|
|
(21), (22) Заявка: 2005118635/04, 15.06.2005
(24) Дата начала отсчета срока действия патента:
15.06.2005
(43) Дата публикации заявки: 20.11.2006
(46) Опубликовано: 10.10.2008
(56) Список документов, цитированных в отчете о поиске:
BRANKO S.JURSIC.: «Cyclodextrin assisted enantiomeric recognition of benzo[b] isoquinoline-l,3-dione derived amino acids», TETRAHEDRON, 2005, v.61(4), p.919-926. H.J.ROSENKRANZ et al.: «Sunthese von Tuboflavin, 4-Athyl-canthin-6-on und Canthin-6-on», JUSTUS LIEBIGS ANNALEN DER CHEMIE, 1966, band 691, p.159-164. ГАЛЕНКО-ЯРОШЕВСКИЙ П.А. и др.
Адрес для переписки:
129010, Москва, ул. Б.Спасская, 25, стр.3, ООО “Юридическая фирма Городисский и Партнеры”, пат.пов. Е.Е.Назиной
|
(72) Автор(ы):
Небольсин Владимир Евгеньевич (RU), Кромова Татьяна Александровна (RU), Желтухина Галина Александровна (RU), Ковалева Виолетта Леонидовна (RU)
(73) Патентообладатель(и):
ОБЩЕСТВО С ОГРАНИЧЕННОЙ ОТВЕТСТВЕННОСТЬЮ “ФАРМИНТЕРПРАЙСЕЗ” (RU)
|
(54) N-АЦИЛЬНЫЕ ПРОИЗВОДНЫЕ АМИНОКИСЛОТ, ИХ ФАРМАЦЕВТИЧЕСКИ ПРИЕМЛЕВЫЕ СОЛИ, ФАРМАЦЕВТИЧЕСКАЯ КОМПОЗИЦИЯ И ПРИМЕНЕНИЕ В КАЧЕСТВЕ ГИПОЛИПИДЕМИЧЕСКИХ СРЕДСТВ
(57) Реферат:
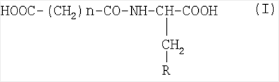
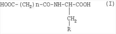
Настоящее изобретение относится к области биоорганической химии и касается N-ацильных производных аминокислот общей формулы I, где n равно 2 или 3, и
R представляет

а также их фармацевтически приемлемых солей и их применения в качестве гиполипидемических средств. Кроме того, объектами изобретения являются фармацевтическая композиция, содержащая указанные соединения в эффективном количестве и способ лечения нарушений липидного обмена, атеросклероза, ишемической болезни сердца и головного мозга, инфаркта миокарда, инсульта. Технический результат – N-ацильные производные аминокислот, обладающие гиполипидемической активностью. 7 н. и 1 з.п. ф-лы, 28 табл., 1 ил.
 
(56) (продолжение):
CLASS=”b560m”Противоароматическая активность бефола, суфано, мексидола и ТЗ-146 в сочетании с некоторыми антиаритмиками. БЮЛЛЕТЕНЬ ЭКСПЕРИМЕНТАЛЬНОЙ БИОЛОГИИ И МЕДИЦИНЫ, 1998, т.125, №5, с.544-547. CUSHMAN D.W. et al. Design of potent competitive inhibitors of angiotensin-converting enzyme. BIOCHEMISTRY, 1977, v.16(25), p.5484-5491. WO 99/01103 A, 14.01.1999. WO 03/072124 A, 04.09.2003.
Настоящее изобретение относится к области биоорганической химии и касается N-ацильных производных аминокислот, их фармацевтически приемлемых солей, новых способов их синтеза, а также фармацевтических композиций на их основе и применения в медицине в качестве противоаллергических, противовоспалительных и гиполипидемических средств.
Предшествующий уровень техники
Как известно в настоящее время аллергические заболевания и нарушения липидного обмена весьма распространены вследствие плохой экологической обстановки, изменения структуры питания и образа жизни населения. Поэтому проблема создания лекарственных средств для борьбы с этими патологиями, а также с воспалительными процессами, как правило, сопровождающими аллергию, продолжает оставаться актуальной.
Наиболее распространенной группой противоаллергических препаратов являются блокаторы H1-гистаминовых рецепторов. В настоящее время выделяют 2 поколения антигистаминных препаратов [Машковский М.Д. Лекарственные средства. / Москва: Новая волна. 2005. с.285].
Антигистаминные препараты 1-го поколения проникают через гематоэнцефалический барьер и способны вызывать блокаду Н1-рецепторов клеток центральной нервной системы, что обусловливает их нежелательный седативный эффект. Для достижения выраженного антигистаминного действия необходимы высокие концентрации этих препаратов в крови, что требует назначения их в больших дозах. Отрицательной характеристикой этих препаратов является довольно частое развитие тахифилаксии, влияние на ЦНС, проявляющееся в нарушении координации, головокружении, чувстве вялости, снижении способности концентрировать внимание. Несмотря на вышеуказанное, антигистаминные средства первого поколения по-прежнему применяются, особенно в тех ситуациях, когда необходим очень быстрый эффект от лечения, например при анафилаксии. К антигистаминным препаратам первого поколения относятся димедрол, пипольфен, перитол, супрастин, клемастин, тавегил, фенкарол.
Антигистаминные препараты 2-го поколения получили в последние годы широкое применение в аллергологической практике, поскольку не обладают побочными эффектами, присущими препаратам 1-го поколения. В частности, препараты 2-го поколения не проникают через гематоэнцефалический барьер, не имеют седативного и снотворного эффектов. Для них характерно быстрое и продолжительное антигистаминное действие. К антигистаминным средствам второго поколения относятся кларитин (лоратадин), зиртек (цетиризин), кестин (эбастин). Однако проведенные клинические испытания выявили побочные действия и этих препаратов, обусловленные их взаимодействием с другими лекарственными средствами или нарушением их метаболизма цитохромом P 450. Таким образом, были выявлены потенциально седативные (цетиризин, лоратадин) и потенциально кардиотоксичные (терфенадин, астемизол, эбастин) эффекты у антигистаминных средств 2-го поколения.
В некоторых случаях, например при бронхиальной астме, применяют глюкокортикостероиды, оказывающие мощное антиаллергическое действие. Однако их применение сопровождается системными проявлениями в виде синдрома Иценко-Кушинга, гипертензии, гипергликемии, остеопороза и др. [Машковский М.Д. Лекарственные средства. / Медицина. Москва. 1993. т.1, с.565].
Существует группа препаратов (кромолин-натрия, кетотифен, оксатомид), применяемых при бронхиальной астме и бронхоспастических состояниях, в основе действия которых лежит способность тормозить дегрануляцию тучных клеток и задерживать высвобождение из них медиаторных веществ, способствующих развитию бронхоспазма, аллергии и воспаления (брадикинина, гистамина). В качестве побочных эффектов могут наблюдаться раздражение слизистых оболочек, головная боль, отек гортани, кашель, удушье [Машковский М.Д. Лекарственные средства./Москва: Новая волна. 2005. с.297].
Известно, что наиболее частым проявлением атеросклероза является ишемическая болезнь сердца, стоящая на первом месте в ряду причин смертности взрослого населения планеты. Одним из ведущих нарушений при данном заболевании признано нарушение липидного обмена, выражающееся в повышении содержания в плазме крови холестерина, в том числе в составе липопротеинов низкой (ЛПНП) и очень низкой плотности (ЛПОНП), получивших название “атерогенных”, с одновременным снижением количества “антиатерогенных” липопротеинов высокой плотности (ЛПВП).
Гиполипидемические средства, снижающие содержание холестерина и триглицеридов в крови, могут применяться для лечения и профилактики заболеваний, связанных с нарушениями липидного обмена. Последние характеризуются повышением содержания триглицеридов, общего холестерина (ХС), холестерина в составе липопротеинов низкой и очень низкой плотности (ЛПНП и ЛПОНП) и снижением содержания холестерина в составе липопротеинов высокой плотности при таких заболеваниях, как атеросклероз, ожирение, ишемическая болезнь сердца и головного мозга, инфаркт миокарда, инсульт, и которые служат фактором риска манифестации сахарного диабета и тромбообразования.
Известно клиническое применение так называемых статинов, ингибиторов биосинтеза холестерина. Препараты данной группы в дозах 80 мг/день достаточно эффективны главным образом в отношении понижения уровня общего холестерина в крови, при этом малодоступны, дороги и представляют собой чужеродные для организма химические соединения. Кроме того, их применение может сопровождаться побочными эффектами: изменением функций печени с повышением уровня трансаминаз в крови, диспепсией [Машковский М.Д. Лекарственные средства./Медицина. Москва. 1993. т.1, с.463].
В связи с указанным выше актуальным является поиск новых эффективных противоаллергических и гиполипидемических средств с альтернативными механизмами действия, способных проявлять активность в низких концентрациях и лишенных побочных эффектов. В этом отношении особый интерес представляют соединения, включающие остатки веществ природного происхождения, так как для них можно прогнозировать более низкую токсичность и частоту побочных эффектов.
В публикации международной заявки WO 99/01103 описано противоаллергическое и гиполипидемическое действие N-ацильных производных биогенных аминов, например -глутамилгистамина и его ближайшего аналога глутарилгистамина, которые наиболее близки по структуре и действию к заявляемым соединениям. В статье Кржечковская В.В., Желтухина Г.А., Небольсин В.Е. и др. Изучение антианафилактической активности и механизмов действия  -глутамилгистамин обладает выраженной антианафилактической активностью при использовании различных видов животных и способов введения. Полученные результаты свидетельствуют о том, что в тучных клетках животных под действием -глутамилгистамина достоверно снижается содержание гистамина и его антиген-стимулированная секреция. В тесте по исследованию влияния глутарилгистамина на выраженность антиген-индуцированного бронхоспазма было показано снижение величины бронхоспазма более чем на 50% по сравнению с контролем. Данный эффект проявлялся как при пероральном, так и интратрахеальном способе его введения в низкой дозе – 50 мкг/кг. Глутарилгистамин обладает способностью снижать проявления пассивной кожной анафилаксии от 34 до 42% и таким образом превосходит по эффективности супрастин, но уступает кларитину. В WO 99/01103 показано, что при введении животным глутарилгистамина в дозах 50 и 500 мкг/кг было продемонстрировано достоверное снижение интенсивности гиперчувствительности замедленного типа. Кроме того, глутарилгистамин в дозах 50 и 500 мкг/кг обладал также некоторой антихолестеринмимической активностью, снижая содержание общего холестерина по сравнению с животными с атерогенной нагрузкой на 5-7%.
Недостатком глутарилгистамина является его сравнительно высокая стоимость и малая доступность исходного сырья для его получения – гистамина. Кроме того, указанное вещество недостаточно эффективно в вышеперечисленных тестах.
С целью расширения арсенала технических средств и создания более эффективного и доступного противоаллергического, противовоспалительного и гиполипидемического средства, авторами изобретения были выявлены некоторые специфические N-ацильные производные аминокислот общей формулы (I), раскрытой в публикации международной заявки WO 99/01103, но конкретно в ней не описанные, не полученные и не охарактеризованные.
Так, под общую формулу (I) вышеуказанной международной заявки подпадают соединения настоящего изобретения N -сукцинил-L-триптофан (II), N -глутарил-L-триптофан (III), N -глутарил-L-гистидин (IV) и N -сукцинил-L-гистидин (V). Однако в указанной публикации не приведены ни конкретные структурные формулы данных соединений, ни какие-либо физико-химические характеристики, а также не описаны способы их получения. В публикации международной заявки WO 03/072124 приведены формулы N -глутарил-L-триптофана (II), N -глутарил-L-гистидина (IV) и N -сукцинил-L-гистидина (V), но не описан способ их синтеза и не приведены их физико-химические константы.
Одно из соединений глутарилгистидин упоминается только в виде метилового эфира по С-концу His [Glt-His(OMe)] в патенте США 3963691, в качестве промежуточного соединения в синтезе пептида Glt-His-Trp-Ser-Tyr-Gly-Leu-Arg-Pro-Gly-poly-Lys.
Соединение сукцинилгистидин упоминается в публикации международной заявки WO 93/04690. В этой публикации указано, что добавление свободного имидазола или сукцинилгистидина ускоряет взаимодействие карнозина с дигидроксиацетоном. Методики синтеза сукцинилгистидина и его физико-химические константы не приведены.
Структурная формула сукцинилтриптофана упоминается в заявке США 2005079515. В указанной публикации ни методики синтеза сукцинилтриптофана, ни его физико-химические константы не приведены.
Получение N
3 для поддержания слабощелочного рН.
Однако ацилирование ангидридами дикарбоновых кислот свободного гистидина в литературе не описано.
Целью настоящего изобретения являются новые эффективные N-ацильные производные аминокислот, обладающие противоаллергическим и гиполипидемическим действием в низких дозах и не проявляющие побочных эффектов, фармацевтические композиции на их основе, их применение в качестве более эффективных противоаллергических, противовоспалительных и гиполипидемических средств, а также новые способы синтеза N-ацильных производных аминокислот.
Авторами изобретения разработан простой и препаративный способ синтеза соединений общей формулы (I), заключающийся в том, что ангидрид глутаровой или янтарной кислоты в виде твердого вещества прибавляют к водному раствору аминокислоты в отсутствие неорганического и органического основания с получением целевого продукта с достаточно высоким выходом 55-60%.
Авторами изобретения также разработан еще один способ синтеза соединений общей формулы (I), в том числе N-ацильных производных гистидина, включающий проведение реакции в двухфазной системе, состоящей из водного раствора гистидина и раствора ангидрида в подходящем органическом растворителе при использовании избытка ацилирующего агента.
Краткое описание изобретения
Настоящее изобретение относится к новым N-ацильным производным аминокислот общей формулы I:

где n равно 2 или 3; и
R представляет

и их фармацевтически приемлемым солям, обладающим противоаллергическим, противовоспалительным и гиполипидемическим действием.
Настоящее изобретение также относится к способу получения N-ацильных производных аминокислот общей формулы I и их солей, включающему прибавление ангидрида глутаровой или янтарной кислоты в виде твердого вещества к водному раствору аминокислоты общей формулы:

или ее соли, где
R представляет

и, необязательно, превращение целевого продукта в его соль.
Настоящее изобретение далее относится к способу получения N-ацильных производных аминокислот общей формулы I и их солей, включающему проведение реакции в двухфазной системе с ангидридом глутаровой или янтарной кислоты в несмешивающемся с водой органическом растворителе с водным раствором аминокислоты общей формулы:

или ее соли, где R представляет

и, необязательно, превращение целевого продукта в его соль.
Настоящее изобретение относится также к применению соединений общей формулы I и их фармацевтически приемлемых солей в качестве противоаллергических, противовоспалительных и гиполипидемических средств.
Далее, настоящее изобретение относится к фармацевтической композиции и средству, обладающим противоаллергическим, антианафилактическим и противовоспалительным и гиполипидемическим действием, содержащим эффективное количество соединения общей формулы I или его фармацевтически приемлемой соли, а также, если требуется фармацевтически приемлемый носитель.
Еще одним объектом изобретения является способ лечения аллергических заболеваний, включающих бронхиальную астму, аллергический ринит, поллинозы, сезонный ринит, круглогодичный ринит, атопический дерматит, псориаз, крапивницу, аллергические (в том числе анафилактические) реакции на укусы насекомых и лекарственные препараты, холодовую аллергию, аллергический конъюктивит, хронических обструктивных заболеваний легких, а именно хронического обструктивного бронхита, эмфиземы, облитерирующего бронхита, муковисцидоза, а также заболеваний, связанных с нарушениями липидного обмена: атеросклероз, ожирение, ишемическая болезнь сердца и головного мозга, инфаркт миокарда, инсульт, включающий введение эффективного количества соединения общей формулы I или его фармацевтически приемлемое соли.
Детальное описание изобретения
Предпочтительные соединения общей формулы I представлены в таблице 1.

Синтез соединений общей формулы I может быть осуществлен двумя способами. Первый способ заключается в постепенном добавлении к водному раствору аминокислоты общей формулы

или ее соли, где R представляет

глутарового или янтарного ангидрида в виде твердого вещества, с последующим выделением целевого продукта ионообменной хроматографией, предпочтительно пропусканием реакционной смеси через колонку с катионитом и последующей кристаллизацией из водного раствора. Полученные кристаллы целевого продукта промывают подходящим растворителем, предпочтительно метанолом. Главное преимущество заявляемого способа состоит в отсутствии щелочи в водном растворе аминокислоты, что препятствует инактивации ангидрида дикарбоновой кислоты в результате гидролиза. Кроме того, остаток имидазола в составе молекулы аминокислоты может осуществлять кислотно-основный аутокатализ реакции ацилирования аминогруппы аминокислоты. Достаточно высокие выходы (55-60%) при использовании заявляемого способа достигаются, в частности, благодаря постепенному прибавлению ангидрида дикарбоновой кислоты, взятого в избытке, и интенсивному перемешиванию реакционной массы.
Соединения общей формулы I также могут быть получены альтернативным способом в двухфазной системе, включающим добавление ангидрида глутаровой или янтарной кислоты в несмешивающемся с водой органическом растворителе к водному раствору аминокислоты общей формулы:

или ее соли, где
R представляет

Данный способ позволяет использовать избыток ацилирующего агента, достичь полного ацилирования -аминогруппы аминокислоты и выхода целевого продукта около 70%. Для поддержания необходимого рН вместо неорганической щелочи используют органическое основание – пиридин, который не гидролизует ангидрид и, кроме того, как известно, является катализатором ацилирования. Использование пиридина позволяет избежать загрязнения конечного продукта неорганическими солями, которые вместе с продуктом реакции остаются в водном слое. Использованные подходы позволяют упростить отделение целевого продукта от непрореагировавших ангидрида и соответствующей аминокислоты и выделять целевой продукт простой кристаллизацией.
Предпочтительными несмешивающимися с водой органическими растворителями являются бутанол, этилацетат, хлороформ.
Предпочтительными растворителями, используемыми для кристаллизации целевого продукта, являются водно-спиртовые смеси, в частности вода-этанол.
Соединения общей формулы I могут быть также получены в виде фармацевтически приемлемых солей с гидроксидом натрия, гидроксидом калия, карбонатом магния, гидроксидом лития, карбонатом кальция рутинными способами, широко описанными в литературе.
Соединения общей формулы I обладают противоаллергической, противовоспалительной и гиполипидемической активностью и могут быть использованы для лечения аллергических, анафилактических, в том числе сопровождающихся воспалением заболеваний, а также нарушениями липидного обмена.
В частности, соединения настоящего изобретения могут быть использованы для лечения следующих аллергических заболеваний: бронхиальной астмы, аллергического ринита, поллинозов, сезонного ринита, круглогодичного ринита, атопического дерматита, псориаза, крапивницы, аллергических (в том числе анафилактических) реакций на укусы насекомых и лекарственные препараты, холодовой аллергии, аллергического конъюктивита, хронических обструктивных заболеваний легких, а именно хронического обструктивного бронхита, эмфиземы, облитерирующего бронхита, муковисцидоза, а также заболеваний, связанных с нарушениями липидного обмена, таких как атеросклероз, ожирение, ишемическая болезнь сердца и головного мозга, инфаркт миокарда, инсульт.
Соединения настоящего изобретения вводятся в эффективном количестве, которое обеспечивает желаемый терапевтический результат.
Для лечения аллергических заболеваний, включающих бронхиальную астму, аллергический ринит, поллинозы, сезонный ринит, круглогодичный ринит, атопический дерматит, псориаз, крапивницу, аллергические (в том числе анафилактические) реакции на укусы насекомых и лекарственные препараты, холодовую аллергию, аллергический конъюктивит, хронические обструктивные заболевания легких, а именно хронический обструктивный бронхит, эмфизему, облитерирующий бронхит, муковисцидоз, а также заболеваний, связанных с нарушениями липидного обмена, таких как атеросклероз, ожирение, ишемическая болезнь сердца и головного мозга, инфаркт миокарда, инсульт, соединения общей формулы I могут быть введены перорально, местно, парентерально, интраназально, ингаляционно и ректально в виде стандартных лекарственных форм, содержащих нетоксичные фармацевтически приемлемые носители. Используемый в настоящем описании термин «парентеральное введение» означает подкожные, внутривенные, внутримышечные или внутригрудные инъекции или вливания.
Соединения настоящего изобретения могут быть введены пациенту в дозах, составляющих от 0,01 до 10 мг/кг веса тела в день, предпочтительно в дозах от 0,05 до 5 мг/кг один или более раз в день.
При этом следует отметить, что конкретная доза для каждого конкретного пациента будет зависеть от многих факторов, включая активность данного используемого соединения, возраст, вес тела, пол, общее состояние здоровья, и режим питания пациента, время и способ введения лекарственного средства, скорость его выведения из организма, конкретно используемую комбинацию лекарственных средств, а также тяжесть заболевания у данного индивида, подвергаемого лечению.
Фармацевтические композиции по настоящему изобретению содержат соединение общей формулы (I) в количестве, эффективном для достижения желаемого результата, и могут быть введены в виде стандартных лекарственных форм (например, в твердой, полутвердой или жидкой формах), содержащих соединения настоящего изобретения в качестве активного ингредиента в смеси с носителем или наполнителем, пригодным для внутримышечного, внутривенного, перорального, сублингвального, ингаляционного, интраназального и интраректального введения. Активный ингредиент может быть включен в композицию вместе с обычно используемыми нетоксичными фармацевтически приемлемыми носителями, пригодными для изготовления растворов, таблеток, пилюль, капсул, драже, суппозиториев, эмульсий, суспензий, мазей, гелей и любых других лекарственных форм.
В качестве наполнителей могут быть использованы различные вещества, такие как сахариды, например глюкоза, лактоза или сахароза, манит или сорбит, производные целлюлозы и/или фосфаты кальция, например трикальций фосфат или кислый фосфат кальция, в качестве связующего компонента могут быть использованы такие, как крахмальная паста, например кукурузный, пшеничный, рисовый, картофельный крахмал, желатин, трагакант, метилцеллюлоза, гидроксипропилметилцеллюлоза, натрий карбоксиметилцеллюлоза и/или поливинилпирролидон. При необходимости могут быть использованы разрыхляющие агенты, такие как вышеупомянутые крахмалы и карбоксиметилкрахмал, поперечно сшитый поливинилпирролидон, агар или альгиновая кислота или ее соль, такая как альгинат натрия.
Могут быть использованы необязательные добавки, такие как агенты, регулирующие текучесть и смазывающие агенты, такие как диоксид кремния, тальк, стеариновая кислота и ее соли, такие как стеарат магния или стеарат кальция и/или пропиленгликоль.
Ядро драже обычно покрывают слоем, который устойчив к действию желудочного сока. Для этой цели могут быть использованы концентрированные растворы сахаридов, которые могут необязательно содержать аравийскую камедь, тальк, поливинилпирролидон, полиэтиленгликоль и/или диоксид титана, и подходящие органические растворители или их смеси.
В качестве добавок могут быть также использованы стабилизаторы, загустители, красители и отдушки.
В качестве мазевой основы могут быть использованы углеводородные мазевые основы, такие как вазелин белый и желтый (Vaselinum album, Vaselinum flavum), вазелиновое масло (Oleum Vaselini), мазь белая и жидкая (Unguentum album, Unguentum flavum), а в качестве добавок для придания более плотной консистенции, такие как твердый парафин и воск; абсорбтивные мазевые основы, такие как гидрофильный вазелин (Vaselinum hydrophylicum), ланолин (Lanolinum), кольдкрем (Unguentum leniens); мазевые основы, смываемые водой, такие как гидрофильная мазь (Unguentum hydrophylum); водорастворимые мазевые основы, такие как полиэтиленгликолевая мазь (Unguentum Glycolis Polyaethyleni), бентонитовые основы и другие.
В качестве основы для гелей могут быть использованы метилцеллюлоза, натриевая соль карбоксиметилцеллюлозы, оксипропилцеллюлоза, полиэтиленгликоль или полиэтиленоксид, карбопол.
В качестве основы для суппозитория могут быть использованы основы, нерастворимые в воде, такие как масло какао; основы, растворимые в воде или смешиваемые с водой, такие как желатино-глицериновые или полиэтиленоксидные; комбинированные основы – мыльно-глицериновые.
При приготовлении стандартной лекарственной формы количество активного ингредиента, используемого в комбинации с носителем, может варьироваться в зависимости от реципиента, подвергающегося лечению, от конкретного способа введения лекарственного средства.
Так, например, при использовании соединений настоящего изобретения в виде растворов для инъекций содержание активного агента в них составляет 0,01-5%. В качестве разбавителей могут быть использованы 0,9% раствор хлорида натрия, дистиллированная вода, раствор новокаина для инъекций, раствор Рингера, раствор глюкозы, специфические добавки для растворения. При введении в организм соединений настоящего изобретения в виде таблеток и суппозиториев их количество составляет 5,0-500 мг на стандартную лекарственную форму.
Лекарственные формы настоящего изобретения получают по стандартным методикам, таким как, например, процессы смешивания, гранулирования, формирование драже, растворение и лиофилизация.
Следует отметить, что соединения настоящего изобретения проявляют биологическую активность в дозах на два-три порядка ниже по сравнению с известными препаратами, использованными для сравнения, при практически одинаковой эффективности, и для них не выявлено отрицательных побочных действий и не обнаружено противопоказаний к применению. При этом при исследовании токсичности соединений настоящего изобретения в дозе 3000 мг/кг, перорально, не зарегистрировали гибели экспериментальных животных.
Детальное описание соединений настоящего изобретения, их получения и исследования фармакологической активности представлены в нижеследующих примерах, предназначенных для иллюстрации предпочтительных вариантов изобретения и не ограничивающих его объем.
Примеры синтеза N-ацильных производных аминокислот общей формулы (I)
Индивидуальность полученных соединений проверялась методом ТСХ на пластинках “Kieselgel 60 F254” “Merck” (Германия) в системах: метанол (1), хлороформ-метанол-аммиак (4:3:1) (2).
Хроматограммы проявляли хлортолидиновым реактивом, нингидрином, йодом по свечению в УФ-свете.
Углы оптического вращения измеряли на поляриметре “Perkin Elmer 341” (Швеция).
1Н-ЯМР регистрировали на приборе “AMX-400 Bruker” (Германия).
Температуру плавления определяли на приборе “Boetius” (Германия).
Аналитическую ВЭЖХ поводили на приборе “System Gold” (“Beckman”, США), скорость элюции 0,25 мл/мин, детекция при 214 нм в условиях: колонка Ultrasphere ODS “Beckman”, 2Ч250 мм, 5 мкм, элюция 0,1%-ной TFA, скорость элюирования 0,25 мл/мин (1).
Пример 1
N -Глутарил-L-гистидин (IV)
Методика А
К раствору 103,4 г (0,67 моль) гистидина в 400 мл воды добавляют 83,7 г (0,73 моль) глутарового ангидрида. Суспензию перемешивают 1 час, образующийся раствор упаривают до объема 150 мл, оставляют в холодильнике на 16 часов. Выпавший осадок отфильтровывают, промывают 150 мл метанола и сушат. Очистку проводят ионообменной хроматографией на смоле Пьюролайт в Н+ форме, элюируя водой. Фракции, содержащие целевой продукт, объединяют, упаривают до начала выпадения осадка и оставляют на 16 часов при +4°C. Выпавший осадок отфильтровывают, промывают 200 мл метанола и сушат до постоянного веса. Выход 98,8 г (55%). Rf 0,55 (1), 0,37 (2). Тпл = 222-224°С. [ ]D 20+15, 95° (C 0,53, вода). [М+Н]+ 270,1. 1H-ЯМР спектр (D2O), , м.д.: 1,60-1,80 (м, 2Н, -CH2-Glt), 2,10-2,25 (м, 4Н, , -CH2-Glt), 2,90-3,25 (м, 2Н, -CH2-His), 4,40-4,50 (м, 1Н, -CH-His), 7,15 (с, 1Н, CH-4-Im), 8,50 (с, 1Н, CH-2-Im).
Найдено, %: C 49,18; H 5,91; N 15,42.
C11H15N3O5.
Вычислено, %: C 49,07; H 5,62; N 15,61.
Методика Б
К суспензии 0,3 г (1,93 ммоль) гистидина в 5 мл воды при интенсивном перемешивании добавляют 0,44 г (3,86 ммоль) глутарового ангидрида, растворенного в 2,5 мл этилацетата. Перемешивают 2 часа, пиридином доводят рН до 7 и перемешивают еще 1 час. Этилацетатный и водный слой разделяют. Водный слой дважды промывают эфиром, эфирный слой отбрасывают. Воду удаляют в вакууме, остаток растворяют в минимальном количестве воды и добавляют этанол до начала выпадения белого осадка, оставляют при +4°C на 20 ч. Осадок отделяют фильтрованием, сушат в вакууме. Выход 0,36 г (70%). Rf 0,56 (1), 0,35 (2). Тпл = 219-221°С. [ ]D 20 = +15,71° (C 0,56, вода). [М+Н]+ 270,1. 1H-ЯМР спектр (D2O), , м.д.: 1,40-1,55 (м, 2Н, -CH2-Glt), 1,90-2,0 (м, 4H, , -CH2-Glt), 2,7-3,0 (м, 2H, -CH2-His), 4,20-4,30 (м, 1H, -CH-His), 6,95 (c, 1H, 4-CH-Im), 8,30 (c, 1H, 2-CH-Im). ВЭЖХ в условиях: (1) – индивидуальный пик, время удерживания 14,55 мин.
Найдено, %: C 49,07; H 5,65; N 15,65.
C11H15N3O5.
Вычислено, %: C 49,07; H 5,62; N 15,61.
Пример 2
N -Сукцинил-L-гистидин (V)
Синтез проводили в соответствии с методикой А, приведенной для соединения IV.
Выход 0,08 г (57%).
Rf 0,44 (1), 0,25 (2).
Тпл = 179-181°С
[ ]D 20 = +30,71° (C 0,56, вода)
[М]+ 255,2
1H-ЯМР спектр (D2O), , м.д.: 2,15-2,30 (м, 4Н, (CH2)2-Suc), 2,75-2,95 (м, 2H, -CH2-His), 4,25 (уш.с, 1H, -CH-His), 6,95 (c, 1H, 4-CH-Jm), 8,25 (c, 1H, 2-CH-Jm).
Найдено, %: C 47,09; H 5,04; N 16,40.
C10H13N3O5.
Вычислено, %: C 47,06; H 5,13; N 16,46.
Синтез проводили в соответствии с методикой Б, приведенной для соединения IV.
Выход 0,101 г (67%).
Rf 0,45 (1), 0,27 (2).
Тпл = 178-180°С
[ ]D 20 = +30,8° (C 0,57, вода)
ВЭЖХ в условиях (1) – индивидуальный пик, время удерживания 7,54 мин.
Найдено, %: C 47,15; H 5,2; N 16,50.
C10H13N3O5.
Вычислено, %: C 47,06; H 5,13; N 16,46.
Пример 3
N -Сукцинил-L-триптофан (II)
Синтез проводили в соответствии с методикой Б, приведенной для соединения IV.
Выход 100,5 мг (67%).
Rf 0,39 (1).
1H-ЯМР спектр (CD3OD), , м.д.: 1,87-1,93 (м, 2Н, -CH2-Glt), 2,25-2,37 (м, 4Н, , -CH2-Glt), 3,37-3,47 (м, 2Н, -CH2-Trp), 3,81-3,94 (м, 1Н, -CH-Trp), 6,99 (т, J 7 Гц, 1H, CH-6-Ind), 7,07 (т, J 7 Гц, 1Н, CH-7-Ind), 7,24 (д, J 7 Гц, 1H, CH-2-Ind), 7,35 (д, J 7 Гц, 1H, CH-5-Ind), 7,55 (д, J 7 Гц, 1Н, CH-8-Ind).
[М]+ 304,3
Найдено, %: С 59,07; H 5,65; N 9,35.
C15H16N2O5.
Вычислено, %: С 59,21; H 5,3; N 9,21.
Пример 4
Глутарилтриптофан (III)
Синтез проводили в соответствии с методикой Б, приведенной для соединения IV.
Выход 100,5 мг (67%).
Rf 0.63 (1).
=+21,05° (С 0,6, вода)
1Н-ЯМР спектр (DMSO-d6), , м.д.: 2,33-2,41 (м, 4Н, , -СН2-Suc), 2,93-3,01 (м, 1Н, -СН2-Trp), 3.10-3.16 (м, 1Н, -СН2-Trp), 4,39-4,47 (м, 1Н, -СН-Trp), 6,93-7,06 (м, 2Н, СН-6,7-Ind), 7,11 (д, J 2,2 Гц, 1Н, CH-2-Ind), 7,30-7,32 (м, 1Н, CH-5-Ind), 7,44-7,47 (м, 1Н, CH-8-Ind). [М]+ 304,3.
ВЭЖХ в условиях: (2) – индивидуальный пик, время удерживания 6,35 мин.
Найдено, %: С 59,07; Н 5,65; N 9,35.
C15H16N2O5.
Вычислено, %: С 59,21; Н 5,3; N 9,21.
Пример 5
Мононатриевая соль N -глутарил-L-гистидина (IV)
К раствору 1,0 г (3,7 ммоль) N -глутарил-L-гистидина в 15 мл воды при перемешивании и охлаждении до +5°С прибавляют раствор 0,15 г (3,7 ммоль) NaOH в 20 мл воды. Раствор перемешивают 30 мин, растворитель удаляют в вакууме. К маслообразному остатку порциями добавляют бензол, растворитель удаляют в вакууме. Твердый остаток сушат над гранулированной щелочью.
Выход 1.07 г (99.7%).
Тпл=208-210°С
=+16.27° (С 0.58, вода)
Найдено, %: С 45,25; Н 5,51; N 14,52.
C11H15N3O5Na.
Вычислено, %: С 45,21; Н 5,17; N 14,38.
Пример 6
Мононатриевая соль N -сукцинил-L-гистидина (V)
Синтез проводили в соответствии с методикой, приведенной для мононатриевой соли N -глутарил-L-гистидина (IV) (пример 5).
Выход 1.06 г (97.0%).
=+40.21° (С 0.48, вода)
Найдено, %: С 43,25; Н 4,51; N 15,52.
C10H13N3O5Na.
Вычислено, %: С 43,17; Н 4,71; N 15,10.
Пример 7
Мононатриевая соль N -сукцинил-L-триптофана (II)
Синтез проводили в соответствии с методикой, приведенной для мононатриевой соли N -глутарил-L-гистидина (IV) (пример 5).
Выход 0.21 г (98.0%).
Тпл=147-150°С
=+22.02° (С 0.39, вода)
Найдено, %: С 55,25; Н 4,51; N 8,32.
C15H16N2O5Na.
Вычислено, %: С 55,05; Н 4,93; N 8,56.
ВЭЖХ в условиях: (2) – индивидуальный пик, время удерживания 6,56 мин.
Пример 8
Мононатриевая соль N -глутарил-L-триптофана (III)
Синтез проводили в соответствии с методикой, приведенной для мононатриевой соли N -глутарил-L-гистидина (IV) (пример 5).
Выход 0.11 г (99.0%).
Тпл=128-130°С
=+22.06° (С 0.34, метанол)
Найдено, %: С 56,15; Н 5,21; N 8,22.
C16H18N2O5Na.
Вычислено, %: С 56,30; Н 5,32; N 8,21.
ВЭЖХ в условиях: (2) – индивидуальный пик, время удерживания 6,96 мин.
Пример 9
Динатриевая соль N -глутарил-L-гистидина (IV)
К раствору 1,0 г (3,7 ммоль) N -глутарил-L-гистидина в 15 мл воды при перемешивании и охлаждении до +5°С прибавляют раствор 0,3 г (7,44 ммоль) NaOH в 15 мл воды. Раствор перемешивают 30 мин, растворитель удаляют в вакууме. К маслообразному остатку порциями добавляют бензол, растворитель удаляют в вакууме. Твердый остаток сушат над гранулированной щелочью.
Выход 1.15 г (99.0%).
=+11.92° (С 0.57, вода)
Найдено, %: С 41,25; Н 4,51; N 13,52.
C141H15N3O5Na2.
Вычислено, %: С 41,91; Н 4,80; N 13,3.
Пример 10
Динатриевая соль N -сукцинил-L-гистидина (V)
Синтез проводили в соответствии с методикой, приведенной для динатриевой соли N -глутарил-L-гистидина (IV) (пример 9).
Выход 1.16 г (99.0%).
Тпл=124-128°С
=+20.06° (С 0.67, вода)
Найдено, %: С 39,55; Н 4,31; N 13,52.
C10H13N3O5Na2.
Вычислено, %: С 39,88; Н 4,35; N 13,95.
Пример 11
Динатриевая соль N -сукцинил-L-триптофана (II)
Синтез проводили в соответствии с методикой, приведенной для динатриевой соли N -глутарил-L-гистидина (IV) (пример 9).
Выход 0.56 г (97.7%).
Найдено, %: С 51,35; Н 4,31; N 8,22.
C15H16N2O5Na2.
Вычислено, %: С 51,43; Н 4,60; N 8,0.
Пример 12
Ди-натриевая соль N -глутарил-L-триптофана (III)
Синтез проводили в соответствии с методикой, приведенной для ди-натриевой соли N -глутарил-L-гистидина (IV) (пример 9).
Выход 0.56 г (98.5%).
Найдено, %: С 52,55; Н 4,71; N 7,52.
C16H18N2O5Na2.
Вычислено, %: С 52,75; Н 4,98; N 7,69.
Тесты на биологическую активность
Пример 13
Влияние соединений общей формулы I на аллергические реакции немедленного типа (тест индуцированной овальбумином (ОА) дегрануляции базофилов крови иммунизированной морской свинки in vitro.
Выделение лейкоцитов из крови морской свинки осуществляли по методу Фримеля [Иммунологические методы / Под ред. Г.Фримеля /, М.: Медицина, 1987, стр.222 в нашей модификации].
Под эфирным наркозом из сердца морской свинки отбирали 15 мл крови. Для выделения базофилов в составе лейкоцитарной взвеси использовали двойное осаждение клеток посредством ЭДТА и с помощью цитратсодержащей осаждающей жидкости.
Кровь смешивали с 5% раствором ЭДТА·Na2 2H2O (“Sigma”) в соотношении 9:1 и через 30 мин мягко центрифугировали (12 мин при 80 g). Надосадочную жидкость собирали и центрифугировали 15 мин при 500 g.
К оставшимся клеткам крови добавляли цитратсодержащую осаждающую жидкость (3) в пропорции 3:10 (термостатируется при 37°С в течение 30 мин). Обогащенную лейкоцитами надосадочную фракцию центрифугировали 7 мин при 100 g. К осадку лейкоцитов добавляли 0,85% раствор NaCl и концентрацию клеток доводили до 30×103/мкл.
Постановка теста дегрануляции базофилов in vitro [Справочник по клиническим лабораторным методам исследования / Под ред. Е.А.Кост /, М.: Медицина, 1975, стр.130].
Для постановки теста в центрифужную пробирку (используется по 3 пробирки на каждую пробу) помещали 300 мкл клеточной взвеси, затем добавляли 300 мкл солевого раствора исследуемого соединения (или солевого раствора в контроле спонтанной и максимальной дегрануляции) и преинкубировали при 37°С в течение 15 мин, затем добавляли по 300 мкл 1% солевого раствора ОА в каждую пробирку (в контроль спонтанной дегрануляции добавляли солевой раствор в таком же количестве) и еще раз преинкубировали при 37°С в течение 10 мин. Рабочая концентрация лейкоцитов составляет при этом 104
Для выявления специфической зернистости базофилов использовали краситель 0,5% альциановый синий (рН 1,0), ядра докрашивали сафранином (0,1% раствор в 1% уксусной кислоте). Препараты использовали для оценки суммарного торможения дегрануляции.
Торможение суммарной дегрануляции (ТГ) (%) рассчитывали по формуле

где мах – % дегранулированных базофилов при максимальной дегрануляции (ОА);
спонт. – % дегранулированных базофилов при спонтанной дегрануляции (контроль);
эксп. – % дегранулированных базофилов после воздействия исследуемого соединения.
Оценка полной дегрануляции базофилов
Отобранные после постановки теста дегрануляции базофилов пробы (по 100 мкл) помещали в пробирки с красителем (0,5% альциановый синий, рН 1,0) в соотношении 1:1. Окрашивание производили при комнатной температуре не менее 50 мин. Подсчет количества окрашенных базофилов проводили с использованием камеры Фукса-Розенталя. Торможение полной дегрануляции (ТПД) базофилов рассчитывали по формуле
ТПД(%)=1-[(Мср(к)-Мср(эксп.)]/[Мср(к)-Мср(ОА)]×100,
где Мср(к) – среднее (по 3-м пробам) количество базофилов в тесте спонтанной дегрануляции;
Мср(ОА) – среднее (по 3-м пробам) количество базофилов в тесте максимальной антигениндуцированной дегрануляции;
Мср(эксп) – среднее (по 3-м пробам) количество базофилов в тесте дегрануляции после инкубации с исследуемым соединением.
| Таблица 2 |
| Торможение ОА-индуцированной дегрануляции базофилов крови иммунизированной морских свинок in vitro под воздействием соединений общей формулы I |
| № опыта п/п |
Группы |
Торможение полной дегрануляции (ТПД), (%) |
Количество полностью дегранулированных базофилов, (%) |
| 1. |
Контроль 1 (спонтанная дегрануляция) |
100 |
0 |
| 2. |
Овальбумин 1% (max дегрануляция) |
0 |
35,2±0,8 |
| 3. |
Соединение IV (10-3 М) |
99,2±11,2 |
2,6±2,6* |
| 4. |
Соединение IV (10-4 М) |
99,5±12,0 |
2,9±1,6* |
| 5. |
Соединение IV (10-5 М) |
113,5±2,7 |
0 |
| 6. |
Соединение IV (10-6 М) |
90,0±1,8 |
3,9±0,6 |
| 7. |
Соединение IV (10-7 М) |
76,7±1,5 |
9,11±0,8 |
| 8. |
Глутарилгистамин (10-3 М) |
9,3±5,5 |
31,6±6,33 |
| 9. |
Глутарилгистамин (10-4 М) |
24,1±1,1 |
25,3±3,38 |
| 10. |
Глутарилгистамин (10-5 М) |
0 |
29,8±6,73 |
| 11. |
Контроль 2 |
100 |
0 |
| 12. |
Овальбумин 1% (max дегрануляция) |
0 |
38,91±8,43 |
| 13. |
Соединение V (10-3 М) |
10,6±7,6 |
35,31±7,29 |
| 14. |
Соединение V (10-4 М) |
18,9±11,8 |
31,2±6,8 |
| 15. |
Соединение V (10-5 М) |
44,01±11,27 |
24,61±10,38 |
| 16. |
Гидрокортизон (10-3 М) |
71,0±1,6 |
10,0±0,7 |
| 17. |
Гидрокортизон (10-4 М) |
48,0±0,8 |
17,3±0,9 |
| 18. |
Гидрокортизон (10-5 М) |
40,0±0,6 |
20,0±1,3 |
| (* – Р<0,001) |
Данные таблицы 2 показывают, что по сравнению с глутарилгистамином соединение (IV) оказывает выраженное антианафилактическое действие, проявляющееся практически 100% торможением дегрануляции в тесте полной ОА-индуцированной дегрануляции базофилов крови активно иммунизированных морских свинок (реакция анафилаксии in vitro в безкальциевой среде). Значительный антианафилактический эффект соединения IV проявляется и в уменьшении количества дегранулированных клеток, особенно выраженном в концентрации 10-5 М (отсутствие дегранулированных клеток).
Пример 14
Изучение влияния соединений общей формулы I на системную анафилаксию in vivo
В опытных группах морским свинкам в течение трех дней внутрижелудочно с помощью зонда вводили исследуемые соединения в дозах 10 мкг/кг, 50 мкг/кг и 150 мкг/кг. В другой серии экспериментов исследуемые соединения в дозе 50 мкг/кг (в 1 мл физ. раствора) вводили ингаляционно (с помощью небуляйзера) также в течение трех дней 1 раз в сутки. Контрольной группе вводили физ. раствор. Через 1 час после последнего введения веществ ингалировали с помощью небулайзера овальбумин и оценивали длительность (в секундах) и интенсивность бронхоспастической реакции животных.
| Таблица 3 |
| Торможение системной анафилактической реакции морских свинок при ингаляционном введении соединения IV в дозе 50 мкг/кг |
| Группы |
Длительность острой фазы, с |
Длительность подострой фазы, с |
Контроль 1 (физ. раствор) |
180±6 |
650±34 |
Соединение IV 50 мкг/кг |
0 |
400±25 |
| Таблица 4 |
| Торможение системной анафилактической реакции морских свинок при внутрижелудочном введении соединения IV в дозах 10 и 150 мкг/кг (М±m) |
| Группы |
Длительность острой фазы, с |
Общее время реакции, с |
| Контроль 2 (физ. раствор) |
296,7±104,6 |
628,3±80,6 |
Соединение IV 10 мкг/кг |
68,0±54,7* |
428,0±75,0 |
Соединение IV 150 мкг/кг |
72,0±42,1* |
337,0±78,5* |
| * – Р<0,001 |
Результаты экспериментов, представленные в таблицах 3 и 4, показывают, что соединение IV при внутрижелудочном введении в дозах 10 и 150 мкг/кг и ингаляционном введении в дозе 50 мкг/кг проявило антианафилактическую активность. Ингаляционное введение вещества в дозе 50 мкг/кг блокировало развитие острой фазы бронхоконстрикторной реакции, которая, вызывая удушье, является причиной гибели животных. При внутрижелудочном введении соединения IV в дозах 10 мкг/кг и 150 мкг/кг был выявлен значительный протективный эффект в отношении антигениндуцированного бронхоспазма.
Таким образом, соединение IV проявляет значительный протективный эффект в отношении системной анафилактической реакции in vivo.
Пример 15
Противоаллергическое действие соединений общей формулы I на модели аллергического ринита у морских свинок
Использована модель аллергического ринита у морских свинок.
Морских свинок иммунизировали по определенной схеме в течение 1,5-2-х месяцев (Hutson P.A., Church M.K. et al. 1988): вначале животных иммунизировали внутрибрюшинным введением овальбумина в дозе 10 мг/кг с 7-дневным интервалом (дважды), затем свинкам ингалировали с помощью небуляйзерной техники (Pari) раствор овальбумина в возрастающей концентрации, начиная с 0,1% до 1%, с интервалом в 4 дня между ингаляциями. Последнюю дозу овальбумина вводили в назальные ходы с помощью микропипетки. Через 24 часа после последнего введения овальбумина производили забор назального смыва (через систему специальных трубочек) и изменения в слизистой носа оценивали с помощью комплекса методов: гистологических и цитологических. Исследуемые соединения (0,1% раствор) вводили ежедневно в виде ингаляций с помощью небуляйзерной техники в течение 6 дней, на 6-й день введения вызывали провокацию антигеном (ОА). Назальный смыв получали через сутки после провокации.
| Таблица 5 |
| Влияние соединения IV на цитоз (абсолютное количество клеток в 1 мкл) в назальном смыве |
| Группа |
Интактн. контроль |
Модель + провокац. (ринит) |
Соединение IV (0,1% р-р) |
| N |
6 |
7 |
7 |
| Цитоз |
18,012,10 |
67,2±6,47** |
43,7±6,65°* |
* – отличие от интактного контроля; ° – отличие от модели (° – Р<0,05; * – Р<0,01; ** – Р<0,001) |
| Таблица 6 |
| Влияние соединения IV на показатели цитограммы (%) назального смыва морских свинок |
Группа Субпопуляция |
Интактный контроль n=6 |
Модель (ринит) n=7 |
Соединение IV (0,1%р-р) n=7 |
| Макрофаги |
21,8±1,64 |
12,7*±11,57 |
14,6*±1,27 |
| Лимфоциты |
4,7±0,88 |
6,1±1,42 |
5,7±1,54 |
| Нейтрофилы |
0,3±0,21 |
3,3*±10,80 |
7,8**°±1,35 |
| Эозинофилы |
7,0±2,45 |
47,9***±15,37 |
6,9°°°±1,32 |
| Эпителиоциты |
66,2±3,09 |
27,1***±15,01 |
63,6°°°±3,02 |
* – отличие от интактного контроля; ° – отличие от модели (ринит) (° – Р<0,05; ** – Р<0,01; ***, °°° – Р<0,001) |
| Таблица 7 |
| Влияние соединения IV на абсолютное количество клеточных субпопуляций назального смыва морских свинок (в 1 мкл) |
Группа Субпопуляция |
Интактн. контроль n=6 |
Модель (ринит) n=7 |
Соединение IV (0,1% р-р) n=7 |
| Макрофаги |
6,2±1,29 |
7,9±1,88 |
6,1±0,75 |
| Лимфоциты |
0,9±0,24 |
4,1*±1,16 |
3,2*±52 |
| Нейтрофилы |
0,03±0,021 |
2,1±0,67 |
3,1±1,02 |
| Эозинофилы |
1,2±0,46 |
26,5***±4,47 |
3,2°°±0,97 |
| Эпителиоциты |
11,8±1,4 |
11,3±2,10 |
26,3**°°±4,31 |
Примечание: * – отличие от интактного контроля; ° – отличие от модели (* – Р<0,05; **, °° – Р<0,01; ***, °°° – Р<0,001) |
Из данных таблиц 5-7 следует, что в условиях моделирования аллергического ринита соединение IV значительно подавляет эозинофильное воспаление. Это подтверждается снижением до нормы абсолютного и относительного количества эозинофилов, а также существенным снижением цитоза в назальном смыве.
Пример 16
Противоаллергическая активность соединений общей формулы I на модели аллергического воспаления легких у морских свинок
Использована модель аллергического воспаления легких у морских свинок.
Иммунизация животных аналогична той, которая описана в примере 14.
Через 24 часа после последнего введения овальбумина производили забор бронхоальвеолярного смыва (через канюлю, вставленную в трахею), и изменения в слизистой бронхов оценивали с помощью комплекса методов: гистологических и цитологических.
Исследуемые соединения (0,1% р-р) вводили ежедневно в виде ингаляций с помощью небулайзерной техники в течение 6 дней, на 6-й день введения вызывали провокацию антигеном (ОА).
| Таблица 8 |
| Влияние соединения IV на цитоз (абсолютное количество клеток в 1 мкл) в бронхоальвеолярном смыве |
| Группа |
Интактн. контроль |
Модель + провокац. (ринит) |
Соединение IV (0,1% р-р) |
| N |
6 |
5 |
7 |
| Цитоз |
726,8±82,4 |
1849,4±287,3* |
1331,3±277,4 |
| * Р<0,01 – отличие от интактного контроля |
| Таблица 9 |
| Влияние соединения IV на абсолютное количество клеточных субпопуляций бронхоальвеолярного смыва морских свинок (в 1 мкл) |
Группа Субпопуляция |
Интактн. контр. |
Модель |
Соединение IV (0,1% р-р) |
| Макрофаги |
502,6±60,31 (n=6) |
680,3±105,0 (n=5) |
640,1±57,98 (n=6) |
| Лимфоциты |
101,4±24,3 (n=6) |
328,3**±49,18 (n=5) |
233,0*±45,77 (n=7) |
| Нейтрофилы |
0 (n=6) |
56,8±17,08 (n=5) |
16,9°±4,22 (n=7) |
| Эозинофилы |
37,0±9,04 (n=5) |
773,0**±171,7 (n=5) |
487,4**±98,70 (n=6) |
| Эпителиоциты |
16,9±6,09 (n=6) |
0 (n=5) |
2,48*±1,84 (n=7) |
* – отличие от интактного контроля; °- отличие от модели (*, ° – Р<0,05; ** – Р<0,01) |
Из данных таблиц 8 и 9 следует, что соединение IV в условиях модели аллергического воспаления легких существенно ингибирует воспалительный процесс, что проявляется уменьшением цитоза, снижением содержания ключевой клетки аллергического воспаления – эозинофилов, резким снижением нейтрофилов, а также уменьшением числа лимфоцитов.
Пример 17
Изучение противовоспалительного действия соединений общей формулы I на модели воспаления легких у крыс, индуцированного сефадексом
Модель сефадексиндуцированного (6-дневного) воспаления легких у крыс
В опытах были использованы крысы-самцы породы Вистар с массой тела 270-300 г.
Воспаление в легких индуцировали однократным ингаляционным введением сефадекса А-25 (гидрофильного порошка с размерами частиц от 20 до 80 мкм) в дозе 5 мг/кг с помощью дозирующего устройства, являющегося лабораторным аналогом ингалятора “Циклохалера” (НИИ пульмонологии РФ).
Методика ингаляционного введения сефадекса и фармакологических веществ
Крысам с помощью оригинального дозирующего устройства для ингаляционного введения сухих порошков под эфирным наркозом вводили сефадекс А-25 в дозе 5 мг на 1 кг массы тела. Крысы Вистар после введения сефадекса А-25 быстро выходили из наркоза и внешне каких-либо особенностей в поведении, характере дыхания у них не отмечалось. Вещества в виде сухого порошка вводили ингаляционно в дозе 500 мкг/кг через 1 час после введения сефадекса, затем в течение 5 дней подряд ежедневно 1 раз в день в одни и те же утренние часы. Контроль представлен 2 группами: группой интактных животных, группой крыс, которым ингаляционно однократно ввели сефадекс.
Результаты терапевтического действия фармакологических веществ на развитие воспалительного процесса в легких оценивали через 6 суток после аэрозольного воздействия сефадекса с помощью морфологических и морфометрических показателей (объемная плотность эмфиземы и альвеолита).
Методы, использованные в работе
Гистологические
Проводили гистологическое исследование легких, окрашенных гематоксилином и эозином.
Морфометрические
Цитологические
Результаты исследований обработаны методами вариационной статистики с использованием t-критерия Стьюдента.
| Таблица 10 |
| Показатели цитоза бронхоальвеолярного смыва крыс Вистар после аэрозольного воздействия сефадекса А-25 и лечения фармакологическими агентами (М±m) |
| Цитоз |
| Абсолютное количество клеток в 1 мкл БАЛ |
| Критерий |
Интактн. n=5 |
Сефадекс (модель) n=6 |
Соединение IV n=6 |
| Цитоз |
160,4±20,65 |
259,2*±32,42 |
178,6*±20,4 |
| Р |
|
0,05 |
0,05 |
| Примечание: * – отличие от интактного контроля |
| Таблица 11 |
| Показатели клеточного состава бронхоальвеолярного смыва крыс Вистар после аэрозольного воздействия сефадекса А-25 и лечения исследуемого соединения (М±m) |
| Цитоз |
| Абсолютное количество клеток различных субпопуляций в 1 мкл БАЛ |
| Субпопуляция |
Интактн. контр. |
Модель (сефадекс) |
Соединение IV |
| N |
4 |
5 |
6 |
| Макрофаги |
124,8±16,35 |
226,1*±30,83 |
152,4±18,5 |
| Лимфоциты |
15,5±4,27 |
28,2±6,01 |
22,0*±3,5 |
| Нейтрофилы |
0 |
20,4*±6,38 |
5,1*±0,6 |
| Примечание: * – отличие от интактного контроля (Р<0,05) |
Гистологическое исследование легких
Соединение IV вызвал отчетливое противовоспалительное действие: распространенность альвеолита была достоверно ниже по сравнению с модельной группой животных; эмфизема практически не выявлялась; не отмечена инфильтрация нейтрофилами межальвеолярных перегородок. По уровню цитоза и количеству нейтрофилов в БАЛ воспалительный процесс также значительно менее выражен, чем у животных, получавших сефадекс в течение 5 дней.
Таким образом, весь комплекс использованных экспериментальных моделей свидетельствует о значительной противоаллергической, антианафилактической и противовоспалительной активности соединений общей формулы I, проявляемой как в тестах in vitro, так и при моделировании аллергической и воспалительной патологии in vivo.
Пример 18
Исследование гиполипидемического действия соединений общей формулы (I) модели гиперхолестеринемии крыс
Исследование проводили на крысах-самцах Вистар массой 200±20 г. Гиперлипидемию вызывали пероральным введением холестериновой нагрузки – масляной суспензии холестерина:
оливковое масло (Acorsa, Испания) – 5 мл/кг веса животных;
холестерин (Sigma, USA) – 1 г/кг веса;
холат натрия (Sigma, USA) – 100 мг/кг веса.
В качестве препарата сравнения использовали препарат из группы статинов – «мевакор» (ловастатин) фирмы Merck Sharp & Dohn в дозе 4 0 мг/кг. Холестериновую суспензию вводили утром ежедневно в течение 10 дней. Исследуемые соединения (в дозе 500 мкг/кг) и препарат сравнения (в дозе 40 мг/кг) вводили животным вместе с холестериновой суспензией в течение 10 дней. Все животные получали стандартный брикетированный корм.
Животные были разбиты на следующие группы:
«Контроль» – интактные животные (n=6)
«Холестерин» – крысы, получавшие per os холестериновую нагрузку (n=10)
«Ловастатин» – крысы, получавшие per os холестериновую нагрузку и ловастатин (n=10)
«соединение IV» – крысы, получавшие per os холестериновую нагрузку и исследуемое соединение IV (n=10).
Образцы крови брали на 5, 8, 10 день эксперимента.
Статистическую обработку гиполипидемического действия исследуемых веществ проводили по отношению к группе «холестерин» (таблица 13).
| Таблица 12 |
| Содержание холестерина и триглицеридов в сыворотке крови и печени крыс, получавших в течение 10 дней per os оливковое масло, холестерин и соединение IV одновременно с холестериновой нагрузкой |
| |
Контроль (n=6) |
Холестерин (n=10) |
Ловастатин (n=10) |
соединение IV (n=9) |
| Общий холестерин |
|
|
|
|
| Сыворотка (мг/100 мл) |
67,2±6,1 |
120,0±8,4 |
100,5±6,7* |
96,6±5,7** |
| ЛПВП (мг/100 мл) |
41,6±1,3 |
54,3±1,7 |
50,6±1,3 |
50,5±1,3* |
| ЛПНП + ЛПОНП (мг/100 мл) |
25,6±0,8 |
65,7±1,2 |
49,9±0,9*** |
46,1±0,9*** |
| Печень (мг/г ткани) |
2,29±0,13 |
3,6±0,4 |
2,41±0,17*** |
2,78±0,28*** |
| Триглицериды |
|
|
|
|
| Сыворотка (мг/100 мл) |
85,7±9,2 |
99,2±8,7 |
93,6±7,5 |
95,1±7,9 |
| Печень (мг/г ткани) |
3,89±0,14 |
6,83±0,39 |
6,25±0,13 |
5,53±0,19*** |
| * – р<0,1 |
| ** – р<0,05 |
| *** – р<0,01 |
Введение соединения IV в дозе 500 мкг/кг приводило к достоверному снижению общего холестерина сыворотки на 19,5%, печени на 22,7%, холестерина ЛНП на 29,8%, триглицеридов печени на 19%. Соединение глутарилгистамин, снижая содержание общего холестерина лишь на 9%, оказывало влияние только на ЛПНП и ЛПОНП (липопротеинов низкой и очень низкой плотности), что показано в публикации международной заявки WO 99/01103, и, очевидно, менее эффективно, чем соединение IV, в аналогичном биологическом эксперименте.
Ниже приведены результаты исследований других заявленных соединений.
Экспериментальные группы включали следующие соединения:
1) «Холестерин» – получавшие в течение 10 дней per os масляную суспензию холестерина;
2) «соединение IV» – крысы, получавшие per os масляную суспензию холестерина и исследуемое соединение IV;
3) «соединение IV-INa» – крысы, получавшие per os масляную суспензию холестерина и исследуемую мононатриевую соль соединения IV;
4) «соединение IV-2Na» – крысы, получавшие per os масляную суспензию холестерина и исследуемую динатриевую соль соединения IV;
5) «соединение V-INa» – крысы, получавшие per os масляную суспензию холестерина и исследуемую мононатриевую соль соединения V;
6) «соединение III-INa» – крысы, получавшие per os масляную суспензию холестерина и исследуемую моно-натриевую соль соединения III;
7) «соединение II-INa» – крысы, получавшие per os масляную суспензию холестерина и исследуемую мононатриевую соль соединения II;
8) “Sim” – крысы, получавшие per os маслянную суспензию холестерина и симвастатина;
9) контроль – интактные крысы до начала эксперимента.
На 10-й день опыта образцы крови брали после декапитации животных. Перед декапитацией животные голодали 12 часов.
В сыворотке крови измеряли содержание общего холестерина, триглицеридов, холестерина липопротеидов высокой плотности (ЛПВП). Холестерин липопротеидов низкой и очень низкой плотности рассчитывали по разности общего холестерина и холестерина ЛВП.
Содержание общего холестерина и триглицеридов в сыворотке крови определяли ферментативным методом.
Определение содержания холестерина в липопротеидах высокой плотности ( -ЛП) проводили методом осаждения ЛНП и ЛОНП фосфорновольфрамовой кислотой и ионами магния.
Статистическая обработка.
Данные в таблицах представлены как среднее значение ± стандартная ошибка среднего. Достоверность различий между группами «холестерин» и «препарат…» оценивали по двухвыборочному t-тесту Стьюдента. Вероятность ошибки (р) указана в графах таблицы.
Данные о влиянии исследуемых соединений на содержание холестерина и триглицеридов в сыворотке крови крыс, получавших холестериновую нагрузку, представлены в таблицах 13-20.
| Таблица 13 |
| Экспериментальная гиперхолестеринемия |
| Показатели липидного обмена крыс (мг/100 мл) |
| |
до начала эксперимента (n=50) |
10 дней холестериновой нагрузки (n=20) |
| Общий холестерин |
|
|
| Сыворотка |
59,9±1,4 |
135,7±10,9 |
| ЛПВП |
38,2±1,2 |
32,5±1,1 |
| ЛНП + ЛОНП |
20,3±1,3 |
103,2±11,5 |
| |
| Триглицериды |
|
|
| Сыворотка |
83,6±4,6 |
156,6±11,4 |
| ЛПВП |
19,0±1,4 |
24,3±1,8 |
| ЛПНП + ЛПОНП |
58,7±6,2 |
132,6±12,8 |
Десятидневное введение крысам масляной суспензии холестерина привело к достоверному увеличению содержания общего холестерина в сыворотке в 2,3 раза, триглицеридов в 1,9 раза. При развитии индуцированной гиперлипидемии холестерин ЛПВП снижался на 15%. Холестерин ЛПНП + ЛПОНП возрастал в 5 раз. Триглицериды ЛНП + ЛОНП возрастали в 2,3 раза.


Десятидневное введение крысам масляной суспензии холестерина привело к достоверному увеличению содержания общего холестерина в сыворотке в 1,7 раза, триглицеридов в 1,6 раза (таблица 17). Холестерин ЛПВП снижался на 28% с исходных 66,7 до 48 мг/100 мл при развитии индуцированной гиперлипидемии. Холестерин ЛПНП + ЛПОНП возрастал в 4,4 раза с 22,5 до 99 мг/100 мл.
| Таблица 18 |
| Содержание холестерина и триглицеридов (мг/100 мл) в сыворотке крови крыс на 5-й день эксперимента |
| Показатели |
группы |
| «Холестерин» (n=12) |
«соединение IV-1Na» (n=12) |
«соединение V-1Na» (n=12) |
«соединение III-1Na» (n=12) |
«соединение II-1Na» (n=12) |
| Общий холестерин сыворотки |
112,9±9,2 |
94,4±3,4 р=0,079 |
96,9±4,5 |
89,0±5,0 р=0,035 |
109,7±9,4 |
| ЛПВП |
47,5±3,7 |
60,7±3,1 р=0,012 |
55,1±2,8 р=0,11 |
49,0±2,1 |
49,5±3,8 |
| ЛПНП + ЛПОНП |
65,4±10,6 |
33,7±4,5 р=0,015 |
41,7±6,5 р=0,073 |
40,0±5,4 р=0,048 |
60,2±10,6 |
| |
| Триглицериды |
|
|
|
|
|
| Сыворотка |
94,5±9,2 |
83,2±6,3 |
63,3±5,4 р=0,009 |
87,4±9,4 |
80,9±5,5 |
| ЛПВП |
35,0±3,1 |
39,4±3,5 |
30,9±1,8 |
30,0±2,2 |
32,6±2,5 |
| ЛПНП + ЛПОНП |
59,5±7,6 |
43,7±4,6 р=0,09 |
32,4±4,4 р=0,007 |
57,4±9,1 |
48,2±4,9 |
| Таблица 19 |
| Содержание холестерина и триглицеридов (мг/100 мл) в сыворотке крови крыс на 8-й день эксперимента |
| Показатели |
группы |
«Холестерин» (n=12) |
«соединение IV-1Na» (n=12) |
«соединение V-1Na» (n=12) |
«соединение III-1Na» (n=12) |
«соединение II-1Na» (n=12) |
| Общий холестерин |
|
|
|
|
|
| Сыворотка |
153,0±14,7 |
120,8±4,3 р=0,07 |
124,8±5,8 Р=0,11 |
108,8±8,2 р=0,03 |
140,8±13,6 |
| ЛПВП |
50,3±5,1 |
54,9±2,4 |
54,2±3,4 |
48,4±2,7 |
52,9±4,1 |
| ЛПНП + ЛПОНП |
100,9±17,3 |
65,0±6,0 р=0,09 |
70,6±6,8 р=0,14 |
60,4±8,3 р=0,06 |
87,9±14,5 |
| |
| Триглицериды |
|
|
|
|
|
| Сыворотка |
129,7±17,9 |
116,3±10,5 |
95,4±5,7 р=0,009 |
124,4±8,9 |
111,6±17,2 |
ЛПВП ЛПНП + ЛПОНП |
76,0±14,7 |
70,5±9,0 |
53,2±4,6 |
79,2±7,7 |
73,9±15,4 |
| Таблица 20 |
| Содержание холестерина и триглицеридов (мг/100 мл) в сыворотке крови крыс на 10-й день эксперимента |
| Показатели |
группы |
«Холестерин» (n=12) |
«соединение IV-1Na» (n=12) |
«соединение V-1Na» (n=12) |
«соединение III-1Na» (n=12) |
«соединение II-1Na» (n=11) |
| Общий холестерин |
|
|
|
|
|
| сыворотки |
144,6±12,8 |
122,1±9,8 р=0,18 |
123,3±7,3 р=0,18 |
102,3±6,9 р=0,014 |
134,4±12,5 |
| ЛПВП |
46,7±2,9 |
53,4±2,2 р=0,09 |
52,9±3,8 |
48,8±2,4 |
54,7±2,2 р=0,046 |
| ЛПНП + ЛПОНП |
97,9±14,0 |
68,7±10,1 p=0,11 |
70,5±8,9 р=0,12 |
53,5±7,3 р=0,02 |
79,7±12,6 |
| |
|
|
|
|
|
| Триглицериды сыворотки |
115,8±18,9 |
109,3±5,1 |
81,9±4,4 p=0,11 |
109,3±10,5 |
108,5±11,3 |
| ЛПВП |
35,5±3,1 |
36,2±2,6 |
31,5±1,8 |
34,3±2,3 |
38,9±2,4 |
| ЛПНП + ЛПОНП |
80,3±16,2 |
73,1±5, |
50,4±4,8 p=0,1 |
75,0±8,5 |
69,6±11,1 |
Введение животным мононатриевой соли соединения III достоверно снижало общий холестерин (ХС) сыворотки на 2 9% и холестерин фракций ЛПОНП + ЛПНП на 4 0%, но не изменяло уровень ХС антиатерогенных ЛПВП и общих триглицеридов сыворотки.
Полученные результаты свидетельствуют о том, что моно- и динатриевые соли превосходили соединение IV по динамике действия на общий холестерин сыворотки и холестерин ЛПНП + ЛПОНП и другие показатели липидного обмена. В то время как к 10-му дню опыта достоверное и сравнимое снижение упомянутых показателей происходило под действием всех упомянутых выше соединений и препарата сравнения “Зокор” (симвастатин), соли соединения IV начинали действовать на более ранних сроках эксперимента (на 5 и 8 день). Обе натриевые соли соединения IV повышали ЛПВП уже к 5 дню эксперимента, в то время как соединение IV повышало этот показатель лишь к 8 дню. Препарат сравнения симвастатин не оказывал влияния на холестерин ЛПВП. Кроме того, динатриевая соль соединения IV снижала уровень общих триглицеридов сыворотки на 5 и 10 дни эксперимента.
Отличительным свойством мононатриевой соли соединения V явилась способность снижать уровень общих триглицеридов сыворотки, в то время как снижение уровня общего холестерина, ХС ЛПОНП и повышение содержания ЛПВП было ниже, чем у мононатриевой соли соединения III и моно-натриевой соли соединения IV.
Таким образом, соли соединений II, III, IV и V обладают повышенной гиполипидемической активностью по сравнению с активностью соединений, описанных в публикации международной заявки WO 99/01103 и соединений, предложенных в настоящем изобретении, включающей способность снижать уровень триглицеридов, холестерин сыворотки, в том числе в ЛПНП, и повышать холестерин ЛВП.
Пример 19
Исследование гиполипидемического действия соединений общей формулы (I) на модели «эндогенной» гиперхолестеринемии морских свинок
Исследование проводили на морских свинках самцах (порода Агути) исходной массой 304±25 г. Продолжительность эксперимента 31 день. Контрольная группа, 6 свинок – интактные животные. Изучаемые соединения вводили с первого дня эксперимента (с первого дня введения жировой нагрузки).
Животные экспериментальных групп ежедневно на протяжении 31 дня получали per os исследуемое соединение и жировую нагрузку. Исследуемое соединение в указанных ниже дозах вводили в виде водного раствора (0,5 мл на животное); жировую нагрузку – смесь свиной жир/предварительно прогретое кукурузное масло, 4:1 по объему, из расчета 5 мл/кг веса через 0,5 часа после введения исследуемого вещества.
Экспериментальные группы:
1) «контроль» – интактные животные;
2) «жир» – животные, получавшие только жировую нагрузку;
3) «соединение IV» – животные, получавшие жировую нагрузку + соединение IV в дозе 500 мкг/кг веса;
4) «соединение V» – животные, получавшие жировую нагрузку + соединение V в дозе 500 мкг/кг.
Данные о содержании холестерина и триглицеридов в сыворотке крови морских свинок, получавших жировую нагрузку и исследуемые соединения, представлены в таблицах 22-25.
| Таблица 21 |
| Содержание общего холестерина в сыворотке крови морских свинок, получавших жировую нагрузку и исследуемые соединения |
| |
Общий холестерин сыворотки |
| 28 д |
31 д |
| Контроль |
|
37,4±3,3 |
| Жир |
71,7±14,5 n=9 |
74,4±11,4 |
| Соединение IV |
55,5±6,3 n=10 |
49,2±3,9 p=0,064 |
| Соединение V |
52,9±6,5 n=9 |
46,3±4,1 p=0,043 |
Статистическая обработка проводилась с помощью однофакторного дисперсионного анализа.
| Таблица 22 |
| Содержание общих триглицеридов в сыворотке крови морских свинок, получавших жировую нагрузку и исследуемые соединения |
| |
Общие триглицериды сыворотки |
| 28 д |
31 д |
| Контроль |
|
60,1±2,4 |
| Жир |
89,7±14,0 |
123,1±35,6 |
| Соединение IV |
66,8±6,7 |
69,0±13,4 |
| Соединение V |
62,3±5,4 |
56,0±6,1 |
| Таблица 23 |
| Содержание общего холестерина на 31-й день во фракциях липопротеидов сыворотки крови морских свинок, получавших жировую нагрузку и исследуемые соединения |
| |
Холестерин, ммоль/100 мл |
| Общие |
ЛПОНП |
ЛПНП |
|
| Контроль |
38,4±3,3 |
1,6±0,07 |
32,2±2,8 |
|
| Жир |
74,4±11,4 |
4,1±1,2 |
67,6±10,2 p=0,009 |
|
| Соединение IV |
49,2±3,9 |
3,0±0,71 |
42,1±3,5 p=0,040 |
|
| Соединение V |
46,3±4,1 |
2,1±0,4 |
41,9±2,7 p=0,038 |
|
| Таблица 24 |
| Содержание общих триглицеридов на 31-й день во фракциях липопротеидов сыворотки крови морских свинок, получавших жировую нагрузку и исследуемые соединения |
| |
Триглицериды, мкг/100 мл |
| Общие |
ЛПОНП |
ЛПНП |
|
| Контроль |
60,1±2,36 |
38,16±2,86 |
16,13±0,97 |
|
| Жир |
123,2±35,6 |
59,5±19,7 |
42,7±8,62 p=0,015 |
|
| Соединение IV |
69,0±13,4 |
33,2±12,3 |
29,6±2,4 |
|
| Соединение V |
56,0±6,1 Р=0,1 |
22,5±4,4 Р=0,1 |
23,1±1,9 p=0,053 |
|
Исследуемые соединения IV и V значительно снижали уровень общего холестерина только к 31 дню эксперимента на 33,9 и 37,8% соответственно. При этом они достоверно снижали холестерин ЛПНП на 37,7 и 38%.
Преимуществом заявляемых соединений, в частности соединения IV, является широкий диапазон действующих доз, что обеспечивает широту его терапевтического действия. Так, например, соединение IV практически одинаково эффективно снижало содержание общего холестерина в течение 20 дней в интервале доз от 50 до 1500 мкг/кг, отличающихся в 30 раз.
Таким образом, заявляемые соединения, соответствующие общей формуле (I), обладают значительной гиполипидемической активностью, существенно улучшая показатели липидного обмена в сыворотке крови и в печени.
Пример 20
Сравнительное исследование гиполипидемического действия соединения IV и глутарилгистамина (ГГ, соединение III WO 99/01103) на экспериментальной модели гиперхолестеринемии крыс линии Wistar.
Материалы и методы исследования.
Представленные данные получены после объединения результатов 3-х опытов.
Исследование проводили на 118 крысах-самцах линии Wistar массой 180-230 г. Гиперлипидемию вызывали пероральным введением (с помощью желудочного зонда) холестериновой нагрузки – масляной суспензии холестерина:
оливковое масло (рафинированное, предварительно прогретое 1 ч 80°С) – 5 мл/кг веса;
холестерин (Sigma, USA) – 1 г/кг веса;
холат натрия (Sigma, USA) – 120 мг/кг веса.
Холестериновую суспензию вводили утром ежедневно в течение 14 дней. Животные получали исследуемые соединения (в дозе 500 мкг/кг веса) с первого дня опыта в утренние часы. Все препараты вводили животным за 30 мин до холестериновой нагрузки.
Экспериментальные группы:
«Холестерин» – крысы, получавшие в течение 14 дней per os масляную суспензию холестерина (n=37)
1) «IV» – крысы, получавшие per os масляную суспензию холестерина и Na соль исследуемого соединения IV (n=37);
2) «ГГ» – крысы, получавшие per os масляную суспензию холестерина и исследуемое соединение ГГ/(n=22)
Образцы крови (из хвоста) брали на анализ на 5, 8 и 10 дни эксперимента. На 14 день образцы крови получали после декапитации. Перед забором крови животные голодали 10 часов.
В сыворотке крови измеряли содержание общего холестерина, триглицеридов, общего холестерина липопротеидов высокой плотности (ЛВП). Холестерин липопротеидов низкой и очень низкой плотности рассчитывали по разности общего холестерина сыворотки и холестерина ЛВП.
Содержание общего холестерина и триглицеридов в сыворотке крови определяли ферментативными методами с помощью тест-наборов «CHOL L 250 S» (№10003268) и «TG L 250 S» (№10003267) производства фирмы «Lachema» (Чешская Республика). Измерение оптической плотности проводили на спектрофотометре «Shimadzu» при 500 нм, калибровку получали по прилагаемым к тест-наборам стандартным образцам.
Определение содержания холестерина в липопротеидах высокой плотности ( -ЛП) проводили с помощью тест наборов «HDL CHOL 250Е» (10003202) и «CHOL L 250 S» (№10003267) фирмы «Lachema» (Чешская Республика) методом осаждения ЛНП и ЛОНП фосфорновольфрамовой кислотой и ионами магния.
Данные в таблицах 25-27 представлены как средние значение ± стандартная ошибка среднего. Достоверность различий между группами «холестерин» и «препарат…» оценивали по двухвыборочному t-тесту Стьюдента. Вероятность ошибки (р) указана в графах таблиц.
Результаты исследования.
Экспериментальная гиперхолестеринемия.
Исходный уровень общего холестерина и триглицеридов плазмы крови представлен в таблице 25. Динамика изменения липидного обмена – в таблице 26.
| Таблица 25 |
| Показатели липидного обмена крыс (n=24) до начала эксперимента. |
| Исходные биохимические показатели, мг/100 мл (n=30) |
| Общий холестерин |
|
| Сыворотка |
72,3±1,8 |
| ЛВП |
36,1±1,7 |
| ЛНП + ЛОНП |
36,2±2,2 |
| Холестериновый индекс атерогенности |
1,07±0,05 |
| |
| Триглицериды |
|
| Сыворотка |
69,0±5,7 |
| ЛВП |
15,4±1,3 |
| ЛНП + ЛОНП |
53,6±4,9 |
| Триглицеридный индекс |
3,58±0,22 |
Влияние исследуемых соединений на развитие гиперхолестеринемии.
Данные о влиянии исследуемых соединений на содержание холестерина и триглицеридов в сыворотке крови крыс, получавших холестериновую нагрузку, представлены в таблицах 26 и 27.

| Таблица 27 |
Достоверные (р 0,05) отличия изменения параметров липидного обмена между группами IV и ГГ по двухвыборочному t-тесту Стьюдента. |
| Отличия изменений параметров липидного обмена в группах |
| дни |
ГГ (n=22) |
IV |
|
| |
| Холестерин ЛВП |
| |
|
+22% |
|
| |
|
+24% |
|
| |
|
+26% |
|
| |
|
+15,7% |
|
| Холестериновый индекс атерогенности (общ. хол.) |
| |
|
– 15% |
|
| |
|
– 11% |
|
Обозначения: – 10% – достоверно ниже на 10%. За 100% принят уровень в группе «Холестерин».
Представленные в таблицах 25-27 данные с очевидностью свидетельствуют, что соединение IV повышает уровень холестерина антиатерогенных ЛВП на 10-14% по сравнению с контролем, тогда как под влиянием глутарилгистамина происходило достоверное понижение холестерина ЛВП.
В итоге, снижение холестеринового индекса атерогенности глутарилгистамином было обусловлено снижением холестерина всех фракций плазмы, и ЛВП, и ЛНП + ЛОНП.
Соединение IV выгодно отличается от глутарилгистамина значительным достоверным снижением холестеринового индекса атерогенности на 20-40% на протяжении эксперимента именно за счет повышения фракции ЛВП.
Сравнение гиполипидемического действия глутарилгистамина с соответствующей активностью IV показало, что соединение IV по изобретению достоверно превосходило глутарилгистамин в повышении холестерина ЛВП и снижении индекса атерогенности (таблица 27).
Пример 21
Исследования пртивовоспалительной активности соединений общей формулы I (1% гель) на модели каррагенинового отека in vivo
Материалы и методы

где П – прирост отека,
О – величина объема лапы после введения флогогена,
И – величина объема лапы до введения флогогена.
Эффект терапевтического воздействия оценивают по степени угнетения воспалительной реакции по сравнению с контролем и рассчитывают по формуле:

где (о) – леченые животные
(к) – нелеченые животные
| Таблица 28 |
| Влияние соединений общей формулы I (1% гель) на развитие каррагенинового отека лапы мышей |
| Исследуемые вещества |
Разность объема лап |
Прирост объема (в %) |
Торможение воспалительной реакции (%) |
| V |
0,104±0,009** |
60.0 |
43.8 |
| V – 1Na |
0,14±0,02** |
79.0 |
26.2 |
| IV – 1Na |
0,105±0,002** |
47,6 |
33.0 |
| II – 1Na |
0,1±0,009** |
32,3 |
51,6 |
| III – 1Na |
0,15±0,01* |
50,0 |
25,0 |
| Вольтарен |
0,08±0,006** |
25,8 |
61,3 |
| * – статистически значимо относительно модели * – Р<0,01 ** – Р<0,01 |
Результаты экспериментов, представленные в таблице 28, демонстрируют выраженную противовоспалительную активность мононатриевой соли соединения II, сопоставимую с активностью препарата сравнения – вольтареном.
Соединение V и его мононатриевая соль проявляют умеренную активность на данной модели каррагенинового отека лапы мышей, торможение отека составляет 43,8% и 26,2%, соответственно.
Таким образом, весь комплекс использованных экспериментальных моделей свидетельствует о значительной противоаллергической, антианафилактической и противовоспалительной активности соединений общей формулы I, проявляемой как в тестах in vitro, так и при моделировании аллергической и воспалительной патологии in vivo. Показано, что описываемые соединения, соответствующие общей формуле I, проявляют значительный протективный эффект в отношении системной анафилактической реакции in vivo, в условиях моделирования аллергического ринита, кроме того, эти соединения подавляют эозинофильное воспаление и оказывают отчетливое противовоспалительное действие.
Примеры лекарственных форм
Пример 22
А. Таблетированная форма
Таблетированную форму получают, используя приведенные ниже ингредиенты:
Соединение, соответствующее общей формуле
1-100 мг (I),
или его фармацевтически приемлемая соль
| Крахмал картофельный |
20-50 мг |
| Магния стеарат |
3 мг |
| Аэросил |
1 мг |
| Лактоза |
до 300 мг |
Компоненты смешивают и прессуют для образования таблеток весом 300 мг каждая.
Б. Суппозитории
Пример состава суппозитория:
| Соединение, соответствующее общей формуле |
|
| (I), или его фармацевтически приемлемая соль |
1-100 мг |
| Масло какао |
количество, необходимое для получения суппозитория. |
При необходимости возможно изготовление ректальных, вагинальных и уретральных суппозиториев с соответствующими наполнителями.
В. Мази
Пример состава мази:
| Соединение, соответствующее общей формуле |
|
| (I), или его фармацевтически приемлемая соль |
0,01-0,1 г |
| Вазелин |
10 г |
Мази изготавливают по общеизвестной технологии.
Г. Гели
Пример состава геля:
| Соединение, соответствующее общей формуле |
|
| (I), или его фармацевтически приемлемая соль |
1-100 мг |
| Карбопол |
200 мг |
| Бензиловый спирт |
20 мг |
| Этиловый спирт |
300 мг |
| Вода |
до 10 г |
Д. Сухой порошок для ингаляций
Пример состава порошка:
| Соединение, соответствующее общей формуле |
|
| (I), или его фармацевтически приемлемая соль |
0,2 г |
| Лактоза |
до 1 г |
Порошок помещают в специальное устройство (контейнер) или в желатиновую капсулу.
Е. Назальный спрей
Пример состава спрея:
| Соединение, соответствующее общей формуле |
|
| (I), или его фармацевтически приемлемая соль |
1,5-150 мг |
| Очищенная вода |
до 15 мл |
Е. Глазные капли
Пример состава капель:
| Соединение, соответствующее общей формуле |
|
| (I), или его фармацевтически приемлемая соль |
0,5-50 мг |
| Консервант |
10 мг |
| Очищенная вода |
до 5 мл |
Е. Раствор для инъекций
Пример состава раствора для инъекций:
| Соединение, соответствующее общей формуле |
|
| (I), или его фармацевтически приемлемая соль |
0,2-20 мг |
| вода для инъекций |
2 мл |
Формула изобретения
1. 1. N-ацильные производные аминокислот общей формулы (I)

где n равно 2 или 3 и
R представляет
или 
и их фармацевтически приемлемые соли при условии, что соединение общей формулы (I) не является сукцинил-L-гистидином, сукцинил-L-триптофаном, сукцинил-D-триптофаном, сукцинил-D,L-триптофаном и его дикалиевой солью.
2. Соединение по п.1, где фармацевтически приемлемая соль представляет собой моно- или динатриевую соль.
3. Фармацевтическая композиция, обладающая гиполипидемической активностью, включающая N-ацильные производные аминокислот по п.1 или их фармацевтически приемлемые соли в эффективном количестве и фармацевтически приемлемые добавки.
4. Применение N-ацильных производных аминокислот по п.1,
или их фармацевтически приемлемых солей в качестве средств, обладающих гиполипидемической активностью.
5. Применение N-ацильных производных аминокислот по п.1 или их фармацевтически приемлемых солей в качестве средств, способных устранять признаки атеросклероза, ожирения, ишемической болезни сердца и головного мозга, инфаркта миокарда, инсульта.
6. Средство, обладающее гиполипидемической активностью, которое представляет собой N-ацильные производные аминокислот по п.1 или их фармацевтически приемлемые соли.
7. Способ лечения заболеваний, связанных с нарушением липидного обмена, включающий введение млекопитающему эффективного количества N-ацильных производных аминокислот по п.1 или его фармацевтически приемлемых солей.
8. Способ лечения атеросклероза, ожирения, ишемической болезни сердца и головного мозга, инфаркта миокарда, инсульта, включающий введение млекопитающему эффективного количества N-ацильных производных аминокислот по п.1 или его фармацевтически приемлемых солей.
РИСУНКИ
|
|