|
|
(21), (22) Заявка: 2006129958/02, 18.08.2006
(24) Дата начала отсчета срока действия патента:
18.08.2006
(43) Дата публикации заявки: 27.02.2008
(46) Опубликовано: 10.10.2008
(56) Список документов, цитированных в отчете о поиске:
RU 2228257 С1, 10.05.2004. RU 2066626 С1, 20.09.1996. RU 2079867 С1, 20.05.1997. RU 2212330 С1, 20.09.2003. ЕР 0120198 А1, 18.01.1984.
Адрес для переписки:
690041, Приморский край, г.Владивосток, ул. Радио, 5, ИАПУ ДВО РАН
|
(72) Автор(ы):
Филаретов Владимир Федорович (RU), Жирабок Алексей Нилович (RU), Кацурин Алексей Анатольевич (RU), Лебедев Александр Васильевич (RU), Юхимец Дмитрий Александрович (RU)
(73) Патентообладатель(и):
Институт автоматики и процессов управления ДВО РАН (RU)
|
(54) УСТРОЙСТВО ДЛЯ УПРАВЛЕНИЯ ПРИВОДОМ РОБОТА
(57) Реферат:
Изобретение относится к робототехнике и может быть использовано для создания систем управления приводами робота. Электропривод робота содержит сумматоры, блоки умножения, усилитель и двигатель, связанный с первым датчиком скорости непосредственно и через редуктор – с первым датчиком положения, а также функциональные преобразователи, задатчики сигналов и дифференциальный блок. Технический результат заключается в обеспечении полной инвариантности динамических свойств электропривода робота к непрерывным и быстрым изменениям его моментных нагрузочных характеристик. 2 ил.
Изобретение относится к робототехнике и может быть использовано при создании систем управления приводами роботов.
Известно устройство для управления приводом робота, содержащее последовательно соединенные первый сумматор, второй сумматор, первый блок умножения, третий сумматор, усилитель и двигатель, связанный с первым датчиком скорости непосредственно и через редуктор – с первым датчиком положения, выход которого подключен к первому входу первого сумматора, соединенного вторым входом с входом устройства, последовательно подключенные релейный элемент и четвертый сумматор, второй вход которого подключен к входу релейного элемента, второму входу второго сумматора и выходу первого датчика скорости, выход – к второму входу третьего сумматора, последовательно соединенные первый задатчик сигнала и пятый сумматор, а также второй датчик скорости, датчик массы, второй задатчик сигнала, квадратор, шестой сумматор, второй, третий, четвертый и пятый блоки умножения, первый датчик ускорения, а также первый косинусный и второй синусный функциональные преобразователи, вход каждого из которых соединен с выходом первого датчика положения, выход датчика массы подключен к второму входу первого блока умножения, первому входу шестого сумматора и второму входу пятого сумматора, соединенного выходом с первыми входами второго и третьего блоков умножения, второй вход каждого из которых подключен соответственно к выходу первого и второго функциональных преобразователей, а их выходы – соответственно к второму входу шестого сумматора и первому входу четвертого блока умножения, соединенного вторым входом через квадратор с выходом второго датчика скорости, а выходом – с третьим входом четвертого сумматора, четвертый вход которого подключен к выходу пятого блока умножения, соединенного первым входом с выходом первого датчика ускорения, а вторым входом – с выходом шестого сумматора, третий вход которого подключен к выходу второго задатчика сигнала, а выход второго сумматора соединен с третьим входом третьего сумматора, а также второй датчик ускорения, установленный на валу двигателя и выходом подключенный к четвертому входу третьего сумматора, последовательно соединенные седьмой сумматор, первый вход которого подключен к выходу второго датчика скорости, шестой блок умножения, второй вход которого подключен к выходу первого датчика ускорения, седьмой блок умножения, второй вход которого соединен с выходом второго функционального преобразователя, восьмой сумматор, восьмой блок умножения, второй вход которого подключен к выходу пятого сумматора, и девятый сумматор, второй вход которого через последовательно соединенные первый дифференциатор и девятый блок умножения подключен к выходу первого датчика ускорения, а его выход – к пятому входу третьего сумматора, последовательно соединенные десятый и одиннадцатый блоки умножения, причем второй вход девятого блока умножения подключен к выходу шестого сумматора, первый и второй входы десятого блока умножения – соответственно к выходам квадратора и первого функционального преобразователя, второй вход одиннадцатого блока умножения – к выходу первого датчика скорости и второму входу седьмого сумматора, а его выход – к второму входу восьмого сумматора, отличающееся тем, что в него дополнительно введены последовательно соединенные второй датчик положения, установленный во второй степени подвижности манипулятора, десятый сумматор, второй вход которого подключен к выходу первого датчика положения, третий синусный функциональный преобразователь, двенадцатый блок умножения, второй вход которого через второй дифференциатор подключен к выходу третьего датчика ускорения, установленного в первой степени подвижности манипулятора, тринадцатый блок умножения и одиннадцатый сумматор, выход которого подключен к шестому входу третьего сумматора, последовательно соединенные четвертый косинусный функциональный преобразователь, четырнадцатый, пятнадцатый и шестнадцатый блоки умножения, причем выход последнего подключен ко второму входу одиннадцатого сумматора, последовательно соединенные семнадцатый блок умножения, первый вход которого соединен с выходом третьего датчика ускорения и вторым входом шестнадцатого блока умножения, а его второй вход – с выходом третьего функционального преобразователя, и восемнадцатый блок умножения, второй вход которого подключен к выходу пятого сумматора и вторым входам тринадцатого и четырнадцатого блоков умножения, а выход – к пятому входу четвертого сумматора, а также двенадцатый сумматор, первый и второй входы которого подключены соответственно к выходам первого и второго датчиков скорости, а выход – к второму входу пятнадцатого блока умножения (см. патент России № 2228257, БИ № 13, 2004 г.).
Недостаток известного решения заключается в отсутствии инвариантности динамических свойств рассматриваемого электропривода к непрерывным и быстрым изменениям его моментных нагрузочных характеристик, поскольку здесь рассматривается другая степень подвижности робота с другой кинематической схемой.
Наиболее близким по технической сущности к предлагаемому техническому решению является устройство для управления приводом робота, содержащее последовательно соединенные первый и второй сумматоры, первый блок умножения, третий сумматор, усилитель и двигатель, связанный с первым датчиком скорости непосредственно и через редуктор – с первым датчиком положения, выход которого соединен с первым отрицательным входом первого сумматора, подключенного вторым положительным входом ко входу устройства, последовательно соединенные релейный блок и четвертый сумматор, второй вход которого соединен с выходом первого датчика скорости и входом релейного блока, последовательно соединенные первый задатчик сигнала и пятый сумматор, второй вход которого подключен к выходу датчика массы, а выход – к второму входу первого блока умножения, последовательно соединенные второй датчик скорости, второй блок умножения и третий блок умножения, второй вход которого соединен с выходом первого датчика скорости, а выход – с третьим входом четвертого сумматора, а также второй датчик положения, причем второй вход второго сумматора соединен с выходом первого датчика скорости, а выход четвертого сумматора подключен ко второму входу третьего сумматора, последовательно соединенные второй задатчик сигнала, шестой сумматор, четвертый блок умножения, второй вход которого через первый косинусный функциональный преобразователь соединен с выходом второго датчика положения, седьмой сумматор, второй вход которого соединен с выходом третьего задатчика сигнала, и пятый блок умножения, второй вход которого соединен с выходом первого датчика ускорения, а выход подключен к четвертому входу четвертого сумматора, последовательно соединенные второй синусный функциональный преобразователь, вход которого соединен со входом первого косинусного функционального преобразователя, и шестой блок умножения, второй вход которого подключен к выходу шестого сумматора, а выход – ко второму входу второго блока умножения, пятый вход четвертого сумматора подключен к выходу седьмого блока умножения, первый вход которого соединен с выходом второго датчика скорости, а второй вход – с выходом второго блока умножения, третий вход пятого сумматора соединен с выходом четвертого блока умножения, третий вход седьмого сумматора подключен к выходу задатчика массы и второму входу шестого сумматора, восьмой сумматор, первый вход которого подключен к выходу второго датчика положения, а его второй вход – к выходу первого датчика положения, третий синусный функциональный преобразователь, восьмой блок умножения, девятый сумматор и девятый блок умножения, второй вход которого подключен к выходу второго датчика ускорения, а его выход – к шестому входу четвертого сумматора, последовательно соединенные четвертый задатчик сигнала, десятый сумматор, десятый блок умножения, второй вход которого через четвертый синусный функциональный преобразователь подключен к выходу первого датчика положения, а его выход – ко второму входу девятого сумматора, последовательно соединенные пятый задатчик сигнала и одиннадцатый сумматор, второй вход которого подключен к выходу задатчика массы и ко второму входу десятого сумматора, а его выход – ко второму входу восьмого блока умножения, последовательно соединенные третий датчик ускорения, механически связанный с выходным валом двигателя, одиннадцатый блок умножения, второй вход которого соединен с выходом второго блока умножения, и двенадцатый сумматор, второй вход которого подключен к выходу третьего датчика ускорения, а выход – к третьему входу третьего сумматора, последовательно соединенные первый дифференциатор и двенадцатый блок умножения, второй вход которого соединен с выходом седьмого сумматора, последовательно соединенные тринадцатый блок умножения, первый вход которого подключен к выходу шестого блока умножения, а второй вход – к выходу первого датчика ускорения и входу первого дифференциатора, тринадцатый сумматор и четырнадцатый блок умножения, последовательно соединенные квадратор, пятнадцатый блок умножения, второй вход которого соединен с выходом четвертого блока умножения, и шестнадцатый блок умножения, последовательно соединенные четырнадцатый сумматор, семнадцатый блок умножения и восемнадцатый блок умножения, второй вход которого подключен к выходу одиннадцатого сумматора, последовательно соединенные пятый косинусный функциональный преобразователь, вход которого соединен с выходом первого датчика положения, девятнадцатый блок умножения, второй вход которого подключен к выходу десятого сумматора, двадцатый блок умножения и двадцать первый блок умножения, второй вход которого соединен с выходом первого датчика скорости, первым входом четырнадцатого сумматора и вторым входом четырнадцатого блока умножения, последовательно соединенные шестой косинусный функциональный преобразователь, подключенный входом к выходу восьмого сумматора, и двадцать второй блок умножения, выход которого соединен со вторым входом семнадцатого блока умножения, последовательно соединенные второй дифференциатор, подключенный входом к выходу второго датчика ускорения и вторым входом двадцатого и двадцать второго блоков умножения, и двадцать третий блок умножения, второй вход которого соединен с выходом восьмого блока умножения, а также двадцать четвертый блок умножения, первый вход которого соединен с выходом десятого блока умножения, а его второй вход – с выходом второго дифференциатора, а выход – с третьим входом двенадцатого сумматора, четвертый вход которого подключен к выходу двадцать третьего блока умножения, пятый вход – к выходу восемнадцатого блока умножения, шестой вход – к выходу двадцать первого блока умножения, седьмой вход – к выходу четырнадцатого блока умножения, восьмой вход – к выходу шестнадцатого блока умножения, девятый вход – к выходу двенадцатого блока умножения, а десятый – к выходу двадцать пятого блока умножения, первый вход которого соединен с выходом тринадцатого блока умножения, а второй вход – с выходом второго датчика скорости, входом квадратора и вторыми входами шестнадцатого блока умножения и четырнадцатого сумматора, причем второй вход тринадцатого сумматора подключен к выходу пятнадцатого блока умножения, второй вход девятого сумматора соединен с выходом восьмого блока умножения, а его выход – со вторым входом девятого блока умножения, вход третьего синусного функционального преобразователя соединен с выходом восьмого сумматора, а его выход соединен со вторым входом второго блока умножения (см. патент России № 2258601, БИ № 23, 2005 г.).
Недостатком этого устройства является то, что в нем не учитывается еще одна линейная степень подвижности робота, который рассматривается в данной заявке, и поэтому с помощью этого устройства не обеспечивается компенсация всех возникающих моментных воздействий на рассматриваемый привод нового робота.
Технической задачей, на решение которой направлено заявляемое техническое решение, является обеспечение полной инвариантности динамических свойств электропривода второй степени подвижности рассматриваемого робота к непрерывным и быстрым изменениям его динамических моментных нагрузочных характеристик при одновременном движении этого робота по всем пяти рассматриваемым степеням подвижности и, тем самым, повышение его динамической точности управления.
Технический результат, который может быть получен при реализации заявляемого технического решения, выражается в получении дополнительного сигнала управления, подаваемого на вход привода второй степени подвижности робота, который обеспечивает получение дополнительного моментного воздействия, компенсирующего вредное моментное воздействие со стороны остальных степеней подвижности на качественные показатели работы рассматриваемого привода.
Поставленная задача решается тем, что в устройство для управления приводом робота, содержащее последовательно соединенные первый и второй сумматоры, первый блок умножения, третий сумматор, усилитель и двигатель, связанный с первым датчиком скорости непосредственно и через редуктор – с первым датчиком положения, выход которого соединен с первым входом первого сумматора, подключенного вторым положительным входом ко входу устройства, последовательно соединенные релейный блок и четвертый сумматор, второй вход которого соединен с выходом первого датчика скорости и входом релейного блока, последовательно соединенные первый задатчик сигнала и пятый сумматор, второй вход которого подключен к выходу датчика массы, а выход – к второму входу первого блока умножения, последовательно соединенные второй датчик скорости, установленный в третьей степени подвижности манипулятора, второй блок умножения и третий блок умножения, второй вход которого соединен с выходом первого датчика скорости, а выход – с третьим входом четвертого сумматора, а также второй датчик положения, установленный в третьей степени подвижности манипулятора, причем второй вход второго сумматора соединен с выходом первого датчика скорости, а выход четвертого сумматора подключен ко второму входу третьего сумматора, последовательно соединенные второй задатчик сигнала, шестой сумматор, четвертый блок умножения, второй вход которого через первый косинусный функциональный преобразователь соединен с выходом второго датчика положения, седьмой сумматор, второй вход которого соединен с выходом третьего задатчика сигнала, и пятый блок умножения, второй вход которого соединен с выходом первого датчика ускорения, установленного в третьей степени подвижности манипулятора, а выход подключен к четвертому входу четвертого сумматора, последовательно соединенные второй синусный функциональный преобразователь, вход которого соединен со входом первого косинусного функционального преобразователя, и шестой блок умножения, второй вход которого подключен к выходу шестого сумматора, а выход – ко второму входу второго блока умножения, пятый вход четвертого сумматора подключен к выходу седьмого блока умножения, первый вход которого соединен с выходом второго датчика скорости, а второй вход – с выходом второго блока умножения, третий вход пятого сумматора соединен с выходом четвертого блока умножения, третий вход седьмого сумматора подключен к выходу задатчика массы и второму входу шестого сумматора, последовательно соединенные восьмой сумматор, первый вход которого подключен к выходу второго датчика положения, а его второй вход – к выходу первого датчика положения, третий синусный функциональный преобразователь, восьмой блок умножения, девятый сумматор и девятый блок умножения, второй вход которого подключен к выходу второго датчика ускорения, установленного в первой степени подвижности манипулятора, а его выход – к шестому входу четвертого сумматора, последовательно соединенные четвертый задатчик сигнала, десятый сумматор, десятый блок умножения, второй вход которого через четвертый синусный функциональный преобразователь подключен к выходу первого датчика положения, а его выход – ко второму входу девятого сумматора, последовательно соединенные пятый задатчик сигнала и одиннадцатый сумматор, второй вход которого подключен к выходу задатчика массы и ко второму входу десятого сумматора, а его выход – ко второму входу восьмого блока умножения, последовательно соединенные третий датчик ускорения, механически связанный с выходным валом двигателя, одиннадцатый блок умножения, второй вход которого соединен с выходом второго блока умножения, и двенадцатый сумматор, второй вход которого подключен к выходу третьего датчика ускорения, а выход – к третьему входу третьего сумматора, последовательно соединенные первый дифференциатор и двенадцатый блок умножения, второй вход которого соединен с выходом седьмого сумматора, последовательно соединенные тринадцатый блок умножения, первый вход которого подключен к выходу шестого блока умножения, а второй вход – к выходу первого датчика ускорения и входу первого дифференциатора, тринадцатый сумматор и четырнадцатый блок умножения, последовательно соединенные квадратор, пятнадцатый блок умножения, второй вход которого соединен с выходом четвертого блока умножения, и шестнадцатый блок умножения, последовательно соединенные четырнадцатый сумматор, семнадцатый блок умножения и восемнадцатый блок умножения, второй вход которого подключен к выходу одиннадцатого сумматора, последовательно соединенные пятый косинусный функциональный преобразователь, вход которого соединен с выходом первого датчика положения, девятнадцатый блок умножения, второй вход которого подключен к выходу десятого сумматора, и двадцатый блок умножения, а также двадцать первый блок умножения, второй вход которого соединен с выходом первого датчика скорости, первым входом четырнадцатого сумматора и вторым входом четырнадцатого блока умножения, последовательно соединенные шестой косинусный функциональный преобразователь, подключенный входом к выходу восьмого сумматора, и двадцать второй блок умножения, последовательно соединенные второй дифференциатор, подключенный входом к выходу второго датчика ускорения и вторым входом двадцатого и двадцать второго блоков умножения, и двадцать третий блок умножения, второй вход которого соединен с выходом восьмого блока умножения, а также двадцать четвертый блок умножения, первый вход которого соединен с выходом десятого блока умножения, а его второй вход – с выходом второго дифференциатора, а выход – с третьим входом двенадцатого сумматора, четвертый вход которого подключен к выходу двадцать третьего блока умножения, пятый вход – к выходу восемнадцатого блока умножения, шестой вход – к выходу двадцать первого блока умножения, седьмой вход – к выходу четырнадцатого блока умножения, восьмой вход – к выходу шестнадцатого блока умножения, девятый вход – к выходу двенадцатого блока умножения, а десятый – к выходу двадцать пятого блока умножения, первый вход которого соединен с выходом тринадцатого блока умножения, а второй вход – с выходом второго датчика скорости, входом квадратора и вторыми входами шестнадцатого блока умножения и четырнадцатого сумматора, причем второй вход тринадцатого сумматора подключен к выходу пятнадцатого блока умножения, дополнительно вводятся последовательно соединенные четвертый датчик ускорения, установленный в четвертой степени подвижности манипулятора, двадцать шестой блок умножения, двадцать седьмой блок умножения, второй вход которого подключен к выходу четвертого синусного функционального преобразователя, и пятнадцатый сумматор, второй вход которого подключен к выходу двадцатого блока умножения, а выход – к первому входу двадцать первого блока умножения, последовательно соединенные двадцать восьмой блок умножения, шестнадцатый сумматор, второй вход которого подключен к выходу двадцать девятого блока умножения, и тридцатый блок умножения, выход которого соединен – с седьмым входом четвертого сумматора, последовательно соединенные третий дифференциатор, тридцать первый блок умножения, второй вход которого подключен к выходу десятого сумматора, а также ко вторым входам двадцать шестого и двадцать девятого блоков умножения, и тридцать второй блок умножения, второй вход которого подключен к выходу пятого косинусного функционального преобразователя и первому входу девятого блока умножения, а выход – к одиннадцатому входу двенадцатого сумматора, последовательно соединенные тридцать третий блок умножения, первый вход которого подключен к выходу третьего дифференциатора, а второй вход – к выходу одиннадцатого сумматора и первому входу двадцать восьмого блока умножения, и тридцать четвертый блок умножения, второй вход которого подключен ко второму входу двадцать восьмого блока умножения и выходу шестого косинусного функционального преобразователя, а выход – к двенадцатому входу двенадцатого сумматора, последовательно соединенные тридцать пятый блок умножения, первый вход которого соединен с выходом третьего синусного функционального преобразователя, а его второй вход – со входом третьего дифференциатора, второму входу тридцатого блока умножения и выходу четвертого датчика ускорения, и семнадцатый сумматор, второй вход которого подключен к выходу двадцать второго блока умножения, а выход – ко второму входу семнадцатого блока умножения.
Сопоставительный анализ заявляемого технического решения с известными аналогами и прототипом показывает, что предлагаемое устройство соответствует критерию “новизна”.
Заявляемая совокупность признаков позволяет обеспечить полную инвариантность рассматриваемого привода к эффектам взаимовлияния между всеми степенями подвижности робота и моментам трения, что, в свою очередь, позволяет получить высокое качество управления в любых режимах работы этого привода.
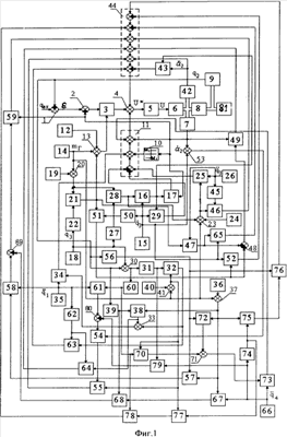
На фиг.1 приведена структурная схема предлагаемого устройства для управления приводом робота, а на фиг.2 – кинематическая схема исполнительного органа робота. Устройство для управления приводом робота содержит последовательно соединенные первый 1 и второй 2 сумматоры, первый блок 3 умножения, третий сумматор 4, усилитель 5 и двигатель 6, связанный с первым датчиком 7 скорости непосредственно и через редуктор 8 – с первым датчиком 9 положения, выход которого соединен с первым входом первого сумматора 1, подключенного вторым положительным входом ко входу устройства, последовательно соединенные релейный блок 10 и четвертый сумматор 11, второй вход которого соединен с выходом первого датчика 7 скорости и входом релейного блока 11, последовательно соединенные первый задатчик 12 сигнала и пятый сумматор 13, второй вход которого подключен к выходу датчика 14 массы, а выход – к второму входу первого блока 3 умножения, последовательно соединенные второй датчик 15 скорости, установленный в третьей степени подвижности манипулятора, второй блок 16 умножения и третий блок 17 умножения, второй вход которого соединен с выходом первого датчика 7 скорости, а выход – с третьим входом четвертого сумматора 11, а также второй датчик 18 положения, установленный в третьей степени подвижности манипулятора, причем второй вход второго сумматора 2 соединен с выходом первого датчика 7 скорости, а выход четвертого сумматора 11 подключен ко второму входу третьего сумматора 4, последовательно соединенные второй задатчик 19 сигнала, шестой сумматор 20, четвертый блок 21 умножения, второй вход которого через первый косинусный функциональный преобразователь 22 соединен с выходом второго датчика 18 положения, седьмой сумматор 23, второй вход которого соединен с выходом третьего задатчика 24 сигнала, и пятый блок 25 умножения, второй вход которого соединен с выходом первого датчика 26 ускорения, установленного в третьей степени подвижности манипулятора, а выход подключен к четвертому входу четвертого сумматора 11, последовательно соединенные второй синусный функциональный преобразователь 27, вход которого соединен со входом первого косинусного функционального преобразователя 22, и шестой блок 28 умножения, второй вход которого подключен к выходу шестого сумматора 20, а выход – ко второму входу второго блока 16 умножения, пятый вход четвертого сумматора 11 подключен к выходу седьмого блока 29 умножения, первый вход которого соединен с выходом второго датчика 15 скорости, а второй вход – с выходом второго блока 16 умножения, третий вход пятого сумматора 13 соединен с выходом четвертого блока 21 умножения, третий вход седьмого сумматора 23 подключен к выходу задатчика 14 массы и второму входу шестого сумматора 20, последовательно соединенные восьмой сумматор 30, первый вход которого подключен к выходу второго датчика 18 положения, а его второй вход – к выходу первого датчика 9 положения, третий синусный функциональный преобразователь 31, восьмой блок 32 умножения, девятый сумматор 33 и девятый блок 34 умножения, второй вход которого подключен к выходу второго датчика 35 ускорения, установленного в первой степени подвижности манипулятора, а его выход – к шестому входу четвертого сумматора 11, последовательно соединенные четвертый задатчик 36 сигнала, десятый сумматор 37, десятый блок 38 умножения, второй вход которого через четвертый синусный функциональный преобразователь 39 подключен к выходу первого датчика 9 положения, а его выход – ко второму входу девятого сумматора 33, последовательно соединенные пятый задатчик 40 сигнала и одиннадцатый сумматор 41, второй вход которого подключен к выходу задатчика 14 массы и ко второму входу десятого сумматора 37, а его выход – ко второму входу восьмого блока 32 умножения, последовательно соединенные третий датчик 42 ускорения, механически связанный с выходным валом двигателя 6, одиннадцатый блок 43 умножения, второй вход которого соединен с выходом второго блока 16 умножения, и двенадцатый сумматор 44, второй вход которого подключен к выходу третьего датчика 42 ускорения, а выход – к третьему входу третьего сумматора 4, последовательно соединенные первый дифференциатор 45 и двенадцатый блок 46 умножения, второй вход которого соединен с выходом седьмого 23 сумматора, последовательно соединенные тринадцатый блок 47 умножения, первый вход которого подключен к выходу шестого блока 28 умножения, а второй вход – к выходу первого датчика ускорения 26 и входу первого дифференциатора 45, тринадцатый сумматор 48 и четырнадцатый блок 49 умножения, последовательно соединенные квадратор 50, пятнадцатый блок 51 умножения, второй вход которого соединен с выходом четвертого блока 21 умножения, и шестнадцатый блок 52 умножения, последовательно соединенные четырнадцатый сумматор 53, семнадцатый блок 54 умножения и восемнадцатый блок 55 умножения, второй вход которого подключен к выходу одиннадцатого сумматора 41, последовательно соединенные пятый косинусный функциональный преобразователь 56, вход которого соединен с выходом первого датчика 18 положения, девятнадцатый блок 57 умножения, второй вход которого подключен к выходу десятого сумматора 37 и двадцатый блок 58 умножения, а также двадцать первый блок 59 умножения, второй вход которого соединен с выходом первого датчика 7 скорости, первым входом четырнадцатого сумматора 53 и вторым входом четырнадцатого блока 49 умножения, последовательно соединенные шестой косинусный функциональный преобразователь 60, подключенный входом к выходу восьмого сумматора 30, и двадцать второй блок 61 умножения, последовательно соединенные второй дифференциатор 62, подключенный входом к выходу второго датчика 35 ускорения и вторым входом двадцатого 58 и двадцать второго 61 блоков умножения, и двадцать третий блок 63 умножения, второй вход которого соединен с выходом восьмого блока 32 умножения, а также двадцать четвертый блок 64 умножения, первый вход которого соединен с выходом десятого блока 38 умножения, а его второй вход – с выходом второго дифференциатора 62, а выход – с третьим входом двенадцатого сумматора 44, четвертый вход которого подключен к выходу двадцать третьего блока 63 умножения, пятый вход – к выходу восемнадцатого блока 55 умножения, шестой вход – к выходу двадцать первого блока 59 умножения, седьмой вход – к выходу четырнадцатого блока 49 умножения, восьмой вход – к выходу шестнадцатого блока 52 умножения, девятый вход – к выходу двенадцатого блока 46 умножения, а десятый – к выходу двадцать пятого блока 65 умножения, первый вход которого соединен с выходом тринадцатого блока 47 умножения, а второй вход – с выходом второго датчика 15 скорости, входом квадратора 50 и вторыми входами шестнадцатого блока 52 умножения и четырнадцатого сумматора 53, причем второй вход тринадцатого сумматора 48 подключен к выходу пятнадцатого блока 51 умножения, последовательно соединенные четвертый датчик 66 ускорения, установленный в четвертой степени подвижности манипулятора, двадцать шестой блок 67 умножения, двадцать седьмой блок 68 умножения, второй вход которого подключен к выходу четвертого синусного функционального преобразователя 39, и пятнадцатый сумматор 69, второй вход которого подключен к выходу двадцатого блока 58 умножения, а выход – к первому входу двадцать первого блока 59 умножения, последовательно соединенные двадцать восьмой блок 70 умножения, шестнадцатый сумматор 71, второй вход которого подключен к выходу двадцать девятого блока 72 умножения, и тридцатый блок 73 умножения, выход которого соединен – с седьмым входом четвертого сумматора 11, последовательно соединенные третий дифференциатор 74, тридцать первый блок 75 умножения, второй вход которого подключен к выходу десятого сумматора 37, а также ко вторым входам двадцать шестого 67 и двадцать девятого 72 блоков умножения, и тридцать второй блок 76 умножения, второй вход которого подключен к выходу пятого косинусного функционального преобразователя 56 и первому входу девятого блока 72 умножения, а выход – к одиннадцатому входу двенадцатого сумматора 44, последовательно соединенные тридцать третий блок 77 умножения, первый вход которого подключен к выходу третьего дифференциатора 74, а второй вход – к выходу одиннадцатого сумматора 41 и первому входу двадцать восьмого блока 70 умножения, и тридцать четвертый блок 78 умножения, второй вход которого подключен ко второму входу двадцать восьмого блока 70 умножения и выходу шестого косинусного функционального преобразователя 60, а выход – к двенадцатому входу двенадцатого сумматора 44, последовательно соединенные тридцать пятый блок 79 умножения, первый вход которого соединен с выходом третьего синусного функционального преобразователя 31, а его второй вход – со входом третьего дифференциатора 74, второму входу тридцатого 73 блока умножения и выходу четвертого датчика 66 ускорения, и семнадцатый сумматор 80, второй вход которого подключен к выходу двадцать второго блока 61 умножения, а выход – ко второму входу семнадцатого блока 54 умножения. Объект управления 81.
Рассматриваемый электропривод управляет обобщенной координатой q2. Конструкция манипулятора (см. фиг.2) является типовой для отечественных и зарубежных манипуляционных роботов. Эта конструкция позволяет осуществлять горизонтальные прямолинейные (координаты q1, q4) и вертикальное прямолинейное (координата q5) перемещения груза, а также два вращательных движения в горизонтальной плоскости (координаты q2 и q3).
На чертежах введены следующие обозначения: qвх – сигнал желаемого положения; q1, q2, q3, q4, q5 – соответствующие обобщенные координаты манипулятора; – скорость изменения третьей обобщенной координаты; , , – ускорения соответствующих обобщенных координат; – ошибка привода (величина рассогласования); m1, m2, m3, mг – соответственно массы первого, второго, третьего звеньев манипулятора и захваченного груза; l2*, l3* – расстояние от осей вращения соответствующих звеньев до их центров масс; l2, l3 – длины соответствующих звеньев; , – соответственно скорость и ускорение вращения ротора двигателя; U*, U – соответственно усиливаемый сигнал и сигнал управления двигателем 6.
Самонастраивающийся электропривод работает следующим образом.
Сигнал ошибки на выходе сумматора 1 после коррекции в блоках 2-4, усиливаясь, поступает на электродвигатель 6, приводя его вал во вращательное движение с направлением и скоростью (ускорением), зависящими от величины поступающего сигнала U, моментов трения и внешнего моментного воздействия Мв. Электропривод при работе с различными грузами, а также за счет взаимовлияния степеней подвижности манипулятора, обладает переменными моментными характеристиками, которые могут меняться в широких пределах. Это снижает качественные показатели электропривода и даже приводит к потере устойчивости его работы. В результате возникает задача, связанная с обеспечением инвариантности динамических свойств электропривода к непрерывным и быстрым изменениям его моментных нагрузочных характеристик, что позволяет обеспечить стабильность заданного качества системы управления.
Движение манипулятора по координате q5 перпендикулярно, а по координатам q1, q4 – параллельно плоскости вращения звеньев 2 и 3.
Моментные характеристики электропривода, управляющего координатой q2, существенно зависят от изменения координат q2, q3, , , и mГ. В связи с этим для качественного управления координатой q2 необходимо точно компенсировать отрицательное влияние изменения координат q2, q3, , , , , , а также переменной массы груза mГ на динамические свойства рассматриваемого электропривода поворота (координата q2).
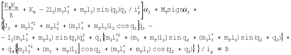
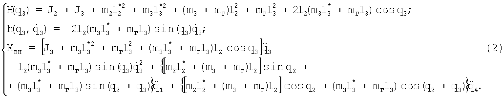
На основе уравнений Лагранжа II рода можно записать, что моментное воздействие на выходной вал электропривода, управляющего координатой q2, при движении манипулятора (фиг.2) с грузом имеет вид

где

С учетом соотношений (1) и (2), а также уравнений электрической и механической цепей электродвигателя постоянного тока с постоянными магнитами или независимого возбуждения рассматриваемый электропривод, управляющий координатой q2, можно описать следующим дифференциальным уравнением

где

где , , , R, L – соответственно активное и индуктивное сопротивления якорной цепи электродвигателя; J – момент инерции якоря электродвигателя и вращающихся частей редуктора, приведенных к валу электродвигателя; J2, J3 – моменты инерции соответствующих звеньев манипулятора относительно осей, проходящих через их центры масс; Kм – коэффициент крутящегося момента; K – коэффициент противо-ЭДС; KВ – коэффициент вязкого трения; ip – передаточное отношение редуктора; Мстр – момент сухого трения; Kу – коэффициент усиления усилителя 5; i – ток якоря.
Из выражения (3) видно, что параметры этого уравнения, а следовательно, и параметры электропривода, управляющего координатой q2, являются существенно переменными, зависящими от величин q2, q3, , , , , , mГ. В результате в процессе работы электропривода меняются (притом существенно) его динамические свойства. Для реализации поставленной задачи необходимо сформировать такое корректирующее устройство, которое застабилизировало бы параметры этого электропривода таким образом, чтобы он описывался дифференциальным уравнением с постоянными параметрами.
Первый положительный вход сумматора 2 (со стороны сумматора 1) имеет единичный коэффициент усиления, а его второй отрицательный вход – коэффициент усиления K /Kу. Следовательно, на выходе сумматора 2 формируется сигнал .
Первый положительный вход сумматора 20 имеет единичный коэффициент усиления, а задатчик 19 подает на него сигнал l2l3*m3. Второй положительный вход этого сумматора имеет коэффициент усиления l2l3. В результате на выходе этого сумматора формируется сигнал .
Датчик 18 измеряет обобщенную координату q3 манипулятора, а функциональный преобразователь 22 реализует функцию cosq3. В результате на выходе блока 21 формируется сигнал .
Первый положительный вход сумматора 13 имеет единичный коэффициент усиления, а задатчик 12 подает на него сигнал где Jн – суммарное номинальное (желаемое) значение момента инерции, приведенного к выходному валу электродвигателя. Его третий положительный вход имеет коэффициент усиления , а на второй положительный, имеющий коэффициент усиления , датчик 14 подает сигнал mГ. В результате на выходе сумматора 13 формируется сигнал , а на выходе блока 3 – сигнал . Функциональный преобразователь 27 реализует функциональную зависимость sinq3. В результате на выходе блока 28 формируется сигнал .
Датчик 15 измеряет скорость изменения обобщенной координаты q3. В результате на третий отрицательный вход сумматора 11 (со стороны блока 17) с коэффициентом усиления 2/iр 2 поступает сигнал , a на пятый отрицательный вход этого сумматора (со стороны блока 29) с коэффициентом усиления l/ip – сигнал .
Первый и второй положительные входы сумматора 23 (соответственно со стороны блока 21 и задатчика 24) имеют единичные коэффициенты усиления, а его третий положительный вход – коэффициент усиления . Задатчик 24 формирует сигнал , а датчик 26 измеряет ускорение обобщенной координаты q3 манипулятора. В результате на выходе блока 25 формируется сигнал , который поступает на четвертый положительный вход сумматора 11, имеющий коэффициент усиления 1 /ip.Первый и второй положительные входы сумматора 11 (соответственно, со стороны релейного элемента 10 и датчика 7), соответственно, имеют единичный коэффициент усиления и коэффициент усиления, равный KMK /R+KB.
Первый положительный вход сумматора 37 имеет единичный коэффициент усиления и задатчик 36 подает на него сигнал а его второй положительный вход – коэффициент усиления l2/ip. В результате на выходе этого сумматора формируется сигнал . Функциональный преобразователь 39 реализует функцию sinq2. В результате на выходе блока 38 формируется сигнал . Задатчик 40 подает на первый положительный вход сумматора 41 с единичным коэффициентом усиления сигнал , а его второй положительный вход имеет коэффициент усиления, равный l3/ip. В результате на выходе этого сумматора формируется сигнал (m3l +mГl3)/ip.
Первый и второй положительные входы сумматора 30 имеют единичные коэффициенты усиления, функциональный преобразователь 31 реализует функцию sin(q2+q3), а функциональный преобразователь 60 – зависимость cos(q2+q3). В результате на выходе блока 32 формируется сигнал (m3l +mГl3)sin(q2+q3)/ip.
Датчик 35 измеряет ускорение движения в первой степени подвижности манипулятора. Сумматор 33 имеет положительные входы с единичными коэффициентами усиления, поэтому на шестой положительный вход сумматора 11 с единичным коэффициентом усиления (со стороны блока 34) поступает сигнал
{(m3l +mГl3)sin(q2+q3)+[m2l +(m3+mГ)l2]sinq2} /ip.
Функциональный преобразователь 56 реализует функцию cosq2. В результате на выходе блока 72 формируется сигнал [m2l +(m3+mГ)l2]cosq2/ip. Функциональный преобразователь 60 реализует функцию cos(q2+q3). В результате на выходе блока 70 формируется сигнал (m3l +mГl3)cos(q2+q3)/ip. Сумматор 71 имеет положительные входы с единичными коэффициентами усиления. Датчик 66 измеряет ускорение в четвертой степени подвижности манипулятора. Поэтому с выхода блока 73 на седьмой положительный вход сумматора 11, имеющий единичный коэффициент усиления, поступает сигнал {(m3l +mГl3)cos(q2+q3)+[m2l +(m3+mГ)l2]cosq2} /ip.
Выходной сигнал релейного элемента 10 с нулевой нейтральной точкой имеет вид

где Мт – величина момента сухого трения при движении.
Исходя из отмеченного, на выходе сумматора 11 формируется сигнал
.
Отрицательные входы сумматора 48 имеют коэффициенты усиления 2/i . В результате на седьмой положительный вход сумматора 44, имеющий единичный коэффициент усиления, поступает (со стороны блока 49) сигнал 
Поскольку для манипулятора рассматриваемого робота выполняется условие *=h*, а датчик 42 измеряет ускорение , то на первый отрицательный вход сумматора 44, имеющий коэффициент усиления 4/i , со стороны блока 43 поступает сигнал l2(m3l +mГl3)sin(q3) . Второй положительный вход этого сумматора (со стороны датчика 42) имеет коэффициент усиления Kв. На девятый положительный вход сумматора 44 (со стороны блока 46) поступает сигнал , на его десятый отрицательный вход, имеющий коэффициент усиления 3/ip, (со стороны блока 65) – сигнал , на восьмой отрицательный (со стороны блока 52) – сигнал , на третий положительный (со стороны блока 64) – сигнал , а на четвертый положительный (со стороны блока 63) – сигнал . На выходе блока 58 формируется сигнал .
Первый положительный (со стороны блока 58) и второй отрицательный входы сумматора 69 имеют единичные коэффициенты усиления. На выходе блока 68 формируется сигнал . В результате на шестой положительный вход сумматора 44 (со стороны блока 59) поступает сигнал . Первый (со стороны датчика 7) положительный вход сумматора 53 имеет коэффициент усиления l/ip, а его второй положительный вход – единичный коэффициент усиления. В результате на выходе этого сумматора формируется сигнал . Первый положительный (со стороны блока 61) и второй отрицательный входы сумматора 80 имеют единичные коэффициенты усиления. В результате на пятый положительный вход сумматора 44 (со стороны блока 55 умножения) подается сигнал , на его одиннадцатый положительный вход (со стороны блока 76) – сигнал а на двенадцатый положительный (со стороны блока 78) – сигнал . Причем третий, четвертый, пятый, одиннадцатый и двенадцатый входы сумматора 44 имеют единичные коэффициенты усиления, а шестой, восьмой и девятый входы – коэффициенты усиления l/ip. В результате на выходе сумматора 44 формируется сигнал 
Первый положительный вход сумматора 4 (со стороны блока 3 умножения) имеет единичный коэффициент усиления, его второй положительный вход (со стороны сумматора 11) – коэффициент усиления R/(kMkу) а третий положительный вход – коэффициент усиления L/(kMky). В результате на выходе сумматора 4 формируется сигнал U*, равный

Поскольку при движении привода достаточно точно соответствует Мстр, то сигнал U*(4), как несложно убедиться, обеспечивает превращение уравнения (3) с существенными переменными параметрами в уравнение с постоянными номинальными желаемыми параметрами, обеспечивающими приводу заданные динамические свойства и качественные показатели при любых движениях робота.
Таким образом, за счет введения новых элементов и связей удается обеспечить полную инвариантность рассматриваемого самонастраивающегося электропривода манипуляционного робота к эффектам взаимовлияния между степенями подвижности манипулятора и моментам трения. Это позволяет получить стабильно высокое качество управления в любых режимах работы рассматриваемого электропривода.
Формула изобретения
Электропривод робота, содержащий последовательно соединенные первый и второй сумматоры, первый блок умножения, третий сумматор, усилитель и двигатель, связанный с первым датчиком скорости непосредственно и через редуктор – с первым датчиком положения, выход которого соединен с первым входом первого сумматора, подключенного вторым положительным входом к входу устройства, последовательно соединенные релейный блок и четвертый сумматор, второй вход которого соединен с выходом первого датчика скорости и входом релейного блока, последовательно соединенные первый задатчик сигнала и пятый сумматор, второй вход которого подключен к выходу датчика массы, а выход – ко второму входу первого блока умножения, последовательно соединенные второй датчик скорости, второй блок умножения и третий блок умножения, второй вход которого соединен с выходом первого датчика скорости, а выход – с третьим входом четвертого сумматора, а также второй датчик положения, причем второй вход второго сумматора соединен с выходом первого датчика скорости, а выход четвертого сумматора подключен ко второму входу третьего сумматора, последовательно соединенные второй задатчик сигнала, шестой сумматор, четвертый блок умножения, второй вход которого через первый косинусный функциональный преобразователь соединен с выходом второго датчика положения, седьмой сумматор, второй вход которого соединен с выходом третьего задатчика сигнала, и пятый блок умножения, второй вход которого соединен с выходом первого датчика ускорения, а выход подключен к четвертому входу четвертого сумматора, последовательно соединенные второй синусный функциональный преобразователь, вход которого соединен со входом первого косинусного функционального преобразователя, и шестой блок умножения, второй вход которого подключен к выходу шестого сумматора, а выход – ко второму входу второго блока умножения, пятый вход четвертого сумматора подключен к выходу седьмого блока умножения, первый вход которого соединен с выходом второго датчика скорости, а второй вход – с выходом второго блока умножения, третий вход пятого сумматора соединен с выходом четвертого блока умножения, третий вход седьмого сумматора подключен к выходу задатчика массы и второму входу шестого сумматора, последовательно соединенные восьмой сумматор, первый вход которого подключен к выходу второго датчика положения, а его второй вход – к выходу первого датчика положения, третий синусный функциональный преобразователь, восьмой блок умножения, девятый сумматор и девятый блок умножения, второй вход которого подключен к выходу второго датчика ускорения, а его выход – к шестому входу четвертого сумматора, последовательно соединенные четвертый задатчик сигнала, десятый сумматор, десятый блок умножения, второй вход которого через четвертый синусный функциональный преобразователь подключен к выходу первого датчика положения, а его выход – ко второму входу девятого сумматора, последовательно соединенные пятый задатчик сигнала и одиннадцатый сумматор, второй вход которого подключен к выходу задатчика массы и ко второму входу десятого сумматора, а его выход – ко второму входу восьмого блока умножения, последовательно соединенные третий датчик ускорения, механически связанный с выходным валом двигателя, одиннадцатый блок умножения, второй вход которого соединен с выходом второго блока умножения, и двенадцатый сумматор, второй вход которого подключен к выходу третьего датчика ускорения, а выход – к третьему входу третьего сумматора, последовательно соединенные первый дифференциатор и двенадцатый блок умножения, второй вход которого соединен с выходом седьмого сумматора, последовательно соединенные тринадцатый блок умножения, первый вход которого подключен к выходу шестого блока умножения, а второй вход – к выходу первого датчика ускорения и входу первого дифференциатора, тринадцатый сумматор и четырнадцатый блок умножения, последовательно соединенные квадратор, пятнадцатый блок умножения, второй вход которого соединен с выходом четвертого блока умножения, и шестнадцатый блок умножения, последовательно соединенные четырнадцатый сумматор, семнадцатый блок умножения и восемнадцатый блок умножения, второй вход которого подключен к выходу одиннадцатого сумматора, последовательно соединенные пятый косинусный функциональный преобразователь, вход которого соединен с выходом первого датчика положения, девятнадцатый блок умножения, второй вход которого подключен к выходу десятого сумматора и двадцатый блок умножения, а также двадцать первый блок умножения, второй вход которого соединен с выходом первого датчика скорости, первым входом четырнадцатого сумматора и вторым входом четырнадцатого блока умножения, последовательно соединенные шестой косинусный функциональный преобразователь, подключенный входом к выходу восьмого сумматора и двадцать второй блок умножения, последовательно соединенные второй дифференциатор, подключенный входом к выходу второго датчика ускорения и вторым входом двадцатого и двадцать второго блоков умножения, и двадцать третий блок умножения, второй вход которого соединен с выходом восьмого блока умножения, а также двадцать четвертый блок умножения, первый вход которого соединен с выходом десятого блока умножения, а его второй вход – с выходом второго дифференциатора, а выход – с третьим входом двенадцатого сумматора, четвертый вход которого подключен к выходу двадцать третьего блока умножения, пятый вход – к выходу восемнадцатого блока умножения, шестой вход – к выходу двадцать первого блока умножение, седьмой вход – к выходу четырнадцатого блока умножения, восьмой вход – к выходу шестнадцатого блока умножения, девятый вход – к выходу двенадцатого блока умножения, а десятый – к выходу двадцать пятого блока умножения, первый вход которого соединен с выходом тринадцатого блока умножения, а второй вход – с выходом второго датчика скорости, входом квадратора и вторыми входами шестнадцатого блока умножения и четырнадцатого сумматора, причем второй вход тринадцатого сумматора подключен к выходу пятнадцатого блока умножения, отличающийся тем, что в него дополнительно введены последовательно соединенные четвертый датчик ускорения, двадцать шестой блок умножения, двадцать седьмой блок умножения, второй вход которого подключен к выходу четвертого синусного функционального преобразователя, и пятнадцатый сумматор, второй вход которого подключен к выходу двадцатого блока умножения, а выход – к первому входу двадцать первого блока умножения, последовательно соединенные двадцать восьмой блок умножения, шестнадцатый сумматор, второй вход которого подключен к выходу двадцать девятого блока умножения, и тридцатый блок умножения, выход которого соединен с седьмым входом четвертого сумматора, последовательно соединенные третий дифференциатор, тридцать первый блок умножения, второй вход которого подключен к выходу десятого сумматора, а также ко вторым входам двадцать шестого и двадцать девятого блоков умножения, и тридцать второй блок умножения, второй вход которого подключен к выходу пятого косинусного функционального преобразователя и первому входу девятого блока умножения, а выход – к одиннадцатому входу двенадцатого сумматора, последовательно соединенные тридцать третий блок умножения, первый вход которого подключен к выходу третьего дифференциатора, а второй вход – к выходу одиннадцатого сумматора и первому входу двадцать восьмого блока умножения, и тридцать четвертый блок умножения, второй вход которого подключен ко второму входу двадцать восьмого блока умножения и выходу шестого косинусного функционального преобразователя, а выход – к двенадцатому входу двенадцатого сумматора, последовательно соединенные тридцать пятый блок умножения, первый вход которого соединен с выходом третьего синусного функционального преобразователя, а его второй вход – со входом третьего дифференциатора, второму входу тридцатого блока умножения и выходу четвертого датчика ускорения, и семнадцатый сумматор, второй вход которого подключен к выходу двадцать второго блока умножения, а выход – ко второму входу семнадцатого блока умножения.
РИСУНКИ
MM4A – Досрочное прекращение действия патента СССР или патента Российской Федерации на изобретение из-за неуплаты в установленный срок пошлины за поддержание патента в силе
Дата прекращения действия патента: 19.08.2008
Извещение опубликовано: 10.07.2010 БИ: 19/2010
|
|