|
|
(21), (22) Заявка: 2006123361/04, 15.12.2004
(24) Дата начала отсчета срока действия патента:
15.12.2004
(30) Конвенционный приоритет:
18.12.2003 SE 0303452-7 25.05.2004 SE 0401344-7
(43) Дата публикации заявки: 27.01.2008
(46) Опубликовано: 10.10.2008
(56) Список документов, цитированных в отчете о поиске:
WO 03048155 A1, 12.06.2003. WO 02057225 A2, 25.07.2002. WO 9535313 A1, 28.12.1995. RU 99125967 A, 20.08.2001. RU 2151143 С1, 20.06.2000.
(85) Дата перевода заявки PCT на национальную фазу:
18.07.2006
(86) Заявка PCT:
SE 2004/001878 (15.12.2004)
(87) Публикация PCT:
WO 2005/058826 (30.06.2005)
Адрес для переписки:
191036, Санкт-Петербург, а/я 24, “НЕВИНПАТ”, пат.пов. А.В.Поликарпову
|
(72) Автор(ы):
БЕРГГРЕН Кристина (SE), ДАВИДССОН Эйвинд (SE), ФЬЕЛЛЬСТРЁМ Ола (SE), ГУСТАФССОН Давид (SE), ХАНЕССИАН Стивен (CA), ИНГХАРДТ Торд (SE), НОГОРД Матс (SE), НИЛЬССОН Ингемар (SE), ТЕРРЬЕН Эрик (CA), ВАН ОТТЕРЛО Виллем (ZA)
(73) Патентообладатель(и):
АстраЗенека АБ (SE)
|
(54) НОВЫЕ 5,6-ДИГИДРОПИРИДИН-2-ОНОВЫЕ СОЕДИНЕНИЯ, ПОЛЕЗНЫЕ В КАЧЕСТВЕ ИНГИБИТОРОВ ТРОМБИНА
(57) Реферат:
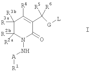
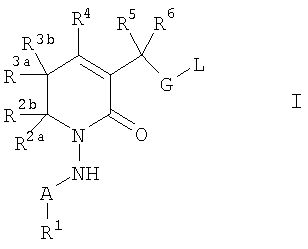
Изобретение относится к новым соединениям формулы I

где А представляет собой S(O)2 или C1-6алкилен, возможно замещенный одним или более атомами фтора; R1 представляет собой (а) С1-10алкил, возможно замещенный одним или более заместителями, выбранными из арила и Het1, (б) арил, возможно замещенный одним или двумя заместителями, выбранными из галогено, С1-4алкила, CF3 и С1-4алкокси, или (в) Het3; R2a, R2b, R3a и R3b независимо представляют собой H или С1-3алкил; R4 представляет собой (а) Н, (б) C1-6алкил; R5 и R6 независимо представляют собой H, F или метил; G представляет собой (а) -С(O)N(R8a)-[CH(С(O)R9)]0-1-С0-3алкилен-(Q1)a-, (б) -С(О)N(R8b)-С2-3алкенилен-(Q1)а-, R9 представляет собой Н; Q1 представляет собой О; а равно 0 или 1; L представляет собой (а) С0-6алкилен-Ra,

Ar представляет собой фенил или нафтил; Het представляет собой 5-10-членную гетероциклическую группу, содержащую одно или два кольца и включающую в качестве гетероатома(ов) один атом серы или кислорода и/или один или более чем один атом азота; R11a представляет собой Н или один или более чем один заместитель, выбранный из галогено, ОН, CN, C1-6алкила и С1-6алкокси (причем последние две группы возможно замещены одним или более заместителями, выбранными из галогено, ОН, С1-4алкокси); R11c независимо представляет собой Н или один или более чем один заместитель, выбранный из галогено, ОН, CN, C1-6алкила, C1-6алкокси; Ra, Rb и Rd независимо представляют собой


или Rb и Rd также могут представлять собой Н; Q3 представляет собой О; Q4 представляет собой О или СН2; а равно 0 или 1; R13a-R13b независимо представляют собой (а) Н, (б) C(O)OR16; R16 представляет собой С1-10алкил; R8a-R8b и R14a-R14d независимо представляют собой (а) Н или (б) С1-4алкил (причем последняя группа возможно замещена одним или более заместителями, выбранными из галогено и ОН), или R14a и R14b независимо представляют собой С(O)O-С1-6алкил, или R14c представляет собой (а) С3-7циклоалкил, (б) С(O)O-С1-6алкил, или R14c и R14d вместе представляют собой С3-6н-алкилен, возможно прерванный О, S, N(H) или N(С1-4алкил) и/или замещенный одной или более C1-4алкильными группами; каждый арил независимо представляет собой С6-10карбоциклическую ароматическую группу, которая может содержать или одно, или два кольца и может быть замещена одним или более заместителями, выбранными из (а) галогено, (б) С1-10алкила, (в) OR17a, R17a представляет собой (а) Н, (б) C1-10алкил; Het1 и Het3 независимо представляют собой 4-9-членные гетероциклические группы, содержащие один или более чем один гетероатом, выбранный из кислорода, азота и/или серы, причем гетероциклические группы могут содержать одно, два или три кольца и могут быть замещены одним или более заместителями, выбранными из (а) галогено, (б) С1-10алкила, (в) =O, (г) OR19a, R19a представляет собой (а) Н, (б) С1-10алкил; n, р и q независимо равны 0, 1 или 2; или к его фармацевтически приемлемым солям. Изобретение также относится к фармацевтической композиции, применению, к способу лечения; способу получения соединений формулы I, а также к соединениям формулы II, IV, V, VI. Технический результат – получение новых биологически активных соединений, обладающих ингибирующей активностью в отношении тромбина. 9 н. и 3 з.п. ф-лы.
Текст описания приведен в факсимильном виде.                                                                                                                   
Формула изобретения
1. Соединение формулы I

где А представляет собой S(O)2 или C1-6алкилен, возможно замещенный одним
или более атомами фтора;
R1 представляет собой
(а) C1-10алкил, возможно замещенный одним или более заместителями, выбранными из арила и Het1,
(б) арил, возможно замещенный одним или двумя заместителями, выбранными из галогено, С1-4алкила, CF3 и С1-4алкокси, или
(в) Het3;
R2a, R2b, R3a и R3b независимо представляют собой Н или C1-3алкил;
R4 представляет собой
(а) Н,
(б) C1-6алкил;
R5 и R6 независимо представляют собой Н, F или метил;
G представляет собой
(a) -C(O)N(R8a)-[CH(C(O)R9)]0-1-C0-3алкилен-(Ql)a-,
(б) -С(O)N(R8b)-C2-3алкенилен-(Q1)a-,
R9 представляет собой Н;
Q1 представляет собой О;
а равно 0 или 1;
L представляет собой
(а) С0-6алкилен-Ra,
(б)

или (в)

Ar представляет собой фенил или нафтил;
Het представляет собой 5-10-членную гетероциклическую группу, содержащую одно или два кольца и включающую в качестве гетероатома(ов) один атом серы или кислорода и/или один или более чем один атом азота;
R11a представляет собой Н или один или более чем один заместитель, выбранный из галогено, ОН, CN, C1-6алкила и С1-6алкокси (причем последние две группы возможно замещены одним или более заместителями, выбранными из галогено, ОН, С1-4алкокси);
R11c независимо представляет собой Н или один или более чем один заместитель, выбранный из галогено, ОН, CN, C1-6алкила, C1-6алкокси;
Ra, Rb и Rd независимо представляют собой
(а)

(б)

(в)

или (г)

или Rb и Rd также могут представлять собой Н;
Q3 представляет собой О;
Q4 представляет собой О или СН2;
а равно 0 или 1;
R13a-R13b независимо представляют собой
(а) Н,
(б) C(O)OR16;
R16 представляет собой С1-10алкил;
-R8a-R8b и R14a-R14d независимо представляют собой
(а) Н или
(б) С1-4алкил (причем последняя группа возможно замещена одним или более заместителями, выбранными из галогено и ОН),
или R14a и R14b независимо представляют собой С(O)O-С1-6алкил,
или R14c представляет собой
(а) С3-7циклоалкил,
(б) С(O)O-С1-6алкил,
или R14c и R14d вместе представляют собой С3-6н-алкилен, возможно прерванный О, S, N(H) или N(С1-4алкил) и/или замещенный одной или более С1-4алкильными группами;
каждый арил независимо представляет собой С6-10карбоциклическую ароматическую группу, которая может содержать или одно, или два кольца и может быть замещена одним или более заместителями, выбранными из
(а) галогено,
(б) С1-10алкила,
(в) OR17a,
R17a представляет собой
(а) Н,
(б) С1-10алкил;
Het1 и Het3 независимо представляют собой 4-9-членные гетероциклические группы, содержащие один или более чем один гетероатом, выбранный из кислорода, азота и/или серы, причем гетероциклические группы могут содержать одно, два или три кольца и могут быть замещены одним или более заместителями, выбранными из
(а) галогено,
(б) С1-10алкила,
(в) -О,
(г) OR19a,
R19a представляет собой
(а) Н,
(б) С1-10алкил;
n, р и q независимо равны 0, 1 или 2;
или его фармацевтически приемлемая соль.
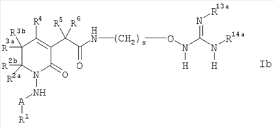
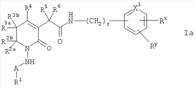
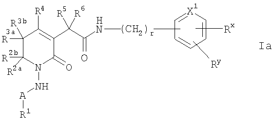
2. Соединение по п.1, представляющее собой соединение формулы Ia или Ib


где X1 представляет собой СН или N;
когда X1 представляет собой СН, тогда
(а) Rx представляет собой Rb, как определено в п.1, и
(б) Ry представляет собой R11a, как определено в п.1;
когда X1 представляет собой N, тогда
(а) Rx представляет собой Rd, как определено в п.1, и
(б) Ry представляет собой R11c, как определено в п.1;
r равно 1-3;
s равно 2-4;
R1, R2a, R2b, R3a, R3b, R4, R5, R6, R11a, R11c, R13a, R14a, Rb, Rd и А являются такими, как определено в п.1.
3. Соединение по п.2, представляющее собой соединение формулы Ia

где А представляет собой CH2, (СН2)2 или CF2CH2 (причем в последней группе группировка CF2 присоединена к R1);
R1 представляет собой
(а) фенил, возможно замещенный одним или двумя заместителями, выбранными из галогено, метила, CF3 и метокси,
(б) пиразолил, возможно замещенный 1-3 заместителями, выбранными из Cl и метила,
(в) тиенил, возможно замещенный Cl,
(г) пиридинил, возможно замещенный ОН или метокси,
(д) пиридонил или
(е) бензодиоксолил, возможно замещенный галогено;
R2a, R2b‘, R3a, R3b все представляют собой Н;
R4 представляет собой метил;
r равно 1;
R5 и R6 оба представляют собой Н;
группа

представляет собой
или 
R° представляет собой Н, F, Cl, ОН, метил, тетразол-1-ил или CH2N(H)R14c;
R14c представляет собой С(O)O-трет-бутил, Н, этил, CH2CF3 или циклопентил;
Rm представляет собой Н, метил, CF3, метокси, F или Cl; и
Rya представляет собой Н или метил.
4. Фармацевтическая композиция, обладающая ингибирующей активностью в отношении тромбина, содержащая соединение по любому из пп.1-3 или его фармацевтически приемлемую соль в смеси с фармацевтически приемлемым адъювантом, разбавителем или носителем.
5. Соединение по любому из пп.1-3 или его фармацевтически приемлемая соль для применения в качестве фармацевтического средства, обладающего ингибирующей активностью в отношении тромбина.
6. Применение соединения по любому из пп.1-3 или его фармацевтически приемлемой соли в качестве активного ингредиента для изготовления лекарственного средства для лечения состояния, при котором благоприятно ингибирование тромбина.
7. Способ лечения состояния, при котором благоприятно ингибирование тромбина, включающий введение терапевтически эффективного количества соединения, как определено в любом из пп.1-3, или его фармацевтически приемлемой соли субъекту, страдающему таким состоянием или предрасположенного к нему.
8. Способ получения соединения формулы I по п.1, включающий:
для соединений формулы I, где группа G представляет собой
(i) C(O)N(R8a)-[CH(C(O)R9]0-1-C0-3алкилен-(Ql)a-,
(ii) С(O)N(R8b)-С2-3алкенилен-(Q1)а-,
а) сочетание соединения формулы II или его защищенного производного

где R1, R2a, R2b, R3a, R3b, R4, R5, R6 и А являются такими, как определено в п.1,
с соединением формулы III

где L такой, как определено в п.1, и Ga представляет собой
(i) -N(R8a)-[CH(C(O)R9)]0-1-C0-3алкилен-(Ql)a-,
(ii) -N(R8b)-C2-3алкенилен-(Q1)a-,
и R8a, R8b, R9, Q1 и а такие, как определено в п.1;
б) для соединений формулы I, где R14c представляет собой Н, удаление защиты с соответствующего соединения формулы I, где R14c представляет собой С(O)O-С1-6алкил.
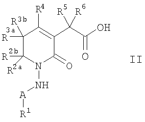
9. Соединение формулы II

где R1, R2a, R2b, R3a, R3b, R4, R5, R6 и А являются такими, как определено в п.1.
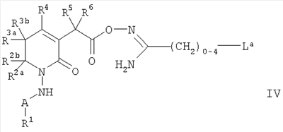
10. Соединение формулы IV

где La представляет собой L, как определено в п.1, за исключением того, что она не является группой С0алкилен-Ra, и R1, R2a, R2b, R3a, R3b, R4, R5, R6 и А такие, как определено в п.1.
11. Соединение формулы V

где Lb представляет собой L, как определено в п.1, за исключением того, что Ra, Rb, Rc или Rd (где это подходит) замещены группой циано или -С(=NH)O-С1-4алкил, и R1, R2a, R2b, R3a, R3b, R4, R5, R6, G и А являются такими, как определено в п.1.
12. Соединение формулы VI

где R2a, R2b, R3a, R3b, R4, R5, R6, G и L такие, как определено в п.1.
|
|