|
(21), (22) Заявка: 2007113276/06, 09.04.2007
(24) Дата начала отсчета срока действия патента:
09.04.2007
(46) Опубликовано: 10.10.2008
(56) Список документов, цитированных в отчете о поиске:
RU 2230957 C1, 20.06.2004. ГОСТ 9833-73. SU 1622664 A1, 23.01.1991. RU 2068138 C1, 20.10.1996. SU 456956 A, 15.01.1975. SU 1691632 A1, 15.11.1991. US 2007/0012117 A1, 18.01.2007.
Адрес для переписки:
430000, Республика Мордовия, г.Саранск, ул. Большевистская, 68, ГОУВПО “МГУ им. Н.П. Огарева”, отдел патентов и стандартов
|
(72) Автор(ы):
Водяков Владимир Николаевич (RU), Кузнецов Вячеслав Викторович (RU), Березин Михаил Александрович (RU), Борисов Виталий Иванович (RU)
(73) Патентообладатель(и):
Государственное образовательное учреждение высшего профессионального образования “Мордовский государственный университет им. Н.П. Огарева” (RU)
|
(54) УПЛОТНИТЕЛЬНОЕ СОЕДИНЕНИЕ
(57) Реферат:
Изобретение относится к уплотнительной технике. Уплотнительное соединение включает герметизируемые детали, одна из которых содержит кольцевую канавку прямоугольного сечения и размещенное в ней эластичное уплотнительное кольцо исходно круглого сечения с объемом меньшим объема кольцевой канавки, взаимодействующее с контрдеталью. На дне канавки прямоугольного сечения и в контрдетали симметрично стенкам выполнены дополнительные кольцевые канавки с поперечным сечением в виде сегментов эллипса с большей осью, расположенной перпендикулярно стенкам прямоугольной канавки. Изобретение повышает ресурс уплотнительного соединения за счет снижения скорости релаксации контактных напряжений. 1 з.п. ф-лы, 17 ил.
Изобретение относится к уплотнительной технике и может быть использовано для герметизации соединения неподвижных деталей эластичными кольцами круглого сечения.
Известно уплотнительное соединение, включающее герметизируемые детали, одна из которых содержит кольцевую канавку прямоугольного сечения, и размещенное в ней эластичное уплотнительное кольцо исходно круглого сечения с объемом меньшим объема кольцевой канавки, взаимодействующее с контрдеталью (ГОСТ 9833-73. Кольца резиновые уплотнительные круглого сечения для гидравлических и пневматических устройств. Конструкция и размеры).
Недостатком такого соединения является низкий ресурс эксплуатации из-за высокой скорости релаксации контактных напряжений, обусловленной значительной неоднородностью их распределения, создаваемой на стадии сборки соединения.
Технический результат заключается в повышении ресурса уплотнительного соединения за счет снижения скорости релаксации контактных напряжений.
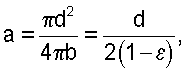
Сущность изобретения заключается в том, что в уплотнительном соединении, включающем герметизируемые детали, одна из которых содержит кольцевую канавку прямоугольного сечения, и размещенное в ней эластичное уплотнительное кольцо исходно круглого сечения с объемом меньшим объема кольцевой канавки, взаимодействующее с контрдеталью, на дне канавки прямоугольного сечения и в контрдетали симметрично стенкам выполнены дополнительные кольцевые канавки с поперечными сечениями в виде сегментов эллипса с большой осью, расположенной перпендикулярно стенкам прямоугольной канавки. Геометрические размеры поперечного сечения дополнительных канавок удовлетворяют соотношениям:

где а и b – размеры большой и малой полуосей эллипса;
h – высота сегмента эллипса;
d – диаметр сечения уплотнительного кольца;
=(1 – H/d) – начальная деформация сжатия сечения уплотнительного кольца;
Н – суммарная глубина прямоугольной и дополнительной канавок.
На фиг.1 показано уплотнительное соединение в рабочем состоянии; на фиг.2 – уплотнительное соединение до сжатия уплотнительного кольца круглого сечения; на фиг.3-17 – графические материалы обоснования технического результата.
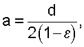
Уплотнение включает (фиг.1 и 2) герметизируемые детали 1 и 2, одна из которых содержит кольцевую канавку прямоугольного сечения 3, и размещенное в ней эластичное уплотнительное кольцо 4 исходного круглого сечения с объемом меньшим объема кольцевой канавки, взаимодействующее с контрдеталью 2. На дне 5 кольцевой канавки прямоугольного сечения 3 и в контрдетали 2 симметрично стенкам 6 и 7 выполнены дополнительные кольцевые канавки 8 и 9 с поперечными сечениями в виде сегментов эллипса с большой осью 10, расположенной перпендикулярно стенкам 6 и 7 прямоугольной канавки. Геометрические размеры поперечного сечения дополнительных канавок удовлетворяют соотношениям:

где а и b – размеры большой и малой полуосей эллипса;
h – высота сегмента эллипса;
d – диаметр сечения уплотнительного кольца;
=(1 – H/d) – начальная деформация сжатия сечения уплотнительного кольца;
Н – суммарная глубина прямоугольной и дополнительной канавок.
Общепризнано (Миненков Б.В. Прочность деталей из пластмасс / Б.В.Миненков, И.В.Стасенко. М.: Машиностроение. 1977, с.55), что гидростатическое напряжение в широком диапазоне времен и скоростей нагружения полимеров является функцией только объемной деформации. Для непористых полимеров объемная деформация является чисто упругой, поскольку ее реализация предполагает изменение межатомных расстояний. Эластомеры относят к слабосжимаемым вязкоупругим средам с модулем сдвига более чем в 1000 раз меньшим модуля объемного сжатия, имеющего порядок 103 МПа (Черных К.Ф. Теория больших упругих деформаций / К.Ф.Черных, З.Н.Литвиненкова. Л.: Изд-во ЛГУ. 1988, с.85). В связи с этим в механике эластомеров определяющие уравнения, отражающие зависимость напряжений от деформаций и скоростей деформаций, формулируют с раздельным описанием деформаций формы и объема, причем реакция на деформацию формоизменения полагается вязкоупругой, а на деформацию изменения объема – чисто упругой. Данные факты позволяют использовать условия объемного деформирования для повышения ресурса уплотнительных соединений при соответствующем изменении конфигурации посадочного места в уплотняемых деталях.
Очевидно, что для неподвижных кольцевых уплотнителей круглого сечения идеальным посадочным гнездом явилось бы гнездо, образованное двумя симметричными канавками в уплотняемых деталях с поперечным сечением в виде круга с диаметром на 0,05-0,1% меньшим диаметра поперечного сечения кольца. При монтаже уплотнителя в гнездо обеспечивались бы условия, близкие к объемному сжатию, с величиной гидростатических напряжений порядка 2-3 МПа. Такое уплотнительное соединение ввиду существенного преобладания однородных гидростатических напряжений над напряжениями формоизменения и незначительной скорости релаксации напряжений в уплотнителе имело бы ресурс эксплуатации, ограниченный только длительностью разложения эластомера от агрессивного воздействия температуры и рабочей жидкости в гидросистеме.
В то же время наличие предельных отклонений диаметра поперечного сечения уплотнителя (обычно ± (3…4) % от номинального значения) не позволяет реализовать на практике эту идею. В случае применения уплотнителя, выполненного с верхним предельным размером, часть массива будет разрушаться из-за выдавливания в зазор между уплотняемыми деталями. При использовании уплотнителя с нижним предельным отклонением невозможно создать контактные напряжения и тем самым обеспечить герметичность соединения. При этом следует учитывать также увеличение объема уплотнителя из-за набухания в рабочей жидкости и наличие предельных отклонений посадочных мест в уплотняемых деталях.
Реальным способом устранения данного противоречия является повышение доли гидростатических напряжений только в локальных областях массива уплотнителя, примыкающих к поверхностям контакта, что достигается в предлагаемой конструкции. При этом создание начальных контактных напряжений обеспечивается сжатием сечения уплотнителя на 20-25% в соответствии с требованиями ГОСТа 9833-73.
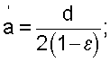
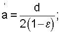
Если принять, что деформирование уплотнителя при создании начальных контактных напряжений связано из-за слабой сжимаемости эластомера только с изменением формы его поперечного сечения, то при образовании контактных поверхностей только в области дополнительных канавок в рамках принятых обозначений справедливы следующие соотношения:
S= d2/4= ab; отсюда

поскольку b=(1- )d/2,
где S – площадь поперечного сечения эллиптического тора, форму которого принимает уплотнительное кольцо при образовании контактных поверхностей в дополнительных канавках.
В целях обеспечения необходимого свободного объема в посадочном гнезде для компенсации вышеотмеченной размерной неточности и набухания уплотнителя целесообразно глубину дополнительной канавки h привязать к фокальному параметру эллипса р:
р=b2/a; тогда h=b-р=b(1-b/a).
В качестве объекта для сравнения получаемых результатов было использовано известное уплотнительное соединение с размерами, рекомендуемыми ГОСТ 9833-73. Рассчитанные конечно-элементные конфигурации известного уплотнительного соединения до и после сжатия уплотнителя на 20% представлены на фиг.3 и 4.
При численном исследовании размер b=1,2 мм задавался постоянным, отвечающим рекомендуемым значениям сжатия уплотнителей =20% согласно ГОСТ 9833-73 для большинства соединений подобного типа, при вариации размера большой полуоси а и высоты h.
Рассчитанные конечно-элементные конфигурации заявленного уплотнительного соединения с полным заполнением объема дополнительной канавки при а=1,875 мм, b=1,2 мм, h=0,43 мм до и после сжатия уплотнителя на 20% представлены на фиг.5 и 6.
При уменьшении глубины дополнительной канавки имеет место выдавливание части массива уплотнителя в канавку прямоугольного сечения. При этом контактная поверхность образуется как в дополнительной канавке, так и в канавке прямоугольного сечения (фиг.7: а=1,875 мм, b=1,2 мм, h=0,2 мм). При увеличении размера большой полуоси эллипса имеет место неполное заполнение объема дополнительной канавки (фиг.8: а=3 мм, b=1,2 мм, h=0,43 мм).
На фиг.9 представлены графики распределения начальных контактных напряжений по полуширине контакта для известного (кривая 1, фиг.4) и заявленного решения (кривая 2, фиг.6). Из анализа характера кривых следует, что выполнение в уплотняемых деталях дополнительных канавок с поперечным сечением в виде сегмента эллипса повышает однородность распределения начальных контактных напряжений. На фиг.10 представлены аналогичные графики по истечении 10000 часов эксплуатации при температуре 80°С для известного (кривая 1, фиг.4) и заявленного решения (кривая 2, фиг.6). Как следует из кривых, наличие дополнительной канавки обеспечивает более высокий уровень контактных напряжений по истечении указанного времени эксплуатации, что объясняется повышением доли нерелаксирующих гидростатических напряжений в областях массива уплотнителя, располагающихся в дополнительных канавках.
На фиг.11 представлены графики релаксации среднеинтегральных контактных напряжений для известного (кривая 1, фиг.4) и заявленного решения (кривая 2, фиг.6). Из кривых следует, что заявленное решение обеспечивает существенно более низкую скорость релаксации контактных напряжений, что обусловлено вышеупомянутым изменением соотношения гидростатических и девиаторных компонент тензора напряжений в областях массива уплотнителя, располагающихся в дополнительных канавках.
Предельно допустимым уровнем снижения среднеинтегральных контактных напряжений, при котором уплотнитель сохраняет способность к самоуплотнению, а тем самым и герметизации соединения, принято считать (Аврущенко Б.Х. Резиновые уплотнители / Б.Х.Аврущенко. Л.: Химия. 1978, с.65). Исходя из этого, можно сделать очевидный вывод, что заявленное решение обеспечивает существенно более высокий ресурс эксплуатации по сравнению с известной конструкцией.
На фиг.12 представлены результаты исследования влияния кривизны дополнительной канавки, определяемой размером большой полуоси эллипса, при размере малой полуоси b=1,2 мм=const и глубине h=0,43 мм=const на скорость изменения относительной величины среднеинтегральных контактных напряжений при температуре 80°С ( – среднеинтегральная величина начальных контактных напряжений). Обозначение кривых: 1 – а=1,8 мм; 2 – а=1,84 мм; 3 – а=1,875 мм; 4 – а=1,956 мм; 5 – а=2,135 мм; 6 – известное решение с канавкой прямоугольного сечения.
Неэквидистантность кривых является доказательством того, что с ростом кривизны дополнительной канавки возрастает доля гидростатических напряжений в областях массива, располагающихся в дополнительных канавках, и соответственно снижается скорость релаксации контактных напряжений.
На фиг.13 представлены результаты исследования влияния глубины дополнительной канавки h при b=1,2 мм=const на величину среднеинтегральных контактных напряжений через 10000 часов эксплуатации при температуре 80°С: 1 – а=1,8 мм; 2 – а=1,84 мм; 3 – а=1,875 мм; 4 – а=1,956 мм; 5 – а=2,155 мм.
При глубине дополнительной канавки меньшей значения, отвечающего выходу среднеинтегральных контактных напряжений на асимптотические значения (кривые 3-5), имеет место выдавливание части массива уплотнителя в канавку прямоугольного сечения с образованием в ней поверхностей контакта (фиг.7). При этом величина напряжений относительно мала. Наибольшие значения контактных напряжений обеспечиваются в пределах указанной группы кривых для заявленного решения (кривая 3) с равенством объемов уплотнительного кольца и эллиптического тора, сегменты которого образуют объемы дополнительных канавок.
Если объем уплотнительного кольца превышает объем эллиптического тора (кривые 1-2), то при любой глубине канавки имеет место выдавливание части массива уплотнителя в канавку прямоугольного сечения с образованием поверхностей контакта (фиг.14). Однако в отличие от рассмотренных выше случаев здесь имеет место весьма резкий рост среднеинтегральных контактных напряжений с ростом глубины канавки, сопровождаемый перенапряжением массива уплотнителя в областях стыка дополнительных канавок с канавкой прямоугольного сечения. Несмотря на большую величину контактных напряжений, такое соединение обеспечивает, тем не менее, более низкий ресурс по сравнению с заявленным решением из-за меньшего значения площади поверхности контакта.
На фиг.16 показана для исследованных случаев рассчитанная зависимость изменения относительной площади контакта А/А0 с течением времени эксплуатации соединения (А0 – площадь контакта деталей и уплотнителя после монтажа последнего в соединение, А – площадь контакта деталей и уплотнителя с течением времени tэ эксплуатации соединения). Из полученных результатов следует, что с течением времени эксплуатации из-за протекания релаксационных процессов на части контактной поверхности, отличающейся большей величиной контактных напряжений, происходит смена их знака и, как следствие, отрыв локальных участков поверхности уплотнителя от поверхности контртела с образованием микрополостей и снижением общей площади контакта уплотнителя. Ресурс соединения при этом будет определяться началом проникновения рабочей жидкости в микрополости, поскольку ее расклинивающее воздействие приводит к слиянию микроканалов, полному отрыву поверхности уплотнителя от поверхности контртела и, как следствие, ликвидации способности соединения к самоуплотнению. На фиг.15 в качестве примера показан рассчитанный фрагмент контактной зоны для соединения 1 (а=1,8 мм) при tэ=7500 часов. На фиг.17 показана зависимость площади контакта уплотнителя и уплотняемых деталей от размера большой полуоси эллипса по окончании стадии монтажа (кривая 1) и через 10000 часов эксплуатации соединения (кривая 2).
Можно сделать вывод, что наибольшие значения площади контакта как после монтажа уплотнителя, так и через 10000 часов эксплуатации обеспечивает заявленное решение.
Уплотнительное соединение работает следующим образом.
При монтаже эластичное кольцо 4 упруго деформируется, заполняя только объем дополнительных кольцевых канавок 8 и 9 в деталях 1 и 2. При этом выдавливание части массива кольца в канавку прямоугольного сечения 3 отсутствует, что обеспечивается соответствующим выбором размеров дополнительных канавки 8 и 9 по указанным формулам. Начальная деформация, определяемая суммарной глубиной канавки прямоугольного сечения 3 и дополнительных канавок 8 и 9 и диаметром сечения эластичного кольца 4, обеспечивает требуемое значение начального контактного напряжения между эластичным кольцом 4 и деталями 1 и 2.
Достигнутое при монтаже значение контактного напряжения в процессе эксплуатации непрерывно снижается, достигая критического значения, при котором теряется способность соединения к самоуплотнению, и происходит его разгерметизация. В предлагаемом уплотнительном соединении с дополнительными кольцевыми канавками 8 и 9, имеющими в поперечном сечении форму сегмента эллипса, релаксация контактных напряжений происходит с существенно меньшей скоростью, что вызвано повышением доли нерелаксирующих гидростатических напряжений в областях массива уплотнителя, располагающихся в дополнительных канавках.
Таким образом, предлагаемое уплотнительное соединение обеспечивает повышение ресурса эксплуатации за счет существенного снижения скорости релаксации контактных напряжений.
Формула изобретения
1. Уплотнительное соединение, включающее герметизируемые детали, одна из которых содержит кольцевую канавку прямоугольного сечения и размещенное в ней эластичное уплотнительное кольцо исходно круглого сечения с объемом меньшим объема кольцевой канавки, взаимодействующее с контрдеталью, отличающееся тем, что на дне канавки прямоугольного сечения и в контрдетали симметрично стенкам выполнены дополнительные кольцевые канавки с поперечным сечением в виде сегментов эллипса с большей осью, расположенной перпендикулярно стенкам прямоугольной канавки.
2. Уплотнительное соединение по п.1, отличающееся тем, что геометрические размеры поперечного сечения дополнительных канавок удовлетворяют соотношениям

где а и b – большая и малая полуоси эллипса;
h – высота сегмента эллипса;
d – диаметр сечения уплотнительного кольца;
=(1-H/d) – начальная деформация сжатия сечения уплотнительного кольца;
H – суммарная глубина прямоугольной и дополнительной канавок.
РИСУНКИ
|