины, снаряды, гранаты) имеют вес заряда взрывчатки от сотен граммов до килограммов. Радиус сплошного поражения ударной волной у них ничтожно мал. Фугасный эффект приходится усиливать метанием осколков. С военной точки зрения, нет принципиальной разницы между тяжелой травмой опорно-двигательного аппарата после взрыва, например, противопехотной мины нажимного действия ПМН (вес 0,55 кг, масса заряда ВВ 0,2 кг) и осколочными ранениями после взрыва, например, прыгающей противопехотной мины ОЗМ-72 (вес 5 кг, масса заряда ВВ 0,66 кг). В первом случае ногу оторвет единственному наступившему на мину солдату, во втором случае могут пострадать несколько человек, угодивших под сноп осколков (в радиусе 25 м). Однако, очевидно, что эти и все подобные им изделия технологически сложны, дороги в производстве, а главное, крайне расточительно тратят содержащуюся в заряде ВВ энергию. Для решения проблемы снижения энергетических и материальных затрат, при сохранении достаточного убойного эффекта инженерных боеприпасов нужен способ существенно более экономного преобразования энергии взрывчатки в дистанционно действующий поражающий фактор. Желательно, чтобы этот способ не требовал усложнения конструкции, применения специальных материалов, едких или ядовитых веществ. Результат должен получаться в рамках отработанных технических решений. Учитывая специфические требования к изделиям военной техники и условия их эксплуатации, это предполагает резкое упрощение конструкции и технологии изготовления инженерных боеприпасов нового типа. Прыгающая противопехотная мина, заменяющая, например ОЗМ-72, должна состоять только из взрывателя, заряда и легкого неметаллического корпуса. Известно, что повторное, через малые промежутки времени действие на человеческий организм ударных и даже сильных звуковых волн, с давлением на фронте менее 20-40 кПа (0,2-0,4 атм) и частотой 5-7 Гц наносит несовместимые с жизнью травмы, возбуждая резонансные колебания в органах дыхания. Свои резонансные частоты имеют все важные органы (сердце, мозг, глаза, барабанные перепонки). Нестерпимые (до потери сознания) боли с утратой слуха или слепотой, разрывы сосудов, кровоизлияния в мозг наблюдаются уже при разовых перепадах давления 4-6 кПа. (Проблемы прочности в биомеханике. И.Ф.Образцов, И.С.Адамович, А.С.Барер и др. – М.: Высшая школа, 1988. – 311 с., ил.; стр.163). Пример реализации способа (функциональный аналог ОЗМ-72) Внешней оболочки, образующей в аналоге сноп осколочных элементов, нет. Заряд тротила общим весом 0,7 кг разделяют на десять равных элементов. Каждый элемент устанавливают в отдельной ячейке легкого корпуса, снабжают вышибным зарядом весом 0,7-1 г и детонатором, обеспечивающим его взрыв после вылета вверх, на высоте 2-2,5 м. На элементы, остающиеся в ячейках, этот взрыв, за дальностью, уже не действует. После срабатывания датчика цели элементы последовательно, через заданные промежутки времени (150-200 мс) выстреливают в воздух и там взрывают. Формируют серию из десяти воздушных ударных волн с частотой 5-7 Гц и давлением во фронте на дистанции 25 м не менее 1 кПа. Зона поражения сплошная. Ударные волны не имеют промежутков, обтекают преграды. Тяжелые баротравмы легких получают все поголовно. Стоящие, лежащие и укрывшиеся за деревьями. Убойный эффект избирательный. Гибнет только живая сила. Материальные ценности сохраняются. 2. Ударно-волновой противоминный трал непрерывного действия. Известно, что все применяемые в настоящее время взрывчатые вещества крайне чувствительны к достаточно частому повторному действию ударных волн. Это в равной степени относится к промышленным рецептурам, включая самые малочувствительные, а так же к жидким, твердым, смешанным и комбинированным боевым ВВ. Повторяющиеся слабые ударные волны сравнительно легко инициируют взрыв основного заряда специальных инженерных боеприпасов, например противотанковых мин, которые вполне устойчивы к прострелам пулями и близким одиночным разрывам. Они же надежно воспламеняют низкоплотные взрывоопасные составы в тонкостенных оболочках, например артиллерийский порох в открыто размещенных снарядных гильзах. Физические механизмы инициирования процесса детонации ВВ часто повторяющимися слабыми ударными волнами достаточно разнообразны. Известно, что если воздействию подвергается гомогенный заряд высокой плотности (литой тротил, сплавы тротил-гексоген и им подобные), заключенный в прочный корпус, то детонация развивается в зазоре между ними. Первая ударная волна через жесткую внешнюю оболочку сжимает верхний слой взрывчатки и нагревает его до 70-100°С, а содержащиеся в порах материала газы – до примерно 800-900°С, что существенно выше температуры испарения большинства ВВ (обычно она составляет 350-400°С). В момент разгрузки оболочка упруго распрямляется и отслаивается от заряда, под ней возникает полость, заполненная парами ВВ и остаточными газами. Вторая ударная волна сначала сжимает эту полость, что ведет к тепловому разложению паров взрывчатки и дальнейшему резкому скачку температуры в зазоре уже за счет выделения внутренней энергии. Обычно этой прибавки хватает для запуска процесса детонации. Последующие ударные волны его поддерживают. (Физика быстропротекающих процессов / Под ред. П.А.Златина, том 2, – М., Мир, 1971, 252 с., ил., стр.302-307). В менее плотных прессованных зарядах ВВ тот же механизм резонансного самозажигания под влиянием повторных ударных волн действует для каждой поры или иной полости, содержащей газ. Еще более интенсивно описанный эффект работает в низкоплотных насыпных зарядах, включая пороховое содержимое снарядных гильз. Тонкая оболочка этому не препятствует. Одиночные ударные волны заведомо не способны вызвать опасное разложение пороховых зерен, однако, повторяющиеся циклы адиабатического нагрева-сжатия инициируют его вполне успешно. Известно, что если взрывчатка не содержит газовых пор, но включает твердые добавки, описанный выше процесс инициирования развивается в две ступени. Например, вполне гомогенный сплав тротила с порошком алюминия (алюмотол) при нагреве до температуры размягчения 60-80°С, в сочетании с падением внешнего давления самопроизвольно вспенивается, не разлагаясь. Вспенивающим агентом является воздух, адсорбированный на поверхности алюминиевых частиц. Описанный принцип лежит в основе технологии производства низкоплотных взрывчатых смесей, в частности широко применяемого состава ТА-15 (85% ТНТ, 15% алюминия). Таким образом, под воздействием серии слабых ударных волн подобные составы сначала нагреваются и приобретают текучесть, затем в момент прохождения волн разрежения утрачивают гомогенность (пенятся) и, наконец, детонируют по обычному механизму. (Кобылкин И.Ф., Селиванов В.В. и другие. Ударные и детонационные волны. Методы исследования. – М. ФИЗМАТЛИТ, 2004. – 376 с., ил., стр.263-271). Известно, что если воздействию серии ударных волн подвергается идеально гомогенная взрывчатка, не содержащая газовых включений, например жидкая, то в прилегающем к внешней поверхности слое ВВ развивается пузырьковая кавитация. Совершенно идентичный процесс наблюдается при ультразвуковой обработке текучих сред. Подавляющее большинство жидкостей хорошо выдерживают сжимающие усилия, но имеют малую стойкость к растягивающим напряжениям. Прочность на разрыв у них не превышает 1,5-4 кг/см2 или 140-390 кПа. (Справочник по электрическим и ультразвуковым методам обработки материалов. Попилов Л.Я. – Л., Машиностроение, 1971. – 544 стр., ил., стр.515-520). Под действием колебаний внешнего давления с амплитудой несколько атмосфер в любой жидкости в момент разрежения сами возникают, а в момент сжатия захлопываются более менее обширные полости (пузыри). Поскольку каждая полость содержит только насыщенный пар, не оказывающий сопротивления движению стенок, при полном сжатии пузыря наблюдается гидравлический удар, сопровождающийся резким скачком давления (многие сотни атмосфер) и температуры (до нескольких тысяч градусов). Фактически каждое мгновение в жидкости происходит множество маленьких взрывов, инициирующее действие которых сравнимо или превосходит по силе штатные средства возбуждения детонации. Энергия, накопленная при образовании кавитационного пузыря, зависит от его геометрических размеров. Последние, в свою очередь, определяются вязкостью жидкой среды и частотой следования ударных волн. Вязкость взрывчатых веществ на основе углеводородов зависит от их температуры. Уже при нагреве до 80-100°С гомогенные взрывчатые составы или плавятся сами (тротил) или переходят в полужидкое состояние. Таким образом, под воздействием серии слабых ударных волн однородные взрывчатые составы сначала нагреваются и приобретают текучесть, затем в момент прохождения волн разрежения утрачивают гомогенность за счет кавитации и, наконец, детонируют по обычному механизму. Энергетические затраты (сила и продолжительность воздействия) в данном случае оказываются даже ниже, чем при подрыве насыпных и прессованных смесей. Зажигание паров ВВ требует нагрева газа в поре материала до 500-700К (перепада давления во фронте ударной волны 480-910 кПа), а кавитационные пузыри возникают в жидкости уже при перепаде давления 140-390 кПа, причем гарантированно обеспечивают чрезвычайно резкое выделение энергии и мощный инициирующий эффект. Известно, что самые устойчивые к сильным однократным ударам ВВ (литой тротил, сплавы ТГ, пластид и пр.) крайне чувствительны именно к серийным ударным волнам. Эта чувствительность растет с увеличением содержания жидких или легкоплавких компонентов (включая такие классические флегматизаторы, как воск и парафин). (Физика взрыва / Под. ред. Л.П.Орленко, в 2 т., Т.1 – М.; ФИЗМАТЛИТ, 2004. – 832 с., ил. стр.213). Данные по комбинированным и экзотическим (например, звукохимическим) способам возбуждения детонации сериями ударных волн изображенной ситуации не меняют и подтверждают уже сказанное. Известно, что для возбуждения детонации низкоплотного, газосодержащего или насыпного взрывчатого состава достаточно, чтобы к его поверхности или подошла и отразилась одиночная ударная волна с давлением во фронте не менее 0,8-1,5 МПа или в результате действия серии более слабых ударных волн средняя температура на поверхности состава превысила 500-550К. (Физика взрыва / Под. ред. Л.П.Орленко, в 2 т., Т.1. – М.: ФИЗМАТЛИТ, 2004. – 832 с., ил. стр.234-235). Известно, что дистанционный подрыв взрывоопасных предметов и стандартных инженерных боеприпасов возможен, если давление во фронте одиночной ударной волны превышает соответственно: – для гремучей ртути – 10 МПа; – для гексогена – 180 МПа; – для тетразэна и ТНРС – 40 МПа; – для тетрила – 280 МПа; – для азида свинца – 50 МПа; – для пикриновой кислоты – 350 МПа; – для ТЭНа – 120 МПа; – для тротила – 430 МПа (Физика взрыва / Под. ред. Л.П. Орленко, в 2 т., Т.1. – М.: ФИЗМАТЛИТ, 2004. – 832 с., ил., с.214). Видно, что для достижения одинакового результата (дистанционного подрыва заряда произвольного ВВ) давление во фронте одиночной волны должно на два-три порядка превышать аналогичный параметр для серийных ударных волн. Несколько последовательных волновых фронтов обеспечивают его с гораздо меньшими затратами энергии и материальных ресурсов. С практической точки зрения нет принципиальной разницы между очисткой территории от мин взрывами объемно детонирующей смеси, срезанием верхнего слоя грунта бульдозерами или поиском-уничтожением инженерных боеприпасов вручную, силами саперного подразделения. Желаемый результат достается одинаково трудно и обходится дорого. Например, при сплошном разминировании местности в гражданских целях, согласно стандарту ООН, должны быть надежно обезврежены 99,6% взрывоопасных предметов. При этом ручная производительность труда сапера не превышает 50 м2 на человека за рабочий день, а механические тралы (фрезы, мотыги, катки) годны только на ровном месте, но зато полностью уничтожают хозяйственную инфраструктуру и подземные коммуникации. Тотального разминирования территории (особенно на пересеченной местности) по указанным причинам не делают нигде и никогда. После войны туземное население обезвреживает мины собственными ногами. В Земле уже лежит около 0,5 млрд мин. Ежегодно к ним добавляют 2-3 млн новых. Самым старым минным полям в Европе и Северной Африке более 70 лет. За весь XX век только микроскопическому Кувейту удалось полностью разминировать свою территорию после «Бури в пустыне». Это обошлось его правительству в 1,5 млрд. $ и потребовало больше года работы. До недавнего времени задача быстрого (экспромтом) прорыва через минные поля транспортных колонн более менее решалась с помощью навесного трала на головной бронемашине. Удачным примером такого рода является отечественный колейный трал КМТ-7. На серийный танк навешивают по две катковых и две ножевых секции (КМТ-8). На них же ставят две приставки ЭМТ для траления неконтактных магнитных противотанковых мин. Встречающиеся противопехотные мины удаляются попутно. При работе трала расчищаются две полосы грунта шириной 80 см (после катков) и шириной 60 см (после ножевой приставки). Просвет между ними составляет 1,62 м. Этого достаточно для движения танка, оснащенного тралом, по любой траектории и следующей за ним танковой колонны по прямому маршруту, след в след (расчищенные колеи шире гусениц). Скорость траления зависит от параметров грунта. На рыхлой земле 6-12 км/ч, по песку в пустыне до 30 км/ч. Трал с гарантией выдерживает не менее шести взрывов мины ТМ-57 и два взрыва мины ТМ-62 (реально 10-15 взрывов). Проблема сильно обострилась с появлением технологии дистанционного минирования, когда стало возможно одним артиллерийским залпом или налетом авиации с огромного расстояния, за 5-10 мин сделать смертельно опасным практически любой участок местности. Без предварительной разведки, с ходу преодолевать современные минные поля повышенной густоты теперь не может даже специальная бронетехника. Кроме того, современные мины имеют многоуровневую систему распознавания целей. Обмануть их простой имитацией сигнатуры магнитного поля невозможно. Для снижения энергетических и материальных затрат при расчистке проходов в минных полях нужен способ дистанционного, быстрого и без разбора подрыва всех содержащих ВВ предметов, попадающихся на пути. Пример реализации способа (функциональный аналог КМТ-7) С внешней стороны корпуса бронемашины, в передней ее части крепят стандартные элементы электрического генератора серийных ударных волн. Каждый из них содержит бронированный силовой блок (с конденсаторами, коммутаторами и вспомогательной электроникой), генератор воздушных ударных волн (блок искровых разрядников) и направляющее устройство в виде двухсекционной трубы с внутренним каналом (калибром) диаметром 150-200 мм. Примыкающая к блоку разрядников секция трубы имеет длину 6-8 калибров и выполняется из металла. На нее надевают вторую секцию длиной 3-4 м из тонкого пластика или лакированного картона. Питание трала осуществляют от бортовой сети бронеобъекта (если позволяет мощность) или специального электрогенератора. Электрическая часть генератора создает в торцевой части металлической секции трубы воздушные искровые разряды регулируемой мощности (от 20-80 Дж до 3-5 кДж) с перестраиваемой частотой следования (от 10 Гц до 25-30 кГц). При каждом разряде внутри трубы формируется плоский фронт ударной волны, который почти без потери энергии (канал гладкий, боковое давление на стенки отсутствует) достигает выходного конца легкой секции и вырывается в атмосферу. Выхлоп происходит на высоте 30-40 см над землей (чтобы труба не цеплялась за препятствия). Каждый элемент трала обрабатывает впереди себя полосу грунта шириной 0,6-0,8 м. Электрическая часть трала находится достаточно далеко (4-5 м) от места возможного взрыва. Ей не причиняют вреда даже противотанковые мины. Замена оторванной взрывом легкой секции трубы требует несколько секунд и может быть автоматизирована. Отдельные пробоины от пуль и осколков на ее работоспособность практически не влияют. Количество одновременно действующих элементов трала определяется поставленной задачей (расчистка колеи перед гусеницами, расчистка широкой полосы для прохода колесной техники и пр.). Текущие параметры ударно-волнового воздействия задает программа силового блока. Трал способен к многочасовой непрерывной работе и обеспечивает 100% подрыв любых взрывоопасных предметов, оказавшихся в его зоне действия. 3. Ударно-волновой способ обеззараживания пористых материалов Известны трудности, связанные с организацией защиты людей от последствий применения противником химического или биологического оружия. Одной из основных проблем сразу после выхода из очага поражения является обеззараживание одежды и обмундирования. Зараженная одежда представляет смертельную опасность для своего владельца и окружающих. К ней просто нельзя прикасаться. В то же время быстро и качественно очистить пористые материалы (например, обычную хлопчатобумажную ткань) от боевых отравляющих веществ (далее OB), a так же биологических токсинов или насекомых, распространяющих заразные болезни, почти невозможно. Для этого нужно специальное оборудование, большие количества воды, топлива, моющих средств и дегазирующих реактивов, как правило, недоступные в полевых условиях. Известно, что подавляющее большинство ОВ являются химически нестойкими органическими соединениями. Они разлагаются на более простые вещества при нагревании до 300-450°С, реагируют с водяным паром и кислородом воздуха (горят) при температурах выше 500-600°С. Например, рецептура VX при 150°С на 50% превращается в безвредные соединения в течение 36 ч, а при нагреве в атмосфере до 250°С полностью распадается за 4 мин. При сильном нагреве в присутствии окислителей боевые ОВ теряют активность мгновенно. В химических боеприпасах времен Первой мировой войны от ударно-волнового воздействия при разрыве (даже без доступа воздуха) сразу же разлагалось до 25% распыляемого ОВ. (Александров В. Н., Емельянов В. И. Отравляющие вещества. Учебное пособие. – М., Воениздат, 1990. – 271 с., ил., стр.36-40). Известно, что самые опасные боевые ОВ, вполне устойчивые к детонации и кратковременному нагреву до 250-300°С (например, иприт), быстро и полностью разлагаются при температуре около 500°С. (Александров В.Н., Емельянов В.И. Отравляющие вещества. Учебное пособие. – М., Воениздат, 1990. – 271 с., ил., стр.136-137). Известно, что органические токсины (ботулинические, стафилококковые и прочие), годные для боевого применения, не выдерживают нагрева выше 150-200°С. (Александров В. Н., Емельянов В. И. Отравляющие вещества. Учебное пособие. – М., Воениздат, 1990. – 271 с., ил., стр.248-257). Малые биологические объекты не выдерживают даже кратковременного (импульсного) нагрева выше 150-200°С, поскольку при этом происходит смертельная химическая реакция – полимеризация белков. Сказанное относится как к грибам и бактериям (включая споры), так и к более крупным представителям флоры и фауны (семенам растений, насекомым). В то же время большинство волокнистых материалов органического происхождения (полимерные волокна, целлюлоза), широко употребляемых в производстве одежды, описанное воздействие переносят без всякого ущерба. Отсюда следует, что применив вместо непрерывного длительного процесса физико-химической дезактивации зараженной одежды технологию ее обработки серийными ударными волнами, можно без потери качества резко снизить необходимые затраты времени, энергии и материалов. Эффект особенно велик в случае прямого преобразования в воздушные ударные волны электрической или механической энергии. Пример реализации способа (дезактивация и обеззараживание) Цилиндрическую щетку из стальной проволоки диаметром 1 м вращают со скоростью 25 тысяч оборотов в минуту в кожухе из гладкого металлического листа, с широкой продольной щелью. Между кожухом и щеткой оставляют небольшой воздушный зазор. Свободный конец каждой проволоки движется с линейной скоростью 1300-1400 м/с (быстрее звука) и на короткой дистанции (порядка сантиметра) является эффективным генератором баллистической ударной волны. Из щели в окружающую атмосферу вырывается непрерывный поток ударно-волновой энергии. Обрабатываемые предметы приближают к щели и подвергают воздействию серийных ударных волн с давлением не менее 12-15 атм и температурой воздуха в зоне отражения около 1100К. Частоту следования ударных волн задают густотой щетки. Таким образом обеспечивают мгновенное (за доли секунды) разложение капель отравляющих веществ и полное уничтожение мелких биологических объектов (бактерий, вшей, клопов, клещей и пр.). Глубина эффективной обработки пористых материалов составляет не менее 5-7 мм. На дистанции более 40-70 см от щели ударные волны слабеют и становятся безопасными колебаниями ультразвуковой частоты, не воспринимаемыми на слух. Способ позволяет производить моментальную сухую обработку обмундирования и других предметов снаряжения из тканых и пористых материалов. Единственным расходным ресурсом является энергия, потребляемая приводным механизмом вращения щетки. Анализ открытых источников информации показывает, что предлагаемое техническое решение на текущий момент в мире либо не известно совсем либо пока не применяется. Признаками использования устройств и боеприпасов, генерирующих серийные ударные волны, следует считать: – дробные разрывы снарядов и мин, издалека воспринимаемые свидетелями как треск или короткие гудки (трубные звуки); – сообщения о случаях «просачивания» поражающих ударных волн через амбразуры» окна или дверные проемы защитных сооружений; – непропорционально большое количество раненых с тяжелыми травмами органов дыхания, зрения, слуха и сердечно-сосудистой системы; – непропорционально малое количество пострадавших от осколков (признак использования взрывных устройств без твердой оболочки); – необычно большой радиус поражения живой силы (относительно общей силы взрыва) при срабатывании противопехотных мин; – сообщения о скоплениях трупов без видимых травм, с неповрежденными средствами индивидуальной защиты (в касках и бронежилетах); – сообщения о включении в состав транспортных колонн головных бронемашин с необычно выглядящими навесными приспособлениями; – сообщения о случаях успешных прорывов через минные поля транспортных колонн, без предварительной расчистки местности саперами; – сообщения о сплошной гибели травы и мелкой фауны (полосах мертвой земли) вдоль пути следования транспортных колонн. В разных районах Земли идут локальные войны, подробно освещаемые средствами массовой информации. Выгоды от боевого использования описанной технологии очевидны. Следы применения серийных ударных волн невозможно скрыть. Они достаточно наглядны и необычны, чтобы привлечь внимание множества случайных наблюдателей. Тем не менее, заметного потока сообщений о фактах, подобных перечисленным выше, в открытой печати и выпусках новостей нет.
Формула изобретения
Способ воздействия последовательными ударными волнами на вещества и объекты, отличающийся тем, что воздействие производят серией ударных волн при оперативном управлении продолжительностью, периодичностью и силой каждой из них.
|
||||||||||||||||||||||||||||||||||||||||||||||||||||||||||||||||||||||||||||||||||||||||||||||||||||||||||||||||||||||||||||||||||||||||||||||||||||||||||||||||||||||||||||||||||||||||||


РФ, (кПа) приведены в таблице.