|
(21), (22) Заявка: 2006140986/09, 20.04.2005
(24) Дата начала отсчета срока действия патента:
20.04.2005
(30) Конвенционный приоритет:
21.04.2004 KR 10-2004-0027630
(46) Опубликовано: 27.09.2008
(56) Список документов, цитированных в отчете о поиске:
RU 2138909 С1, 27.09.1999. RU 2160967 С2, 20.12.2000. FR 2830389 А, 04.04.2003. WO 02/05442 А, 17.01.2002. ЕР 1276288 А, 15.01.2003. US 2002/122381 A, 05.09.2002. US 2003/026197 A, 06.02.2003.
(85) Дата перевода заявки PCT на национальную фазу:
21.11.2006
(86) Заявка PCT:
KR 2005/001138 (20.04.2005)
(87) Публикация PCT:
WO 2005/104411 (03.11.2005)
Адрес для переписки:
129090, Москва, ул. Б. Спасская, 25, стр.3, ООО “Юридическая фирма Городисский и Партнеры”, пат.пов. Ю.Д.Кузнецову, рег.№ 595
|
(72) Автор(ы):
СУХ Чанг-Хо (KR), ХВАНГ Чан-Соо (KR), ЙООН Сеок-Хиун (KR), ЧО Йоунг-Квон (KR)
(73) Патентообладатель(и):
САМСУНГ ЭЛЕКТРОНИКС КО., ЛТД. (KR)
|
(54) УСТРОЙСТВО И СПОСОБ КАНАЛЬНОЙ ОЦЕНКИ В СИСТЕМЕ СОТОВОЙ СВЯЗИ С МУЛЬТИПЛЕКСИРОВАНИЕМ С ОРТОГОНАЛЬНЫМ ЧАСТОТНЫМ РАЗДЕЛЕНИЕМ, ИСПОЛЬЗУЮЩЕЙ МНОЖЕСТВО ПЕРЕДАЮЩИХ АНТЕНН
(57) Реферат:
Изобретение относится к устройству и способу канальной оценки в системе связи с OFDM. Техническим результатом является выполнение точной канальной оценки с помощью исключения межсотовой помехи в системе связи MIMO. Устройство и способ для канальной оценки с использованием сигналов преамбул, принятых от обслуживающего Узла В и соседних Узлов В, каждый из которых имеет N( 1) передающих антенн, в UE, имеющем М( 1) приемных антенн, в широкодиапазонной системе беспроводной связи, где блок вычисления количества Узлов В вычисляет максимальное число NS канально-оцениваемых Узлов В, используя длину преамбул, число антенн в каждом Узле В и число путей многолучевого распространения, генератор матриц преамбул множества сот генерирует матрицу х преамбул множества сот посредством генерирования матрицы преамбул Узла В для каждого из Узлов В и выбора матриц преамбул N Узлов В в соответствии с мощностью приема среди матриц преамбул Узлов В, средство канальной оценки выполняет канальную оценку, используя х и сигналы, принятые через М антенн в течение периода приема преамбул. 2 н. и 18 з.п. ф-лы, 20 ил.
Область техники, к которой относится изобретение
Настоящее изобретение относится, в общем, к устройству и способу канальной оценки в системе связи с OFDM (МОЧР) (мультиплексирование с ортогональным частотным разделением) и, в частности, к устройству и способу для выполнения точной канальной оценки с помощью исключения межсотовой помехи в системе связи с MIMO (МВМВ) (Множество входов – множество выходов) – OFDM.
Предшествующий уровень техники
Обычно системой беспроводной связи называется система, поддерживающая услугу беспроводной связи, которая включает в себя Node B (Узлы В) и UEs (ПО) (Пользовательское оборудование). Узел B и UE поддерживают услугу беспроводной передачи по кадрам. Поэтому для передачи и приема кадров должна достигаться синхронизация между Узлом B и UE. Соответственно Узел B передает сигнал синхронизации на UE таким образом, что UE может идентифицировать начало кадра. UE затем определяет кадровую синхронизацию Узла B из сигнала синхронизации и демодулирует принятый кадр на основе кадровой синхронизации. В общем сигнал синхронизации является предустановкой последовательности преамбулы между Узлом B и UE.
Предпочтительно система связи с OFDM и множеством несущих использует последовательность преамбулы, имеющую низкое PAPR (ОММСМ) (Отношение максимальной мощности к средней мощности). Узел B передает на UE первую часть длинной преамбулы для грубой синхронизации, за которой следует короткая преамбула для точной синхронизации. UE передает только короткую преамбулу Узлу B для точной синхронизации.
Система связи с OFDM передает пользовательские данные ко множеству пользователей, т.е. к UE, посредством мультиплексирования кадра во времени. Одновременно кадровая преамбула передается в заранее заданный временной период, начиная от начала кадра, для указания начала кадра. Из-за передачи пакетных данных пользователям в одном кадре преамбула пакета находится спереди каждых пользовательских данных для указания начала данных. Поэтому UE принимает преамбулу данных для определения начала этих пользовательских данных. Более конкретно, чтобы синхронизировать отчеты времени по началу данных для приема данных, UE принимает общую последовательность преамбулы в системе и достигает синхронизации до приема сигнала.
Система связи с OFDM использует то же самое кодирование источника, канальное кодирование и модуляцию, что и системы связи без OFDM. По сравнению с системой связи CDMA (МДКР) (Множественный доступ с кодовым разделением), в которой спектр данных расширяется до передачи, система связи OFDM вставляет защитный интервал в сигнал IFFT (Обратное быстрое преобразование Фурье). Поэтому система связи OFDM может передавать широкодиапазонный сигнал простым аппаратным обеспечением по сравнению с системой связи CDMA. Система связи OFDM выполняет IFFT-обработку модулированной битовой символьной последовательности, тем самым получая сигнал во временной области. Сигнал во временной области (т.е. символ OFDM) является широкодиапазонным сигналом, в котором мультиплексируется множество узкополосных сигналов поднесущих. Множество модулированных символов доставляется за один период символа OFDM.
Однако простая передача символа IFFT OFDM без какой-либо дополнительной обработки ведет к неизбежной помехе между предыдущим символом OFDM и текущим символом OFDM. Для подавления ISI (МСП) (Межсимвольной помехи) вставляется защитный интервал. Было предложено, чтобы нулевые данные вставлялись в заранее заданный интервал в качестве защитного интервала. Характерным недостатком этого защитного интервала является то, что из-за неправильной оценки начала символа OFDM в приемнике появляется помеха между поднесущими, увеличивая вероятность неправильного решения о принятом символе OFDM. Поэтому защитный интервал используется в форме “циклического префикса” или “циклического постфикса”. Циклический префикс является копией последних 1/n битов символа во временной области OFDM, вставленных в эффективный символ OFDM, а циклический постфикс является копией первых 1/n битов символов во временной области OFDM-символа, вставленных в эффективный символ OFDM. Используя защитный интервал в качестве избыточной информации скопированной первой или последней части одного символа OFDM, приемник может достигать временной/частотной синхронизации принятого символа OFDM.
Сигнал, переданный из передатчика, искажается, так как он проходит по радиоканалу, и таким образом искаженный сигнал достигает приемника. Приемник выполняет канальную оценку посредством достижения временной/частотной синхронизации, используя известную последовательность преамбулы и канальные компенсации символов частотной области FFT (БПФ) (Быстрого преобразования Фурье), с помощью канальной оценки. Приемник затем восстанавливает информационные данные посредством канального декодирования и декодирования источника канально-компенсированных символов в соответствии с канальным декодированием и декодированием источника канально-компенсированных символов, используемым передатчиком.
Раскрытие изобретения
Техническая проблема
Система связи OFDM использует последовательность преамбулы для достижения покадровой синхронизации, частотной синхронизации и канальной оценки. Хотя защитный интервал и пилотные поднесущие могут использоваться взамен преамбулы при покадровой синхронизации, частотной синхронизации и канальной оценке, передатчик обычно передает известные символы в начале каждого кадра или пакета данных в качестве последовательности преамбулы и принимает изменения временной/частотной/канальной информации с последовательностью преамбулы.
Важность канальной оценки лежит в когерентной модуляции и демодуляции в системе OFDM. Средство канальной оценки требуется для системы, использующей когерентную модуляцию и демодуляцию. Особенно в оборудовании MIMO требуется канальная информация для каждой антенны, дополнительно увеличивая важность канальной оценки.
Когда система MIMO-OFDM поддерживает сотовую среду, сильная помеха появляется на границах сот, тем самым ухудшая выполнение канальной оценки. Соответственно существует необходимость в методах канальной оценки, которые минимизируют межсотовую помеху в сотовой системе MIMO-OFDM.
Техническое решение
Соответственно настоящее изобретение предназначено по существу для решения по меньшей мере указанных выше проблем и/или недостатков и для обеспечения указанных ниже по меньшей преимуществ. Целью настоящего изобретения является обеспечение устройства и способа выполнения точной канальной оценки посредством исключения межсотовой помехи в системе связи OFDM.
Другой целью настоящего изобретения является обеспечение устройства и способа для выполнения точной канальной оценки посредством исключения межсотовой помехи в системе беспроводной связи.
Дополнительной целью настоящего изобретения является обеспечение устройства и способа определения числа канально-оцениваемых Узлов B (или сот) в системе беспроводной сотовой связи.
Указанные выше и другие цели достигаются посредством обеспечения устройства и способа канальной оценки в системе сотовой связи OFDM, использующей множество антенн.
В соответствии с одним аспектом настоящего изобретения в устройстве канальной оценки с использованием сигналов преамбулы, принятых от обслуживающего Узла B и соседних Узлов B в UE в широкодиапазонной системе беспроводной связи, в которой каждый Узел B передает сигнал через N() антенн, а UE принимает сигнал через M() антенн, блок вычисления количества Узлов B вычисляет максимальное число Ns канально-оцениваемых Узлов B, используя длину преамбулы, число антенн в каждом Узле B и число трактов многолучевого распространения. Генератор матрицы преамбул множества сот генерирует матрицу xs преамбул множества сот посредством генерации матрицы преамбулы Узла B для каждого из обслуживающего Узла B и соседних Узлов B и выбора Ns матриц преамбул Узла B в соответствии с мощностью приема среди сгенерированных матриц преамбул Узла B. Средство канальной оценки выполняет канальную оценку, используя матрицу xs преамбул множества сот и M сигналов, принятых через M антенн в течение периода приема преамбулы.
В соответствии с другим аспектом настоящего изобретения в устройстве канальной оценки с использованием сигналов преамбулы, принятых от обслуживающего Узла B и соседних Узлов B в UE в широкодиапазонной системе беспроводной связи, где каждый Узел B передает сигнал через N() антенн и UE принимает сигнал через M() антенн, блок вычисления количества Узлов B вычисляет максимальное число Ns канально-оцениваемых Узлов B, используя длину A преамбулы, число антенн N в каждом Узле B и число L трактов (путей) многолучевого распространения посредством
.
Средство канальной оценки выбирает Ns Узлов B в соответствии с мощностью приема обслуживающего Узла B и соседних Узлов B и выполняет канальную оценку, используя известную информацию преамбулы, связанную с Ns Узлами B, и сигналы, принятые через M антенн.
В соответствии с другим аспектом настоящего изобретения в способе канальной оценки с использованием сигналов преамбулы, принятых от обслуживающего Узла B и соседних Узлов B в UE в широкодиапазонной системе беспроводной связи, где каждый Узел B передает сигнал через N() антенн, и UE принимает сигнал через M() антенн, вычисляется максимальное число Ns канально-оцениваемых Узлов B, используя длину преамбулы, число антенн в каждом Узле B и число трактов многолучевого распространения. Ns Узлов B выбираются в соответствии с мощностью приема обслуживающего Узла B и соседних Узлов B, матрицы преамбул Узлов B генерируются для соответствующих выбранных Ns Узлов B, и матрица xs преамбул множества сот создается посредством объединения матриц Ns Узлов B. Затем выполняется канальная оценка, используя матрицу xs преамбул множества сот и M сигналов, принятых через M антенн в течение периода приема преамбулы.
В соответствии с еще одним аспектом настоящего изобретения в способе канальной оценки с использованием сигналов преамбулы, принятых от обслуживающего Узла B и соседних Узлов B в UE в широкодиапазонной системе беспроводной связи, где каждый Узел B передает сигнал через N() антенн и UE принимает сигнал через M() антенн, максимальное число Ns канально-оцениваемых Узлов B вычисляется, используя длину A преамбулы, число антенн N в каждом Узле B и число L трактов многолучевого распространения посредством
.
Ns Узлов B выбираются в соответствии с мощностью приема обслуживающего Узла B и соседних Узлов B, и канальная оценка выполняется, используя известную информацию преамбулы, ассоциативно связанную с Ns Узлами B, и сигналы, принятые через M антенн.
Полезные эффекты
В соответствии с настоящим изобретением, как описано выше, использование способа оценки множества сот, в котором исключается межсотовая помеха, обеспечивает более точную канальную оценку и увеличивает производительность демодуляции данных так же, как и в системе связи OFDM.
Описание чертежей
Указанные выше и другие цели, признаки и преимущества настоящего изобретения станут более очевидными из последующего подробного описания, взятого совместно с сопровождающими чертежами, на которых:
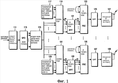
фиг.1 – блок-схема, показывающая передатчик, использующий N передающих антенн в системе связи OFDM, в соответствии с вариантом осуществления настоящего изобретения;
фиг.2 – блок-схема, показывающая приемник, использующий M приемных антенн, в системе связи OFDM в соответствии с вариантом осуществления настоящего изобретения;
фиг.3 показывает правило передачи преамбулы в соответствии с настоящим изобретением;
фиг.4 показывает функциональный принцип L-фазного средства сдвига, необходимого для генерирования последовательности преамбулы;
фиг.5 – блок-схема, показывающая средство оценки каналов множества сот в приемнике в системе связи MIMO-OFDM в соответствии с вариантом осуществления настоящего изобретения;
фиг.6 – подробная блок-схема, показывающая блок вычисления количества Узлов B, как показано на фиг.5;
фиг.7 – детальная блок-схема, показывающая генератор матрицы преамбул множества сот, как показано на фиг.5;
фиг.8 – детальная блок-схема, показывающая генератор матрицы преамбулы для Узла B #0, как показано на фиг.7;
фиг.9 показывает правило передачи последовательности преамбулы для каждого Узла B, когда суммарное количество обслуживающего Узла B и его соседних Узлов B равно 2, и число передающих антенн равно 4;
фиг.10 показывает функциональный принцип 16-фазовых средств сдвига, как показано на фиг.9;
фиг.11 показывает работу блока вычисления количества Узлов B, когда длина преамбулы равна 128, число передающих антенн равно 4, число трактов многолучевого распространения равно 16 и суммарное количество узлов, среди которых обслуживающий Узел B и его соседние Узлы B, равно 2;
фиг.12 показывает работу генератора матрицы преамбул множества сот, когда число передающих антенн равно 4, суммарное количество обслуживающего Узла B и его соседних Узлов B равно 2 и максимальное число снабжающих Узлов B равно 2;
фиг.13 показывает работу генератора матрицы преамбулы для Узла B#0, когда длина преамбулы равна 128, число передающих антенн равно 4 и число трактов многолучевого распространения равно 16;
фиг.14 показывает работу передатчика, использующего N передающих антенн в системе связи OFDM в соответствии с вариантом осуществления настоящего изобретения;
фиг.15 – блок-схема алгоритма, показывающая работу приемника, использующего M приемных антенн в системе связи OFDM, в соответствии с вариантом осуществления настоящего изобретения;
фиг.16 – детальная блок-схема алгоритма, показывающая этап оценки множества сот, как показано на фиг.15;
фиг.17 – детальная блок-схема алгоритма, показывающая этап генерации матрицы преамбул множества сот, как показано на фиг.16;
фиг.18 – детальная блок-схема алгоритма, показывающая этап 1703 генерации матрицы преамбулы Узла B, как показано на фиг.17;
фиг.19 – график, показывающий сравнение производительности между SCMLE (СОМПЕС) (Средство оценки максимального правдоподобия единственной соты) и MCMLE (СОМПМС) (Средство оценки максимального правдоподобия множества сот) в соответствии с суммарным количеством обслуживающего Узла B и соседних Узлов B; и
фиг.20 – график, показывающий другое сравнение производительности между SCMLE и MCMLE в соответствии с суммарным количеством обслуживающего Узла B и соседних Узлов B.
Предпочтительные варианты осуществления изобретения
Предпочтительные варианты осуществления настоящего изобретения будут описаны здесь ниже со ссылкой на сопровождающие чертежи. В последующем описании общеизвестные функции или конструкции не описываются подробно, т.к. они будут затенять изобретение ненужными подробностями.
Настоящее изобретение направлено на устройство и способ выполнения точной канальной оценки посредством исключения межсотовой помехи в приемнике в системе сотовой связи MIMO-OFDM. Хотя последующее описание сделано в контексте системы MIMO-OFDM в качестве примера, будет понятно, что настоящее изобретение применяется для любой системы, страдающей от межсотовой помехи.
Фиг.1 – блок-схема, показывающая передатчик, использующий N передающих антенн в системе связи OFDM в соответствии с вариантом осуществления настоящего изобретения. На фиг.1 передатчик включает в себя средство 111 отображения в символы, последовательно-параллельный преобразователь 113 (SPC) (ППП), кодер 115 многоантенной передачи, N генераторов 117, 129 последовательностей преамбул, N селекторов 119, 131, N процессоров 121, 133 IFFT, N параллельно-последовательных преобразователей (PSCs) (ППП) 123, 135, N цифро-аналоговых преобразователей (DACs) (ЦАП) 125, 137 и N RF (РЧ; радиочастотных) процессоров 127, 139.
В работе средство 111 отображения в символы кодирует входные биты информации с предопределенной скоростью кодирования и модулирует кодированные биты в соответствии с заранее заданным порядком модуляции. Средство 111 отображения в символы конфигурируется для получения канального кодера и модулятора. Например, канальный кодер является турбо-кодером или сверточным кодером, а модулятор использует QPSK (КФМ) (квадратурную фазовую модуляцию), 8PSK (8-ми PSK), 16QAM (КАМ) (16-квадратурную амплитудную модуляцию) или 64QAM (64-х QAM).
SPC 113 выполняет BxN-точечное последовательно-параллельное преобразование модулированных символов. B является числом поднесущих для доставки данных от каждой передающей антенны, и N является числом передающих антенн. После генерации BxN символов для всех передающих антенн в средстве 111 отображения в символы SPC 113 преобразует символы в параллельное представление.
Кодер 115 многоантенной передачи может быть пространственно-временным кодером, мультиплексором данных или любым другим устройством в соответствии со своими назначениями. В общем, пространственно-временной кодер используется для разнесения передающих антенн, а мультиплексор данных – для увеличения емкости данных. Кодер 115 многоантенной передачи генерирует N антенных сигналов посредством кодирования модулированных символов заранее заданным способом кодирования и затем им выдается N антенных сигналов в селекторы 119, 131, которые сопряжены с соответствующими N антеннами.
Генератор 117 последовательности преамбулы для антенны #0 генерирует заранее заданную последовательность преамбулы под управлением контроллера (не показан), что будет подробно описано со ссылкой на фиг.3.
Селектор 119 выбирает одну из последовательностей преамбулы, принятых от генератора 117 последовательности преамбул, и антенный сигнал, принятый от кодера 115 многоантенной передачи, в соответствии с планированием в данный момент. То есть селектор 119 определяет, передается ли последовательность преамбулы или кодовые символы. В соответствии с результатом принятия решения селектор 119 передает последовательность преамбулы или символы на процессор 121 IFFT для антенны #0.
Процессор 121 IFFT выполняет A-точечное IFFT последовательности преамбулы или символов. А является итоговым числом поднесущих для IFFT и B является числом доступных поднесущих, не включая поднесущие DC (ПП) (преобразованные с понижением частоты) и поднесущие неиспользуемых высокочастотных диапазонов.
PSC 123 принимает циклический префикс (CP) (ЦП) и сигналы IFFT и затем преобразует принятые сигналы в последовательное представление. DAC 125 преобразует цифровой сигнал, принятый из PSC 123, в аналоговый сигнал. Процессор 127 RF, включающий в себя фильтр и ВЧ-тракт, обрабатывает аналоговый сигнал в сигнал RF и затем передает сигнал RF через антенну #0.
Генератор 129 последовательности преамбулы для антенны #(N-1) генерирует заранее определенную последовательность преамбулы под управлением контроллера (не показан). Селектор 131 выбирает последовательность преамбулы, принятую от генератора 129 последовательности преамбулы, или антенный сигнал, принятый от кодера 115 многоантенной передачи, в соответствии с планированием для данного момента. То есть селектор 131 определяет, передавать ли последовательность преамбулы или кодовые символы. В соответствии с результатом принятия решения селектор 131 передает последовательность преамбулы или символы в процессор 133 IFFT для антенны #(N-1).
Процессор 133 IFFT выполняет A-точечное IFFT последовательности преамбулы или символов. Как описано выше, A является итоговым числом поднесущих для IFFT и B является числом доступных поднесущих, не включая поднесущие DC (ПП) (преобразованные с понижением частоты) и поднесущие неиспользуемых высокочастотных диапазонов.
PSC 135 принимает CP и сигналы IFFT и преобразует принятые сигналы в последовательное представление. DAC 137 преобразует цифровой сигнал, принятый от PSC 123, в аналоговый сигнал. Процессор 139 RF, включающий в себя фильтр и ВЧ-тракт, обрабатывает аналоговый сигнал в сигнал RF и затем передает сигнал RF через антенну #(N-1).
Фиг.2 является блок-схемой, показывающей приемник, использующий M приемных антенн, в системе связи OFDM в соответствии с вариантом осуществления настоящего изобретения. На фиг.2 приемник включает в себя M приемных антенн, M процессоров 201-207 RF (РЧ; радиочастоты), M аналого-цифровых преобразователей (ADC) (АЦП) 203, 209, M SPC (ППП) (последовательно-параллельные преобразователи) 205, 211, M FFT (быстрое преобразование Фурье) процессоров 215, 217, средство 213 оценки каналов множества сот, M выравнивателей 219, 221, декодер 223 приема множеством антенн, PSC (ППП) (параллельно-последовательный преобразователь) 225 и демодулятор 227.
В работе процессор 201 RF обрабатывает сигнал, принятый через антенну #0, через фильтр RF и ВЧ-тракт. ADC 203 преобразует аналоговый сигнал, принятый от процессора 201 RF, в цифровой сигнал. SPC 205 удаляет экземпляры СР (циклический префикс) из цифрового сигнала и преобразует оставшийся сигнал в параллельное представление, т.е. в сигналы y0(Ax1), как ввод в цифровую часть. Аналогично, SPC 211 выдает цифровые сигналы yM-1(Ax1) ввода от антенны #(M-1).
Во время приема преамбулы принятые сигналы y0(Ax1)-yM-1(Ax1) выдаются на средство 213 оценки множества сот. Средство 213 оценки множества сот оценивает все возможные MxNxL каналы и выдает канальные оценки на выравниватели 219, 221. M является числом приемных антенн, N является числом передающих антенн и L является числом трактов многолучевого распространения. Средство 213 оценки каналов множества сот будет описано позже более подробно со ссылкой на фиг.5.
Во время приема не преамбулы принятые сигналы y0(Ax1)-yM-1(Ax1) выдаются на процессоры 215-217 FFT. Процессоры 215-217 выполняют A-точечное FFT принятых сигналов. Выравниватели 219, 221 корректируют сигналы FFT на предмет канального искажения, ассоциативно связанного с соответствующими приемными антеннами, используя канальные оценки.
Декодер 223 приема множеством антенн декодирует канально-компенсированные (скорректированные) сигналы в один поток сигналов в соответствии с заранее заданным правилом. PSC 225 преобразует в последовательное представление параллельные данные, полученные от декодера 223 приема множеством антенн. После этого демодулятор 225 восстанавливает исходный битовый поток информации посредством демодуляции и декодирования последовательных данных заранее заданным способом.
Фиг.3 показывает правило (принцип) передачи преамбулы в соответствии с настоящим изобретением. Правило передачи последовательности преамбулы применяется для NB Узлов B, включая обслуживающий Узел B и соседние узлы B, причем каждый Узел B использует N передающих антенн. Здесь обслуживающий Узел B называется эталонным Узлом B для генерации последовательностей преамбул.
На фиг.3 эталонный Узел N 301 (Узел B#0) снабжен N генераторами 303-05 последовательностей преамбул. N генераторов 303-305 последовательностей преамбул генерируют различные последовательности преамбул заранее заданным способом. Заранее заданный способ может состоять в том, чтобы выделять различные поднесущие для различных передающих антенн. Например, если N равно 2, для одной антенны конкретная последовательность выделяется для нечетных поднесущих с нулевыми данными на четных поднесущих среди всех поднесущих, в то время как для другой антенны последовательность выделяется для четных поднесущих с нулевыми данными на нечетных поднесущих.
Узел B 307 (Узел B#1) имеет N последовательностей 308, 310 преамбул и N средств 309, 311 L-фазовых сдвигов. N генераторов 308, 310 последовательностей преамбул генерируют те же N последовательностей преамбул, как и в Узле B#0 301. Средства 309, 311 L-фазовых сдвигов затем сдвигают фазы последовательностей преамбул, принятых от соответствующих им генераторов 308, 310 последовательностей преамбул, на L, посредством чего создаются конечные последовательности преамбул. L может быть установлено на длину CP. Использование средств L-фазовых сдвигов является известной технологией для выполнения преамбул Узла B#1 307, являющихся ортогональными для преамбул Узла B#0 301.
Хотя описание настоящего изобретения основывается на предположении использования средств L-фазовых сдвигов, последовательности преамбул могут генерироваться и другим подходящим способом.
Аналогично, Узел B 313 (Узел B#(NB-1)) имеет N последовательностей 314, 316 преамбул и N средств 315, 317 Lx(NB-1)-фазовых сдвигов. N генераторов 314, 316 последовательностей преамбул генерируют N таких же последовательностей преамбул, как и в Узле B#0 301. Средства 309, 311 Lx(NB-1)-фазовых сдвигов затем сдвигают фазы последовательностей преамбул, принятых от соответствующих им генераторов 314, 316 последовательностей преамбул, на Lx(NB-1), посредством чего создаются окончательные последовательности преамбул.
Фиг.4 показывает принцип работы средств L-фазовых сдвигов, показанных на фиг.3. На фиг.4, после L-фазового сдвига, фаза сигнала [X0, X1, …, XA-1] частотной области сдвигается в частотной области. Если сигнал, сдвинутый по фазе, подвергается IFFT для получения сигнала временной области, то тогда он является циклически сдвинутым сигналом. Так как ортогональность гарантируется между циклически сдвинутыми сигналами IFFT, обычно средство фазового сдвига используется в частотной области при генерировании последовательностей преамбул.
Фиг.5 является детальной блок-схемой, показывающей средство оценки каналов множества сот в приемнике в системе связи MIMO-OFDM в соответствии с вариантом осуществления настоящего изобретения. На фиг.5 в средстве 213 оценки каналов множества сот, как показано на фиг.2, блок 503 вычисления количества Узлов B вычисляет максимальное число снабжающих (или канально-оцениваемых) Узлов B, Ns. Длина преамбулы является размером IFFT/FFT (или длиной символа OFDM), A в настоящем изобретении. Соответственно, Ns тесно связано с A, что будет описано позже более подробно со ссылкой на фиг.6.
Генератор 505 матриц преамбул множества сот генерирует матрицу xS преамбул множества сот, соответствующую NS, для прямого использования при оценке каналов множества сот, которая будет описана позже более подробно со ссылкой на фиг.7.
Генератор 509 матрицы y генерирует матрицу y сигналов, как показано в формуле (1) ниже, посредством объединения сигналов временной области, принятых через приемные антенны, y0, y1, …, yM-1. Принятые сигналы y0, y1, …, yM-1 являются выходами SPC 205-211, как показано на фиг.2, принятыми за период времени преамбулы.
y= [y0, y1, …, yM-1] (1)
Генератор 507 псевдоинверсной матрицы вычисляет псевдоинверсию xs, .
Умножитель 511 матриц умножает y на , посредством чего создается канальная оценка как показано в формуле (2) ниже, включающая в себя NxMxL значения оценок каналов. В формуле (2) N является числом передающих антенн, M является числом приемных антенн и L является числом множества путей распространения.
 (2).
Процессор 513 FFT получает канальные оценки частотной области посредством выполнения A-точечного FFT .
Более конкретно, A-точечный FFT 513 выполняет FFT-обработку L значений канальных оценок и выдает A значений канальных оценок (или значений каналов поднесущих) и повторяет эти операции NxM раз. Соответственно FFT 513 в конечном счете выдает NxMxA значений канальных оценок многолучевого распространения. После этого выдается на выравниватели 219, 221 для канальной коррекции.
В зависимости от того, какой способ канальной оценки используется, канальная оценка может вычисляться посредством умножения псевдоинверсной матрицы или может вычисляться в частотной области. В настоящем изобретении используется способ ML (МП) (максимального правдоподобия), использующий умножение псевдоинверсной матрицы. Настоящее изобретение вычисляет матрицу xS преамбул множества сот, используя NS.
Фиг.6 является детальной блок-схемой, показывающей блок 503 вычисления количества Узлов B, как показано на фиг.5. Как описано выше, т.к. длина преамбулы ограничена длиной символа OFDM, т.е. А, число канально-оцениваемых Узлов B также ограничивается. Также настоящее изобретение предполагает канальную среду с множеством путей распространения, такую как MIMO-канальная среда (или многосотовая). Поэтому с учетом всех этих условий NS вычисляется по формуле (3),
 (3)
где А является размером IFFT, т.е. длиной преамбулы, L является числом множества путей, т.е. длиной циклического префикса, N является числом передающих антенн и NB является числом обслуживающих Узлов B плюс соседние Узлы B.
 представляет число канально-оцениваемых Узлов B. L, представляющая максимальный разброс задержки или максимальную длину канала, вычисляется как разность между временем прибытия от самого раннего пути и временем прибытия от самого последнего пути, выраженная числом отсчетов.
В системе OFDM длина CP, выраженная как число отсчетов, обычно определяется с помощью длительности максимального разброса задержки. Настоящее изобретение также предполагает, что L является длиной CP, выраженной числом отсчетов.
Как указано в выражении (3), когда NB меньше, чем  , NB равно NS. Однако, когда NB больше, чем  ,  равно NS. Это вычисление может выполняться аппаратными средствами, как показано на фиг.6.
На фиг.6 умножитель 601 умножает L на N. Делитель 603 делит A на произведение LxN. Оператор 605 минимального уровня выдает только целую часть от  , удаляя дробную часть. Селектор 607 меньшего значения выбирает меньшее из выданных оператором 605 минимального уровня и NB как NS.
Фиг.7 является детальной блок-схемой, показывающей генератор 505 матриц преамбул множества сот, как показано на фиг.5. На фиг.7 генератор 701 матриц преамбул для Узла B#0 (обслуживающий Узел B) генерирует матрицу преамбул для Узла B#0,

используя известную информацию преамбул частотной области, связанную со всеми передающими антеннами Узла B#0,
,
которая будет описана позже более подробно со ссылкой на фиг.8.
Генератор 703 матриц преамбул для Узла B#1 генерирует матрицу преамбул для Узла B#1,

используя известную информацию преамбул частотной области, связанную со всеми передающими антеннами Узлами B#1,
.
Аналогично, генератор 705 матрицы преамбулы для Узла B#(NS-1) генерирует матрицу преамбул для Узла B#(NS-1),
,
и генератор 709 матрицы преамбулы для Узла B#(NB-1) генерирует матрицу преамбул для Узла B#(NB-1),
.
Для увеличения производительности канальной оценки Узел B, для которого выполняется канальная оценка, должен иметь большую мощность, чем другие Узлы B. Поэтому Узлы B индексируются в порядке, выраженном, как показано в формуле (4). В указанном выше примере Узел В#0 является высшим, а Узел B#(NB-1) является самым низшим по мощности приема.
p(0) p(1) … (4)
Генератор 711 матрицы снабжающего Узла B затем принимает Ns от блока 503 вычисления количества Узлов B и выбирает NS матриц преамбул Узлов B, посредством чего генерируется матрица преамбул множества сот
xS=[x(0) x(1)… ].
Фиг.8 является детальной блок-схемой, показывающей генератор 701 матрицы преамбул для Узла B#0, как показано на фиг.7. На фиг.8 для Узла B#0 (обслуживающий Узел B) А-точечный IFFT 801 генерирует сигнал временной области посредством выполнения IFFT-обработки над сигналом преамбулы для передающей антенны #0. вводится в генератор 825 матрицы преамбул для антенны #0 и в средства 807-811 циклического сдвига.
Средство 807 циклического сдвига циклически сдвигает например, один раз и выдает результирующий сигнал в генератор 825 матриц преамбул для антенны #0. Средство 809 циклического сдвига циклически сдвигает , например, дважды и выдает результирующий сигнал в генератор 825 матриц преамбул для антенны #0. Наконец, средство 811 циклического сдвига циклически сдвигает (L-1) раз и выдает результирующий сигнал в генератор 825 матриц преамбул для антенны #0. Соответственно, сигналы преамбул генерируются для всех трактов для антенны #0.
Генератор 825 матриц преамбул для антенны #0 генерирует матрицу преамбул для антенны #0,

посредством объединения выходных данных от процессора 801 IFFT и средств 807-811 циклического сдвига. Матрица преамбул для антенны #0 показывается в формуле (5),

= (5)
где является значением kго отсчета преамбулы, переданной от iой антенны jого Узла B.
Подобно генератор 827 матриц преамбул для антенны #1 генерирует матрицу преамбул для антенны #1,

и выдает ее на средство 831 объединения матриц преамбул антенн. Генератор 829 матриц преамбул для антенны #(N-1) генерирует матрицу преамбул для антенны #(N-1),

и выдает ее на средство 831 объединения матриц преамбул антенн.
Средство 831 объединения матриц преамбул антенн генерирует матрицу преамбул для Узла B#0,

посредством объединения матриц преамбул N антенн, принятых от генераторов 825-829 матриц преамбул N антенн. Генераторы 703-709 матриц преамбул для других Узлов B, как показано на фиг.7, генерируют матрицы преамбул для соответствующих Узлов B таким же образом. Генератор матрицы преамбул для Узла B, как показано на фиг.8, учитывает многолучевое распространение при генерации матрицы преамбул для Узла B. В реальном выполнении генератора матриц преамбул для Узла B UE предварительно запоминает данные отсчетов преамбул Узла B в памяти и циклически сдвигает данные отсчетов преамбул, когда необходимо, посредством чего генерируется матрица преамбул для Узла B.
Для лучшего понимания настоящего изобретения примерное применение будет представлено ниже.
Фиг.9 показывает правило передачи преамбулы для каждого Узла B, когда NB=2 и N=4. На фиг.9 обслуживающий Узел B 901 (Узел B#0) снабжается четырьмя генераторами 903-905 последовательностей преамбул. Генераторы 903-905 последовательностей преамбул генерируют последовательности преамбул заранее заданным способом. Заранее заданный способ может выделять различные поднесущие для различных передающих антенн.
Узел B 907 (Узел B#1) снабжается четырьмя генераторами 908, 910 последовательностей преамбул и четырьмя средствами 909, 911 16-фазовых сдвигов. Генераторы 908, 910 последовательностей преамбул генерируют такие же четыре последовательности преамбул, как в Узле B#0. Средства 909, 911 16-фазовых сдвигов сдвигают последовательности преамбул на 16°, посредством чего генерируются окончательные последовательности преамбул. Использование фазовых сдвигов является известным методом для выполнения преамбул Узла B#1, являющихся ортогональными к преамбулам Узла B#0.
Как описано выше, описание настоящего изобретения основывается на предположении использования средств фазовых сдвигов, даже несмотря на то, что последовательности преамбул могут генерироваться различными способами.
Фиг.10 показывает принцип работы средств 907-911 16-фазовых сдвигов, как показано на фиг.9. На фиг.10 после 16-фазового сдвига фаза сигнала частотной области [X0, X1, … X127] сдвигается в частотной области. Если фазово-сдвинутый сигнал преобразуется IFFT в сигнал временной области, тогда он является циклически-сдвинутым сигналом. Так как ортогональность гарантируется между IFFT циклически-сдвинутыми сигналами, средство фазового сдвига используется в частотной области или средство циклического сдвига используется во временной области при генерировании последовательностей преамбул.
Фиг.11 показывает работу блока 503 вычисления количества Узлов B, когда А=128, N=4, L=16 и NB=2. Как описано выше, т.к. L не может быть точно измерено, L определяется как длина CP.
При указанных выше условиях NS вычисляется с помощью формулы (6).
. (6)
Как указано выше в формуле (6), когда 2(=NB) меньше, чем , NS=2. Однако, когда 2(=NB) больше, чем , NS равно .
Предпочтительно это вычисление выполняется аппаратным обеспечением, как показано на фиг.11.
На фиг.11 умножитель 1101 умножает 16(=L) на 4(=N). Делитель 1103 делит 128(=А) на произведение 16×4(=LxN). Оператор 1105 минимального уровня выполняет операцию определения минимального уровня над выходными данными делителя 1103. Селектор 1107 меньшего значения сравнивает 2, выданное оператором 1105 уровня, с 2(=NB) и выдает 2 в качестве NS.
Фиг.12 показывает работу генератора 505 матриц преамбул множества сот, когда N=4, NB=2 и NS=2. На фиг.12 генератор 1201 матриц преамбул для Узла B#0 (обслуживающий Узел B) генерирует матрицу преамбул для Узла B#0,

используя известную информацию преамбул частотной области, связанную с четырьмя антеннами Узла B#0,
,
которая будет описана ниже более подробно со ссылкой на фиг.13.
Генератор 1203 матриц преамбул для Узла B#1 генерирует матрицу преамбул для Узла B#1,
,
используя известную информацию преамбул частотной области, ассоциативно связанную со всеми передающими антеннами Узла B#1,
.
Для увеличения производительности канальной оценки Узел B, для которого канальная оценка выполняется, должен иметь большую мощность, чем другие Узлы B. Поэтому Узлы B индексируются в порядке, выраженном формулой (7).
p(0)p(1) (7)
Генератор 1205 матрицы Узла B генерирует матрицу преамбул множества сот
xS=[x(0) x(1)]
посредством объединения двух матриц преамбул Узла B из генераторов 1201 и 1203 матриц преамбул в соответствии с NS(=2) от блока 503 вычисления количества Узлов B.
Фиг.13 показывает работу генератора 701 матриц преамбул для Узла B#0, когда A=128, N=4 и L=16. На фиг.13 средство 1301 128-точечного IFFT генерирует сигнал временной области посредством выполнения IFFT-обработки сигнала преамбулы для передающей антенны #0.
вводится в генератор 1325 матриц преамбул для антенны #0 и средства 1307-1311 циклического сдвига. Средства 1307-1311 циклического сдвига используются для получения сигналов многолучевого распространения, не включая сигнал от самого раннего тракта (пути) многолучевого распространения. Соответственно число средств циклического сдвига на 1 меньше, чем L. Сигналы многолучевого распространения могут быть получены одновременно с помощью множества средств циклического сдвига, как в этом случае, или могут последовательно получаться с помощью одного средства циклического сдвига, изменяя число сдвигов.
Средство 1307 циклического сдвига один раз циклически сдвигает и выдает результирующий сигнал в генератор 1325 матриц преамбул для антенны #0. Средство 1309 циклического сдвига дважды циклически сдвигает и выдает результирующий сигнал в генератор 1325 матрицы преамбул для антенны #0. Окончательно, средство 1311 циклического сдвига 15 раз циклически сдвигает и выдает результирующий сигнал в генератор 1325 матриц преамбул для антенны #0.
Генератор 1325 матриц преамбул для антенны #0 генерирует матрицу преамбул для антенны #0,

посредством объединения данных, выданных с процессора 1301 IFFT и средств 1307-1311 циклического сдвига. Матрица преамбул для антенны #0 показана в формуле (8).

= (8)
Аналогично, генератор 1327 матриц преамбул для антенны #1 генерирует матрицу преамбул для антенны #1,
,
генератор матрицы преамбул для антенны #2 (не показан) генерирует матрицу преамбул для антенны #2,

и генератор 1305 матрицы преамбул для антенны #3 генерирует матрицу преамбул для антенны #3,
.
Средство 1331 объединения матриц преамбул антенн генерирует матрицу преамбул для Узла B#0,

посредством объединения четырех матриц преамбул антенн, принятых от четырех генераторов 1325-1329 матриц преамбул антенн. Генераторы 703-709 матриц преамбул для других Узлов B, как показано на фиг.7, генерируют матрицы преамбул для соответствующих Узлов B таким же способом. Соответственно, многолучевое распространение рассматривается при генерации матрицы преамбул для Узла B.
Фиг.14 является блок-схемой алгоритма, показывающей работу передатчика, использующего N передающих антенн, в системе связи OFDM в соответствии с вариантом осуществления настоящего изобретения. На фиг.14 передатчик генерирует BxN символов, подлежащих передаче через N передающих антенн, и генерирует N сигналов данных посредством кодирования BxN символов заранее заданным способом кодирования на этапе 1403. BxN символов являются сигналами, созданными посредством кодирования и модуляции битового потока информации заранее заданным способом кодирования и схемой модуляции.
На этапе 1405 передатчик определяет, наступило ли время передачи последовательностей преамбул. Если наступило время передачи последовательностей преамбул, передатчик выбирает N заранее заданных последовательностей преамбул между N сигналами данных и N последовательностей преамбул. Однако, если время передачи последовательностей преамбул не наступило, передатчик выбирает N сигналов данных на этапе 1409.
На этапах 1411 и 1413 передатчик передает N сигналов данных или N сигналов преамбул через N антенн. Более конкретно, передатчик выполняет IFFT-обработку сигнала, подлежащего передаче через антенну #0, преобразует IFFT сигналы в последовательное представление, преобразует последовательный сигнал в аналоговый сигнал, обрабатывает RF-обработкой аналоговый сигнал и передает RF сигнал через антенну #0. Дополнительно передатчик выполняет IFFT-обработку сигнала, подлежащего передаче через антенну #1, преобразует IFFT сигналы в последовательное представление, преобразует последовательный сигнал в аналоговый сигнал, обрабатывает аналоговый сигнал RF-обработкой и передает RF сигнал через антенну #1. Соответственно, передатчик выполняет IFFT-обработку каждого сигнала, подлежащего передаче через N соответствующих антенн, преобразует IFFT сигналы в последовательное представление, преобразует последовательный сигнал в аналоговый сигнал, обрабатывает аналоговый сигнал RF-обработкой и передает RF сигнал через соответствующую антенну.
Фиг.15 является блок-схемой алгоритма работы приемника, использующего M приемных антенн, в системе связи OFDM в соответствии с вариантом осуществления настоящего изобретения. На фиг.15 приемник получает M входных сигналов временной области посредством RF-обработки сигнала, принятого через M антенн, преобразует его цифровой сигнал и преобразует цифровой сигнал в параллельное представление на этапе 1503.
На этапе 1505 приемник определяет, наступило ли время приема сигналов преамбул. Если время приема последовательностей преамбул не наступило, приемник выполняет оценку каналов множества сот по N входным сигналам. Результирующие канальные оценки выдаются на выравниватели для соответствующих антенн для использования при демодуляции входных сигналов.
Однако, если время для приема последовательностей преамбул не наступило, приемник выполняет FFT-обработку M входных сигналов, выполняет канальную коррекцию FFT сигналов с канальными оценками и декодирует M канально-компенсированных сигналов заранее заданным способом, посредством чего создается один поток сигналов на этапе 1509. Приемник затем восстанавливает исходный битовый поток информации посредством сериализации антенного сигнала и демодуляции последовательного сигнала.
Фиг.16 является подробной блок-схемой алгоритма, показывающей этап оценки множества сот, показанный на фиг.15. На фиг.16 приемник вычисляет максимальное число снабжающих Узлов B, NS, выбирает NS матриц преамбул в соответствии с мощностью приема среди известных матриц преамбул обслуживающего Узла B и соседних Узлов B и генерирует матрицу xS преамбул множества сот, используя Ns матриц преамбул на этапе 1603.
На этапе 1605 приемник вычисляет псевдоинверсию xS,
.
Приемник генерирует матрицу y принятых сигналов посредством объединения M сигналов, принятых через M антенн, y0, y1, …, yM-1 на этапе 1607.
На этапе 1609 приемник умножает y на посредством чего создавая канальную оценку 
Приемник получает канальные оценки частотной области посредством выполнения А-точечного FFT-преобразования на этапе 1611.
Фиг.17 является подробной блок-схемой алгоритма, показывающей этап 1603 генерации матрицы преамбул множества сот, показанный на фиг.16. На фиг.17 на этапе 1703 приемник генерирует матрицу преамбул для Узла B#0,
x(0),
используя известную информацию преамбулы частотной области, ассоциативно связанную с Узлом B #0. Соответственно, приемник генерирует матрицы преамбул временной области для Узлов B #1-#(NB-1).
На этапе 1705 приемник выбирает Ns матриц преамбул Узла B в соответствии с мощностью приема среди NB матриц преамбул Узла B и генерирует матрицу преамбул множества сот xS.
Фиг.18 является подробной блок-схемой алгоритма, показывающего этап 1703 генерации матрицы преамбул Узла B, показанный на фиг.17. На фиг.18 на этапе 1803 приемник генерирует сигнал временной области посредством выполнения IFFT-обработки известного сигнала преамбул для передающей антенны #0 и затем генерирует (L-1) сигналов временной области посредством циклического сдвига от одного до (L-1) раз. На этапе 1805 приемник генерирует матрицу преамбул для Узла B#0 посредством объединения с (L-1) циклически сдвинутыми сигналами. Аналогично, матрицы преамбул генерируются для других Узлов B.
Теперь работа средства оценки каналов множества сот в соответствии с настоящим изобретением будет оценена в последующих графических представлениях.
Фиг.19 является графиком, показывающим сравнение производительностей между SCMLE (СОМПЕС; средство оценки максимального правдоподобия единственной соты) и MCMLE (СОМПМС; средство оценки максимального правдоподобия множества сот) в соответствии с итоговым количеством обслуживающего Узла B и соседних Узлов B. SCMLE представляет средство оценки максимального правдоподобия одной соты, которое обычно используется, а MCMLE представляет средство оценки максимального правдоподобия множества сот. Производительность MCMLE в соответствии с настоящим изобретением оценивается в системе, использующей 128 поднесущих, когда число Узлов B изменяется от 1 до 2 и 4.
Как указано на фиг.19, когда преамбулы генерируются в процедурах, описанных со ссылкой на фиг.3 и 4, т.е., когда используются ортогональные преамбулы, SCMLE и MCMLE выполняются одинаково. При условии неортогональных преамбул наблюдается ухудшение производительности, по мере увеличения числа Узлов B. Для обычного SCMLE сильная межсотовая помеха значительно увеличивает MSE (СКО) (среднеквадратичная ошибка), тогда как MCMLE имеет одну и ту же производительность, несмотря на увеличение межсотовой помехи. Однако другая тенденция будет проявляться, если NB меньше, чем NS.
Фиг.20 является графиком, показывающим другое сравнение производительностей между SCMLE и MCMLE в соответствии с итоговым числом обслуживающих Узлов B и соседних Узлов B. На фиг.20 число снабжающих Узлов B равно 4, что меньше, чем для числа обслуживающего Узла B и соседних Узлов B, которое равно 6. Четыре из шести преамбул являются ортогональными, а другие две преамбулы являются неортогональными, что и вызывает помеху. Как показано на фиг.20, SCMLE значительно страдает от помехи, хотя MCMLE превосходит SCMLE.
В соответствии с настоящим изобретением, как описано выше, использование способа оценки множества сот, который исключает межсотовую помеху, способен дать более точную канальную оценку и увеличивает производительность демодуляции данных, как и в системе связи OFDM.
Хотя настоящее изобретение показано и описано со ссылкой на некоторые его предпочтительные варианты осуществления, специалисту в области техники будет понятно, что различные изменения в форме и деталях могут быть сделаны здесь без отхода от сущности и объема изобретения, как определено приложенной формулой.
Формула изобретения
1. Устройство для канальной оценки с помощью сигналов преамбул, принятых от обслуживающего Узла В и соседних Узлов В, в пользовательском оборудовании (UE) в широкодиапазонной системе беспроводной связи, в которой каждый из Узлов В передает сигнал через N( 1) антенн, и UE принимает сигнал через М( 1) антенн, содержащее:
блок вычисления количества Узлов В для вычисления максимального числа NS канально-оцениваемых Узлов В с использованием длины преамбулы, количества антенн в каждом из Узлов В и числа путей многолучевого распространения;
генератор матриц преамбул множества сот для генерирования матриц xS преамбул множества сот посредством генерирования матрицы преамбул Узлов В для каждого из обслуживающего Узла В и соседних Узлов В и выбора NS матриц преамбул Узлов В в соответствии с мощностью приема из числа сгенерированных матриц преамбул Узлов В; и
средство канальной оценки для генерирования матрицы у принятых сигналов посредством объединения М сигналов, принятых через М антенн за период приема преамбул, генерирования псевдо-инверсии матрицы xS преамбул множества сот, и вычисления канальной оценки временной области посредством умножения матрицы у принятых сигналов на псевдоинверсию матрицы xS преамбул множества сот.
2. Устройство по п.1, в котором максимальное число канально-оцениваемых Узлов В, NS, вычисляется по формуле
,
где А является длиной преамбулы, L является числом путей многолучевого распространения, и N является количеством антенн в каждом из Узлов В.
3. Устройство по п.1, в котором максимальное число канально-оцениваемых Узлов В, NS, вычисляется по формуле
,
где А является длиной преамбулы, L является количеством путей многолучевого распространения, N является количеством антенн в каждом из Узлов В, и NB является количеством Узлов, в числе которых обслуживающий Узел В и соседние Узлы В.
4. Устройство по п.1, в котором количество путей многолучевого распространения, L, равно числу отсчетов циклического префикса (СР).
5. Устройство по п.1, в котором длина преамбулы равна числу отсчетов символов мультиплексирования с ортогональным частотным разделением (OFDM).
6. Устройство по п.1, в котором средство канальной оценки также вычисляет канальную оценку частоты области посредством выполнения FFT-обработки канальной оценки временной области.
7. Устройство по п.1, в котором псевдо-инверсией матрицы xS преамбул множества сот является .
8. Устройство по п.1, в котором генератор матриц преамбул множества сот содержит:
множество генераторов матриц преамбул Узлов В для генерирования матриц преамбул Узлов В для обслуживающего Узла В и соседних Узлов В с использованием известной информации преамбул обслуживающего Узла В и соседних Узлов В с учетом многолучевого распространения; и
генератор матриц снабжающих Узлов В для генерирования матрицы xS преамбул множества сот посредством выбора NS матриц преамбул Узлов В в соответствии с мощностью приема среди сгенерированных матриц преамбул Узлов В.
9. Устройство по п.8, в котором каждый генератор матриц преамбул Узлов В содержит:
блок инверсного быстрого преобразования Фурье (IFFT) для генерирования сигналов временной области посредством выполнения IFFT-обработки сигналов известных преамбул, ассоциативно связанных с антеннами Узла В;
блок циклического сдвига для циклического сдвига каждого выданного из блока IFFT сигнала в диапазоне от одного до (числа путей многолучевого распространения -1) раз;
блок генерирования матриц преамбул антенн для генерирования матриц преамбул антенн посредством объединения выданных из блока IFFT сигналов с выданными из блока циклического сдвига сигналами в соответствии с соответствующими передающими антеннами; и
средство объединения матриц преамбул антенн для генерирования матрицы преамбул Узлов В посредством объединения матриц преамбул антенн.
10. Устройство по п.8, в котором каждый генератор матриц преамбул Узлов В содержит:
блок циклического сдвига для считывания данных отсчетов преамбул, ассоциативно связанных с антеннами Узла В, из памяти и циклического сдвига каждых данных отсчетов преамбул в диапазоне от одного до (числа путей многолучевого распространения -1) раз;
блок генерации матриц преамбул антенн для генерирования матриц преамбул антенн посредством объединения данных отсчетов преамбул с выданными блоком циклического сдвига сигналами в соответствии с соответствующими передающими антеннами; и
средство объединения матриц преамбул антенн для генерирования матрицы преамбул Узлов В посредством объединения матриц преамбул антенн.
11. Способ канальной оценки с использованием сигналов преамбул, принятых от обслуживающего Узла В и соседних Узлов В, в пользовательском оборудовании (UE) в широкодиапазонной системе беспроводной связи, в которой каждый из Узлов В передает сигнал через N( 1) антенн, и UE принимает сигнал через М( 1) антенн, содержащий этапы, на которых:
вычисляют максимальное число NS канально-оцениваемых Узлов В, используя длину преамбул, количество антенн в каждом Узле В и количество путей многолучевого распространения;
выбирают NS Узлов В в соответствии с мощностью приема от обслуживающего Узла В и соседних Узлов В;
генерируют матрицы преамбул Узлов В для соответствующих выбранных NS Узлов В;
генерируют матрицу xS преамбул множества сот посредством объединения NS матриц преамбул Узлов В;
генерируют матрицу у принятых сигналов посредством объединения М сигналов, принятых через М антенн за период принятия преамбул;
вычисляют псевдо-инверсию матрицы xS преамбул множества сот; и
вычисляют канальные оценки временной области посредством умножения матрицы у принятых сигналов на псевдо-инверсию матрицы xS преамбул множества сот.
12. Способ по п.11, в котором максимальное число канально-оцениваемых Узлов В, NS, вычисляется по формуле
,
где А является длиной преамбулы, L является количеством путей многолучевого распространения, и N является количеством антенн в каждом Узле В.
13. Способ по п.11, в котором максимальное число канально-оцениваемых Узлов В, NS, вычисляется по формуле
,
где А является длиной преамбулы, L является количеством путей многолучевого распространения, N является количеством антенн в каждом из Узлов В, и NB является количеством Узлов, в которое входит обслуживающий Узел В и соседние Узлы В.
14. Способ по п.11, в котором количество путей многолучевого распространения, L, равно числу отсчетов циклического префикса (СР).
15. Способ по п.11, в котором длина преамбул равна числу отсчетов символов мультиплексирования с ортогональным частотным разделением (OFDM).
16. Способ по п.11, дополнительно содержащий этап, на котором: вычисляют канальные оценки частотной области посредством выполнения FFT-обработки канальных оценок временной области .
17. Способ по п.16, в котором псевдо-инверсией матрицы xS преамбул множества сот является
.
18. Способ по п.11, в котором этап генерации матрицы преамбул множества сот содержит этапы, на которых:
выбирают NS Узлов В в соответствии с мощностью приема от обслуживающего Узла и соседних Узлов В;
генерируют матрицы преамбул Узлов В для NS Узлов В, используя известную информацию преамбул NS Узлов В, использующих многолучевое распространение; и
генерируют матрицу xS преамбул множества сот посредством объединения NS матриц преамбул Узлов В.
19. Способ по п.18, в котором этап генерации матрицы преамбул Узлов В содержит этапы, на которых:
генерируют сигналы временной области посредством выполнения IFFT-обработки сигналов известных преамбул, ассоциативно связанных с антеннами каждого из NS Узлов В;
генерируют сигналы многолучевого распространения посредством циклического сдвига каждого из NS xN сигналов временной области в диапазоне от одного до (числа путей многолучевого распространения -1) раз;
генерируют матрицы преамбул антенн посредством объединения NS xN сигналов временной области с сигналами многолучевого распространения в соответствии с соответствующими передающими антеннами; и
генерируют матрицы преамбул NS Узлов В посредством объединения матриц преамбул антенн в соответствии с соответствующими Узлами В.
20. Способ по п.18, в котором этап генерирования матрицы преамбул Узлов В содержит этап, на котором:
считывают данные NS xN отсчетов преамбул, ассоциативно связанные с NS Узлами В, из памяти;
генерируют данные отсчетов многолучевого распространения посредством циклического сдвига каждых данных отсчетов преамбул в диапазоне от одного до (числа путей многолучевого распространения -1) раз;
генерируют матрицы преамбул антенн посредством объединения данных отсчетов преамбул с данными отсчетов многолучевого распространения в соответствии с соответствующими передающими антеннами; и
генерируют матрицы преамбул NS Узлов В посредством объединения матриц преамбул антенн в соответствии с соответствующими Узлами В.
РИСУНКИ
|