Патент на изобретение №2335490
|
||||||||||||||||||||||||||
(54) СОЕДИНЕНИЯ КАРБОНОВОЙ КИСЛОТЫ, ФАРМАЦЕВТИЧЕСКАЯ КОМПОЗИЦИЯ НА ИХ ОСНОВЕ, СПОСОБ ЛЕЧЕНИЯ И ПРИМЕНЕНИЕ
(57) Реферат:
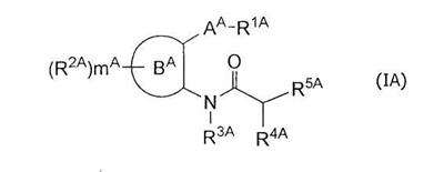
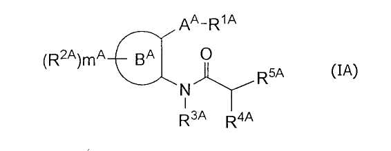
Настоящее изобретение относится к соединениям карбоновой кислоты формулы (I), где R1 означает водород или С1-4алкил; m равно 2 или 3; n равно 0-2; R2 означает фенил, нафтил, бензофуран, бензтиофен; Q означает -СН2-O-Сус1, -СН2-Сус2, -L-Сус3, каждый из радикалов R3a и R3b независимо означает водород, алкил или радикалы R3a и R3b вместе образуют тетрагидро-2Н-пиран; фармацевтически приемлемым солям, способу их получения и фармацевтическому агенту, включающему его в качестве активного ингредиента. Соединение формулы (I) обладает антагонистическим действием против рецептора PGE2, особенно ЕР3 рецептора, который является его подтипом, и используется для предупреждения и/или лечения зуда, боли, нарушения мочеиспускания или болезней, вызванных стрессом, 5 н. и 6 з.п. ф-лы.
Область техники, к которой относится изобретение Настоящее изобретение относится к соединениям карбоновых кислот. В частности, настоящее изобретение относится к соединениям карбоновых кислот формулы (I) где все символы имеют одинаковое значение, как описано ниже; их солям, их сольватам или их пролекарствам, производственному способу их получения и фармацевтическому агенту, содержащему их в качестве активно действующего ингредиента. Предыстория создания изобретения Простагландин Е2 (PGE2) известен как метаболит в каскаде арахидоновой кислоты. Известно, что PGE2 обладает цито-протективным действием, утериноконтрактильным действием, болеусиливающим эффектом, промотирующим действием на перистальтику кишечника, эффектом пробуждения, супрессивным действием на секрецию желудочной кислоты, гипотензивным действием и диуретическим действием. В последнем исследовании было установлено, что рецептор PGE2 разделялся на несколько подтипов, которые играли различные физические роли. В настоящее время известно четыре подтипа рецептора и их называют EP1, EP2, EP3 и EP4 соответственно [J.Lipid Mediators Cell Signaling, 12, 379-391(1995)]. Полагают, что среди этих подтипов рецептор EP2 включен в передачу сигнала периферического нерва, контроль экзотермической реакции в центральном нерве, образование памяти экспрессией в церебральный нейрон, васкуляризацию и реабсорбцию урины экспрессией в renal tubular, утерин контракцию, образование АЦТФ, агрегирование platelet. Кроме того, он экспрессируется в васкулярной гладкой мышце, сердце, а также желудочно-кишечном тракте. Поэтому соединения, которые могут прочно связываться с рецептором EP3 и проявлять антагонистическое действие, могут быть использованы для предупреждения и/или лечения болезней, индуцированных излишней активностью рецептора EP3. В качестве соединений, обладающих EP3 и/или EP4 антагонистическим действием, в описании WO 02/16311 описаны соединения карбоновой кислоты формулы (IA) где R1A означает COOH, COOR6A; R6A означает С1-6 аклил и т.д.; АА означает С1-6 алкилен и т.д.; R2A означает С1-6 алкил, С2-6 алкенил, С2-6 алкинил, С1-6 алкокси, атом галогена, CF3, циано, нитро, гидроксил, NR11AR12A, CONR11AR12A, SO2NR11AR12A, или -S(O)XA-(C1-6)алкил; mA равно 0, 1 или 2; каждый из радикалов R11A и R12A независимо означает водород или С1-4 алкил; ХА равно 0, 1 или 2; кольцо ВА представляет С5-7-членное монокарбоциклическое кольцо; R3A означает водород или С1-4 алкил; R4A означает С1-8 аклил, С2-8 алкенил; R5A означает С5-10 моно- или бикарбоциклическое кольцо или 5-10-членное моно- или бигетероциклическое кольцо, включающее, по меньшей мере, гетероатомы, выбранные из числа таких, как азот, кислород или сера, причем каждое кольцо замещено 1-2 радикалами R13A или не замещено; R13A означает С1-6 алкил, С1-6 алкокси, атом галогена, CF3, циано, С1-4 алкокси(С1-4)алкил, фенил, фенил(С1-6)алкил, -(С1-4 алкилен)уА-J-(C1-8 алкилен)ZA-R14A, бензоил или тиофенкарбонил; или их нетоксичные соли. Сущность изобретения Авторы настоящего изобретения провели широкое исследование по изысканию соединения, которое связывает рецептор PGE2, особенно рецептор ЕР3 и проявляет антагонистическое действие против него, по определению того, что соединение карбоновой кислоты формулы (I) обеспечивают достижение поставленной цели и завершение настоящего изобретения. Настоящее изобретение относится к следующему: 1) Соединению карбоновой кислоты формулы (I): где R1 означает водород или С1-4 алкил; R2 означает фенил, нафтил, бензофуранил или бензтионил, который является незамещенным или замещенным 1-2 С1-4 алкилом и/или галогеном; Q означает (i) -CH2-O-Cyc1, (ii) -CH2-Cyc2 или (iii) -L-Cyc3, Cyc1 означает фенил или пиридил, который является незамещенным или замещенным 1-2 R4; Cyc2 означает индолил, который является незамещенным или замещенным 1-2 R4; Cyc3 означает фенил, замещенный 1-2 R4; L означает -О- или -NH-; каждый из радикалов R3a и R3b независимо означает водород или С1-4 алкил или радикалы R3a и R3b, взятые вместе с атомом углерода, к которому они присоединены, образуют тетрагидро-2Н-пиран; m равно 2 или 3; n равно 0, 1 или 2; R4 означает С1-4 алкил, С1-4 алкилтио, галоген или циано, или когда Cyc3 означает фенил, замещенный двумя R4, два радикала R4, взятые вместе с фенилом, могут образовать его соль, сольват или его пролекарство. 2) Соединению карбоновой кислоты по вышеупомянутому пункту 1), которое представляет собой (1) 3-(4-(2,5-дифторфеноксиметил)-2-((((1R)-1-(нафталин-2-ил)этил)амино)карбонил)фенил)пропановую кислоту, (2) 3-(4-(2,5-дихлорфеноксиметил)-2-(((4-(3-метилфенил)тетрагидро-2Н-пиран-4-ил)амино)карбонил)фенил)пропановую кислоту, (3) 3-(4-(2-хлор-5-метилфеноксиметил)-2-(((4-(3-метилфенил)тетрагидро-2Н-пиран-4-ил)амино)карбонил)фенил)пропановую кислоту, (4) 3-(4-(2-хлор-5-фторфеноксиметил)-2-(((4-(3-метилфенил)тетрагидро-2Н-пиран-4-ил)амино)карбонил)фенил)пропановую кислоту, (5) 3-(4-(2,5-дифторфеноксиметил)-2-(((4-фенилтетрагидро-2Н-пиран-4-ил)амино)карбонил)фенил)пропановую кислоту, (6) 3-(4-(2,5-дихлорфеноксиметил)-2-(((4-фенилтетрагидро-2Н-пиран-4-ил)амино)карбонил)фенил)пропановую кислоту, (7) 3-(4-(2-хлор-5-фторфеноксиметил)-2-(((4-фенилтетрагидро-2Н-пиран-4-ил)амино)карбонил)фенил)пропановую кислоту, (8) 3-(4-(2,5-дифторфеноксиметил)-2-((((1R)-3-метил-1-(3-метилфенил)бутил)амино)карбонил)фенил)пропановую кислоту, (9) 3-(4-(3-цианфеноксиметил)-2-((((1R)-3-метил-1-(3-метилфенил)бутил)амино)карбонил)фенил)пропановую кислоту, (10) 3-(4-(2,5-диметилфеноксиметил)-2-((((1R)-3-метил-1-(3-метилфенил)бутил)амино)карбонил)фенил)пропановую кислоту, (11) 3-(4-(2,5-дифторфеноксиметил)-2-(((4-(нафталин-2-ил)тетрагидро-2Н-пиран-4-ил)амино)карбонил)фенил)пропановую кислоту, (12) 3-(4-(2,5-диметилфеноксиметил)-2-(((4-(3-метилфенил)тетрагидро-2Н-пиран-4-ил)амино)карбонил)фенил)пропановую кислоту, (13) 3-(4-(3-цианфеноксиметил)-2-(((4-(нафталин-2-ил)тетрагидро-2Н-пиран-4-ил)амино)карбонил)фенил)пропановую кислоту, (14) 3-(4-(2,5-диметилфеноксиметил)-2-(((4-(нафталин-2-ил)тетрагидро-2Н-пиран-4-ил)амино)карбонил)фенил)пропановую кислоту, (15) 3-(4-(5-фториндол-1-илметил)-2-((((1R)-1-(3,5-диметилфенил)-(3-метилбутил)амино)карбонил)фенил)пропановую кислоту, (16) 3-(4-(2,4-диметилфеноксиметил)-2-((((1R)-1-(3,5-диметилфенил)-3-метилбутил)амино)карбонил)фенил)пропановую кислоту, (17) 3-(2-(((4-(нафталин-2-ил)тетрагидро-2Н-пиран-4-ил) амино)карбонил)-4-феноксиметилфенил)пропановую кислоту, (18) 3-(2-(((4-(нафталин-2-ил)тетрагидро-2Н-пиран-4-ил) амино)карбонил)-4-(3-пиридилоксиметил)фенил)пропановую кислоту, (19) 3-(4-(3-хлорфеноксиметил)-2-(((4-(нафталин-2-ил)тетрагидро-2Н-пиран-4-ил)амино)карбонил)фенил)пропановую кислоту, (20) 3-(4-(3,4-диметилфеноксиметил)-2-((((1R)-1-(3,5-диметилфенил)-3-метилбутил)амино)карбонил)фенил)пропановую кислоту, (21) 3-(4-(2-хлор-5-фторфеноксиметил)-2-((((1R)-1-(3,5-диметилфенил)-3-метилбутил)амино)карбонил)фенил)пропановую кислоту, (22) 3-(2-((((1R)-1-(3,5-диметилфенил)-3-метилбутил)амино)карбонил)-4-(3-метилиндол-1-илметил)фенил)пропановую кислоту, (23) 3-(4-(2,5-дифторфеноксиметил)-2-((((1R)-1-(нафталин-1-ил)этил)амино)карбонил)фенил)пропановую кислоту, (24) 3-(4-(2-фтор-5-метилфеноксиметил)-2-((((1R)-1-(нафталин-1-ил)этил)амино)карбонил)фенил)пропановую кислоту, (25) 3-(2-(((4-(3,5-диметилфенил)тетрагидро-2Н-пиран-4-ил)амино)карбонил)-4-(2-фтор-5-метилфеноксиметил)фенил)пропановую кислоту, (26) 3-(4-(2-фтор-5-метилфеноксиметил)-2-(((4-(3-метилфенил)тетрагидро-2Н-пиран-4-ил)амино)карбонил)фенил)пропановую кислоту, (27) 3-(2-(((4-(бензофуран-2-ил)тетрагидро-2Н-пиран-4-ил) амино)карбонил)-4-(2,5-дифторфеноксиметил)фенил)пропановую кислоту, (28) 3-(2-((((1R)-1-(3,5-диметилфенил)-3-метилбутил)амино)карбонил)-4-(4-фтор-2-метилфеноксиметил)фенил)пропановую кислоту, (29) 3-(2-((((1R)-1-(3,5-диметилфенил)-3-метилбутил)амино)карбонил)-4-((2-метилпиридин-3-ил)оксиметил)фенил)пропановую кислоту, (30) 3-(2-((((1R)-1-(3,5-диметилфенил)-3-метилбутил)амино)карбонил)-4-((2-метилпиридин-5-ил)оксиметил)фенил)пропановую кислоту, (31) 3-(4-(3-фторфеноксиметил)-2-(((4-(нафталин-2-ил)тетрагидро-2Н-пиран-4-ил)амино)карбонил)фенил)пропановую кислоту, (32) 3-(4-(3-метилфеноксиметил)-2-(((4-(нафталин-2-ил)тетрагидро-2Н-пиран-4-ил)амино)карбонил)фенил)пропановую кислоту, (33) 3-(4-(2,5-диметилфеноксиметил)-2-(((4-(2-фенилэтил)тетрагидро-2Н-пиран-4-ил)амино)карбонил)фенил)пропановую кислоту, (34) 3-(2-(((4-(бензофуран-2-ил)тетрагидро-2Н-пиран-4-ил)амино)карбонил)-4-(2,5-диметилфеноксиметил)фенил)пропановую кислоту, (35) 3-(2-(((4-(бензтиофен-2-ил)тетрагидро-2Н-пиран-4-ил)амино)карбонил)-4-(2,5-диметилфеноксиметил)фенил)пропановую кислоту, (36) 3-(4-(2,5-дифторфеноксиметил)-2-(((4-(2-(2-фторфенил)этил)тетрагидро-2Н-пиран-4-ил)амино)карбонил)фенил)пропановую кислоту, (37) 3-(4-(2,5-диметилфеноксиметил)-2-(((4-(2-(2-фторфенил)этил)тетрагидро-2Н-пиран-4-ил)амино)карбонил)фенил)пропановую кислоту, (38) 3-(4-(2,5-диметилфеноксиметил)-2-(((4-(2-(4-фторфенил)этил)тетрагидро-2Н-пиран-4-ил)амино)карбонил)фенил)пропановую кислоту, (39) 3-(4-(2,5-диметилфеноксиметил)-2-(((4-(2-(3-фторфенил)этил)тетрагидро-2Н-пиран-4-ил)амино)карбонил)фенил)пропановую кислоту, (40) 3-(4-(6-фториндол-1-илметил)-2-(((4-(2-фенилэтил)тетрагидро-2Н-пиран-4-ил)амино)карбонил)фенил)пропановую кислоту, (41) 3-(4-(6-фториндол-3-илметил)-2-(((4-(2-фенилэтил)тетрагидро-2Н-пиран-4-ил)амино)карбонил)фенил)пропановую кислоту, (42) 3-(4-(3-метилиндол-1-илметил)-2-(((4-(2-фенилэтил)тетрагидро-2Н-пиран-4-ил)амино)карбонил)фенил)пропановую кислоту, (43) 3-(4-(3-цианфеноксиметил)-2-(((4-(2-фенилэтил)тетрагидро-2Н-пиран-4-ил)амино)карбонил)фенил)пропановую кислоту, (44) 3-(4-(6-фториндол-1-илметил)-2-(((4-(нафталин-2-ил)тетрагидро-2Н-пиран-4-ил)амино)карбонил)фенил)пропановую кислоту, (45) 3-(4-(6-фториндол-3-илметил)-2-(((4-(нафталин-2-ил)тетрагидро-2Н-пиран-4-ил)амино)карбонил)фенил)пропановую кислоту, (46) 3-(4-(3-метилиндол-1-илметил)-2-(((4-(нафталин-2-ил)тетрагидро-2Н-пиран-4-ил)амино)карбонил)фенил)пропановую кислоту, (47) 3-(4-(6-фториндол-1-илметил)-2-(((4-(2-(3-фторфенил)этил)тетрагидро-2Н-пиран-4-ил)амино)карбонил)фенил)пропановую кислоту, (48) 3-(2-(((4-(2-(3-фторфенил)этил)тетрагидро-2Н-пиран-4-ил)амино)карбонил)-4-(3-метилиндол-1-илметил)фенил)пропановую кислоту, (49) 3-(4-(3-цианфеноксиметил)-2-(((4-(2-(3-фторфенил)этил)тетрагидро-2Н-пиран-4-ил)амино)карбонил)фенил) пропановую кислоту, (50) 4-(4-(1,3-диоксаиндан-5-илокси)-2-((((1R)-1-(нафталин-1-ил)этил)амино)карбонил)фенил)бутановую кислоту, (51) 4-(4-(3-метилфенокси)-2-((((1R)-1-(нафталин-1-ил)этил)амино)карбонил)фенил)бутановую кислоту, (52) 4-(4-(3-цианфенокси)-2-((((1R)-1-(нафталин-1-ил)этил)амино)карбонил)фенил)бутановую кислоту, (53) 4-(4-(3,4-диметилфенокси)-2-((((1R)-1-(нафталин-1-ил)этил)амино)карбонил)фенил)бутановую кислоту, (54) 4-(4-(индан-5-илокси)-2-((((1R)-1-(нафталин-1-ил)этил)амино)карбонил)фенил)бутановую кислоту, (55) 4-(4-(3,5-диметилфенокси)-2-((((1R)-1-(нафталин-1-ил)этил)амино)карбонил)фенил)бутановую кислоту, (56)4-(4-(3-метилтиофенокси)-2-((((1R)-1-(нафталин-1-ил)этил)амино)карбонил)фенил)бутановую кислоту, (57) 3-(2-((((1R)-1-(3,5-диметилфенил)-3-метилбутил)амино)карбонил)-4-(3-фторфениламино)фенил)пропановую кислоту, (58) 3-(2-((((1R)-1-(3,5-диметилфенил)-3-метилбутил)амино)карбонил)-4-(3-метилфениламино)фенил)пропановую кислоту, (59) 3-(4-(3-цианфениламино)-2-((((1R)-1-(3,5-диметилфенил)-3-метилбутил)амино)карбонил)фенил)пропановую кислоту, (60) 3-(4-(3,5-дифторфениламино)-2-((((1R)-1-(3,5-диметилфенил)-3-метилбутил)амино)карбонил)фенил)пропановую кислоту, (61) 3-(2-((((1R)-1-(3,5-диметилфенил)-3-метилбутил)амино)карбонил)-4-(1,3-диоксаиндан-5-иламино)фенил)пропановую кислоту, (62) 3-(4-(3,5-дифторфенокси)-2-((((1R)-1-(3,5-диметилфенил)-3-метилбутил)амино)карбонил)фенил)пропановую кислоту, (63) 3-(4-(3-цианфенокси)-2-((((1R)-1-(3,5-диметилфенил)-3-метилбутил)амино)карбонил)фенил)пропановую кислоту, (64) 4-(4-(3,5-диметилфенокси)-2-((((1R)-1-(нафталин-2-ил)этил)амино)карбонил)фенил)бутановую кислоту, (65) 3-(4-(3,5-диметилфенокси)-2-((((1R)-1-(нафталин-1-ил)этил)амино)карбонил)фенил)пропановую кислоту, (66) 3-(4-(3,5-диметилфенокси)-2-((((1R)-1-(нафталин-2-ил)этил)амино)карбонил)фенил)пропановую кислоту, (67) 3-(4-(3,5-диметилфенокси)-2-((((1R)-1-(3-метилфенил)-3-метилбутил)амино)карбонил)фенил)пропановую кислоту, (68) 3-(4-(3-метилфениламино)-2-(((4-(нафталин-2-ил)тетрагидро-2Н-пиран-4-ил)амино)карбонил)фенил)пропановую кислоту, (69) 4-(4-(3-фторфениламино)-2-((((1R)-1-(нафталин-1-ил)этил)амино)карбонил)фенил)бутановую кислоту, (70) 4-(4-(3-метилфениламино)-2-((((1R)-1-(нафталин-1-ил)этил)амино)карбонил)фенил)бутановую кислоту, (71) 4-(4-(3,5-дифторфениламино)-2-((((1R)-1-(нафталин-1-ил)этил)амино)карбонил)фенил)бутановую кислоту, (72) 4-(4-(1,3-диоксаиндан-5-иламино)-2-((((1R)-1-(нафталин-1-ил)этил)амино)карбонил)фенил)бутановую кислоту, (73) 4-(4-(3-цианфениламино)-2-((((1R)-1-(нафталин-1-ил)этил)амино)карбонил)фенил)бутановую кислоту, (74) 3-(4-(3,5-диметилфениламино)-2-((((1R)-1-(нафталин-1-ил)этил)амино)карбонил)фенил)пропановую кислоту, (75) 3-(4-(3,5-диметилфениламино)-2-((((1R)-1-(нафталин-2-ил)этил)амино)карбонил)фенил)пропановую кислоту, (76) 3-(4-(3,5-диметилфениламино)-2-(((4-(3,5-диметилфенил)тетрагидро-2Н-пиран-4-ил)амино)карбонил)фенил)пропановую кислоту, (77) 3-(4-(3,5-диметилфениламино)-2-(((4-(3-метилфенил)тетрагидро-2Н-пиран-4-ил)амино)карбонил)фенил)пропановую кислоту, (78) 3-(4-(3,5-диметилфенокси)-2-(((4-(3-метилфенил)тетрагидро-2Н-пиран-4-ил)амино)карбонил)фенил)пропановую кислоту, (79) 3-(2-(((4-(бензофуран-2-ил)тетрагидро-2Н-пиран-4-ил)амино)карбонил)-4-(3,5-диметилфенокси)фенил)пропановую кислоту, (80) 3-(2-(((4-(бензофуран-2-ил)тетрагидро-2Н-пиран-4-ил)амино)карбонил)-4-(3,5-диметилфениламино)фенил)пропановую кислоту, (81) 3-(4-(3,5-диметилфенокси)-2-(((4-(2-фенилэтил)тетрагидро-2Н-пиран-4-ил)амино)карбонил)фенил)пропановую кислоту, (82) 3-(4-(3,5-диметилфенокси)-2-(((4-(3,5-диметилфенил)тетрагидро-2Н-пиран-4-ил)амино)карбонил)фенил)пропановую кислоту, (83) 3-(4-(3,5-диметилфениламино)-2-(((4-(2-фенилэтил)тетрагидро-2Н-пиран-4-ил)амино)карбонил)фенил)пропановую кислоту, (84) 3-(2-(((4-(3,5-диметилфенил)тетрагидро-2Н-пиран-4-ил)амино)карбонил)-4-(3-метилфениламино)фенил)пропановую кислоту, (85) 3-(2-(((4-(бензтиофен-2-ил)тетрагидро-2Н-пиран-4-ил)амино)карбонил)-4-(3,5-диметилфениламино)фенил)пропановую кислоту, (86) 3-(4-(3,5-диметилфенокси)-2-(((4-(2-(4-фторфенил)этил)тетрагидро-2Н-пиран-4-ил)амино)карбонил)фенил)пропановую кислоту, (87) 3-(4-(3,5-диметилфениламино)-2-(((4-(2-(4-фторфенил)этил)тетрагидро-2Н-пиран-4-ил)амино)карбонил)фенил)пропановую кислоту, (88) 3-(4-(3,5-диметилфениламино)-2-(((4-(2-(2-фторфенил)этил)тетрагидро-2Н-пиран-4-ил)амино)карбонил)фенил)пропановую кислоту, (89) 3-(4-(3,5-диметилфенокси)-2-(((4-(2-(2-фторфенил)этил)тетрагидро-2Н-пиран-4-ил)амино)карбонил)фенил)пропановую кислоту, (90) 3-(4-(3,5-диметилфенокси)-2-(((4-(2-(3-фторфенил)этил)тетрагидро-2Н-пиран-4-ил)амино)карбонил)фенил)пропановую кислоту, его соль, его сольват или его пролекарство. 3) К соединению карбоновой кислоты согласно вышеприведенному пункту 1), которое представляет собой (1) 3-(2-((((1R)-1-(3,5-диметилфенил)-3-метилбутил)амино)карбонил)-4-(5-фтор-2-метилфеноксиметил)фенил)пропановую кислоту, (2) 3-(2-(((4-(бензтиофен-2-ил)тетрагидро-2Н-пиран-4-ил)амино)карбонил)-4-(2,5-дифторфеноксиметил)фенил)пропановую кислоту, (3) 3-(4-(2-фтор-5-метилфеноксиметил)-2-((((1R)-3-метил-1-(3-метилфенил)бутил)амино)карбонил)фенил)пропановую кислоту, (4) 3-(4-(2,5-дифторфеноксиметил)-2-(((4-(2-(3-фторфенил)этил)тетрагидро-2Н-пиран-4-ил)амино)карбонил)фенил)пропановую кислоту, (5) 3-(4-(3,5-диметилфениламино)-2-(((4-(нафталин-2-ил)тетрагидро-2Н-пиран-4-ил)амино)карбонил)фенил)пропановую кислоту, (6) 3-(2-(((4-(бензтиофен-2-ил)тетрагидро-2Н-пиран-4-ил)амино)карбонил)-4-(3,5-диметилфенокси)фенил)пропановую кислоту, (7) 3-(4-(2,5-дифторфеноксиметил)-2-(((4-(2-фенилэтил)тетрагидро-2Н-пиран-4-ил)амино)карбонил)фенил)пропановую кислоту, (8) 3-(2-((((1R)-1-(3,5-диметилфенил)-3-метилбутил)амино)карбонил)-4-(3-пиридилоксиметил)фенил)пропановую кислоту, (9) 3-(4-(2-фтор-5-метилфеноксиметил)-2-((((1R)-1-(3,5-диметилфенил)-3-метилбутил)амино)карбонил)фенил)пропановую кислоту, (10) 3-(4-(3,5-диметилфениламино)-2-((((1R)-1-(3,5-диметилфенил)-3-метилбутил)амино)карбонил)фенил)пропановую кислоту, (11) 3-(4-(6-фториндол-1-илметил)-2-((((1R)-1-(3,5-диметилфенил)-3-метилбутил)амино)карбонил)фенил)пропановую кислоту, (12) 3-(4-(3,5-диметилфеноксиметил)-2-(((4-(нафталин-2-ил)тетрагидро-2Н-пиран-4-ил)амино)карбонил)фенил)пропановую кислоту, (13) 4-(4-(3,5-диметилфениламино)-2-((((1R)-1-(нафталин-1-ил)этил)амино)карбонил)фенил)пропановую кислоту, (14) 3-(4-(2-хлор-5-метилфеноксиметил)-2-((((1R)-3-метил-1-(3-метилфенил)бутил)амино)карбонил)фенил)пропановую кислоту, (15) 3-(4-(2,5-дифторфеноксиметил)-2-(((4-(2-(4-фторфенил)этил)тетрагидро-2Н-пиран-4-ил)амино)карбонил)фенил)пропановую кислоту, (16) 3-(4-(3,5-диметилфениламино)-2-((((1R)-1-(3-метилфенил)-3-(метилбутил)амино)карбонил)фенил)пропановую кислоту, (17) 3-(4-(2-фтор-5-метилфеноксиметил)-2-(((4-(нафталин-2-ил)тетрагидро-2Н-пиран-4-ил)амино)карбонил)фенил)пропановую кислоту, (18) 3-(4-(3,5-диметилфенокси)-2-((((1R)-1-(3,5-диметилфенил)-3-(метилбутил)амино)карбонил)фенил)пропановую кислоту или (19) 3-(4-(3,5-диметилфениламино)-2-(((4-(2-(3-фторфенил)этил)тетрагидро-2Н-пиран-4-ил)амино)карбонил)фенил)пропановую кислоту, их соли, их сольваты или их пролекарства. 4) К фармацевтической композиции, которая включает соединение карбоновой кислоты согласно вышеприведенному пункту 1), его соль, его сольват или его пролекарство. 5) К фармацевтической композиции согласно вышеприведенному пункту 4), которая представляет собой антагонист рецептора ЕР3. 6) К фармацевтической композиции согласно вышеприведенному пункту 5), которая представляет собой превентивный и/или лечебный агент для болезней, вызванных избыточной активацией рецептора ЕР3. 7) К фармацевтической композиции согласно вышеприведенному пункту 6), в котором болезнями, вызванными избыточной активацией рецептора ЕР3, являются одна или несколько выбранных из числа таких, как прурит, боль, нарушение мочевыделения и болезни, вызванные стрессом. 8) К фармацевтической композиции согласно вышеприведенному пункту 7), в которой болью является боль артрита или нейропатическая боль. 9) К фармацевтической композиции согласно вышеприведенному пункту 7), в которой нарушением мочеиспускания является частота мочеиспускания. 10) К фармацевтической композиции, которая включает соединение карбоновой кислоты согласно вышеприведенному пункту 1), его соль, его сольват или его пролекарство и один или несколько медикаментов, выбранных из стероидных лекарств, нестероидных противовоспалительных лекарств, иммуносуппресантов, противоаллергических лекарств, ингибиторов выделения медиаторов, антагонистов рецептора лейкотриена, антигистаминных лекарств, препаратов форсколина, ингибиторов фосфодиэстеразы, ингибиторов синтеза оксида азота, стимуляторов рецептора каннабиноида-2, нонопиоидных анальгетиков, нестероидальных анальгетиков, ингибиторов циклооксигеназы, опиоидных анальгетиков, простагландинов, блокаторов кальциевых каналов N-типа, блокаторов рецептора 11) К способу предупреждения и/или лечения болезней, индуцированных избыточной активацией ЕР3 рецепторами в млекопитающих, который включает введение млекопитающим эффективного количества соединения карбоновой кислоты согласно вышеприведенному пункту 1) или его соли, его сольвата или его пролекарства. 12) К использованию соединения карбоновой кислоты согласно вышеприведенному пункту 1), его соли, его сольвата или его пролекарства в производстве медикамента для предупреждения и/или лечения болезней, вызванных избыточной активацией рецептора ЕР3. В настоящем изобретении С1-4 алкил включает метил, этил, пропил, бутил и их изомеры. В настоящем изобретении С1-4 алкилтио включает метилто, этилтио, пропилтио, бутилтио и их изомеры. В настоящем изобретении галоген включает фтор, хлор, бром и иод. В настоящем изобретении предпочтительным значением R1 является водород, метил или этил. В настоящем изобретении предпочтительным значением n является 0 или 2. В настоящем изобретении предпочтительным заместителем в кольце, представленном символом R2, является метил или фтор. В настоящем изобретении предпочтительным значением каждого из символов R3a и R3b независимо является водород, метил, изобутил или тетрагидро-2Н-пиран, который представлен R3a и R3b с атомом углерода, к которому они присоединены. В частности, как группа является предпочтительной. В настоящем изобретении предпочтительным значением символа R4 является метил, тиометил, фторид, хлорид или циано. Если не указано иначе, то настоящее изобретение включает все изомеры. Например, алкил включает линейные или разветвленные алкилы. Кроме того, настоящее изобретение также включает изомеры по двойной связи, кольцу, конденсированному кольцу (E-, Z-, цис-, транс-), изомеры, образованные из асимметрических атомов углерода (R-, S-, В настоящем изобретении конкретные соединения представляют собой соединения, описные в примерах, и фармацевтически приемлемые соли. Соль: Соединения настоящего изобретения могут быть превращены в соответствующие фармацевтически приемлемые соли известными способами. Предпочтительными являются нетоксичные и водорастворимые соли. В настоящем изобретении солями являются соли щелочных металлов, таких как калий, натрий и т.д.; соли щелочноземельных металлов, таких как кальций, магний и т.д.; соли аммония, фармацевтически приемлемые органические амины, такие как тетраметиламмоний, триэтиламин, метиламин, диметиламин, циклопентиламин, бензиламин, фенетиламин, пиперидин, моноэтаноламин, диэтаноламин, трис(гидроксиметил)метиламин, лизин, аргинин, N-метил-D-глюкамин и т.д. В настоящем изобретении предпочтительными аддитивными солями кислот являются нетоксичные и водорастворимые соли. В настоящем изобретении аддитивными солями кислот являются соли неорганических кислот, такие как гидрохлорид, гидробромид, сульфат, фосфат, нитрат, соли органических кислот, например ацетат, лактат, тартрат, оксалат, фумарат, малеат, цитрат, бензоат, метансульфонат, этансульфонат, бензолсульфонат, толуолсульфонат, изетионат, глюкуронат, глюконат. Соединения настоящего изобретения и их фармацевтически приемлемые соли могут быть превращены в соответствующие гидраты обычными средствами. Получение соединений настоящего изобретения Соединения настоящего изобретения формулы (I) могут быть получены, например, следующим способом. (1) Соединение формулы (I), в котором R1 означает водород, то есть соединение формулы (Ia) в которой все символы имеют те же значения, что описаны выше, может быть получено удалением защитных групп в щелочных условиях из соединения формулы (Ib): в которой R1b означает С1-4 алкил, а другие символы имеют те же значения, что описаны выше. Удаление защитных групп в щелочных условиях известно. Например, оно может быть осуществлено в водосмешиваемом органическом растворителе (например, метаноле, этаноле, тетрагидрофуране, диоксане или их смесях) при использовании водного раствора основания (например, гидроксида натрия, гидроксида калия или карбоната калия) при температуре от -10 до 90°С. Соединение, представленное формулой (Ib), может быть получено, например, способами в соответствии со следующими схемами реакций A-D: Схема А Схема В Схема С-1 Схема С-2 Схема D В схемах Q1 означает (i)-CH2-O-Cyc1 или (ii) -CH2-Cyc2; Q2 означает (iii-1) -O-Cyc3; Q3 означает (iii-2) -NH-Cyc3; Q4 означает (iii) -L-Cyc3; Y1 означает защитную гидроксильную группу; Y2 означает защитную аминную группу; Ms означает мезил; Tf означает трифторметилсульфонил; X означает галоген; другие символы имеют те же значения, что описаны выше. Токсичность Подтверждено, что соединения настоящего изобретения обладают достаточно низкой токсичностью и, таким образом, являются достаточно безопасными для использования в качестве лекарств. Промышленная применимость Применение как лекарств Соединении настоящего изобретения проявляют антагонистическое действие, связывая рецептор PGE2, в частности подвид EP3, и поэтому их считают целесообразными для использования для предотвращения и/или лечения, например, боли (например, артритной боли, раковой боли, боли при переломе кости, боли при операции, боли после удаления зуба, нейропатической боли, аллодинии, гиперальгезии, боли после герпеса и т.п.), зуда, зудящих высыпаний, атопического дерматита, контактного дерматита, аллергического конъюктивита, различных симптомов после диализа, астмы, ринита, чиханья, поллакиурии, цистита, нейрогенного мочевого пузыря, мочевого нарушения, нарушения эякуляции, снижения высокой температуры тела, систематической воспалительной реакции, нарушения усвоения, болезни Альцгеймера, образования рака, роста рака, раковых метастаз в органы, ретинопатии, эритемы кожи, теплового удара, ожога, стероидального ожога, почечной недостаточности, болезни почек, острого нефрита, хронического нефрита, отклонения от нормы электролитов крови, угрозы преждевременных родов, угрозы выкидыша, гиперменореи, дисменореи, эндометриоза, предменструального синдрома, генитального нарушения, болезни стресса, беспокойства, меланхолии, маниакально-деспрессивного состояния, психосоматических заболеваний, панического состояния, умственной отсталости, тромбоза, эмболизма, рассеянного ишемического удара, церебральной инфаркта, атероматоза, трансплантации органов, сердечного инфаркта, сердечной недостаточности, гипертензии, атериосклероза, нарушения циркуляции и сопутствующей этому язвы, нейропатии, васкулярной деменции, водянки, различных болезней суставов, синовита, ревматизма, остеоартрита, диареи, запора, нарушения желчеотделения, язвенного колита и болезни Крона. Предпочтительно их считают более эффективными для предупреждения и/или лечения болей (артритных болей, нейропатических болей), зуда, нарушения мочеиспускания или болезней стресса. Примеры артритной боли включают ревматизм, остеоартрит и боль, сопровождаемая синовитом. Примеры нейропатической боли включают невралгию герпесного опоясывающего лишая, постгерпесную невралгию, рефлексивную симпатическую атрофию, каузалгию, боль после торакотомии, боль фантомной конечности, боль таламуса, раковую боль, боль после перелома кости, наружное повреждение или ожог, глоссалгию (синдром внутриротового жжения) и невралгию тройничного нерва. Примеры нарушений мочеиспускания включают поллакиурию, например, поллакиурию, связанную с нейропатическим мочевым пузырем, нейропатический мочевой пузырь, стимулированный мочевой пузырь, нестабильный мочевой пузырь и простатит. Примеры стрессовых болезней включают нарушение напряжения после психической травмы, гастрит, индуцированный стрессом, язву, вызванную стрессом, синдром раздраженного кишечника, астму, вызванную стрессом, алопецию, вызванную стрессом, нарушение психики под действием стресса, меланхолию, психосоматическое расстройство, паническое состояние, бессонницу, вызванную стрессом, гипертензию под действием стресса, головную боль при стрессе, аменорею, вызванную стрессом, запор, вызванный стрессом, обжорство, вызванное стрессом или отказ от пищи и недостаточность функции гениталий под действием стресса. Комбинированный агент, полученный объединением соединения настоящего изобретения или его соли с другими лекарственными средствами, может быть введен для осуществления следующих целей 1) доставить и/или усилить превентивное и/или лечебное действие соединения настоящего изобретения; 2) улучшить кинетику и/или поглощение и снизить дозировку соединения настоящего изобретения; и/или 3) исключить побочные эффекты действия соединений настоящего изобретения. Комбинация соединения настоящего изобретения с другими лекарственными препаратами может быть введена в виде составов, содержащих эти компоненты, включенные в один состав, или они могут быть введены в виде отдельных составов. В том случае, когда эти лекарственные препараты вводят в виде отдельных составов, они могут быть введены одновременно или в различное время. В последнем случае соединение настоящего изобретения может быть введено до введения других лекарственных препаратов. Наоборот, другие лекарственные препараты могут быть введены до введения соединения настоящего изобретения. Способы введения этих лекарственных препаратов те же или различные. Болезни, на которое оказывается превентивное и/или лечебное действие вышеупомянутых комбинированных составов, конкретно не ограничены, но могут представлять те, для которых превентивное и/или лечебное действие соединения настоящего изобретения является дополнительным и/или усиленным. Примеры других лекарств для дополнения и/или усиления превентивного и/или лечебного действия соединений настоящего изобретения на зуд, уртикарию, атопический дерматит, контактный дерматит, аллергический конъюктивит, различные симптомы после диализа, включают стероидные лекарства, нестероидые противовоспалительные лекарства, иммуносуппрессанты, антиаллергические лекарства, ингибиторы выделения медиатора, антагонисты рецептора лейкотриена, антигистамины, препараты форсколина, ингибиторы фосфодиэстеразы, ингибиторы синтазы оксида азота, стимуляторы рецептора каннабиноида-2 и т.п. Примеры других лекарств для добавления и/или усиления превентивного и/или лечебного действия соединений настоящего изобретения на боль включают неопиоидные анальгетики, такие как нестероидальные противовоспалительные лекарства, ингибиторы циклооксигеназы (СОХ), опиоидные анальгетики, простагландины, блокаторы кальциевых каналов N-типа, ингибиторы синтазы оксида азота, стимуляторы рецептора каннабиноида-2 и т.п. Примеры других лекарств для добавления и/или усиления превентивного и/или лечебного действия соединений настоящего изобретения на нейропатическую боль включают трициклические антидепрессанты и тетрациклические антидепрессанты и т.п. Примеры других лекарств для добавления и/или усиления превентивного и/или лечебного действия соединений настоящего изобретения на нарушение мочеиспускания включают другие лечебные агенты для нарушенного мочеиспускания, такие как блокаторы рецептора Примеры других лекарств для добавления и/или усиления превентивного и/или лечебного действия соединений настоящего изобретения на болезни, вызванные стрессом, включают другие лечебные агенты для болезней, вызванных стрессом, такие как агонисты рецептора 5-НТ1А, агонисты рецептора Примеры других лекарств для добавления и/или усиления превентивного и/или лечебного действия соединений настоящего изобретения на образование рака, рост рака, метастазы рака на органы включают противораковые агенты, анальгетики, ингибиторы металлопротеиназы и т.п. Примеры нестероидальных противовоспалительных лекарств включают сазапирин, салицилат натрия, аспирин, смесь аспирин-диалюминат, дифлунизал, индометацин, спрофен, уфенамат, диметилизопропилазулен, буфексамак, фелбинак, диклофенак, толметин натрия, клинорил, фенбуфен, набуметон, проглюметацин, фарнезил индометацина, ацеметацин, малеат проглюметацина, амфенак натрия, мофезолак, этодолак, ибупрофен, ибупрофен пиконол, напроксен, флурбипрофен, флурбипрофен аксетил, кетопрофен, фенопрофен кальция, тиапрофен, оксапрозин, пиранопрофен, локсопрофен натрия, альминопрофен, залтопрофен, мефенаминовая кислота, мефенамат алюминия, толфенамовая кислота, флоктафенин, кетофенилбутазон, оксифенбутазон, пироксикам, тоноксикам, ампироксикам, мазь напагелн, эпиризол, гидрохлорид тиарамида, гидрохлорид тиноридина, эморфазон, сульпирин, мигренин, саридон, зедес G, амипило N, сорбон, холодные лекарства на основе пилина, ацетаминофен, фенацетин, диметотиазин мезилат, мелоксикам, целекоксиб, рофекоксиб, валдекоксиб, агенты, содержащие симетрид, холодные лекарства не на основе пилина, и т.п. Примеры стероидных лекарств включают, например, лекарства для наружного применения, пропионат клобетазола, ацетат дифлоразона, флуоцинонид, фуранкарбоксилат мометазона, дипропионат бетаметазона, пропионат бутирата бетаметазона, валерат бетаметазона, дифлупреднат, будезонид, валерат дифлукортолона, амцинонид, хальцинонид, дексаметазон, пропионат дексаметазона, валерат дексаметазона, ацетат дексаметазона, ацетат гидрокортизона, бутират гидрокортизона, пропионат бутирата гидрокортизона, пропионат депродона, ацетат валерат преднизолона, ацетонид флуоцинолона, пропионат беклометазона, ацетонид триамцинолона, пивалат флуметазона, пропионат аклометазона, бутират клобетазона, преднизолон, пропионат беклометазона, флудрексикортид и т.п. Примеры лекарств для внутреннего использования и инъекций включает ацетат кортизона, гидрокортизон, гидрокортизон фосфата натрия, гидрокортизон сукцината натрия, ацетат флудрокортизона, преднизолон, ацетат преднизолона, преднизолона сукцинат натрия, преднизолона бутилацетат, преднизолона фосфат натрия, ацетат галопредона, метилпреднизолон, ацетат метилпреднизолона, метилпреднизолона сукцинат натрия, триамцинолон, ацетат триамцинолона, ацетонид триамцинолона, дексаметазон, ацетат дексаметазона, дексаметазона фосфат натрия, пальмитат дексаметазона, ацетат параметазона, бетаметазон и т.п. Примеры ингаляций включают пропионат беклометазона, пропионат флутиказона, будезонид, флунизолид, триамцинолон, ST-126P, циклезонид, паломитионат дексаметазона, фуроат мометазона, сульфонат прастерона, дефлазакорт, слептанат метилпреднизолона, метилпреднизолона сукцинат натрия и т.п. Примеры иммуносуппрессантов включают протопик (FK-506), метотрексат, циклоспорин, аскомицин, лефлуномид, буцилламин, салазосульфапиридин, и т.п. Примеры ингибиторов выделения медиатора включают траниласт, хромогликат натрия, амлексанокс, репиринаст, ибудиласт, тазаноласт, пемироласт калия и т.п. Примеры антагонистов рецептора лейкотриена включают гидрат пранлукаста, монтелукаст, зафирлукаст, МСС-847, КСА-757, CS-615, YM-158, L-740515, CP-195494, LM-1484, RS-635, A-93178, S-36496, BIIL-284, ONO-4057 и т.п. Примеры антигистаминов включают фумарат кетотифена, меквитазин, гидрохлорид азеластина, оксатомид, терфенадин, фумарат эмедастина, гидрохлорид эпинастина, астемизол, эбастин, гидрохлорид цетиризина, бепотастин, фексофенадин, лоратадин, деслоратадин, гидрохлорид олопатадина, TAK-427, ZCR-2060, NIP-530, фуроат мометазона, мизоластин, ВР-294, андоласт, ауранофин, акривастин и т.п. Примеры противораковых агентов включают алкилирующие агенты (например, гидрохлорид N-оксида псориазина, циклофосфамид, ифосфамид, мелфалан, тиотепан, карбохион, бусульфан и т.п.), производные нитрозомочевины (например, гидрохлорид нимустина, ранимустин и т.д.), антиметаболики (например, метотрексат, меркаптопурин, 6-меркаптопурина рибозид, флуороурацил, тегафур, UFT, кармофур, доксифлуридин, цитарабин, эноцитабин и т.д.), противораковые антибиотики (актиномицин D, митомицин С, гидрохлорид даунорубицина, гидрохлорид доксорубицина, гидрохлорид акларубицина, неокарзиностатин, пирарубицин, эпирубицин, идарубицин, хромомицин А3, блеомицин, сульфат пепломицина и т.д.), растительные алкалоиды (например, сульфат ванбластина, сульфат винкризина, сульфат виндезина и т.д.), гормональные агенты (например, сульфат натрийэстрамустина, мепитиостан, эпитиостанол, цитрат тамоксифена, фосфат диэтилстилбестрола, ацетат медроксипрогестерона, анастрозол, фадрозол, лейпролид т.д.), иммуностимуляторы (например, лентинан, пицибанил, крестин, шизофиллан, убенимекс, интенферон и т.д.) и другие (например, L-аспарагиназа, гидрохлорид прокарбазина, гидрохлорид митоксантрона, цисплатин, карбоплатин и т.д.). Примеры ингибиторов фосфодиэстеразы включают ингибиторы PDE4, такие как ролиплам, циломиласт (торговая марка: Ariflo), Bay 19-8004, NIK-616, рофлумиласт (BY-217), ципамфиллин (BRL-61063), атизорам (СР-80633), SCH-351591, YM-976, V-11294A, PD-168787, D-4396, IC-485 и т.д. Примеры неопиоидных анальгетиков включают нестероидальные противовоспалительные анальгетики (например, аспирин, альминопрофен, флурбипрофен аксетил, супрофен, лобензарит динатрия, теноксикам, локсопрофен натрия, пербипрофен, флурбипрофен, пироксикам, фарнезил индометацина, пранопрофен, сулиндак, индометацин, набуметон, этодолак, фенацетин, найксан, диклофенак натрия и т.д.), ингибиторы циклооксигеназы (СОХ) (например, залтопрофен, нимезулид, залтопрофен, золипрофен, оксапрозин, миропрофен, кетопрофен, гуацил амтолметина, мофезолак, лорноксикам, мелоксикам, ампироксикам, ацеклофенак, целококсиб, паракоксиб, эторикоксиб и т.д.), стероидальные анальгетики (например, римексолон, преднизолон и т.д.), гуалуронат натрия, ауранофин, иприфлавон, орготеин, актарит, субреум, салазосульфапиридин и лефлуномид и т.п. Примеры анальгетиков опиоидного типа включают фосфат кодеина, гидрохлорид бупренорфина, гидрохлорид пентазоцина, морфин (гидрохлорид морфина и сульфат морфина), фентанил, гидрохлорид петидина и леворфанол и т.п. Примеры трициклических антидепрессантов включают гидрохлорид имипрамина, гидохлорид дезипрамина, гидрохлорид кломипрамина, малеат тримипрамина, гидрохлорид амитриптилина, гидрохлорид нортриптилина, гидрохлорид лофепрамина, амоксапина, гидрохлорид досулепина, габапентин, мексилетин, клонидин и кетамин и т.п. Примеры тетрациклических антидепрессантов включают мапротилин и миансерин и т.п. Примерами других лечебных агентов для нарушения мочеиспускания являются гидрохлорид тетразозина, урапидил, фроксипрост, гидрохлорид тамсулозина, гидрохлорид празозина, аллилэстренол, гидрохлорид оксибутинина, гидрохлорид теродилина, гидрохлорид пропиверина, нафтопиридил, ацетат хлормадинона, месна, альфузозин, NC-1800, толтеродин, силодозин, фидуксозин, хлорид троспиума, TF-505, R-701, R-1554, TAK-802 и солифенацин и т.п. Примерами других лечебных агентов для заболеваний, вызванных стрессом, являются цитрат тандоспирона, лезопитрон, игмезин, АР-521, PLD-116, илапразол, ME-3412, DMP-696, ME-3412, YJA-20379-8, гидрохлорид пирензепина, лансопразол, досмальфат и оземозотан и т.п. Массовое отношение соединения настоящего изобретения и другого лекарственного препарата конкретно не лимитируется. Могут быть введены любые комбинации двух или нескольких других медикаментов. Кроме того, другие лекарственные препараты для добавления и/или усиления превентивного и/или лечебного действия соединений настоящего изобретения включают не только те, которые уже установлены, но также те, которые будут установлены на основе вышеупомянутого механизма. Для целей, рассмотренных выше, соединения настоящего изобретения или комбинации соединений настоящего изобретения с другими лекарственными препаратами могут обычно вводиться систематически или локально, обычно пероральным или парентеральным путем. Дозы введения определяются в зависимости от, например, возраста, веса тела, симптомов, желательных лечебных эффектов, пути введения и продолжительности лечения. Для взрослых людей дозы на человека обычно составляют от 1 мг до 10 мг при пероральном введении несколько раз в день, от 0,1 мг до 1 г при парентеральном введении несколько раз в день или непрерывное введение в течение от 1 до 24 часов в день внутривенно. Как упомянуто выше, используемая доза зависит от различных условий. Поэтому существуют случаи, при которых могут быть использованы дозы ниже или выше тех, что указаны выше. Для введения соединения настоящего изобретения или комбинации соединения настоящего изобретения с другими медикаментами используют твердые составы для внутреннего использования и жидкие составы для внутреннего использования при пероральном введении, а также составы для инъекций, наружные препараты, суппозитории, глазные капли, ингаляции и т.п. при парентеральном введении. Примеры твердых составов для внутреннего использования при пероральном ведении включают таблетки, пилюли, капсулы, порошки, гранулы и т.п. Капсулы включают жесткие капсулы и мягкие капсулы. Такие твердые составы для внутреннего использования готовят способом, традиционно применяемым и предусматривающим использование одного, двух или нескольких активных веществ либо как оно есть, либо в виде смеси с эксципиентом (лактозой, маннитом, глюкозой, микрокристаллической целлюлозой, крахмалом и т.п.), связующим (гидроксипропилцеллюлозой, поливинилпирролидоном, алюминатом метасиликата магния и т.п.), разделяющим агентом (гликолятом кальцийцеллюлозы и т.п.), мягчителем (стеаратом магния и т.п.), стабилизатором и средством растворения (глутаминовой кислотой, аспарагиновой кислотой и т.п.). При необходимости оно может быть покрыто агентом для нанесения покрытия (сахароза, желатин, гидроксипропилцеллюлоза, фталат гидроксипропилметилцеллюлозы и т.п.). Оно может быть покрыто в два или несколько слоев. Кроме того, капсулы, изготовленные из поглощаемого материала, такого как желатин, входят в объем его притязаний. Жидкие составы для внутреннего использования при пероральном введении включают фармацевтически приемлемые водные растворы, суспензии, эмульсии, сиропы, эликсиры и т.п. Такие жидкие составы готовят растворением, суспендированием или эмульгированием одного или нескольких активно действующих веществ в обычно применяемом разбавителе (очищенная вода, этанол или их смеси и т.п.). Такие жидкие формы также могут дополнительно содержать некоторые добавки, такие как гигроскопические вещества, суспендирующие агенты, эмульгирующие агенты, подсластители, отдушки, ароматизаторы, консерванты, буферы и т.п. Дозированные формы препаратов парентерального введения для наружного применения включают мази, гели, кремы, разогревающие мази, пластыри, линименты, распыленные агенты, ингаляторы, спреи, аэрозоли, капли для носа и т.п. Такой препарат содержит один, два или несколько активно действующих веществ, и его получают хорошо известными способами или в соответствии с широко применяемой рецептурой. Мази получают в соответствии с хорошо известным составом или широко используемой рецептурой. Например, их получают размягчением или плавлением одного, двух или нескольких активно действующих веществ в основе. Основу мази выбирают из хорошо известных основ или смеси двух или нескольких выбранных из высших жирных кислот или сложных эфиров высших жирных кислот (адипиновой кислоты, миристиновой кислоты, пальмитиновой кислоты, стеариновой кислоты, олеиновой кислоты, сложных эфиров адипиновой кислоты, сложных эфиров миристиновой кислоты, сложных эфиров пальмитиновой кислоты, сложных эфиров стериновой кислоты, сложных эфиров олеиновой кислоты и т.п.), восков (пчелиного воска, китового жира, церезина и т.п.), поверхностно-активных веществ (сложных эфиров фосфорной кислоты и простого алкилового эфира полиоксиэтилена и т.п.), высших спиртов (кетанола, стерилового спирта, кетостеарилового спирта и т.п.), силиконовых масел (диметилполисилоксана и т.п.), углеводородов (гидрофильного вазелина, белого вазелина, очищенного ланолина, жидкого парафина и т.п.), гликолей (этиленгликоля, диэтиленгликоля, пропиленгликоля, полиэтиленгликоля, макроголя и т.п.), растительных масел (касторового масла, оливкового масла, сезамового масла, живичного скипидара и т.п.), животных жиров (норкового жира, желточного масла, сквалана, сквалена и т.п.), воды, промоторов абсорбции и ингибиторов раздражения кожи. Мази могут дополнительно содержать гигроскопическое вещество, консервант, стабилизатор, антиоксидант, отдушку и т.п. Гели получают в соответствии с хорошо известным составом или традиционно используемым составом. Например, их получают плавлением одного или нескольких активно действующих веществ в основе. Основу геля выбирают из хорошо известных основ или широко применяемых основ. Например, может быть использовано одно основание или смесь двух или нескольких оснований, выбранных из низших спиртов (этанола, изопропилового спирта и т.п.), гелеобразующих агентов (карбоксиметилцеллюлозы, гидроксиэтилцеллюлозы, гидроксипропилцеллюлозы, этилцеллюлозы и т.п.), нейтрализующих агентов (триэтаноламина, диизопропаноламина и т.п.), поверхностно-активных веществ (моностеарата полиэтиленгликоля и т.п.), камедей, воды, промоторов абсорбции и ингибиторов раздражения кожи. Гели могут дополнительно содержать консервант, антиоксидант, отдушку и т.п. Кремы готовят в соответствии с хорошо известными рецептурами или широко используемыми рецептурами. Например, их получают плавлением или эмульгированием одного или нескольких активно действующих веществ в основе. Основу крема выбирают из хорошо известных основ или традиционно применяемых основ. Например, используют одну основу или смесь двух или нескольких оснований, выбранных из сложных эфиров высших кислот, низших спиртов, углеводородов, многоосновных спиртов (пропиленгликоля, 1,3-бутиленгликоля и т.п.), высших спиртов (2-гексилдеканола, кетанола и т.п.) эмульгаторов (простых алкиловых эфиров полиоксиэтилена, эфиров жирных кислот и т.п.), воды, промоторов абсорбции и ингибиторов раздражения кожи. Кремы могут дополнительно содержать консервант, антиоксидант, отдушку и т.п. Притирки получают в соответствии с хорошо известными составами или традиционно используемыми составами. Например, их готовят расплавлением одного или нескольких активно действующих веществ в основе, перемешивании и затем нанесении или распределении размешанного материала на субстрате. Основу притирки выбирают из хорошо известных основ или традиционно используемых основ. Например, используют одну основу или смесь двух или нескольких основ, выбранных из загустителей (полиакриловой кислоты, поливинилпирролидона, аравийской камеди, крахмала, желатина, метилцеллюлозы и т.п.), увлажняющих агентов (мочевины, глицерина, пропиленгликоля и т.п.), наполнителей (каолина, оксида цинка, талька, оксида кальция, оксида магния и т.п.), воды, средств растворения, повысителей вязкости и ингибиторов раздражения кожи. Притирки могут дополнительно содержать консервант, антиоксидант, отдушку и т.п. Пластыри готовят в соответствии с хорошо известными составами или традиционно используемыми составами. Например, их готовят расплавлением одного или нескольких активно действующих веществ в основе и затем нанесением и распределением на субстрате. Основу пластыря выбирают из числа хорошо известных основ или широко применяемых основ. Например, используют одну основу или смесь двух или нескольких основ, выбранных из полимерных основ, жиров и масел, высших жирных кислот, повысителей вязкости и ингибиторов раздражения кожи. Пластыри могут дополнительно содержать консервант, антиоксидант, отдушку и т.п. Линименты готовят в соответствии с хорошо известными рецептурами или традиционно используемыми рецептурами. Например, их готовят растворением, суспендированием или эмульгированием одного, двух или нескольких активно действующих веществ в одной или нескольких средах, выбранных из воды, спиртов (этанола, полиэтиленгликоля и т.п.), высших жирных кислот, глицерина, мыла, эмульгаторов, суспендирующих агентов и т.п. Линименты могут дополнительно содержать консервант, антиоксидант, отдушку и т.п. Распыленные агенты, ингаляторы и спреи могут содержать помимо традиционно применяемого разбавителя стабилизатор, такой как гидросульфит натрия, буфер для придания изотоничности, например изотонический агент, такой как хлорид натрия, цитрат натрия или лимонная кислота. Способы получения спреев детально описаны, например, в патенте США № 2868691 и патенте США № 3095355. Инъекции для парентерального введения включают растворы, суспензии, эмульсии и твердые составы для инъекций, которые перед использованием растворяют или суспендируют. Такие инъекции используют растворением, суспендированием или эмульгированием одного или нескольких активно действующих веществ в растворителе. Растворитель включает, например, дистиллированную воду для инъекций, физиологический раствор соли, растительные масла, спирты, такие как пропиленгликоль, полиэтиленгликоль и этанол, и их смеси. Инъекция может дополнительно содержать стабилизатор, средство растворения (глутаминовую кислоту, аспарагиновую кислоту, Polysorbate 80 (зарегистрированная торговая марка) и т.п.), суспендирующий агент, эмульгатор, успокаивающее средство, буфер, консервант и т.п. Такая инъекция может быть получена стерилизацией на конечной стадии или при использовании асептического способа. В альтернативном варианте возможно также, чтобы асептический твердый продукт, такой как продукт сублимационной сушки, получали, стерилизовали или растворяли в асептической дистиллированной воде для инъекций или другом растворителе перед использованием. Ингаляции для парентерального введения включают аэрозоли, порошки для ингаляций и жидкости для ингаляций. Такие ингаляции могу быть растворены или суспендированы в воде или другой подходящей для использования среде. Ингаляции могут быть получены согласно хорошо известным способам. Например, жидкие составы для ингаляций могут быть получены при необходимости путем соответствующего выбора консерванта (хлорида бензалкония, ацетата натрия и т.п.), изотонического агента (хлорида натрия, концентрированного глицерина и т.п.), загустителя (карбоксивинилового полимера и т.п.), промотора абсорбции и т.п. Порошки для ингаляций могут быть получены при необходимости путем соответствующего выбора мягчителя (стеариновой кислоты и ее солей и т.п.), связующего (крахмала, декстрина и т.п.), эксципиента (лактозы, целлюлозы и т.п.), красителя, консерванта (хлорида бензалкония, парабена и т.п., промотора абсорбции и т.п. Когда вводят жидкости для ингаляций, обычно используют распылитель (аэрозольный аппарат). Когда используют порошки для ингаляций, обычно используют прибор для введения порошкообразных агентов вдыханием. Другие композиции для парентерального введения включают суппозитории и пессарии для вагинального введения, которые содержат одно или несколько активно действующих веществ и получены в соответствии с обычными рецептурами. Наилучший вариант осуществления настоящего изобретения Далее настоящее изобретение будет описано более подробно со ссылкой на следующие ссылочные примеры, примеры, примеры составов и примеры испытаний, хотя настоящее изобретение не ограничивается ими. Названия соединений, использованных в настоящем описании, составлены согласно требованиям ЮПАК. Растворители, указанные в скобках, касающиеся хроматографического разделения и ТСХ, означают каждый использованный растворитель для элюирования или растворитель для проявления, а отношение выражено по объему. Растворители, указанные в скобках и касающиеся ЯМР, указывают на каждый растворитель, использованный при проведении измерений. Ссылочный пример 1 7-бромметилкумарин К раствору 7-метилкумарина (50 г) в ацетонитриле (1,2 л) добавляют N-бромсукцинимид (56 г) и ЯМР (300 Мгц), CDCl3: Ссылочный пример 2 7-(2,5-дифторфеноксиметил)кумарин Соединение, полученное в ссылочном примере 1 (40 г), 2,5-дифторфенол (21,8 г) и карбонат калия (46,4 г) растворяют в диметилформамиде (ДМФ, 250 мл) и смесь нагревают в течение 50 минут при 60°С. После охлаждения реакционной смеси до комнатной температуры, к смеси добавляют воду. Твердый остаток собирают фильтрованием. Остаток сушат и получают указанное в заголовке соединение (43,9 г), имеющее следующие физические характеристики: ЯМР (300 МГц, ДМСО-d6): Ссылочный пример 3 Сложный метиловый эфир 3-(4-(2,5-дифторфеноксиметил)-2-гидроксифенил)пропеновой кислоты В атмосфере аргона к раствору гидрида натрия (18,2 г, 60% масла) в тетрагидрофуране (ТГФ, 150 мл), добавляют метанол (24,6 мл) при комнатной температуре. Смесь перемешивают в течение 30 минут при 50°С. Смесь охлаждают до комнатной температуры, и раствор соединения, полученного в ссылочном примере 2 (43,9 г) в ДМФ (750 мл), по каплям приливают к смеси. Смесь перемешивают в течение 30 минут при 50°С. Смесь охлаждают до комнатной температуры. К смеси добавляют 1Н раствор соляной кислоты на ледяной бане. Смесь экстрагируют этилацетатом. Органический слой промывают водой и насыщенным водным раствором хлорида натрия, сушат над безводным сульфатом магния и концентрируют. Полученное твердое вещество кристаллизуют из смеси простой т-бутилметиловый эфир/гексан и получают указанное в заголовке соединение (46,5 г), имеющее следующие физические характеристики. ЯМР (300 МГц, ДМСО-d6): Ссылочный пример 4 Сложный метиловый эфир 3-(4-(2,5-дифторфеноксиметил)-2-гидроксифенил)пропановой кислоты К раствору соединения, полученного в ссылочном примере 3 (46,5 г) в ТГФ (400 мл)/метанол (100 мл) медленно добавляют шестикратный кристаллогидрат хлорида никеля (41,3 г) и боргидрид натрия (21,9 г). Смесь перемешивают в течение 2,5 часов. Реакционный раствор разбавляют простым т-бутилметиловым эфиром и фильтруют через целит (торговая марка). Фильтрат разбавляют этилацетатом, промывают водой и насыщенным водным раствором хлорида натрия, сушат над сульфатом магния и концентрируют. Остаток очищают колоночной хроматографией на силикагеле (этилацетат:гексан=1:1) и получают указанное в заголовке соединение (23,6 г), имеющее следующие физические характеристики. ЯМР (300 МГц, CDCl3): Ссылочный пример 5 Метиловый эфир 3-(2-карбокси-4-(2,5-дифторфеноксиметил)фенил)пропановой кислоты В атмосфере аргона к раствору соединения, полученного в ссылочном примере 4 (250 мг) в пиридине (1,55 мл), добавляют трифторметансульфонат (144 мкл) при 0°С. Смесь перемешивают в течение 60 минут при комнатной температуре. Реакционную смесь разбавляют этилацетатом. Разбавленный раствор промывают последовательно водой, 1Н соляной кислотой, водой и насыщенным водным раствором хлорида натрия, сушат над безводным сульфатом магния и концентрируют. В атмосфере аргона к раствору полученного соединения в ДМФ (2,5 мл) последовательно добавляют ацетат калия (380 мл), бис(дифенилфосфино)ферроцен (41 мг) и ацетат палладия (II) (8,7 мг). Смесь перемешивают в течение ночи при 90°С в атмосфере газообразной закиси азота. Реакционную смесь разбавляют простым т-бутилметиловым эфиром и фильтруют через целит (торговая марка). Фильтрат последовательно промывают насыщенным раствором хлорида аммония, водой и насыщенным водным раствором хлорида натрия, сушат над сульфатом магния и концентрируют. Остаток очищают колоночной хроматографией на силикагеле (этилацетат:гексан=1:1) и получают указанное в заголовке соединение (193 мг), имеющее следующие физические характеристики. ЯМР (300 МГц, CDCl3): Ссылочный пример 6 4-гидрокси-4-(3,5-диметилфенил)тетрагидро-2Н-пиран В атмосфере аргона к раствору 5-бром-м-ксилол (5,55 г) в ТГФ (60 мл) добавляют н-бутиллитий (17,8 мл) при -78°С. Смесь перемешивают в течение 1 часа. К реакционной смеси добавляют тетрагидрофуран-4-он (2,0 г) и перемешивают в течение 3 часов. К реакционной смеси добавляют воду и раствор разбавляют этилацетатом. Органический слой промывают водой и насыщенным водным раствором хлорида натрия, сушат над сульфатом магния и концентрируют. Остаток очищают колоночной хроматографией на силикагеле (этилацетат:гексан=1:3) и получают указанное в заголовке соединение (2,6 г), имеющее следующие физические характеристики. ТСХ: Rf 0,51(этилацетат:гексан=1:1) ЯМР (300 МГц, CDCl3): Ссылочный пример 7 N-(4-(3,5-диметилфенил)тетрагидро-2Н-пиран-4-ил)хлорацетамид К раствору соединения, полученного в ссылочном примере 6 (1,51 г) в хлорацетонитриле (5 мл) и уксусной кислоте (10 мл), медленно, по каплям приливают серную кислоту (3 капли) на ледяной бане. Смесь перемешивают в течение ночи при комнатной температуре. Реакционную смесь выливают в ледяную воду и подщелачивают добавлением 5Н водного раствора гидроксида натрия. Смесь экстрагируют простым т-бутилметиловым эфиром. Органический слой промывают водой и насыщенным водным раствором хлорида натрия, сушат над сульфатом магния и концентрируют. Остаток очищают колоночной хроматографией на силикагеле (этилацтет:гексан=1:3) и получают указанное в заголовке соединение (288 мг), имеющее следующие физические характеристики. ТСХ: Rf 0,54 (этилцетат:гексан=1:1) ЯМР (300 МГц, CDCl3): Ссылочный пример 8 4-амино-4-(3,5-диметилфенил)тетрагидро-2H-пиран К соединению, полученному в ссылочном примере 7 (250 мг) в этаноле (2 мл) и уксусной кислоте (0,4 мл) добавляют мочевину (81,2 мг). Смесь перемешивают в течение ночи при 70°С. Реакционную смесь разбавляют простым т-бутилметиловым эфиром, подщелачивают добавлением 2Н водного раствора гидроксида натрия и отделяют органический слой. Органический слой промывают водой и насыщенным водным раствором хлорида натрия, сушат над сульфатом магния и концентрируют, в результате чего и получают указанное в заголовке соединение (160 мг), имеющее следующие физические характеристики. ТСХ: Rf 0,54 (метанол:хлороформ=1:5) ЯМР (300 МГц, CDCl3): Ссылочный пример 9 (2R)-3-аза-4-(3,5-диметилфенил)-2-фенил-3-бутен-1-ол 3,5-диметилбензальдегид (30,0 г) и (R)-фенилглицинол (30,7 г) в толуоле (200 мл) кипятят в колбе с обратным холодильником с отгонкой паров азеотропной смеси с водой в течение 3 часов. Реакционную смесь концентрируют и получают указанное в заголовке соединение (59,7 г), имеющее следующие физические характеристики. ТСХ: Rf 0,69 (гексан:этилацетат=4:1) Ссылочный пример 10 Гидрохлорид (2R,4R)-3-аза-6-метил-4-(3,5-диметилфенил)-2-фенил-6-гептен-1-ола В атмосфере аргона к раствору магния (40,8 г) в безводном ТГФ (800 мл) по каплям приливают раствор 3-хлор-2-метил-1-пропена (60,8 г) в безводном ТГФ (450 мл) на ледяной бане с хлоридом натрия. Смесь перемешивают в течение 1,5 часов на ледяной бане и 1 час при комнатной температуре и получают реагент Грингарда. В атмосфере аргона к раствору соединения, полученного в ссылочном примере 9, в безводном толуоле (300 мл) по каплям приливают агент Грингарда (1120 мл) в течение 3 часов и смесь перемешивают в течение 30 минут на ледяной бане с хлоридом натрия. К реакционной смеси добавляют насыщенный раствор хлорида аммония и воду и органический слой отделяют. Водный слой экстрагируют этилацетатом и объединяют с вышеупомянутым органическим слоем. Объединенный органический слой промывают насыщенным водным раствором хлорида натрия, сушат над безводным сульфатом магния и концентрируют. К раствору остатка в этилацетате (500 мл) добавляют 4Н соляную кислоту/диоксан (100 мл) на ледяной бане. Раствор концентрируют и перекристаллизовывают из смеси изопропанол-гексан и получают указанное в заголовке соединение (60,9 г), имеющее следующие физические характеристики. ТСХ: Rf 0,80 (гексан:этилацетат=1:2) ЯМР (300 МГц, CDCl3): Ссылочный пример 11 Гидрохлорид (1R)-3-метил-1-(3,5-диметилфенил)бутиламина В атмосфере газообразного водорода раствор соединения, полученного в ссылочном примере 10 (33,0 г), и оксид палладия (IV) (4,60 г) в этаноле (330 мл) перемешивают в течение 40 часов при 60°С. Реакционную смесь фильтруют через целит (торговая марка) и фильтрат концентрируют. Остаток перекристаллизовывают из смеси этанол/этилацетат и получают указанное в заголовке соединение (7,30 г), имеющее следующие физические характеристики. ТСХ: Rf 0,30 (хлороформ:метанол=9:1) ЯМР (300 МГц, ДМСО-d6): Пример 1 Метиловый эфир 3-(4-(2,5-дифторфеноксиметил)-2-((((1R)-1-(нафталин-2-ил)этил)амино)карбонил)фенил)пропановой кислоты В атмосфере аргона раствор соединения, полученного в ссылочном примере 5 (80 мг), (1R)-1-(нафталин-2-ил)этиламин (47 мг), 1-этил-3-[3-(диметиламино)пропил]карбодиимид (66 мг) и 1-гидроксибензотриазол (46 мг) в ДМФ (1 мл) перемешивают в течение ночи при комнатной температуре. Реакционную смесь разбавляют этилацетатом. Разбавленный раствор последовательно промывают 1Н соляной кислотой, водным раствором бикарбоната натрия, промывают водой и насыщенным водным раствором хлорида натрия, сушат над сульфатом магния и концентрируют, в результате чего получают указанное в заголовке соединение, имеющее следующие физические характристики. ТСХ: Rf 0,35 (гексан:этилацетат=1:1) ЯМР (300 МГц, CDCl3): Пример 2 3-(4-(2,5-дифторфеноксиметил)-2-((((1R)-1-(нафталин-2-ил)этил)амино)карбонил)фенил)пропановая кислота К раствору соединения, полученного в примере 1, в метаноле (1 мл)/ТГФ (1 мл) добавляют 1Н водный раствор гидроксида натрия (1 мл) и смесь перемешивают в течение ночи при комнатной температуре. Реакционную смесь подкисляют добавлением 1Н соляной кислоты и экстрагируют этилацетатом. Органический слой промывают водой и насыщенным водным раствором хлорида натрия, сушат над сульфатом магния и концентрируют. Остаток перекристаллизовывают из смеси этилацетат/гексан и получают указанное в заголовке соединение (83 мг), имеющее следующие физические характеристики. ТСХ: Rf 0,47 (хлороформ:метанол=10:1) ЯМР (300 МГц, CDCl3): Пример 2(1)-2(59) Следующие соединения получают по той же методике, что и серия реакций в последовательности ссылочный пример 1 Пример 2(1) 3-(4-(2,5-дихлорфеноксиметил)-2-(((4-(3-метилфенил)тетрагидро-2Н-пиран-4-ил)амино)карбонил)фенил)пропановая кислота ТСХ: Rf 0,57 (хлороформ:метанол=10:1) ЯМР (300 МГц, ДМСО-d6): Пример 2(2) 3-(4-(2-хлор-5-метилфеноксиметил)-2-(((4-(3-метилфенил)тетрагидро-2Н-пиран-4-ил)амино)карбонил)фенил)пропановая кислота ТСХ: Rf 0,60 (хлороформ:метанол=10:1) ЯМР (300 МГц, ДМСО-d6): Пример 2(3) 3-(4-(2-хлор-5-фторфеноксиметил)-2-(((4-(3-метилфенил)тетрагидро-2Н-пиран-4-ил)амино)карбонил)фенил)пропановая кислота ТСХ: Rf 0,59 (хлороформ:метанол=10:1) ЯМР (300 МГц, ДМСО-d6): Пример 2(4) 3-(4-(2,5-дифторфеноксиметил)-2-(((4-фенилтетрагидро-2Н-пиран-4-ил)амино)карбонил)фенил)пропановая кислота ТСХ: Rf 0,23 (гексан:этилацетат:уксусная кислота=50:50:1) ЯМР (300 МГц, CDCl3): Пример 2(5) 3-(4-(2,5-дихлорфеноксиметил)-2-(((4-фенилтетрагидро-2Н-пиран-4-ил)амино)карбонил)фенил)пропановая кислота ТСХ: Rf 0,35 (гексан:этилацетат:уксусная кислота=50:50:1) ЯМР (300 МГц, CDCl3): Пример 2(6) 3-(4-(2-хлор-5-фторфеноксиметил)-2-(((4-фенилтетрагидро-2Н-пиран-4-ил)амино)карбонил)фенил)пропановая кислота ТСХ: Rf 0,36 (гексан:этилацетат:уксусная кислота=50:50:1) ЯМР (300 МГц, CDCl3): Пример 2(7) 3-(4-(2,5-дифторфеноксиметил)-2-((((1R)-3-метил-1-(3-метилфенил)бутил)амино)карбонил)фенил)пропановая кислота ТСХ: Rf 0,52 (гексан:этилацетат=1:1) ЯМР (300 МГц, CDCl3): Пример 2(8) 3-(4-(2-хлор-5-метилфеноксиметил)-2-((((1R)-3-метил-1-(3-метилфенил)бутил)амино)карбонил)фенил)пропановая кислота ТСХ: Rf 0,31 (гексан:этилацетат=1:1) ЯМР (300 МГц, CDCl3): Пример 2(9) 3-(4-(3-цианфеноксиметил)-2-((((1R)-3-метил-1-(3-метилфенил)бутил)амино)карбонил)фенил)пропановая кислота ТСХ: Rf 0,32 (гексан:этилацетат=1:1) ЯМР (300 МГц, CDCl3): Пример 2(10) 3-(4-(2,5-диметилфеноксиметил)-2-((((1R)-3-метил-1-(3-метилфенил)бутил)амино)карбонил)фенил)пропановая кислота ТСХ: Rf 0,39 (гексан:этилацетат=1:1) ЯМР (300 МГц, CDCl3): Пример 2(11) 3-(4-(2,5-дифторфеноксиметил)-2-(((4-(нафталин-2-ил)тетрагидро-2Н-пиран-4-ил)амино)карбонил)фенил)пропановая кислота ТСХ: Rf 0,60 (хлороформ:метанол=9:1) ЯМР (300 МГц, CDCl3): Пример 2(12) 3-(4-(2,5-диметилфеноксиметил)-2-(((4-(3-метилфенил)тетрагидро-2Н-пиран-4-ил)амино)карбонил)фенил)пропановая кислота ТСХ: Rf 0,52 (хлороформ:метанол=9:1) ЯМР (300 МГц, CDCl3): Пример 2(13) 3-(4-(3-цианфеноксиметил)-2-(((4-(нафталин-2-ил)тетрагидро-2Н-пиран-4-ил)амино)карбонил)фенил)пропановая кислота ТСХ: Rf 0,13 (гексан:этилацетат=1:1, 1% уксусная кислота) ЯМР (300 МГц, CDCl3): Пример 2(14) 3-(4-(2,5-диметилфеноксиметил)-2-(((4-(нафталин-2-ил)тетрагидро-2Н-пиран-4-ил)амино)карбонил)фенил)пропановая кислота ТСХ: Rf 0,33 (гексан:этилацетат=1:1, 1% уксусная кислота) ЯМР (300 МГц, CDCl3): Пример 2(15) 3-(4-(5-фториндол-1-илметил)-2-((((1R)-1-(3,5-диметилфенил)-(3-метилбутил)амино)карбонил)фенил)пропановая кислота ТСХ: Rf 0,42 (гексан:этилацетат=1:1, 1% уксусная кислота) ЯМР (300 МГц, CDCl3): Пример 2(16) 3-(4-(6-фториндол-1-илметил)-2-((((1R)-1-(3,5-диметилфенил)-3-метилбутил)амино)карбонил)фенил)пропановая кислота ТСХ: Rf 0,44 (гексан:этилацетат=1:1, 1% уксусная кислота), ЯМР (300 МГц, CDCl3): Пример 2(17) 3-(2-((((1R)-1-(3,5-диметилфенил)-3-метилбутил)амино)карбонил)-4-(3-пиридилоксиметил)фенил)пропановая кислота ТСХ: Rf 0,49 (хлороформ:метанол=9:1), ЯМР (300 МГц, ДМСО-d6): Пример 2(18) 3-(4-(2,4-диметилфеноксиметил)-2-((((1R)-1-(3,5-диметилфенил)-3-метилбутил)амино)карбонил)фенил)пропановая кислота ТСХ: Rf 0,61 (хлороформ:метанол=9:1), ЯМР (300 МГц, CDCl3): Пример 2(19) 3-(2-(((4-(нафталин-2-ил)тетрагидро-2Н-пиран-4-ил)амино)карбонил)-4-феноксиметилфенил)пропановая кислота ТСХ: Rf 0,26 (хлороформ:метанол=19:1), ЯМР (300 МГц, CDCl3): Пример 2(20) 3-(2-(((4-(нафталин-2-ил)тетрагидро-2Н-пиран-4-ил)амино)карбонил)-4-(3-пиридилоксиметил)фенил)пропановая кислота ТСХ: Rf 0,43 (гексан:этилацетат=1:1, 1% уксусная кислота), ЯМР (300 МГц, ДМСО-d6): Пример 2(21) 3-(4-(3-хлорфеноксиметил)-2-(((4-(нафталин-2-ил)тетрагидро-2Н-пиран-4-ил)амино)карбонил)фенил)пропановая кислота ТСХ: Rf 0,60 (гексан:этилацетат=1:1, 1% уксусная кислота), ЯМР (300 МГц, CDCl3): Пример 2(22) 3-(4-(2-фтор-5-метилфеноксиметил)-2-((((1R)-1-(3,5-диметилфенил)-3-метилбутил)амино)карбонил)фенил)пропановая кислота ТСХ: Rf 0,59 (гексан:этилацетат=1:1, 1% уксусная кислота), ЯМР (300 МГц, CDCl3): Пример 2(23) 3-(4-(3,4-диметилфеноксиметил)-2-((((1R)-1-(3,5-диметилфенил)-3-метилбутил)амино)карбонил)фенил)пропановая кислота ТСХ: Rf 0,59 (гексан:этилацетат=1:1, 1% уксусная кислота), ЯМР (300 МГц, CDCl3): Пример 2(24) 3-(4-(2-хлор-5-фторфеноксиметил)-2-((((1R)-1-(3,5-диметилфенил)-3-метилбутил)амино)карбонил)фенил)пропановая кислота ТСХ: Rf 0,59 (гексан:этилацетат=1:1, 1% уксусная кислота), ЯМР (300 МГц, CDCl3): Пример 2(25) 3-(2-((((1R)-1-(3,5-диметилфенил)-3-метилбутил)амино)карбонил)-4-(3-метилиндол-1-илметил)фенил)пропановая кислота ТСХ: Rf 0,45 (гексан:этилацетат=1:1, 1% уксусная кислота), ЯМР (300 МГц, CDCl3): Пример 2(26) 3-(4-(2,5-дифторфеноксиметил)-2-((((1R)-1-(нафталин-1-ил)этил)амино)карбонил)фенил)пропановая кислота ТСХ: Rf 0,47 (хлороформ:метанол=10:1), ЯМР (300 МГц, CDCl3): Пример 2(27) 3-(4-(2-фтор-5-метилфеноксиметил)-2-((((1R)-1-(нафталин-1-ил)амино)карбонил)фенил)пропановая кислота, ТСХ: Rf 0,41 (хлороформ:метанол=10:1), ЯМР (300 МГц, CDCl3): Пример 2(28) 3-(4-(2-фтор-5-метилфеноксиметил)-2-((((1R)-3-метил-1-(3-метилфенил)бутил)амино)карбонил)фенил)пропановая кислота ТСХ: Rf 0,41 (хлороформ:метанол=10:1), ЯМР (300 МГц, CDCl3): Пример 2(29) 3-(4-(2-фтор-5-метилфеноксиметил)-2-(((4-(нафталин-2-ил)тетрагидро-2Н-пиран-4-ил)амино)карбонил)фенил)пропановая кислота ТСХ: Rf 0,41 (хлороформ:метанол=10:1), ЯМР (300 МГц, CDCl3): Пример 2(30) 3-(2-(((4-(3,5-диметилфенил)тетрагидро-2Н-пиран-4-ил)амино)карбонил)-4-(2-фтор-5-метилфеноксиметил)фенил)пропановая кислота ТСХ: Rf 0,41 (хлороформ:метанол=10:1), ЯМР (300 МГц, CDCl3): Пример 2(31) 3-(4-(2-фтор-5-метилфеноксиметил)-2-(((4-(3-метилфенил)тетрагидро-2Н-пиран-4-ил)амино)карбонил)фенил)пропановая кислота ТСХ: Rf 0,41 (хлороформ:метанол=10:1), ЯМР (300 МГц, CDCl3): Пример 2(32) 3-(2-(((4-(бензофуран-2-ил)тетрагидро-2Н-пиран-4-ил) амино)карбонил)-4-(2,5-дифторфеноксиметил)фенил)пропановая кислота ТСХ: Rf 0,52 (хлороформ:метанол=9:1), ЯМР (300 МГц, CDCl3): Пример 2(33) 3-(4-(2,5-дифторфеноксиметил)-2-(((4-(2-фенилэтил)тетрагидро-2Н-пиран-4-ил)амино)крбонил)фенил)пропановая кислота ТСХ: Rf 0,49 (хлороформ:метанол=10:1), ЯМР (300 МГц, ДМСО-d6): Пример 2(34) 3-(2-((((1R)-1-(3,5-диметилфенил)-3-метилбутил)амино)карбонил)-4-(4-фтор-2-метилфеноксиметил)фенил)пропановая кислота ТСХ: Rf 0,57 (хлороформ:метанол=9:1), ЯМР (300 МГц, CDCl3): Пример 2(35) 3-(2-((((1R)-1-(3,5-диметилфенил)-3-метилбутил)амино)карбонил)-4-((2-метилпиридин-3-ил)оксиметил)фенил)пропановая кислота ТСХ: Rf 0,57 (хлороформ:метанол=9:1), ЯМР (300 МГц, ДМСО-d6): Пример 2(36) 3-(2-((((1R)-1-(3,5-диметилфенил)-3-метилбутил)амино)карбонил)-4-((2-метилпиридин-5-ил)оксиметил)фенил)пропановая кислота ТСХ: Rf 0,57 (хлороформ:метанол=9:1), ЯМР (300 МГц, ДМСО-d6): Пример 2(37) 3-(2-((((1R)-1-(3,5-диметилфенил)-3-метилбутил)амино)карбонил)-4-(5-фтор-2-метилфеноксиметил)фенил)пропановая кислота (далее по тексту соединение (1)): ТСХ: Rf 0,57 (хлороформ:метанол=9:1), ЯМР (300 МГц, ДМСО-d6): Пример 2(38) 3-(4-(3-фторфеноксиметил)-2-(((4-(нафталин-2-ил)тетрагидро-2Н-пиран-4-ил)амино)карбонил)фенил)пропановая кислота ТСХ: Rf 0,54 (хлороформ:метанол=9:1), ЯМР (300 МГц, ДМСО-d6): Пример 2(39) 3-(4-(3-метилфеноксиметил)-2-(((4-(нафталин-2-ил)тетрагидро-2Н-пиран-4-ил)амино)карбонил)фенил)пропановая кислота ТСХ: Rf 0,59 (хлороформ:метанол=9:1), ЯМР (300 МГц, ДМСО-d6): Пример 2(40) 3-(4-(2,5-диметилфеноксиметил)-2-(((4-(2-фенилэтил)тетрагидро-2Н-пиран-4-ил)амино)карбонил)фенил)пропановая кислота ТСХ: Rf 0,53 (хлороформ:метанол=9:1), ЯМР (300 МГц, ДМСО-d6): Пример 2(41) 3-(2-(((4-(бензофуран-2-ил)тетрагидро-2Н-пиран-4-ил)амино)карбонил)-4-(2,5-диметилфеноксиметил)фенил)пропановая кислота ТСХ: Rf 0,53 (хлороформ:метанол=9:1), ЯМР (300 МГц, ДМСО-d6): Пример 2(42) 3-(2-(((4-(бензтиофен-2-ил)тетрагидро-2Н-пиран-4-ил)амино)карбонил)-4-(2,5-дифторфеноксиметил)фенил)пропановая кислота ТСХ: Rf 0,48 (хлороформ:метанол=10:1), ЯМР (300 МГц, ДМСО-d6): Пример 2(43) 3-(2-(((4-(бензтиофен-2-ил)тетрагидро-2Н-пиран-4-ил)амино)карбонил)-4-(2,5-диметилфеноксиметил)фенил)пропановая кислота ТСХ: Rf 0,48 (хлороформ:метанол=10:1), ЯМР (300 МГц, ДМСО-d6): Пример 2(44) 3-(4-(2,5-дифторфеноксиметил)-2-(((4-(2-(2-фторфенил)этил) тетрагидро-2Н-пиран-4-ил)амино)карбонил)фенил)пропановая кислота ТСХ: Rf 0,35 (гексан:этилацетат=1:1, 1% уксусная кислота), ЯМР (300 МГц, CDCl3): Пример 2(45) 3-(4-(2,5-диметилфеноксиметил)-2-(((4-(2-(2-фторфенил)этил) тетрагидро-2Н-пиран-4-ил)амино)карбонил)фенил)пропановая кислота ТСХ: Rf 0,40 (гексан:этилацетат=1:1, 1% уксусная кислота), ЯМР (300 МГц, CDCl3): Пример 2(46) 3-(4-(2,5-диметилфеноксиметил)-2-(((4-(2-(4-фторфенил)этил) тетрагидро-2Н-пиран-4-ил)амино)карбонил)фенил)пропановая кислота ТСХ: Rf 0,50 (хлороформ:метанол=9:1), ЯМР (300 МГц, CDCl3): Пример 2(47) 3-(4-(2,5-дифторфеноксиметил)-2-(((4-(2-(3-фторфенил)этил) тетрагидро-2Н-пиран-4-ил)амино)карбонил)фенил)пропановая кислота ТСХ: Rf 0,50 (хлороформ:метанол=9:1), ЯМР (300 МГц, CDCl3): Пример 2(48) 3-(4-(2,5-диметилфеноксиметил)-2-(((4-(2-(3-фторфенил)этил) тетрагидро-2Н-пиран-4-ил)амино)карбонил)фенил)пропановая кислота ТСХ: Rf 0,50 (хлороформ:метанол=9:1), ЯМР (300 МГц, CDCl3): Пример 2(49) 3-(4-(6-фториндол-1-илметил)-2-(((4-(2-фенилэтил)тетрагидро-2Н-пиран-4-ил)амино)карбонил)фенил)пропановая кислота ЯМР (300 МГц, CDCl3): Пример 2(50) 3-(4-(6-фториндол-3-илметил)-2-(((4-(2-фенилэтил)тетрагидро-2Н-пиран-4-ил)амино)карбонил)фенил)пропановая кислота ЯМР (300 МГц, CDCl3): Пример 2(51) 3-(4-(3-метилиндол-1-илметил)-2-(((4-(2-фенилэтил)тетрагидро-2Н-пиран-4-ил)амино)карбонил)фенил)пропановая кислота ЯМР (300 МГц, CDCl3): Пример 2(52) 3-(4-(3-цианфеноксиметил)-2-(((4-(2-фенилэтил)тетрагидро-2Н-пиран-4-ил)амино)карбонил)фенил)пропановая кислота ЯМР (300 МГц, CDCl3): Пример 2(53) 3-(4-(6-фториндол-1-илметил)-2-(((4-(нафталин-2-ил)тетрагидро-2Н-пиран-4-ил)амино)карбонил)фенил)пропановая кислота ЯМР (300 МГц, CDCl3): Пример 2(54) 3-(4-(6-фториндол-3-илметил)-2-(((4-(нафталин-2-ил)тетрагидро-2Н-пиран-4-ил)амино)карбонил)фенил)пропановая кислота ЯМР (300 МГц, CDCl3): Пример 2(55) 3-(4-(3-метилиндол-1-илметил)-2-(((4-(нафталин-2-ил)тетрагидро-2Н-пиран-4-ил)амино)карбонил)фенил)пропановая кислота ЯМР (300 МГц, CDCl3): Пример 2(56) 3-(4-(6-фториндол-1-илметил)-2-(((4-(2-(3-фторфенил)этил)тетрагидро-2Н-пиран-4-ил)амино)карбонил)фенил)пропановая кислота ЯМР (300 МГц, CDCl3): Пример 2(57) 3-(2-(((4-(2-(3-фторфенил)этил)тетрагидро-2Н-пиран-4-ил)амино)карбонил)-4-(3-метилиндол-1-илметил)фенил)пропановая кислота ЯМР (300 МГц, CDCl3): Пример 2(58) 3-(4-(3-цианфеноксиметил)-2-(((4-(2-(3-фторфенил)этил)тетрагидро-2Н-пиран-4-ил)амино)карбонил)фенил)пропановая кислота ЯМР (300 МГц, CDCl3): Пример 2(59) 3-(4-(2,5-дифторфеноксиметил)-2-(((4-(2-(4-фторфенил)этил)тетрагидро-2Н-пиран-4-ил)амино)карбонил)фенил)пропановая кислота ЯМР (300 МГц, CDCl3): Ссылочный пример 12 7-метоксиметоксикумарин В атмосфере аргона к раствору 7-гидроксикумарина (100 г) по каплям приливают изопропилэтиламин (161 мл) в безводном ДМФ (500 мл), метоксиметилхлорид (70,3 мл) при 0°С. Смесь перемешивают в течение 4 часов при комнатной температуре. К реакционной смеси добавляют смесь гексан/этилацетат (2/1) и насыщенный водный раствор бикарбоната натрия и экстрагируют этилацетатом. Органический слой промывают водой и насыщенным водным раствором хлорида натрия, сушат над сульфатом магния и концентрируют, в результате чего получают указанное в заголовке соединение (74,1 г), имеющее следующие физические характеристики. ТСХ: Rf 0,50 (гексан:этилацетат=3:2), ЯМР (300 МГц, CDCl3): Ссылочный пример 13 Метиловый эфир 3-(4-метоксиметокси-2-гидроксифенил)пропеновой кислоты Указанное в заголовке соединение (100 г), имеющее следующие физические характеристики, получают при использовании соединения, полученного в ссылочном примере 12 (74,1 г), по той же методике, что и серия реакций ссылочного примера 3. ТСХ: Rf 0,38 (гексан:этилацетат=2:1), ЯМР (300 МГц, CDCl3): Ссылочный пример 14 Метиловый эфир 3-(4-метоксиметокси-2-гидроксифенил)пропановой кислоты Раствор соединения, полученного в ссылочном примере 13 (90 г), и 10% палладий на углероде (8,4 г) в метаноле (1000 мл) перемешивают в течение 7 часов при комнатной температуре в атмосфере газообразного водорода. Реакционную смесь фильтруют через целит (торговая марка). Фильтрат концентрируют и получают указанное в заголовке соединение (92,1 г), имеющее следующие физические характеристики. ТСХ: Rf 0,47 (гексан:этилацетат=3:2), ЯМР (300 МГц, CDCl3): Ссылочный пример 15 Метиловый эфир 3-(4-метоксиметокси-2-карбоксифенил)пропановой кислоты Указанное в заголовке соединение (51,4 г), имеющее следующие физические характеристики, получают при использовании соединения, полученного в ссылочном примере 14 (82,8 г), по той же методике, что и серия реакций в ссылочном примере 5. ТСХ: Rf 0,34 (гексан:этилацетат=1:1), ЯМР (300 МГц, CDCl3): Ссылочный пример 16 Сложный метиловый эфир 3-(2-((((1R)-1-(нафталин-1-ил)этил)амино)карбонил-4-метоксиметоксифенил)пропановой кислоты Указанное в заголовке соединение (15,9 г), имеющее следующие физические характеристики, получают при использовании соединения, полученного в ссылочном примере 15 (10 г), по той же методике, что и серия реакций в примере 1. ТСХ: Rf 0,69 (гексан:этилацетат=1:1), ЯМР (300 МГц, CDCl3): Ссылочный пример 17 3-(2-((((1R)-1-(нафталин-1-ил)этил)амино)карбонил-4-метоксиметоксифенил)пропанол В атмосфере аргона к раствору соединения, полученного в ссылочном примере 16 (15,9 г), в безводном тетрагидрофуране (100 мл) добавляют борогидрид лития (2,03 г) на ледяной бане. Смесь перемешивают в течение 4 часов при 60°С. К реакционной смеси добавляют воду и насыщенный раствор хлорида аммония. Смесь экстрагируют этилацетатом. Органический слой промывают водой и насыщенным водным раствором хлорида натрия, сушат над сульфатом магния и концентрируют, в результате чего получают указанное в заголовке соединение (13,2 г), имеющее следующие физические характеристики. ТСХ: Rf 0,32 (гексан:этилацетат=1:1), ЯМР (300 МГц, CDCl3): Ссылочный пример 18 Метансульфонат 3-(2-((((1R)-1-(нафталин-1-ил)этил)амино)карбонил-4-метоксиметоксифенил)пропила В атмосфере аргона к раствору соединения, полученного в ссылочном примере 17 (13,2 г), и триэтиламина (7,80 мл) в безводном ТГФ (80 мл) по каплям приливают мезилхлорид (3,18 мл) на ледяной бане. Смесь перемешивают в течение 10 минут. Реакционную смесь разбавляют этилацетатом. Разбавленный раствор промывают водой и насыщенным водным раствором хлорида натрия, сушат над сульфатом магния и концентрируют, в результате чего получают указанное в заголовке соединение (22,3 г), имеющее следующие физические характеристики. ТСХ: Rf 0,50 (гексан:этилацетат=1:1). Ссылочный пример 19 4-(2-((((1R)-1-(нафталин-1-ил)этил)амино)карбонил-4-метоксиметоксифенил)бутанонитрил В атмосфере аргона раствор соединения, полученного в ссылочном примере 18 (22,3 г), и цианид натрия (2,01 мл) в безводном диметилсульфоксиде (100 мл) перемешивают в течение 5 часов при 80°С. К реакционной смеси добавляют воду на ледяной бане. Смесь экстрагируют этилацетатом. Органический слой промывают водой и насыщенным водным раствором хлорида натрия, сушат над сульфатом магния и концентрируют. Остаток кристаллизуют из смеси простой т-бутилметиловый эфир/гексан и получают указанное в заголовке соединение (10,2 г), имеющее следующие физические характеристики. ТСХ: Rf 0,32 (гексан:этилацетат=1:1). ЯМР (300 МГц, CDCl3): Ссылочный пример 20 4-(2-((((1R)-1-(нафталин-1-ил)этил)амино)карбонил-4-метоксиметоксифенил)бутановая кислота К раствору соединения, полученного в ссылочном примере 19 (7,13 г), в этаноле (30 мл) добавляют 33% водный раствор гидроксида калия (10 мл). Смесь перемешивают в течение ночи при 80°С. К реакционной смеси добавляют 6Н соляную кислоту и смесь экстрагируют этилацетатом. Органический слой промывают водой и насыщенным водным раствором хлорида натрия, сушат над безводным сульфатом магния и концентрируют, в результате чего получают указанное в заголовке соединение (9,39 г), имеющее следующие физические характеристики. ТСХ: Rf 0,33 (хлороформ:метанол=19:1). ЯМР (300 МГц, CDCl3): Ссылочный пример 21 Метиловый эфир 4-(2-((((1R)-1-(нафталин-1-ил)этил)амино)карбонил-4-гидроксифенил)бутановой кислоты К раствору соединения, полученного в ссылочном примере 20 (9,39 г), в метаноле (40 мл) добавляют концентрированную серную кислоту (1 мл). Смесь перемешивают в течение ночи при 60°С. К реакционной смеси добавляют воду на ледяной бане и смесь экстрагируют этилацетатом. Органический слой промывают водой и насыщенным водным раствором хлорида натрия, сушат над безводным сульфатом магния и концентрируют. Остаток кристаллизуют из гексана и получают указанное в заголовке соединение (6,45 г), имеющее следующие физические характеристики. ТСХ: Rf 0,45 (гексан:этилацетат=1:1). ЯМР (300 МГц, CDCl3): Ссылочный пример 22 Бензиловый эфир 2-бром-5-нитробензойной кислоты В атмосфере аргона к раствору 2-бром-5-нитробензойной кислоты (5,14 г) в ДМФ добавляют бензилбромид (2,73 мл) и карбонат калия (4,33 г). Смесь перемешивают в течение 30 минут при комнатной температуре. К реакционной смеси добавляют воду и смесь экстрагируют этилацетатом. Органический слой промывают водой и насыщенным водным раствором хлорида натрия, сушат над сульфатом магния и концентрируют. Остаток промывают смесью гексан/этилацетат и получают указанное в заголовке соединение (6,59 г), имеющее следующие физические характеристики. ТСХ: Rf 0,62 (гексан:этилацетат=4:1). ЯМР (300 МГц, CDCl3): Ссылочный пример 23 Бензиловый эфир 2-(2-этоксикарбонилэтенил)-5-нитробензойной кислоты В атмосфере аргона к раствору соединения, полученного в ссылочном примере 22 (5,57 г), в диметилсульфоксиде (30 мл) добавляют этиловый эфир акриловой кислоты (3,6 мл) ацетат палладия (II) (186 мг), 1,1′-бис(дифенилфосфино)ферроцен (460 мг) и триэтиламин (11,6 мл). Смесь перемешивают в течение 4 часов при 80°С. К реакционной смеси добавляют этилацетат и воду и смесь фильтруют через целит (торговая марка). Фильтрат экстрагируют этилацетатом. Органический слой промывают водой и насыщенным водным раствором хлорида натрия, сушат над сульфатом магния и концентрируют. Остаток очищают колоночной хроматографией на силикагеле и получают указанное в заголовке соединение (5,33 г), имеющее следующие физические характеристики. ТСХ: Rf 0,45 (гексан:этилацетат=6:1). ЯМР (300 МГц, CDCl3): Ссылочный пример 24 2-(2-этоксикарбонилэтил)-5-аминобензойная кислота К раствору соединения, полученного в ссылочном примере 23 (5,33 г), в этаноле (40 мл)/этилацетате (10 мл) добавляют 10% палладий на углероде (500 мг). Смесь перемешивают в течение 4 часов при комнатной температуре в атмосфере газообразного водорода. Реакционную смесь фильтруют через целит (торговая марка). Фильтрат концентрируют. Остаток промывают смесью гексан/этилацетат и получают указанное в заголовке соединение (2,72 г), имеющее следующие физические характеристики. ТСХ: Rf 0,70 (этилацетат). ЯМР (300 МГц, CDCl3): Ссылочный пример 25 2-(2-этоксикарбонилэтил)-5-(т-бутоксикарбониламино)бензойная кислота Раствор соединения, полученного в ссылочном примере 24 (4,00 г), и т-бутилдикарбонат (5,52 г) в ТГФ (8 мл) перемешивают в течение 2 часов при 65°С. Реакционную смесь концентрируют. Остаток кристаллизуют из смеси простой т-бутилметиловый эфир/гексан и получают указанное в заголовке соединение (4,86 г), имеющее следующие физические характеристики. ТСХ: Rf 0,38 (гексан:этилацетат=1:2). ЯМР (300 МГц, CDCl3): Пример 3 Метиловый эфир 4-(4-(1,3-диоксаиндан-5-илокси)-2-((((1R)-1-(нафталин-1-ил)этил)амино)карбонил)фенил)бутановой кислоты Раствор соединения, полученного в ссылочном примере 21 (250 мг), 3,4-(метилендиокси)фенилбороновую кислоту (318 мг), ацетат меди (II) (116 мг), триэтиламин (445 мкл) и молекулярные сита 4Å (63 мг) в безводном метиленхлориде перемешивают в течение 3 дней при комнатной температуре. Реакционную смесь фильтруют через целит (торговая марка) и фильтрат разбавляют этилацетатом. Разбавленный раствор последовательно промывают насыщенным раствором хлорида аммония, водой и насыщенным водным раствором хлорида натрия, сушат над безводным сульфатом магния и концентрируют. Остаток очищают колоночной хроматографией на силикагеле (гексан:этилацетат=3:1) и получают указанное в заголовке соединение (85 мг), имеющее следующие физические характеристики. ТСХ: Rf 0,44 (гексан:этилацетат=2:1). ЯМР (300 МГц, CDCl3): Пример 4 4-(4-(1,3-диоксаиндан-5-илокси)-2-((((1R)-1-(нафталин-1-ил)этил)амино)карбонил)фенил)бутановая кислота Указанное в заголовке соединение (74 мг), имеющее следующие физические характеристики, получают при использовании соединения, полученного в примере 3 (80 мг), по той же методике, что и серия реакций ссылочного примера 2. ТСХ: Rf 0,56 (хлороформ:метанол=9:1). ЯМР (300 МГц, CDCl3): Пример 4(1)-4(48) Следующие соединения получают по той же методике, что и серия реакций ссылочного примера 16 Пример 4(1) 4-(4-(3-метилфенокси)-2-((((1R)-1-(нафталин-1-ил)этил)амино)карбонил)фенил)бутановая кислота ТСХ: Rf 0,50 (хлороформ:метанол=9:1). ЯМР (300 МГц, CDCl3): Пример 4(2) 4-(4-(3-цианфенокси)-2-((((1R)-1-(нафталин-1-ил)этил)амино)карбонил)фенил)бутановая кислота ТСХ: Rf 0,25 (гексан:этилацетат=1:1). ЯМР (300 МГц, CDCl3): Пример 4(3) 4-(4-(3,4-диметилфенокси)-2-((((1R)-1-(нафталин-1-ил)этил)амино)карбонил)фенил)бутановая кислота ТСХ: Rf 0,44 (гексан:этилацетат=1:1). ЯМР (300 МГц, CDCl3): Пример 4(4) 4-(4-(индан-5-илокси)-2-((((1R)-1-(нафталин-1-ил)этил)амино)карбонил)фенил)бутановая кислота ТСХ: Rf 0,42 (гексан:этилацетат=1:1). ЯМР (300 МГц, CDCl3): Пример 4(5) 4-(4-(3,5-диметилфенокси)-2-((((1R)-1-(нафталин-1-ил)этил)амино)карбонил)фенил)бутановая кислота ТСХ: Rf 0,39 (гексан:этилацетат=1:1, 1% уксусная кислота). ЯМР (300 МГц, CDCl3): Пример 4(6) 4-(4-(3-метилтиофенокси)-2-((((1R)-1-(нафталин-1-ил)этил)амино)карбонил)фенил)бутановая кислота ТСХ: Rf 0,35 (гексан:этилацетат=1:1, 1% уксусная кислота). ЯМР (300 МГц, CDCl3): Пример 4(7) 3-(2-((((1R)-1-(3,5-диметилфенил)-3-метилбутил)амино)карбонил)-4-(3-фторфениламино)фенил)пропановая кислота ТСХ: Rf 0,53 (хлороформ:метанол=9:1). ЯМР (300 МГц, ДМСО-d6): Пример 4(8) 3-(4-(3,5-диметилфениламино)-2-((((1R)-1-(3,5-диметилфенил)-3-метилбутил)амино)карбонил)фенил)пропановая кислота ТСХ: Rf 0,37 (хлороформ:метанол=19:1). ЯМР (300 МГц, CDCl3): Пример 4(9) 3-(2-((((1R)-1-(3,5-диметилфенил)-3-метилбутил)амино)карбонил)-4-(3-метилфениламино)фенил)пропановая кислота ТСХ: Rf 0,33 (хлороформ:метанол=19:1). ЯМР (300 МГц, CDCl3): Пример 4(10) 3-(4-(3-цианфениламино)-2-((((1R)-1-(3,5-диметилфенил)-3-метилбутил)амино)карбонил)фенил)пропановая кислота ТСХ: Rf 0,61 (гексан:этилацетат=1:1, 1% уксусная кислота). ЯМР (300 МГц, ДМСО-d6): Пример 4(11) 3-(4-(3,5-дифторфениламино)-2-((((1R)-1-(3,5-диметилфенил)-3-метилбутил)амино)карбонил)фенил)пропановая кислота ТСХ: Rf 0,76 (гексан:этилацетат=1:1, 1% уксусная кислота). ЯМР (300 МГц, ДМСО-d6): Пример 4(12) 3-(2-((((1R)-1-(3,5-диметилфенил)-3-метилбутил)амино)карбонил)-4-(1,3-диоксаиндан-5-иламино)фенил)пропановая кислота ТСХ: Rf 0,52 (хлороформ:метанол=9:1). ЯМР (300 МГц, CDCl3): Пример 4(13) 3-(4-(3,5-диметилфенокси)-2-((((1R)-1-(3,5-диметилфенил)-3-метилбутил)амино)карбонил)фенил)пропановая кислота ТСХ: Rf 0,47 (гексан:этилацетат=1:1, 1% уксусная кислота). ЯМР (300 МГц, CDCl3): Пример 4(14) 3-(4-(3,5-дифторфенокси)-2-((((1R)-1-(3,5-диметилфенил)-3-метилбутил)амино)карбонил)фенил)пропановая кислота ТСХ: Rf 0,47 (гексан:этилацетат=1:1, 1% уксусная кислота). ЯМР (300 МГц, CDCl3): Пример 4(15) 3-(4-(3-цианфенокси)-2-((((1R)-1-(3,5-диметилфенил)-3-метилбутил)амино)карбонил)фенил)пропановая кислота ТСХ: Rf 0,44 (гексан:этилацетат=1:1, 1% уксусная кислота). ЯМР (300 МГц, CDCl3): Пример 4(16) 4-(4-(3,5-диметилфенокси)-2-((((1R)-1-(нафталин-2-ил)этил)амино)карбонил)фенил)бутановая кислота ТСХ: Rf 0,47 (хлороформ:метанол=10:1). ЯМР (300 МГц, CDCl3): Пример 4(17) 3-(4-(3,5-диметилфенокси)-2-((((1R)-1-(нафталин-1-ил)этил)амино)карбонил)фенил)пропановая кислота ТСХ: Rf 0,47 (хлороформ:метанол=10:1). ЯМР (300 МГц, CDCl3): Пример 4(18) 3-(4-(3,5-диметилфенокси)-2-(((4-(нафталин-2-ил)тетрагидро-2Н-пиран-4-ил)амино)карбонил)фенил)пропановая кислота ТСХ: Rf 0,45 (хлороформ:метанол=10:1). ЯМР (300 МГц, CDCl3): Пример 4(19) 3-(4-(3,5-диметилфенокси)-2-((((1R)-1-(нафталин-2-ил)этил)амино)карбонил)фенил)пропановая кислота ТСХ: Rf 0,47 (хлороформ:метанол=10:1). ЯМР (300 МГц, CDCl3): Пример 4(20) 3-(4-(3,5-диметилфенокси)-2-((((1R)-1-(3-метилфенил)-3-метилбутил)амино)карбонил)фенил)пропановая кислота ТСХ: Rf 0,47 (хлороформ:метанол=10:1). ЯМР (300 МГц, CDCl3): Пример 4(21) 3-(4-(3-метилфениламино)-2-(((4-(нафталин-2-ил)тетрагидро-2Н-пиран-4-ил)амино)карбонил)фенил)пропановая кислота ТСХ: Rf 0,48 (хлороформ:метанол=10:1). ЯМР (300 МГц, ДМСО-d6): Пример 4(22) 3-(4-(3,5-диметилфениламино)-2-(((4-(нафталин-2-ил)тетрагидро-2Н-пиран-4-ил)амино)карбонил)фенил)пропановая кислота ТСХ: Rf 0,49 (хлороформ:метанол=10:1). ЯМР (300 МГц, ДМСО-d6): Пример 4(23) 4-(4-(3,5-дифторфениламино)-2-((((1R)-1-(нафталин-1-ил)этил)амино)карбонил)фенил)бутановая кислота ТСХ: Rf 0,52 (метиленхлорид:метанол=9:1). ЯМР (300 МГц, CDCl3): Пример 4(24) 4-(4-(3-фторфениламино)-2-((((1R)-1-(нафталин-1-ил)этил)амино)карбонил)фенил)бутановая кислота ТСХ: Rf 0,48 (метиленхлорид:метанол=9:1). ЯМР (300 МГц, CDCl3): Пример 4(25) 4-(4-(3-метилфениламино)-2-((((1R)-1-(нафталин-1-ил)этил)амино)карбонил)фенил)бутановая кислота ТСХ: Rf 0,44 (метиленхлорид:метанол=9:1). ЯМР (300 МГц, CDCl3): Пример 4(26) 4-(4-(3,5-дифторфениламино)-2-((((1R)-1-(нафталин-1-ил)этил)амино)карбонил)фенил)бутановая кислота ТСХ: Rf 0,44 (метиленхлорид:метанол=9:1). ЯМР (300 МГц, CDCl3): Пример 4(27) 4-(4-(1,3-диоксаиндан-5-иламино)-2-((((1R)-1-(нафталин-1-ил)этил)амино)карбонил)фенил)бутановая кислота ТСХ: Rf 0,52 (метиленхлорид:метанол=9:1). ЯМР (300 МГц, CDCl3): Пример 4(28) 4-(4-(3-цианфениламино)-2-((((1R)-1-(нафталин-1-ил)этил)амино)карбонил)фенил)бутановая кислота ТСХ: Rf 0,54 (метиленхлорид:метанол=9:1). ЯМР (300 МГц, CDCl3): Пример 4(29) 3-(4-(3,5-диметилфениламино)-2-((((1R)-1-(3-метилфенил)-3-метилбутил)амино)карбонил)фенил)пропановая кислота ТСХ: Rf 0,56 (хлороформ:метанол=9:1). ЯМР (300 МГц, ДМСО-d6): Пример 4(30) 3-(4-(3,5-диметилфениламино)-2-((((1R)-1-(нафталин-1-ил)этил)амино)карбонил)фенил)пропановая кислота ТСХ: Rf 0,51 (хлороформ:метанол=9:1). ЯМР (300 МГц, ДМСО-d6): Пример 4(31) 3-(4-(3,5-диметилфениламино)-2-((((1R)-1-(нафталин-2-ил)этил)амино)карбонил)фенил)пропановая кислота ТСХ: Rf 0,53 (хлороформ:метанол=9:1). ЯМР (300 МГц, ДМСО-d6): Пример 4(32) 3-(4-(3,5-диметилфениламино)-2-(((4-(3,5-диметилфенил)тетрагидро-2Н-пиран-4-ил)амино)карбонил)фенил) пропановая кислот ТСХ: Rf 0,53 (хлороформ:метанол=9:1). ЯМР (300 МГц, ДМСО-d6): Пример 4(33) 3-(4-(3,5-диметилфениламино)-2-(((4-(3-метилфенил)тетрагидро-2Н-пиран-4-ил)амино)карбонил)фенил)пропановая кислот ТСХ: Rf 0,44 (хлороформ:метанол=9:1). ЯМР (300 МГц, ДМСО-d6): Пример 4(34) 3-(4-(3,5-диметилфенокси)-2-(((4-(3-метилфенил)тетрагидро-2Н-пиран-4-ил)амино)карбонил)фенил)пропановая кислота ТСХ: Rf 0,49 (хлороформ:метанол=9:1). ЯМР (300 МГц, CDCl3): Пример 4(35) 3-(2-(((4-(бензофуран-2-ил)тетрагидро-2Н-пиран-4-ил)амино)карбонил)-4-(3,5-диметилфенокси)фенил)пропановая кислота ТСХ: Rf 0,52 (хлороформ:метанол=9:1). ЯМР (300 МГц, CDCl3): Пример 4(36) 3-(2-(((4-(бензофуран-2-ил)тетрагидро-2Н-пиран-4-ил)амино)карбонил)-4-(3,5-диметилфениламино)фенил)пропановая кислота ТСХ: Rf 0,50 (хлороформ:метанол=9:1). ЯМР (300 МГц, CDCl3): Пример 4(37) 3-(4-(3,5-диметилфенокси)-2-(((4-(2-фенилэтил)тетрагидро-2Н-пиран-4-ил)амино)карбонил)фенил)пропановая кислота ТСХ: Rf 0,50 (хлороформ:метанол=10:1). ЯМР (300 МГц, ДМСО-d6): Пример 4(38) 3-(4-(3,5-диметилфенокси)-2-(((4-(3,5-диметилфенил)тетрагидро-2Н-пиран-4-ил)амино)карбонил)фенил)пропановая кислота ТСХ: Rf 0,50 (хлороформ:метанол=10:1). ЯМР (300 МГц, ДМСО-d6): Пример 4(39) 3-(4-(3,5-диметилфениламино)-2-(((4-(2-фенилэтил)тетрагидро-2Н-пиран-4-ил)амино)карбонил)фенил)пропановая кислота ТСХ: Rf 0,48 (хлороформ:метанол=10:1). ЯМР (300 МГц, ДМСО-d6): Пример 4(40) 3-(2-(((4-(3,5-диметилфенил)тетрагидро-2Н-пиран-4-ил)амино)карбонил)-4-(3-метилфениламино)фенил)пропановая кислота ТСХ: Rf 0,49 (хлороформ:метанол=9:1). ЯМР (300 МГц, ДМСО-d6): Пример 4(41) 3-(2-(((4-(бензтиофен-2-ил)тетрагидро-2Н-пиран-4-ил)амино)карбонил)-4-(3,5-диметилфенокси)фенил)пропановая кислота ТСХ: Rf 0,49 (хлороформ:метанол=10:1). ЯМР (300 МГц, ДМСО-d6): Пример 4(42) 3-(2-(((4-(бензтиофен-2-ил)тетрагидро-2Н-пиран-4-ил)амино)карбонил)-4-(3,5-диметилфениламино)фенил)пропановая кислота ТСХ: Rf 0,47 (хлороформ:метанол=10:1). ЯМР (300 МГц, ДМСО-d6): Пример 4(43) 3-(4-(3,5-диметилфенокси)-2-(((4-(2-(4-фторфенил)этил)тетрагидро-2Н-пиран-4-ил)амино)карбонил)фенил)пропановая кислота ТСХ: Rf 0,52 (хлороформ:метанол=9:1). ЯМР (300 МГц, CDCl3): Пример 4(44) 3-(4-(3,5-диметилфениламино)-2-(((4-(2-(4-фторфенил)этил)тетрагидро-2Н-пиран-4-ил)амино)карбонил)фенил)пропановая кислота ТСХ: Rf 0,50 (хлороформ:метанол=9:1). ЯМР (300 МГц, CDCl3): Пример 4(45) 3-(4-(3,5-диметилфениламино)-2-(((4-(2-(2-фторфенил)этил)тетрагидро-2Н-пиран-4-ил)амино)карбонил)фенил)пропановая кислота ТСХ: Rf 0,36 (гексан:этилацетат=1:1, 1% уксусная кислота). ЯМР (300 МГц, CDCl3): Пример 4(46) 3-(4-(3,5-диметилфенокси)-2-(((4-(2-(2-фторфенил)этил)тетрагидро-2Н-пиран-4-ил)амино)карбонил)фенил)пропановая кислота ТСХ: Rf 0,39 (гексан:этилацетат=1:1, 1% уксусная кислота). ЯМР (300 МГц, ДМСО-d6): Пример 4(47) 3-(4-(3,5-диметилфенокси)-2-(((4-(2-(3-фторфенил)этил)тетрагидро-2Н-пиран-4-ил)амино)карбонил)фенил)пропановая кислота ТСХ: Rf 0,52 (хлороформ:метанол=9:1). ЯМР (300 МГц, CDCl3): Пример 4(48) 3-(4-(3,5-диметилфениламино)-2-(((4-(2-(3-фторфенил)этил)тетрагидро-2Н-пиран-4-ил)амино)карбонил)фенил)пропановая кислота ТСХ: Rf 0,52 (хлороформ:метанол=9:1). ЯМР (300 МГц, CDCl3): Пример получения композиции 1 Следующие компоненты смешивают обычным способом и штампуют с получением 100 таблеток, каждая из которых содержит 5 мг активно действующего ингредиента:
Пример получения композиции 2 Следующие компоненты смешивают обычным способом. Растворы стерилизуют обычным методом, помещают в ампулы в количестве 5 мл и подвергают сублимационной сушке с получением 100 ампул, каждая из которых содержит 20 мг активно действующего ингредиента.
Пример испытаний 1 Подтверждено, что соединения настоящего изобретения сильно связывают и проявляют антагонистическое действие на рецептор PGE2, особенно на рецептор ЕР3, например, по результатам следующих экспериментов: (i) Анализ связывания с использованием клеточной экспрессии простаноидных рецепторных подтипов Получение мембранной фракции осуществляют в соответствии с методом Sugimoto et al., [J.Biol.Chem., 6463-6466 (1992)] с использованием СНО клеточной экспрессии простаноидных рецепторных подтипов (маус ЕР1, ЕР2, ЕР3а и ЕР). Стандартную смесь для анализа, содержащую мембранную фракцию (50 мкл), [3H]-PGE2 в конечном объеме 150 мкл, инкубируют в течение 1 часа при комнатной температуре. Реакцию обрывают добавлением 3 мл охлажденного льдом буфера. Смесь быстро фильтруют через стеклянный фильтр (GF/B) при пониженном давлении. Радиоактивность, связанную с фильтрами, измеряют жидкостным сцинтилляционным счетчиком. Величины Kd и Bmax определяют по графикам Скэтчарда [Ann. N.Y. Acad. Sci., 51, 660(1949)]. Неспецифическое связывание определяют как количество, связанное в присутствии избытка (10 мкМ) не меченного PGE3. В экспериментах по конкуренции специфического анализа связывания [3H]-PGE2, [3H]-PGE2 добавляют в концентрации 2,5 нМ, а испытуемое соединение настоящего изобретения добавляют в различных концентрациях. Во всех реакциях используют следующий буфер. Буфер: 10 мМ фосфата калия (рН 6,0), 1 мМ ЭДТА, 10 мМ MgCl2, 0,1M NaCl. [C] означает концентрированный [3H]-PGE2. Константу ингибирования (Ki) каждого соединения рассчитывают по следующему уравнению:
В результате отмечено, что Ki соединения настоящего изобретения составляет величину ниже 100 нМ, и оно сильно связывает рецептор ЕР3. (ii) ЕР3 антагонистическая активность с использованием клеточной экспрессии простаноидных рецепторных подтипов. Получение СНО клеточного экспрессивного маус ЕР3 рецепторного подтипа осуществляют в соответствии с методом Sugimoto et al., [J. Biol. Chem., 267, 6463-6466 (1992)]. Клетки культивируют в 96-ячеечных микроплатах (104 клеток/ячейка) в течение двух дней перед экспериментом. После промывания каждой ячейки 100 мкл PBS добавляют Fura-2AM в ячейку на 60 минут. После промывания каждой ячейки HEPES добавляют при 37°С испытываемое соединение и PGE2 (10 нМ). Измеряют отклонения внутриклеточной концентрации кальция. А именно, осуществляют возбуждение длины волны 340/380 нм и измеряют флуоресценцию на 510 нм, затем рассчитывают отношение интенсивностей флуоресценции. Кроме того, рассчитывают антагонистическую активность испытываемого соединения как скорость ингибирования при условии использования PGE2 (10 нМ) как агониста, а затем рассчитывают величину IC50. В результате отмечено, что IC50 соединения настоящего изобретения составляет величину ниже 100 нМ, а соединения настоящего изобретения обладают сильным действием на EP3 рецептор. Пример испытания 2 Супрессивное действие соединений настоящего изобретения на болевую реакцию индуцированной иммуностимулятором модели артрита, которая представляет собой болевую модель хронического артрита, исследуют следующим образом с использованием реакции писка в качестве показателя. Используют мужские особи крыс Льюиса в возрасте семи недель. После измерения объема левой задней лапы каждой крысы 600 мкг/100 мкл сухих клеток Mycobacterium butyricum (Difco), суспендированных в жидком парафине, впрыскивают как иммуностимулятор под кожу в правую заднюю лапу для получения крыс с иммуностимулированным артритом. Через 22 дня с момента инъекции иммуностимулятора проводят сгибание и вытягивание коленного сустава левой задней лапы пять раз перед пероральным введением испытываемого вещества, и крыс, которые пищат все пять раз, используют в эксперименте. В зависимости от объема эдемы левой задней лапы в предшествующий день проводят группировку, когда в одну группу включают десять крыс. Каждое соединение настоящего изобретения (1, 3, 10 и 30 мг/кг) и 0,5% водный раствор метилцеллюлозы (5 мл/кг) в качестве контрольного вещества вводят перорально. Реакцию писка наблюдают через 1, 2, 3 и 4 часов с начала введения. Оценку обезболивающего действия, в которой реакция писка была использована как показатель, проводят следующим образом, так что на каждой стадии наблюдения сгибание и вытягивание коленного сустава левой задней лапы проводят пять раз, и тот случай, при котором писка не отмечено все пять раз, определяют как отрицательную реакцию писка, тогда как особей, у которых реакция писка отрицательна при оценке в одной точке или более, определяют как положительную для реакции писка. Как результат, никаких особей, которые являются положительными по обезболивающему действию, не отмечено в контрольной группе, тогда как в группе, которой ввели соединение (I), например, положительных по обезболивающему действию особей отмечено от 10 мг/кг или ниже, причем отмечено обезволивающее действие антагониста рецептора EP3 по отношению к боли индуцированного иммуностимулятором артрита. Пример испытания 3 Обезболивающее действие соединения настоящего изобретения на индуцированную карагинином модель гипертензии, которая представляет собой модель боли острого воспаления, исследуют следующим образом с использованием задержки побега как показателя. Используют мужские особи крыс SD штамма возрастом семь недель. Тепловому стимулированию подвергают правую заднюю лапа каждой крысы с использованием измерительного устройства для подошвенного теста и времени измерения подъема лапы для побега как показателя задержки побега. В зависимости от задержки побега формируют группы, где каждая группа включает от 7 до 8 крыс, и перорально вводят каждое соединение настоящего изобретения (3, 10 и 30 мг/кг) и 0,5% водный раствор метилцеллюлозы (5 мл/кг) как контрольное вещество. Через 1 час с момента перорального введения испытываемого соединения подкожно вводят каррагинин (2 мг/100 мл), растворенный в физиологическом растворе, в пятку правой задней лапы крысы. Измеряют задержку побега в течение 3 дней после инъекции каррагинина. Как результат снижение задержки побега отмечено в контрольной группе при инъекции каррагинина и возникает гипертензия, тогда как в группе, которой ввели соединение (I), например, задержка побега была существенно высокой по сравнению с контрольной группой, не более чем 10 мг/кг, и отмечено улучшенное действие антагониста ЕР3 рецептора на индуцированную каррагинином гипертензию. Пример испытаний 4 Супрессивное действие соединений настоящего изобретения на модель поллакиурии, индуцированной сульпростоном, изучают следующим образом. Используют мужские особи крыс Crj: CD(SD) IGS с массой тела 300 г. Каждое соединение настоящего изобретения (3, 10, 30 и 100 мг/кг) и 0,5% водный раствор метилцеллюлозы (5 мл/кг) в качестве контрольного соединения вводят перорально. Через 0,5 часа с момента перорального введения испытываемого соединения подкожно вводят сульпростон (0,2 мг/4 мл/кг). В качестве неиндуцированной группы перорально вводят 0,5% водный раствор метилцеллюлозы, и через y часов подкожно вводят физиологический раствор соли. Проводят измерения мочеиспускания с момента сразу же после введения сульпростона и 3 часами позже. Измерение мочеиспускания проводят так, что в условиях неполучения пищи и воды животных помещают в метаболическую клетку, снабженную устройством измерения количества мочи, и проводят запись изменения массы собранной мочи во времени с использованием системы сбора данных. Случайные измерения для каждой группы были сделаны от 3 до 4 раза. В результате отмечено увеличение частоты мочеиспускания при подкожном введении сульпростона в контрольной группе, тогда как в группе, которой было введено соединение (I), например, частота мочеиспускания имела низкие значения от величины не более 30 мг/кг. Как результат этого отмечено супрессивное действие антагониста рецептора ЕР3 на поллакиурию, индуцированную сульпростоном. Пример испытаний 5 Супрессивное действие соединений настоящего изобретения на увеличения АСТН и кортикостерон, индуцированные сульпростоном, может быть изучено. Используют мужские особи крыс Crj: CD(SD) IGS. Соединение настоящего изобретения или водный раствор NaOH в качестве контрольного вводят перорально и через 1 час подкожно вводят сульпростон. В качестве неиндуцированной группы перорально вводят водный раствор NaOH и через 1 час подкожно вводят физиологический раствор соли. Через 1 час после введения сульпростона крыс обезглавливают и кровь собирают. После добавления в кровь ЭДТА и апротинина с последующим центрифугированием и концентрированием измеряют АСТН или кортикостерон в верхней жидкости. Пример испытания 6 Может быть изучено супрессивное действие соединений настоящего изобретения на спонтанное царапание NC мышей, когда спонтанно появляется дерматит. Используют NC мышей мужского пола, у которых спонтанно появляется дерматит. Мышей помещают в клетку для наблюдений, акклиматизируют их в течение 30 минут и автоматически записывают на видеопленке царапание в течение 1 часа. При обратной прокрутке пленки считают серии поведенческих особенностей мышей, которые царапают мордочку, уши, спинку или шейку и окружающие их области задней лапой, рассматривают их как царапание и считают их частоту. Каждые 30 минут перорально вводят соединение настоящего изобретения или 0,5% водный раствор метилцеллюлозы как контрольное соединение от 3-х до 5-и раз в целом. Осуществляют видеозапись в течение 1-3 часов с момента второго введения и считают число царапаний мышью. Пример испытаний 7 Когда 0,3% динитрофторбензол (ДНФБ) повторно наносят на кожу головы крыс Brown Noway (BN) для индуцирования дерматита, отмечено увеличение числа спонтанных царапаний в течение 24-27 часов с момента нанесения. Может быть изучено супрессивное действие соединения настоящего изобретения на царапание. На кожу головы крыс BN мужского пола наносят 0,3% ДНФБ, растворенный в смеси ацетон с оливковым маслом, в качестве гаптена. На неиндуцированную группу наносят смесь ацетона с оливковым маслом. Через одну неделю его наносят вновь на кожу головы и после этого три аппликации повторяют каждый день. В течение 24-27 часов после четвертого нанесения крыс снимают на видеопленку в автоматическом режиме. При обратной прокрутке пленки серию поведенческих характеристик крыс, которые царапают области вокруг мест нанесения гаптена левой ногой, фиксируют как царапания и считают их частоту. Через 12 и 48 часов с момента от третьего до шестого нанесений перорально вводят соединение настоящего изобретения или 0,5% водный раствор метилцеллюлозы как контрольное вещество. Неиндуцированной группе перорально вводят 0,5% водный раствор метилцеллюлозы. Видеозапись проводят в течение промежутка времени от 30 минут до 3 часов после введения и считают число царапаний у крыс.
Формула изобретения
1. Соединение карбоновой кислоты формулы (I) где R1 означает водород или С1-4 алкил; R2 означает фенил, нафтил, бензофуранил или бензтионил, который является незамещенным или замещенным 1-2 С1-4 алкилом и/или галогеном; Q означает (i) -СН2-O-Сус1, (ii) -СН2-Сус2 или (iii) -L-Сус3, Cyc1 означает фенил или пиридил, который является незамещенным или замещенным 1-2 R4; Сус2 означает индолил, который является незамещенным или замещенным 1-2 R4; Сус3 означает фенил, замещенный 1-2 R4; L означает -О- или -NH-; каждый из радикалов R3a и R3b независимо означает водород или С1-4 алкил или радикалы R3a и R3b, взятые вместе с атомом углерода, к которому они присоединены, образуют тетрагидро-2Н-пиран; m равно 2 или 3; n равно 0, 1 или 2; R4 означает С1-4 алкил, С1-4 алкилтио, галоген или циано, или когда Сус3 означает фенил, замещенный двумя R4, два радикала R4, взятые вместе с фенилом, могут образовать
или его фармацевтически приемлемая соль. 2. Соединение карбоновой кислоты по п.1, которое представляет собой (1) 3-(4-(2,5-дифторфеноксиметил)-2-((((1R)-1-(нафталин-2-ил)этил)амино)карбонил)фенил)пропановую кислоту, (2) 3-(4-(2,5-дихлорфеноксиметил)-2-(((4-(3-метилфенил)тетрагидро-2Н-пиран-4-ил)амино)карбонил)фенил)пропановую кислоту, (3) 3-(4-(2-хлор-5-метилфеноксиметил)-2-(((4-(3-метилфенил)тетрагидро-2Н-пиран-4-ил)амино)карбонил)фенил)пропановую кислоту, (4) 3-(4-(2-хлор-5-фторфеноксиметил)-2-(((4-(3-метилфенил)тетрагидро-2Н-пиран-4-ил)амино)карбонил)фенил)пропановую кислоту, (5) 3-(4-(2,5-дифторфеноксиметил)-2-(((4-фенилтетрагидро-2Н-пиран-4-ил)амино)карбонил)фенил)пропановую кислоту, (6) 3-(4-(2,5-дихлорфеноксиметил)-2-(((4-фенилтетрагидро-2Н-пиран-4-ил)амино)карбонил)фенил)пропановую кислоту, (7) 3-(4-(2-хлор-5-фторфеноксиметил)-2-(((4-фенилтетрагидро-2Н-пиран-4-ил)амино)карбонил)фенил)пропановую кислоту, (8) 3-(4-(2,5-дифторфеноксиметил)-2-((((1R)-3-метил-1-(3-метилфенил)бутил)амино)карбонил)фенил)пропановую кислоту, (9) 3-(4-(3-цианфеноксиметил)-2-((((1R)-3-метил-1-(3-метилфенил)бутил)амино)карбонил)фенил)пропановую кислоту, (10) 3-(4-(2,5-диметилфеноксиметил)-2-((((1R)-3-метил-1-(3-метилфенил)бутил)амино)карбонил)фенил)пропановую кислоту, (11) 3-(4-(2,5-дифторфеноксиметил)-2-(((4-(нафталин-2-ил)тетрагидро-2Н-пиран-4-ил)амино)карбонил)фенил)пропановую кислоту, (12) 3-(4-(2,5-диметилфеноксиметил)-2-(((4-(3-метилфенил)тетрагидро-2Н-пиран-4-ил)амино)карбонил)фенил)пропановую кислоту, (13) 3-(4-(3-цианфеноксиметил)-2-(((4-(нафталин-2-ил)тетрагидро-2Н-пиран-4-ил)амино)карбонил)фенил)пропановую кислоту, (14) 3-(4-(2,5-диметилфеноксиметил)-2-(((4-(нафталин-2-ил)тетрагидро-2Н-пиран-4-ил)амино)карбонил)фенил)пропановую кислоту, (15) 3-(4-(5-фториндол-1-илметил)-2-((((1R)-1-(3,5-диметилфенил)-(3-метилбутил)амино)карбонил)фенил)пропановую кислоту, (16) 3-(4-(2,4-диметилфеноксиметил)-2-((((1R)-1-(3,5-диметилфенил)-3-метилбутил)амино)карбонил)фенил)пропановую кислоту, (17) 3-(2-(((4-(нафталин-2-ил)тетрагидро-2Н-пиран-4-ил)амино)карбонил)-4-феноксиметилфенил)пропановую кислоту, (18) 3-(2-(((4-(нафталин-2-ил)тетрагидро-2Н-пиран-4-ил)амино)карбонил)-4-(3-пиридилоксиметил)фенил)пропановую кислоту, (19) 3-(4-(3-хлорфеноксиметил)-2-(((4-(нафталин-2-ил)тетрагидро-2Н-пиран-4-ил)амино)карбонил)фенил)пропановую кислоту, (20) 3-(4-(3,4-диметилфеноксиметил)-2-((((1R)-1-(3,5-диметилфенил)-3-метилбутил)амино)карбонил)фенил)пропановую кислоту, (21) 3-(4-(2-хлор-5-фторфеноксиметил)-2-((((1R)-1-(3,5-диметилфенил)-3-метилбутил)амино)карбонил)фенил)пропановую кислоту, (22) 3-(2-((((1R)-1-(3,5-диметилфенил)-3-метилбутил)амино)карбонил)-4-(3-метилиндол-1-илметил)фенил)пропановую кислоту, (23) 3-(4-(2,5-дифторфеноксиметил)-2-((((1R)-1-(нафталин-1-ил)этил)амино)карбонил)фенил)пропановую кислоту, (24) 3-(4-(2-фтор-5-метилфеноксиметил)-2-((((1R)-1-(нафталин-1-ил)этил)амино)карбонил)фенил)пропановую кислоту, (25) 3-(2-(((4-(3,5-диметилфенил)тетрагидро-2Н-пиран-4-ил)амино)карбонил)-4-(2-фтор-5-метилфеноксиметил)фенил)пропановую кислоту, (26) 3-(4-(2-фтор-5-метилфеноксиметил)-2-(((4-(3-метилфенил)тетрагидро-2Н-пиран-4-ил)амино)карбонил)фенил)пропановую кислоту, (27) 3-(2-(((4-(бензофуран-2-ил)тетрагидро-2Н-пиран-4-ил)амино)карбонил)-4-(2,5-дифторфеноксиметил)фенил)пропановую кислоту, (28) 3-(2-((((1R)-1-(3,5-диметилфенил)-3-метилбутил)амино)карбонил)-4-(4-фтор-2-метилфеноксиметил)фенил)пропановую кислоту, (29) 3-(2-((((1R)-1-(3,5-диметилфенил)-3-метилбутил)амино)карбонил)-4-((2-метилпиридин-3-ил)оксиметил)фенил)пропановую кислоту, (30) 3-(2-((((1R)-1-(3,5-диметилфенил)-3-метилбутил)амино)карбонил)-4-((2-метилпиридин-5-ил)оксиметил)фенил)пропановую кислоту, (31) 3-(4-(3-фторфеноксиметил)-2-(((4-(нафталин-2-ил)тетрагидро-2Н-пиран-4-ил)амино)карбонил)фенил)пропановую кислоту, (32) 3-(4-(3-метилфеноксиметил)-2-(((4-(нафталин-2-ил)тетрагидро-2Н-пиран-4-ил)амино)карбонил)фенил)пропановую кислоту, (33) 3-(4-(2,5-диметилфеноксиметил)-2-(((4-(2-фенилэтил)тетрагидро-2Н-пиран-4-ил)амино)карбонил)фенил)пропановую кислоту, (34) 3-(4-(2,5-дифторфеноксиметил)-2-(((4-(бензофуран-2-ил)тетрагидро-2Н-пиран-4-ил)амино)карбонил)-4-(2,5-диметилфеноксиметил)фенил)пропановую кислоту, (35) 3-(2-(((4-(бензтиофен-2-ил)тетрагидро-2Н-пиран-4-ил)амино)карбонил)-4-(2,5-диметилфеноксиметил)фенил)пропановую кислоту, (36) 3-(4-(2,5-дифторфеноксиметил)-2-(((4-(2-(2-фторфенил)этил)тетрагидро-2Н-пиран-4-ил)амино)карбонил)фенил)пропановую кислоту, (37) 3-(4-(2,5-диметилфеноксиметил)-2-(((4-(2-(2-фторфенил)этил)тетрагидро-2Н-пиран-4-ил)амино)карбонил)фенил)пропановую кислоту, (38) 3-(4-(2,5-диметилфеноксиметил)-2-(((4-(2-(4-фторфенил)этил)тетрагидро-2Н-пиран-4-ил)амино)карбонил)фенил)пропановую кислоту, (39) 3-(4-(2,5-диметилфеноксиметил)-2-(((4-(2-(3-фторфенил)этил)тетрагидро-2Н-пиран-4-ил)амино)карбонил)фенил)пропановую кислоту, (40) 3-(4-(6-фториндол-1-илметил)-2-(((4-(2-фенилэтил)тетрагидро-2Н-пиран-4-ил)амино)карбонил)фенил)пропановую кислоту, (41) 3-(4-(6-фториндол-3-илметил)-2-(((4-(2-фенилэтил)тетрагидро-2Н-пиран-4-ил)амино)карбонил)фенил)пропановую кислоту, (42) 3-(4-(3-метилиндол-1-илметил)-2-(((4-(2-фенилэтил)тетрагидро-2Н-пиран-4-ил)амино)карбонил)фенил)пропановую кислоту, (43) 3-(4-(3-цианфеноксиметил)-2-(((4-(2-фенилэтил)тетрагидро-2Н-пиран-4-ил)амино)карбонил)фенил)пропановую кислоту, (44) 3-(4-(6-фториндол-1-илметил)-2-(((4-(нафталин-2-ил)тетрагидро-2Н-пиран-4-ил)амино)карбонил)фенил)пропановую кислоту, (45) 3-(4-(6-фториндол-3-илметил)-2-(((4-(нафталин-2-ил)тетрагидро-2Н-пиран-4-ил)амино)карбонил)фенил)пропановую кислоту, (46) 3-(4-(3-метилиндол-1-илметил)-2-(((4-(нафталин-2-ил)тетрагидро-2Н-пиран-4-ил)амино)карбонил)фенил)пропановую кислоту, (47) 3-(4-(6-фториндол-1-илметил)-2-(((4-(2-(3-фторфенил)этил)тетрагидро-2Н-пиран-4-ил)амино)карбонил)фенил)пропановую кислоту, (48) 3-(2-(((4-(2-(3-фторфенил)этил)тетрагидро-2Н-пиран-4-ил)амино)карбонил)-4-(3-метилиндол-1-илметил)фенил)пропановую кислоту, (49) 3-(4-(3-цианфеноксиметил)-2-(((4-(2-(3-фторфенил)этил)тетрагидро-2Н-пиран-4-ил)амино)карбонил)фенил)пропановую кислоту, (50) 4-(4-(1,3-диоксаиндан-5-илокси)-2-((((1R)-1-(нафталин-1-ил)этил)амино)карбонил)фенил)бутановую кислоту, (51) 4-(4-(3-метилфенокси)-2-((((1R)-1-(нафталин-1-ил)этил)амино)карбонил)фенил)бутановую кислоту, (52) 4-(4-(3-цианфенокси)-2-((((1R)-1-(нафталин-1-ил)этил)амино)карбонил)фенил)бутановую кислоту, (53) 4-(4-(3,4-диметилфенокси)-2-((((1R)-1-(нафталин-1-ил)этил)амино)карбонил)фенил)бутановую кислоту, (54) 4-(4-(индан-5-илокси)-2-((((1R)-1-(нафталин-1-ил)этил)амино)карбонил)фенил)бутановую кислоту, (55) 4-(4-(3,5-диметилфенокси)-2-((((1R)-1-(нафталин-1-ил)этил)амино)карбонил)фенил)бутановую кислоту, (56) 4-(4-(3-метилтиофенокси)-2-((((1R)-1-(нафталин-1-ил)этил)амино)карбонил)фенил)бутановую кислоту, (57) 3-(2-((((1R)-1-(3,5-диметилфенил)-3-метилбутил)амино)карбонил)-4-(3-фторфениламино)фенил)пропановую кислоту, (58) 3-(2-((((1R)-1-(3,5-диметилфенил)-3-метилбутил)амино)карбонил)-4-(3-метилфениламино)фенил)пропановую кислоту, (59) 3-(4-(3-цианфениламино)-2-((((1R)-1-(3,5-диметилфенил)-3-метилбутил)амино)карбонил)фенил)пропановую кислоту, (60) 3-(4-(3,5-дифторфениламино)-2-((((1R)-1-(3,5-диметилфенил)-3-метилбутил)амино)карбонил)фенил)пропановую кислоту, (61) 3-(2-((((1R)-1-(3,5-диметилфенил)-3-метилбутил)амино)карбонил)-4-(1,3-диоксаиндан-5-иламино)фенил)пропановую кислоту, (62) 3-(4-(3,5-дифторфенокси)-2-((((1R)-1-(3,5-диметилфенил)-3-метилбутил)амино)карбонил)фенил)пропановую кислоту, (63) 3-(4-(3-цианфенокси)-2-((((1R)-1-(3,5-диметилфенил)-3-метилбутил)амино)карбонил)фенил)пропановую кислоту, (64) 4-(4-(3,5-диметилфенокси)-2-((((1R)-1-(нафталин-2-ил)этил)амино)карбонил)фенил)бутановую кислоту, (65) 3-(4-(3,5-диметилфенокси)-2-((((1R)-1-(нафталин-1-ил)этил)амино)карбонил)фенил)пропановую кислоту, (66) 3-(4-(3,5-диметилфенокси)-2-((((1R)-1-(нафталин-2-ил)этил)амино)карбонил)фенил)пропановую кислоту, (67) 3-(4-(3,5-диметилфенокси)-2-((((1R)-1-(3-метилфенил)-3-метилбутил)амино)карбонил)фенил)пропановую кислоту, (68) 3-(4-(3-метилфениламино)-2-(((4-(нафталин-2-ил)тетрагидро-2Н-пиран-4-ил)амино)карбонил)фенил)пропановую кислоту, (69) 4-(4-(3-фторфениламино)-2-((((1R)-1-(нафталин-1-ил)этил)амино)карбонил)фенил)бутановую кислоту, (70) 4-(4-(3-метилфениламино)-2-((((1R)-1-(нафталин-1-ил)этил)амино)карбонил)фенил)бутановую кислоту, (71) 4-(4-(3,5-дифторфениламино)-2-((((1R)-1-(нафталин-1-ил)этил)амино)карбонил)фенил)бутановую кислоту, (72) 4-(4-(1,3-диоксаиндан-5-иламино)-2-((((1R)-1-(нафталин-1-ил)этил)амино)карбонил)фенил)бутановую кислоту, (73) 4-(4-(3-цианфениламино)-2-((((1R)-1-(нафталин-1-ил)этил)амино)карбонил)фенил)бутановую кислоту, (74) 3-(4-(3,5-диметилфениламино)-2-((((1R)-1-(нафталин-1-ил)этил)амино)карбонил)фенил)пропановую кислоту, (75) 3-(4-(3,5-диметилфениламино)-2-((((1R)-1-(нафталин-2-ил)этил)амино)карбонил)фенил)пропановую кислоту, (76) 3-(4-(3,5-диметилфениламино)-2-(((4-(3,5-диметилфенил)тетрагидро-2Н-пиран-4-ил)амино)карбонил)фенил)пропановую кислоту, (77) 3-(4-(3,5-диметилфениламино)-2-(((4-(3-метилфенил)тетрагидро-2Н-пиран-4-ил)амино)карбонил)фенил)пропановую кислоту, (78) 3-(4-(3,5-диметилфенокси)-2-(((4-(3-метилфенил)тетрагидро-2Н-пиран-4-ил)амино)карбонил)фенил)пропановую кислоту, (79) 3-(2-(((4-(бензофуран-2-ил)тетрагидро-2Н-пиран-4-ил)амино)карбонил)-4-(3,5-диметилфенокси)фенил)пропановую кислоту, (80) 3-(2-(((4-(бензофуран-2-ил)тетрагидро-2Н-пиран-4-ил)амино)карбонил)-4-(3,5-диметилфениламино)фенил)пропановую кислоту, (81) 3-(4-(3,5-диметилфенокси)-2-(((4-(2-фенилэтил)тетрагидро-2Н-пиран-4-ил)амино)карбонил)фенил)пропановую кислоту, (82) 3-(4-(3,5-диметилфенокси)-2-(((4-(3,5-диметилфенил)тетрагидро-2Н-пиран-4-ил)амино)карбонил)фенил)пропановую кислоту, (83) 3-(4-(3,5-диметилфениламино)-2-(((4-(2-фенилэтил)тетрагидро-2Н-пиран-4-ил)амино)карбонил)фенил)пропановую кислоту, (84) 3-(2-(((4-(3,5-диметилфенил)тетрагидро-2Н-пиран-4-ил)амино)карбонил)-4-(3-метилфениламино)фенил)пропановую кислоту, (85) 3-(2-(((4-(бензтиофен-2-ил)тетрагидро-2Н-пиран-4-ил)амино)карбонил)-4-(3,5-диметилфениламино)фенил)пропановую кислоту, (86) 3-(4-(3,5-диметилфенокси)-2-(((4-(2-(4-фторфенил)этил)тетрагидро-2Н-пиран-4-ил)амино)карбонил)фенил)пропановую кислоту, (87) 3-(4-(3,5-диметилфениламино)-2-(((4-(2-(4-фторфенил)этил)тетрагидро-2Н-пиран-4-ил)амино)карбонил)фенил)пропановую кислоту, (88) 3-(4-(3,5-диметилфениламино)-2-(((4-(2-(2-фторфенил)этил)тетрагидро-2Н-пиран-4-ил)амино)карбонил)фенил)пропановую кислоту, (89) 3-(4-(3,5-диметилфенокси)-2-(((4-(2-(2-фторфенил)этил)тетрагидро-2Н-пиран-4-ил)амино)карбонил)фенил)пропановую кислоту, (90) 3-(4-(3,5-диметилфенокси)-2-(((4-(2-(3-фторфенил)этил)тетрагидро-2Н-пиран-4-ил)амино)карбонил)фенил)пропановую кислоту, или его фармацевтически приемлемая соль. 3. Соединение карбоновой кислоты по п.1, которое представляет собой. (1) 3-(2-((((1R)-1-(3,5-диметилфенил)-3-метилбутил)амино)карбонил)-4-(5-фтор-2-метилфеноксиметил)фенил)пропановую кислоту, (2) 3-(2-(((4-(бензтиофен-2-ил)тетрагидро-2Н-пиран-4-ил)амино)карбонил)-4-(2,5-дифторфеноксиметил)фенил)пропановую кислоту, (3) 3-(4-(2-фтор-5-метилфеноксиметил)-2-((((1R)-3-метил-1-(3-метилфенил)бутил)амино)карбонил)фенил)пропановую кислоту, (4) 3-(4-(2,5-дифторфеноксиметил)-2-(((4-(2-(3-фторфенил)этил)тетрагидро-2Н-пиран-4-ил)амино)карбонил)фенил)пропановую кислоту, (5) 3-(4-(3,5-диметилфениламино)-2-(((4-(нафталин-2-ил)тетрагидро-2Н-пиран-4-ил)амино)карбонил)фенил)пропановую кислоту, (6) 3-(2-(((4-(бензтиофен-2-ил)тетрагидро-2Н-пиран-4-ил)амино)карбонил)-4-(3,5-диметилфенокси)фенил)пропановую кислоту, (7) 3-(4-(2,5-дифторфеноксиметил)-2-(((4-(2-фенилэтил)тетрагидро-2Н-пиран-4-ил)амино)карбонил)фенил)пропановую кислоту, (8) 3-(2-((((1R)-1-(3,5-диметилфенил)-3-метилбутил)амино)карбонил)-4-(3-пиридилоксиметил)фенил)пропановую кислоту, (9) 3-(4-(2-фтор-5-метилфеноксиметил)-2-((((1R)-1-(3,5-диметилфенил)-3-метилбутил)амино)карбонил)фенил)пропановую кислоту, (10) 3-(4-(3,5-диметилфениламино)-2-((((1R)-1-(3,5-диметилфенил)-3-метилбутил)амино)карбонил)фенил)пропановую кислоту, (11) 3-(4-(6-фториндол-1-илметил)-2-((((1R)-1-(3,5-диметилфенил)-3-метилбутил)амино)карбонил)фенил)пропановую кислоту, (12) 3-(4-(3,5-диметилфеноксиметил)-2-(((4-(нафталин-2-ил)тетрагидро-2Н-пиран-4-ил)амино)карбонил)фенил)пропановую кислоту, (13) 4-(4-(3,5-диметилфениламино)-2-((((1R)-1-(нафталин-1-ил)этил)амино)карбонил)фенил)пропановую кислоту, (14) 3-(4-(2-хлор-5-метилфеноксиметил)-2-((((1R)-3-метил-1-(3-метилфенил)бутил)амино)карбонил)фенил)пропановую кислоту, (15) 3-(4-(2,5-дифторфеноксиметил)-2-(((4-(2-(4-фторфенил)этил) тетрагидро-2Н-пиран-4-ил)амино)карбонил)фенил)пропановую кислоту, (16) 3-(4-(3,5-диметилфениламино)-2-((((1R)-1-(3-метилфенил)-3-(метилбутил)амино)карбонил)фенил)пропановую кислоту, (17) 3-(4-(2-фтор-5-метилфеноксиметил)-2-(((4-(нафталин-2-ил)тетрагидро-2Н-пиран-4-ил)амино)карбонил)фенил)пропановую кислоту, (18) 3-(4-(3,5-диметилфенокси)-2-((((1R)-1-(3,5-диметилфенил)-3-(метилбутил)амино)карбонил)фенил)пропановую кислоту или (19) 3-(4-(3,5-диметилфениламино)-2-(((4-(2-(3-фторфенил)этил)тетрагидро-2Н-пиран-4-ил)амино)карбонил)фенил)пропановую кислоту, или его фармацевтически приемлемые соли. 4. Фармацевтическая композиция, обладающая антагонистическим действием в отношении рецептора ЕР3, включающая соединение карбоновой кислоты по п.1 или его фармацевтически приемлемую соль в эффективном количестве, а также приемлемый эксципиент или разбавитель. 5. Фармацевтическая композиция по п.4, которая представляет собой профилактическое и/или лечебное средство для болезней, вызванных избыточной активацией рецептора ЕР3. 6. Фармацевтическая композиция по п.5, где болезнями, вызванными избыточной активацией рецептора ЕР3, являются одна или несколько, выбранные из числа таких, как прурит, боль, нарушения мочеиспускания и болезни, вызванные стрессом. 7. Фармацевтическая композиция по п.6, где болью является боль, связанная с воспалением суставов или нейропатическая боль. 8. Фармацевтическая композиция по п.6, где нарушением мочеиспускания является частота мочеиспускания. 9. Способ профилактики и/или лечения болезней, индуцированных избыточной активацией ЕР3 рецепторов у млекопитающих, который включает введение млекопитающим эффективного количества соединения карбоновой кислоты по п.1 или его фармацевтически приемлемой соли. 10. Применение соединения карбоновой кислоты по п.1 или его фармацевтически приемлемой соли для получения лекарственного средства для профилактики и/или лечения болезней, вызванных избыточной активацией ЕР3 рецептора. 11. 3-(2-((((1R)-1-(3,5-Диметилфенил)-3-метилбутил)амино)карбонил)-4-(5-фтор-2-метилфеноксиметил)фенил)пропановая кислота или ее фармацевтически приемлемая соль.
MM4A – Досрочное прекращение действия патента СССР или патента Российской Федерации на изобретение из-за неуплаты в установленный срок пошлины за поддержание патента в силе
Дата прекращения действия патента: 07.02.2009
Извещение опубликовано: 27.07.2010 БИ: 21/2010
|
||||||||||||||||||||||||||






1 адреналина, препаратов прогестерона, противохолинерических агентов, антагонистов рецептора мускарина, антагонистов рецептора 5-НТ1А, антагонистов
1 рецептора, антагонистов серотонина нервной системы, антагонистов рецептора фактора выделения кортикотропина, ингибиторов протонного насоса, антагонистов рецептора М1, цитозащитных агентов, трициклических антидепрессантов и тетрациклических антидепрессантов.
-конфигурации, энантиомер, диастереомер), необязательно активные изомеры (D-, L-, d-, l-), полярные соединения, образованные при хроматографическом разделении (более полярное соединение, менее полярное соединение), равновесные соединения, вращательные изомеры, их смеси в любых отношениях и рацемические смеси.






7,69 (д, 9,6 Гц, 1H), 7,46 (д, J=8,1 Гц, 1H), 7,34 (д, J=1,8 Гц, 1H), 7,30 (дд, J=8,1, 1,8 Гц, 1H), 6,43 (д, 9,6 Гц, 1H), 4,52 (с, 2H).
8,05 (д, J=9,6 Гц, 1H), 7,74 (д, J=7,8 Гц, 1H), 7,46 (шир.с, 1H), 7,41 (шир.д, J=7,8 Гц, 1H), 7,32-7,18 (м, 2H), 6,78 (м, 1H), 6,49 (д, J=9,6 Гц, 1H), 5,30 (с, 2H).
8,11 (д, J=1,8 Гц, 1H), 7,59 (дд, J=8,1, 1,8 Гц, 1H), 7,38 (д, J=8,1 Гц, 1H), 7,04 (м, 1H), 6,74 (м, 1H), 6,62 (м, 1H), 5,11 (с, 2H), 3,67 (с, 3H), 3,38-3,33 (м, 2H), 2,74-2,69 (м, 2H).
7,10 (с, 2H), 6,93 (с, 1H), 3,99-3,82 (м, 5Н), 2,34 (с, 6H), 2,23-2,11 (м, 2Н), 1,72-1,63 (м, 2H).
6,98 (с, 2H), 6,90 (с, 1H), 6,76 (шир.с, 1H), 4,02 (с, 2H), 3,89 (дт, J=12,0, 3,3 Гц, 2H), 3,72 (дт, J=12,0, 2,1 Гц, 2H), 2,42-2,34 (м, 2H), 2,32 (с, 6H), 2,29-2,13 (м, 2H).
7,07 (с, 2H), 6,90 (с, 1H), 3,92 (дт, J=11,4, 2,4 Гц, 2H), 3,79 (дт, J=11,4, 4,2 Гц, 2H), 2,34 (с, 6H), 2,24-2,13 (м, 2H), 1,68-1,60 (м, 2H).
9,52 (шир.с, 2H), 7,39-7,20 (м, 5H), 6,94 (с, 2H), 6,81 (с, 1H), 5,44 (шир.с, 1H), 4,70 (с, 1H), 4,63 (с, 1H), 4,40-4,20 (м, 2H), 4,14 (м, 1H), 3,83 (м, 1H), 3,11 (дд, J=14, 4,4 Гц, 1H), 2,94 (дд, J=14, 11 Гц, 1H), 2,17 (с, 6H), 1,49 (с, 3H).
8,41 (шир.с, 3H), 7,11 (с, 2H), 7,01 (с, 1H), 4,10 (м, 1H), 2,27 (с, 6H), 1,82-1,66 (м, 2H), 1,31 (м, 1H), 0,86 (д, J=6,6 Гц, 3H), 0,82 (д, J=6,6 Гц, 3H).
1,70 (д, J=6,96 Гц, 3H), 2,76 (т, J=7,51 Гц, 2H), 3,07 (т, J=7,51 Гц, 2H), 5,05 (с, 2H), 5,49 (м, 1H), 6,59 (м, 2H), 6,72 (м, 1H), 7,02 (м, 1H), 7,30 (д, J=7,87 Гц, 1H), 7,49 (м, 5H), 7,83 (м, 4H).
ссылочный пример 2
1,93 (м, 2H), 2,30 (с, 3H), 2,41 (м, 2H), 2,48 (м, 2H), 2,86 (т, J=7,83 Гц, 2H), 3,76 (м, 4H), 5,27 (с, 2H) 7,05 (м, 2H), 7,22 (м, 3H), 7,34 (д, J=7,69 Гц, 1H), 7,42 (м, 2H), 7,50 (м, 2H), 8,64 (с, 1H).
1,93 (м, 2H), 2,30 (с, 3H), 2,30 (с, 3H), 2,42 (м, 4H), 2,86 (т, J=7,83 Гц, 2H), 3,76 (м, 4H), 5,21 (с, 2H), 6,79 (дд, J=7,97, 1,10 Гц, 1H), 7,02 (д, J=6,87 Гц, 1H), 7,13 (д, J=1,65 Гц, 1H), 7,21 (м, 3H), 7,32 (м, 2H) 7,44 (м, 1H), 7,53 (д, J=1,65 Гц, 1H), 8,62 (с, 1H), 12,10 (с, 1H).
1,92 (м, 2H), 2,30 (с, 3H), 2,44 (м, 4H), 2,86 (т, J=7,83 Гц, 2H), 3,76 (м, 4H), 5,25 (с, 2H), 6,84 (м, 1H), 7,02 (д, J=6,87 Гц, 1H), 7,23 (м, 4H), 7,34 (м, 1H), 7,47 (м, 3H), 8,64 (с, 1H).
2,26 (м, 2H), 2,52 (м, 2H), 2,69 (т, J=7,28 Гц, 2H), 3,00 (т, J=7,28 Гц, 2H), 3,82 (м, 2H), 3,93 (м, 2H), 5,08 (с, 2H), 6,63 (м, 2H), 6,75 (м, 1H), 7,05 (м, 1H), 7,27 (м, 2H), 7,39 (м, 3H), 7,50 (м, 3H).
2,26 (м, 2H), 2,51 (м, 2H), 2,69 (т, J=7,28 Гц, 2H), 3,00 (т, J=7,28 Гц, 2H), 3,83 (м, 2H), 3,93 (м, 2H), 5,11 (с, 2H), 6,57 (с, 1H), 6,94 (дд, J=8,52, 2,20 Гц, 1H) 6,99 (д, J=2,20 Гц, 1H), 7,28 (м, 3H), 7,41 (м, 3H), 7,50 (м, 2H), 7,60 (д, J=1,65 Гц, 1H).
2,26 (м, 2H), 2,51 (м, 2H), 2,70 (т, J=7,28 Гц, 2H), 3,01 (т, J=7,28 Гц, 2H), 3,84 (м, 2H), 3,94 (м, 2H), 5,11 (с, 2H), 6,55 (с, 1H), 6,70 (м, 2H), 7,34 (м, 6H) 7,51 (м, 2H), 7,61 (д, J=1,65 Гц, 1H).
0,99 (д, J=6,59 Гц, 6H), 1,72 (м, 3H), 2,35 (с, 3H), 2,73 (м, 2H), 3,03 (м, 2H), 5,03 (с, 2H), 5,21 (м, 1H), 6,37 (д, J=8,60 Гц, 1H), 7,09 (шир.д, J=7,87 Гц, 1H) 7,17 (м, 4H), 7,27 (м, 3H), 7,38 (м, 3H).
0,98 (д, J=6,32 Гц, 3H), 0,99 (д, J=6,32 Гц, 3H), 1,72 (м, 3H) 2,29 (с, 3H), 2,31 (с, 6H), 2,72 (м, 2H), 3,03 (м, 2H), 5,07 (с, 2H), 5,16 (м, 1H), 6,31 (д, J=8,42 Гц, 1H), 6,72 (м, 1H), 6,81 (дд, J=7,87, 1,83 Гц, 1H), 6,91 (с, 1H), 6,97 (м, 3H), 7,28 (д, J=7,69 Гц, 1H), 7,42 (м, 2H).
0,97 (д, J=6,41 Гц, 3H), 0,98 (д, J=6,41 Гц, 3H), 1,69 (м, 3H) 2,20 (с, 3H), 2,24 (с, 3H), 2,31 (с, 6H), 2,71 (м, 2H), 3,03 (м, 2H), 4,98 (с, 2H), 5,16 (м, 1H) 6,28 (д, J=8,42 Гц, 1H), 6,69 (дд, J=8,15, 2,84 Гц, 1H), 6,78 (д, J=2,56 Гц, 1H), 6,90 (с, 1H), 6,95 (с, 2H), 7,04 (д, J=8,42 Гц, 1H), 7,27 (м, 1H), 7,41 (м, 2H).
0,98 (д, J=6,32 Гц, 3H), 0,99 (д, J=6,32 Гц, 3H), 1,73 (м, 3H) 2,31 (с, 6H), 2,72 (м, 2H), 3,04 (м, 2H), 5,08 (с, 2H), 5,16 (м, 1H), 6,30 (д, J=8,60 Гц, 1H), 6,67 (м, 2H), 6,91 (с, 1H), 6,96 (с, 2H), 7,32 (м, 2H), 7,42 (м, 1H), 7,49(д, J=1,65 Гц, 1H).
0,93 (д, J=6,59 Гц, 6H), 1,58 (м, 3H), 2,28 (с, 6H), 2,33 (д, J=0,73 Гц, 3H), 2,66 (т, J=7,32 Гц, 2H), 2,95 (м, 2H), 5,07 (м, 1H), 5,22 (с, 2H), 6,10 (д, J=8,7, 9 Гц, 1H), 6,87 (с, 4H), 7,04 (м, 2H), 7,14 (м, 4H), 7,58 (м, 1H).
1,80 (д, J=6,77 Гц, 3H), 2,77 (т, J=7,32 Гц, 2H), 3,09 (т, J=7,32 Гц, 2H), 5,00 (с, 2H), 6,14 (м, 1H), 6,37 (д, J=8,06 Гц, 1H), 6,63 (м, 2H), 7,00 (м, 1H), 7,28 (д, J=7,69 Гц, 1H), 7,50 (м, 6H), 7,82 (д, J=8,24 Гц, 1H), 7,88 (д, J=7,69 Гц, 1H), 8,22 (д, J=8,24 Гц, 1H).
1,80 (д, J=6,77 Гц, 3H), 2,25 (с, 3H), 2,77 (т, J=7,05 Гц, 2H), 3,09 (т, J=7,05 Гц, 2H), 5,01 (с, 2H), 6,14 (м, 1H), 6,37 (д, J=8,06 Гц, 1H), 6,69 (м, 1H), 6,75 (м, 1H), 6,93 (дд, J=11,26, 8,15 Гц, 1H), 7,27 (м, 1H), 7,51 (м, 6H), 7,82 (д, J=8,42 Гц, 1H) 7,88 (д, J=6,96 Гц, 1H), 8,22 (д, J=8,60 Гц, 1H).
0,99 (д, J=6,41 Гц, 6H), 1,74 (м, 3H), 2,29 (с, 3H), 2,35 (с, 3H), 2,72 (т, J=7,69 Гц, 2H), 3,03 (м, 2H), 5,07 (с, 2H), 5,20 (м, 1H), 6,35 (д, J=8,60 Гц, 1H) 6,74 (м, 1H), 6,81 (дд, J=7,96, 2,11 Гц, 1H), 6,97 (дд, J=11,26, 8,15 Гц, 1H), 7,23 (м, 5H), 7,42 (м, 2H).
2,23 (м, 2H), 2,30 (с, 3H), 2,32 (с, 6H), 2,45 (м, 2H), 2,70 (т, J=7,23 Гц, 2H), 3,03 (т, J=7,23 Гц, 2H), 3,86 (м, 4H) 5,10 (с, 2H), 6,46 (с, 1H), 6,73 (м, 1H) 6,83 (м, 1H), 6,91 (с, 1H), 6,98 (дд, J=11,17, 8,24 Гц, 1H), 7,08 (с, 2H), 7,29 (д, J=8,06 Гц, 1H), 7,43 (дд, J=7,87, 1,83 Гц, 1H), 7,56 (с, 1H).
2,23 (м, 2H), 2,30 (с, 3H), 2,36 (с, 3H), 2,49 (м, 2H), 2,69 (т, J=7,32 Гц, 2H), 3,01 (т, J=7,32 Гц, 2H), 3,89 (м, 4H) 5,09 (с, 2H), 6,51 (с, 1H), 6,73 (м, 1H), 6,84 (дд, J=7,96, 1,92 Гц, 1H), 6,98 (дд, J=11,17, 8,24 Гц, 1H), 7,08 (м, 1H), 7,27 (м, 4H), 7,43 (м, 1H), 7,55 (д, J=1,65 Гц, 1H).
2,48 (м, 4H), 2,72 (т, J=7,14 Гц, 2H), 3,03 (т, J=7,14 Гц, 2H), 3,86 (м, 4H), 5,07 (с, 2H), 6,62 (м, 1H), 6,74 (м, 3H), 7,04 (м, 1H), 7,24 (м, 3H), 7,42 (м, 2H), 7,54 (м, 2H).
1,53 (м, 2H), 2,05 (м, 2H), 2,26 (д, J=13,73 Гц, 2H), 2,57 (м, 4H), 2,97 (м, 2H), 3,63 (м, 4H), 5,20 (с, 2H), 6,78 (м, 1H), 7,22 (м, 7H), 7,35 (д, J=8,42 Гц, 1H), 7,43 (м, 2H), 8,06 (с, 1H).
0,98 (д, J=6,32 Гц, 3H), 0,99 (д, J=6,32 Гц, 3H), 1,69 (м, 3H) 2,24 (с, 3H), 2,31 (с, 6H), 2,75 (т, J=7,51 Гц, 2H), 3,04 (м, 2H), 4,99 (с, 2H), 5,17 (м, 1H), 6,27 (д, J=7,69 Гц, 1H), 6,82 (м, 4H), 6,95 (с, 2H), 7,29 (д, J=8,42 Гц, 1H), 7,41 (с, 2H).
2,06 (м, 2H), 2,53 (м, 4H), 2,85 (т, J=7,69 Гц, 2H), 3,81 (д, J=8,79 Гц, 4H), 5,15 (с, 2H), 6,78 (м, 1H), 6,90 (м, 2H), 7,33 (м, 2H), 7,46 (м, 4H), 7,65 (дд, J=8,79, 1,65 Гц, 1H), 7,88 (м, 4H), 8,79 (с, 1H).
2,06 (м, 2H), 2,28 (с, 3H), 2,54 (м, 4H), 2,85 (т, J=7,32 Гц, 2H), 3,81 (д, J=8,97 Гц, 4H), 5,10 (с, 2H), 6,80 (м, 3H), 7,17 (т, J=7,78 Гц, 1H), 7,31 (д, J=7,51 Гц, 1H), 7,46 (м, 4H), 7,65 (дд, J=8,79, 1,83 Гц, 1H), 7,88 (м, 4H), 8,78 (с, 1H).
2,09 (м, 2H), 2,15 (с, 3H), 2,26 (с, 3H), 2,44 (м, 2H), 2,52 (м, 2H), 2,90 (т, J=7,69 Гц, 2H), 3,76 (д, J=6,59 Гц, 4H), 5,10 (с, 2H), 6,66 (д, J=7,32 Гц, 1H), 6,76 (с, 1H), 6,88 (с, 1H), 7,03 (д, J=7,32 Гц, 1H), 7,22 (м, 2H), 7,33 (д, J=7,69 Гц, 1H), 7,47 (м, 3H), 7,57 (м, 1H), 8,82 (с, 1H).
2,06 (м, 2H), 2,58 (м, 4H), 2,91 (т, J=7,96 Гц, 2H), 3,77 (м, 4H), 5,22 (с, 2H), 6,78 (м, 1H), 7,31 (м, 6H), 7,46 (м, 2H), 7,77 (д, J=6,96 Гц, 1H), 7,86 (д, J=7,51 Гц, 1H), 8,90 (с, 1H).
1,82 (м, 2H), 2,26 (м, 7H), 2,32 (с, 3H), 2,70 (м, 2H), 2,87 (т, J=7,14 Гц, 2H), 3,14 (т, J=7,14 Гц, 2H), 3,69 (м, 2H), 3,85 (м, 2H), 5,06 (с, 2H), 5,98 (с, 1H), 6,71 (д, J=6,22 Гц, 2H), 7,01 (м, 3H), 7,18 (м, 2H), 7,33 (д, J=7,87 Гц, 1H), 7,47 (м, 1H), 7,54 (м, 1H).
1,80 (м, 2H), 2,26 (м, 7H), 2,32 (с, 3H), 2,63 (м, 2H), 2,86 (т, J=7,37 Гц, 2H), 3,13 (т, J=7,37 Гц, 2H), 3,68 (м, 2H), 3,84 (м, 2H), 5,06 (с, 2H), 5,95 (с, 1H), 6,72 (м, 2H), 6,95 (м, 2H), 7,04 (д, J=7,87 Гц, 1H), 7,15 (м, 2H), 7,33 (д, J=7,87 Гц, 1H), 7,46 (дд, J=8,10, 1,50 Гц, 1H), 7,51 (д, J=1,28 Гц, 1H).
1,80 (м, 2H), 2,27 (м, 4H), 2,67 (м, 2H), 2,85 (т, J=7,23 Гц, 2H), 3,13 (т, J=7,23 Гц, 2H), 3,69 (м, 2H), 3,85 (м, 2H), 5,09 (с, 2H), 6,11 (с, 1H), 6,62 (м, 1H), 6,75 (м, 1H), 6,98 (м, 4H), 7,21 (м, 1H), 7,33 (д, J=8,06 Гц, 1H), 7,46 (м, 2H).
1,80 (м, 2H), 2,27 (м, 10H), 2,66 (м, 2H), 2,86 (т, J=7,14 Гц, 2H), 3,14 (т, J=7,14 Гц, 2H), 3,68 (м, 2H), 3,86 (м, 2H), 5,06 (с, 2H), 5,98 (с, 1H), 6,71 (м, 2H), 6,94 (м, 4H), 7,21 (м, 1H), 7,33 (д, J=7,69 Гц, 1H), 7,47 (д, J=8,06 Гц, 1H), 7,51 (с, 1H).
1,72 (м, 2H), 2,16 (м, 4H), 2,53 (м, 2H), 2,81 (т, J=7,14 Гц, 2H), 3,07 (т, J=7,32 Гц, 2H), 3,43 (м, 2H), 3,76 (м, 2H), 5,28 (с, 2H), 5,75 (с, 1H), 6,54 (дд, J=3,20, 0,82 Гц, 1H), 6,87 (м, 3H), 7,20 (м, 8H), 7,54 (дд, J=8,88, 5,58 Гц, 1H).
1,73 (м, 2H), 2,18 (м, 4H), 2,56 (м, 2H), 2,83 (т, J=7,56 Гц, 2H), 3,08 (т, J=7,56 Гц, 2H), 3,50 (м, 2H), 3,78 (м, 2H), 4,09 (с, 1H), 5,76 (с, 1H), 6,83 (м, 1H), 6,93 (д, J=2,75 Гц, 1H), 7,03 (дд, J=9,61, 2,29 Гц, 1H), 7,26 (м, 10H), 8,03 (с, 1H).
1,69 (м, 2H), 2,07 (м, 2H), 2,18 (м, 2H), 2,31 (д, J=1,10 Гц, 3H), 2,50 (м, 2H), 2,80 (т, J=7,23 Гц, 2H), 3,06 (т, J=7,23 Гц, 2H), 3,38 (м, 2H), 3,75 (м, 2H), 5,28 (с, 2H), 5,62 (с, 1H), 6,84 (д, J=1,46 Гц, 1H), 6,90 (д, J=1,10 Гц, 1H), 7,18 (м, 10H), 7,59 (м, 1H).
1,82 (м, 2H), 2,28 (м, 4H), 2,67 (м, 2H), 2,87 (т, J=7,18 Гц, 2H), 3,14 (т, J=7,18 Гц, 2H), 3,68 (м, 2H), 3,85 (м, 2H), 5,06 (с, 2H), 6,16 (с, 1H), 7,30 (м, 12H).
2,28 (м, 2H), 2,47 (м, 2H), 2,64 (т, J=7,18 Гц, 2H), 2,94 (т, J=7,18 Гц, 2H), 3,60 (м, 2H), 3,89 (м, 2H), 5,27 (с, 2H), 6,38 (с, 1H), 6,58 (д, J=3,11 Гц, 1H), 6,90 (м, 3H), 7,10 (м, 2H), 7,19 (м, 1H), 7,47 (м, 3H), 7,59 (дд, J=8,60, 5,31 Гц, 1H), 7,81 (м, 4H).
2,32 (м, 2H), 2,51 (м, 2H), 2,67 (т, J=7,28 Гц, 2H), 2,96 (т, J=7,28 Гц, 2H), 3,69 (м, 2H), 3,91 (м, 2H), 4,10 (с, 2H), 6,40 (с, 1H), 6,85 (м, 1H), 6,92 (д, J=1,83 Гц, 1H), 7,06 (м, 1H), 7,18 (д, J=8,42 Гц, 1H), 7,29 (м, 2H), 7,37 (дд, J=8,88, 5,03 Гц, 1H), 7,47 (м, 2H), 7,53 (дд, J=8,97, 1,83 Гц, 1H), 7,80 (м, 3H), 7,86 (м, 1H), 8,04 (с, 1H).
2,25 (м, 2H), 2,37 (д, J=1,10 Гц, 3H), 2,42 (м, 2H), 2,62 (т, J=7,23 Гц, 2H), 2,93 (т, J=7,23 Гц, 2H), 3,56 (м, 2H), 3,87 (м, 2H), 5,28 (с, 2H), 6,27 (с, 1H), 6,90 (дд, J=6,68, 1,19 Гц, 2H), 7,17 (м, 5H), 7,44 (м, 3H), 7,63 (м, 1H), 7,80 (м, 4H).
1,70 (м, 2H), 2,16 (м, 4H), 2,51 (м, 2H), 2,80 (т, J=7,32 Гц, 2H), 3,07 (т, J=7,32 Гц, 2H), 3,42 (м, 2H), 3,76 (м, 2H), 5,29 (с, 2H), 5,76 (с, 1H), 6,54 (д, J=3,30 Гц, 1H), 6,89 (м, 6H), 7,11 (м, 2H), 7,22 (м, 2H), 7,54 (дд, J=8,61, 5,31 Гц, 1H).
1,82 (м, 2H), 2,25 (м, 4H), 2,64 (м, 2H), 2,84 (т, J=7,32 Гц, 2H), 3,13 (т, J=7,32 Гц, 2H), 3,68 (м, 2H), 3,83 (м, 2H), 5,08 (с, 2H), 6,09 (с, 1H), 6,62 (м, 1H), 6,75 (м, 1H), 6,99 (м, 3H), 7,15 (м, 2H), 7,32 (д, J=7,87 Гц, 1H), 7,45 (м, 2H).
7,64 (д, J=9,6 Гц, 1H), 7,39 (д, J=8,7 Гц, 1H), 7,01 (д, J=2,4 Гц, 1H), 6,96 (дд, J=8,7, 2,4 Гц, 1H), 6,28 (д, J=9,6 Гц, 1H), 5,24 (с, 2H), 3,49 (с, 3H).
7,92 (д, J=16 Гц, 1H), 7,39 (д, J=8,5 Гц, 1H), 6,62 (дд, J=8,5, 2,2 Гц, 1H), 6,54 (д, J=2,2 Гц, 1H), 6,51 (д, J=16 Гц, 1H), 6,01 (с, 1H), 5,17 (с, 2H), 3,81 (с, 3H), 3,47 (с, 3H).
7,71 (д, J=2,7 Гц, 1H), 7,24 (д, J=8,7 Гц, 1H), 7,17 (дд, J=8,7, 2,7 Гц, 1H), 5,20 (с, 2H), 3,67 (с, 3H), 3,49 (с, 3H), 3,27 (т, J=7,6 Гц, 2H), 2,68 (т, J=7,6 Гц, 2H).
8,23 (д, J=8,7 Гц, 1H), 7,92-7,78 (м, 2H), 7,63-7,43 (м, 4H), 7,12 (д, J=8,1 Гц, 1H), 7,03-6,95 (м, 2H), 6,45 (д, J=8,4 Гц, 1H), 6,12 (м, 1H), 5,10 (с, 2H), 3,61 (с, 3H), 3,41 (с, 3H), 3,00 (т, J=7,5 Гц, 2H), 2,74-2,56 (м, 2H), 1,80 (д, J=6,6 Гц, 3H).
8,21 (д, J=8,4 Гц, 1H), 7,91-7,80 (м, 2H), 7,63-7,43 (м, 4H), 7,15 (д, J=8,5 Гц, 1H), 7,02 (дд, J=8,5, 2,8 Гц, 1H), 6,91 (д, J=2,8 Гц, 1H), 6,23-6,04 (м, 2H), 5,09 (с, 2H), 3,59-3,43 (м, 3H), 3,41 (с, 3H), 2,88-2,71 (м, 2H), 1,92-1,82 (м, 2H), 1,79 (д, J=6,6 Гц, 3H).
8,22 (д, J=8,7 Гц, 1H), 7,92-7,80 (м, 2H), 7,64-7,44 (м, 4H), 7,12 (д, J=8,1 Гц, 1H), 7,01 (дд, J=8,1, 2,5 Гц, 1H), 6,95 (д, J=2,5 Гц, 1H), 6,18-5,99 (м, 2H), 5,11 (с, 2H), 3,42 (с, 3H), 2,79 (т, J=7,5 Гц, 2H), 2,30-2,12 (м, 2H), 2,00-1,86 (м, 2H), 1,80 (д, J=6,6 Гц, 3H).
8,23 (д, J=8,4 Гц, 1H), 7,91-7,78 (м, 2H), 7,63-7,42 (м, 4H), 7,11 (д, J=8,1 Гц, 1H), 6,98 (дд, J=8,2, 2,5 Гц, 1H), 6,92 (д, J=2,5 Гц, 1Н), 6,19-6,02 (м, 2H), 5,08 (с, 2H), 3,41 (с, 3H), 2,83-2,64 (м, 2H), 2,37-2,17 (м, 2H), 1,97-1,82 (м, 2H), 1,78 (д, J=6,6 Гц, 3H).
8,20 (д, J=8,4 Гц, 1H), 7,90-7,76 (м, 2H), 7,59-7,40 (м, 4H), 6,96 (м, 1H), 6,74-6,66 (м, 2H), 6,27-6,04 (м, 3H), 3,57 (с, 3H), 2,75-2,54 (м, 2H), 2,28-2,07 (м, 2H), 1,87-1,67 (м, 2H), 1,76 (д, J=6,6 Гц, 3H).
8,64 (д, J=2,7 Гц, 1H), 8,16 (дд, J=8,7, 2,7 Гц, 1H), 7,86 (д, J=8,7 Гц, 1H), 7,49-7,39 (м, 5H), 5,42 (с, 2H).
8,82 (д, J=2,1 Гц, 1H), 8,45 (д, J=15,9 Гц, 1H), 8,36 (дд, J=8,7, 2,1 Гц, 1H), 7,75 (д, J=8,7 Гц, 1H), 7,49-7,39 (м, 5H), 6,38 (д, J=15,9 Гц, 1H), 5,42 (с, 2H), 4,29 (кв, J=7,2 Гц, 2H), 1,35 (т, J=7,2 Гц, 3H).
7,35 (д, J=2,7 Гц, 1H), 7,10 (д, J=8,1 Гц, 1H), 6,81 (дд, J=8,1, 2,7 Гц, 1H), 4,11 (кв, J=7,2 Гц, 2H), 3,20 (т, J=7,5 Гц, 2H), 2,64 (т, J=7,5 Гц, 2H), 1,23 (т, J=7,2 Гц, 3H).
7,94 (д, J=2,1 Гц, 1H), 7,58 (д, J=7,4 Гц, 1H), 7,25 (д, J=7,4 Гц, 1H), 6,63 (шир.с, 1H), 4,12 (кв, J=7,2 Гц, 2H), 3,26 (т, J=7,5 Гц, 2H), 2,67 (т, J=7,5 Гц, 2H), 1,53 (с, 9H), 1,23 (т, J=7,2 Гц, 3H).
8,20 (м, 1H), 7,91-7,79 (м, 2H), 7,59-7,42 (м, 4H), 7,12 (м, 1H), 6,90-6,83 (м, 2H), 6,72 (д, J=8,4 Гц, 1H), 6,50 (д, J=2,4 Гц, 1H), 6,41 (дд, J=8,4, 2,4 Гц, 1H), 6,16-6,02 (м, 2H), 5,99-5,95 (м, 2H), 3,62 (с, 3H), 2,84-2,63 (м, 2H), 2,33-2,12 (м, 2H), 1,96-1,83 (м, 2H), 1,78 (д, J=6,6 Гц, 3H).
1,77 (д, J=6,32 Гц, 3H), 1,89 (м, 2H), 2,28 (м, 2H), 2,75 (м, 2H), 5,96 (д, J=1,37 Гц, 2H), 6,07 (м, 2H), 6,40 (дд, J=8,45, 2,40 Гц, 1H), 6,49 (д, J=2,40 Гц, 1H), 6,71 (д, J=8,45 Гц, 1H), 6,85 (м, 2H), 7,12 (д, J=8,52 Гц, 1H), 7,51 (м, 4H), 7,84 (м, 2H), 8,18 (д, J=7,97 Гц, 1H).
1,77 (д, J=6,59 Гц, 3H), 1,90 (м, 2H), 2,28 (м, 2H), 2,73 (м, 2H), 5,70 (с, 1H), 6,09 (м, 2H), 6,61 (м, 3H), 6,94 (д, J=2,20 Гц, 1H), 7,10 (м, 3H), 7,53 (м, 4H), 7,84 (м, 2H), 8,21 (д, J=8,42 Гц, 1H).
1,76 (д, J=6,59 Гц, 3H), 1,90 (м, 2H), 2,26 (с, 3H), 2,29 (м, 2H), 2,72 (м, 2H), 6,08 (м, 2H), 6,75 (м, 3H), 6,91 (д, J=2,20 Гц, 1H), 7,06 (м, 3H), 7,51 (м, 4H), 7,84 (м, 2H), 8,22 (д, J=8,42 Гц, 1H).
1,77 (д, J=6,22 Гц, 3H), 1,89 (м, 2H), 2,26 (м, 2H), 2,73 (м, 2H), 5,87 (с, 1H), 6,10 (м, 2H), 6,34 (м, 3H), 6,94 (д, J=2,40 Гц, 1H), 7,06 (дд, J=8,40, 2,40 Гц, 1H), 7,13 (д, J=8,10 Гц, 1H), 7,51 (м, 4H), 7,83 (м, 2H), 8,21 (д, J=8,42 Гц, 1H).
1,76 (д, J=6,59 Гц, 3H), 1,89 (м, 2H), 2,27 (м, 2H), 2,69 (м, 2H), 5,92 (с, 2H), 6,06 (м, 2H), 6,45 (дд, J=8,06, 2,20 Гц, 1H), 6,57 (д, J=1,83 Гц, 1H), 6,68 (д, J=8,40 Гц, 1H), 6,77 (д, J=2,56 Гц, 1H), 6,86 (дд, J=8,40, 2,10 Гц, 1H), 7,02 (д, J=8,06 Гц, 1H), 7,50 (м, 4H), 7,84 (м, 2H), 8,20 (д, J=8,42 Гц, 1H).
1,77 (д, J=6,22 Гц, 3H), 1,89 (м, 2H), 2,27 (м, 2H), 2,73 (м, 2H), 5,94 (с, 1H), 6,12 (м, 2H), 6,93 (д, J=2,20 Гц, 1H), 7,16 (м, 6H), 7,49 (м, 4H), 7,84 (м, 2H), 8,21 (д, J=8,42 Гц, 1H).
1,92 (м, 2H), 2,20 (с, 6H), 2,28 (с, 3H), 2,41 (м, 4H), 2,76 (м, 2H), 3,75 (м, 4H), 6,48 (с, 1H), 6,76 (с, 2H), 6,99 (м, 2H), 7,12 (д, J=8,42 Гц, 1H), 7,21 (м, 5H), 8,12 (с, 1H).
2,22 (м, 2H), 2,30 (с, 6H), 2,35 (с, 3H), 2,47 (м, 2H), 2,69 (т, J=7,14 Гц, 2H), 2,97 (т, J=7,23 Гц, 2H), 3,77 (м, 2H) 3,91 (м, 2H), 6,40 (с, 1H), 6,63 (м, 2H) 6,78 (м, 1H), 6,95 (дд, J=8,51, 2,65 Гц, 1H), 7,08 (м, 2H) 7,20 (д, J=8,42 Гц, 1H), 7,26 (м, 3H).
2,28 (с, 6H), 2,48 (м, 4H), 2,69 (т, J=7,14 Гц, 2H), 2,98 (т, J=7,14 Гц, 2H), 3,83 (м, 4H), 6,61 (м, 3H), 6,76 (м, 2H), 6,95 (дд, J=8,42, 2,56 Гц, 1H), 7,09 (д, J=2,56 Гц, 1H), 7,22 (м, 3H), 7,38 (м, 1H), 7,55 (м, 1H).
2,27 (с, 6H), 2,48 (м, 4H), 2,69 (т, J=7,10 ГЦ, 2H), 2,94 (т, J=7,10 Гц, 2H), 3,84 (м, 4H), 6,63 (м, 2H), 6,69 (с, 2H), 6,74 (д, J=0,73 Гц, 1H), 7,07 (м, 3H), 7,21 (м, 2H), 7,39 (м, 1H), 7,55 (м, 1H).
1,50 (м, 2H), 2,00 (м, 2H), 2,22 (с, 6H), 2,26 (м, 2H), 2,48 (м, 2H), 2,58 (м, 2H), 2,93 (м, 2H), 3,52 (м, 2H), 3,65 (м, 2H), 6,68 (с, 2H), 6,78 (с, 1H), 6,92 (д, J=2,56 Гц, 1H), 6,97 (дд, J=8,40, 2,56 Гц, 1H), 7,14 (м, 3H), 7,26 (м, 3H), 8,01 (с, 1H).
1,89 (м, 2H), 2,21 (с, 6H), 2,25 (с, 6H), 2,35 (д, J=12,63 Гц, 2H), 2,44 (м, 2H), 2,84 (т, J=7,96 Гц, 2H), 3,69 (м, 4H) 6,69 (с, 2H), 6,81 (м, 2H), 6,89 (д, J=2,75 Гц, 1H), 6,98 (м, 3H), 7,29 (д, J=8,42 Гц, 1H), 8,54 (с, 1H)
1,49 (м, 2H), 2,01 (м, 2H), 2,16 (с, 6H), 2,27 (д, J=14,10 Гц, 2H), 2,57 (м, 4H), 2,88 (т, J=7,87 Гц, 2H), 3,62 (м, 4H), 6,44 (с, 1H), 6,75 (с, 2H), 6,98 (дд, J=8,42, 2,38 Гц, 1H), 7,15 (м, 5H), 7,24 (м, 2H) 7,99 (с, 1H), 8,11 (с, 1H).
1,90 (м, 2H), 2,24 (с, 9H), 2,41 (м, 4H), 2,78 (т, J=8,06 Гц, 2H), 3,74 (м, 4H), 6,65 (д, J=6,96 Гц, 1H), 6,83 (с, 1H), 6,90 (д, J=9,15 Гц, 1H), 7,01 (м, 4H), 7,12 (м, 3H), 8,20 (с, 1H), 8,53 (с, 1H).
2,05 (м, 2H), 2,25 (с, 6H), 2,54 (м, 4H), 2,87 (т, J=7,87 Гц, 2H), 3,73 (м, 4H), 6,68 (с, 2H), 6,82 (с, 1H), 6,97 (м, 2H), 7,32 (м, 4H), 7,75 (м, 1H), 7,84 (дд, J=8,06, 0,92 Гц, 1H), 8,85 (с, 1H).
2,04 (м, 2H), 2,20 (с, 6H), 2,59 (м, 4H), 2,81 (м, 2H), 3,75 (м, 4H), 6,49 (с, 1H), 6,76 (с, 2H), 7,00 (дд, J=8,33, 2,29 Гц, 1H), 7,13 (д, J=8,42 Гц, 1H), 7,19 (д, J=2,38 Гц, 1H), 7,32 (м, 3H), 7,76 (дд, J=6,96, 1,65 Гц, 1H), 7,82 (д, J=8,42 Гц, 1H), 8,14 (с, 1H), 8,82 (с, 1H)
1,79 (м, 2H), 2,23 (м, 4H), 2,28 (с, 6H), 2,60 (м, 2H), 2,83 (т, J=7,40 Гц, 2H), 3,08 (т, J=7,40 Гц, 2H), 3,65 (м, 2H), 3,82 (м, 2H), 5,96 (с, 1H), 6,64 (с, 2H), 6,78 (с, 1H), 6,95 (м, 3H), 7,06 (д, J=2,56 Гц, 1H), 7,12 (м, 2H), 7,22 (д, J=8,60 Гц, 1H).
1,78 (м, 2H), 2,24 (м, 10H), 2,60 (м, 2H), 2,81 (т, J=7,32 Гц, 2H), 3,04 (т, J=7,32 Гц, 2H), 3,63 (м, 2H), 3,81 (м, 2H), 5,98 (с, 1H), 6,62 (с, 1H), 6,70 (с, 2H), 6,94 (м, 2H), 7,10 (м, 5H).
1,50 (м, 2H), 1,98 (м, 2H), 2,25 (м, 8H), 2,56 (м, 4H), 2,92 (т, J=7,78 Гц, 2H), 3,52 (м, 2H), 3,66 (м, 2H), 6,67 (д, J=0,73 Гц, 2H), 6,77 (с, 1H), 6,95 (м, 2H), 7,09 (м, 2H), 7,20 (м, 2H), 7,30 (д, J=8,42 Гц, 1H), 8,03 (с, 1H).
1,78 (м, 2H), 2,24 (м, 4H), 2,28 (с, 6H), 2,63 (м, 2H), 2,83 (т, J=6,99 Гц, 2H), 3,08 (т, J=6,99 Гц, 2H), 3,64 (м, 2H), 3,82 (м, 2H), 5,96 (с, 1H), 6,64 (с, 2H), 6,78 (с, 1H), 6,91 (м, 4H), 7,05 (д, J=2,56 Гц, 1H), 7,22 (м, 2H).
1,77 (м, 2H), 2,24 (м, 10H), 2,61 (м, 2H), 2,82 (т, J=7,36 Гц, 2H), 3,04 (т, J=7,36 Гц, 2H), 3,65 (м, 2H), 3,81 (м, 2H), 5,99 (с, 1H), 6,62 (с, 1H), 6,70 (с, 2H), 7,05 (м, 7H).

или 