|
|
(21), (22) Заявка: 2004117011/28, 07.06.2004
(24) Дата начала отсчета срока действия патента:
07.06.2004
(43) Дата публикации заявки: 10.01.2006
(46) Опубликовано: 10.10.2008
(56) Список документов, цитированных в отчете о поиске:
SU 1609515 A1, 30.11.1990. SU 1726055 A1, 15.04.1992. SU 1269854 A1, 15.11.1986. SU 1664412 A1, 23.07.1991. SU 1292846 A1, 28.02.1987.
Адрес для переписки:
109004, Москва, Б. Факельный пер., 2/22, кв.44, А.И. Костюку
|
(72) Автор(ы):
Костюк Анатолий Иванович (RU)
(73) Патентообладатель(и):
Костюк Анатолий Иванович (RU)
|
(54) СПОСОБ ПОЛУЧЕНИЯ И РЕГУЛИРОВАНИЯ РЕЗОНАНСНЫХ МЕХАНИЧЕСКИХ КОЛЕБАНИЙ И УСТРОЙСТВО ДЛЯ ЕГО ОСУЩЕСТВЛЕНИЯ
(57) Реферат:
Изобретение относится к вибрационной технике и может быть использовано в различных отраслях промышленности. Технический результат направлен на получение регулируемых резонансных механических колебаний рабочего органа вибрационной установки относительно инерционного вибратора без применения реактивной массы. Способ получения и регулирования резонансных механических колебаний заключается в том, что на рабочий орган вибрационной установки воздействуют возмущающей силой, рабочий орган связывают с основанием виброизолирующей упругой связью, возмущающую силу создают инерционным вибратором и передают ее рабочему органу через дополнительную упругую связь, определяют резонансную угловую частоту колебательной системы «масса рабочего органа – дополнительная упругая связь – инерционный вибратор» по формуле для определения угловой частоты квазисвободных колебаний рабочего органа в колебательной системе. Указанный способ реализован соответствующим устройством. 2 н.п. ф-лы, 1 ил.
Изобретение относится к вибрационной технике и может быть использовано в различных отраслях промышленности.
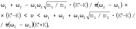
Известен по А.С. СССР 1269854, В06В 1/14, способ возбуждения колебаний заданной частоты в вибрационной резонансной системе с двумя степенями свободы, заключающийся в том, что на вибрационную резонансную систему воздействуют возмущающей силой, при этом для вибрационных систем с упругими элементами, имеющими билинейную характеристику с изломом в положении статического равновесия, частоту возмущающей силы выбирают близкой к сумме двух собственных частот 1 и 2 колебательной системы и определяют из соотношения

где m1 и m2 – массы колеблющихся тел; K и K’=K+K1 – коэффициенты жесткости билинейной характеристики упругой подвески.
Недостатком способа является необходимость применения уравновешивающей массы, которая, как правило, имеет величину того же порядка, что и масса рабочего органа. Это приводит к значительному увеличению металлоемкости устройства для осуществления способа. Кроме того, при большой массе рабочего органа получение резонансных колебаний на частотах возмущающей силы, создаваемых широко распространенными вибраторами (от 16 до 50 Гц), требует выполнения упругого элемента, связывающего рабочий орган и уравновешивающую массу, с исключительно высокой жесткостью. Это требование, в свою очередь, создает проблему при практической реализации, т.к. узел вибрационной установки, выполняющий функцию уравновешивающей массы, должен иметь в зонах вокруг мест присоединения упругого элемента практически на порядок более высокую жесткость, чем упругий элемент. В противном случае этот узел будет испытывать подобно упругому элементу значительные деформации, что приведет к его поломке.
Известен по А.С. СССР 1609515, В06В 1/16, способ возбуждения резонансных колебаний механических систем синхронным электродвигателем, заключающийся в подаче на электродвигатель электрического напряжения, в измерении колебаний механической системы, осуществлении сдвига фазы измеренного сигнала, его усилении и подаче на электродвигатель, при этом одновременно подают напряжение на фазную обмотку и обмотку возбуждения электродвигателя, изменяют амплитуду напряжения, подаваемого на обмотки, поворачивают статор до обеспечения условия возбуждения резонансных колебаний.
Данному способу присущи те же недостатки, которые были указаны для предыдущего аналога. Кроме того, способ имеет ограниченные возможности для практического использования в силу высокой сложности, а также по причине использования синхронного электродвигателя, который значительно уступает асинхронному электродвигателю по объемам применения.
Известен по А.С. СССР 1726055, В06В 1/16, способ поддержания резонансных колебаний механической системы синхронным электродвигателем, заключающийся в подаче напряжения одновременно на фазную обмотку и обмотку возбуждения электродвигателя, измерении колебаний механической системы, осуществлении сдвига фаз измеренного сигнала, усилении его и подаче на электродвигатель, при этом изменяют амплитуду напряжения, подаваемого на электродвигатель, и поворачивают статор до обеспечения условий возбуждения резонансных колебаний, при измерении колебаний определяют ускорение колебаний механической системы, осуществляют сдвиг фазы измеренного сигнала на /2, изменяют амплитуду напряжения, подаваемого на фазную обмотку, и поворачивают статор до совпадения движущего момента с моментом нагрузки, а на обмотку возбуждения подают постоянное напряжение.
Данный способ имеет те же недостатки, которые были указаны для предыдущего аналога.
В качестве прототипа выбран способ, осуществленный практически в резонансных вибрационных бункерных питателях и виброподъемниках (см. стр.42-45 и стр.67-69 в книге: В.А.Повидайло, Р.И.Силин, В.А.Щигель. Вибрационные устройства в машиностроении. Машгиз, Москва – Киев, 1962). Анализ конструкций этих устройств, а также описаний их работы, позволяет отнести к существенным признакам осуществленного в устройствах способа следующие признаки: рабочий орган устройства связывают упругой связью в виде цилиндрических стержней с реактивной массой, которую устанавливают на основании с помощью виброизолирующих опор, воздействуют на рабочий орган и реактивную массу возмущающей силой взаимодействия, резонансные колебания рабочего органа возбуждают на его упругой связи с реактивной массой, настройку колебаний рабочего органа в резонанс с угловой частотой возмущающей силы осуществляют подстройкой жесткости колебательной системы путем изменения длины цилиндрических стержней.
Недостатки прототипа: необходимость применения реактивной массы, затруденность практической реализации при большой массе рабочего органа, отсутствие возможности регулировать колебания.
Задачей изобретения является получение регулируемых резонансных механических колебаний рабочего органа вибрационной установки относительно инерционного вибратора без применения реактивной массы.
Решение задачи достигается тем, что на рабочий орган вибрационной установки воздействуют возмущающей силой, при этом рабочий орган связывают с основанием виброизолирующей упругой связью, возмущающую силу создают инерционным вибратором и передают ее рабочему органу через дополнительную упругую связь, определяют резонансную угловую частоту колебательной системы «масса рабочего органа – дополнительная упругая связь – инерционный вибратор» по формуле для определения угловой частоты квазисвободных колебаний рабочего органа в колебательной системе, в которой инерционный вибратор рассматривается как псевдоопора, –

где – угловая частота квазисвободных колебаний рабочего органа в рад/с;
C – жесткость дополнительной упругой связи в Н/м;
m – масса рабочего органа в кг;
возбуждают на дополнительной упругой связи резонансные колебания рабочего органа, настраивают угловую частоту возмущающей силы на режим резонансных колебаний рабочего органа с максимальной заданной амплитудой колебаний, амплитуду резонансных колебаний рабочего органа регулируют изменением частоты возмущающей силы в области частот резонансной кривой колебательной системы.
Устройство для получения и регулирования резонансных механических колебаний содержит рабочий орган и источник возмущающей силы, рабочий орган связан с основанием с помощью виброизолирующей упругой связи, в качестве источника возмущающей силы применен инерционный вибратор, связанный с рабочим органом через дополнительную упругую связь, которая выполнена с жесткостью, определяемой по формуле

где С – жесткость дополнительной упругой связи в Н/м;
H – номинальное значение угловой частоты возмущающей силы вибратора в рад/с;
mH – номинальная масса рабочего органа в кг;
при этом вибратор соединен с устройством управления вибратором, выполненным с возможностью изменения угловой частоты возмущающей силы.
Применение предложенной совокупности существенных признаков позволяет получить новый технический результат: получить регулируемые резонансные механические колебания рабочего органа вибрационной установки относительно инерционного вибратора без применения реактивной массы.
Анализ уровня техники в области вибрационной техники показал, что предложенная в данном способе и устройстве для его осуществления совокупность существенных признаков является новой, явным образом не следует из уровня техники, и, таким образом, предлагаемое изобретение является новым и имеет изобретательский уровень.
Сущность изобретения поясняется чертежом, на котором показана принципиальная схема вибрационного устройства для осуществления способа получения и регулирования резонансных механических колебаний. Устройство содержит рабочий орган 1, который через виброизолирующую связь 2 связан с опорой 3. Инерционный вибратор 4 связан с рабочим органом через дополнительную упругую связь 5. Инерционный вибратор соединен с устройством управления вибратором (УУВ) 6.
Устройство работает следующим образом. Инерционный вибратор 4 настраивают на режим создания возмущающей силы с заведомо меньшей амплитудой, чем требуется в номинальном режиме работы вибрационной установки. При максимальном значении массы рабочего органа 1 включают инерционный вибратор 4 и создают возмущающую силу, которая через дополнительную упругую связь 5 передается к рабочему органу. Возникающие при этом вынужденные колебания рабочего органа настраивают в режим резонанса путем подстройки с помощью УУВ 6 угловой частоты возмущающей силы на угловую частоту квазисвободных колебаний рабочего органа колебательной системы, в которой инерционный вибратор рассматривается как псевдоопора, – «масса рабочего органа – дополнительная упругая связь – псевдоопора». После этого подбирают амплитуду возмущающей силы, при которой достигается требуемое максимальное значение заданного параметра резонансных колебаний, – амплитуды или виброускорения колебаний. Вибратор 4 настраивают на выбранное значение амлитуды возмущающей силы. На этом заканчивается настройка устройства для работы. Незначительные изменения массы рабочего органа, которые могут происходить по технологическим причинам, будут приводить к незначительному смещению резонансной кривой колебательной системы относительно угловой частоты возмущающей силы. При указанной настройке устройства уменьшение массы рабочего органа будет приводить автоматически к незначительному уменьшению амплитуды резонансных колебаний рабочего органа и наоборот. В случаях значительного изменения массы рабочего органа 1, например при порционной загрузке материалов или растворов для вибрационной обработки, режим колебаний подстраивают при пуске устройства с помощью УУВ 6. При необходимости с помощью УУВ 6 регулируют контролируемый параметр резонансных колебаний рабочего органа 1. В качестве такого параметра целесообразно выбирать амплитуду колебаний как параметр, который может оцениваться оператором визуальным способом.
Способ получения и регулирования резонансных механических колебаний осуществляется следующим образом. Рабочий орган связывают упругой виброизолирующей связью с основанием и дополнительной упругой связью с инерционным вибратором. Определяют резонансную угловую частоту колебательной системы «масса рабочего органа – дополнительная упругая связь – инерционный вибратор» по формуле для определения угловой частоты квазисвободных колебаний рабочего органа в колебательной системе, в которой инерционный вибратор рассматривается как псевдоопора,

где – угловая частота квазисвободных колебаний рабочего органа в рад/с;
С – жесткость дополнительной упругой связи в Н/м;
m – масса рабочего органа в кг.
Инерционным вибратором создают вблизи этой угловой частоты возмущающую силу. Изменяя угловую частоту возмущающей силы, возбуждают на дополнительной упругой связи резонансные колебания рабочего органа. Настраивают угловую частоту возмущающей силы на режим резонансных колебаний рабочего органа с максимальной заданной амплитудой колебаний. Амплитуду резонансных колебаний рабочего органа регулируют изменением частоты возмущающей силы в области частот резонансной кривой колебательной системы.
Данный способ в сравнении с прототипом имеет преимущество, т.к. позволяет получать регулируемые резонансные механические колебания относительно инерционного вибратора без применения реактивной массы.
Для проверки возможности практического осуществления способа была изготовлена по схеме устройства для реализации способа модель устройства со следующими данными: масса инерционного лабораторного вибратора, выполненного на базе электромотора постоянного тока, mВ=1,5 кг; масса, имитирующая рабочий орган, выбиралась по распространенному на практике соотношению m 10mВ, принято m=15 кг; соотношение жесткостей дополнительной и виброизолирующей упругих связей выбиралось с учетом требования виброизоляции (см. стр.102 в книге В.А.Ивович, В.Я.Онищенко. Защита от вибрации в машиностроении. М.: Машиностроение, 1990), – при этом для С=20·104 H/м жесткость виброизолирующей связи была выбрана равной Сo=1,2·104 H/м. Угловую частоту возмущающей силы изменяли реостатом, включенным в цепь питания вибратора. Эксперименты показали, что колебательная система имеет три резонансные угловые частоты: низшую H=27 рад/с (проявляется при резонансе колебаний массы «рабочего органа» совместно с массой вибратора на виброизолирующей связи относительно основания), среднюю с=119 рад/с (проявляется при резонансе колебаний массы «рабочего органа» на дополнительной упругой связи относительно вибратора, выполняющего функции псевдоопоры), высшую в=365 рад/с проявляется при резонансе колебаний массы вибратора на дополнительной упругой связи относительно массы «рабочего органа»). Полученные значения резонансных угловых частот совпадают с расчетными. Эксперименты показали также практическую возможность регулирования амплитуды резонансных колебаний путем изменения угловой частоты возмущающей силы.
Таким образом, предложенное изобретение промышленно применимо.
Формула изобретения
1. Способ получения и регулирования резонансных механических колебаний, заключающийся в том, что на рабочий орган вибрационной установки воздействуют возмущающей силой, отличающийся тем, что рабочий орган связывают с основанием виброизолирующей упругой связью, возмущающую силу создают инерционным вибратором и передают ее рабочему органу через дополнительную упругую связь, определяют резонансную угловую частоту колебательной системы «масса рабочего органа – дополнительная упругая связь – инерционный вибратор» по формуле для определения угловой частоты квазисвободных колебаний рабочего органа в колебательной системе, в которой инерционный вибратор рассматривается как псевдоопора, –

где – угловая частота квазисвободных колебаний рабочего органа, рад/с;
С – жесткость дополнительной упругой связи, Н/м;
m – масса рабочего органа, кг;
возбуждают на дополнительной упругой связи резонансные колебания рабочего органа, настраивают угловую частоту возмущающей силы на режим резонансных колебаний рабочего органа с максимальной заданной амплитудой колебаний, амплитуду резонансных колебаний рабочего органа регулируют изменением частоты возмущающей силы в области частот резонансной кривой колебательной системы.
2. Устройство для получения резонансных механических колебаний, содержащее рабочий орган и источник возмущающей силы, отличающееся тем, что рабочий орган связан с основанием с помощью виброизолирующей упругой связи, в качестве источника возмущающей силы применен инерционный вибратор, связанный с рабочим органом через дополнительную упругую связь, которая выполнена с жесткостью, определяемой по формуле

где С – жесткость дополнительной упругой связи, Н/м;
H номинальное значение угловой частоты возмущающей силы вибратора, рад/с;
mH – номинальная масса рабочего органа, кг;
при этом вибратор соединен с устройством управления вибратором, выполненным с возможностью изменения угловой частоты возмущающей силы.
РИСУНКИ
|
|