Патент на изобретение №2335279
|
|||||||||||||||||||||||||||||||||||||||||||||||||||||||||||||||||||||||||||||||||||||||||||||||||||||||||||||||||||||||||||||||||||||||||||||||||||||||||||||||||||||||||||||||||||||||||||||||||||||||||||||||||||||||||||||||||||||||||||||||||||||||||||||||||||||||||||||||||||||||||||||||||||||||||||||||||||||||||||||||||||||||||||||||||||||||||||||||||||||||||||||||||||||||||||||||||||||||||||||||||||||||||||||||||||||||||||||||||||||||||||||||||||||||||||||||||||||||||||||||||||||||||||||||||||||||||||||||||||||||||||||||||||||||||||||||||||||||||||||||||||||||||||||||||||||||||||||||||||||||||||||||||||||||||||||||||||||||||||||||||||||||||||||||||||||||||||||||||||||||||||||||||||||||||||||||||||||||||||||||||||||||||||||||||||||||||||||||||||||||||||||||||||||||||||||||||||||||||||||||||||||||||||||||||||||||||||||||||||||||||||||||||||||||||||||||||||||||||||||||||||||||||||||||||||||||||||||||||||||||||||||||||||||||||||||||||||||||||||||||||||||||||||||||||||||||||||||||||||||||
(54) ЖИРОВЫЕ ЭМУЛЬСИИ, СОДЕРЖАЩИЕ ПРОПОФОЛ
(57) Реферат:
Настоящее изобретение относится к медицине и описывает жировую эмульсию, содержащую пропофол в концентрации от 0,4 до 5 мас./об.%, масляный компонент в концентрации от 2 до 20 мас./об.%, и эмульгатор в концентрации от 0,4 до 5 мас./об.% на общее количество жировой эмульсии и местного анестетика, смешиваемого с ней перед применением, причем местный анестетик смешивают с жировой эмульсией перед ее использованием, и жировая эмульсия дополнительно включает стабилизатор, выбранный из следующих (а), (b), (с) или (d): (а) по крайней мере, один фосфолипид, выбранный из группы, состоящей из фосфатидилглицерина, фосфатидной кислоты, фосфатидилинозита и фосфатидилсерина, где жирной кислотой, сложноэтерифицированной в глицериновый фрагмент, является С10-22 линейная или разветвленная, насыщенная или ненасыщенная жирная кислота; (b) по крайней мере, одно производное фосфолипида, выбранное из фосфатидилэтаноламинов, модифицированных полиалкиленгликолем, где жирной кислотой, сложноэтерифицированной в глицериновый фрагмент, является С10-22 линейная или разветвленная, насыщенная или ненасыщенная жирная кислота; (с) по крайней мере, одна жирная кислота, выбранная из группы, состоящей из С10-22 линейных или разветвленных, насыщенных или ненасыщенных жирных кислот; или (d) смесь, по крайней мере, двух, выбранных из указанных выше групп (а), (b) и (с), где стабилизатор (а), (b) или (с) присутствует в концентрации от 0,01 до 1 мас./об.%, от 0,01 до 1 мас./об.%, от 0,05 до 5 мас./об.%, соответственно, на общее количество жировой эмульсии и местного анестетика, смешиваемого с ней перед применением. Заявленное изобретение обеспечивает высокую стабильность пропофол-содержащей жировой эмульсии, с которой может смешиваться заранее или перед применением местный анестетик, за счет введения стабилизатора. 5 н. и 29 з.п. ф-лы, 16 табл.
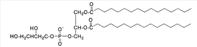
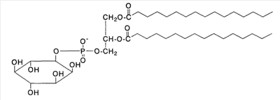
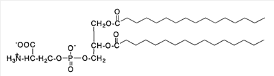
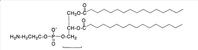
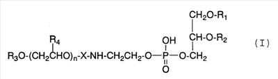
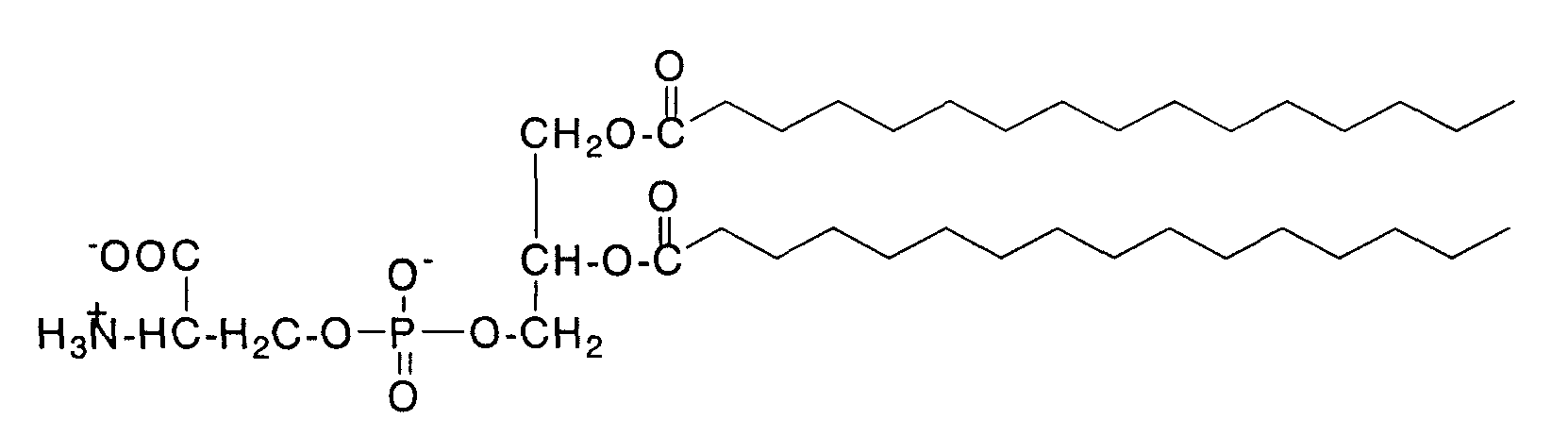
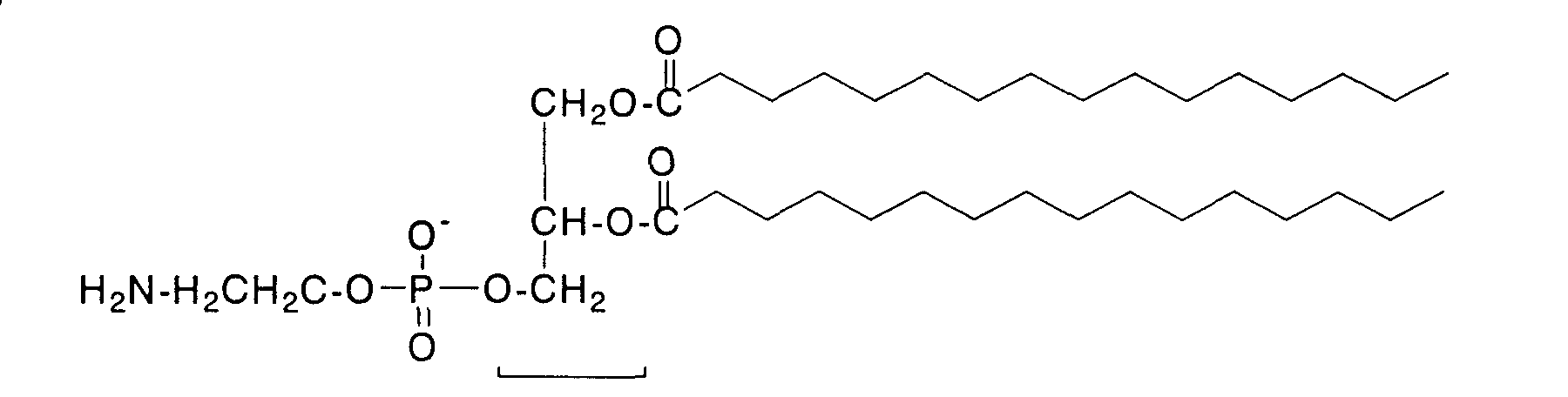
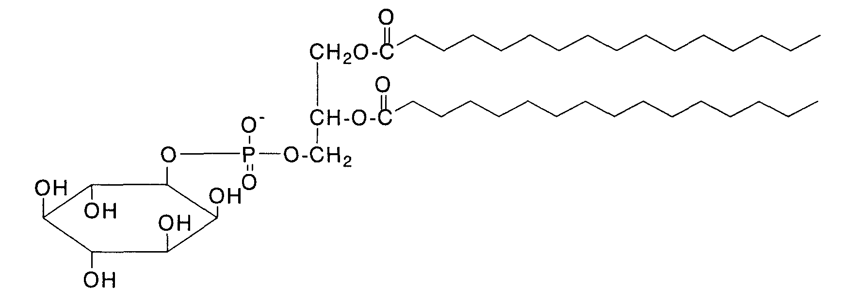
Настоящее изобретение относится к жировым эмульсиям, содержащим пропофол. Пропофол (2,6-диизопропилфенол) является липофильным веществом, которое вызывает гипноз, и известен в качестве эффективного компонента в медицинских препаратах, таких как общие анестетические средства (анестетики), седативные средства и подобные. Обычно пропофол получают в виде фармацевтической готовой формы в жировых эмульсиях типа масло-в-воде с использованием масляного компонента и эмульгатора таким образом, что пропофол может вводиться непосредственно в кроваток с помощью или внутривенной инъекции или инфузии. Пропофол в форме жировой эмульсии широко используется в качестве местного анестетика, седативного вещества и т.д. (патент США № 5714520). Сообщалось, что сильная острая боль (сосудистая боль) часто развивается с высокой частотой в качестве побочного эффекта во время введения таких препаратов внутривенной инъекцией или инфузией (W. Klemment, J.O. Arndt: British Journal of Anaesthesia, 1991; 67; 281-284). Данная проблема может быть разрешена с помощью включения в жировую эмульсию местного анестетика, такого как лидокаин, в количестве, достаточном для снятия боли. Однако жировая эмульсия известного уровня техники, содержащая пропофол, имеет тот недостаток, что она не может вводиться с помощью инъекции или инфузии или вливания, когда местный анестетик, такой как лидокаин, смешивается с нею, потому что стабильность получающейся эмульсии быстро теряется; частицы эмульсии агломерируют за короткое время, обычно в пределах 30 минут; и эмульсия разрушается, что вызывает разделение водной и масляной фаз (E.E.M. Lilley et al, Anaesthesia, 1996; 51:815-818). Для преодоления данного серьезного недостатка, т.е. резко сниженной стабильности эмульсии, вызываемой введением в эмульсию лидокаина и т.д., был предложен способ, при котором в качестве стабилизатора в водную фазу пропофол-содержащей жировой эмульсии вводят гидрофильное поверхностно-активное вещество, имеющее показатель HLB 10 или более, например, гидрированное полиоксиэтиленом (60) касторовое масло и т.д., и ее рН устанавливают в пределах от 3,0 до 6,5 (не прошедшая экспертизу японская патентная публикация № 2002179562). В жировой эмульсии, полученной согласно предложенному способу, разрушение эмульсии может подавляться до некоторой степени, однако данный способ имеет тот недостаток, что безопасность полученной жировой эмульсии снижается, потому что безопасность гидрофильного поверхностно-активного вещества, которое используется, является низкой. Стерилизация является существенной не только для жировых эмульсий, но также и для других фармацевтических препаратов, для того, чтобы гарантировать их безопасность, когда их получают промышленно. Исследование изобретателей показало, что предложенные выше жировые эмульсии не могут вводиться с помощью инъекции или вливания в некоторых условиях, потому что их водная фаза и масляная фаза разделяются при осуществлении стандартного метода стерилизации, такого как стерилизация паром при высоком давлении. Таким образом, предложенные жировые эмульсии имеют тот недостаток, что они не могут стерилизоваться стандартным методом стерилизации. Целью настоящего изобретения является предоставление пропофол-содержащей жировой эмульсии, имеющей высокую стабильность эмульсии, с которой может смешиваться заранее, или перед применением местный анестетик, такой как лидокаин или подобный, с тем, чтобы предотвратить возникновение острой боли (сосудистой боли) или снять боль как побочный эффект во время введения эмульсии. Авторами были проведены обширные исследования, и было обнаружено, что жировые эмульсии, содержащие пропофол, с высокой эмульсионной стабильностью могут быть получены при использовании в качестве стабилизатора определенного фосфолипида, фосфолипидного производного или жирной кислоты вместо гидрофильного поверхностно-активного вещества, имеющего величину HLB 10 или более, как это предлагалось для использования в качестве стабилизатора согласно известному уровню техники. Более конкретно, изобретатели нашли следующее: приведенные выше стабилизаторы, каждый, имеет превосходную безопасность; жировые эмульсии, полученные добавлением таких стабилизаторов, приобретают отличную эмульсионную стабильность; и стабильность эмульсии сохраняется, даже когда ее смешивают с местным анестетиком в количестве, достаточном для облегчения боли. Изобретение было выполнено на основе данных находок и дальнейших исследований. Настоящее изобретение предоставляет изобретения, определенные в пунктах 1-34: Пункт 1. Жировую эмульсию, с которой перед применением смешивают местный анестетик, и которая включает пропофол, масляный компонент и эмульгатор, причем жировая эмульсия дополнительно включает стабилизатор, выбранный из следующих (a), (b), (c) или (d): (а) по крайней мере, один фосфолипид, выбранный из группы, состоящей из фосфатидилглицерина, фосфатидной кислоты, фосфатидилинозита и фосфатидилсерина, где жирной кислотой, сложно-этерифицированной в глицериновый фрагмент, является С10-22 линейная или разветвленная, насыщенная или ненасыщенная жирная кислота; (b) по крайней мере, одно производное фосфолипида, выбранное из фосфатидилэтаноламинов, модифицированных полиалкиленгликолем, где жирной кислотой, сложно-этерифицированной в глицериновый фрагмент, является С10-22 линейная или разветвленная, насыщенная или ненасыщенная жирная кислота; (с) по крайней мере, одна жирная кислота, выбранная из группы, состоящей из С10-22 линейных или разветвленных, насыщенных или ненасыщенных жирных кислот; или (d) смесь, по крайней мере, двух, выбранных из указанных выше групп (a), (b) и (c), где стабилизатор (a), (b) или (c) присутствует в концентрации от 0,01 до 1 мас./об.%, от 0,01 до 1 мас./об.%, от 0,05 до 5 мас./об.%, соответственно, на общее количество жировой эмульсии и местного анестетика, смешиваемого с ней перед применением, т.е. в жировой эмульсии, с которой местный анестетик смешивают перед применением. Пункт 2. Жировую эмульсию по п.1, в которой (1) пропофол присутствует в концентрации от 0,4 до 5 мас./об.%, (2) масляный компонент присутствует в концентрации от 2 до 20 мас./об.%, и (3) эмульгатор присутствует в концентрации от 0,4 до 5 мас./об.% на общее количество жировой эмульсии и местного анестетика, смешиваемого с ней перед применением. Пункт 3. Жировую эмульсию по п.1 или 2, в которой местным анестетиком является, по крайней мере, один, выбранный из группы, состоящей из лидокаина, мепивакаина, бупивакаина, ропивакаина, дибукаина, прокаина, хлорида прокаина, тетракаина и их фармакологически приемлемых кислотно-аддитивных солей. Пункт 4. Жировую эмульсию согласно любому из пп.1-3, в которой местный анестетик присутствует в концентрации от 0,01 до 1 мас./об.% на общее количество жировой эмульсии и местного анестетика, смешиваемого с ней перед применением. Пункт 5. Жировую эмульсию согласно любому из пп.1-3, в которой стабилизатором является, по крайней мере, один фосфолипид (а), выбранный из группы, состоящей из фосфатидилглицерина, фосфатидной кислоты, фосфатидилинозита и фосфатидилсерина, где жирной кислотой, сложно-этерифицированной в глицериновый фрагмент, является С10-22 линейная или разветвленная, насыщенная или ненасыщенная жирная кислота. Пункт 6. Жировую эмульсию согласно любому из пп.1-3, в которой стабилизатором является, по крайней мере, один фосфолипид (а), выбранный из группы, состоящей из фосфатидилглицерина, фосфатидной кислоты, фосфатидилинозита и фосфатидилсерина, где жирной кислотой, сложно-этерифицированной в глицериновый фрагмент, является С12-18 линейная или разветвленная, насыщенная или ненасыщенная жирная кислота. Пункт 7. Жировую эмульсию согласно любому из пп.1-3, в которой стабилизатором является, по крайней мере, один фосфолипид (а), выбранный из группы, состоящей из дистеароилфосфатидилглицерина, дипальмитоилфосфатидилглицерина, диолеоилфосфатидилглицерина, дистеароилфосфатидной кислоты, дипальмитоилфосфатидной кислоты, диолеоилфосфатидной кислоты, дистеароилфосфатидилинозита, дипальмитоилфосфатидилинозита, диолеоилфосфатидилинозита, дистеароилфосфатидилсерина, дипальмитоилфосфатидилсерина, дипальмитоилфосфатидилсерина и диолеоилфосфатидилсерина. Пункт 8. Жировую эмульсию согласно любому из пп.5-7, в которой стабилизатор присутствует в концентрации от 0,03 до 1 мас./об.% на общее количество жировой эмульсии и местного анестетика, смешиваемого с ней перед применением. Пункт 9. Жировую эмульсию согласно любому из пп.1-3, в которой стабилизатором является, по крайней мере, одно производное фосфолипида (b), выбранное из группы, состоящей из фосфатидилэтаноламинов, модифицированных полиалкиленгликолем, где жирной кислотой, сложно-этерифицированной в глицериновый фрагмент, является С10-22 линейная или разветвленная, насыщенная или ненасыщенная жирная кислота. Пункт 10. Жировую эмульсию согласно любому из пп.1-3, в которой стабилизатором является, по крайней мере, одно производное фосфолипида (b), выбранное из группы, состоящей из фосфатидилэтаноламинов, модифицированных полиалкиленгликолем, имеющим среднюю молекулярную массу от 1000 до 5000, где жирной кислотой, сложно-этерифицированной в глицериновый фрагмент, является С14-18 линейная или разветвленная, насыщенная или ненасыщенная жирная кислота. Пункт 11. Жировую эмульсию согласно любому из пп.1-3, в которой стабилизатором является, по крайней мере, одно производное фосфолипида (b), выбранное из группы, состоящей из дистеароилфосфатидилэтаноламин-полиэтиленгликоля 5000, дистеароилфосфатидилэтаноламин-полиэтиленгликоля 3000 и дистеароилфосфатидилэтаноламин-полиэтиленгликоля 2000. Пункт 12. Жировую эмульсию по любому из пп.9-11, в которой стабилизатор присутствует в концентрации от 0,1 до 1 мас./об.%, когда местный анестетик смешивают с ней перед применением. Пункт 13. Жировую эмульсию согласно любому из пп.1-3, в которой стабилизатором является, по крайней мере, одна жирная кислота (с), выбранная из группы, состоящей из С10-22 линейных или разветвленных, насыщенных или ненасыщенных жирных кислот. Пункт 14. Жировую эмульсию согласно любому из пп.1-3, в которой стабилизатором является, по крайней мере, одна жирная кислота (с), выбранная из группы, состоящей из С10-20 линейных или разветвленных, насыщенных или ненасыщенных жирных кислот. Пункт 15. Жировую эмульсию согласно любому из пп.1-3, в которой стабилизатором является, по крайней мере, одна жирная кислота (с), выбранная из группы, состоящей из декановой кислоты, лауриновой кислоты, миристиновой кислоты, пальмитиновой кислоты, стеариновой кислоты, арахиновой кислоты, изомиристиновой кислоты, изопальмитиновой кислоты и олеиновой кислоты. Пункт 16. Жировую эмульсию по любому из пп.13-15, в которой стабилизатор присутствует в концентрации от 0,1 до 5 мас./об.% на общую массу жировой эмульсии и местного анестетика, смешиваемого с ней перед применением. Пункт 17. Контейнер, содержащий жировую эмульсию, имеющий, по крайней мере, две камеры (многокамерный), который разделен перегородкой таким образом, чтобы позволить камерам сообщаться друг с другом, причем контейнер включает одну камеру, содержащую жировую эмульсию по любому из пп.1-3, и другую камеру, содержащую местный анестетик. Пункт 18. Жировую эмульсию, смягчающую или снимающую боль, включающую пропофол, масляный компонент, эмульгатор, стабилизатор и местный анестетик, в которой стабилизатор выбран из следующих (a), (b), (c) или (d): (а) по крайней мере, один фосфолипид, выбранный из группы, состоящей из фосфатидилглицерина, фосфатидной кислоты, фосфатидилинозита и фосфатидилсерина, где жирной кислотой, сложно-этерифицированной в глицериновый фрагмент, является С10-22 линейная или разветвленная, насыщенная или ненасыщенная жирная кислота; (b) по крайней мере, одно производное фосфолипида, выбранное из фосфатидилэтаноламинов, модифицированных полиалкиленгликолем, где жирной кислотой, сложно-этерифицированной в глицериновый фрагмент, является С10-22 линейная или разветвленная, насыщенная или ненасыщенная жирная кислота; (с) по крайне мере, одна жирная кислота, выбранная из группы, состоящей из С10-22 линейных или разветвленных, насыщенных или ненасыщенных жирных кислот; или (d) смесь, по крайней мере, двух, выбранных из указанных выше групп (a), (b) и (c), где стабилизатор (a), (b) или (c) присутствует в жировой эмульсии в концентрации от 0,01 до 1 мас./об.%, от 0,01 до 1 мас./об.%, от 0,05 до 5 мас./об.%, соответственно. Пункт 19. Жировую эмульсию, смягчающую или снимающую боль по п.18, в которой (1) пропофол присутствует в концентрации от 0,4 до 5 мас./об.%, (2) масляный компонент присутствует в концентрации от 2 до 20 мас./об.%, (3) эмульгатор присутствует в концентрации от 0,4 до 5 мас./об.%, и (4) местный анестетик присутствует в концентрации от 0,01 до 1 масс./объем.% в жировой эмульсии. Пункт 20. Жировую эмульсию, смягчающую или снимающую боль по п.18 или 19, в которой местным анестетиком является, по крайней мере, один, выбранный из группы, из состоящей из лидокаина, мепивакаина, бупивакаина, ропивакаина, дибукаина, прокаина, хлорида прокаина, тетракаина и их фармакологически приемлемых кислотно-аддитивных солей. Пункт 21. Жировую эмульсию, смягчающую или снимающую боль по любому из пп.18-20, в которой стабилизатором является, по крайней мере, один фосфолипид (а), выбранный из группы, состоящей из фосфатидилглицерина, фосфатидной кислоты, фосфатидилинозита и фосфатидилсерина, где жирной кислотой, сложно-этерифицированной в глицериновый фрагмент, является С10-22 линейная или разветвленная, насыщенная или ненасыщенная жирная кислота. Пункт 22. Жировую эмульсию, смягчающую или снимающую боль по любому из пп.18-20, в которой стабилизатором является, по крайней мере, один фосфолипид (а), выбранный из группы, состоящей из фосфатидилглицерина, фосфатидной кислоты, фосфатидилинозита и фосфатидилсерина, где жирной кислотой, сложно-этерифицированной в глицериновый фрагмент, является С12-18 линейная или разветвленная, насыщенная или ненасыщенная жирная кислота. Пункт 23. Жировую эмульсию, смягчающую или снимающую боль, согласно любому из пп.18-20, в которой стабилизатором является, по крайней мере, один фосфолипид (а), выбранный из группы, состоящей из дистеароилфосфатидилглицерина, дипальмитоилфосфатидилглицерина, диолеоилфосфатидилглицерина, дистеароилфосфатидной кислоты, дипальмитоилфосфатидной кислоты, диолеоилфосфатидной кислоты, дистеароилфосфатидилинозита, дипальмитоилфосфатидилинозита, диолеоилфосфатидилинозита, дистеароилфосфатидилсерина, дипальмитоилфосфатидилсерина и диолеоилфосфатидилсерина. Пункт 24. Жировую эмульсию, смягчающую или снимающую боль, согласно любому из пп.21-23, в которой стабилизатор присутствует в жировой эмульсии в концентрации от 0,03 до 1 мас./об.%. Пункт 25. Жировую эмульсию, смягчающую или снимающую боль, согласно любому из пп.18-20, в которой стабилизатором является, по крайней мере, одно производное фосфолипида (b), выбранное из фосфатидилэтаноламинов, модифицированных полиалкиленгликолем, где жирной кислотой, сложно-этерифицированной в глицериновый фрагмент, является С10-22 линейная или разветвленная, насыщенная или ненасыщенная жирная кислота. Пункт 26. Жировую эмульсию, смягчающую или снимающую боль, согласно любому из пп.18-20, в которой стабилизатором является, по крайней мере, одно производное фосфолипида (b), выбранное из фосфатидилэтаноламинов, модифицированных полиалкиленгликолем, имеющим среднюю молекулярную массу от 1000 до 5000, где жирной кислотой, сложно-этерифицированной в глицериновый фрагмент, является С14-18 линейная или разветвленная, насыщенная или ненасыщенная жирная кислота. Пункт 27. Жировую эмульсию, смягчающую или снимающую боль, согласно любому из пп.18-20, в которой стабилизатором является, по крайней мере, одно производное фосфолипида (b), выбранное из группы, состоящей из дистеароилфосфатидилэтаноламин-полиэтиленгликоля 5000, дистеароилфосфатидилэтаноламин-полиэтиленгликоля 3000 и дистеароилфосфатидилэтаноламин-полиэтиленгликоля 2000. Пункт 28. Жировую эмульсию, смягчающую или снимающую боль, согласно любому из пп.25-27, в которой стабилизатор присутствует в жировой эмульсии в концентрации от 0,1 до 1 мас./об.%. Пункт 29. Жировую эмульсию, смягчающую или снимающую боль, согласно любому из пп.18-20, в которой стабилизатором является, по крайней мере, одна жирная кислота (с), выбранная из группы, состоящей из С10-22 линейных или разветвленных, насыщенных или ненасыщенных жирных кислот. Пункт 30. Жировую эмульсию, смягчающую или снимающую боль, согласно любому из пп.18-20, в которой стабилизатором является, по крайней мере, одна жирная кислота (с), выбранная из группы, состоящей из С10-20 линейных или разветвленных, насыщенных или ненасыщенных жирных кислот. Пункт 31. Жировую эмульсию, смягчающую или снимающую боль, согласно любому из пп.18-20, в которой стабилизатором является, по крайней мере, одна жирная кислота (с), выбранная из группы, состоящей из олеиновой кислоты, изомиристиновой кислоты, изопальмитиновой кислоты, декановой кислоты, лауриновой кислоты, миристиновой кислоты, пальмитиновой кислоты, стеариновой кислоты и арахиновой кислоты. Пункт 32. Жировую эмульсию, смягчающую или снимающую боль, согласно любому из пп.29-31, в которой стабилизатор присутствует в жировой эмульсии в концентрации от 0,05 до 0,2 мас./об.%. Пункт 33. Способ получения жировой эмульсии, смягчающей или снимающей боль, включающий: смешение местного анестетического средства с жировой эмульсией, включающей пропофол, масляный компонент, эмульгатор и стабилизатор, где стабилизатор выбран из следующих (a), (b), (c) или (d): (а) по крайней мере, один фосфолипид, выбранный из группы, состоящей из фосфатидилглицерина, фосфатидной кислоты, фосфатидилинозита и фосфатидилсерина, где жирной кислотой, сложно-этерифицированной в глицериновый фрагмент, является С10-22 линейная или разветвленная, насыщенная или ненасыщенная жирная кислота; (b) по крайней мере, одно производное фосфолипида, выбранное из фосфатидилэтаноламинов, модифицированных полиалкиленгликолем, где жирной кислотой, сложно-этерифицированной в глицериновый фрагмент, является С10-22 линейная или разветвленная, насыщенная или ненасыщенная жирная кислота; (с) по крайне мере, одна жирная кислота, выбранная из группы, состоящей из С10-22 линейных или разветвленных, насыщенных или ненасыщенных жирных кислот; или (d) смесь, по крайней мере, двух, выбранных из указанных выше групп (a), (b) и (c), с получением тем самым жировой эмульсии, в которой стабилизатор (a), (b) или (c) присутствует в жировой эмульсии в концентрации от 0,01 до 1 мас./об.%, от 0,01 до 1 мас./об.%, от 0,05 до 5 мас./об.%, соответственно. Пункт 34. Применение следующих стабилизаторов (а)-(d) для стабилизации жировой эмульсии, с которой местный анестетик смешивают перед применением, и которая включает пропофол, масляный компонент и эмульгатор, или жировой эмульсии, смягчающей или снимающей боль, которая включает пропофол, масляный компонент, эмульгатор и местный анестетик: (а) по крайней мере, один фосфолипид, выбранный из группы, состоящей из фосфатидилглицерина, фосфатидной кислоты, фосфатидилинозита и фосфатидилсерина, где жирной кислотой, сложно-этерифицированной в глицериновый фрагмент, является С10-22 линейная или разветвленная, насыщенная или ненасыщенная жирная кислота; (b) по крайней мере, одно производное фосфолипида, выбранное из фосфатидилэтаноламинов, модифицированных полиалкиленгликолем, где жирной кислотой, сложно-этерифицированной в глицериновый фрагмент, является С10-22 линейная или разветвленная, насыщенная или ненасыщенная жирная кислота; (с) по крайне мере, одна жирная кислота, выбранная из группы, состоящей из С10-22 линейных или разветвленных, насыщенных или ненасыщенных жирных кислот; или (d) смесь, по крайней мере, двух, выбранных из указанных выше групп (a), (b) и (c). В частности, настоящее изобретение предоставляет изобретения по пунктам [1]-[27]: [1] Жировую эмульсию, содержащую пропофол, с которой перед применением смешивают местный анестетик, для смягчения или снятия боли, причем содержащая пропофол жировая эмульсия включает в качестве стабилизатора: 0,01-1 мас.%, по крайней мере, одного фосфолипида, выбранного из группы, состоящей из фосфатидилглицерина, фосфатидной кислоты, фосфатидилинозита и фосфатидилсерина, где линейная или разветвленная, насыщенная или ненасыщенная жирная кислота с С10-22 основной цепью является составляющим жирно-кислотным компонентом; и/или 0,2-5 мас.%, по крайней мере, одной линейной или разветвленной, насыщенной или ненасыщенной жирной кислоты с С10-22 основной цепью. [2] Жировую эмульсию, содержащую пропофол согласно п.[1], которая включает следующие компоненты (2)-(5) таким образом, чтобы дать следующие конечные концентрации после того, как перед применением с жировой эмульсией смешивают местный анестетик (1): (1) 0,01-1 мас.%, по крайней мере, одного местного анестетика для смягчения или снятия боли; (2) 0,01-1 мас.%, по крайней мере, одного фосфолипида, выбранного из группы, состоящей из фосфатидилглицерина, фосфатидной кислоты, фосфатидилинозита и фосфатидилсерина, где линейная или разветвленная, насыщенная или ненасыщенная жирная кислота с С10-22 основной цепью является составляющим жирно-кислотным компонентом; и/или 0,2-5 мас.%, по крайней мере, одной линейной или разветвленной, насыщенной или ненасыщенной жирной кислоты с С10-22 основной цепью; (3) 0,5-5 мас.% пропофола; (4) 2-20 мас.% масляного компонента; и (5) 0,5-5 мас.% эмульгатора. [3] Жировую эмульсию согласно п.[1], в которой местным анестетиком является, по крайней мере, один, выбранный из группы, состоящей из лидокаина, мепивакаина, бупивакаина, ропивакаина, дибукаина, прокаина, хлорида прокаина, тетракаина и их фармакологически приемлемых кислотно-аддитивных солей. [4] Жировую композицию, содержащую пропофол, согласно п.[3], в которой местным анестетиком является, по крайней мере, один, выбранный из группы, состоящей из лидокаина и его гидрохлорида. [5] Жировую эмульсию, содержащую пропофол, согласно п.[1], в которой перед применением с ней смешивают местный анестетик таким образом, чтобы получить конечную концентрацию 0,01-1 мас.%. [6] Жировую эмульсию, содержащую пропофол, согласно п.[1], в которой стабилизатором является, по крайней мере, один фосфолипид, выбранный из группы, состоящей из фосфатидилглицерина, фосфатидной кислоты, фосфатидилинозита и фосфатидилсерина, где линейная или разветвленная, насыщенная или ненасыщенная жирная кислота с С10-22 основной цепью является составляющим жирно-кислотным компонентом. [7] Жировую эмульсию, содержащую пропофол, согласно п.[6], в которой стабилизатором является, по крайней мере, один фосфолипид, выбранный из группы, состоящей из дистеароилфосфатидилглицерина, дистеароилфосфатидной кислоты, дистеароилфосфатидилинозита и дистеароилфосфатидилсерина. [8] Жировую эмульсию, содержащую пропофол, согласно п.[7], в которой стабилизатором является фосфолипид, выбранный из группы, состоящей из дистеароилфосфатидилглицерина и дистеароилфосфатидной кислоты. [9] Жировую эмульсию, содержащую пропофол, согласно любому из пп.[6]-[8], в которой содержание стабилизатора составляет 0,01-0,7 мас.% в смеси, полученной смешением местного анестетика с жировой эмульсией перед применением таким образом, чтобы получить конечную концентрацию местного анестетика 0,01-1 мас.%. [10] Жировую эмульсию, содержащую пропофол, согласно п.[1], в которой стабилизатором является линейная или разветвленная, насыщенная или ненасыщенная жирная кислота с С10-22 основной цепью. [11] Жировую эмульсию, содержащую пропофол, согласно п.[10], в которой стабилизатором является жирная кислота, выбранная из группы, состоящей из олеиновой кислоты, миристиновой кислоты, пальмитиновой кислоты и стеариновой кислоты. [12] Жировую эмульсию, содержащую пропофол, согласно п.[11], в которой стабилизатором является олеиновая кислота. [13] Жировую эмульсию, содержащую пропофол, согласно любому из пп.[10]-[12], в которой содержание стабилизатора составляет 0,2-2 мас.% в смеси, полученной смешением местного анестетика с жировой эмульсией перед применением таким образом, чтобы получить конечную концентрацию местного анестетика 0,01-1 мас.%. [14] Контейнер, содержащий жировую эмульсию, включающий гибкий контейнер, имеющий множественную камеру, которая разделена перегородкой таким образом, чтобы позволить камерам сообщаться одна с другой, в котором одна камера из множественной камеры содержит жировую эмульсию согласно п.[1], а другая камера содержит местный анестетик. [15] Жировую эмульсию, содержащую пропофол, для смягчения или снятия боли, включающую: 0,01-1 мас.% местного анестетика для смягчения или снятия боли; и в качестве стабилизатора, 0,01-1 мас.%, по крайней мере, одного фосфолипида, выбранного из группы, состоящей из фосфатидилглицерина, фосфатидной кислоты, фосфатидилинозита и фосфатидилсерина, где линейная или разветвленная, насыщенная или ненасыщенная жирная кислота с С10-22 основной цепью является составляющим жирно-кислотным компонентом; и/или 0,2-5 мас.%, по крайней мере, одной линейной или разветвленной, насыщенной или ненасыщенной жирной кислоты с С10-22 основной цепью. [16] Жировую эмульсию, содержащую пропофол, согласно п.[15], включающую следующие компоненты таким образом, чтобы получить следующие конечные концентрации: (1) 0,01-1 мас.%, по крайней мере, одного местного анестетика для смягчения или снятия боли; (2) 0,01-1 мас.%, по крайней мере, одного фосфолипида, выбранного из группы, состоящей из фосфатидилглицерина, фосфатидной кислоты, фосфатидилинозита и фосфатидилсерина, где линейная или разветвленная, насыщенная или ненасыщенная жирная кислота с С10-22 основной цепью является составляющим жирно-кислотным компонентом; и/или 0,2-5 мас.%, по крайней мере, одной линейной или разветвленной, насыщенной или ненасыщенной жирной кислоты с С10-22 основной цепью; (3) 0,5-5 мас.% пропофола; (4) 2-20 мас.% масляного компонента; и (5) 0,5-5 мас.% эмульгатора. [17] Жировую эмульсию, содержащую пропофол, согласно п.[15], в которой местным анестетиком является, по крайней мере, один, выбранный из группы, состоящей из лидокаина, мепивакаина, бупивакаина, ропивакаина, дибукаина, прокаина, хлорида прокаина, тетракаина и их фармакологически приемлемых кислотно-аддитивных солей. [18] Жировую эмульсию, содержащую пропофол, согласно п.[17], в которой местным анестетиком является, по крайней мере, один, выбранный из группы, состоящей из лидокаина и его гидрохлорида. [19] Жировую эмульсию, содержащую пропофол, согласно п.[15], в которой стабилизатором является, по крайней мере, один фосфолипид, выбранный из группы, состоящей из фосфатидилглицерина, фосфатидной кислоты, фосфатидилинозита и фосфатидилсерина, где линейная или разветвленная, насыщенная или ненасыщенная жирная кислота с С10-22 основной цепью является составляющим жирно-кислотным компонентом. [20] Жировую эмульсию, содержащую пропофол, согласно п.[19], в которой стабилизатором является фосфолипид, выбранный из группы, состоящей из дистеароилфосфатидилглицерина, дистеароилфосфатидной кислоты, дистеароилфосфатидилинозита и дистеароилфосфатидилсерина. [21] Жировую эмульсию, содержащую пропофол, согласно п.[20], в которой стабилизатором является фосфолипид, выбранный из группы, состоящей из дистеароилфосфатидилглицерина и дистеароилфосфатидной кислоты. [22] Жировую эмульсию, содержащую пропофол, согласно любому из пп.[19]-[21], в которой содержание стабилизатора составляет 0,01-0,7 мас.%. [23] Жировую эмульсию, содержащую пропофол, согласно п.[15], в которой стабилизатором является линейная или разветвленная, насыщенная или ненасыщенная жирная кислота с С10-22 основной цепью. [24] Жировую эмульсию согласно п.[23], в которой стабилизатором является жирная кислота, выбранная из группы, состоящей из олеиновой кислоты, миристиновой кислоты, пальмитиновой кислоты и стеариновой кислоты. [25] Жировую эмульсию согласно п.[24], в которой стабилизатором является олеиновая кислота. [26] Жировую эмульсию, содержащую пропофол, согласно любому из пп.[23]-[25], в которой содержание стабилизатора составляет 0,2-2 мас.%. [27] Способ получения пропофол-содержащей жировой эмульсии, смягчающей или снимающей боль, включающий смешение местного анестетического средства для смягчения или снятия боли с жировой эмульсией, содержащей пропофол, перед применением, при этом жировая эмульсия, содержащая пропофол, включает в качестве стабилизатора: 0,01-1 мас.%, по крайней мере, одного фосфолипида, выбранного из группы, состоящей из фосфатидилглицерина, фосфатидной кислоты, фосфатидилинозита и фосфатидилсерина, где линейная или разветвленная, насыщенная или ненасыщенная жирная кислота с С10-22 основной цепью является составляющим жирно-кислотным компонентом; и/или 0,2-5 мас.%, по крайней мере, одной линейной или разветвленной, насыщенной или ненасыщенной жирной кислоты с С10-22 основной цепью. Жировая эмульсия настоящего изобретения описана ниже более подробно. 1. Жировая эмульсия, с которой перед применением смешивают местный анестетик Жировая эмульсия изобретения, с которой перед применением смешивают местный анестетик, включает пропофол, который обычно известен как анестетическое или седативное средство, (в данном описании ниже называемая как “жировая эмульсия изобретения”). Жировая эмульсия изобретения включает пропофол, масляный компонент и эмульгатор, и дополнительно включает специфический стабилизатор в предписанном количестве. (1-1) Местный анестетик Перед применением с жировой эмульсией изобретения могут быть смешаны различные местные анестетики, известные как обладающие эффектом смягчения или снятия боли. Такие местные анестетики включают лидокаин, мепивакаин, бупивакаин, ропивакаин, дибукаин, прокаин, хлорид прокаина, тетракаин и их фармакологически приемлемые кислотно-аддитивные соли. Данные местные анестетики могут быть использованы по одному или в сочетании. Местный анестетик может быть смешан с жировой эмульсией изобретения перед применением в количестве, достаточном для предотвращения или устранения боли (сосудистой боли), возникающей во время ее введения с помощью внутривенной инъекции или инфузии. Количество местного анестетика, достаточное для смягчения или снятия боли, благоприятно определяется таким образом, чтобы получить концентрацию от около 0,01 до около 1 мас./об.%, и предпочтительно примерно от 0,01 до 0,5 мас./об.%, в жировой эмульсии, полученной смешением ее с местным анестетиком. Ниже в данном описании данная концентрация иногда называется как “конечная концентрация”. В данном описании концентрация описанного выше местного анестетика и каждого компонента, образующего жировую эмульсию изобретения, представлена “мас./об.%”. Данный “мас./об.%” относится к [масса компонента в (г)]/[объем жировой эмульсии (100 мл)]. (1-2) Жировая эмульсия В изобретении, жировую эмульсию, с которой смешивают стабилизатор, получают с помощью эмульгирования пропофола в качестве активного компонента и масляного компонента (липидного компонента) в воде с использованием подходящего эмульгатора. Конкретными примерами жировой эмульсии являются коммерчески доступные жировые эмульсии пропофола для внутривенного введения. Обычно для получения жировых эмульсий в качестве масляного компонента применяются растительные масла. Примеры таких растительных масел включают соевое масло, масло хлопковых семян, рапсовое масло, кунжутное масло, кукурузное масло, арахисовое масло, подсолнечное масло, касторовое масло и т.д. Масляным компонентом может быть триглицерид со средней длиной цепи. Конкретные примеры полезных масляных компонентов включают различные коммерчески доступные продукты, такие как COCONARD (зарегистрированный товарный знак, производимый фирмой Kao Corporation), ODO (зарегистрированный товарный знак, производимый Nisshin Oil Mills, Ltd.), миглиол (зарегистрированный товарный знак, производимый SASOL Ltd.), панасат (зарегистрированный товарный знак, производимый NOF Corporation), и т.д. Данные растительные масла и триглицериды со средней длиной цепи могут быть использованы по одному или в сочетании двух и более представителей, выбранных подходящим образом из той же группы (растительных масел и триглицеридов со средней длиной цепи) или иных групп. Масляные компоненты не ограничиваются описанными выше растительными маслами и триглицеридами средней длины цепи и, например, могут включать животные масла, минеральные масла, синтетические масла и неотъемлемые существенно необходимые масла. Данные масляные компоненты используются по одному или в сочетании. Альтернативно, с растительными маслами и/или триглицеридами средней длины цепи могут быть комбинированы животные масла. Типичные примеры эмульгаторов включают природные фосфолипиды, такие как лецитин яичного желтка и соевый лецитин, гидрированный лецитин яичного желтка и гидрированный соевый лецитин, и т.д. В качестве эмульгатора могут также быть использованы химически синтезированные фосфатидилхолины и фосфатидилэтаноламины. Примеры химически синтезированных фосфатидилхолинов включают дипальмитоилфосфатидилхолин, димиристоилфосфатидилхолин, дистеароилфосфатидилхолин, диолеоилфосфатидилхолин, и т.д. Примеры химически синтезированных фосфатидилэтаноламинов включают дипальмитоилфосфатидилэтаноламин, димиристоилфосфатидилэтаноламин, дистеароилфосфатидилэтаноламин, диолеоилфосфатидилэтаноламин и т.д. Данные эмульгаторы могут быть использованы по одному или в сочетании. Среди них предпочтительными в качестве эмульгатора являются лецитин яичного желтка и соевый лецитин. Методы эмульгирования пропофола в качестве активного компонента и масляного компонента с использованием эмульгатора хорошо известны специалистам в данной области. Примеры данных методов включают способ, включающий стадии добавления воды для инъекции к смеси активного компонента, масляного компонента и эмульгатора с образованием грубой эмульсии, и последующего использования подходящего эмульгирующего устройства высокого давления, и т.д., для рафинирования или облагораживания грубой эмульсии. Каждую пропорцию активного компонента, масляного компонента и эмульгатора подходящим образом выбирают из следующих интервалов: 0,4-5 мас./об.% пропофола, 2-20 мас./об.% масляного компонента и 0,4-5 мас./об.% эмульгаторов в виде концентрации обработанного готового продукта после того, как местный анестетик смешивают с эмульгированной жидкостью (жировой эмульсией), которую получают. Концентрация обработанного готового продукта представлена в виде процента массы к его объему (конечная концентрация, мас./об.%). Особенно предпочтительную его пропорцию выбирают из следующих интервалов: 0,5-2 мас./об.% пропофола, 5-10 мас./об.% масляного компонента и 0,5-2 мас./об.% эмульгатора в виде конечной концентрации. К эмульгированной жидкости, полученной выше, могут быть дополнительно добавлены разнообразные добавки в подходящем количестве в зависимости от потребности, но это не является абсолютно необходимым. Примеры добавок включают антиоксиданты, антибактериальные агенты, агенты регулирования рН, изотонизирующие агенты, и т.д., которые известны по их способности к смешению с данным типом эмульгированной жидкости. Конкретные примеры антиоксидантов включают метабисульфит натрия (который служит в качестве антибактериального агента и антиоксиданта), сульфит натрия, бисульфит натрия, метабисульфит калия, сульфит калия и т.д. Примеры антибактериальных агентов включают каприлат натрия, метилбензоат, метабисульфит натрия, эдетат натрия и т.д. В качестве агента, регулирующего рН, могут быть использованы гидроксид натрия, хлористоводородная кислота и т.д. Примеры придающих изотоничность агентов включают глицерины; сахариды, такие как глюкоза, фруктоза, мальтоза и т.д.; и сахарные спирты, такие как сорбит, ксилит и т.д. Среди них маслорастворимые добавки могут быть заранее смешаны с масляным компонентом эмульгированной жидкости, а водорастворимые добавки могут быть смешаны с водой для инъекции или примешаны к водной фазе полученной эмульгированной жидкости. Количество каждой добавки является очевидным для специалистов в данной области, и не отличается заметным образом от общепринятых применяемых количеств. (1-3) Стабилизатор Стабилизатором согласно изобретению является, по крайней мере, один представитель, выбранный из группы, состоящей из следующих веществ (а)-(d): (а) по крайней мере, один фосфолипид, выбранный из группы, состоящей из фосфатидилглицерина, фосфатидной кислоты, фосфатидилинозита и фосфатидилсерина, где жирной кислотой, сложно-этерифицированной в глицериновый фрагмент, является С10-22, предпочтительно С12-18, линейная или разветвленная, насыщенная или ненасыщенная жирная кислота; (b) по крайней мере, одно производное фосфолипида, выбранное из фосфатидилэтаноламинов, модифицированных полиалкиленгликолем, где жирной кислотой, сложно-этерифицированной в глицериновый фрагмент, является С10-22, предпочтительно С14-18, линейная или разветвленная, насыщенная или ненасыщенная жирная кислота; (с) по крайне мере, одна жирная кислота, выбранная из группы, состоящей из С10-22, предпочтительно С10-20, линейных или разветвленных, насыщенных или ненасыщенных жирных кислот; или (d) смесь, по крайней мере, двух, выбранных из указанных выше групп (a), (b) и (c). В приведенных выше пунктах (a) и (b) “глицериновый фрагмент” означает фрагменты или части, показанные в следующих формулах, которые иллюстрируют структуру фосфатидилглицерина, фосфатидной кислоты, фосфатидилинозита, фосфатидилсерина и фосфатидилэтаноламина, в которых составляющей жирной кислотой является пальмитиновая кислота. Фосфатидилглицерин Фосфатидная кислота Фосфатидилинозит Фосфатидилсерин Фосфатидилэтаноламин Глицериновый фрагмент Линейная или разветвленная, насыщенная или ненасыщенная жирная кислота, которая существует в природе, может быть приведена в качестве жирной кислоты, образующей фосфолипид (а) (т.е. жирной кислоты, сложно-этерифицированной в глицериновый фрагмент фосфолипида (а)), жирной кислоты, образующей производное фосфолипида (b) (т.е. жирной кислоты, сложно-этерифицированной в глицериновый фрагмент производного фосфолипида (b)) и жирной кислоты (c). Описанные выше жирные кислоты включают линейные жирные кислоты, такие как каприновая кислота, лауриновая кислота, миристиновая кислота, пальмитиновая кислота, стеариновая кислота, арахиновая кислота, бегеновая кислота, олеиновая кислота, линолевая кислота, линоленовая кислота, арахидоновая кислота и эйкозапентаеновая кислота; и жирные кислоты с разветвленной цепью, такие как изомиристиновая кислота, изопальмитиновая кислота, изостеариновая кислота, изоарахидоновая кислота и т.д. Конкретные примеры фосфолипидов (а), включающих описанные выше жирные кислоты в качестве составляющего жирно-кислотного компонента, включают дикапроилфосфатадилглицерин, дилауроилфосфатидную кислоту, димиристоилфосфатидилинозит, дипальмитоилфосфатидилсерин, дистеароилфосфатидилглицерин, диарахидоилфосфатидилглицерин, дибегенилфосфатидную кислоту, дистеароилфосфатидилинозит, дистеароилфосфатидную кислоту, дистеароилфосфатидилсерин, диизомиристоилфосфатидилглицерин, диизостеароилфосфатидную кислоту, диизоарахидоилфосфатидилинозит, и т.д. Среди них дистеароилфосфатидилглицерин, дистеароилфосфатидная кислота, дистеароилфосфатидилинозит и дистеароилфосфатидилсерин являются предпочтительными, и дистеароилфосфатидилглицерин и дистеароилфосфатидная кислота являются более предпочтительными. Производные фосфолипида (b), включающие вышеописанные жирные кислоты в качестве составляющего жирно-кислотного компонента, включают фосфатидилэтаноламины, модифицированные полиалкиленгликолем, представленные общей Формулой (I) в которой R1 и R2, каждый представляет остаток жирной кислоты (составляющий жирно-кислотный компонент), R3 и R4, каждый представляют атом водорода или метильную группу, Х представляет группу -СО(СН2)2СО-, -СО(СН2)3СО- или -СО-, и n равно целому числу от 20 до 120. Более конкретно, как показано в общей формуле (I), полиалкиленгликоль, модифицирующий фосфатидилэтаноламин в производных фосфолипида (b), связан с аминогруппой фосфатидилэтаноламина через Х группу в качестве заместителя (заместителя при атоме азота). Полиалкиленгликолем является полиэтиленгликоль или полипропиленгликоль. В изобретении предпочтительными примерами производного фосфолипида (b) являются дистеароилфосфатидилэтаноламин-полиэтиленгликоль 5000 (товарный знак “SUNBRIGHT DSPE-050C”, производимый фирмой NOF CORPORATION), дистеароилфосфатидилэтаноламин-полиэтиленгликоль 3000 (товарный знак “MPEG 3000PE”, производимый фирмой Avanti Polar Lipids, Inc.) и дистеароилфосфатидилэтаноламин-полиэтиленгликоль 2000 (товарный знак “SUNBRIGHT DSPE-020CN”, производимый NOF CORPORATION). Числовая величина, показанная в каждом из приведенных выше наименований соединений, представляет среднюю молекулярную массу полиэтиленгликоля. Среднюю молекулярную массу полиалкиленгликоля, такого как приведенные выше полиэтиленгликоли и т.д., находится предпочтительно в интервале от 1000 до 5000. Соединения, принадлежащие к приведенной выше каждой группе фосфолипида (а), производного фосфолипида (b) или жирной кислоты (с), могут быть использованы по одному или в сочетании. Альтернативно, изобретение допускает комбинированное использование различных типов соединений, выбранных подходящим образом из приведенных выше групп фосфолипида (а), производного фосфолипида (b) и жирной кислоты (с). Фосфолипид (а), смешиваемый с жировой эмульсией, предпочтительно присутствует в конечной концентрации от 0,01 до 1 мас./об.%, более предпочтительно от 0,03 до 1 мас./об.%, в расчете на общее количество продукта, полученного смешением местного анестетика с полученной жировой эмульсией изобретения, перед применением. Когда комбинируются два или более фосфолипидов, приведенный выше интервал применим к общему их количеству, и далее в данном описании должно применяться то же самое. При использовании фосфолипида в указанном выше интервале может проявляться эффект сохранения превосходной стабильности эмульсии, что является целью изобретения, когда местный анестетик смешивают перед применением с жировой эмульсией изобретения. Производное фосфолипида (b), смешиваемое с жировой эмульсией, предпочтительно присутствует в конечной концентрации от 0,01 до 1 мас./об.%, более предпочтительно от 0,1 до 1 мас./об.%, в расчете на общее количество продукта, полученного смешением местного анестетика с полученной жировой эмульсией изобретения перед применением. Когда комбинируются два или более производных фосфолипида, приведенный выше интервал применим к общему их количеству, и далее в данном описании должно применяться то же самое. При использовании производного или производных фосфолипида в указанном выше интервале может проявляться эффект сохранения превосходной стабильности эмульсии, что является целью изобретения, когда местный анестетик смешивают перед применением с жировой эмульсией изобретения. Подходящее количество жирной кислоты (с), смешиваемой с жировой эмульсией, является следующим: 0,05-5 мас./об.% конечной концентрации в расчете на общее количество продукта, полученного смешением местного анестетика с полученной жировой эмульсией изобретения перед применением; 0,1-5 мас./об.% конечной концентрации в случае комплектного препарата по пункту (2), описанному ниже; 0,05-0,2 мас./об.% конечной концентрации в случае готовой формы жировой эмульсии, смягчающей или снимающей боль (премиксная готовая форма), включающей местный анестетик, по пункту (3), описанной ниже. Когда комбинируются две или более жирных кислот, указанный интервал относится к их общему количеству. При использовании жирной кислоты или кислот в указанном выше интервале может проявляться эффект сохранения превосходной стабильности эмульсии, что является целью изобретения, когда местный анестетик смешивают перед применением с жировой эмульсией изобретения. В случае комбинированного использования двух или более представителей, выбранных из различных групп фосфолипида (а), производного фосфолипида (b) и жирной кислоты (с) преимущественным является, чтобы количество каждого компонента выбиралось подходящим образом из указанного выше интервала. Однако количество каждого компонента может быть ниже чем нижний предел указанного выше интервала, потому что в результате комбинированного использования может ожидаться синергический эффект. В общем, общее количество смешиваемых компонентов может выбираться в интервале от 0,01 до 1 мас./об.%, и предпочтительно от 0,01 до 0,7 мас./об.%. Эффект, являющийся целью изобретения, может достигаться с помощью комбинированного использования данных компонентов даже в пониженном количестве. (1-4) Получение жировой эмульсии изобретения Стабилизаторы, приведенные выше в пункте (1-3), далее добавляют к смеси активного компонента, масляного компонента и эмульгатора, и, в зависимости от потребности, добавки (маслорастворимой добавки), перед процессом эмульгирования для получения жировой эмульсии, описанной выше в пункте (1-2). Смесь, содержащую стабилизатор, полученную таким образом, эмульгируют в воде для инъекции и т.д., с получением описанной жировой эмульсии изобретения. Данное эмульгирование может осуществляться таким же образом, как в пункте (1-2), выше. Примеры процессов включают способ, предусматривающий стадии добавления воды для инъекции и, при желании, водорастворимой добавки к смеси активного компонента, масляного компонента и эмульгатора, и, если требуется, маслорастворимой добавки, для образования грубой эмульсии, и последующее использование соответствующего эмульгирующего устройства высокого давления и т.д., для рафинирования грубой эмульсии. Описанное выше эмульгирование не нуждается в проведении при нормальных температурах, и оно может осуществляться в условиях подходящего нагревания (например, при 80°С или ниже, и предпочтительно примерно от 40°С до 70°С), что является общеизвестным в данной области при проведении обычных процессов эмульгирования жировых эмульсий. (1-5) Продукт жировой эмульсии изобретения К жировой эмульсии изобретения, полученной таким образом, далее добавляют, если требуется, подходящий агент регулирования рН с тем, чтобы установить рН в интервале от 8,2 до 8,3 в зависимости от типа каждого компонента, содержащегося в ней, однако, добавление агента регулирования рН не является абсолютно необходимым. Полученную жировую эмульсию помещают в подходящий контейнер, такой как пробирка, шприц, пластиковый пакет, ампула и т.д., в соответствии с обычными методиками, и затем стерилизуют с использованием общепринятого метода стерилизации, предпочтительно, стерилизации паром при высоком давлении с использованием автоклава (например, 121оС, 12 минут), для промышленного производства. Полученный продукт при добавлении к нему специфического стабилизатора приобретает превосходную эмульсионную стабильность. Нет нужды говорить, что сам по себе стабилизатор имеет превосходную безопасность, и, таким образом, полученный продукт характеризуется высокой безопасностью. В частности, эмульсионная стабильность по существу не ухудшается, даже когда с жировой эмульсией перед применением смешивают местный анестетик, такой как лидокаин, в количестве, достаточном для устранения боли. Далее, описанная выше эмульсионная стабильность не теряется, даже когда проводится процесс тепловой стерилизации, такой как стерилизация паром при высоком давлении, и тем самым поддерживается описанное выше благоприятное состояние эмульсии. Описанная выше эмульсионная стабильность сохраняется даже после продолжительного хранения (например, в течение 6 месяцев при 40оС). Для того, чтобы получить данные эффекты, ниже в Таблице 1-А показаны подходящие пропорции и более предпочтительные пропорции (конечные концентрации) каждого компонента, образующего жировую эмульсию изобретения.
В дополнение к превосходной эмульсионной стабильности, описанной выше, жировая эмульсия изобретения обладает тем преимуществом, что средний диаметр частиц эмульсии является таким тонким, как примерно 0,3 мкм или менее, и размер частиц по существу не меняется ни до, ни после стерилизации. Далее, жировая эмульсия изобретения является стабильной в интервале рН примерно от 5 до 9, что является подходящим для инъекций; ее температурная стабильность является отличной; и она выдерживает длительные периоды хранения, потому что частицы эмульсии не претерпевают негативных изменений (никакого разрушения после шестимесячного хранения при 40оС). Жировая эмульсия изобретения может быть приготовлена таким образом, чтобы иметь ту же вязкость и осмотическое давление, что и коммерчески доступные питательные жировые эмульсии, и такая жировая эмульсия может облегчать дискомфорт пациента во время ее введения. Пропофол, который содержится в жировой эмульсии, сохраняется по существу в масляной фазе даже после смешения перед применением местного анестетика с жировой эмульсией. Жировую эмульсию изобретения смешивают (например, с помощью орошения) перед применением с описанным выше местным анестетиком и затем вводят с помощью внутривенной инъекции или инфузии в качестве анестетика общего действия или седативного агента. Во время ее введения, поскольку эмульгированная жидкость является сама по себе стабильной, нет возможности, чтобы она могла разделяться на две фазы, или чтобы частицы эмульсии могли агломерировать. Поэтому жировая композиция изобретения является безопасной при применении. (1-6) Готовая форма жировой эмульсии изобретения Жировая композиция изобретения может быть приготовлена в виде разнообразных готовых форм подходящим образом путем смешения с ней местного анестетика перед применением, таких как набор препаратов для инъекции. Конкретные примеры таких комплектных препаратов включают тип двойного пакета или сумки, тип двухкамерного шприца и интегрированный тип (игла с двойным кончиком, комбинированная игла) и т.д. Вышеприведенные наборы препаратов для инъекций могут быть приготовлены быстро и точно. При практическом применении полученные готовые формы могут дать возможность избежать такие риски, как микробное загрязнение во время смешения с местным анестетиком, случаи нечаянно наткнуться на иглу и т.д. При проводимом текущим способом методе с использованием тройного запорного крана можно также избежать агломерирования эмульсионных частиц. 2. Наборы препаратов Изобретение предоставляет также продукт жировой эмульсии в контейнере (набор препаратов), который содержит два вышеописанных агента, т.е. жировую эмульсию изобретения и местный анестетический агент в специальном контейнере. Контейнерный продукт жировой эмульсии (набор препаратов) включает контейнер, вмещающий жировую эмульсию. Контейнер имеет, по крайней мере, два отделения или камеры (многокамерный), которые разделены перегородкой, которая позволяет также камерам сообщаться друг с другом. Одна камера содержит жировую эмульсию изобретения, приготовленную в соответствии с методикой, описанной в пункте (1-4), а другая камера содержит местный анестетик. Конкретные примеры контейнеров, доступных для данного продукта, включают многокамерный контейнер (по крайней мере, из двух камер), в котором камеры отделены одна от другой разделителем (перегородкой) так, что камеры могут сообщаться друг с другом открытием перегородки перед применением. Предпочтительно в качестве примера можно привести гибкий контейнер. В качестве примера таких контейнеров может быть приведен двойной пакет как контейнер, известный в области трансфузии для использования с жидкостью для гемодиализа и т.д. Двойной пакет (пластиковый пакет) может быть образован из различных типов гибких пластиков, обычно используемых для медицинских контейнеров и т.д. Пластики предпочтительно имеют свойство газового барьера. Конкретные примеры таких пластиков со свойством газового барьера включают смолы или резины, такие как полиэтилентерефталат, полиэтиленнафталат, сополимер этилена и винилового спирта, поливинилиденхлорид, полиакрилонитрил, поливиниловый спирт, полиамид, сложный полиэфир и т.д. Контейнер, полезный для изобретения, образуется подходящим образом из резиновой пленки или листа, изготовленных из одной из приведенных выше смол, или пленки или листа, полученных выпариванием диоксида кремния или оксида алюминия или подобных, на одну из указанных выше пленок или листов, или ламината одной из пленок или листов. Конкретные примеры способов образования множественной камеры в контейнере включают (1) образование перегородки с использованием сварки, способной к легкому снятию корки (не прошедшая экспертизу японская патентная публикация № 1990-4671 и не прошедшая экспертизу японская публикация полезной модели № 1993-5138); (2) образование перегородки путем крепкого зажима камер (не прошедшая экспертизу японская патентная публикация № 1988-309263); (3) обеспечение разнообразных герметизируемых сообщающихся средств на перегородке (не прошедшая экспертизу японская патентная публикация № 1988-20550) и т.д. Среди описанных выше предпочтительным является контейнер по пункту (1), потому что он подходит для массового производства, а также дает возможность камерам легко сообщаться. Более конкретно, такая перегородка может быть легко образована в контейнере путем соединения плавлением части внутренней поверхности пластикового пакета с использованием герметизирующего теплом бруска или полоски металла и т.д. Герметизированная теплом часть может легко открываться с помощью низкого давления. Контейнер изобретения вмещает стабилизированную жировую эмульсию в одной камере двойного пакета, имеющего конфигурацию, как описано выше, и содержит местный анестетик в его другой камере. Данные агенты могут помещаться в камеры через приспособление для загрузки/разгрузки агентов, предусмотренное в верхнем и нижнем концах контейнера. Продукт, полученный таким образом, может подвергаться стерилизации паром при высоком давлении с использованием автоклава или аналогичного в соответствии с обычным способом. Продукт дает возможность каждой камере сообщаться друг с другом путем открывания перегородки при использовании, благодаря чему агенты, содержащиеся в каждой камере, смешиваются, давая желаемую жировую эмульсию, которая не причиняет никакой боли при введении. Смешанный агент может вводиться в качестве анестетика общего действия или седативного средства с помощью внутривенного введения или инфузии через приспособление для разгрузки агента. 3. Жировая эмульсия для смягчения или снятия боли Изобретение представляет жировую эмульсию, которая не причиняет боли при введении, которая получена смешением заданного количества местного анестетика с жировой эмульсией изобретения (называемой в данном описании ниже как “снимающая боль жировая эмульсия изобретения”). Как описано выше, авторы обнаружили, что жировая эмульсия, полученная с использованием определенного стабилизатора в заданном количестве, проявляет эмульсионную стабильность, даже когда местный анестетик для устранения боли смешан с жировой эмульсией, и что стабильность по существу не ухудшается после продолжительного хранения. Снимающая боль жировая эмульсия изобретения была получена на основе данных находок и путем добавления местного анестетика заранее к жировой эмульсии изобретения в количестве, достаточном для предотвращения боли. Типы местных анестетиков, полезных в снимающих боль жировых эмульсиях, могут быть теми же самыми, что и анестетики, смешиваемые перед применением с жировой эмульсией изобретения, описанные в разделе “Жировые эмульсии изобретения”. Количество местного анестетика, добавляемого для образования снимающей боль жировой эмульсии, является тем же самым, что и количество, добавляемое к жировой эмульсии изобретения перед применением, описанное выше. Более конкретно, количество местного анестетика, смешиваемого с жировой эмульсией изобретения перед применением, определяется на основе общего объема (мас./об.%) жировой эмульсии, с которой местный анестетик смешивают перед применением (т.е. снимающей боль жировой эмульсией, включающей жировую эмульсию и местный анестетик). Таким образом, пропорция местного анестетика в снимающей боль жировой эмульсии изобретения, описываемая в данном разделе, может быть подходящим образом выбрана из интервала приведенного выше количества местного анестетика, смешиваемого перед применением. Предпочтительная пропорция и более предпочтительная пропорция (конечная концентрация) каждого компонента в снимающей боль жировой эмульсии изобретения показаны в Таблице 1-В.
Добавление местного анестетика может осуществляться или перед, или после процесса эмульгирования для получения жировой эмульсии по пункту (1-4), описанной выше. Местный анестетик смешивают перед эмульгированием, например, путем смешения пропофола, масляного компонента, эмульгатора и, если требуется, добавки (маслорастворимой добавки), и местного анестетика, и эмульгирования полученной смеси в воде для инъекции (к которой при необходимости может быть добавлена водорастворимая добавка), обеспечивающего тем самым снимающую боль жировую эмульсию изобретения. Данный процесс эмульгирования может проводиться с помощью образования заранее грубой эмульсии и последующего использования подходящего эмульгирующего устройства высокого давления и т.д., для рафинирования грубой эмульсии, как описано в пункте (1-4) выше. Добавление местного анестетика после процесса эмульгирования осуществляется добавлением и смешением местного анестетика в заданном количестве с жировой эмульсией изобретения после процесса эмульгирования. Более конкретно, данный процесс осуществляется, например, смешением пропофола, масляного компонента и эмульгатора, и, если требуется, добавки (маслорастворимой добавки), эмульгированием полученной смеси в воде для инъекции (к которой при необходимости может быть добавлена водо-растворимая добавка), растворением и смешением местного анестетика с полученной эмульгированной жидкостью. Таким образом, может быть получена желаемая снимающая боль жировая эмульсия изобретения. Данный процесс эмульгирования может проводиться с помощью образования заранее грубой эмульсии и последующего использования подходящего эмульгирующего устройства высокого давления и т.д., для рафинирования грубой эмульсии, как описано в пункте (1-4). Размер эмульсионных частиц эмульгированного препарата, полученного смешением и растворением местного анестетика с ним после процесса эмульгирования, по существу не отличается и является таким же тонким и однородным, как и размер частиц эмульгированного препарата, полученного смешением местного анестетика с ним перед процессом эмульгирования. Снимающую боль жировую эмульсию изобретения, приготовленную таким образом, помещают в подходящий контейнер, такой как пробирка, шприц, пластиковый пакет, ампула и т.д., в соответствии с общеизвестной методикой, и затем стерилизуют с использованием общепринятых методов стерилизации, предпочтительно стерилизации паром при высоком давлении с использованием автоклава (например, 121оС, 12 минут), для промышленного производства. Продукт устраняет необходимость смешения местного анестетика с жировой эмульсией до применения и является легким в обращении с ним, потому что стабилизатор высокой безопасности и местный анестетик введены заранее в единый препарат. Кроме того, продукт изобретения имеет также то преимущество, что нет возможности, чтобы происходили какие-либо врачебные или медицинские несчастные случаи, такие, при которых агенты в камерах недостаточно смешиваются перед применением вследствие неудач в сообщении между камерами, которые могут происходить в наборе препаратов. Более важным является то, что продукт характеризуется его превосходной эмульсионной стабильностью после получения, и то, что эмульсионная стабильность сохраняется по существу без ухудшения на протяжении продолжительного периода времени. Продукт имеет следующие характеристики в дополнение к превосходной эмульсионной стабильности: частицы эмульсии отрицательно заряжены; средний размер ее частиц является таким мелким, как примерно 0,3 мкм или менее; размер частиц по существу не изменяется между состояниями до и после стерилизации; стабильность сохраняется в течение длительного периода времени в интервале рН около 5 до около 9, который является подходящим для инъекций; и температурная стабильность является отличной (по существу без изменений размера эмульсионных частиц после 6-месячного хранения при 40оС). Снимающая боль жировая эмульсия изобретения может быть приготовлена таким образом, чтобы она давала одну и ту же вязкость и осмотическое давление, как и в случае коммерчески доступных питательных жировых эмульсий, и может облегчать дискомфорт пациента во время ее введения. Пропофол, содержащийся в жировой эмульсии, по существу остается стабильным в масляной фазе. Снимающая боль жировая эмульсия изобретения может вводиться с помощью внутривенной инъекции или инфузии, как и обычные анестетики или седативные средства, тем же самым образом, как и содержащие пропофол жировые эмульсии известного уровня техники, и, в частности, имеет то преимущество, что боль (сосудистая боль) по существу не возникает во время ее введения. Далее в данном описании настоящее изобретение описывается более подробно со ссылкой на примеры жировой эмульсии изобретения и снимающей боль жировой эмульсии изобретения. Примеры 1-10 Получение жировой эмульсии изобретения Готовили жировые эмульсии изобретения, включающие компоненты, показанные в Таблицах 2 и 3. Величины в каждой таблице представляют пропорцию каждого компонента в процентных значениях массы к объему (мас./об.%) в расчете на общий объем полученной жировой эмульсии. То есть пропорция каждого компонента представлена обозначением мас./об.% в расчете на общее количество жировой эмульсии перед добавлением местного анестетика (2% гидрохлорид лидокаина) в соответствии с примерами 11-20, описанными ниже.
Компонентами Таблиц 2 и 3 являются следующие: Соевое масло: очищенное соевое масло (производимое Nissin Oil Mills, Ltd.) Триглицерид средней длины цепи: “Panasate 810” (зарегистрированная торговая марка, производимый NOF Corporation); Эмульгатор: лецитин (очищенный лецитин яичного желтка, производимый Kewpie) Стабилизатор: DSPG: дистеароилфосфатидилглицерин DSPA: дистеароилфосфатидная кислота Смешивали компоненты, показанные в Таблицах 2 и 3, пропофол и соевое масло или триглицерид средней длины цепи. К данной смеси добавляли эмульгатор и стабилизатор и с последующим добавлением раствора, в котором глицерин был растворен в воде для инъекции, таким образом, чтобы получить конечную концентрацию 2,21%, полученную в результате смесь нагревали и грубо эмульгировали в атмосфере азота при скорости вращения 25000 об./мин в течение 10 минут с использованием гомогенизатора PolytronTM (производимого фирмой KINEMATICA). Последовательно, значение рН полученной грубо эмульгированной жидкости доводили до 8,2-8,3, и смесь подвергали обработке в гомогенизаторае высокого давления (производимого APV) до тех пор, пока средний диаметр частиц не становился 0,3 мкм или меньше при температуре эмульгирования от 40°С до 80°С в атмосфере азота и при давлении эмульгирования 550 кг/см2, получая обработанную эмульсию. 10 мл полученной эмульсии помещали в 10-мл стеклянный флакон и подвергали стерилизации паром при высоком давлении (121°С, 12 минут) в закупоренном автоклаве, получая образец пропофол-содержащей жировой эмульсии (жировая эмульсия изобретения), включающей стабилизатор. Сравнительный Пример 1 Получение сравнительной жировой эмульсии Для получения сравнительной жировой эмульсии повторяли методику примера 9, за исключением того, что некоторое количество DSPC (дистеароилфосфатидилхолин) использовали вместо DSPA (дистеароилфосфатидная кислота) в качестве стабилизатора. Примеры 11-20 Получение смягчающей или снимающей боль жировой эмульсии изобретения Для получения образцов смягчающей или снимающей боль жировой эмульсии изобретения (примеры 11-20), каждый из образцов жировых эмульсий изобретения, полученных в примерах 1-10, смешивали с 2% гидрохлоридом лидокаина (торговое название: “2% Xylocaine injection”, производимый AstraZeneca) в соотношении 9:1 (объемное соотношение). Образцы жировой эмульсии изобретения, использованные в примерах 11-20, являются такими же, как полученные в примерах 1-10. Сравнительный Пример 2 Получение сравнительной смягчающей или снимающей боль жировой эмульсии К сравнительному образцу жировой эмульсии, полученной в сравнительном примере 1, добавляли 2% хлоргидрат лидокаина в соотношении 9:1 (объемное соотношение), для получения сравнительного образца жировой эмульсии. Пример испытания 1 Испытания на стабильность жировой эмульсии (1) Испытуемый образец Следующие испытания проводили с использованием образцов смягчающей или снимающей боль жировой эмульсии изобретения, полученных в примерах 11-20, сравнительного образца смягчающей или снимающей боль жировой эмульсии сравнительного примера 2 и контрольного образца смягчающей или снимающей боль жировой эмульсии, который получали следующим образом. Контрольный образец жировой эмульсии получали путем смешивания 2% гидрохлорида лидокаина с коммерчески доступной пропофолсодержащей жировой эмульсией (торговое название: “DiprivanTM” инъекция, включающая 1 мас./об.% пропофола, 10 мас./об.% соевого масла и 1,2 мас./об.% эмульгатора, производимая AstraZeneca), таким образом, чтобы соотношение жировая эмульсия:2% гидрохлорид лидокаина составляло 9:1 (объемное соотношение), по аналогичной методике примеров 11-20. (2) Пункты испытания Средний диаметр частиц эмульсии для каждого образца измеряли через 3 часа, 6 часов и 24 часа после ее получения. Средний диаметр частиц измеряли в соответствии с методом динамического светового рассеивания. Значение рН каждого образца определяли рН-метром (торговое название “HM-30G”, производимый TOA DKK), которое называют как рН “после смешения”. Внешний вид каждого образца визуально проверяли через 24 часа после его получения, и оценивали как следующее: А: Разделения эмульсии на две фазы не наблюдается. В: Наблюдается разделение эмульсии на две фазы. (3) Результаты Полученные результаты представлены в Таблицах 4 и 5. Термин “первоначальная величина” в графе “средний диаметр частиц” в Таблицах 4 и 5 представляет собой средний диаметр частиц эмульсионных частиц каждой жировой эмульсии перед добавлением гидрохлорида лидокаина. Для измерения использовали метод, аналогичный для образцов жировой эмульсии в примерах 1-10 и сравнительном примере 1 и для коммерчески доступной пропофолсодержащей жировой эмульсии. Термин “до смешения” в графе “величина рН” представляет собой значение рН каждой жировой эмульсии перед смешиванием с гидрохлоридом лидокаина.
(4) Рассмотрение результатов Как можно видеть из результатов в Таблицах 4 и 5, образцы жировых эмульсий изобретения (примеры 11-20) не разделяются на две фазы через 24 часа после смешения с гидрохлоридом лидокаина, хотя даже величину рН изменяли почти таким же образом, как в сравнительном образце сравнительного примера 2. Поэтому становится ясно, что образцы жировых эмульсий изобретения имеют превосходную эмульсионную стабильность. Образцы жировых эмульсий изобретения примеров 1-10 проверяли в условиях, когда гидрохлорид лидокаина не добавляли, на стабильность после 6 месяцев хранения при 40°С, что показало, что их внешний вид не изменялся, и стабильность при хранении была превосходной. Это подтверждало, что данная стабильность при хранении является значительной, особенно в образцах жировых эмульсий изобретения примеров 3-7. Образцы смягчающей или снимающей боль жировой эмульсии изобретения (примеры 11-20), испытанные выше, были все способны предотвращать или снимать боль (сосудистую боль), возникающую как побочный эффект во время их внутривенного введения. Примеры 21-24 Получение образца смягчающей или снимающей боль жировой эмульсии изобретения Смягчающие или снимающие боль жировые эмульсии изобретения, включающие компоненты, представленные в Таблице 6, получали следующим образом. Смешивали компоненты, представленные в Таблице 6, пропофол, гидорохлорид лидокаина и соевое масло или триглицерид средней длины цепи. К данной смеси добавляли эмульгатор и стабилизатор и далее добавляли раствор, в котором глицерин был растворен в воде для инъекции таким образом, чтобы получить конечную концентрацию 2,21%, полученную в результате смесь нагревали и грубо эмульгировали в атмосфере азота при скорости вращения 25000 об./мин в течение 10 минут с использованием гомогенизатора PolytronTM (производимого фирмой KINEMATICA). Последовательно, величину рН полученной грубо эмульгированной жидкости доводили до 8,2-8,3 и затем смесь подвергали обработке в гомогенизаторе высокого давления (производимом APV) в атмосфере азота, при температуре эмульгирования от 40°С до 80° при давлении эмульгирования 550 кг/см2 до тех пор, пока средний диаметр ее частиц не достигал 0,3 мкм или менее, получая обработанную эмульсию. 10 мл полученной эмульсии помещали в 10-мл стеклянную емкость и подвергали стерилизации паром при высоком давлении (121°С, 12 минут) с использованием герметизированного автоклава, получая образец смягчающей или снимающей боль жировой эмульсии изобретения. Сравнительный Пример 3 Получение сравнительной смягчающей или снимающей боль жировой эмульсии Для получения образца сравнительной жировой эмульсии, включающей компоненты Таблицы 6, повторяли методику примера 21, за исключением того, что DSPG (дистеароилфосфатидилглицерин) в качестве стабилизатора не использовали.
Компоненты в Таблице 6 являются такими же, как представленные в Таблицах 2 и 3. Пример испытания 2 Испытание на стабильность эмульсии до и после стерилизации Что касается образцов смягчающей или снимающей боль эмульсии изобретения примеров 21-24 и сравнительного образца смягчающей или снимающей боль жировой эмульсии сравнительного примера 3, средний диаметр частиц каждого образца эмульсии измеряли до и после паровой стерилизации при высоком давлении, которая серьезно влияет на эмульсионную стабильность каждого образца, таким же образом, как в примере испытания 1, и внешний вид каждого образца через 24 часа после их получения визуально наблюдали на предмет разделения эмульсии на две фазы. Полученные результаты представлены в Таблице 7 таким же образом, как в таблицах 4 и 5.
Следующее может быть видно из результатов представленных в Таблице 7, что касается образцов смягчающей или снимающей боль эмульсии изобретения: средний диаметр эмульсионных частиц по существу не изменялся между состояниями до и после стерилизации; эмульсионные частицы были однородными и мелкими; и образцы жировых эмульсий не разделялись на две фазы. Поэтому ясно, что они имеют превосходную эмульсионную стабильность. В противоположность этому, как показано в сравнительном примере 3, в случае пропофолсодержащей жировой эмульсии, к которой для смягчения или снятия боли добавляли только гидрохлорид лидокаина, т.е. стабилизатор не добавляли, ее эмульсионные частицы агломерировали (слипались) после стерилизации и эмульсионная стабильность резко понижалась, разделяя тем самым эмульсию на две фазы. Внешний вид образцов смягчающей или снимающей боль жировой эмульсии изобретения примеров 21-24 наблюдали через 6 месяцев хранения при 40°С, что показало, что внешний вид образца не изменился. Таким образом, это подтверждало, что ее стабильность при хранении поддерживается на протяжении продолжительного периода времени. Образцы смягчающей или снимающей боль жировой эмульсии изобретения, испытанные выше, были все способны предотвращать или снимать боль (сосудистую боль), возникающую как побочный эффект во время их внутривенного введения. Примеры 25-60 Получение образца смягчающей или снимающей боль жировой эмульсии изобретения (набор препаратов) Образцы смягчающей или снимающей боль жировой эмульсии изобретения, включающие компоненты, представленные в Таблицах 8-12, получали согласно методикам примеров 1-10 и примеров 11-20. Смешивали компоненты, показанные в каждой Таблице, пропофол и соевое масло или триглицерид средней длины цепи. К данной смеси добавляли эмульгатор и стабилизатор и далее к ней добавляли раствор, в котором глицерин был растворен в воде для инъекции таким образом, чтобы получить конечную концентрацию 2,21%. Полученную в результате смесь нагревали и грубо эмульгировали в атмосфере азота при скорости вращения 25000 оборотов/мин. в течение 10 минут с использованием гомогенизатора PolytronTM (производимого KINEMATICA). Последовательно, величину рН полученной грубо эмульгированной жидкости доводили до 8,2-8,3 и полученную в результате жидкость подвергали затем обработке в гомогенизаторе высокого давления (производимом APV) в атмосфере азота, при температуре эмульгирования от 40°С до 80°С, при давлении эмульгирования 550 кг/см2 до тех пор, пока средний диаметр ее частиц не становился 0,3 мкм или менее, получая обработанную эмульсию. 10 мл полученной эмульсии помещали в 10-мл стеклянную пробирку и подвергали стерилизации паром при высоком давлении (121°С, 12 минут) с использованием герметизированного автоклава, получая образец жировой эмульсии изобретения. Каждый из образцов жировой эмульсии изобретения, полученных выше (примеры 25-52), смешивали с 2% гидрохлоридом лидокаина (торговое название: “2% Xylocaine injection”, производимый AstraZeneca, который указывается в Таблицах, как “лидокаин”) в соотношении 9:1 (объемное соотношение), давая, таким образом, образец смягчающей или снимающей боль жировой эмульсии изобретения, который содержит 0,2% лидокаина. К каждому образцу жировой эмульсии изобретения, полученному выше (примеры 53 и 54), добавляли гидрохлорид лидокаина, варьируя добавляемое количество, для получения двух типов смягчающей или снимающей боль эмульсии, одна из которых содержит 0,01% гидрохлорида лидокаина (смешана в объемном соотношении=199:1) и другая содержит 0,3% гидрохлорида лидокаина (смешана в объемном соотношении=17:3). Каждый из образцов жировой эмульсии изобретения, полученных выше (примеры 55-60), смешивали с 2% мепивакаина, 0,05% бупивакаина, 0,02% ропивакаина, 0,03% дибукаина, 0,2% прокаина и 0,05% тетракаина, получая 6 типов болеутоляющей жировой эмульсии изобретения. Каждый полученный образец измеряли по параметрам среднего диаметра эмульсионных частиц, рН и визуально оценивали внешний вид через 24 часа после получения образца, таким же образом, как в примере испытания 1, и результаты оценки представлены в Таблицах 8-12 таким же образом, как в таблицах 4 и 5. В Таблицах 8-12, количество каждого компонента, за исключением местного анестетика, представлено в виде мас./об.% композиции перед смешением с местным анестетиком. Количество местного анестетика представлено в виде мас./об.% в расчете на общее количество композиции после смешения. В Таблицах 8-12, компоненты являются такими же, как представлено в Таблицах 2 и 3, или являются следующими: Стабилизаторы: DSPS: дистеароилфосфатидилсерин DDPG: дидеканоилфосфатидилглицерин DMPG: димиристоилфосфатидилглицерин DOPG: диолеоилфосфатидилглицерин DSPE-PEG: дистеароилфосфатидилэтаноламин-полиэтиленгликоль 2000 (торговое название, “SUNBRIGHT DSPE-020CN”, производство NOF CORPORATION) DSPE-PEG представляет собой соединение общей формулы (I), в которой R1 и R2, каждый представляет стеароильную группу, R3 представляет метильную группу, R4 представляет атом водорода и Х представляет -СО- группу, и средняя молекулярная масса составляет 2000.
Как можно видеть из результатов, представленных в таблицах 8-12, каждая смягчающая или снимающая боль жировая эмульсия изобретения имеет превосходную эмульсионную стабильность, потому что средний диаметр эмульсионных частиц не увеличивался и эмульсия не разделялась на две фазы. Примеры 61-89 Получение образца смягчающей или снимающей боль жировой эмульсии изобретения (премиксная готовая форма) Образцы смягчающей или снимающей боль жировой эмульсии изобретения, включающие компоненты, представленные в Таблицах 13-16, получали по аналогичной методике примеров 21-24. В примерах 85-89 вместо гидрохлорида лидокаина использовали следующие местные анестетики: мепивакаин (пример 85), бупивакаин (пример 86), дибукаин (пример 87), прокаин (пример 88) и тетракаин (пример 89) (представленные в таблицах, как “местный анестетик*”). Образцы смягчающей или снимающей боль жировой эмульсии изобретения, полученные выше, испытывали с точки зрения сохранения эмульсионной стабильности до и после стерилизации таким же образом, как в примере испытания 2. Полученные результаты (средний диаметр частиц эмульсии до и после стерилизации) представлены в Таблицах 13-16 таким же образом, как в Таблицах 4 и 5. В каждой таблице количество каждого из компонентов представляет количество в расчете на общее количество композиции (мас./об.%) и представлено в виде мас./об.%. Компоненты в каждой таблице являются такими же, как представлено в таблицах 2, 3 и 8.
Из результатов, представленных в Таблицах 13-16, можно видеть следующее, что касается образцов смягчающей или снимающей боль жировой эмульсии изобретения: средний диаметр частиц эмульсии по существу не изменялся между состояниями до и после стерилизации; эмульсионные частицы были однородными и мелкими; и образцы жировых эмульсий не разделились на две фазы. Поэтому ясно, что они имеют превосходную эмульсионную стабильность. Внешний вид образцов смягчающей или снимающей боль жировой эмульсии изобретения оценивали через 6 месяцев хранения при 40° что показало, что их внешний вид не изменился. Это таким образом подтверждало, что образцы проявляют стабильность при длительном хранении. Образцы смягчающей или снимающей боль жировой эмульсии изобретения, испытанные выше, были способны предотвращать или снимать боль, возникающую, как побочный эффект во время их внутривенного введения. Как подробно обсуждалось выше, настоящее изобретение предоставляет пропофолсодержащую жировую эмульсию с улучшенной стабильностью эмульсии, к которой может быть добавлен местный анестетик, такой как лидокаин и т.д., для предотвращения или снятия побочных эффектов, т.е. боли (сосудистой боли), возникающей во время (внутривенного) введения эмульсии, и которая включает специфический стабилизатор, во избежание пониженной стабильности эмульсии, вызываемой добавлением местного анестетика. Изобретение так же предоставляет стабильную пропофолсодержащую жировую эмульсию, которая не вызывает боли при введении. Жировая эмульсия так же включает местный анестетик, такой как лидокаин, в качестве успокоительного (смягчающего) агента. Жировая эмульсия изобретения имеет превосходную эмульсионную стабильность и высокую безопасность. Превосходная эмульсионная стабильность жировой эмульсии может быть получена без регулирования ее рН, не ухудшается даже, когда жировую эмульсию подвергают тепловой стерилизации, и может поддерживаться в течение продолжительного периода времени.
Формула изобретения
1. Жировая эмульсия, содержащая пропофол в концентрации от 0,4 до 5 мас./об. %, масляный компонент в концентрации от 2 до 20 мас./об. %, и эмульгатор в концентрации от 0,4 до 5 мас./об. % на общее количество жировой эмульсии и местного анестетика, смешиваемого с ней перед применением, отличающаяся тем, что местный анестетик смешивают с жировой эмульсией перед ее использованием, и жировая эмульсия дополнительно включает стабилизатор, выбранный из следующих (а), (b), (с) или (d): (a) по крайней мере, один фосфолипид, выбранный из группы, состоящей из фосфатидилглицерина, фосфатидной кислоты, фосфатидилинозита и фосфатидилсерина, где жирной кислотой, сложноэтерифицированной в глицериновый фрагмент, является С10-22 линейная или разветвленная, насыщенная или ненасыщенная жирная кислота; (b) по крайней мере, одно производное фосфолипида, выбранное из фосфатидилэтаноламинов, модифицированных полиалкиленгликолем, где жирной кислотой, сложноэтерифицированной в глицериновый фрагмент, является С10-22 линейная или разветвленная, насыщенная или ненасыщенная жирная кислота; (c) по крайне мере, одна жирная кислота, выбранная из группы, состоящей из С10-22 линейных или разветвленных, насыщенных или ненасыщенных жирных кислот; или (d) смесь, по крайней мере, двух, выбранных из указанных выше групп (а), (b) и (с), где стабилизатор (а), (b) или (с) присутствует в концентрации от 0,01 до 1 мас./об. %, от 0,01 до 1 мас./об. %, от 0,05 до 5 мас./об. %, соответственно, на общее количество жировой эмульсии и местного анестетика, смешиваемого с ней перед применением. 2. Жировая эмульсия по п.1, в которой (1) пропофол присутствует в концентрации от 0,4 до 5 мас./об. %, (2) масляный компонент присутствует в концентрации от 2 до 20 мас./об. %, и (3) эмульгатор присутствует в концентрации от 0,4 до 5 мас./об. % на общее количество жировой эмульсии и местного анестетика, смешиваемого с ней перед применением. 3. Жировая эмульсия по п.1, в которой местным анестетиком является, по крайней мере, один, выбранный из группы, состоящей из лидокаина, мепивакаина, бупивакаина, ропивакаина, дибукаина, прокаина, хлорида прокаина, тетракаина и их фармакологически приемлемых кислотно-аддитивных солей. 4. Жировая эмульсия по п.1, в которой местный анестетик присутствует в концентрации от 0,01 до 1 мас./об. % на общее количество жировой эмульсии и местного анестетика, смешиваемого с ней перед применением. 5. Жировая эмульсия по п.1, в которой стабилизатором является, по крайней мере, один фосфолипид (а), выбранный из группы, состоящей из фосфатидилглицерина, фосфатидной кислоты, фосфатидилинозита и фосфатидилсерина, где жирной кислотой, сложноэтерифицированной в глицериновый фрагмент, является С10-22 линейная или разветвленная, насыщенная или ненасыщенная жирная кислота. 6. Жировая эмульсия по п.1, в которой стабилизатором является, по крайней мере, один фосфолипид (а), выбранный из группы, состоящей из фосфатидилглицерина, фосфатидной кислоты, фосфатидилинозита и фосфатидилсерина, где жирной кислотой, сложноэтерифицированной в глицериновый фрагмент, является C12-18 линейная или разветвленная, насыщенная или ненасыщенная жирная кислота. 7. Жировая эмульсия по п.1, в которой стабилизатором является, по крайней мере, один фосфолипид (а), выбранный из группы, состоящей из дистеароилфосфатидилглицерина, дипальмитоилфосфатидилглицерина, диолеоилфосфатидилглицерина, дистеароилфосфатидной кислоты, дипальмитоилфосфатидной кислоты, диолеоилфосфатидной кислоты, дистеароилфосфатидилинозита, дипальмитоилфосфатидилинозита, диолеоилфосфатидилинозита, дистеароилфосфатидилсерина, дипальмитоилфосфатидилсерина и диолеоилфосфатидилсерина. 8. Жировая эмульсия по п.5, в которой стабилизатор присутствует в концентрации от 0,03 до 1 мас./об. % на общее количество жировой эмульсии и местного анестетика, смешиваемого с ней перед применением. 9. Жировая эмульсия по п.1, в которой стабилизатором является, по крайней мере, одно производное фосфолипида (b), выбранное из группы, состоящей из фосфатидилэтаноламинов, модифицированных полиалкиленгликолем, где жирной кислотой, сложноэтерифицированной в глицериновый фрагмент, является С10-22 линейная или разветвленная, насыщенная или ненасыщенная жирная кислота. 10. Жировая эмульсия по п.1, в которой стабилизатором является, по крайней мере, одно производное фосфолипида (b), выбранное из группы, состоящей из фосфатидилэтаноламинов, модифицированных полиалкиленгликолем, имеющим среднюю молекулярную массу от 1000 до 5000, где жирной кислотой, сложноэтерифицированной в глицериновый фрагмент, является C14-18 линейная или разветвленная, насыщенная или ненасыщенная жирная кислота. 11. Жировая эмульсия по п.1, в которой стабилизатором является, по крайней мере, одно производное фосфолипида (b), выбранное из группы, состоящей из дистеароилфосфатидилэтаноламин-полиэтиленгликоля 5000, дистеароилфосфатидилэтаноламин-полиэтиленгликоля 3000 и дистеароилфосфатидилэтаноламин-полиэтиленгликоля 2000. 12. Жировая эмульсия по п.9, в которой стабилизатор присутствует в концентрации от 0,1 до 1 мас./об. % на общее количество жировой эмульсии и местного анестетика, смешиваемого с ней перед применением. 13. Жировая эмульсия по п.1, в которой стабилизатором является, по крайней мере, одна жирная кислота (с), выбранная из группы, состоящей из С10-22 линейных или разветвленных, насыщенных или ненасыщенных жирных кислот. 14. Жировая эмульсия по п.1, в которой стабилизатором является, по крайней мере, одна жирная кислота (с), выбранная из группы, состоящей из С10-20 линейных или разветвленных, насыщенных или ненасыщенных жирных кислот. 15. Жировая эмульсия по п.1, в которой стабилизатором является, по крайней мере, одна жирная кислота (с), выбранная из группы, состоящей из декановой кислоты, лауриновой кислоты, миристиновой кислоты, пальмитиновой кислоты, стеариновой кислоты, арахиновой кислоты, изомиристиновой кислоты, изопальмитиновой кислоты и олеиновой кислоты. 16. Жировая эмульсия по п.13, в которой стабилизатор присутствует в концентрации от 0,1 до 5 мас./об. % на общее количество жировой эмульсии и местного анестетика, смешиваемого с ней перед применением. 17. Контейнер, содержащий жировую эмульсию, имеющий многокамерное отделение, которое разделено перегородкой таким образом, чтобы позволить камерам соединяться друг с другом, причем контейнер включает одну камеру, содержащую жировую эмульсию по п.1, и другую камеру, содержащую местный анестетик. 18. Жировая эмульсия, смягчающая или снимающая боль, включающая пропофол, масляный компонент, эмульгатор, стабилизатор и местный анестетик, в которой стабилизатор выбран из следующих (а), (b), (с) или (d): (a) по крайней мере, один фосфолипид, выбранный из группы, состоящей из фосфатидилглицерина, фосфатидной кислоты, фосфатидилинозита и фосфатидилсерина, где жирной кислотой, сложноэтерифицированной в глицериновый фрагмент, является С10-22 линейная или разветвленная, насыщенная или ненасыщенная жирная кислота; (b) по крайней мере, одно производное фосфолипида, выбранное из фосфатидилэтаноламинов, модифицированных полиалкиленгликолем, где жирной кислотой, сложноэтерифицированной в глицериновый фрагмент, является С10-22 линейная или разветвленная, насыщенная или ненасыщенная жирная кислота; (c) по крайне мере, одна жирная кислота, выбранная из группы, состоящей из С10-22 линейных или разветвленных, насыщенных или ненасыщенных жирных кислот; или (d) смесь, по крайней мере, двух, выбранных из указанных выше групп (а), (b) и (с), где стабилизатор (а), (b) или (с) присутствует в жировой эмульсии в концентрации от 0,01 до 1 мас./об. %, от 0,01 до 1 мас./об. %, от 0,05 до 5 мас./об. %, соответственно. 19. Жировая эмульсия, смягчающая или снимающая боль по п.18, в которой (1) пропофол присутствует в концентрации от 0,4 до 5 мас./об. %, (2) масляный компонент присутствует в концентрации от 2 до 20 мас./об. %, (3) эмульгатор присутствует в концентрации от 0,4 до 5 мас./об. %, и (4) местный анестетик присутствует в концентрации от 0,01 до 1 мас./об. % в жировой эмульсии. 20. Жировая эмульсия, смягчающая или снимающая боль по п.18, в которой местным анестетиком является, по крайней мере, один, выбранный из группы, из состоящей из лидокаина, мепивакаина, бупивакаина, ропиваина, дибукаина, прокаина, хлорида прокаина, тетракаина и их фармакологически приемлемых кислотно-аддитивных солей. 21. Жировая эмульсия, смягчающая или снимающая боль по п.18, в которой стабилизатором является, по крайней мере, один фосфолипид (а), выбранный из группы, состоящей из фосфатидилглицерина, фосфатидной кислоты, фосфатидилинозита и фосфатидилсерина, где жирной кислотой, сложноэтерифицированной в глицериновый фрагмент, является С10-22 линейная или разветвленная, насыщенная или ненасыщенная жирная кислота. 22. Жировая эмульсия, смягчающая или снимающая боль по п.18, в которой стабилизатором является, по крайней мере, один фосфолипид (а), выбранный из группы, состоящей из фосфатидилглицерина, фосфатидной кислоты, фосфатидилинозита и фосфатидилсерина, где жирной кислотой, сложноэтерифицированной в глицериновый фрагмент, является C12-18 линейная или разветвленная, насыщенная или ненасыщенная жирная кислота. 23. Жировая эмульсия, смягчающая или снимающая боль, по п.18, в которой стабилизатором является, по крайней мере, один фосфолипид (а), выбранный из группы, состоящей из дистеароилфосфатидилглицерина, дипальмитоилфосфатидилглицерина, диолеоилфосфатидилглицерина, дистеароилфосфатидной кислоты, дипальмитоилфосфатидной кислоты, диолеоилфосфатидной кислоты, дистеароилфосфатидилинозита, дипальмитоилфосфатидилинозита, диолеоилфосфатидилинозита, дистеароилфосфатидилсерина, дипальмитоилфосфатидилсерина и диолеоилфосфатидилсерина. 24. Жировая эмульсия, смягчающая или снимающая боль, по п.21, в которой стабилизатор присутствует в жировой эмульсии в концентрации от 0,03 до 1 мас./об. %. 25. Жировая эмульсия, смягчающая или снимающая боль, по п.18, в которой стабилизатором является, по крайней мере, одно производное фосфолипида (b), выбранное из фосфатидилэтаноламинов, модифицированных полиалкиленгликолем, где жирной кислотой, сложноэтерифицированной в глицериновый фрагмент, является С10-22 линейная или разветвленная, насыщенная или ненасыщенная жирная кислота. 26. Жировая эмульсия, смягчающая или снимающая боль, по п.18, в которой стабилизатором является, по крайней мере, одно производное фосфолипида (b), выбранное фосфатидилэтаноламинов, модифицированных полиалкиленгликолем, имеющим среднюю молекулярную массу от 1000 до 5000, где жирной кислотой, сложноэтерифицированной в глицериновый фрагмент, является С10-22 линейная или разветвленная, насыщенная или ненасыщенная жирная кислота. 27. Жировая эмульсия, смягчающая или снимающая боль, по п.18, в которой стабилизатором является, по крайней мере, одно производное фосфолипида (b), выбранное из группы, состоящей из дистеароилфосфатидилэтаноламин-полиэтиленгликоля 5000, дистеароилфосфатидилэтаноламин-полиэтиленгликоля 3000 и дистеароилфосфатидилэтаноламин-полиэтиленгликоля 2000. 28. Жировая эмульсия, смягчающая или снимающая боль, по п.25, в которой стабилизатор присутствует в жировой эмульсии в концентрации от 0,1 до 1 мас./об. %. 29. Жировая эмульсия, смягчающая или снимающая боль, по п.18, в которой стабилизатором является, по крайней мере, одна жирная кислота (с), выбранная из группы, состоящей из С10-22 линейных или разветвленных, насыщенных или ненасыщенных жирных кислот. 30. Жировая эмульсия, смягчающая или снимающая боль, по п.18, в которой стабилизатором является, по крайней мере, одна жирная кислота (с), выбранная из группы, состоящей из С10-20 линейных или разветвленных, насыщенных или ненасыщенных жирных кислот. 31. Жировая эмульсия, смягчающая или снимающая боль, по п.18, в которой стабилизатором является, по крайней мере, одна жирная кислота (с), выбранная из группы, состоящей из олеиновой кислоты, изомиристиновой кислоты, изопальмитиновой кислоты, декановой кислоты, лауриновой кислоты, миристиновой кислоты, пальмитиновой кислоты, стеариновой кислоты и арахиновой кислоты. 32. Жировая эмульсия, смягчающая или снимающая боль, по п.29, в которой стабилизатор присутствует в жировой эмульсии в концентрации от 0,05 до 0,2 мас./об. %. 33. Способ получения жировой эмульсии, смягчающей или снимающей боль, включающий: смешение местного анестетика с жировой эмульсией, включающей пропофол, масляный компонент, эмульгатор и стабилизатор, в которой стабилизатор выбран из следующих (а), (b), (с) или (d): (a) по крайней мере, один фосфолипид, выбранный из группы, состоящей из фосфатидилглицерина, фосфатидной кислоты, фосфатидилинозита и фосфатидилсерина, где жирной кислотой, сложноэтерифицированной в глицериновый фрагмент, является С10-22 линейная или разветвленная, насыщенная или ненасыщенная жирная кислота; (b) по крайней мере, одно производное фосфолипида, выбранное из фосфатидилэтаноламинов, модифицированных полиалкиленгликолем, где жирной кислотой, сложноэтерифицированной в глицериновый фрагмент, является С10-22 линейная или разветвленная, насыщенная или ненасыщенная жирная кислота; (c) по крайне мере, одна жирная кислота, выбранная из группы, состоящей из С10-22 линейных или разветвленных, насыщенных или ненасыщенных жирных кислот; или (d) смесь, по крайней мере, двух, выбранных из указанных выше групп (а), (b) и (с), с получением тем самым жировой эмульсии, в которой стабилизатор (а), (b) или (с) присутствует в жировой эмульсии в концентрации от 0,01 до 1 мас./об. %, от 0,01 до 1 мас./об. %, от 0,05 до 5 мас./об. %, соответственно. 34. Применение следующих стабилизаторов (a)-(d) для стабилизации жировой эмульсии, с которой смешивают перед применением местный анестетик, и которая включает пропофол, масляный компонент и эмульгатор, или жировой эмульсии, смягчающей или снимающей боль, которая включает пропофол, масляный компонент, эмульгатор и местный анестетик: (a) по крайней мере, один фосфолипид, выбранный из группы, состоящей из фосфатидилглицерина, фосфатидной кислоты, фосфатидилинозита и фосфатидилсерина, где жирной кислотой, сложноэтерифицированной в глицериновый фрагмент, является С10-22 линейная или разветвленная, насыщенная или ненасыщенная жирная кислота; (b) по крайней мере, одно производное фосфолипида, выбранное из фосфатидилэтаноламинов, модифицированных полиалкиленгликолем, где жирной кислотой, сложноэтерифицированной в глицериновый фрагмент, является С10-22 линейная или разветвленная, насыщенная или ненасыщенная жирная кислота; (c) по крайне мере, одна жирная кислота, выбранная из группы, состоящей из С10-22 линейных или разветвленных, насыщенных или ненасыщенных жирных кислот; или (d) смесь, по крайней мере, двух, выбранных из указанных выше групп (а), (b) и (с).
|
|||||||||||||||||||||||||||||||||||||||||||||||||||||||||||||||||||||||||||||||||||||||||||||||||||||||||||||||||||||||||||||||||||||||||||||||||||||||||||||||||||||||||||||||||||||||||||||||||||||||||||||||||||||||||||||||||||||||||||||||||||||||||||||||||||||||||||||||||||||||||||||||||||||||||||||||||||||||||||||||||||||||||||||||||||||||||||||||||||||||||||||||||||||||||||||||||||||||||||||||||||||||||||||||||||||||||||||||||||||||||||||||||||||||||||||||||||||||||||||||||||||||||||||||||||||||||||||||||||||||||||||||||||||||||||||||||||||||||||||||||||||||||||||||||||||||||||||||||||||||||||||||||||||||||||||||||||||||||||||||||||||||||||||||||||||||||||||||||||||||||||||||||||||||||||||||||||||||||||||||||||||||||||||||||||||||||||||||||||||||||||||||||||||||||||||||||||||||||||||||||||||||||||||||||||||||||||||||||||||||||||||||||||||||||||||||||||||||||||||||||||||||||||||||||||||||||||||||||||||||||||||||||||||||||||||||||||||||||||||||||||||||||||||||||||||||||||||||||||||||






