|
|
(21), (22) Заявка: 2006114352/04, 14.09.2004
(24) Дата начала отсчета срока действия патента:
14.09.2004
(30) Конвенционный приоритет:
27.09.2003 DE 10344936.1
(43) Дата публикации заявки: 27.08.2006
(46) Опубликовано: 10.10.2008
(56) Список документов, цитированных в отчете о поиске:
WO 9718194 A1, 22.05.1997. RU 2212405 C2, 20.09.2003.
(85) Дата перевода заявки PCT на национальную фазу:
27.04.2006
(86) Заявка PCT:
EP 2004/010248 (14.09.2004)
(87) Публикация PCT:
WO 2005/030728 (07.04.2005)
Адрес для переписки:
129090, Москва, ул. Б.Спасская, 25, стр.3, ООО “Юридическая фирма Городисский и Партнеры”, пат.пов. Е.Е.Назиной
|
(72) Автор(ы):
ШУДОК Манфред (DE), МАТТЕР Ханс (DE), ХОФМАЙСТЕР Армин (DE)
(73) Патентообладатель(и):
САНОФИ-АВЕНТИС ДОЙЧЛАНД ГМБХ (DE)
|
(54) ПРОИЗВОДНЫЕ БИЦИКЛИЧЕСКИХ ИМИНОКИСЛОТ В КАЧЕСТВЕ ИНГИБИТОРОВ МАТРИКСНЫХ МЕТАЛЛОПРОТЕИНАЗ
(57) Реферат:
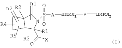
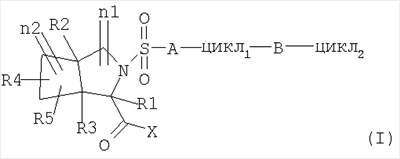
Изобретение относится к соединениям формулы (I):

и/или все стереоизомерные формы соединения формулы (I), и/или смеси этих форм в любом соотношении, и/или физиологически приемлемая соль соединения формулы (I), причем А означает -(С0-С4)-алкилен; В означает -(С0-С4)-алкилен или остаток -В1-В2-В3-, где В1 означает -(СН2)n-, где n означает целое число ноль; В3 означает -(СН2)m-, где m означает целое число ноль; с тем соответствием, что сумма n и m составляет ноль; и В2 означает -О-; цикл 1 или цикл 2 являются одинаковыми или разными и, независимо друг от друга, означают 1) ковалентную связь, 2) -(С6-С14)-арил, который является ароматическим углеводородным остатком с 6-14 атомами углерода в цикле, где указанный арил незамещен или, независимо друг от друга, однозамещен с помощью G, или 3) 4-15-членный гетероцикл, который является циклической системой с 4-15 атомами углерода, которые находятся в одной, двух или трех связанных друг с другом циклических системах и которая содержит одни гетероатом, выбранный из азота или кислорода, где указанный гетероцикл незамещен или, независимо друг от друга, однозамещен с помощью G; G означает 1) атом водорода, 2) атом галогена, 3) -O-R12, где R12 означает а) атом водорода, b) -(С1-С6)-алкил, где алкил незамещен или трехкратно замещен атомом галогена, c) -C(O)-O-R13, где R13 означает с) 1)-(С1-С6)-алкил, где алкил незамещен, 4) -NO2, 5) -CN, 6) -N(R15)-R12, где R15 означает 6) 1) атом водорода, X означает -ОН или -NH-OH; n1 означает целое число 2; n2 означает целое число 3; с тем соответствием, что сумма n1 и n2 составляет 5; R1, R2, R3, R4 и R5 являются одинаковыми или разными и, независимо друг от друга, означают 1) атом водорода, 2) -C(O)-R8, где R8 означает 2) 1) атом водорода, 2) 2)-(С1-С6)-алкил, где алкил незамещен. Также изобретение относится к способу получения соединений формулы (I) и к лекарственному средству для ингибирования матриксных металлопротеаз. Технический результат: получены новые производные насыщенных бициклических иминокислот, обладающие полезными биологическими свойствами. 3 н. и 1 з.п. ф-лы, 3 табл.
Изобретение относится к новым производным насыщенных бициклических иминокислот, таким как, в особенности, декагидроизохинолин-1-карбоновая кислота, способу их получения и их применению в качестве лекарственных средств.
При заболеваниях, как остеоартрит и ревматическое заболевание, происходит разрушение сустава, обусловленное особенно протеолитическим разрушением коллагена за счет коллагеназ. Коллагеназы относятся к суперсемейству металлопротеиназ (МР), соответственно, матриксных металлопротеиназ (ММР’s). Матриксные металлопротеиназы образуют группу Zn-зависимых ферментов, которые принимают участие в биологическом разрушении внеклеточного матрикса (D. Yip и др., Investigational New Drugs, 17, 387-399 (1999); и Michaelides и др., Current Pharmaceutical Design, 5, 787-819 (1999)). Эти матриксные металлопротеиназы в особенности способны разрушать фибриллярный и нефибриллярный коллаген, а также протеогликаны, которые, оба, представляют собой важные компоненты матрикса. Матриксные металлопротеиназы принимают участие в процессах заживления ран, опухолевой инвазии, миграции метастазов, а также в ангиогенезе, рассеянном склерозе и сердечной недостаточности (Michaelides, с. 788; см. выше). В особенности они играют важную роль в разрушении матрикса сустава при артрозе и артрите, называемых теперь остеоартроз, остеоартрит или ревматоидный артрит.
Активность матриксных металлопротеиназ, далее, является существенной для многих процессов, которые играют роль при атеросклеротическом бляшкообразовании, как инфильтрация воспалительных клеток, миграция гладкомышечных клеток, а также пролиферация и ангиогенез (S.J. George, Exp. Opin. Invest. Drugs, 9 (5), 993-1007 (2000)). Далее, разрушение матрикса за счет MMPs может вызывать бляшковые нестабильности вплоть до разрыва, что может приводить к клиническим симптомам атеросклероза, нестабильной стенокардии, инфаркту миокарда или инсульту (E.J. Creemers и др., Circulation Res., 89, 201-210 (2001)). Рассматривая в целом, все семейство матриксных металлопротеиназ может разрушать все компоненты внеклеточного матрикса кровеносных сосудов; поэтому их активность в сильной мере подчиняется механизмам регуляции в нормальных кровеносных сосудах. Повышенная активность матриксных металлопротеиназ во время бляшкообразования и бляшковой нестабильности вызывается за счет повышенной ген-транскрипции, стимулируемой цитокином и фактором роста, повышенной активации зимогена и дисбаланса соотношения ММР-TIMP (матричные металлопротеиназы – тканевые ингибиторы металлопротеиназ). Поэтому становится ясным, что ингибирование ММР или восстановление баланса ММР-TIMP должно способствовать лечению атеросклеротических заболеваний. Также становится все яснее, что наряду с атеросклерозом за счет повышенной активности ММР одновременно возникают, по меньшей мере, также другие сердечно-сосудистые заболевания, как, например, рестеноз, дилатационная кардиомиопатия и уже упомянутый инфаркт миокарда. Обнаружено, что благодаря применению синтетических ингибиторов в случае экспериментальных животных моделей этих заболеваний можно достигать отчетливых улучшений, например, в отношении возникновения атеросклеротических повреждений, образования неоинтимы, левожелудочкового ремоделирования, дисфункции насосной функции сердца или излечения инфаркта. При различных доклинических исследованиях с ингибиторами ММР с подробными анализами тканей обнаружено уменьшенное повреждение коллагена, улучшенное внеклеточное ремоделирование матрикса и улучшенная структура и функция сердечной мышцы и сосудов. Из этих процессов в особенности процессы ремоделирования матрикса и ММР-регулируемые фиброзы рассматривают как важные компоненты при прогрессировании заболеваний сердца (инфаркт) (Drugs, 61, 1239-1252 (2001)).
Матриксные металлопротеиназы расщепляют матриксные белки, как коллаген, ламинин, протеогликаны, эластин или желатин, а также процессируют (то есть, активируют или дезактивируют) путем расщепления множество других белков и ферментов в физиологических условиях, так что им отводится важная роль во всем организме с особым значением в соединительной ткани и костях.
Известно множество различных ингибиторов MMP’s (Европейский патент 0606046; WO-94/28889; WO-96/27583; см. также обзоры, как, например, в Current Medicinal Chemistry, 8, 425-474 (2001)). Согласно первым клиническим исследованиям на людях в настоящее время показано, что MMP’s вызывают побочные действия. Указанными главными побочными действиями являются мышечно-скелетные боли или антралгии. В уровне техники ясно указывается, что ожидают, что более селективные ингибиторы могут уменьшать эти побочные действия (Yip, с. 387, см выше). При этом особенно нужно отметить специфичность в отношении ММР-1, так как с ингибированием ММР-1, по-видимому, усиленно возникают эти нежелательные побочные действия.
Недостатком известных ингибиторов ММР’s поэтому часто является недостаточная специфичность. В большинстве случаев ММР-ингибиторы ингибируют многие ММР’s одновременно, так как каталитический домен ММР’s обладает подобной структурой. Вследствие этого ингибиторы нежелательным образом воздействуют на ферменты, также таковые с жизненной функцией (Massova I. и др., The FASEB Journal, 12, 1075-1095 (1998)).
С целью получения эффективных соединений для лечения заболеваний соединительной ткани в настоящее время было показано, что предлагаемые согласно изобретению производные являются сильными ингибиторами матриксных металлопротеиназ ММР-2, ММР-3, ММР-8, ММР-9 и ММР-13, в то время как обладают только слабым ингибированием в отношении ММР-1.
Изобретение относится, следовательно, к соединению формулы (I):

и/или всем стереоизомерным формам соединения формулы (I) и/или смесям этих форм в любом соотношении и/или физиологически приемлемой соли соединения формулы (I), причем
А означает -(С0-С4)-алкилен;
В, D и Е являются одинаковыми или разными и, независимо друг от друга, означают -(С0-С4)-алкилен или остаток -В1-В2-В3-, где
В1 означает -(СН2)n-, где n означает целое число ноль, 1 или 2;
В3 означает -(СН2)m-, где m означает целое число ноль, 1 или 2;
с тем соответствием, что сумма n и m составляет ноль, 1 или 2; и
В2 означает
1)-С(О)-,
2)-(С2-С4)-алкенилен,
3)-S(O)o-, причем о означает целые числа ноль, 1 или 2,
4)-N(R6)-, где R6 означает атом водорода, метил или этил,
5)-N(R6)-C(Y)-, где Y означает атом кислорода или серы и R6 имеет вышеуказанное значение,
6)-С(Y)-N(R6)-, где Y означает атом кислорода или атом серы и R6 имеет вышеуказанное значение,
7)-N(R6)-SO2-, где R6 имеет вышеуказанное значение,
8)-SO2-N(R6)-, где R6 имеет вышеуказанное значение,
9)-N(R6)-SO2-N(R6)-, где R6 имеет вышеуказанное значение;
10)-N(R6)-C(Y)-N(R6)-, где Y означает атом кислорода или атом серы и R6 имеет вышеуказанное значение,
11)-О-С(О)-N(R6)-,
12)-NH-C(O)-O-,
13)-O-,
14)-C(O)-O-,
15)-O-C(O)-,
16)-O-C(O)-O-,
17)-O-CH2-C(O)-,
18)-O-CH2-C(O)-O-,
19)-O-CH2-C(O)-N(R6)-, где R6 имеет вышеуказанное значение,
20)-С(О)-СН2-О-,
21)-О-С(О)-СН2-О-,
22)-N(R6)-C(O)-CH2-O-, где R6 имеет вышеуказанное значение,
23)-О-(СН2)n-O-, где n означает целое число 2 или 3, или
24)-О-(СН2)m-N(R6)-, где m означает целое число 2 или 3 и R6 имеет вышеуказанное значение,
25)-N(R6)-(CH2)m-O-, где m означавет целое число 2 или 3 и R6 имеет вышеуказанное значение,
26)-N(R6)-N(R6)-, где R6 имеет вышеуказанное значение,
27)-N=N-,
28)-N(R6)-CH=N-, где R6 имеет вышеуказанное значение,
29)-N=CH-N(R6)-, где R6 имеет вышеуказанное значение,
30)-N(R6)-C(R7)=N-, где R6 имеет вышеуказанное значение и R7 означает -NH-R6,
31)-N=C(R7)-N(R6)-, где R6 имеет вышеуказанное значение и R7 означает -NH-R6, или
32)-(С2-С6)-алкинилен;
цикл 1, цикл 2 или цикл 3 являются одинаковыми или разными и, независимо друг от друга, означают
1)ковалентную связь,
2)-(С6-С14)-арил, где арил незамещен или, независимо друг от друга, одно-, двух- или трехкратно замещен с помощью G, или
3)4-15-членный гетероцикл, где гетероцикл незамещен или, независимо друг от друга, одно-, двух- или трехкратно замещен с помощью G;
цикл 4 означает
1)-(С6-С14)-арил, где арил незамещен или, независимо друг от друга, одно-, двух- или трехкратно замещен с помощью G, или
2)4-15-членный гетероцикл, где гетероцикл незамещен или, независимо друг от друга, одно-, двух- или трехкратно замещен с помощью G;
3)один из следующих остатков:

и эти остатки незамещены или однократно замещены с помощью G;
G означает
1)атом водорода,
2)атом галогена,
3)=О,
4)-(С1-С6)-алкил, где алкил незамещен или одно-, двух- или трехкратно замещен атомом галогена, -(С3-С6)-циклоалкилом, -(С2-С6)-алкинилом, -(С6-С14)-арилом или гетероциклом,
5)-(С6-С14)-арил,
6)гетероцикл,
7)-С(О)-О-R10, где R10 означает
а)-(С1-С6)-алкил, где алкил незамещен или одно- или двухкратно замещен -(С3-С6)-циклоалкилом, -(С2-С6)-алкинилом, -(С6-С14)-арилом или гетероциклом, или
b)-(С6-С14)-арил или гетероцикл,
8)-C(S)-O-R10, где R10 имеет вышеуказанное значение,
9)-С(О)-NH-R11, где R11 означает
а)-(С1-С6)-алкил, где алкил незамещен или одно- или двухкратно замещен -(С3-С6)-циклоалкилом, -(С6-С14)-арилом или гетероциклом, или
b)-(С6-С14)-арил или гетероцикл,
10)-C(S)-NH-R11, где R11 имеет вышеуказанное значение,
11)-O-R12, где R12 означает
а)атом водорода,
b)-(С1-С6)-алкил, где алкил незамещен или одно-, двух- или трехкратно замещен атомом галогена, -(С3-С6)-циклоалкилом, -(С2-С6)-алкинилом, -(С6-С14)-арилом или гетероциклом,
с)(С6-С14)-арил,
d)гетероцикл,
е)-С(О)-О-R13, где R13 означает
е)1)-(С1-С6)-алкил, где алкил незамещен или одно- или двухкратно замещен -(С3-С6)-цикло-алкилом, -(С2-С6)-алкинилом, -(С6-С14)-арилом или гетероциклом, или
е)2)-(С6-С14)-арил или гетероцикл,
f)-C(S)-O-R13, где R13 имеет вышеуказанное значение,
g)-C(O)-NH-R14, где R14 означает
g)1)-(С1-С6)-алкил, где алкил незамещен или одно- или двухкратно замещен -(С3-С6)-циклоалкилом, -(С2-С6)-алкинилом, -(С6-С14)-арилом или гетероциклом, или
g)2)-(С6-С14)-арил или гетероцикл, или
h)-C(S)-NH-R14, где R14 имеет вышеуказанное значение,
12)-С(О)-R10, где R10 имеет вышеуказанное значение,
13)-S(O)p-R12, где R12 имеет вышеуказанное значение и р означает целые числа ноль, 1 или 2,
14)-NO2,
15)-CN или
16)-N(R15)-R12, где R15 означает
16)1)атом водорода,
16)2)-(С1-С6)-алкил или
16)3)-SO2-(C1-C6)-алкил, где алкил незамещен или одно- или двухкратно замещен -(С3-С6)-циклоалкилом, -(С2-С6)-алкинилом, -(С6-С14)-арилом или гетероциклом,
и R12 имеет вышеуказанное значение,
17)-SO2-N(R12)-R1, где R12 имеет вышеуказанное значение и R1 имеет нижеуказанное значение;
Х означает -ОН или -NH-OH;
n1 означает целое число ноль, 1, 2 или 3;
n2 означает целое число ноль, 1, 2, 3 или 4,
с тем соответствием, что сумма n1 и n2 составляет 1, 2, 3, 4, 5, 6 или 7;
R1, R2, R3, R4 и R5 являются одинаковыми или разными и, независимо друг от друга, означают
1)атом водорода,
2)-(С1-С6)-алкил, где алкил незамещен или одно- или двухкратно замещен -(С3-С6)-циклоалкилом, -(С2-С6)-алкинилом, -(С6-С14)-арилом или гетероциклом,
3)-С(О)-О-R8, где R8 означает
3)1)атом водорода,
3)2)-(C1-C6)-алкил, где алкил незамещен или одно- или двухкратно замещен -(С3-С6)-циклоалкилом, -(С2-С6)-алкинилом, -(С6-С14)-арилом или гетероциклом, или от однократно до пятикратно замещен фтором, или
3)3)-(С6-С14)-арил или гетероцикл,
4)-О-R8, где R8 имеет вышеуказанное значение, или
5)-(С3-С6)-циклоалкил.
Другим объектом изобретения является соединение формулы (I), причем
А означает -(С0-С4)-алкилен;
В, D и Е являются одинаковыми или разными и, независимо друг от друга, означают -(С0-С4)-алкилен или остаток -В1-В2-В3-, где
В1 означает -(СН2)n-, где n означает целое число ноль, 1 или 2;
В3 означает -(СН2)m-, где m означает целое число ноль, 1 или 2;
при условии, что сумма n и m составляет ноль, 1 или 2; и
В2 означает
1)-С(О)-,
2)-(С2-С4)-алкенилен,
3)-S(O)o-, причем о означает целые числа ноль, 1 или 2,
4)-N(R6)-, где R6 означает атом водорода, метил или этил,
5)-N(R6)-C(Y)-, где Y означает атом кислорода или атом серы и R6 имеет вышеуказанное значение,
6)-С(Y)-N(R6)-, где Y означает атом кислорода или атом серы и R6 имеет вышеуказанное значение,
7)-N(R6)-SO2-, где R6 имеет вышеуказанное значение,
8)-SO2-N(R6)-, где R6 имеет вышеуказанное значение,
9)-N(R6)-SO2-N(R6)-, где R6 имеет вышеуказанное значение;
10)-N(R6)-C(Y)-N(R6)-, где Y означает атом кислорода или атом серы и R6 имеет вышеуказанное значение,
11)-О-С(О)-N(R6)-,
12)-NH-C(O)-O-,
13)-O-,
14)-C(O)-O-,
15)-O-C(O)-,
16)-O-C(O)-O-,
17)-O-CH2-C(O)-,
18)-O-CH2-C(O)-O-,
19)-O-CH2-C(O)-N(R6)-, где R6 имеет вышеуказанное значение,
20)-С(О)-СН2-О-,
21) -О-С(О)-СН2-О-,
22)-N(R6)-C(O)-CH2-O-, где R6 имеет вышеуказанное значение,
23)-О-(СН2)n-O-, где n означает целое число 2 или 3, или
24)-О-(СН2)m-N(R6)-, где m означает целое число 2 или 3 и R6 имеет вышеуказанное значение,
25)-N(R6)-(CH2)m-O-, где m означавет целое число 2 или 3 и R6 имеет вышеуказанное значение,
26)-N(R6)-N(R6)-, где R6 имеет вышеуказанное значение,
27)-N=N-,
28)-N(R6)-CH=N-, где R6 имеет вышеуказанное значение,
29)-N=CH-N(R6)-, где R6 имеет вышеуказанное значение,
30)-N(R6)-C(R7)=N-, где R6 имеет вышеуказанное значение и R7 означает -NH-R6,
31)-N=C(R7)-N(R6)-, где R6 имеет вышеуказанное значение и R7 означает -NH-R6, или
32)-(С2-С6)-алкинилен;
цикл 1, цикл 2 или цикл 3 являются одинаковыми или разными и, независимо друг от друга, означают
1)ковалентную связь,
2)фенил или нафтил, и незамещены или, независимо друг от друга, одно-, двух- или трехкратно замещены с помощью G, или
3)4-15-членный гетероцикл, причем гетероцикл представляет собой остаток из ряда: акридинил, азепинил, азетидинил, азиридинил, бензимидазалинил, бензимидазолил, бензофуранил, бензотиофуранил, бензотиофенил, бензоксазолил, бензтиазолил, бензтриазолил, бензтетразолил, бензизоксазолил, бензизотиазолил, карбазолил, 4аН-карбазолил, карболинил, хиназолинил, хинолинил, 4Н-хинолизинил, хиноксалинил, хинуклидинил, хроманил, хроменил, циннолинил, декагидрохинолинил, дибензофуранил, дибензотиофенил, дигидрофуран[2,3-b]тетрагидрофуранил, дигидрофуранил, диоксолил, диоксанил, 2Н,6Н-1,5,2-дитиазинил, фуранил, фуразанил, имидазолидинил, имидазолинил, имидазолил, 1Н-индазолил, индолинил, индолизинил, индолил, 3Н-индолил, изобензофуранил, изохроманил, изоиндазолил, изоиндолинил, изоиндолил, изохинолинил (бензимидазолил), изотиазолидинил, 2-изотиазолинил, изотиазолил, изоксазолил, изоксазолидинил, 2-изоксазолинил, морфолинил, нафтиридинил, октагидроизохинолинил, оксадиазолил, 1,2,3-оксадиазолил, 1,2,4-оксадиазолил, 1,2,5-оксадиазолил, 1,3,4-оксадиазолил, оксазолидинил, оксазолил, оксотиоланил, пиримидинил, фенантридинил, фенантролинил, феназинил, фенотиазинил, феноксатиинил, феноксазинил, фталазинил, пиперазинил, пиперидинил, птеридинил, пуринил, пиранил, пиразинил, пироазолидинил, пиразолинил, пиразолил, пиридазинил, пиридооксазолил, пиридоимидазолил, пиридотиазолил, пиридотиофенил, пиридинил, пиридил, пиримидинил, пирролидинил, пирролинил, 2Н-пирролил, пирролил, тетрагидрофуранил, тетрагидроизохинолинил, тетрагидрохинолинил, тетрагидропиридинил, 6Н-1,2,5-тиадазинил, 1,2,3-тиадиазолил, 1,2,4-тиадиазолил, 1,2,5-тиадиазолил, 1,3,4-тиадиазолил, тиантренил, тиазолил, тиенил, тиенотиазолил, тиенооксазолил, тиеноимидазолил, тиоморфолинил, тиофенил, триазинил, 1,2,3-триазолил, 1,2,4-триазолил, 1,2,5-триазолил, 1,3,4-триазолил и ксантенил; и незамещены или, независимо друг от друга, одно-, двух- или трехкратно замещены с помощью G;
цикл 4 означает
1)-(С6-С14)-арил, где арил означает остаток из ряда: фенил, нафтил, 1-нафтил, 2-нафтил, антрил или флуоренил; и незамещены или, независимо друг от друга, одно-, двух- или трехкратно замещены с помощью G,
2)4-15-членный гетероцикл, где гетероцикл означает остаток из ряда: акридинил, азепинил, азетидинил, азиридинил, бензимидазалинил, бензимидазолил, бензофуранил, бензотиофуранил, бензотиофенил, бензоксазолил, бензтиазолил, бензтриазолил, бензтетразолил, бензизоксазолил, бензизотиазолил, карбазолил, 4аН-карбазолил, карболинил, хиназолинил, хинолинил, 4Н-хинолизинил, хиноксалинил, хинуклидинил, хроманил, хроменил, циннолинил, декагидрохинолинил, дибензофуранил, дибензотиофенил, дигидрофуран[2,3-b]тетрагидрофуранил, дигидрофуранил, диоксолил, диоксанил, 2Н,6Н-1,5,2-дитиазинил, фуранил, фуразанил, имидазолидинил, имидазолинил, имидазолил, 1Н-индазолил, индолинил, индолизинил, индолил, 3Н-индолил, изобензофуранил, изохроманил, изоиндазолил, изоиндолинил, изоиндолил, изохинолинил (бензимидазолил), изотиазолидинил, 2-изотиазолинил, изотиазолил, изоксазолил, изоксазолидинил, 2-изоксазолинил, 2′-метилбифенил-2-ол, морфолинил, нафтиридинил, октагидроизохинолинил, оксадиазолил, 1,2,3-оксадиазолил, 1,2,4-оксадиазолил, 1,2,5-оксадиазолил, 1,3,4-оксадиазолил, оксазолидинил, оксазолил, оксотиоланил, пиримидинил, фенантридинил, фенантролинил, феназинил, фенотиазинил, феноксатиинил, феноксазинил, фталазинил, пиперазинил, пиперидинил, птеридинил, пуринил, пиранил, пиразинил, пироазолидинил, пиразолинил, пиразолил, пиридазинил, пиридооксазолил, пиридоимидазолил, пиридотиазолил, пиридотиофенил, пиридинил, пиридил, пиримидинил, пирролидинил, пирролинил, 2Н-пирролил, пирролил, тетрагидрофуранил, тетрагидроизохинолинил, тетрагидрохинолинил, тетрагидропиридинил, 6Н-1,2,5-тиадазинил, 1,2,3-тиадиазолил, 1,2,4-тиадиазолил, 1,2,5-тиадиазолил, 1,3,4-тиадиазолил, тиантренил, тиазолил, тиенил, тиенотиазолил, тиенооксазолил, тиеноимидазолил, тиоморфолинил, тиофенил, триазинил, 1,2,3-триазолил, 1,2,4-триазолил, 1,2,5-триазолил, 1,3,4-триазолил и ксантенил; и незамещены или, независимо друг от друга, одно-, двух- или трехкратно замещены с помощью G; или
3)один из следующих остатков:

и эти остатки незамещены или однократно замещены с помощью G;
G означает
1)атом водорода,
2)атом галогена,
3)=О,
4)-(С1-С6)-алкил, где алкил незамещен или одно-, двух- или трехкратно замещен атомом галогена, -(С3-С6)-циклоалкилом, -(С2-С6)-алкинилом, -(С6-С14)-арилом или гетероциклом, причем арил и гетероцикл имеют вышеуказанное значение,
5)-(С6-С14)-арил, причем арил имеет вышеуказанное значение,
6)гетероцикл, причем гетероцикл имеет вышеуказанное значение,
7)-С(О)-О-R10, где R10 означает
а)-(С1-С6)-алкил, где алкил незамещен или одно- или двухкратно замещен -(С3-С6)-циклоалкилом, -(С2-С6)-алкинилом, -(С6-С14)-арилом или гетероциклом, причем арил и гетероцикл имеют вышеуказанное значение, или
b)-(С6-С14)-арил или гетероцикл, причем арил и гетероцикл имеют вышеуказанное значение,
8)-C(S)-O-R10, где R10 имеет вышеуказанное значение,
9)-С(О)-NH-R11, где R11 означает
а)-(С1-С6)-алкил, где алкил незамещен или одно- или двухкратно замещен -(С3-С6)-циклоалкилом, -(С2-С6)-алкинилом, -(С6-С14)-арилом или гетероциклом, где арил и гетероцикл имеют вышеуказанное значение, или
b)-(С6-С14)-арил или гетероцикл, причем арил и гетероцикл имеют вышеуказанное значение,
10)-C(S)-NH-R11, где R11 имеет вышеуказанное значение,
11)-O-R12, где R12 означает
а)атом водорода,
b)-(С1-С6)-алкил, где алкил незамещен или одно-, двух- или трехкратно замещен атомом галогена, -(С3-С6)-циклоалкилом, -(С2-С6)-алкинилом, -(С6-С14)-арилом или гетероциклом, причем арил и гетероцикл имеют вышеуказанное значение,
с)(С6-С14)-арил, причем арил имеет вышеуказанное значение,
d)гетероцикл, причем гетероцикл имеет вышеуказанное значение,
е)-С(О)-О-R13, где R13 означает
е)1)-(С1-С6)-алкил, где алкил незамещен или одно- или двухкратно замещен -(С3-С6)-циклоалкилом, -(С2-С6)-алкинилом, -(С6-С14)-арилом или гетероциклом, причем арил и гетероцикл имеют вышеуказанное значение,
е)2)-(С6-С14)-арил или гетероцикл, причем арил и гетероцикл имеют вышеуказанное значение,
f)-C(S)-O-R13, где R13 имеет вышеуказанное значение,
g)-C(O)-NH-R14, где R14 означает
g)1)-(С1-С6)-алкил, где алкил незамещен или одно- или двухкратно замещен -(С3-С6)-циклоалкилом, -(С2-С6)-алкинилом, -(С6-С14)-арилом или гетероциклом, причем арил и гетероцикл имеют вышеуказанное значение,
g)2)-(С6-С14)-арил или гетероцикл, причем арил и гетероцикл имеют вышеуказанное значение, или
h)-C(S)-NH-R14, где R14 имеет вышеуказанное значение,
12)-С(О)-R10, где R10 имеет вышеуказанное значение,
13)-S(O)p-R12, где R12 имеет вышеуказанное значение и р означает целые числа ноль, 1 или 2,
14)-NO2,
15)-CN или
16)-N(R15)-R12, где R15 означает
16)1)атом водорода или
16)2)-(С1-С6)-алкил,
16)3)-SO2-(C1-C6)-алкил, где алкил незамещен или одно- или двухкратно замещен -(С3-С6)-циклоалкилом, -(С2-С6)-алкинилом, -(С6-С14)-арилом или гетероциклом,
и R12 имеет вышеуказанное значение,
17)-SO2-N(R12)-R1, где R12 имеет вышеуказанное значение и R1 имеет нижеуказанное значение;
Х означает -ОН или -NH-OH;
n1 означает целое число 1 или 2;
n2 означает целое число 2 или 3;
R1, R2, R3, R4 и R5 являются одинаковыми или разными и, независимо друг от друга, означают
1)атом водорода,
2)-(С1-С6)-алкил, где алкил незамещен или одно- или двухкратно замещен -(С3-С6)-циклоалкилом, -(С2-С6)-алкинилом, -(С6-С14)-арилом или гетероциклом,
3)-С(О)-О-R8, где R8 означает
3)1)атом водорода,
3)2)-(C1-C6)-алкил, где алкил незамещен или одно- или двухкратно замещен -(С3-С6)-циклоалкилом, -(С2-С6)-алкинилом, -(С6-С14)-арилом или гетероциклом, или от однократно до пятикратно замещен фтором, или
3)3)-(С6-С14)-арил или гетероцикл,
4)-О-R8, где R8 имеет вышеуказанное значение, или
5)-(С3-С6)-циклоалкил.
Следующим объектом изобретения является соединение формулы (I), причем
А означает -(С0-С4)-алкилен;
В, D и Е являются одинаковыми или разными и, независимо друг от друга, означают -(С0-С4)-алкилен или остаток -В1-В2-В3-, где
В1 означает -(СН2)n-, где n означает целое число ноль, 1 или 2;
В3 означает -(СН2)m-, где m означает целое число ноль, 1 или 2;
при условии, что сумма n и m составляет ноль, 1 или 2; и
В2 означает
1)-(С0-С2)-алкилен,
2)этенилен,
3)этинилен,
4)-С(О)-,
5)-N(R6)-С(О)-, где R6 означает атом водорода, метил или этил,
6)-С(О)-N(R6)-, где R6 имеет вышеуказанное значение,
7)-О- или
8)-S-;
цикл 1, цикл 2 или цикл 3 являются одинаковыми или разными и, независимо друг от друга, означают
1)ковалентную связь,
2)фенил или нафтил, и незамещены или, независимо друг от друга, одно- или двухкратно замещены с помощью G, или
3)гетероцикл, где гетероцикл представляет собой остаток из ряда: дигидрофуранил, фуранил, пиридинил, пиримидинил, пирролил, тиадиазолил, тиазолил или тиофенил, и незамещены или, независимо друг от друга, одно- или двухкратно замещены с помощью G;
цикл 4 означает
1)фенил или нафтил, и незамещен или, независимо друг от друга, одно- или двухкратно замещен с помощью G, или
2)гетероцикл, где гетероцикл представляет собой остаток из ряда: бензофуранил, дигидрофуранил, дибензофуранил, дибензотиофенил, фуранил, 2′-метилбифенил-2-ол, морфолинил, пиперазинил, пиперидинил, пиридинил, пиримидинил, пиридотиофенил, пирролил, пирролидинил, тиазолил или тиофенил; и незамещен или, независимо друг от друга, одно- или двухкратно замещен с помощью G;
3)следующий остаток:

и этот остаток незамещен или однократно замещен с помощью G;
G означает
1)атом водорода,
2)Br, Cl или F,
3)-(С1-С4)-алкил, где алкил незамещен или одно- или двухкратно замещен атомом фтора, фенилом, -С3-циклоалкилом или гетероциклом, причем гетероцикл имеет вышеуказанное значение
4)фенил,
5)гетероцикл, причем гетероцикл имеет вышеуказанное значение,
6)-С(О)-О-R10, где R10 означает
а)-(С1-С6)-алкил, где алкил незамещен или одно- или двухкратно замещен циклопропилом, фенилом или гетероциклом, причем гетероцикл имеет вышеуказанное значение,
b)фенил или
с)гетероцикл, причем гетероцикл имеет вышеуказанное значение,
7)-С(О)-NH-R11, где R11 означает
а)-(С1-С6)-алкил, где алкил незамещен или одно- или двухкратно замещен циклопропилом, фенилом или гетероциклом, причем гетероцикл имеет вышеуказанное значение,
b)фенил или
с)гетероцикл, причем гетероцикл имеет вышеуказанное значение,
8)-O-R12, где R12 означает
а)атом водорода,
b)-(С1-С6)-алкил, где алкил незамещен или одно-, двух- или трехкратно замещен атомом галогена, циклопропилом, фенилом или гетероциклом, причем гетероцикл имеет вышеуказанное значение,
с)фенил,
d)гетероцикл, причем гетероцикл имеет вышеуказанное значение,
е)-С(О)-О-R13, где R13 означает
е)1)-(С1-С6)-алкил, где алкил незамещен или одно- или двухкратно замещен циклопропилом, фенилом или гетероциклом, причем гетероцикл имеет вышеуказанное значение, или
е)2)фенил или гетероцикл, причем гетероцикл имеет вышеуказанное значение,
f)-C(S)-O-R13, где R13 имеет вышеуказанное значение, или
g)-C(O)-NH-R14, где R14 означает
g)1)-(С1-С6)-алкил, где алкил незамещен или одно- или двухкратно замещен фенилом или гетероциклом, причем гетероцикл имеет вышеуказанное значение,
g)2)фенил или гетероцикл, причем гетероцикл имеет вышеуказанное значение,
9)-С(О)-R10, где R10 имеет вышеуказанное значение,
10)-S(O)p-R12, где R12 имеет вышеуказанное значение и р означает целые числа 1 или 2,
11)-NO2,
12)-CN или
13)-N(R15)-R12, где R15 означает
13)1)атом водорода или
13)2)-(С1-С6)-алкил,
и R12 имеет вышеуказанное значение;
Х означает -ОН или -NH-OH;
n1 означает целое число 1или 2;
n2 означает целое число 2 или 3;
R1, R2 и R3, соответственно, означают атом водорода;
R4 и R5 являются одинаковыми или разными и, независимо друг от друга, означают
1)атом водорода,
2)метил,
3)этил или
4)-ОН.
Дальнейшим объектом изобретения является соединение формулы (I), причем
А означает -(С0-С4)-алкилен;
В, D и Е являются одинаковыми или разными и, независимо друг от друга, означают -(С0-С4)-алкилен или остаток -В1-В2-В3-, где
В1 означает -(СН2)n-, где n означает целое число ноль, 1 или 2;
В3 означает -(СН2)m-, где m означает целое число ноль, 1 или 2;
при условии, что сумма n и m составляет ноль, 1 или 2; и
В2 означает
1) -(С0-С2)-алкилен,
2) этенилен или
3)этинилен;
цикл 1, цикл 2 или цикл 3 являются одинаковыми или разными и, независимо друг от друга, означают
1)ковалентную связь,
2)фенил, и незамещены или, независимо друг от друга, одно- или двухкратно замещены с помощью G, или
3)гетероцикл, где гетероцикл представляет собой остаток из ряда: дигидрофуранил, фуранил, морфолинил, пиперазинил, пиперидинил, пиридинил, пиримидинил, пирролил, тиазолил или тиофенил, и незамещены или, независимо друг от друга, одно- или двухкратно замещены с помощью G;
цикл 4 означает
1)фенил, и незамещен или, независимо друг от друга, одно- или двухкратно замещен с помощью G,
2)гетероцикл, где гетероцикл представляет собой остаток из ряда: бензофуранил, дигидрофуранил, дибензофуранил, дибензотиофенил, фуранил, 2′-метилбифенил-2-ол, морфолинил, пиперазинил, пиперидинил, пиридинил, пиримидинил, пиридотиофенил, пирролил, пирролидинил, тиазолил или тиофенил, и незамещен или, независимо друг от друга, одно- или двухкратно замещен с помощью G; или
3)следующий остаток:

и этот остаток незамещен или однократно замещен с помощью G;
G означает
1)атом водорода,
2)Br, Cl или F,
3)-(С1-С4)-алкил, где алкил незамещен или одно-, двух- или трехкратно замещен Br, Cl, F, -С3-циклоалкилом, фенилом или гетероциклом, причем гетероцикл имеет вышеуказанное значение,
4)фенил,
5)гетероцикл, причем гетероцикл имеет вышеуказанное значение,
6)-С(О)-О-R10, где R10 означает
а)-(С1-С6)-алкил, где алкил незамещен или одно- или двухкратно замещен циклопропилом, фенилом или гетероциклом, причем гетероцикл имеет вышеуказанное значение,
b)фенил или
с)гетероцикл, причем гетероцикл имеет вышеуказанное значение,
7)-С(О)-NH-R11, где R11 означает
а)-(С1-С6)-алкил, где алкил незамещен или одно- или двухкратно замещен циклопропилом, фенилом или гетероциклом, причем гетероцикл имеет вышеуказанное значение,
b)фенил или нафтил, или
с)гетероцикл, причем гетероцикл имеет вышеуказанное значение,
8)-O-R12, где R12 означает
а)атом водорода,
b)-(С1-С6)-алкил, где алкил незамещен или одно-, двух- или трехкратно замещен атомом галогена, циклопропилом, фенилом или гетероциклом, причем гетероцикл имеет вышеуказанное значение,
с)фенил,
d)гетероцикл, причем гетероцикл имеет вышеуказанное значение,
е)-С(О)-О-R13, где R13 означает
е)1)-(С1-С6)-алкил, где алкил незамещен или одно- или двухкратно замещен циклопропилом, фенилом, нафтилом или гетероциклом, или
е)2)фенил или гетероцикл, причем гетероцикл имеет вышеуказанное значение,
f)-C(S)-O-R13, где R13 имеет вышеуказанное значение, или
g)-C(O)-NH-R14, где R14 означает
g)1)-(С1-С6)-алкил, где алкил незамещен или одно- или двухкратно замещен фенилом или гетероциклом, причем гетероцикл имеет вышеуказанное значение, или
g)2)фенил или гетероцикл, причем гетероцикл имеет вышеуказанное значение,
9)-С(О)-R10, где R10 имеет вышеуказанное значение,
10)-S(O)p-R12, где R12 имеет вышеуказанное значение и р означает целые числа 1 или 2,
11)-NO2,
12)-CN или
13)-N(R15)-R12, где R15 означает
13)1)атом водорода,
13)2)-(С1-С6)-алкил,
и R12 имеет вышеуказанное значение;
Х означает -ОН или -NH-OH;
n1 означает целое число 2;
n2 означает целое число 3;
R1, R2, R3, R4 и R5, каждый означают атом водорода.
Еще одним другим объектом изобретения является соединение формулы (I), причем
А означает ковалентную связь или -СН2-СН2-;
В, D и Е являются одинаковыми или разными и, независимо друг от друга, означают -(С0-С4)-алкилен или остаток -В1-В2-В3-, где
В1 означает -(СН2)n-, где n означает целое число ноль, 1 или 2;
В3 означает -(СН2)m-, где m означает целое число ноль, 1 или 2;
при условии, что сумма n и m составляет ноль, 1 или 2; и
В2 означает
1) -С(О)-,
2) -(С2-С4)-алкинилен,
3)-S(O)o-, причем о означает целые числа ноль или 1,
4)-N(R6)-С(Y)-, где Y означает атом кислорода и R6 означает атом водорода,
5)-С(Y)-N(R6)-, где Y означает атом кислорода и R6 означает атом водорода,
6)-O-;
цикл 1, цикл 2 или цикл 3 являются одинаковыми или разными и, независимо друг от друга, означают
1)ковалентную связь,
2)фенил, и незамещены или, независимо друг от друга, одно-или двухкратно замещены с помощью G, или
3)гетероцикл, где гетероцикл представляет собой остаток из ряда: фуранил, пиридинил, пиримидинил или тиофенил, и незамещены или, независимо друг от друга, одно- или двухкратно замещены с помощью G;
цикл 4 означает
1)фенил, и незамещен или, независимо друг от друга, одно-или двухкратно замещен с помощью G, или
2)гетероцикл, где гетероцикл представляет собой остаток из ряда: бензофуранил, дибензофуранил, фуранил, 2′-метилбифенил-2-ол, морфолинил, пиперазинил, пиперидинил, пиридинил, пиримидинил, пиридотиофенил, пирролил, пирролидинил, тиазолил или тиофенил, и незамещен или, независимо друг от друга, одно- или двухкратно замещен с помощью G, или
3)следующий остаток:

и этот остаток незамещен или однократно замещен с помощью G;
G означает
1)атом водорода,
2)Br, Cl или F,
3)-(С1-С4)-алкил, где алкил незамещен или одно-, двух- или трехкратно замещен Br, Cl, F, -С3-циклоалкилом, фенилом или гетероциклом, причем гетероцикл имеет вышеуказанное значение,
4)фенил,
5)гетероцикл, причем гетероцикл имеет вышеуказанное значение,
6)-С(О)-О-R10, где R10 означает
а)-(С1-С6)-алкил, где алкил незамещен или одно- или двухкратно замещен циклопропилом, фенилом или гетероциклом, причем гетероцикл имеет вышеуказанное значение,
b)фенил или
с)гетероцикл, причем гетероцикл имеет вышеуказанное значение,
7)-С(О)-NH-R11, где R11 означает
а)-(С1-С6)-алкил, где алкил незамещен или одно- или двухкратно замещен циклопропилом, фенилом или гетероциклом, причем гетероцикл имеет вышеуказанное значение,
b)фенил или
с)гетероцикл, причем гетероцикл имеет вышеуказанное значение,
8)-O-R12, где R12 означает
а)атом водорода,
b)-(С1-С6)-алкил, где алкил незамещен или одно-, двух- или трехкратно замещен атомом галогена, циклопропилом, фенилом или гетероциклом, причем гетероцикл имеет вышеуказанное значение,
с)фенил,
d)гетероцикл, причем гетероцикл имеет вышеуказанное значение,
е)-С(О)-О-R13, где R13 означает
е)1)-(С1-С6)-алкил, где алкил незамещен или одно- или двухкратно замещен циклопропилом, фенилом или гетероциклом, причем гетероцикл имеет вышеуказанное значение, или
е)2)фенил или гетероцикл, причем гетероцикл имеет вышеуказанное значение,
f)-C(S)-O-R13, где R13 имеет вышеуказанное значение, или
g)-C(O)-NH-R14, где R14 означает
g)1)-(С1-С6)-алкил, где алкил незамещен или одно- или двухкратно замещен фенилом или гетероциклом, причем гетероцикл имеет вышеуказанное значение,
g)2)фенил или гетероцикл, причем гетероцикл имеет вышеуказанное значение,
9)-С(О)-R10, где R10 имеет вышеуказанное значение,
10)-S(O)p-R12, где R12 имеет вышеуказанное значение и р означает целые числа ноль, 1 или 2,
11)-NO2,
12)-CN или
13)-N(R15)-R12, где R15 означает
13)1)атом водорода или
13)2)-(С1-С6)-алкил,
и R12 имеет вышеуказанное значение;
Х означает -NH-OH;
n1 означает целое число 2;
n2 означает целое число 3; и
R1, R2, R3, R4 и R5, соответственно, означают атом водорода.
Дальнейшим объектом изобретения является соединение формулы (I), выбранное из группы, состоящей из:
2-(4′-нитробифенил-4-сульфонил)декагидроизохинолин-1-(N-гидрокси)карбоксамида;
2-(4′-хлорбифенил-4-сульфонил)декагидроизохинолин-1-карбоновой кислоты;
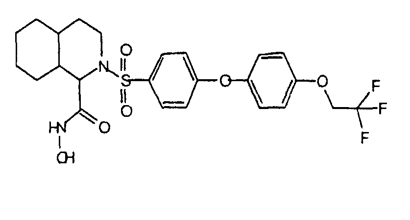
2-(4′-хлорбифенил-4-сульфонил)декагидроизохинолин-1-(N-гидрокси)карбоксамида;
2-(6-феноксипиридин-3-сульфонил)декагидроизохинолин-1-карбоновой кислоты; трифторацетата;
2-(6-феноксипиридин-3-сульфонил)декагидроизохинолин-1-(N-гидрокси)карбоксамида; трифторацетата;
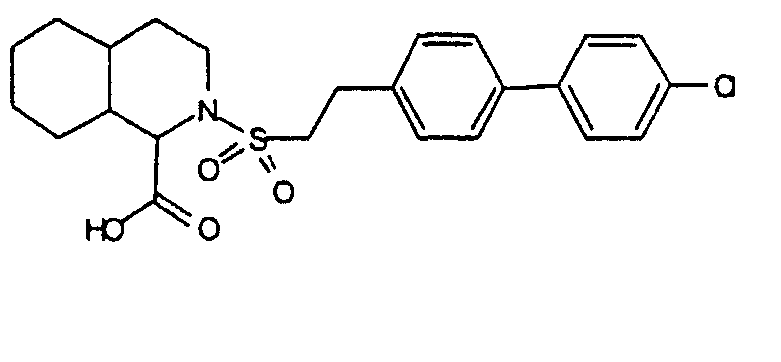
2-[2-(4′-хлорбифенил-4-ил)этансульфонил]декагидроизохинолин-1-карбоновой кислоты;
2-[2-(4′-хлорбифенил-4-ил)этансульфонил]декагидроизохинолин-1-(N-гидрокси)карбоксамида;
2-[4-(пиридин-4-илокси)бензолсульфонил]декагидроизохинолин-1-карбоновой кислоты; трифторацетата;
2-[4-(пиридин-4-илокси)бензолсульфонил]декагидроизохинолин-1-(N-гидрокси)карбоксамида; трифторацетата;
2-[4-(4-метоксифенокси)бензолсульфонил]декагидроизохинолин-1-карбоновой кислоты;
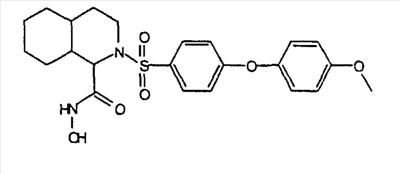
2-[4-(4-метоксифенокси)бензолсульфонил]декагидроизохинолин-1-(N-гидрокси)карбоксамида;
2-{4-[4-(2,2,2-трифторэтокси)фенокси]бензолсульфонил}декагидроизохинолин-1-карбоновой кислоты;
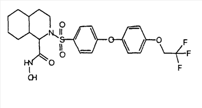
2-{4-[4-(2,2,2-трифторэтокси)фенокси]бензолсульфонил}декагидроизохинолин-1-(N-гидрокси)карбоксамида;
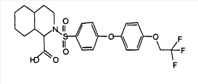
2-[4′-(2,2,2-трифторэтокси)бифенил-4-сульфонил]декагидроизохинолин-1-карбоновой кислоты;
2-(4′-изопропоксикарбониламинобифенил-4-сульфонил]декагидроизо-хинолин-1-карбоновой кислоты;
изопропилового эфира [4′-(1-гидроксикарбамоилоктагидро-изохинолин-2-сульфонил)бифенил-4-ил]карбоксамида;
гидроксиамида 2-[4′-(2,2,2-трифторэтокси)бифенил-4-сульфонил]-декагидроизохинолин-1-карбоновой кислоты;
гидроксиамида 2-(4′-трифторметоксибифенил-4-сульфонил)декагидроизохинолин-1-карбоновой кислоты;
гидроксиамида 2-[4-(4-фторфенокси)бензолсульфонил]декагидроизохинолин-1-карбоновой кислоты;
гидроксиамида 2-[4-(4-трифторметоксифенокси)бензолсульфонил]-декагидроизохинолин-1-карбоновой кислоты;
2-[4-(4-трифторметоксифенокси)бензолсульфонил]декагидроизохинолин-1-карбоновой кислоты;
гидроксиамида 2-(бифенил-4-сульфонил)декагидроизохинолин-1-карбоновой кислоты;
2-(бифенил-4-сульфонил)декагидроизохинолин-1-карбоновой кислоты;
гидроксиамида 2-[4-(4-цианофенокси)бензолсульфонил]декагидроизохинолин-1-карбоновой кислоты;
2-(дибензофуран-2-сульфонил)декагидроизохинолин-1-карбоновой кислоты;
гидроксиамида 2-(дибензофуран-2-сульфонил)декагидроизохинолин-1-карбоновой кислоты; или
гидроксиамида 2-[4-(4-фторфенокси)бензолсульфонил]-6-метокси-декагидроизохинолин-1-карбоновой кислоты;
а также всех изомерных форм вышеуказанных соединений.
Под понятием “(С1-С6)-алкил” понимают углеводородные остатки, углеродная цепь которых является линейной или разветвленной и содержит 1-6 атомов углерода, как, например, метил, этил, пропил, изопропил, бутил, изобутил, трет-бутил, пентил, изопентил, неопентил, гексил, 2,3-диметилбутан или неогексил.
Под понятием “(С0-С4)-алкилен” понимают углеводородные остатки, углеродная цепь которых является линейной или разветвленной и содержит 1-4 атома углерода, как, например, метилен, этилен, пропилен, изопропилен, изобутилен, бутилен или трет-бутилен. “С0-алкилен” означает ковалентную связь.
Под понятием “-(СН2)n-, где n означает целое число ноль, 1 или 2″ в случае n, равном нулю, понимают ковалентную связь, в случае n, равном 1, понимают метиленовый остаток и в случае n, равном 2, понимают этиленовый остаток.
Под понятием “-(С2-С4)-алкенилен” понимают углеводородные остатки, углеродная цепь которых является линейной или разветвленной и содержит 2-4 атома углерода и, в зависимости от длины цепи, имеются 1 или 2 двойные связи, как, например, этенилен, пропенилен, изопропенилен, изобутенилен или бутенилен; заместители у двойной связи, если существует принципиальная возможность, могут быть расположены в Е- или Z-положении.
Под понятием “-(С2-С6)-алкинилен” понимают углеводородные остатки, углеродная цепь которых является линейной или разветвленной и содержит 2-6 атомов углерода и, в зависимости от длины цепи, имеются 1 или 2 тройные связи, как, например, этинилен, пропинилен, изопропинилен, изобутинил, бутинилен, пентинилен или изомеры пентинилена или гексинилен или изомеры гексинилена.
Под понятием “(С3-С6)-циклоалкил” понимают остатки, которые производятся от 3-6-членных моноциклов, как циклопропил, циклобутил, циклопентил или циклогексил.
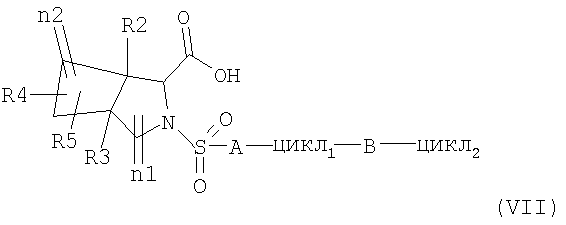
Под остатками

соответственно, понимают -СН2-остатки в цикле формулы (I), причем переменные n1 или n2, соответственно, указывают число -СН2-остатков в цикле формулы (I). В случае, когда n1 имеет значение ноль, имеется ковалентная связь и полученный частичный цикл содержит в целом 4 атома в цикле. В случае, когда n2 имеет значение ноль, имеется ковалентная связь и полученный частичный цикл содержит в целом 3 атома в цикле. В случае, когда n1 имеет значение 1, имеется -СН2-остаток и полученный частичный цикл содержит в целом 5 атомов в цикле. В случае, когда n1 имеет значение 2, имеется -СН2-СН2-остаток и полученный частичный цикл содержит в целом 6 атомов в цикле. В случае, когда n1 имеет значение 3, имеется -СН2-СН2-СН2-остаток и полученный частичный цикл содержит в целом 7 атомов в цикле. В случае n2 имеются соответствующие частичные циклы.
Под понятием “-(С6-С14)-арил” понимают ароматические углеводородные остатки с 6-14 атомами углерода в цикле. -(С6-С14)-Арильными остатками являются, например, фенил, нафтил, как, например, 1-нафтил, 2-нафтил, антрил или флуоренил. Предпочтительными арильными остатками являются нафтильные остатки и в особенности фенильные остатки.
Под понятием “4-15-членный гетероцикл” или “гетероцикл” понимают циклические системы с 4-15 атомами углерода, которые находятся в одной, двух или трех связанных друг с другом циклических системах и которые содержат один, два, три или четыре одинаковых или разных гетероатомов из ряда: кислород, азот или сера. Примерами этих циклических систем являются остатки акридинил, азепинил, азетидинил, азиридинил, бензимидазалинил, бензимидазолил, бензофуранил, бензотиофуранил, бензотиофенил, бензоксазолил, бензтиазолил, бензтриазолил, бензтетразолил, бензизоксазолил, бензизотиазолил, карбазолил, 4аН-карбазолил, карболинил, хиназолинил, хинолинил, 4Н-хинолизинил, хиноксалинил, хинуклидинил, хроманил, хроменил, циннолинил, декагидрохинолинил, дибензофуранил, дибензотиофенил, дигидрофуран[2,3-b]тетрагидрофуранил, дигидрофуранил, диоксолил, диоксанил, 2Н,6Н-1,5,2-дитиазинил, фуранил, фуразанил, имидазолидинил, имидазолинил, имидазолил, 1Н-индазолил, индолинил, индолизинил, индолил, 3Н-индолил, изобензофуранил, изохроманил, изоиндазолил, изоиндолинил, изоиндолил, изохинолинил (бензимидазолил), изотиазолидинил, 2-изотиазолинил, изотиазолил, изоксазолил, изоксазолидинил, 2-изоксазолинил, 2′-метилбифенил-2-ол, морфолинил, нафтиридинил, октагидроизохинолинил, оксадиазолил, 1,2,3-оксадиазолил, 1,2,4-оксадиазолил, 1,2,5-оксадиазолил, 1,3,4-оксадиазолил, оксазолидинил, оксазолил, оксотиоланил, пиримидинил, фенантридинил, фенантролинил, феназинил, фенотиазинил, феноксатиинил, феноксазинил, фталазинил, пиперазинил, пиперидинил, птеридинил, пуринил, пиранил, пиразинил, пироазолидинил, пиразолинил, пиразолил, пиридазинил, пиридооксазолил, пиридоимидазолил, пиридотиазолил, пиридотиофенил, пиридинил, пиридил, пиримидинил, пирролидинил, пирролинил, 2Н-пирролил, пирролил, тетрагидрофуранил, тетрагидроизохинолинил, тетрагидрохинолинил, тетрагидропиридинил, 6Н-1,2,5-тиадазинил, 1,2,3-тиадиазолил, 1,2,4-тиадиазолил, 1,2,5-тиадиазолил, 1,3,4-тиадиазолил, тиантренил, тиазолил, тиенил, тиенотиазолил, тиенооксазолил, тиеноимидазолил, тиоморфолинил, тиофенил, триазинил, 1,2,3-триазолил, 1,2,4-триазолил, 1,2,5-триазолил, 1,3,4-триазолил и ксантенил.
Предпочтительными гетероциклами являются остатки бензофуранил, бензимидазолил, бензоксазолил, бензотиазолил, бензотиофенил, 1,3-бензодиоксолил, хиназолинил, хинолинил, хиноксалинил, хроманил, циннолинил; фуранил, как 2-фуранил и 3-фуранил; имидазолил, индолил, индазолил, изохинолинил, изохроманил, изоиндолил, изотиазолил, изоксазолил, 2′-метилбифенил-2-ол, оксазолил, фталазинил, птеридинил, пиразинил, пиразолил, пиридозинил, пиридоимидазолил, пиридопиридинил, пиридопиримидинил; пиридил, как 2-пиридил, 3-пиридил или 4-пиридил; пиримидинил; пирролил, как 2-пирролил и 3-пирролил; пуринил, тиазолил, тетразолил или тиенил, как 2-тиенил и 3-тиенил.
Под понятием “галоген” понимают фтор, хлор, бром или иод.
Изобретение, далее, относится к способу получения соединения формулы (I) и/или стереоизомерной формы соединения формулы (I) и/или физиологически приемлемой соли соединения формулы (I), отличающемуся тем, что
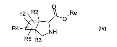
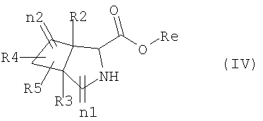
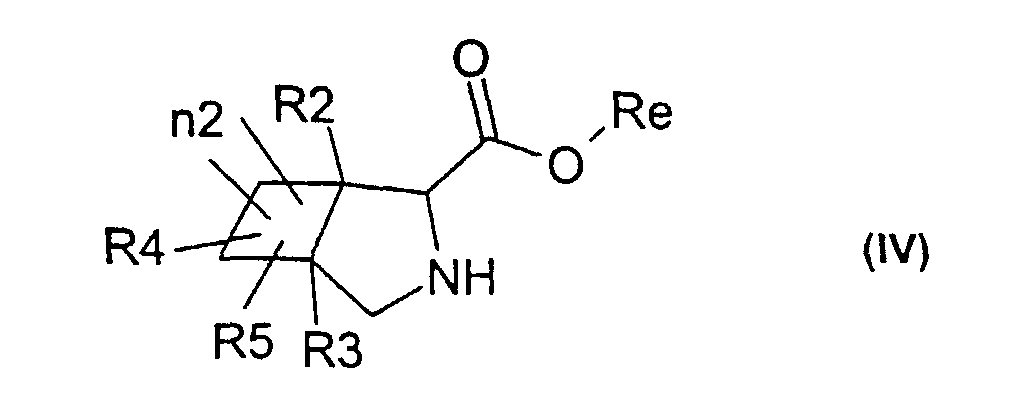
а) соединение формулы (IV):

где Re означает атом водорода или защитную сложноэфирную группу, вводят во взаимодействие с соединением формулы (V):

где А, В, D, E и цикл 1, цикл 2, цикл 3, цикл 4 имеют указанное в случае формулы (I) значение и где Rz означает атом хлора, имидазолил или ОН,
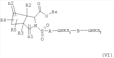
в присутствии основания или после силилирования с помощью пригодного силилирующего средства или с пригодным обезвоживающим средством для случая Rz = ОН, с получением соединения формулы (VI):

где A, B, D, E, Re и цикл 1, цикл 2, цикл 3 и цикл 4 имеют вышеуказанное значение; и
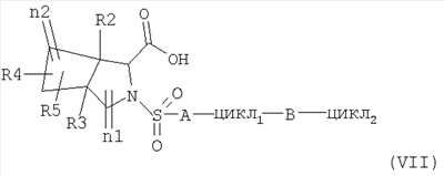
b) для случая Re=сложный эфир, полученное по п. а) соединение формулы (VI) вводят во взаимодействие со щелочью, как NaOH или LiOH, и осуществляют последующую обработку кислотой с получением предлагаемой согласно изобретению карбоновой кислоты формулы (I), где Х=ОН (соответствует формуле (VII)), причем, в случае необходимости, прежде осуществляют еще модификации в одной из боковых цепей циклов цикл 1 – цикл 4; или указанный сложный эфир путем обработки неорганической кислотой, как соляная кислота, превращают в свободную карбоновую кислоту формулы (VII):

и затем ее превращают в предлагаемую согласно изобретению гидроксамовую кислоту, где Х=NH-OH, формулы (I);
с) полученное по способу а) соединение формулы (I), или пригодный предшественник соединения формулы (I), которое (который) на основании своей химической структуры находится в энантиомерных формах, разделяют на чистые энантиомеры путем солеобразования с энантиомерно-чистыми кислотами или основаниями, хроматографии на хиральных неподвижных фазах или дериватизации с помощью хиральных энантиомерно-чистых соединений, как аминокислоты, разделения таким образом полученных диастереомеров, и отщепления хиральных вспомогательных групп; или
d) полученное по способу b) или с) соединение формулы (I) либо выделяют в свободной форме, либо, в случае присутствия групп кислотного или основного характера, превращают в физиологически приемлемые соли.
Соединения типа таковых формул (IV)-(VII) представляют собой только показательные соединения, вместо пятичленного цикла можно указать, соответственно формуле (I), также пятичленные, шестичленные и семичленные циклы.
Соединения типа таковых формулы (IV) можно получать по известным методикам. Например, соединения с n1=1 n2=0 (метанпролины) можно получать многими известными способами. Описание более нового синтеза представлено, например, в Tetrahedron, 53, 14773-92 (1997).
Бициклические основные структуры формулы (IV) с n1=2 и n2=3 согласно формуле (I) можно получать, например, путем гидрирования изохинолин-1-карбоновой кислоты или пригодных производных изохинолин-1-карбоновой кислоты, как сложный метиловый или этиловый эфир. Это гидрирование описывается, например, в патенте США 5430023, патенте США 5726159 и Европейском патенте 643073.
Для получения этих соединений путем гидрирования также можно использовать 1,2,3,4-тетрагидроизохинолин-1-карбоновую кислоту и ее производные. Этот способ имеет преимущество в том, что можно использовать широкую гамму способов для синтеза 1,2,3,4-тетрагидроизохинолин-1-карбоновых кислот. Особенно известными и широко применимыми являются, например, циклизации по типу Pictet-Spengler, как описывается, например, в патенте США 4902695. С помощью такого рода способов можно получать, например, – в зависимости от рода используемых исходных продуктов – замещенные соединения, то есть, соединения, в которых заместители R1, R4 и R5 не означают атомы водорода. Новый пример замещенных в цикле соединений представлен в Международной заявке на патент WO 2003041641. Бесчисленные примеры могут быть для R1 и/или R4 и R5, которые не означают атом водорода и легко доступны специалисту.
Другие способы получения циклических основных структур возможны, например, за счет радикальных реакций циклизации и описываются в Tetrahedron, 48, 4659-76 (1992).
Для синтеза соединений типа таковых формулы (IV), когда n1=1 и n3=3, можно использовать другие способы. Например, описанные синтезы представлены в Tetrahedron, 55, 8025 (1999); Tetrahedron Lett., 24, 5339 (1983), соответственно, в выложенных описаниях изобретений к неакцептованным заявкам ФРГ 3322530 и 3211676.
Способы синтеза соединений типа таковых формулы (IV) с n1=1 и n2=2 описываются также в Tetrahedron, 55, 8025 (1999) и патентах ФРГ 3322530, соответственно, 3211676.
Также описаны способы синтеза основных структур родственных соединений, например, с n1=1 и n2=4. Например, в J. Org. Chem., 61, 7125 (1996), описываются синтезы -лактамов, которые содержат указанную основную структуру. Из них путем раскрытия -лактама также можно получать замещенные основные структуры аналогично формуле (IV).
Способы синтеза основных стуктур с n1=1 и n2=4 также известны и подробно описаны, например, в Европейском патенте 0672665 и в вышеприведенных ссылках.
В качестве сложноэфирной защитной группы Re можно использовать группы, применяемые для сложных эфиров в качестве защитных групп, описанные в “Protective Groups in Organic Synthesis” T.H. Greene, P.G.M. Wuts, Wiley-Interscience, 1999. Предпочтительными сложноэфирными защитными группами являются, например, метил, этил, изопропил, трет-бутил или бензил.
В определенных условиях может оказаться рациональным использование соединений типа таковых формулы (IV) в N-защищенном состоянии. Например, такого рода защищенные соединения лучше могут подвергаться очистке, чем свободные иминокислоты, также, при известных условиях, их лучше можно использовать для получения энантиомерно- или диастереомерно-чистых соединений. В качестве защитных групп для аминогруппы можно использовать группы, описанные в “Protective Groups in Organic Synthesis” T.H. Greene, P.G.M. Wuts, Wiley-Interscience, 1999. Предпочтительными защитными для амино- или иминогрупп группами являются, напиимер, Z, Boc, Fmoc, Aloc, ацетил, трифторацетил, бензоил, бензил и подобные.
Используемые исходные продукты и реагенты либо можно получать известными способами, либо они имеются в продаже.
Превращения осуществляют, например, как описывается в Международной заявке на патент WO-97/18194. Превращение согласно стадии способа а) осуществляют в присутствии основания, как КОН, NaOH, LiOH, N-метилморфолин (NMM), N-этилморфолин (NEM), триэтиламин (ТЕА), диизопропилэтиламин (DIPEA), пиридин, коллидин, имидазол или карбонат натрия, в растворителях, как тетрагидрофуран (ТГФ), диметилформамид (ДМФА), диметилацетамид, диоксан, ацетонитрил, толуол, хлороформ или дихлорметан, или также в присутствии воды. В случае, когда превращение осуществляют при использовании силилирующих средств, применяют, например, N,O-бис(триметилсилил)ацетамид (BSA) или N,O-бис(триметилсилил)трифторацетамид (BSTFA) для силилирования иминокислоты с целью осуществления затем получения сульфонамида.
Модификация в боковой цепи F означает, что, например, нитрогруппу гидрируют при использовании металлического катализатора Pd/C или вводят во взаимодействие с SnCl2, соответственно, Zn в стандартных условиях и полученную аминогруппу затем можно модифицировать далее, например, путем введения во взаимодействие с хлорангидридами карбоновых кислот, хлорангидридами сульфокислот, эфирами хлормуравьиной кислоты, изоцианатами, изотиоцианатами или другими реакционноспособными или активируемыми реагентами, для получения предшественников предлагаемых согласно изобретению соединений формулы (I). В этом случае часто благоприятно, чтобы Re в соединении формулы (VI) представлял собой сложный эфир, так как в случае незащищенной карбоновой кислоты нужно считаться с побочными реакциями.
На стадии способа с), соединение формулы (I), когда оно находится в виде смеси диастереомеров или энантиомеров или при выбранном синтезе образуется в виде их смесей, разделяют на чистые стереоизомеры либо хроматографией на, в случае необходимости, хиральном носителе, либо, если рацемическое соединение формулы (I) способно к солеобразованию, путем фракционной кристаллизации диастереоизомерных солей, образующихся с оптически активным основанием или кислотой в качестве вспомогательного вещества. В качестве хиральных неподвижных фаз для разделения энантиомеров тонкослойной или колоночной хроматографией пригодны, например, модифицированные силикагелевые носители (так называемые Pirkle-фазы), а также высокомолекулярные углеводы, как триацетилцеллюлоза. Для аналитических целей, после соответствующей, известной специалисту дериватизации, также применимы газохроматографические методы при использовании хиральных неподвижных фаз. Для разделения на энантиомеры рацемических карбоновых кислот, с оптически активным, как правило, имеющимся в продаже основанием, как (-)-никотин, (+)- и (-)-фенилэтиламин, хининовые основания, L-лизин или L- и D-аргинин, получают различно растворимые диастереомерные соли, более труднорастворимые компоненты выделяют в виде твердого вещества, легче растворимые диастереомеры осаждают из маточного раствора и из таким образом полученных диастереомерных солей получают чистые энантиомеры. В принципе таким же образом рацемические соединения формулы (I), которые содержат основную группу, как аминогруппа, с помощью оптически активных кислот, как (+)-камфор-10-сульфокислота, D- и L-винная кислота, D- и L-молочная кислота, а также (+)- и (-)-миндальная кислота, можно переводить в чистые энантиомеры. Хиральные соединения, содержащие спиртовые группы или аминогруппы, с помощью соответственно активированных или, в случае необходимости, N-защищенных энантиомерно-чистых аминокислот также можно переводить в соответствующие сложные эфиры или амиды или, наоборот, хиральные карбоновые кислоты с помощью карбоксизащищенных энантиомерно-чистых аминокислот можно переводить в амиды или с помощью энантиомерно-чистых гидроксикарбоновых кислот, как молочная кислота, можно переводить в соответствующие хиральные сложные эфиры. Затем хиральность введенного в энантиомерно-чистой форме аминокислотного или спиртового остатка можно использовать для разделения изомеров, тем что разделение имеющихся теперь диастереомеров осуществляют путем кристаллизации или хроматографии на пригодных неподвижных фазах и после этого с помощью пригодных способов снова отщепляют введенную хиральную часть молекулы.
Далее, в случае некоторых из предлагаемых согласно изобретению соединений, для получения основных структур существует возможность использования диастерео- или энантиомерно-чистых исходных продуктов. Благодаря этому, в случае необходимости, также можно использовать другие или упрощенные способы очистки конечных продуктов. Эти исходные продукты прежде получают энантиомерно- или диастереомерно-чистыми по известным из литературы способам. Например, в случае способа получения декагидроизохинолин-1-карбоновой кислоты либо можно прямо использовать изохинолин-1-карбоновую кислоту, как указано и цитировано выше. Благодаря тому, что имеются 3 стереоцентра, в этом случае могут образовываться максимально 8 стереоизомеров (4 энантиомерные пары диастереоизомеров). Обусловленные способом получения, например, гидрированием, однако, очень предпочтительны определенные стереоизомеры. Так, как описывается в литературе, за счет пригодного выбора условий гидрирования (катализатор, давление, растворитель, температура) должно быть возможно, например, достижение сильного предпочтения присоединения водорода к местам соединения циклов. Так, в указанных условиях можно достигать образования цис-связанных циклов. Таким образом, тогда остается еще определить положение карбоновой кислоты, в случае которого число возможных стереоизомеров было бы уже ограничено 4. Обусловленное природой механизма гидрирования, особенно легко может происходить присоединение атомов водорода с той же самой стороны, как присоединение атомов водорода к узловому атому мостиковой системы, то есть, тем самым нужно ожидать дальнейшего ограничения возможности образования изомеров. Таким образом, в самом благоприятном случае можно исходить из образования только одной пары энантиомеров. Ее затем можно разделять вышеуказанными методами на энантиомеры. Разумеется, по этим соображениям также нужно исходить из того, что никогда не происходит полная стереоселекция, а что практически всегда также в более или менее больших количествах могут образовываться другие изомеры, соответственно, пригодными методами могут быть обнаружены также в самых маленьких количествах.
В случае, когда используют энантиомерно-чистые производные 1,2,3,4-тетрагидроизохинолин-1-карбоновой кислоты, можно было бы ожидать, что в одинаковых или подобных реакционных условиях, как в случае гидрирования изохинолин-1-карбоновой кислоты, имеют силу аналогичные рассуждения и в больших количествах опять образуются только предпочтительные стереоизомеры; в указанном случае должно отдаваться в высокой степени предпочтение единственному энантиомеру, так как в процессе гидрирования в аналогичных условиях, которые приводят к цис-соединению циклов при гидрировании изохинолин-1-карбоновой кислоты, в данном случае также опять может происходить только присоединение Н-атомов с одной стороны и, таким образом, образуются аналогичные продукты. Благодаря пригодным 2D-ЯМР-экспериментам, способам с использованием рентгеновского излучения, как, например, сокристаллизации, или другим, а также сравнительному аналитическому исследованию или химической дериватизации и пригодному аналитическому исследованию или химической дериватизации, которая приводит к известным и описанным изомерам, можно устанавливать идентичность структур.
Другая возможность синтеза энантиомерно- или диастереомерно-чистых соединений состоит в использовании пригодных хирально-замещенных исходных веществ для достижения за счет хиральных заместителей индукции хиральности в других центрах хиральности. Например, при циклизациях по Pictet-Spengler можно использовать хиральные эфиры глиоксиловой кислоты, чтобы получить хиральные Tic-производные, и затем, как уже было указано, их гидрировать.
Продукты кислотного или основного характера соединения формулы (I) могут находиться в форме их солей или в свободной форме. Предпочтительны фармакологически приемлемые соли, например, соли щелочных или щелочноземельных металлов, соответственно, гидрохлориды, гидробромиды, сульфаты, гемисульфаты, все возможные фосфаты, а также соли с аминокислотами, природными основаниями или карбоновыми кислотами. Получение физиологически приемлемых солей из способных к солеобразованию соединений формулы (I), включая их стереоизомерные формы, согласно стадии способа d) осуществляют само по себе известным образом. Соединения формулы (I) с основными реагентами, как гидроксиды, карбонаты, гидрокарбонаты, алкоголяты, а также аммиак, или органическими основаниями, как, например, триметил- или триэтиламин, этаноламин, диэтаноламин или триэтаноламин, трометамол, или также с основными аминокислотами, как, например, лизин, орнитин или аргинин, образуют стабильные щелочные, щелочноземельные или, в случае необходимости, замещенные аммониевые соли. Если соединения формулы (I) содержат основные группы, то с сильными кислотами можно также получать стабильные аддитивные соли кислот. Для этого используют, например, как неорганические, так и также органические кислоты, как соляная кислота, бромоводородная кислота, серная кислота, гемисерная кислота, фосфорная кислота, метансульфокислота, бензолсульфокислота, п-толуолсульфокислота, 4-бромбензолсульфокислота, циклогексиламидосульфокислота, трифторметилсульфокислота, 2-гидроксиэтансульфокислота, уксусная кислота, щавелевая кислота, винная кислота, янтарная кислота, глицеролфосфорная кислота, молочная кислота, яблочная кислота, адипиновая кислота, лимонная кислота, фумаровая кислота, малеиновая кислота, глюконовая кислота, глюкуроновая кислота, пальмитиновая кислота или трифторуксусная кислота.
Изобретение относится также к лекарственным средствам, отличающимся тем, что они содержат эффективное количество по меньшей мере одного соединения формулы (I) и/или физиологически приемлемой соли соединения формулы (I) и/или, в случае необходимости, стереоизомерной формы соединения формулы (I), вместе с фармацевтически пригодным и физиологически приемлемым носителем, добавкой и/или другими биологически активными и вспомогательными веществами.
На основании фармакологических свойств, предлагаемые согласно изобретению соединения пригодны для селективной профилактики и терапии всех таких заболеваний, течение которых опосредуется усиленной активностью металлопротеиназ. К ним относятся дегенеративные заболевания суставов, как остеоартрозы, спондилезы, атрофия хряща после травмы сустава или более продолжительной иммобилизации сустава после повреждений мениска или (над)коленной чашечки или разрывов связок. Далее, к ним относятся также заболевания соединительной ткани, как коллагенозы, периодонтальные заболевания, нарушения заживления ран и хронические заболевания двигательного аппарата, как воспалительные, иммунологически или метаболически обусловленные острые и хронические артритиды, артропатии, миалгии и нарушения метаболизма костей. Далее, соединения формулы (I) пригодны для лечения язв, атеросклероза и стенозов. Далее, соединения формулы (I) пригодны для лечения воспалений, раковых заболеваний, образования метастазов опухолей, кахексии, анорексии, сердечной недостаточности и септического шока. Соединения также пригодны для профилактики инфарктов миокарда и инсультов.
Применение предлагаемых согласно изобретению лекарственных средств можно осуществлять путем перорального, ингаляционного, ректального или трансдермального введения или путем подкожной, внутрисуставной или внутривенной инъекции. Предпочтительным является пероральное введение.
Изобретение относится также к способу получения лекарственного средства, отличающемуся тем, что по меньшей мере одно соединение формулы (I) вместе с фармацевтически пригодным и физиологически приемлемым носителем и, в случае необходимости, другими пригодными биологически активными веществами, добавками или вспомогательными веществами доводят до пригодной формы введения.
Пригодными твердыми или галеновыми готовыми формами являются, например, грануляты, порошки, драже, таблетки, (микро)капсулы, суппозитории, сиропы, соки, суспензии, эмульсии, капли или инъецируемые растворы, а также препараты с протрагированным высвобождением биологически активного вещества, при получении которых находят применение обычные вспомогательные средства, как носители, порофоры, связующие, покрытия, способствующие набуханию средства, придающие скользкость или смазочные средства, вкусовые вещества, подсластители и способствующие растворению вещества. В качестве часто используемых вспомогательных веществ следует указать карбонат магния, диоксид титана, лактозу, маннит и другие сахара, тальк, молочный белок, желатин, крахмал, целлюлозу и ее производные, животные и растительные масла, как рыбий жир, подсолнечное масло, арахисовое масло или кунжутное масло, полиэтиленгликоль или растворители, как, например, стерильная вода и одно- или многоатомные спирты, как глицерин.
Фармацевтически препараты предпочтительно получают и вводят в разовых дозах, причем каждая разовая доза в качестве активного компонента содержит определенное количество предлагаемого согласно изобретению соединения формулы (I). В случае твердых разовых доз, как таблетки, капсулы, драже или суппозитории, эта доза может составлять вплоть до примерно 1000 мг, однако, предпочтительно, примерно 50-300 мг, а в случае растворов для инъекций в ампульной форме вплоть до примерно 300 мг, предпочтительно, однако, примерно 10-100 мг.
Для лечения взрослых пациентов массой примерно 70 кг, в зависимости от эффективности соединения формулы (I), показаны суточные дозы от примерно 2 мг до 1000 мг биологически активногго вещества, предпочтительно, примерно от 50 мг до 500 мг. Смотря по обстоятельствам, однако, также можно вводить более высокие и более низкие суточные дозы. Суточную дозу можно вводить как путем одноразового введения в форме отдельной разовой дозы или, однако, в виде нескольких меньших разовых доз, как также путем многократного введения разделенных доз в определенные интервалы времени.
Конечные продукты, как правило, определяют масс-спектрометрическими методами (масс-спектрометрия с ионизацией путем бомбардировки быстрыми атомами (FAB-MC) и электронным распылением (ESI-МС) и методом 1Н-ЯМР (400 МГц, в ДМСО-d6); указываются, соответственно, основной пик или оба основных пика. Температурные данные приводятся в градусах Цельсия, RT означает комнатную температуру (21°С-24°С). Используемые сокращения либо поясняются, либо соответствуют обычным общепринятым. Ниже изобретение поясняется подробнее с помощью примеров.
Общая методика 1
Сульфонамид из хлорангидрида сульфокислоты и карбоновой кислоты
Карбоновую кислоту (6,45 ммоль) растворяют в 20 мл диметилформамида (ДМФА) и при температуре 0°С смешивают с 3 эквивалентами 3н. раствора NaOH (6,45 мл). Спустя 10 минут медленно прикапывают раствор арилсульфонилхлорида (1,1 эквивалента, 7,1 ммоль) в 10-15 мл ДМФА, после достижения комнатной температуры смесь еще максимально в течение 12 часов перемешивают при температуре от 20°С до 80°С. Точное время получают в зависимости от осуществленного превращения, которое устанавливают с помощью масс-спектрометрии. Затем растворитель удаляют при пониженном давлении. После этого осуществляют водную обработку (встряхивание с 1н. HCl и насыщенным раствором NaCl, высушивание органической фазы, как этилацетатная, дихлорметановая или хлороформная фаза, над сульфатом магния или натрия, затем концентрирование). Сырой продукт либо прямо вводят во взаимодействие далее, либо очищают хроматографически.
Общая методика 2
Сульфонамид из хлорангидрида сульфокислоты и карбоновой кислоты
Карбоновую кислоту растворяют в 0,5-2 М растворе NaOH, возможно при добавке 10-50% тетрагидрофурана (ТГФ) или ДМФА. Хлорангидрид кислоты (1-1,2 эквивалента, предпочтительно, 1,1 эквивалента) растворяют в ТГФ (концентрация 0,05-1М) и медленно прикапывают. В автотитраторе осуществляют автоматическое добавление 2н. раствора NaOH при комнатной температуре для поддерживания постоянным значения рН. Установленное значение рН: 8-12, предпочтительно, 9-11. По окончании реакции, которое узнают по отсутствию дальнейшего расхода NaOH, органический сорастворитель удаляют в роторном испарителе, водный раствор или суспензию смешивают с этилацетатом и подкисляют с помощью 1н. HCl. После отделения органической фазы и осуществленной снова экстракции водной фазы этилацетатом органические фазы объединяют, сушат над сульфатом натрия и затем растворитель удаляют при пониженном давлении. Сырой продукт либо прямо вводят во взаимодействие далее, либо очищают хроматографически.
Общая методика 3
Сульфонамид из хлорангидрида сульфокислоты и карбоновой кислоты
Эта методика особенно пригодна для взаимодействия хлорангидрида бифенилэтилсульфокислоты с иминокарбоновыми кислотами (см. пример 6 и пример 7) или подобными, неустойчивыми по отношению к гидролизу хлорангидридами сульфокислот.
8 ммоль Иминокислоты растворяют или суспендируют в 30 мл ацетонитрила. При комнатной температуре и в атмосфере инертного газа (N2) добавляют 2,3 г (9 ммоль) BSTFA (бис(триметилсилил)трифторацетамид) и смесь кипятят с обратным холодильником в течение 2 часов. К этому раствору добавляют 2,84 г (9 ммоль) 4-хлорбифенилэтансульфонилхлорида, растворенных в 30 мл ацетонитрила, и снова кипятят с обратным холодильником в течение 3 часов. После охлаждения реакционной смеси добавляют 1н. водный раствор HCl, перемешивают в течение 1 часа, удаляют растворитель при пониженном давлении в роторном испарителе и затем добавляют этилацетат или хлороформ, органическую фазу отделяют, ее экстрагируют насыщенным раствором NaCl, сушат над сульфатом натрия и концентрируют при пониженном давлении. В зависимости от чистоты продукта реакции его можно прямо вводить во взаимодействие далее или нужно прежде подвергать хроматографии на силикагеле.
Общая методика 4
Получение гидроксамовой кислоты из карбоновой кислоты через активирование хлорформиатом
Сульфокарбоновую кислоту растворяют в 10 мл ДМФА и при температуре 0°С смешивают с 1,1 эквивалентами этилхлорформиата, 2,2 эквивалентами N-этилморфолина, а также, спустя время предварительного активирования от 30 минут до 1 часа, с 3 эквивалентами триметилсилилгидроксиламина. После нагревания в течение по меньшей мере 4 часов при температуре 80°С удаляют растворитель при пониженном давлении и сырой продукт очищают хроматографическими способами.
Общая методика 5
Получение гидроксамовой кислоты через соответствующий хлорангидрид карбоновой кислоты
Сульфокарбоновую кислоту вводят в безводный хлороформ (не содержащий этанола) (примерно 5 мл на 0,5 ммоль) и при комнатной температуре смешивают с 3 эквивалентами оксалилхлорида. Затем нагревают в течение примерно 30 минут при температуре 45°С. Для контроля в отношении образования хлорангидрида из реакционной колбы отбирают небольшую пробу и смешивают с небольшим количеством бензиламина в ТГФ. Полное превращение можно распознать по количественному образованию бензиламида, карбоновую кислоту более не обнаруживают (контроль путем масс-спектрометрии с высокоэффективной жидкостной хроматографией (ВЭЖХ-МС)). В случае необходимости, нужно нагревать более продолжительное время или нагревать в условиях кипячения с обратным холодильником. Затем растворитель отгоняют при пониженном давлении, остаток многократно обрабатывают безводным толуолом и толуол снова удаляют в роторном испарителе. Хлорангидрид кислоты теперь снова обрабатывают хлороформом (10 мл на 0,5 ммоль) и при комнатной температуре смешивают с 3 эквивалентами О-триметилсилилгидроксиламина. Спустя время реакции по меньшей мере 30 минут (контроль за протеканием реакции по ВЭЖХ-МС) реакционную смесь выпаривают при пониженном давлении и остаток прямо очищают путем хроматографии.
Конкретные методики
4-Хлорбифенилэтансульфонилхлорид (промежуточный продукт в случае примера 7)
Стадия 1: 1-(2-Бромэтенон)-4-(4-хлорфенил)бензол
В перемешиваемую суспензию AlCl3 (34,7 г, 0,26 моль) и бромацетилбромида (25,2 г, 0,125 моль) в 400 мл CS2 при температуре 0°С порциями вносят 4-хлорбифенил (23,6 г, 0,125 моль) и затем кипятят с обратным холодильником в течение 3 часов. Реакционную смесь после этого медленно выливают на лед, экстрагируют этилацетатом и органическую фазу промывают водным раствором NaHCO3 и водой. Затем сушат над безводным сульфатом натрия и выпаривают при пониженном давлении. Остающийся остаток перекристаллизуют из дихлорметана. Выход: 24,2 г (62% от теории); т.пл.: 127-128°С.
1Н-ЯМР (300 МГц): 5,0 (с, 2Н, СН2); 7,5-8,1 (4д, 8Н, арил)
МС: 311,1 (М+Н)
Стадия 2: 4-Хлорбифенилэтанбромид
К перемешиваемой суспензии AlCl3 (20,0 г, 0,15 моль) в дихлорметане (500 мл) при температуре 0°С добавляют трет-бутиламиноборан (27,5 г, 0,31 моль). После перемешивания смеси при температуре 0°С в течение 15 минут добавляют раствор бромкетона из стадии 1 (16,0 г, 50 ммоль) в дихлорметане (150 мл) и при температуре 0°С перемешивают в течение следующих 4 часов. По каплям добавляют холодную разбавленную соляную кислоту (1н. 30 мл), затем многократно экстрагируют этилацетатом. Объединенные органические фазы сначала промывают разбавленной HCl, затем насыщенным раствором хлорида натрия и выпаривают. Получают маслянистое соединение, которое очищают флэш-хроматографией на силикагеле. Выход: 15 г (количественный); т.пл.: 142°С.
1Н-ЯМР (300 МГц): 3,2; 3,78 (2т, 4Н, СН2); 7,4-7,7 (4д, 8Н, арил)
МС: 296,2 (М+Н)
Стадия 3: Натриевая соль 4-хлорбифенилэтансульфокислоты
Соединение из стадии 2 (14,8 г, 50 ммоль) растворяют в смеси из этанола и воды (1:1, 200 мл). Добавляют сульфит натрия (9,5 г, 75 ммоль) и тетрабутиламмонийиодид (1,8 г, 5 ммоль) и смесь кипятят с обратным холодильником в течение 16 часов. Затем путем декантации отделяют от небольшого количества твердого вещества и объем реакционной смеси уменьшают за счет частичного выпаривания при пониженном давлении. При охлаждении выкристаллизовывается продукт, который отфильтровывают и перекристаллизуют из смеси МеОН/Н2О. Затем его высушивают при пониженном давлении. Выход: 13,9 г (94% от теории).
1Н-ЯМР (300 МГц): 2,6; 2,95 (2м, 4Н, СН2); 7,3-7,7 (4д, 8Н, арил)
Стадия 4: 4-Хлорбифенилэтансульфонилхлорид
К суспензии соединения из стадии 3 (4,8 г, 15 ммоль) в фосфороксихлориде (50 мл) добавляют пентахлорид фосфора (3,2 г, 15 ммоль). Нагревают при температуре 60°С в течение 6 часов и после добавления метиленхлорида смесь выливают на лед. Нейтрализуют насыщенным раствором гидрокарбоната натрия, органическую фазу отделяют, сушат и выпаривают при пониженном давлении. Выход: 5 г (количественный).
1Н-ЯМР (300 МГц): 2,9 (м, 4Н, СН2); 7,3-7,7 (4д, 8Н, арил)
Разделение энантиомеров из примера получения 3 путем хиральной высокоэффективной жидкостной хроматографии (ВЭЖХ)
Используемая колонка: Churalpak ADR, 250 мм х 4,6 мм; 30°С; время удерживания: 30 минут; объем введенной дозы: 5 мкл; объемная скорость потока: 1 мл/мин; растворитель: метанол/этанол в соотношении 1:1, изократическое элюирование; детектирование при 277 нм.
Изомер 1 (пример 14): время удерживания (комнатная температура): 6,33 мин, 50,48%; и изомер 2 (пример 15): время удерживания (комнатная температура): 14,65 мин, 49,52%.
Определение структуры изомера 1 осуществляют путем ЯМР-спектроскопии по двум ядрам. Методика позволяет осуществлять только определение относительной стереохимии, то есть положение центров хиральности по отношению друг к другу. Это означает, что при наличии только одного энантиомера, как этого нужно ожидать после разделения энантиомеров, он может иметь либо указанную, однако, либо оптически изомерную абсолютную стереохимию. Указанное последним доказательство структуры осуществляют только с помощью рентгеноструктурных анализов. Это осуществляют как в смысле сокристаллизации с ММР-13, так и также в смысле структурного анализа монокристаллов. Оба метода однозначно показывают, что указанная стереохимия соответствует действительной стереохимии.
Хиральные разделения других соединений, которые представляют собой такие же смеси энантиомеров, так как их получают исходя из таких же производных декагидроизохинолина, также можно осуществлять с помощью хиральной ВЭЖХ.
Результаты представлены в таблице 1:

Таблица 1 Химический сдвиг изомера 1 при 300 К |
| |
1Н |
13C |
| 1 |
4,12 |
55,15 |
| 2 |
1,93 |
35,68 |
| 3 |
1,67/1,41 |
26,37 |
| 4 |
1,19 |
21,03 |
| 5 |
1,48/1,16 |
24,26 |
| 6 |
1,86/1,12 |
26,06 |
| 7 |
1,52 |
32,00 |
| 8 |
1,55/1,45 |
28,88 |
| 9 |
3,75/3,53 |
38,95 |
| 10 |
– |
138,99 |
| 11 |
7,81 |
127,29 |
| 12 |
7,87 |
127,26 |
| 13 |
– |
142,45 |
| 14 |
– |
137,19 |
| 15 |
7,78 |
128,81 |
| 16 |
7,57 |
129,05 |
| 17 |
– |
133,42 |
| 18 |
– |
166,96 |
| 18-NH |
10,86 |
– |
| 18-NOH |
8,88 |
– |
Пример получения 2
N-(4-Хлорбифенилсульфонил)декагидроизохинолин-1-карбоновая кислота
Декагидроизохинолинкарбоновую кислоту получают как описано в патенте США 5430023 и используют. Полученную иминокислоту (2,0 г, 9,1 ммоль) растворяют или суспендируют в ТГФ (20 мл) и с помощью 1 М раствора гидроксида натрия при использовании автотитратора устанавливают значение рН равным 10,5. Затем при поддерживании постоянным значения рН в течение периода времени 2 часа прикапывают 4-хлорбифенилсульфонилхлорид (2,745 г, 9,6 ммоль, 1,05 экв.), растворенный в 10 мл ТГФ. Спустя следующие 2 часа более нельзя установить никакого дальнейшего расхода раствора гидроксида натрия. Контроль за реакцией осуществляют путем масс-спектрометрии с жидкостной хроматографией (ЖХ-МС) и подтверждают это. Затем с помощью разбавленной соляной кислоты в растворе устанавливают значение рН равным 3-4, раствор смешивают с 100 мл этилацетата и встряхивают. Водную фазу еще 2 раза экстрагируют небольшими порциями этилацетата и объединенные органические фазы сушат над сульфатом натрия. После удаления растворителя остается маслянистый остаток, который становится твердым в вакууме масляного насоса. Выход: 2,31 г (58% от теории). Аналитические данные: см. таблицу 1.
Пример получения 3
N-(4-Хлорбифенилсульфонил)декагидроизохинолин-1-(N-гидрокси)-карбоксамид
Карбоновую кислоту из примера 2 (2,3 г, 5,3 ммоль) растворяют в 50 мл хлороформа. Затем в течение 10 минут прикапывают оксалилхлорид (1,345 г, 10,6 ммоль, 0,924 мл) и полученную реакционную смесь нагревают в течение одного часа при температуре 45°С. Спустя это время, для контроля за протеканием реакции путем ВЭЖХ-МС отбирают небольшую пробу реакционной смеси (0,1 мл) и смешивают с 0,05 мл бензиламина. Затем растворитель отгоняют при пониженном давлении и полученный маслянистый остаток обрабатывают толуолом для удаления возможных остатков оксалилхлорида или HCl и выдерживают в течение 15 минут при пониженном давлении. Затем снова обрабатывают хлороформом и при комнатной температуре смешивают с О-триметилсилилгидроксиламином (2,23 г, 21,2 ммоль, 2,593 мл). Спустя 2 часа растворитель удаляют при пониженном давлении и остаток растворяют в небольшом количестве смеси из ацетонитрила и воды с 0,01% трифторуксусной кислоты для прямой препаративной ВЭЖХ с обращенной фазой. Фракции продукта объединяют, ацетонитрил удаляют при пониженном давлении и остающуюся водную фазу подвергают сушке вымораживанием. Выход: 749 мг (32% от теории; наряду с этим получают 36 мг другого диастереомера с такой же молекулярной массой). Непрореагировавший хлорангидрид кислоты можно снова выделять в форме карбоновой кислоты. Аналитические данные: см. таблицу 1.
Соединения нижеследующих примеров получают аналогично вышеуказанным методикам. Результаты представлены в таблице 2.
| Таблица 2 |
| При-мер |
Структура |
Молеку-лярная масса |
ES+ |
1Н-ЯМР |
| 1 |
 |
4,59 |
460,2 461,2 |
1,1-2,0 (4м, 12Н); 3,5-3,9 (м, 2Н); 4,15 (д, 1Н); 7,88; 8,0; 8,07; 8,35 (4д, 8Н); 10,9 (с, 1Н) |
| 2 |
 |
433,95 |
433,11 |
1,2-2,1 (4м, 12Н); 3,4-3,6 (м, 2Н); 4,2 (д, 1Н); 7,60; 7,8; (2д, 4Н); 7,9 (м, 4Н); 12,8 (с, 1Н) |
| 3 |
 |
448,97 |
449,15 451,10 |
1,1-2,0 (4м, 12Н); 3,5-3,9 (м, 2Н); 4,15 (д, 1Н); 7,60; 7,7; 7,8; 7,9 (4д, 8Н); 10,9 (с, 1Н) |
| 4 |
 |
530,52 |
415,1 6(ES-) |
|
| 5 |
 |
545,54 |
ES- 430,17 |
1,1-2,0 (4м, 12Н); 3,4-3,8 (2м, 2Н); 4,08 (д, 1Н); 7,2 (м, 4Н); 7,45 (м, 2Н); 8,1 (дд, 1Н); 8,45 (с, 1Н); 10,8 (с, 1Н) |
| 6 |
 |
462,01 |
461,14 |
1,15-2,05 (4м, 12Н); 2,9-3,5 (мм, примерно 6Н, перекрываю-щийся с пиком воды); 3,85 (м, 1Н); 4,0 (д, 1Н); 7,48; 7,5; 7,61; 7,7 (4д, 8Н) |
| 7 |
 |
477,03 |
477,7 |
1,15-2,05 (мм, 12Н); 2,9-3,5 (мм, примерно 6Н, перекрываю-щийся с пиком воды); 4,85 (м, 1Н); 7,48; 7,5; 7,65; 7,72 (4д, 8Н) |
| 8 |
 |
530,52 |
416,14 |
1,2-2,1 (4м, 12Н); 2,9-4,3 (мм, примерно 3Н, перекрываю-щийся с пиком воды); 7,3; 7,45; 7,95; 8,70 (4м, 8Н); 12,8 (с, 1Н) |
| 9 |
 |
545,54 |
431,15 |
1,1-2,0 (4м,12Н); 3,55 (м, 1Н); 3,8 (м, 1Н); 4,1 (д, 1Н); 7,35; 7,45; 7,9; 8,70 (4д, 8Н); 10,8 (с, 1Н) |
| 10 |
 |
445,54 |
446,1 447,1 |
|
| 11 |
 |
460,55 |
461,2 462,2 |
1,1-1,95 (4м, 12Н); 3,45 (м, 1Н); 3,7 (м, 1Н); 3,8 (с, 2Н); 4,05 (д, 1Н); 7,0 (м, 4Н); 7,1 (м, 2Н) 7,7 (м, 2Н); 10,8 (с, 1Н) |
| 12 |
 |
513,54 |
514,15 515,2 |
|
| 13 |
 |
528,55 |
529,2 530,2 |
1,1-2,0 (4м, 12Н); 3,45 (м, 1Н); 3,7 (м, 1Н); 4,07 (д, 1Н); 7,0 (д, 2Н); 7,17 (с, 4Н); 7,7 (д, 2Н); 10,8 (с, 1Н) |
| 14 |
 |
448,9726 |
449. 15,4 51.10 |
1,1-2,0 (4м, 12Н); 3,5-3,8 (2м, 2Н); 4,15 (д, 1Н); 7,55-7,9 (3м, 8Н); 8,9 (с, 1Н); 10,9 (с, 1Н) |
| 15 |
 |
448,9726 |
449. 15,4 51.10 |
1,1-2,0 (4м, 12Н); 3,5-3,8 (2м, 2Н); 4,15 (д, 1Н); 7,55-7,9 (3м, 8Н); 8,9 (с, 1Н); 10,9 (с, 1Н) |
| 16 |
 |
500,6187 |
501,18 |
1,25 (д, 6Н); 1,2-1,7 (м, 11Н); 2,05 (м, 1Н); 3,44; 4,20; 4,90 (3м,3-4Н); 7,6; 7,7 (дд, 4Н); 7,87 (м, 4Н); 9,8 (с, 1Н); 12,8 (с, 1Н) |
| 17 |
 |
515,6334 |
516,19 |
1,25 (д, 6Н); 1,1-1,95 (м, 12Н); 3,55; 3,75; 4,12; 4,91 (4м, 4Н); 7,6-7,88 (2дд, 8Н) |
| 18 |
 |
512,5524 |
513,13 |
1,1-2,0 (м, 12Н); 3,50; 3,75,4,11; 4,83 (4м, 5Н); 7,2 (д, 2Н); 7,8 (м, 6Н); 8,9 (с, 1Н); 10,9 (с, 1Н) |
| 19 |
 |
498,5253 |
450,08 |
1,1-2,0 (м, 12Н); 3,50; 3,75, 4,15 (3м, 3Н); 7,5 (д, 2Н); 7,9 (м, 6Н); 8,9 (с, 1Н); 10,9 (с, 1Н) |
| 20 |
 |
448,5174 |
449,24 |
1,1-2,0 (м, 12Н); 3,50; 3,75, 4,10 (3м, 3Н); 7,0-7,7 (4м, 8Н); 8,9 (с, 1Н); 10,9 (с, 1Н) |
| 21 |
 |
448,5174 |
449,21 |
1,1-2,0 (м, 12Н); 3,50; 3,75, 4,10 (3м, 3Н); 7,0-7,7 (4м, 8Н); 8,9 (с, 1Н); 10,9 (с, 1Н) |
| 22 |
 |
499,51 |
500,18 |
1,2-1,7 (м, 11Н); 2,05 (м, 1Н); 3,5 (м, +/-2Н); 4,2 (д, 1Н); 7,15-7,80 (4м («д»), 8Н); 12,7 (с, 1Н) |
| 23 |
 |
514,5247 |
515,21 |
1,1-2,0 (м, 12Н); 3,50; 3,75, 4,10 (3м, 3Н); 7,1-7,8 (4м («д»), 8Н); 8,9 (с, 1Н); 10,9 (с, 1Н) |
| 24 |
 |
399,5129 |
400,24 |
1,1-2,0 (4м, 12Н); 3,5-3,8 (2м, 2Н); 4,15 (д, 1Н); 7,4-8,0 (м, 9Н) |
| 25 |
 |
414,5275 |
415,26 |
1,1-2,0 (м, 12Н); 3,5-3,8 (2м, 2Н); 4,15 (д, 1Н); 7,4-8,0 (м, 9Н); 8,9 (с, 1Н); 10,9(с, 1Н) |
| 26 |
 |
455,5368 |
456,30 |
1,1-2,0 (м, 12Н); 3,50; 3,75, 4,10 (3м, 3Н); 7,2 (м, 4Н); 7,8-8,0 (дд, 4Н); 8,9 (с, 1Н); 10,9 (с, 1Н) |
| 27 |
 |
413,4963 |
414,14 |
1,2-1,7 (м, 11Н); 2,05 (м, 1Н); 3,5 (м, +/-2Н); 4,3 (д, 1Н); 7,15-7,90 (6м, 7Н); 8,7 (с, 1Н) |
| 28 |
 |
428,511 |
429,21 |
1,1-2,0 (м, 12Н); 3,60, 4,10 (3м, 3Н); 7,5-8,9 (7м, 8Н); 10,9 (с, 1Н) |
| 29 |
 |
478,5438 |
479,22 |
1,0-1,95(м) и 2,6-4,05 (м, вместе 14Н); 3,7 (с, 3Н); 6,7-7,8 (8м, 8Н); 8,9 (с, 1Н); 10,9 (2с, 1Н) |
Фармакологические примеры
Определение ферментативной активности каталитического домена человеческой коллагеназы-1 (ММР-1)
Этот белок выпускается фирмой Biocol, Потсдам, в виде неактивного профермента (каталог, № ММР1).
Активирование профермента:
2 объемные доли профермента вместе с 1 объемной долей раствора АРМА инкубируют в течение 1 часа при температуре 37°С. Раствор АРМА приготовляют из раствора 10 ммоль/л п-амино-фенилацетата ртути-(II) в растворе 0,1 ммоль/л NaOH путем разведения с помощью 3 объемных долей буфера Трис/HCl, рН 7,5 (см. ниже). Значение рН устанавливают равным от 7,0 до 7,5 путем добавления 1 ммоль/л HCl. После активирования фермента его разводят с помощью буфера Трис/HCl до концентрации 2,5 мкг/мл.
Для измерения ферментативной активности, 10 мкл раствора фермента вместе с 10 мкл 3%-ного (объем/объем) забуференного раствора диметилсульфоксида (реакция 1) инкубируют в течение 15 минут. Для измерения ингибирующей фермент активности 10 мкл раствора фермента инкубируют вместе с 10 мкл 3%-ного (объем/объем) забуференного раствора диметилсульфоксида, который содержит ингибитор фермента (реакция 2).
Как в случае реакции 1, так и также в случае реакции 2, после добавления 10 мкл 3%-ного (объем/объем) водного раствора диметилсульфоксида, который содержит 0,3 ммоль/л субстрата, за ферментативной реакцией следят с помощью флуоресцентной спектроскопии (328 нм (экстинкция)/393 нм (эмиссия)).
Ферментативную активность представляют как увеличение экстинкции в минуту.
Ингибирующее действие рассчитывают в виде ингибирования в процентах согласно следующей формуле:
% ингибирования =100 – [(увеличение экстинкции в минуту при реакции 2)/(увеличение экстинкции в минуту при реакции 1) х 100].
IC50, то есть, ингибирующую концентрацию, необходимую для 50%-ного ингибирования ферментативной активности, определяют графически путем нанесения значений ингибирования в процентах при различных концентрациях ингибитора.
Буферный раствор содержит 0,05% Brij (Sigma, Deisenhofen, Германия), а также 0,1 моль/л Трис/HCl, 0,1 моль/л NaCl, 0,01 моль/л CaCl2 (рН 7,5).
Раствор фермента содержит 2,5 мкг/мл домена фермента.
Раствор субстрата содержит 0,3 ммоль/л флуорогенного субстрата (7-метоксикумарин-4-ил)ацетил-Pro-Leu-Gly-Leu-3-(2′,4′-динитрофенил)-L-2,3-диаминопропионил-Ala-Arg-NH2 (Bachem, Гейдельберг, Германия).
Получение и определение ферментативной активности каталитического домена человеческого стромелизина (ММР-3) и коллагеназы нейтрофилов (ММР-8).
Оба фермента – стромелизин (ММР-3) и коллагеназа нейтрофилов (ММР-8) – получают согласно Ye и др. (Biochemistry, 31, 11231-11235 (1992)). Для измерения ферментативной активности или ингибирующего фермент действия, 10 мкл раствора фермента вместе с 10 мкл 3%-ного (объем/объем) забуференного раствора диметилсульфоксида, который, в случае необходимости, содержит ингибитор фермента, инкубируют в течение 15 минут. После добавления 10 мкл 3%-ного (объем/объем) водного раствора диметилсульфоксида, который содержит 1 ммоль/л субстрата, за ферментативной реакцией следят с помощью флуоресцентной спектроскопии (328 нм (экстинкция)/393 нм (эмиссия)).
Ферментативную активность представляют как увеличение экстинкции в минуту. Указанные в таблице 2 значения IC50 определяют как такие ингибирующие концентрации, которые, соответственно, приводят к 50%-ному ингибированию фермента.
Буферный раствор содержит 0,05% Brij (Sigma, Deisenhofen, Германия), а также 0,1 моль/л Трис/HCl, 0,1 моль/л NaCl, 0,01 моль/л CaCl2 и 0,1 моль пиперазин-N,N’-бис[2-этансульфокислоты] (рН 7,5).
Раствор фермента ММР-3 содержит 2,3 мкг/мл, раствор фермента ММР-8 содержит 0,6 мкг/мл одного из полученных по Ye и др. доменов фермента. Раствор субстрата содержит 1 ммоль/л флуорогенного субстрата (7-метоксикумарин-4-ил)ацетил-Pro-Leu-Gly-Leu-3-(2′,4′-динитрофенил)-L-2,3-диаминопропионил-Ala-Arg-NH2 (Bachem, Гейдельберг, Германия).
Определение ферментативной активности каталитического домена человеческой коллагеназы-3 (ММР-13)
Этот белок выпускается в виде неактивного профермента фирмой INVITEK, Берлин (каталог, № 30100803).
Активирование профермента:
2 объемные доли профермента вместе с 1 объемной долей раствора АРМА инкубируют в течение 1,5 часов при температуре 37°С. Раствор АРМА приготовляют из раствора 10 ммоль/л п-аминофенилацетата ртути-(II) в растворе 0,1 ммоль/л NaOH путем разведения с помощью 3 объемных долей буфера Трис/HCl, рН 7,5 (см. ниже). Значение рН устанавливают равным от 7,0 до 7,5 путем добавления 1 ммоль/л HCl. После активирования фермента его разводят с помощью буфера Трис/HCl до концентрации 1,67 мкг/мл.
Для измерения ферментативной активности 10 мкл раствора фермента вместе с 10 мкл 3%-ного (объем/объем) забуференного раствора диметилсульфоксида (реакция 1) инкубируют в течение 15 минут. Для измерения ингибирующей фермент активности 10 мкл раствора фермента инкубируют вместе с 10 мкл 3%-ного (объем/объем) забуференного раствора диметилсульфоксида, который содержит ингибитор фермента (реакция 2).
Как в случае реакции 1, так и также в случае реакции 2, после добавления 10 мкл 3%-ного (объем/объем) водного раствора диметилсульфоксида, который содержит 0,075 ммоль/л субстрата, за ферментативной реакцией следят с помощью флуоресцентной спектроскопии (328 нм (экстинкция)/393 нм (эмиссия)).
Ферментативную активность представляют как увеличение экстинкции в минуту.
Ингибирующее действие рассчитывают в виде ингибирования в процентах согласно следующей формуле:
% ингибирования =100 – [(увеличение экстинкции в минуту при реакции 2)/(увеличение экстинкции в минуту при реакции 1) х 100].
IC50, это ингибирующая концентрация, которая необходима для 50%-ного ингибирования ферментативной активности, определяют графически путем нанесения значений ингибирования в процентах при различных концентрациях ингибитора.
Буферный раствор содержит 0,05% Brij (Sigma, Deisenhofen, Германия), а также 0,1 моль/л Трис/HCl, 0,1 моль/л NaCl, 0,01 моль/л CaCl2 (рН 7,5).
Раствор фермента содержит 1,67 мкг/мл домена фермента.
Раствор субстрата содержит 0,075 ммоль/л флуорогенного субстрата (7-метоксикумарин-4-ил)ацетил-Pro-Leu-Gly-Leu-3-(2′,4′-динитрофенил)-L-2,3-диаминопропионил-Ala-Arg-NH2 (Bachem, Гейдельберг, Германия).
Определение ферментативной активности каталитического домена человеческой желатиназы-А (ММР-2)
Этот белок выпускается в виде неактивного профермента фирмой INVITEK, Берлин (каталог, № 30100602).
Активирование профермента:
2 объемные доли профермента вместе с 1 объемной долей раствора АРМА инкубируют в течение 0,5 часа при температуре 37°С. Раствор АРМА приготовляют из раствора 10 ммоль/л п-аминофенилацетата ртути-(II) в растворе 0,1 ммоль/л NaOH путем разведения с помощью 3 объемных долей буфера Трис/HCl, рН 7,5 (см. ниже). Значение рН устанавливают равным от 7,0 до 7,5 путем добавления 1 ммоль/л HCl. После активирования фермента его разводят с помощью буфера Трис/HCl до концентрации 0,83 мкг/мл.
Для измерения ферментативной активности 10 мкл раствора фермента вместе с 10 мкл 3%-ного (объем/объем) забуференного раствора диметилсульфоксида (реакция 1) инкубируют в течение 15 минут. Для измерения ингибирующей фермент активности 10 мкл раствора фермента инкубируют вместе с 10 мкл 3%-ного (объем/объем) забуференного раствора диметилсульфоксида, который содержит ингибитор фермента (реакция 2).
Как в случае реакции 1, так и также в случае реакции 2, после добавления 10 мкл 3%-ного (объем/объем) водного раствора диметилсульфоксида, который содержит 0,3 ммоль/л субстрата, за ферментативной реакцией следят с помощью флуоресцентной спектроскопии (328 нм (экстинкция)/393 нм (эмиссия)).
Ферментативную активность представляют как увеличение экстинкции в минуту.
Ингибирующее действие рассчитывают в виде ингибирования в процентах согласно следующей формуле:
% ингибирования =100 – [(увеличение экстинкции в минуту при реакции 2)/(увеличение экстинкции в минуту при реакции 1) х 100].
IC50, это ингибирующая концентрация, которая необходима для 50 %-ного ингибирования ферментативной активности, определяют графически путем нанесения значений ингибирования в процентах при различных концентрациях ингибитора.
Буферный раствор содержит 0,05% Brij (Sigma, Deisenhofen, Германия), а также 0,1 моль/л Трис/HCl, 0,1 моль/л NaCl, 0,01 моль/л CaCl2 (рН 7,5).
Раствор фермента содержит 0,83 мкг/мл домена фермента.
Раствор субстрата содержит 0,3 ммоль/л флуорогенного субстрата (7-метоксикумарин-4-ил)ацетил-Pro-Leu-Gly-Leu-3-(2′,4′-динитрофенил)-L-2,3-диаминопропионил-Ala-Arg-NH2 (Bachem, Гейдельберг, Германия).
Определение ферментативной активности каталитического домена человеческой желатиназы-В (ММР-9)
Этот белок выпускается в виде неактивного профермента фирмой Roche, Маннхайм (каталог, № 1758896).
Активирование профермента:
2 объемные доли профермента вместе с 1 объемной долей раствора АРМА инкубируют в течение 4 часов при температуре 37°С. Раствор АРМА приготовляют из раствора 10 ммоль/л п-аминофенилацетата ртути-(II) в растворе 0,1 ммоль/л NaOH путем разведения с помощью 3 объемных долей буфера Трис/HCl, рН 7,5 (см. ниже). Значение рН устанавливают равным от 7,0 до 7,5 путем добавления 1 ммоль/л HCl. После активирования фермента его разводят с помощью буфера Трис/HCl до концентрации 4,2 МЕ/мл.
Для измерения ферментативной активности 10 мкл раствора фермента вместе с 10 мкл 3%-ного (объем/объем) забуференного раствора диметилсульфоксида (реакция 1) инкубируют в течение 15 минут. Для измерения ингибирующей фермент активности 10 мкл раствора фермента инкубируют вместе с 10 мкл 3%-ного (объем/объем) забуференного раствора диметилсульфоксида, который содержит ингибитор фермента (реакция 2).
Как в случае реакции 1, так и также в случае реакции 2, после добавления 10 мкл 3%-ного (объем/объем) водного раствора диметилсульфоксида, который содержит 0,15 ммоль/л субстрата, за ферментативной реакцией следят с помощью флуоресцентной спектроскопии (328 нм (экстинкция)/393 нм (эмиссия)).
Ферментативную активность представляют как увеличение экстинкции в минуту.
Ингибирующее действие рассчитывают в виде ингибирования в процентах согласно следующей формуле:
% ингибирования =100 – [(увеличение экстинкции в минуту при реакции 2)/(увеличение экстинкции в минуту при реакции 1) х 100].
IC50, это ингибирующая концентрация, которая необходима для 50%-ного ингибирования ферментативной активности, определяют графически путем нанесения значений ингибирования в процентах при различных концентрациях ингибитора.
Буферный раствор содержит 0,05% Brij (Sigma, Deisenhofen, Германия), а также 0,1 моль/л Трис/HCl, 0,1 моль/л NaCl, 0,01 моль/л CaCl2 (рН 7,5).
Раствор фермента содержит 4,2 МЕ/мл домена фермента.
Раствор субстрата содержит 0,15 ммоль/л флуорогенного субстрата (7-метоксикумарин-4-ил)ацетил-Pro-Leu-Gly-Leu-3-(2′,4′-динитрофенил)-L-2,3-диаминопропионил-Ala-Arg-NH2 (Bachem, Гейдельберг, Германия).
Результаты представлены в нижеследующей таблице 3.
| Таблица 3 |
| Пример |
MMP-1 IC50 [нМ] |
MMP-2 IC50 [нМ] |
MMP-3 IC50 [нМ] |
MMP-8 IC50 [нМ] |
MMP-9 IC50 [нМ] |
MMP-13 IC50 [нМ] |
| 3 |
400 |
30 |
40 |
3 |
100 |
3 |
| 5 |
70 |
2 |
28 |
2,5 |
1,2 |
1,8 |
| 7 |
600 |
4 |
65 |
13 |
3 |
7 |
| 9 |
1000 |
20 |
160 |
22 |
12 |
21 |
| 11 |
220 |
2 |
25 |
2,5 |
2 |
1,5 |
| 13 |
180 |
2,6 |
30 |
4 |
2 |
2 |
| 14 |
400 |
2 |
25 |
2,2 |
3,5 |
2 |
| 15 |
6000 |
2300 |
10000 |
2000 |
4000 |
2300 |
| 19 |
2100 |
3 |
59 |
10 |
5 |
3 |
| 20 |
41 |
2 |
26 |
3 |
2 |
2 |
| 21 |
21 |
1,5 |
23 |
2,3 |
0,45 |
1,3 |
| 23 |
290 |
2 |
50 |
9 |
2 |
2,1 |
| 26 |
450 |
3 |
41 |
16 |
3 |
3 |
Формула изобретения
1. Соединение формулы (I)

и/или все стереоизомерные формы соединения формулы (I), и/или смеси этих форм в любом соотношении, и/или физиологически приемлемая соль соединения формулы (I), причем
А означает -(С0-С4)-алкилен;
В означает -(С0-С4)-алкилен или остаток -В1-В2-В3-, где
B1 означает -(СН2)n-, где n означает 0;
В3 означает -(СН2)m-, где m означает 0; с тем соответствием, что сумма m+n составляет 0; и
B2 означает -О-;
цикл 1 или цикл 2 являются одинаковыми или разными и независимо друг от друга означают
1) ковалентную связь,
2) -(С6-С14)-арил, который является ароматическим углеводородным остатком с 6-14 атомами углерода в цикле, где указанный арил незамещен или независимо друг от друга, однозамещен с помощью G, или
3) 4-15-членный гетероцикл, который является циклической системой с 4-15 атомами углерода, которые находятся в одной, двух или трех связанных друг с другом циклических системах, и которая содержит одни гетероатом, выбранный из азота или кислорода, где указанный гетероцикл незамещен или независимо друг от друга однозамещен с помощью G;
G означает
1) атом водорода,
2) атом галогена,
3) -O-R12, где R12 означает
а) атом водорода,
b) -(С1-С6)-алкил, где алкил незамещен или трехкратно замещен атомом галогена,
c) -C(O)-O-R13, где R13 означает
с) 1)-(С1-С6)-алкил, где алкил незамещен,
4) -NO2,
5) -CN,
6) -N(R15)-R12, где R15 означает
6) 1) атом водорода,
X означает -ОН или -NH-OH;
n1 означает 2;
n2 означает 3;
с тем соответствием, что сумма n1 и n2 составляет 5;
R1, R2, R3, R4 и R5 являются одинаковыми или разными и независимо друг от друга означают
1) атом водорода,
2) -C(O)-R8, где R8 означает
2) 1) атом водорода,
2) 2) -(С1-С6)-алкил, где алкил незамещен.
2. Соединение формулы (I) по п.1, выбранное из группы, состоящей из
2-(4′-нитробифенил-4-сульфонил)декагидроизохинолин-1-(N-гидрокси)-карбоксамида;
2-(4′-хлорбифенил-4-сульфонил)декагидроизохинолин-1-карбоновой кислоты;
2-(4′-хлорбифенил-4-сульфонил)декагидроизохинолин-1-(N-гидрокси)-карбоксамида;
2-(6-феноксипиридин-3-сульфонил)декагидроизохинолин-1-карбоновой кислоты трифторацетата;
2-(6-феноксипиридин-3-сульфонил)декагидроизохинолин-1-(N-гидрокси)карбоксамида трифторацетата;
2-[2-(4′-хлорбифенил-4-ил)этансульфонил]декагидроизохинолин-1-карбоновой кислоты;
2-[2-(4′-хлорбифенил-4-ил)этансульфонил] декагидроизохинолин-1-(N-гидрокси)карбоксамида;
2-[4-(пиридин-4-илокси)бензол сульфонил] декагидроизохинолин-1-карбоновой кислоты трифторацетата;
2-[4-(пиридин-4-илокси)бензолсульфонил]декагидроизохинолин-1-(N-гидрокси)карбоксамида трифторацетата;
2-[4-(4-метоксифенокси)бензолсульфонил]декагидроизохинолин-1-карбоновой кислоты;
2-[4-(4-метоксифенокси)бензолсульфонил]декагидроизохинолин-1-(N-гидрокси)карбоксамида;
2-{4-[4-(2,2,2-трифторэтокси)фенокси]бензолсульфонил}декагидроизохинолин-1-карбоновой кислоты;
2-{4-[4-(2,2,2-трифторэтокси)фенокси]бензолсульфонил}декагидроизохинолин-1-(N-гидрокси)карбоксамида;
2-[4′-(2,2,2-трифторэтокси)бифенил-4-сульфонил]декагидроизохинолин-1-карбоновой кислоты;
2-(4′-изопропоксикарбониламинобифенил-4-сульфонил]декагидроизохинолин-1-карбоновой кислоты;
изопропилового эфира [4′-(1-гидроксикарбамоилоктагидроизохинолин-2-сульфонил)бифенил-4-ил]карбоксамида;
гидроксиамида 2-[4′-(2,2,2-трифторэтокси)бифенил-4-сульфонил]-декагидроизохинолин-1-карбоновой кислоты;
гидроксиамида 2-(4′-трифторметоксибифенил-4-сульфонил)декагидроизохинолин-1-карбоновой кислоты;
гидроксиамида 2-[4-(4-фторфенокси)бензолсульфонил]декагидроизохинолин-1-карбоновой кислоты;
гидроксиамида 2-[4-(4-трифторметоксифенокси)бензолсульфонил]-декагидроизохинолин-1-карбоновой кислоты;
2-[4-(4-трифторметоксифенокси)бензолсульфонил]декагидроизохинолин-1-карбоновой кислоты;
гидроксиамида 2-(бифенил-4-сульфонил)декагидроизохинолин-1-карбоновой кислоты;
2-(бифенил-4-сульфонил)декагидроизохинолин-1-карбоновой кислоты;
гидроксиамида 2-[4-(4-цианофенокси)бензолсульфонил]декагидроизохинолин-1-карбоновой кислоты;
2-(дибензофуран-2-сульфонил)декагидроизохинолин-1-карбоновой кислоты;
гидроксиамида 2-(дибензофуран-2-сульфонил)декагидроизохинолин-1-карбоновой кислоты; или
гидроксиамида 2-[4-(4-фторфенокси)бензолсульфонил]-6-метокси-декагидроизохинолин-1-карбоновой кислоты;
а также всех их изомерных форм.
3. Способ получения соединения формулы (I) по п.1 или 2, отличающийся тем, что
а) соединение формулы (IV)

где Re означает атом водорода или защитную сложноэфирную группу, R2, R3, R4, R5, n1 и n2 являются такими, как указано в п.1,
вводят во взаимодействие с соединением формулы (V)

где А, В и цикл 1, цикл 2 имеют указанное в формуле (I) значение и где Rz означает атом хлора, имидазолил или ОН,
в присутствии основания или после силилирования с помощью пригодного силилирующего средства или с пригодным обезвоживающим средством, в случае если Rz=OH, с получением соединения формулы (VI)

где А, В, Re, R2, R3, R4, R5, n1, n2 и цикл 1, цикл 2 имеют вышеуказанное значение; и
b) если Re – сложный эфир, полученное по п. а), соединение формулы (VI) вводят во взаимодействие со щелочью, как NaOH или LiOH, и осуществляют последующую обработку кислотой с получением карбоновой кислоты формулы (I), где Х – ОН (соответствует формуле (VII)), причем, в случае необходимости, предварительно осуществляют модификации в одной из боковых цепей циклов цикл 1 – цикл 2; или указанный сложный эфир путем обработки неорганической кислотой, как соляная кислота, превращают в свободную карбоновую кислоту формулы (VII)

где А, В, R2, R3, R4, R5, n1, n2 и цикл 1, цикл 2 имеют вышеуказанное значение;
и затем ее превращают в гидроксамовую кислоту формулы (I), где X – NH-OH;
c) полученное по способу а) соединение формулы (I) или пригодный предшественник соединения формулы (I), которое (который) на основании своей химической структуры находится в энантиомерных формах, разделяют на чистые энантиомеры путем солеобразования с энантиомерно-чистыми кислотами или основаниями, хроматографии на хиральных неподвижных фазах или дериватизации с помощью хиральных энантиомерно-чистых соединений, как аминокислоты, разделения таким образом полученных диастереомеров и отщепления хиральных вспомогательных групп; или
d) полученное по способу b) или с) соединение формулы (I) либо выделяют в свободной форме, либо в случае присутствия групп кислотного или основного характера, превращают в физиологически приемлемые соли.
4. Лекарственное средство для ингибирования матриксных металлопротеаз, отличающееся тем, что оно содержит эффективное количество по меньшей мере одного соединения формулы (I) по одному или нескольким из пп.1-3 вместе с фармацевтически пригодным и физиологически приемлемым носителем, добавкой и/или другими биологически активными и вспомогательными веществами.
|
|