Патент на изобретение №2335457
|
||||||||||||||||||||||||||||||||||||||||||||||||||||||||||||||||||||||||||||||||||||||||||||||||||||||||||||||||||||||||||||||||||||||||||||||||||||||||||||||||||||||||||||||||||||||||||||||||||||||||||||||||||||||||||||||||||||||||||||||||||||||||||||||||||||||||||||||||||||||||||||||||||||||||||||||||||||||||||||||||||||||||||||||||||||||||||||||||||||||||||||||||||||||||||||||||||||||
(54) СПОСОБ ПОЛУЧЕНИЯ ГИДРОКСИДА АЛЮМИНИЯ ПСЕВДОБЕМИТНОЙ СТРУКТУРЫ И ГАММА-ОКСИДА АЛЮМИНИЯ НА ЕГО ОСНОВЕ
(57) Реферат:
Группа изобретений относится к химической технологии и может быть использована в производстве гидроксида алюминия со структурой псевдобемита и гамма-оксида алюминия на его основе, применяемых в производстве катализаторов, носителей и т.д. Способ получения гидроксида алюминия псевдобемитной структуры из гидраргиллита включает гидратацию рентгеноаморфного продукта термической активации гидраргиллита при температуре 10-80°С в жидких растворах неорганических и/или органических веществ при рН, равном 5-10. Соотношение жидкость к твердому составляет 1-10:1. Гамма-оксид алюминия получают из гидроксида алюминия псевдобемитной структуры при температуре 500-800°С. Изобретения позволяют получить дисперсный псевдобемит с высоким его содержанием в конечном продукте, а также дисперсный гамма-оксид алюминия. 2 н. и 5 з.п. ф-лы, 3 табл.
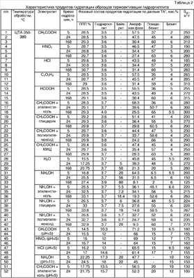
Изобретение относится к химической технологии и может быть использовано в производстве гидроксида алюминия псевдобемитной структуры и гамма-оксида алюминия на его основе, применяемых в производстве катализаторов, носителей, связующих, наполнителей, поглотителей, других областях химической технологии. Существуют различные способы получения гидроксида алюминия псевдобемитной структуры. Известен способ получения гидроксида алюминия псевдобемитной структуры путем его осаждения из водного раствора солей алюминия (нитраты, хлориды, сульфаты) водным раствором осадителя (щелочь) при рН Известен способ получения основных солей алюминия и низкотемпературных форм оксида алюминия [SU 1582538, C01F 7/00, 27.09.1999], основанный на обработке водным раствором кислоты тригидроксида алюминия, предварительно прошедшего стадию термообработки (термоактивации) в газовом потоке при 300-500°С в течение 1-7 с и стадию последующего размола частиц до 5-25 мкм. Процесс ведут при 70-98°С в течение 2-6 ч при отношении Ж:Т=3:10. Получаемый продукт представляет собой аморфную композицию, характеризуемую низким значением удельной поверхности. Кроме того, термическая обработка такого аморфного продукта при 500-600°С приводит к формированию аморфного оксида алюминия, величина удельной поверхности которого также не превышает 50-60 м2/г. Наиболее близким является малоотходный способ получения псевдобемита без его переосаждения, основанный на предварительной активации технического тригидроксида алюминия (гидраргиллита). Так, известен способ получения псевдобемита путем механической обработки технического тригидроксида при температурах 85-110°С [SU 1061404, C01F 7/02, 27.09.1999]. Недостатком такого способа приготовления является невысокая величина удельной поверхности продукта, равная 20-50 м2/г, и, кроме того, высокое содержание натрия. Изобретение решает задачу разработки экологически чистого способа получения высокодисперсного гидроксида алюминия псевдобемитной структуры с высоким его содержанием в конечном продукте из продуктов термической активации технического гидраргиллита путем их обработки водными растворами неорганических и/или органических соединений при нормальных условиях. Задача решается способом получения гидроксида алюминия псевдобемитной структуры из гидраргиллита, включающим гидратацию рентгеноаморфного продукта термической активации гидраргиллита, которую проводят при температуре 10-80°С в жидких растворах неорганических и/или органических веществ при рН, равном 5-10. Соотношение жидкого раствора к рентгеноаморфному продукту термической активации гидраргиллита равно 1-10:1, гидратацию проводят в течение 2-168 ч и постоянном перемешивании. В качестве неорганических и органических веществ применяют растворы неорганических и/или органических кислот, например азотной, соляной, уксусной, молочной, муравьиной; оснований, например раствор аммиака; поверхностно-активных веществ, например растворы полиэтиленоксида, этиленгликоля, глицерина, карбоксиметилцеллюлозы. Активацию гидраргиллита проводят, например, при тонкослойном его распределении под действием центробежных сил на вращающейся и нагретой до температуры 330-600°С поверхности и времени контакта 0.1-2 с, с получением псевдоаморфной структуры продукта терморазложения гидраргиллита, или путем пропускания гидраргиллита через кипящий слой частиц твердого теплоносителя при времени контакта 0.05-0.5 с [SU 517564, C01F 7/30, 33.12.86], или путем разложения гидраргиллита в паровоздушной смеси в реакторе термохимической активации в течение 0.01-1 с [SU 1129861, C01F 7/44, 27.09.99]. Для увеличения скорости образования псевдобемита и получения высокодисперсного однофазного продукта гидратации псевдоаморфную структуру продукта терморазложения гидраргиллита разрушают механическими (путем измельчения, например пропусканием порошка через дезинтегратор марки ДЭЗИ) или химическими (путем добавления во время гидратации органических добавок, например ПАВ) методами. Полученный после гидратации гидроксид алюминия псевдобемитной структуры подвергают сушке при температуре не выше 150°С. Гидроксид алюминия псевдобемитной структуры содержит не менее 60 мас.% псевдобемита. Получаемый гидроксид алюминия псевдобемитной структуры характеризуется величиной удельной поверхности, изменяющейся в пределах от 185 до 350 м2/г. Гидратация, осуществляемая при рН менее 5, приводит к образованию основных солей алюминия. Гидратация при рН более 10 приводит к образованию фаз байерита и гидраргиллита. Соотношение Ж:Т=1-10:1 выбрано по технологическим соображениям для обеспечения постоянного перемешивания. При температуре ниже 10°С продукты гидратации не фиксируются за указанное время. Увеличение температуры выше 80°С или времени гидратации выше 168 ч приводит к образованию байерита, гидраргиллита, окристаллизованного бемита или основных солей алюминия в зависимости от рН среды. Время гидратации менее 5 ч не приводит к образованию 60% содержания основного продукта. Таким образом, выбранные условия гидратации позволяют получать продукт необходимого качества. Изобретение также решает задачу получения гамма-оксида алюминия Известен способ получения гамма-оксида алюминия, включающий термическую обработку гидроксида алюминия псевдобемитной структуры [SU 1218618, C01F 7/02, 27.08.1999]. Задача решается путем получения гамма-оксида алюминия термической обработкой при температуре 500-800°С гидроксида алюминия псевдобемитной структуры, полученного как описано выше. При температуре менее 500°С гидроксид алюминия псевдобемитной структуры не разлагается. При температуре выше 800°С образуются другие формы оксида алюминия. Оксид алюминия, получаемый из синтезированного псевдобемита, представляет собой Существенными отличительными признаками предлагаемого способа получения гидроксида алюминия псевдобемитной структуры являются: 1) мягкие условия гидратации, 2) величина удельной поверхности получаемых гидроксидов и гамма-оксида алюминия составляет соответственно 185-350 и 380-400 м2/г. Сущность изобретения иллюстрируется следующими примерами. Пример 1. Центробежно-термическую активацию гидраргиллита осуществляют в установке, которая представляет собой камеру, внутри которой вращается твердый теплоноситель – профилированная специальным образом тарель. Скорость вращения может изменяться и определяет время контакта. Под тарелью расположены нагревательные элементы. Температуру теплоносителя регулируют тремя термопарами. Технический гидрат глинозема (гидраргиллит) из бункера-дозатора подается на разогретую тарель, резко нагревается и под действием центробежной силы двигается по поверхности теплоносителя к стенкам камеры, снабженным рубашкой охлаждения. При ударе разогретых частиц продукта активации о холодные стенки камеры происходит их резкое охлаждение (закалка). Камера снабжена отверстиями для выхода пара и приемным бункером для порошка. 40 кг технического гидрата глинозема (гидраргиллита) с исходной влажностью 4.5% и температурой 25°С подают со скоростью 15 кг/ч на нагретую до 350-380°С тарель, время контакта 1.5 с. Образующийся продукт имеет удельную поверхность 160 м2/г. Условия терморазложения и характеристики образующегося продукта приведены в таблице 1, пример 1. Характеристики продуктов центробежно-термичекой активации, полученных при других расходах и температуре, продуктов термохимической активации (ТХА) и продуктов термической активации (ПТ) представлены в таблице 1. 500 г продукта центробежно-термической активации гидраргиллита помещают в емкость, снабженную мешалкой, приливают 1,5 л дистиллированной воды. Затем в емкость приливают 70% раствор уксусной кислоты для создания рН 5.5. Гидратацию ведут при постоянном перемешивании в течение 5 ч. Полученную суспензию отфильтровывают и отмывают от кислоты дистиллированной водой до рН 6.5-7. Отмытый осадок сушат при 110°С в течение 24 ч и измельчают. Характеристики продукта гидратации представлены в таблице 2, пример 1. Содержание псевдобемита по данным фазового анализа (РФА) совпадает с содержанием псевдобемита по данным термического анализа (ТА). Пример 2. Аналогичен примеру 1, время гидратации 24 ч. Характеристики продукта гидратации представлены в таблице 2. Пример 3. Аналогичен примеру 1, время гидратации 168 ч. Характеристики продукта гидратации представлены в таблице 2. Пример 4. Аналогичен примеру 1, в емкость для гидратации приливают раствор азотной кислоты для создания рН 5.5. Время гидратации 5 ч. Характеристики продукта гидратации представлены в таблице 2. Пример 5. Аналогичен примеру 1, в емкость для гидратации приливают раствор азотной кислоты для создания рН 5.5. Время гидратации 24 ч. Характеристики продукта гидратации представлены в таблице 2. Пример 6. Аналогичен примеру 1, в емкость для гидратации приливают раствор азотной кислоты для создания рН 5.5. Время гидратации 168 ч. Характеристики продукта гидратации представлены в таблице 2. Пример 7. Аналогичен примеру 1, в емкость для гидратации приливают раствор соляной кислоты для создания рН 5.5. Время гидратации 5 ч. Характеристики продукта гидратации представлены в таблице 2. Пример 8. Аналогичен примеру 1, в емкость для гидратации приливают раствор соляной кислоты для создания рН 5.5. Время гидратации 24 ч. Характеристики продукта гидратации представлены в таблице 2. Пример 9. Аналогичен примеру 1, в емкость для гидратации приливают раствор соляной кислоты для создания рН 5.5. Время гидратации 168 ч. Характеристики продукта гидратации представлены в таблице 2. Пример 10. Аналогичен примеру 1, в емкость для гидратации приливают раствор молочной кислоты для создания рН 5.5. Время гидратации 5 ч. Характеристики продукта гидратации представлены в таблице 2. Пример 11. Аналогичен примеру 1, в емкость для гидратации приливают раствор молочной кислоты для создания рН 5.5. Время гидратации 24 ч. Характеристики продукта гидратации представлены в таблице 2. Пример 12. Аналогичен примеру 1, в емкость для гидратации приливают раствор молочной кислоты для создания рН 5.5. Время гидратации 168 ч. Характеристики продукта гидратации представлены в таблице 2. Пример 13. Аналогичен примеру 1, в емкость для гидратации приливают раствор муравьиной кислоты для создания рН 5.5. Время гидратации 5 ч. Характеристики продукта гидратации представлены в таблице 2. Пример 14. Аналогичен примеру 1, в емкость для гидратации приливают раствор муравьиной кислоты для создания рН 5.5. Время гидратации 24 ч. Характеристики продукта гидратации представлены в таблице 2. Пример 15. Аналогичен примеру 1, в емкость для гидратации приливают раствор муравьиной кислоты для создания рН 5.5. Время гидратации 168 ч. Характеристики продукта гидратации представлены в таблице 2. Пример 16. 500 г продукта центробежно-термической активации гидраргиллита помещают в емкость, снабженную мешалкой, приливают 1,5 л дистиллированной воды. Затем в емкость приливают 70% раствор уксусной кислоты для создания рН 5.5 и раствор ПАВ (этиленгликоль). Гидратацию ведут при постоянном перемешивании в течение 5 ч. Полученную суспензию отфильтровывают и отмывают от кислоты дистиллированной водой до рН 6.5-7. Отмытый осадок сушат при 110°С в течение 24 ч и измельчают. Характеристики продукта гидратации представлены в таблице 2. Пример 17. Аналогичен примеру 16, время гидратации 24 ч. Характеристики продукта гидратации представлены в таблице 2. Пример 18. Аналогичен примеру 16, время гидратации 168 ч. Характеристики продукта гидратации представлены в таблице 2. Пример 19. Аналогичен примеру 16, в емкость для гидратации приливают раствор ПАВ (глицерин), время гидратации 5 ч. Характеристики продукта гидратации представлены в таблице 2. Пример 20. Аналогичен примеру 19, время гидратации 24 ч. Характеристики продукта гидратации представлены в таблице 2. Пример 21. Аналогичен примеру 19, время гидратации 168 ч. Характеристики продукта гидратации представлены в таблице 2. Пример 22. Аналогичен примеру 16, в емкость для гидратации приливают раствор ПАВ (полиэтиленоксид), время гидратации 5 ч. Характеристики продукта гидратации представлены в таблице 2. Пример 23. Аналогичен примеру 22, время гидратации 24 ч. Характеристики продукта гидратации представлены в таблице 2. Пример 24. Аналогичен примеру 22, время гидратации 168 ч. Характеристики продукта гидратации представлены в таблице 2. Пример 25. Аналогичен примеру 22, в емкость для гидратации приливают раствор ПАВ (карбоксиметилцеллюлоза), время гидратации 5 ч. Характеристики продукта гидратации представлены в таблице 2. Пример 26. Аналогичен примеру 25, время гидратации 24 ч. Характеристики продукта гидратации представлены в таблице 2. Пример 27. Аналогичен примеру 25, время гидратации 168 ч. Характеристики продукта гидратации представлены в таблице 2. Пример 28. 500 г продукта центробежно-термической активации гидраргиллита помещают в емкость, снабженную мешалкой, приливают 1,5 л дистиллированной воды. Гидратацию ведут при постоянном перемешивании в течение 5 ч. Полученную суспензию отфильтровывают. Осадок сушат при 110°С в течение 24 ч и измельчают. Характеристики продукта гидратации представлены в таблице 2. Пример 29. Аналогичен примеру 28, время гидратации 24 ч. Характеристики продукта гидратации представлены в таблице 2. Пример 30. Аналогичен примеру 28, время гидратации 168 ч. Характеристики продукта гидратации представлены в таблице 2. Пример 31. 500 г продукта центробежно-термической активации гидраргиллита помещают в емкость, снабженную мешалкой, приливают 1,5 л дистиллированной воды. Затем в емкость приливают 25% раствор аммиака для создания рН 10. Гидратацию ведут при постоянном перемешивании в течение 5 ч. Полученную суспензию отмывают от аммиака дистиллированной водой до рН 7-7.5 и отфильтровывают. Осадок сушат при 110°С в течение 24 ч и измельчают. Характеристики продукта гидратации представлены в таблице 2. Пример 32. Аналогичен примеру 31, время гидратации 24 ч. Характеристики продукта гидратации представлены в таблице 2. Пример 33. Аналогичен примеру 31, время гидратации 168 ч. Характеристики продукта гидратации представлены в таблице 2. Пример 34. 500 г продукта центробежно-термической активации гидраргиллита помещают в емкость, снабженную мешалкой, приливают 1,5 л дистиллированной воды. Затем в емкость приливают раствор ПАВ (этиленгликоль) и 25% раствор аммиака для создания рН 10. Гидратацию ведут при постоянном перемешивании в течение 5 ч. Полученную суспензию отмывают от аммиака дистиллированной водой до рН 7-7.5 и отфильтровывают. Осадок сушат при 110°С в течение 24 ч и измельчают. Характеристики продукта гидратации представлены в таблице 2. Пример 35. Аналогичен примеру 34, время гидратации 24 ч. Характеристики продукта гидратации представлены в таблице 2. Пример 36. Аналогичен примеру 34, время гидратации 168 ч. Характеристики продукта гидратации представлены в таблице 2. Пример 37. Аналогичен примеру 34, в емкость для гидратации приливают раствор ПАВ (глицерин), время гидратации 5 ч. Характеристики продукта гидратации представлены в таблице 2. Пример 38. Аналогичен примеру 37, время гидратации 24 ч. Характеристики продукта гидратации представлены в таблице 2. Пример 39. Аналогичен примеру 37, время гидратации 168 ч. Характеристики продукта гидратации представлены в таблице 2. Пример 40. Аналогичен примеру 34, в емкость для гидратации приливают раствор ПАВ (полиэтиленоксид), время гидратации 5 ч. Характеристики продукта гидратации представлены в таблице 2. Пример 41. Аналогичен примеру 40, время гидратации 24 ч. Характеристики продукта гидратации представлены в таблице 2. Пример 42. Аналогичен примеру 40, время гидратации 168 ч. Характеристики продукта гидратации представлены в таблице 2. Пример 43. 500 г продукта центробежно-термической активации гидраргиллита помещают в емкость, снабженную мешалкой, приливают 1,5 л дистиллированной воды. Затем в емкость приливают 70% раствор уксусной кислоты для создания рН<5. Гидратацию ведут при постоянном перемешивании в течение 5 ч. Полученную суспензию отмывают от кислоты дистиллированной водой до рН 7-7.5 и отфильтровывают. Осадок сушат при 110°С в течение 24 ч и измельчают. Характеристики продукта гидратации представлены в таблице 2. Пример 44. Аналогичен примеру 43, время гидратации 24 ч. Характеристики продукта гидратации представлены в таблице 2. Пример 45. Аналогичен примеру 43, в емкость для гидратации приливают раствор азотной кислоты для создания рН<5. Характеристики продукта гидратации представлены в таблице 2. Пример 46. Аналогичен примеру 45, время гидратации 24 ч. Характеристики продукта гидратации представлены в таблице 2. Пример 47. Аналогичен примеру 43, в емкость для гидратации приливают раствор соляной кислоты для создания рН<5. Характеристики продукта гидратации представлены в таблице 2. Пример 48. Аналогичен примеру 47, время гидратации 24 ч. Характеристики продукта гидратации представлены в таблице 2. Пример 49. 500 г продукта центробежно-термической активации гидраргиллита помещают в емкость, снабженную мешалкой, приливают 1,5 л дистиллированной воды. Затем в емкость приливают 25% раствор аммиака для создания рН>11. Гидратацию ведут при постоянном перемешивании в течение 5 ч. Полученную суспензию отмывают от аммиака дистиллированной водой до рН 7-7.5 и отфильтровывают. Осадок сушат при 110°С в течение 24 ч и измельчают. Характеристики продукта гидратации представлены в таблице 2. Пример 50. Аналогичен примеру 49, время гидратации 24 ч. Характеристики продукта гидратации представлены в таблице 2. Пример 51. 500 г продукта центробежно-термической активации гидраргиллита помещают в емкость, снабженную мешалкой, приливают 1,5 л дистиллированной воды. Затем в емкость приливают 70% раствор уксусной кислоты для создания рН<5 и раствор ПАВ (этиленгликоль). Гидратацию ведут при постоянном перемешивании в течение 5 ч. Полученную суспензию отмывают от аммиака дистиллированной водой до рН 7-7.5 и отфильтровывают. Осадок сушат при 110°С в течение 24 ч и измельчают. Характеристики продукта гидратации представлены в таблице 2. Пример 52. Аналогичен примеру 51, время гидратации 24 ч. Характеристики продукта гидратации представлены в таблице 2. Пример 53. Аналогичен примеру 51, в емкость для гидратации приливают раствор ПАВ (глицерин). Характеристики продукта гидратации представлены в таблице 2. Пример 54. Аналогичен примеру 53, время гидратации 24 ч. Характеристики продукта гидратации представлены в таблице 2. Пример 55. Аналогичен примеру 53, в емкость для гидратации приливают раствор ПАВ (полиэтиленоксид). Характеристики продукта гидратации представлены в таблице 2. Пример 56. Аналогичен примеру 55, время гидратации 24 ч. Характеристики продукта гидратации представлены в таблице 2. Пример 57. 500 г продукта центробежно-термической активации гидраргиллита помещают в емкость, снабженную мешалкой, приливают 1,5 л дистиллированной воды. Затем в емкость приливают 25% раствор аммиака для создания рН>11 и раствор ПАВ. Гидратацию ведут при постоянном перемешивании в течение 5 ч. Полученную суспензию отмывают от аммиака дистиллированной водой до рН 7-7.5 и отфильтровывают. Осадок сушат при 110°С в течение 24 ч и измельчают. Характеристики продукта гидратации представлены в таблице 2, пример 22. Пример 58. Аналогичен примеру 57, время гидратации 24 ч. Характеристики продукта гидратации представлены в таблице 2. Пример 59. 500 г продукта термохимической активации гидраргиллита (ТХА) помещают в емкость, снабженную мешалкой, приливают 1,5 л дистиллированной воды. Затем в емкость приливают 70% раствор уксусной кислоты для создания рН 5.5. Гидратацию ведут при постоянном перемешивании в течение 24 ч. Полученную суспензию отфильтровывают и отмывают от кислоты дистиллированной водой до рН 6.5-7. Отмытый осадок сушат при 110°С в течение 24 ч и измельчают. Характеристики продукта гидратации представлены в таблице 2. Содержание псевдобемита по данным фазового анализа (РФА) совпадает с содержанием псевдобемита по данным термического анализа (ТА). Пример 60. Аналогичен примеру 59, время гидратации 168 ч. Характеристики продукта гидратации представлены в таблице 2. Пример 61. Аналогичен примеру 59, в емкость для гидратации приливают раствор азотной кислоты для создания рН 5.5. Характеристики продукта гидратации представлены в таблице 2. Пример 62. Аналогичен примеру 61, время гидратации 168 ч. Характеристики продукта гидратации представлены в таблице 2. Пример 63. 500 г продукта ТХА гидраргиллита помещают в емкость, снабженную мешалкой, приливают 1,5 л дистиллированной воды. Затем в емкость приливают 70% раствор уксусной кислоты для создания рН 5.5 и раствор ПАВ (этиленгликоль). Гидратацию ведут при постоянном перемешивании в течение 24 ч. Полученную суспензию отфильтровывают и отмывают от кислоты дистиллированной водой до рН 6.5-7. Отмытый осадок сушат при 110°С в течение 24 ч и измельчают. Характеристики продукта гидратации представлены в таблице 2. Пример 64. Аналогичен примеру 63, время гидратации 168 ч. Характеристики продукта гидратации представлены в таблице 2. Пример 65. Аналогичен примеру 63, в емкость для гидратации приливают раствор ПАВ (полиэтиленоксид). Характеристики продукта гидратации представлены в таблице 2. Пример 66. Аналогичен примеру 65, время гидратации 168 ч. Характеристики продукта гидратации представлены в таблице 2. Пример 67. 500 г продукта ТХА гидраргиллита помещают в емкость, снабженную мешалкой, приливают 1,5 л дистиллированной воды. Затем в емкость приливают 25% раствор аммиака для создания рН 10. Гидратацию ведут при постоянном перемешивании в течение 24 ч. Полученную суспензию отмывают от аммиака дистиллированной водой до рН 7-7.5 и отфильтровывают. Осадок сушат при 110°С в течение 24 ч и измельчают. Характеристики продукта гидратации представлены в таблице 2. Пример 68. Аналогичен примеру 67, время гидратации 168 ч. Характеристики продукта гидратации представлены в таблице 2. Пример 69. 500 г продукта ТХА гидраргиллита помещают в емкость, снабженную мешалкой, приливают 1,5 л дистиллированной воды. Затем в емкость приливают раствор ПАВ (этиленгликоль) и 25% раствор аммиака для создания рН 10. Гидратацию ведут при постоянном перемешивании в течение 24 ч. Полученную суспензию отмывают от аммиака дистиллированной водой до рН 7-7.5 и отфильтровывают. Осадок сушат при 110°С в течение 24 ч и измельчают. Характеристики продукта гидратации представлены в таблице 2. Пример 70. Аналогичен примеру 69, время гидратации 168 ч. Характеристики продукта гидратации представлены в таблице 2. Пример 71. Аналогичен примеру 69, в емкость для гидратации приливают раствор ПАВ (полиэтиленоксид). Характеристики продукта гидратации представлены в таблице 2. Пример 72. Аналогичен примеру 71, время гидратации 168 ч. Характеристики продукта гидратации представлены в таблице 2. Пример 73. 500 г продукта термической активации (ПТ) гидраргиллита помещают в емкость, снабженную мешалкой, приливают 1,5 л дистиллированной воды. Затем в емкость приливают 70% раствор уксусной кислоты для создания рН 5.5. Гидратацию ведут при постоянном перемешивании в течение 24 ч. Полученную суспензию отфильтровывают и отмывают от кислоты дистиллированной водой до рН 6.5-7. Отмытый осадок сушат при 110°С в течение 24 ч и измельчают. Характеристики продукта гидратации представлены в таблице 2, пример 32. Содержание псевдобемита по данным фазового анализа (РФА) совпадает с содержанием псевдобемита по данным термического анализа (ТА). Пример 74. Аналогичен примеру 73, время гидратации 168 ч. Характеристики продукта гидратации представлены в таблице 2. Пример 75. Аналогичен примеру 73, в емкость для гидратации приливают раствор азотной кислоты для создания рН 5.5. Характеристики продукта гидратации представлены в таблице 2. Пример 76. Аналогичен примеру 75, время гидратации 168 ч. Характеристики продукта гидратации представлены в таблице 2. Пример 77. 500 г продукта ПТ гидраргиллита помещают в емкость, снабженную мешалкой, приливают 1,5 л дистиллированной воды. Затем в емкость приливают 70% раствор уксусной кислоты для создания рН 5.5 и раствор ПАВ (этиленгликоль). Гидратацию ведут при постоянном перемешивании в течение 24 ч. Полученную суспензию отфильтровывают и отмывают от кислоты дистиллированной водой до рН 6.5-7. Отмытый осадок сушат при 110°С в течение 24 ч и измельчают. Характеристики продукта гидратации представлены в таблице 2. Пример 78. Аналогичен примеру 77, время гидратации 168 ч. Характеристики продукта гидратации представлены в таблице 2. Пример 79. Аналогичен примеру 77, в емкость для гидратации приливают раствор ПАВ (полиэтиленоксид). Характеристики продукта гидратации представлены в таблице 2. Пример 80. Аналогичен примеру 79, время гидратации 168 ч. Характеристики продукта гидратации представлены в таблице 2. Пример 81. 500 г продукта ПТ гидраргиллита помещают в емкость, снабженную мешалкой, приливают 1,5 л дистиллированной воды. Затем в емкость приливают 25% раствор аммиака для создания рН 10. Гидратацию ведут при постоянном перемешивании в течение 24 ч. Полученную суспензию отмывают от аммиака дистиллированной водой до рН 7-7.5 и отфильтровывают. Осадок сушат при 110°С в течение 24 ч и измельчают. Характеристики продукта гидратации представлены в таблице 2. Пример 82. Аналогичен примеру 81, время гидратации 168 ч. Характеристики продукта гидратации представлены в таблице 2. Пример 83. 500 г продукта ПТ гидраргиллита помещают в емкость, снабженную мешалкой, приливают 1,5 л дистиллированной воды. Затем в емкость приливают раствор ПАВ (этиленгликоль) и 25% раствор аммиака для создания рН 10. Гидратацию ведут при постоянном перемешивании в течение 24 ч. Полученную суспензию отмывают от аммиака дистиллированной водой до рН 7-7.5 и отфильтровывают. Осадок сушат при 110°С в течение 24 ч и измельчают. Характеристики продукта гидратации представлены в таблице 2. Пример 84. Аналогичен примеру 83, время гидратации 168 ч. Характеристики продукта гидратации представлены в таблице 2. Пример 85. Аналогичен примеру 83, в емкость для гидратации приливают раствор ПАВ (полиэтиленоксид). Характеристики продукта гидратации представлены в таблице 2. Пример 86. Аналогичен примеру 85, время гидратации 168 ч. Характеристики продукта гидратации представлены в таблице 2. Примеры 87-101. Характеристики образцов, полученных при гидратации продуктов центробежно-термичекой активации, произведенных при других расходах и температуре, представлены в таблице 2. Примеры 102-122 иллюстрируют получение активного оксида алюминия Пример 102. Гидроксид алюминия, полученный согласно примеру 2, прокаливают при 550°С в токе осушенного воздуха в течение 4 ч. Характеристики получаемого оксида алюминия приведены в таблице 3. Пример 103. Гидроксид алюминия, полученный согласно примеру 5, прокаливают при 550°С в токе осушенного воздуха в течение 4 ч. Характеристики получаемого оксида алюминия приведены в таблице 3. Пример 104. Гидроксид алюминия, полученный согласно примеру 8, прокаливают при 550°С в токе осушенного воздуха в течение 4 ч. Характеристики получаемого оксида алюминия приведены в таблице 3. Пример 105. Гидроксид алюминия, полученный согласно примеру 11, прокаливают при 550°С в токе осушенного воздуха в течение 4 ч. Характеристики получаемого оксида алюминия приведены в таблице 3. Пример 106. Гидроксид алюминия, полученный согласно примеру 14, прокаливают при 550°С в токе осушенного воздуха в течение 4 ч. Характеристики получаемого оксида алюминия приведены в таблице 3. Пример 107. Гидроксид алюминия, полученный согласно примеру 17, прокаливают при 550°С в токе осушенного воздуха в течение 4 ч. Характеристики получаемого оксида алюминия приведены в таблице 3. Пример 108. Гидроксид алюминия, полученный согласно примеру 20, прокаливают при 550°С в токе осушенного воздуха в течение 4 ч. Характеристики получаемого оксида алюминия приведены в таблице 3. Пример 109. Гидроксид алюминия, полученный согласно примеру 23, прокаливают при 550°С в токе осушенного воздуха в течение 4 ч. Характеристики получаемого оксида алюминия приведены в таблице 3. Пример 110. Гидроксид алюминия, полученный согласно примеру 26, прокаливают при 550°С в токе осушенного воздуха в течение 4 ч. Характеристики получаемого оксида алюминия приведены в таблице 3. Пример 111. Гидроксид алюминия, полученный согласно примеру 29, прокаливают при 550°С в токе осушенного воздуха в течение 4 ч. Характеристики получаемого оксида алюминия приведены в таблице 3. Пример 112. Гидроксид алюминия, полученный согласно примеру 32, прокаливают при 550°С в токе осушенного воздуха в течение 4 ч. Характеристики получаемого оксида алюминия приведены в таблице 3. Пример 113. Гидроксид алюминия, полученный согласно примеру 44, прокаливают при 550°С в токе осушенного воздуха в течение 4 ч. Характеристики получаемого оксида алюминия приведены в таблице 3. Пример 114. Гидроксид алюминия, полученный согласно примеру 47, прокаливают при 550°С в токе осушенного воздуха в течение 4 ч. Характеристики получаемого оксида алюминия приведены в таблице 3. Пример 115. Гидроксид алюминия, полученный согласно примеру 50, прокаливают при 550°С в токе осушенного воздуха в течение 4 ч. Характеристики получаемого оксида алюминия приведены в таблице 3. Пример 116. Гидроксид алюминия, полученный согласно примеру 52, прокаливают при 550°С в токе осушенного воздуха в течение 4 ч. Характеристики получаемого оксида алюминия приведены в таблице 3. Пример 117. Гидроксид алюминия, полученный согласно примеру 56, прокаливают при 550°С в токе осушенного воздуха в течение 4 ч. Характеристики получаемого оксида алюминия приведены в таблице 3. Пример 118. Гидроксид алюминия, полученный согласно примеру 59, прокаливают при 550°С в токе осушенного воздуха в течение 4 ч. Характеристики получаемого оксида алюминия приведены в таблице 3. Пример 119. Гидроксид алюминия, полученный согласно примеру 61, прокаливают при 550°С в токе осушенного воздуха в течение 4 ч. Характеристики получаемого оксида алюминия приведены в таблице 3. Пример 120. Гидроксид алюминия, полученный согласно примеру 63, прокаливают при 550°С в токе осушенного воздуха в течение 4 ч. Характеристики получаемого оксида алюминия приведены в таблице 3. Пример 121. Гидроксид алюминия, полученный согласно примеру 73, прокаливают при 550°С в токе осушенного воздуха в течение 4 ч. Характеристики получаемого оксида алюминия приведены в таблице 3. Пример 122. Гидроксид алюминия, полученный согласно примеру 77, прокаливают при 550°С в токе осушенного воздуха в течение 4 ч. Характеристики получаемого оксида алюминия приведены в таблице 3. Как видно из приведенных примеров и таблиц, данный способ приготовления позволяет без переосаждения, при малом расходе реагентов и меньших энергетических затратах, достаточно быстро получать псевдобемит и оксид алюминия с развитой величиной удельной поверхности, с различной дисперсностью. Это открывает новые возможности на пути дальнейшего использования псевдобемита для приготовления связующих, а также носителей и катализаторов на основе гамма-оксида алюминия, являющегося продуктом терморазложения псевдобемита. Кроме того, предлагаемый способ получения гидроксида и оксида алюминия является экологически безопасным.
Формула изобретения
1. Способ получения гидроксида алюминия псевдобемитной структуры из гидраргиллита, включающий гидратацию рентгеноаморфного продукта термической активации гидраргиллита, отличающийся тем, что гидратацию проводят при температуре 10-80°С в жидких растворах неорганических и/или органических веществ при рН 5-10. 2. Способ по п.1, отличающийся тем, что соотношение жидкого раствора к рентгеноаморфному продукту термической активации гидраргиллита равно 1-10:1. 3. Способ по пп.1 и 2, отличающийся тем, что гидратацию проводят в течение 2-168 ч и постоянном перемешивании. 4. Способ по п.1, отличающийся тем, что в качестве неорганических и органических веществ применяют растворы неорганических и/или органических кислот, например, азотной, соляной, уксусной, молочной, муравьиной; оснований, например, раствор аммиака; поверхностно-активных веществ, например, растворы полиэтиленоксида, этиленгликоля, глицерина, карбоксиметилцеллюлозы. 5. Способ по п.1, отличающийся тем, что перед гидратацией проводят измельчение ретгеноаморфного продукта термической активации гидраргиллита. 6. Способ по п.1, отличающийся тем, что полученный после гидратации гидроксид алюминия псевдобемитной структуры подвергают сушке при температуре не выше 150°С. 7. Способ получения гамма-оксида алюминия термической обработкой гидроксида алюминия псевдобемитной структуры, отличающийся тем, что используют гидроксид алюминия псевдобемитной структуры, полученный по любому из пп.1-6, и его термическую обработку ведут при температуре 500-800°С.
|
||||||||||||||||||||||||||||||||||||||||||||||||||||||||||||||||||||||||||||||||||||||||||||||||||||||||||||||||||||||||||||||||||||||||||||||||||||||||||||||||||||||||||||||||||||||||||||||||||||||||||||||||||||||||||||||||||||||||||||||||||||||||||||||||||||||||||||||||||||||||||||||||||||||||||||||||||||||||||||||||||||||||||||||||||||||||||||||||||||||||||||||||||||||||||||||||||||||

6 и температуре осаждения 70°С, величина удельной поверхности которого может изменяться в широких пределах: от 250 до 420 м2
-Al2О3 с высокой величиной удельной поверхности 380-400 м2/г.


-Al2О3
-Al2О3