Патент на изобретение №2334755
|
||||||||||||||||||||||||||||||||||||||||||||||||||||||||||||||||||||||||||||||||||||||||||||||||||||||||||||||||||||||||||||||||||||||||||||||||||||||||||||||||||||||||||||||||||||||||||||||||||||||||||||||||||||||||||||||||||||||||||||||||||||||||||||||||||||
(54) ЗАМЕЩЕННЫЕ В ПОЛОЖЕНИИ 4″-АВЕРМЕКТИНЫ, ОБЛАДАЮЩИЕ ИНСЕКТИЦИДНЫМИ И АКАРИЦИДНЫМИ СВОЙСТВАМИ
(57) Реферат:
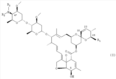
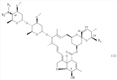
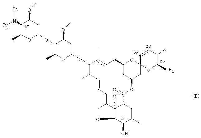
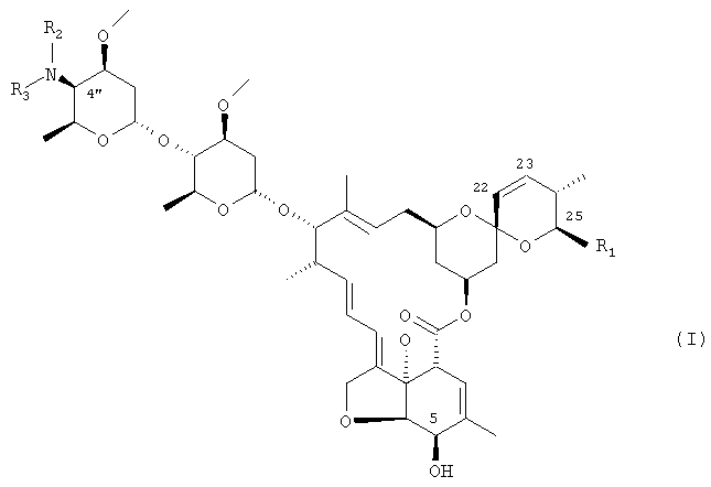
Описываются замещенные производные авермектина формулы (I) в виде смеси двух индивидуальных соединений, в которой R1 обозначает втор-бутил (В1а) и изопропил (B1b), R2 и R3 принимают одинаковые значения, указанные в формуле, причем соотношение указанных соединений в смеси составляет 9:1 (B1a:B1b). Соединения обладают инсектицидными и акарицидными свойствами. 1 з.п. ф-лы, 3 табл.
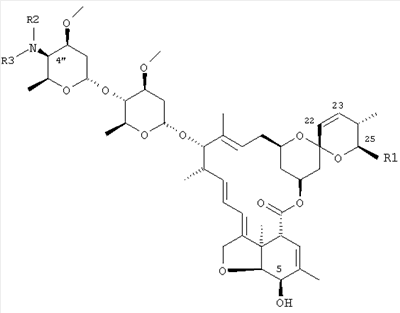
Настоящее изобретение относится (1) к соединению формулы I в которой R1 обозначает С1-С12алкил, С3-С8циклоалкил или С1-С12алкенил, R2 обозначает Н, незамещенный либо моно-пентазамещенный С1-С12алкил или незамещенный либо моно-пентазамещенный С2-С12алкенил, R3 обозначает С2-С12алкил, моно-пентазамещенный С1-С12алкил, незамещенный либо моно-пентазамещенный С3-C12циклоалкил, незамещенный либо моно-пентазамещенный С1-С6алкокси-С1-С6алкил, незамещенный либо моно-пентазамещенный С2-С12алкенил или незамещенный либо моно-пентазамещенный С2-С12алкинил либо R2 и R3 совместно обозначают трех-семичленный алкиленовый или четырех-семичленный алкениленовый мостик, в котором группа CH2 может быть замещена атомом О, S или группой NR4, при этом заместители указанных алкильных, алкоксиалкильных, алкенильных, алкинильных, алкиленовых, алкениленовых и циклоалкильных радикалов выбраны из группы, включающей ОН, галоген, гало-С1-С2алкил, CN, SCN, NO2, С2-С6алкинил, С3-С8циклоалкил, который является незамещенным или замещен одной-тремя метильными группами, норборниленил, С3-С8циклоалкенил, который является незамещенным или замещен одной-тремя метильными группами, С3-С8галоциклоалкил, С1-С12алкоксигруппу, С3-С8циклоалкоксигруппу, С1-С12алкилтиогруппу, С3-С8циклоалкилтиогруппу, С1-С12галоалкилтиогруппу, С1-С12алкилсульфинил, С3-С8циклоалкилсульфинил, С1-С12галоалкилсульфинил, С3-С8галоциклоалкилсульфинил, С1-С12алкилсульфонил, С3-С8циклоалкилсульфонил, С1-С12галоалкилсульфонил, С3-С8галоциклоалкилсульфонил, С2-С8алкенил, С2-С8алкинил, -N(R8)2, где два R8 имеют независимые друг от друга значения, -C(=O)R5, -O-С(=О)R6, -NHC(=O)R5, -S-C(=S)R6, -P(-О)(ОС1-С6алкил)2, -S(=O)2R9, -NH-S(=O)2R9, -ОС(=O)-С1-С6алкил-S(=O)2R9, арил, бензил, гетероциклил, арилоксигруппу, бензилоксигруппу, гетероциклилоксигруппу, арилтиогруппу, бензилтиогруппу, гетероциклилтиогруппу, а также включающей арил, гетероциклил, арилоксигруппу, бензилоксигруппу, гетероциклилоксигруппу, арилтиогруппу, бензилтиогруппу и гетероциклилтиогруппу, которые в зависимости от возможностей замещения в кольце моно-пентазамещены заместителями, выбранными из группы, включающей ОН, галоген, CN, NO2, С1-С12алкил, С3-С8циклоалкил, С1-С12галоалкил, С1-С12алкоксигруппу, С1-С12галоалкоксигруппу, С1-С12алкилтиогруппу, С1-С12галоалкилтиогруппу, С1-С6алкокси-С1-С6алкил, диметиламино-С1-С6алкоксигруппу, С3-С8алкенил, С2-С8алкинил, феноксигруппу, фенил-C1-С6алкил, метилендиоксигруппу, -C(=O)R5, -O-С(=O)-R6, -NH-C(=O)R6, -N(R8)2, где два R8 имеют независимые друг от друга значения, C1-С6алкилсульфинил, С3-С8циклоалкилсульфинил, C1-С6галоалкилсульфинил, С3-С8галоциклоалкилсульфинил, C1-С6алкилсульфонил, С3-С8циклоалкилсульфонил, C1-С6галоалкилсульфонил и С1-С8галоциклоалкилсульфонил, R4 обозначает Н, С1-С8алкил, гидрокси-С1-С8алкил, С3-С7циклоалкил, С2-С8алкенил, С2-С8алкинил, фенил, бензил, -C(=O)R5 или -CH2-C(=O)-R5, R5 обозначает Н, ОН, SH, -N(R8)2, где два R8 имеют независимые друг от друга значения, С1-С24алкил, С2-С12алкенил, C1-С8гидроксиалкил, С1-С12галоалкил, С1-С12алкоксигруппу, С1-С12галоалкоксигруппу, С1-С6алкокси-С1-С6алкил, С1-С6алкокси-С1-С6алкоксигруппу, С1-С6алкокси-С1-С6алкокси-С1-С6алкил, С1-С12алкилтиогруппу, C2-C8алкенилоксигруппу, С2-С8алкинилоксигруппу, NH-С1-С6алкил-С(=O)R7, -N(С1-С6алкил)-С1-С6алкил-С(=O)-R7, -O-С1-С12алкил-С(=O)R7, -С1-С6алкил-S(=O)2R9, арил, бензил, гетероциклил, арилоксигруппу, бензилоксигруппу или гетероциклилоксигруппу либо арил, бензил, гетероциклил, арилоксигруппу, бензилоксигруппу или гетероциклилоксигруппу, которые являются незамещенными или моно-тризамещены в кольце независимо друг от друга галогеном, нитрогруппой, C1-С6алкилом, C1-С6алкоксигруппой, C1-С6галоалкилом или С1-С6галоалкоксигруппой, R6 обозначает Н, С1-С24алкил, С1-С12галоалкил, С1-С12гидроксиалкил, С2-С8алкенил, С2-С8алкинил, С1-С6алкокси-С1-С6алкил, (NR8)2, где два R8 имеют независимые друг от друга значения, -С1-С6алкил-С(=O)R8, -С1-С6алкил-S(=O)2R9, арил, бензил или гетероциклил либо арил, бензил или гетероциклил, которые в зависимости от возможностей замещения в кольце моно-тризамещены заместителями, выбранными из группы, включающей ОН, галоген, CN, NO2, С1-С12алкил, С1-С12галоалкил, С1-С12алкоксигруппу, С1-С12галоалкоксигруппу, С1-С12алкилтиогруппу и С1-C12галоалкилтиогруппу, R7 обозначает Н, ОН, С1-С24алкил, который необязательно замещен группой ОН или -S(=O)2-С1-С6алкилом, С1-С12алкенил, С1-С12алкинил, С1-С12алкоксигруппу, С1-С6алкокси-С1-С6алкил, С1-С6алкокси-С1-C6алкоксигруппу, С2-С8алкенилоксигруппу, арил, арилоксигруппу, бензилоксигруппу, гетероциклил, гетероциклилоксигруппу или -N(R8)2, где два R8 имеют независимые друг от друга значения, R8 обозначает Н, С1-С6алкил, который необязательно замещен одним-пятью заместителями, выбранными из группы, включающей галоген, C1-С6алкоксигруппу, гидроксигруппу и цианогруппу, С1-С8циклоалкил, арил, бензил или гетероарил либо арил, бензил или гетероарил, которые в зависимости от возможностей замещения в кольце моно-тризамещены заместителями, выбранными из группы, включающей ОН, галоген, CN, NO2, С1-С12алкил, С1-С12галоалкил, С1-С12алкоксигруппу, С1-С12галоалкоксигруппу, С1-С12алкилтиогруппу и С1-С12галоалкилтиогруппу, R9 обозначает Н, С1-С6алкил, который необязательно замещен одним-пятью заместителями, выбранными из группы, включающей галоген, C1-С6алкоксигруппу, гидроксигруппу и цианогруппу, арил, бензил или гетероарил либо арил, бензил или гетероарил, которые в зависимости от возможностей замещения в кольце моно-тризамещены заместителями, выбранными из группы, включающей ОН, галоген, CN, NO2, С1-С12алкил, С1-С12галоалкил, С1-С12алкоксигруппу, С1-С12галоалкоксигруппу, С1-С12алкилтиогруппу и С1-С12галоалкилтиогруппу, при условии, что R1 не обозначает втор-бутил или изопропил, если R2 обозначает H, а R3 обозначает 2-гидроксиэтил, изопропил, н-октил или бензил, или, когда это возможно, к его E/Z-изомеру, смеси E/Z-изомеров и/или таутомеру, к способу получения таких соединений и их изомеров и таутомеров и к применению этих соединений, а также к пестицидным композициям, действующее вещество которых выбрано из таких соединений и их таутомеров, и к способу борьбы с вредителями и паразитами с использованием этих композиций. Из литературы известны некоторые макролиды, которые были предложены для борьбы с вредителями и паразитами. Однако такие известные соединения не в полной мере удовлетворяют по их биологическим свойствам всем необходимым требованием, и поэтому в данной области продолжает сохраняться необходимость в других соединениях, обладающих пестицидными свойствами, в частности для борьбы с насекомыми и представителями отряда клещей (Acarina). Предлагаемые в изобретении соединения формулы (I) позволяют решить эту задачу. Предлагаемые в изобретении соединения являются производными авермектинов. Авермектины представляют собой известные в данной области соединения. Они образуют группу структурно близко родственных пестицидно активных соединений, получаемых ферментацией в присутствии штамма микроорганизма Streptomyces avermitilis. Производные авермектинов можно получать традиционными методами химического синтеза. Авермектины, которые можно получать ферментацией в присутствии микроорганизма Streptomyces avermitilis, обозначаются как A1a, A1b, A2a, A2b, B1a, B1b, B2a и В2b. Соединения, в обозначении которых присутствуют буквы “А” и “В”, содержат в 5-м положении метоксигруппу и ОН-группу соответственно. Соединения, в обозначении которых присутствуют буквы “а” и “b”, представляют собой соединения, в которых заместителем R1 (в положении 25) является втор-бутильная и изопропильная группы соответственно. Цифра “1” в названии соединений означает, что атомы в 22-м и 23-м положениях соединены двойными связями, а цифра “2” означает, что указанные атомы соединены одинарными связями и что С-атом в положении 23 несет ОН-группу. В последующем описании настоящего изобретения для обозначения конкретного структурного типа не встречающихся в природе производных авермектина по изобретению, который соответствует встречающемуся в природе авермектину, сохранена подобная номенклатура. В настоящем изобретении предлагаются производные соединений, относящихся к группе авермектинов В1, в частности смеси производных авермектина В1а и авермектина B1b. Некоторые из соединений формулы (I) могут существовать в виде таутомеров. В соответствии с этим выше и в последующем описании под соединениями формулы (I) подразумеваются также, когда это возможно, их соответствующие таутомеры, даже если они и не упоминаются конкретно в каждом случае. Общие термины, используемые выше и в последующем описании, имеют, если не указано иное, приведенные ниже значения. Если не указано иное, углеродсодержащие группы и соединения в каждом случае содержат от 1 до 6 включительно, предпочтительно от 1 до 4 включительно, более предпочтительно 1 или 2 атома углерода. Галоген индивидуально и в качестве структурного элемента других групп и соединений, таких как галоалкил, галоалкоксигруппа и галоалкилтиогруппа, представляет собой фтор, хлор, бром или иод, прежде всего фтор, хлор или бром, преимущественно фтор или хлор. Алкил индивидуально и в качестве структурного элемента других групп и соединений, таких как галоалкил, алкоксигруппа и алкилтиогруппа, является в каждом случае с учетом количества атомов углерода в конкретной группе или конкретном соединении либо прямоцепочечным, например представляет собой метил, этил, пропил, бутил, пентил, гексил, гептил или октил, либо разветвленным, например представляет собой изопропил, изобутил, втор-бутил, трет-бутил, изопентил, неопентил или изогексил. Циклоалкил индивидуально и в качестве структурного элемента других групп и соединений, таких как галоциклоалкил, циклоалкоксигруппа и циклоалкилтиогруппа, представляет собой в каждом случае с учетом количества атомов углерода в конкретной группе или конкретном соединении циклопропил, циклобутил, циклопентил, циклогексил, циклогептил или циклооктил. Алкенил индивидуально и в качестве структурного элемента других групп и соединений является в каждом случае с учетом количества атомов углерода и сопряженных или изолированных двойных связей в конкретной группе или конкретном соединении либо прямоцепочечным, например представляет собой аллил, 2-бутенил, 3-пентенил, 1-гексенил, 1-гептенил, 1,3-гексадиенил или 1,3-октадиенил, либо разветвленным, например представляет собой изопропенил, изобутенил, изопренил, трет-пентенил, изогексенил, изогептенил или изооктенил. Предпочтительны алкенильные группы, содержащие от 3 до 12, в частности от 3 до 6, прежде всего 3 или 4 атома углерода. Алкинил индивидуально и в качестве структурного элемента других групп и соединений является в каждом случае с учетом количества атомов углерода и сопряженных или изолированных двойных связей в конкретной группе или конкретном соединении либо прямоцепочечным, например представляет собой этинил, пропаргил, 2-бутинил, 3-пентинил, 1-гексинил, 1-гептинил, 3-гексен-1-инил или 1,5-гептадиен-3-инил, либо разветвленным, например представляет собой 3-метилбут-1-инил, 4-этилпент-1-инил, 4-метилгекс-2-инил или 2-метилгепт-3-инил. Предпочтительны алкинильные группы, содержащие от 3 до 12, в частности от 3 до 6, прежде всего 3 или 4 атома углерода. Алкилен и алкенилен являются мостиковыми членами с прямой или разветвленной цепью и прежде всего представляют собой -СН2-СН2-СН2-, -СН2-СН2-СН2-СН2-, -СН2-СН2-СН2-СН2-СН2-, -СН2(СН3)СН2-СН2-, -СН2С(СН3)2-СН2-, -СН2-СН=СН-СН2 или -СН2-СН=СН-СН2-СН2-. Галозамещенные углеродсодержащие группы и соединения, такие, например, как галозамещенные алкил, алкенил, алкинил, циклоалкил, алкоксигруппа или алкилтиогруппа, могут быть частично галогенированными или пергалогенированными, при этом галогеновые заместители в случае полигалогенирования могут быть идентичными или различными. В качестве примеров галоалкила индивидуально и в качестве структурного элемента других групп и соединений, таких как галоалкоксигруппа или галоалкилтиогруппа, можно назвать метил, который в качестве заместителей содержит от одного до трех атомов фтора, хлора и/или брома, например CHF2 или CF3, этил, который в качестве заместителей содержит от одного до пяти атомов фтора, хлора и/или брома, например СН2CF3, CF2CF3, CF2CCl3, CF2CHCl2, CF2CHF2, CF2CFCl2, CF2CHBr2, CF2CHClF, CF2CHBrF или CClFCHClF, пропил либо изопропил, каждый из которых в качестве заместителей содержит от одного до семи атомов фтора, хлора и/или брома, например СН2CHBrCH2Br, CF2CHFCF3, СН2CF2CF3 или СН(CF3)2, бутил либо один из его изомеров, каждый из которых в качестве заместителей содержит от одного до девяти атомов фтора, хлора и/или брома, например CF(CF3)CHFCF3 или СН2(CF2)2CF3, пентил либо один из его изомеров, каждый из которых в качестве заместителей содержит от одного до одиннадцати атомов фтора, хлора и/или брома, например CF(CF3)(CHF)2CF3 или СН2(CF2)3CF3, и гексил либо один из его изомеров, каждый из которых в качестве заместителей содержит от одного до тринадцати атомов фтора, хлора и/или брома, например (СН2)4CHBrCH2Br, CF2(CHF)4CF3, СН2(CF2)4CF3 или С(CF3)2(CHF)2CF3. Арил представляет собой, в частности, фенил, нафтил, антраценил, фенантренил, периленил или флуоренил, предпочтительно фенил. Под гетероциклилом подразумевается трех-семичленное моноциклическое кольцо, которое может быть насыщенным или ненасыщенным и которое содержит от одного до трех гетероатомов, выбранных из группы, включающей N, О и S, прежде всего N и S, либо бициклическая система с 8-14 кольцевыми атомами, которая может быть насыщенной или ненасыщенной и которая может содержать только в одном кольце или в обоих кольцах независимо одно от другого один или два гетероатома, выбранных из N, О и S. Гетероциклил представляет собой, в частности, пиперидинил, пиперазинил, оксиранил, морфолинил, тиоморфолинил, пиридил, N-оксидопиридиниогруппу, пиримидил, пиразинил, s-триазинил, 1,2,4-триазинил, тиенил, фуранил, дигидрофуранил, тетрагидрофуранил, пиранил, тетрагидропиранил, пирролил, пирролинил, пирролидинил, пиразолил, имидазолил, имидазолинил, тиазолил, изотиазолил, триазолил, оксазолил, тиадиазолил, тиазолинил, тиазолидинил, оксадиазолил, фталимидоил, бензотиенил, хинолинил, хиноксалинил, бензофуранил, бензимидазолил, бензпирролил, бензтиазолил, индолинил, изоиндолинил, кумаринил, индазолил, бензотиофенил, бензофуранил, птеридинил или пуринил, которые предпочтительно присоединены через С-атом, предпочтительны при этом тиенил, бензофуранил, бензотиазолил, тетрагидропиранил или индолил, в частности пиридил или тиазолил. Указанные гетероциклильные остатки предпочтительно являются незамещенными либо в зависимости от возможностей замещения кольцевой системы замещены 1-3 заместителями, выбранными из группы, включающей галоген, =O, -ОН, =S, SH, нитрогруппу, C1-С6алкил, C1-С6гидроксиалкил, C1-С6алкоксигруппу, C1-С6галоалкил, C1-С6галоалкоксигруппу, фенил, бензил, -С(=O)-R6 и -СН2-С(=O)-R6. Предпочтительными согласно настоящему изобретению соединениями являются следующие: (2) соединения формулы (I) согласно п.(1), в которых R1 обозначает изопропил или втор-бутил, предпочтительно соединения, в которых присутствует смесь изопропильного и втор-бутильного производных; (3) соединения формулы (I) согласно п.(2), в которых R2 обозначает Н; (4) соединения формулы (I) согласно п.(2), в которых R2 обозначает С1-C8алкил, в частности метил; (5) соединения формулы (I) согласно п.(2), в которых R2 обозначает этил; (6) соединения формулы (I) согласно п.(2), в которых R2 обозначает н-пропил; (7) соединения формулы (I) согласно любому из пп.(1)-(6), в которых R3 обозначает незамещенный или замещенный, в частности незамещенный, С2-С5алкил; (8) соединения формулы (I) согласно любому из пп.(1)-(7), в которых R3 обозначает этил; (9) соединения формулы (I) согласно любому из пп.(1)-(7), в которых R3 обозначает н-пропил; (10) соединения формулы (I) согласно любому из пп.(2)-(7), в которых R3 обозначает изопропил; (11) соединения формулы (I) согласно любому из пп.(1)-(7), в которых R3 обозначает н-бутил, втор-бутип, изобутил или трет-бутил; (12) соединения формулы (I) согласно любому из пп.(1)-(6), в которых R3 обозначает незамещенный или замещенный, в частности незамещенный, С6-С12алкил; (13) соединения формулы (I) согласно п.(1) или (2), в которых R2 и R3 совместно обозначают -СН2-СН2-СН2– или -СН2-СН2-СН2-СН2-; (14) соединения формулы (I) согласно п.(1) или (2), в которых R2 и R3 совместно обозначают -СН2-СН2-O-СН2-СН2– или -СН2-СН2-N(СН3)-СН2-СН2-; (15) соединения формулы (I) согласно любому из пп.(1)-(6), в которых R3 обозначает замещенный С1-С4алкил, заместители которого выбраны из группы, включающей ОН, галоген, С3-С8циклоалкил, С3-С8циклоалкенил, который является незамещенным или замещен одной-тремя метильными группами, С1-С12алкоксигруппу, С2-С8алкинил, -C(=O)R5, -NHC(=O)R6 и -Р(=O)(ОС1-С6алкил)2, а также включающей фенил, нафтил, антраценил, фенантренил, флуоренил, периленил и гетероциклил, которые являются незамещенными или в зависимости от возможностей замещения в кольце являются моно-пентазамещенными, и, в частности, соединения, в которых заместители радикала R3 выбраны из группы, включающей галоген, С3-С8циклоалкил, С2-С8алкинил, -C(=O)R5, -NHC(=O)R6 и -Р(=O)(ОС1-С6алкил)2, а также фенил, нафтил, антраценил, пиридил, тиазолил, имидазолил, фуранил, хинолинил и пиразолил, которые являются незамещенными или в зависимости от возможностей замещения в кольце являются моно-тризамещенными; (16) соединения формулы (I) согласно любому из пп.(1)-(6), в которых R3 обозначает бензил, который несет на ароматическом фрагменте от одного до трех заместителей, выбранных из группы, включающей ОН, галоген, CN, NO2, С1-С2алкил, диметиламино-С1-С4алкоксигруппу, С3-С6циклоалкил, С1-С2галоалкил, С1-С2алкоксигруппу, С1-С2галоалкоксигруппу, феноксигруппу, фенил-С1-С6алкил, фенил-С1-С4алкенил, незамещенную или замещенную хлором либо метоксигруппой феноксигруппу, незамещенную или замещенную хлором, метоксигруппой либо трихлорметилом бензилоксигруппу, метилендиоксигруппу, -C(=O)R5, -O-С(=O)R6 и NHC(=O)R6, R5 обозначает Н, ОН, NH2, NH(С1-С2алкил), N(С1-С2алкил)2, -O-С1-С2алкил-С(=O)-R7, -NHC1-С2алкил-С(=O)-R7, C1-С6алкил, С1-С2алкоксигруппу, С1-С2алкокси-С1-С2алкоксигруппу, С2-С4алкенилоксигруппу, С2-С4алкинилоксигруппу, фенил, феноксигруппу, бензилоксигруппу, NH-фенил или NH-C1-C6 алкил-C(=O)-R7 либо фенил, феноксигруппу, бензилоксигруппу или NH-фенил, которые замещены галогеном, нитрогруппой, метоксигруппой, трифторметилом или трифторметоксигруппой, R6 обозначает Н, C1-С6алкил, фенил или бензил и R7 обозначает Н, ОН, NH2, NH(C1-C12алкил), N(С1-С12алкил)2, С1-С12алкил, С1-С12алкоксигруппу, С1-С6алкокси-С1-С6алкоксигруппу, С2-С8алкенилоксил, фенил, феноксигруппу, бензилоксигруппу или NH-фенил; (17) соединения формулы (I) согласно любому из пп.(1)-(6), в которых R3 обозначает С1-С4алкил-С(=O)R5, в частности -CH2-C(=O)R5, а R5 обозначает Н, ОН, NH2, NH(С1-С2алкил), N(С1-С2алкил)2, С1-С4алкил, С1-С12алкоксигруппу, С2-С4алкенилоксигруппу, фенил, феноксигруппу, бензилоксигруппу, NH-фенил, NH-C1-C2алкил-C(=O)-O-C1-C2алкилфенил или -Р(=O)(ОС1-C6алкил) либо фенил, феноксигруппу, бензилоксигруппу или NH-фенил, которые замещены хлором, фтором, метоксигруппой, трифторметилом или трифторметоксигруппой, прежде всего соединения, в которых R5 обозначает С1-С12алкоксигруппу; (18) соединения формулы (I) согласно любому из пп.(1)-(6), в которых R3 обозначает С2-С6алкил-NHC(=O)R6, а R6 обозначает Н, С1-С4алкил, С2-С4алкенил, С2-С4алкинил, фенил или бензил; (19) соединения формулы (I) согласно любому из пп.(1)-(6), в которых R3 обозначает -СН2-гетероциклил, прежде всего в которых гетероциклил представляет собой пиридил, фуранил, тетрагидрофуранил, пиранил, тетрагидропиранил, пиразолил, имидазолил, тиазолил, бензотиенил, хинолинил, хиноксалинил, бензофуранил, бензимидазолил, бензопирролил, бензотиазолил, индолил, кумаринил или индазолил, при этом такие остатки являются незамещенными или независимо друг от друга моно- либо дизамещены галогеном, трифторметилом, трифторметоксигруппой или нитрогруппой, особо предпочтительно представляет собой пиридил, фуранил, пиразолил, имидазолил, тиазолил, бензимидазолил, бензопирролил, бензотиазолил или индолил, которые являются незамещенными или независимо друг от друга моно- либо дизамещены галогеном, трифторметилом, трифторметоксигруппой или нитрогруппой, в частности представляет собой пиридил или тиазолил, которые являются незамещенными или независимо друг от друга моно- либо дизамещены галогеном, трифторметилом, трифторметоксигруппой или нитрогруппой, прежде всего монозамещены хлором; (20) соединения формулы (I) согласно любому из пп.(1)-(6), в которых R3 обозначает С2-С10алкенил, в частности С2-C4алкенил, который является незамещенным или моно- либо дизамещен, в частности монозамещен, С2-С4алкинилом, -С(=O)-С1-С4алкоксигруппой, -С(=O)-С1-С4алкилбензоилом, фенилом или галогеном, в частности соединения, в которых R3 обозначает -СН2-СН=СН2; (21) соединения формулы (I) согласно любому из пп.(1)-(6), в которых R3 обозначает разветвленный незамещенный С4-С10алкил; (22) соединения формулы (I) согласно любому из пп.(1)-(6), в которых R3 обозначает разветвленный замещенный С3-С10алкил; (23) соединения формулы (I) согласно любому из пп.(1)-(6), в которых R3 обозначает незамещенный бензил; (24) соединения формулы (I) согласно любому из пп.(1)-(6), в которых R3 обозначает -CH2-CH2-CN, СН2-СН2-СО-С1-С4алкил, -СН2-СН2-СО-фенил или СН2-СН2-СО-С1-С4алкоксигруппу, прежде всего -CH2-CH2-CN или -СН2-СН2-СО-Сl-С4алкоксигруппу, в частности CH2-CH2-CN; (25) соединения формулы (I) согласно любому из пп.(1)-(6), в которых R3 обозначает-СН2-СН2-СН2-O-СО-С1-С4алкил,-СН2-СН2-СН2-O-СО-арил, СН2-СН2-СН2-СО-С1-С4алкоксигруппу, -СН2-СН2-СО-замещенный-С1-С4алкил, -СН2-СН2-СО-замещенный-арил или -СН2-СН2-СО-замещенную алкоксигруппу, прежде всего -СН2-СН2-СН2-O-СО-алкил или СН2-СН2-СН2-O-СО-арил, в частности -СН2-СН2-СН2-O-СО-С1-С4алкил или -СН2-СН2-СН2-O-СО-фенил, особо предпочтительно -СН2-СН2-СН2-O-СО-метил; (26) соединения формулы (I) согласно любому из пп.(1)-(6), в которых радикал R3 замещен группой -NHC(=O)R5, прежде всего в которых R3 обозначает -(CH2)3-NHC(=O)R5; (27) соединения формулы (I) согласно любому из пп.(1)-(6), в которых радикал R3 замещен группой -S-C(=S)R6, прежде всего в которых R3 обозначает -(СН2)3-S-С(=S)R6; (28) соединения формулы (I) согласно любому из пп.(1)-(6), в которых радикал R3 замещен группой -NH-S(=O)2R9; прежде всего в которых R3 обозначает -(CH2)3-NH-S(=O)2R9; (29) соединения формулы (I) согласно любому из пп.(1)-(6), в которых радикал R3 замещен группой -ОС(=O)-С1-С6алкил-S(=O)2R9, прежде всего в которых R3 обозначает -(СН2)3-ОС(=O)-С1-С6алкил-S(=O)2R9; (30) соединения формулы (I) согласно любому из пп.(1)-(6), в которых R3 обозначает монозамещенный C1-С6алкокси-С1-С6алкил. (31) Согласно настоящему изобретению особо предпочтительны соединения формулы (I), указанные ниже в таблицах, а также, когда это возможно, их E/Z-изомеры и смеси E/Z-изомеров и, в частности, следующие соединения: 4”-дезокси-4”-эпи-N-этиламиноавермектин В1, 4”-дезокси-4”-эпи-N-проп-1-иламиноавермектин В1, 4”-дезокси-4”-эпи-(N-этил-N-метиламино)авермектин В1, 4”-дезокси-4”-эпи-(N-метил-N-проп-1-иламино)авермектин В1, 4”-дезокси-4”-эпи-(N-изопропил-N-метиламино)авермектин В1, 4”-дезокси-4”-эпи-(N-метил-N-1-пропен-3-иламино)авермектин B1, 4”-дезокси-4”-эпи-(N-метил-N-этоксикарбонилметиламино)авермектин В1, 4”-дезокси-4”-эпи-(N-метил-N-бензиламино)авермектин В1, 4”-дезокси-4”-эпи-(N-метил-N-4-дифторметоксифенилметиламино)авермектин B1, 4”-дезокси-4”-эпи-(N-метил-N-2,5-дихлорфениламино)авермектин B1, 4”-дезокси-4”-эпи-(N-метил-N-2,5-дифторфенилметиламино)авермектин В1, 4”-дезокси-4”-эпи-(N-метил-N-2,3,4-трифторфенилметиламино)авермектин B1, 4”-дезокси-4”-эпи-(пирролидин-1-ил)авермектин В1, 4”-дезокси-4”-эпи-(азетидин-1-ил)авермектин В1, 4”-дезокси-4”-эпи-[N-(2-гидрокси-2-метилпропил)-N-метиламино]авермектин В1, 4”-дезокси-4”-эпи-[N-(3-ацетоксипропил)-N-метиламино]авермектин В1, 4”-дезокси-4”-эпи-N-(2-цианоэтиламино)авермектин В1, 4”-дезокси-4”-эпи-N-[(6-хлорпиридин-3-илметил)амино]авермектин В1 и 4”-дезокси-4”-эпи-(N-метил-N-[3-{2-охо-2-фенилэтоксикарбонил}аллил]амино)авермектин В1. Изобретение относится также к способу получения соединений формулы (I) и, когда это возможно, их таутомеров, заключающемуся в том, что (A) для получения соединения формулы (I), в котором R1 имеет указанные выше в п.(1) для формулы (I) значения, R2 обозначает водород, а R3 обозначает группу R31-СН-R32, в которой R31 представляет собой C1-С6алкил, фенил, гетероциклил либо замещенные C1-С6алкил, фенил или гетероциклил, а R32 представляет собой Н или незамещенный либо замещенный С1-С5алкил, соединение формулы (I), в котором R1 имеет указанные выше в п.(1) для формулы (I) значения, а R2 и R3 обозначают водород и которое является известным соединением, которое можно получать известными методами, подвергают в присутствии восстановителя взаимодействию с соединением формулы R31-С(=O)R32, в котором R31 и R32 имеют указанные выше значения, или (Б) для получения соединения формулы (I), в котором R1 и R2 имеют указанные выше в п.(1) для формулы (I) значения и R3 имеет указанные выше в п.(1) для формулы (I) значения, за исключением водорода, соединение формулы (I), в котором R1 и R2 имеют указанные выше в п.(1) для формулы (I) значения, а R3 обозначает водород и которое можно получать известными методами, подвергают взаимодействию с соединением формулы R3-Hal, в которой R3 имеет указанные выше в п.(1) для формулы (I) значения, a Hal обозначает галоген, в частности бром или иод, или (B) для получения соединения формулы (I), в котором R1 и R2 имеют указанные выше в п.(1) для формулы (I) значения, а R3 обозначает замещенный гидроксигруппой -СН3-С1-C11алкил, соединение формулы (I), в котором R1 и R2 имеют указанные выше в п.(1) для формулы (I) значения, R3 обозначает замещенный группой -C(=O)-R5 C1-С11алкил, a R5 обозначает ОН или алкоксигруппу, подвергают взаимодействию с восстановителем, или (Г) для получения соединения формулы (I), в котором R1 и R2 имеют указанные выше в п.(1) для формулы (I) значения, a R3 обозначает замещенный группой СООН С1-С12алкил, соединение формулы (I), в котором R1 и R2 имеют указанные выше в п.(1) для формулы (I) значения, R3 обозначает замещенный группой -C(=O)-R5 С1-С12алкил, a R5 обозначает C1-С6алкоксигруппу или бензилоксигруппу, подвергают взаимодействию с основанием или восстановителем, или (Д) для получения соединения формулы (I), в котором R1 и R3 имеют указанные выше в п.(1) для формулы (I) значения, a R2 обозначает метил, соединение формулы (I), в котором R1 и R3 имеют указанные выше в п.(1) для формулы (I) значения, a R2 обозначает водород, подвергают в присутствии восстановителя взаимодействию с соединением формулы метил-Hal, в которой Hal обозначает галоген, в частности бром или иод, или с формальдегидом, или (Е) для получения соединения формулы (I), в котором R1 и R2 имеют указанные выше в п.(1) для формулы (I) значения, a R3 обозначает замещенный группой -C(=O)N(R10)2 С1-C12алкил, где два R10 независимо друг от друга обозначают Н или незамещенный либо замещенный С1-С12алкил, соединение формулы (I), в котором R1 и R2 имеют указанные выше в п.(1) для формулы (I) значения, R3 обозначает замещенный группой -C(=O)R5 С1-С12алкил, a R5 обозначает ОН, подвергают в присутствии осушителя взаимодействию с соединением формулы NH(R10)2, в которой R10 обозначает Н или незамещенный либо замещенный С1-С12алкил, или (Ж) для получения соединения формулы (I), в котором R1 и R2 имеют указанные выше в п.(1) для формулы (I) значения, a R3 обозначает замещенный гидроксигруппой С4-С12алкил, соединение формулы (I), в котором R1 и R2 имеют указанные выше в п.(1) для формулы (I) значения, R3 обозначает замещенный группой -C(=O)-R5 С1-С5алкил, a R5 обозначает C1-C12алкоксигруппу, подвергают взаимодействию с двумя молями галогенида C1-С3алкилмагния или C1-С3алкиллитиевого реагента, или (З) для получения соединения формулы (I), в котором R1 имеет указанные выше в п.(1) для формулы (I) значения, a R2 и R3 совместно обозначают трех-семичленный алкиленовый или четырех-семичленный алкениленовый мостик, в котором одна группа СН2 может быть заменена на О, S или NR4, где R4 имеет указанные выше в п.(1) для формулы (I) значения, соединение формулы (I), в котором R1 имеет указанные выше в п.(1) для формулы (I) значения, a R2 и R3 обозначают водород, подвергают взаимодействию с соединением формулы Hal-(С3-С7алкилен)-Hal или Hal-(С4-С7алкенилен)-Hal, где Hal обозначает галоген, в частности бром или иод, и где одна группа СН2 может быть заменена на О, S или группу NR4, в которой R4 имеет указанные выше в п.(1) для формулы (I) значения, или (И) для получения соединения формулы (I), в котором R1 имеет указанные выше в п.(1) для формулы (I) значения, a R2 и R3 имеют идентичные значения, указанные выше в п.(1) для формулы (I), соединение формулы (I), в котором R1 имеет указанные выше в п.(1) для формулы (I) значения, a R2 и R3 обозначают водород, подвергают взаимодействию с двумя молями соединения формулы R3-Hal, в которой R3 имеет указанные выше для формулы (I) значения, a Hal обозначает галоген, в частности бром или иод, или (К) для получения соединения формулы (I), в котором R2 и R3 имеют идентичные значения и обозначают незамещенный либо моно-пентазамещенный -СН2-С1-С11алкил, незамещенный либо моно-пентазамещенный -СН2-С1-С11алкенил или незамещенный либо моно-пентазамещенный -СН2-С1-С11алкинил, соединение формулы (I), в котором R1 имеет указанные выше в п.(1) для формулы (I) значения, a R2 и R3 обозначают водород, подвергают в присутствии восстановителя взаимодействию с двумя молями соединения формулы R31-СНО, в которой R31 обозначает незамещенный либо моно-пентазамещенный C1-С11алкил, незамещенный либо моно-пентазамещенный C1-С11алкенил или незамещенный либо моно-пентазамещенный C1-С11алкинил. Приведенные выше пояснения в отношении таутомеров соединений формулы (I) равным образом относятся и к таутомерам исходных соединений, упомянутых выше и ниже в настоящем описании. Описанные выше и рассмотренные ниже реакции проводят по методам, которые известны как таковые, например в отсутствие или, как правило, в присутствии приемлемого растворителя или разбавителя либо их смеси, при этом реакции проводят по мере необходимости при охлаждении, при комнатной температуре или при нагревании, например в интервале температур от примерно -80°С до температуры кипения реакционной смеси, предпочтительно от примерно 0°С до примерно +150°С, а также при необходимости в закрытом сосуде, под давлением, в атмосфере инертного газа и/или в безводных условиях. Особо предпочтительные реакционные условия рассмотрены в приведенных ниже примерах. Продолжительность реакции не имеет существенного значения и преимущественно составляет от примерно 0,1 до примерно 24 ч, прежде всего от примерно 0,5 до примерно 10 ч. Целевой продукт выделяют традиционными методами, например фильтрацией, кристаллизацией, перегонкой или хроматографией либо несколькими такими методами в любом их приемлемом сочетании. Исходные соединения, упомянутые выше и в последующем описании и используемые для получения соединений формулы (I) и, когда это возможно, их таутомеров, являются известными соединениями или их можно получать известными методами, например методами, рассмотренными ниже. Вариант (А) В качестве примеров растворителей и разбавителей для проведения реакций в соответствии с этим вариантом можно назвать ароматические, алифатические и алициклические углеводороды и галогенированные углеводороды, такие как бензол, толуол, ксилол, мезитилен, тетралин, хлорбензол, дихлорбензол, бромбензол, петролейный эфир, гексан, циклогексан, дихлорметан, трихлорметан, тетрахлорметан, дихлорэтан, трихлорэтен или тетрахлорэтен, простые эфиры, такие как диэтиловый эфир, дипропиловый эфир, диизопропиловый эфир, дибутиловый эфир, трет-бутилметиловый эфир, монометиловый эфир этиленгликоля, моноэтиловый эфир этиленгликоля, диметиловый эфир этиленгликоля, диметоксидиэтиловый эфир, тетрагидрофуран или диоксан, спирты, такие как метанол, этанол, пропанол, изопропанол, бутанол, этиленгликоль или глицерин, карбоновые кислоты, такие как уксусная кислота или муравьиная кислота, амиды, такие как N,N-диметилформамид, N,N-диэтилформамид, N,N-диметилацетамид, N-метилпирролидон или триамид гексаметилфосфорной кислоты, нитрилы, такие как ацетонитрил или пропионитрил, и сульфоксиды, такие как диметилсульфоксид, а также воду или смеси указанных растворителей, при этом наиболее целесообразно использовать простые эфиры, спирты, воду и карбоновые кислоты, прежде всего тетрагидрофуран, уксусную кислоту или воду. Реакции целесообразно проводить в интервале температур от примерно комнатной температуры до температуры кипения используемого растворителя, предпочтительны при этом реакции, проведение которых возможно при температуре от 10 до 30°С. В варианте (А) реакцию предпочтительно проводить при комнатной температуре в тетрагидрофуране в присутствии уксусной кислоты. Наиболее предпочтительные условия проведения такой реакции описаны в примере Р1.1. Вариант (Б) В качестве примеров растворителей и разбавителей для проведения реакций в соответствии с этим вариантом можно назвать ароматические, алифатические и алициклические углеводороды и галогенированные углеводороды и простые эфиры, перечисленные выше для варианта (А), кетоны, такие как ацетон, метилэтилкетон или метилизобутилкетон, спирты, такие как метанол, этанол, пропанол, изопропанол, бутанол, этиленгликоль или глицерин, эфиры карбоновых кислот, такие как метилацетат, этилацетат, или эфиры бензойной кислоты, амиды, перечисленные выше для варианта (А), нитрилы, такие как ацетонитрил или пропионитрил, и сульфоксиды, такие как диметилсульфоксид, а также воду или смеси указанных растворителей, при этом наиболее целесообразно использовать воду, эфиры органических кислот, галогенированные углеводороды и ароматические углеводороды, прежде всего двухфазовые смеси такого органического растворителя с водой. Реакции целесообразно проводить в интервале температур от примерно комнатной температуры до температуры кипения используемого растворителя, предпочтительно от комнатной температуры до 90°С, прежде всего до 60°С, и в присутствии основания, предпочтительно неорганического основания, например гидроксида натрия, гидроксида калия, карбонат натрия или гидрокарбоната натрия. Наиболее предпочтительные условия проведения реакций в соответствии с этим вариантом описаны, в частности, в примерах Р1.2, Р1.3, Р2.1 и Р2.7. Вариант (В) В качестве примеров растворителей и разбавителей для проведения реакций в соответствии с этим вариантом можно назвать ароматические, алифатические и алициклические углеводороды и галогенированные углеводороды и простые эфиры, амиды и нитрилы перечисленные выше для варианта (А), а также сульфоксиды, такие как диметилсульфоксид, или смеси указанных растворителей, при этом наиболее целесообразно использовать простые эфиры и углеводороды. Реакции целесообразно проводить в интервале температур от 0°С до температуры кипения используемого растворителя, предпочтительно от 0°С до комнатной температуры. Наиболее предпочтительные условия проведения реакций в соответствии с этим вариантом описаны, в частности, в примере Р2.2. Вариант (Г) К пригодным для проведения реакций на этой стадии растворителям относятся перечисленные выше для варианта (А), а также кетоны, такие как ацетон, метилэтилкетон и метилизобутилкетон, и карбоновые кислоты, такие как уксусная кислота или муравьиная кислота, эфиры карбоновых кислот, такие как метилацетат, этилацетат, или эфиры бензойной кислоты. Реакции целесообразно проводить в интервале температур от примерно комнатной температуры до температуры кипения используемого растворителя, предпочтительно в присутствии неорганического основания, например гидроксида лития, гидроксида натрия, гидроксида калия, карбоната натрия или гидрокарбоната натрия. Наиболее предпочтительные условия проведения реакций в соответствии с этим вариантом описаны, в частности, в примере Р2.6. В альтернативном варианте для проведения реакций можно использовать восстановитель, прежде всего молекулярный водород, а сами реакции проводить прежде всего в смеси тетрагидрофурана и воды в качестве растворителя и в присутствии катализатора на основе тяжелого металла, главным образом Pd-катализатора. Наиболее предпочтительные условия проведения реакций в соответствии с этим альтернативным вариантом описаны, в частности, в примере Р2.5. Вариант (Д) К пригодным для проведения реакций в соответствии с этим вариантом растворителям относятся перечисленные выше для варианта (Б), при этом наиболее пригодными растворителями являются эфиры органических кислот, галогенированные углеводороды и ароматические углеводороды, прежде всего двухфазовые смеси сложного эфира с водой. Реакции целесообразно проводить в интервале температур от 0°С до температуры кипения используемого растворителя, предпочтительно от комнатной температуры до 60°С, и в присутствии основания, предпочтительно неорганического основания, например гидроксида натрия, гидроксида калия, карбоната натрия или гидрокарбоната натрия. Наиболее предпочтительные условия проведения реакций в соответствии с этим вариантом описаны, в частности, в примере Р2.3. В альтернативном варианте реакции можно проводить в растворителях, которые перечислены выше, предпочтительно в простых эфирах, спиртах, воде и карбоновых кислотах, в сочетании с гидридом, таким как борогидрид, прежде всего NaCNBH3. Наиболее предпочтительные условия проведения реакций в соответствии с этим альтернативным вариантом описаны, в частности, в примере Р2.4. Вариант (Е) В качестве примеров растворителей и разбавителей для проведения реакций в соответствии с этим вариантом можно назвать ароматические, алифатические и алициклические углеводороды и галогенированные углеводороды, а также простые эфиры, амиды и нитрилы, перечисленные выше для варианта (А), кетоны, такие как ацетон, метилэтилкетон или метилизобутилкетон, эфиры карбоновых кислот, такие как метилацетат, этилацетат, или эфиры бензойной кислоты и сульфоксиды, такие как диметилсульфоксид, либо смеси указанных растворителей, при этом наиболее целесообразно использовать эфиры органических кислот, такие как этилацетат. В качестве обезвоживающего агента в данном случае используются обычные реагенты пептидного сочетания, прежде всего карбодиимиды и гидроксибензотриазолы. Реакции целесообразно проводить в интервале температур от 0°С до температуры кипения используемого растворителя, предпочтительно при комнатной температуре. Наиболее предпочтительные условия проведения реакций в соответствии с этим вариантом описаны, в частности, в примере Р2.8. Вариант (Ж) В качестве примеров растворителей и разбавителей для проведения реакций в соответствии с этим вариантом можно назвать ароматические, алифатические и алициклические углеводороды и простые эфиры, перечисленные выше для варианта (А), и сульфоксиды, такие как диметилсульфоксид, или смеси указанных растворителей, при этом наиболее целесообразно использовать простые эфиры, прежде всего тетрагидрофуран. Реакции целесообразно проводить в интервале температур от 0°С до температуры кипения используемого растворителя, предпочтительно от 0°С до комнатной температуры. Наиболее предпочтительные условия проведения реакций в соответствии с этим вариантом описаны, в частности, в примере Р2.10. Вариант (З) К пригодным для проведения реакций в соответствии с этим вариантом растворителям относятся перечисленные выше для варианта (Б), при этом наиболее пригодными растворителями являются вода, эфиры органических кислот, галогенированные углеводороды и ароматические углеводороды, прежде всего двухфазовые смеси такого органического растворителя с водой. Реакции целесообразно проводить в интервале температур от 0°С до температуры кипения используемого растворителя, предпочтительно от 90°С до температуры кипения растворителя, и в присутствии основания, предпочтительно неорганического основания, например гидроксида натрия, гидроксида калия, карбоната натрия или гидрокарбоната натрия. Наиболее предпочтительные условия проведения реакций в соответствии с этим вариантом описаны, в частности, в примере Р3.2. Вариант (И) К пригодным для проведения реакций в соответствии с этим вариантом растворителям относятся перечисленные выше для варианта (Б), при этом наиболее пригодными растворителями являются вода, эфиры органических кислот, галогенированные углеводороды и ароматические углеводороды, прежде всего двухфазовые смеси такого органического растворителя с водой. Реакции целесообразно проводить в интервале температур от 0°С до температуры кипения используемого растворителя, предпочтительно от 90°С до температуры кипения растворителя, и в присутствии основания, предпочтительно неорганического основания, например гидроксида натрия, гидроксида калия, карбоната натрия или гидрокарбоната натрия. Наиболее предпочтительные условия проведения реакций в соответствии с этим вариантом описаны, в частности, в примере Р3.1. Вариант (К) К пригодным для проведения реакций в соответствии с этим вариантом растворителям относятся перечисленные выше для варианта (Б), при этом наиболее пригодными растворителями являются вода, простые эфиры органических кислот и спирты, прежде всего двухфазовые смеси простого эфира с водой. Реакции целесообразно проводить в интервале температур от 0°С до температуры кипения используемого растворителя, предпочтительно при комнатной температуре. Наиболее предпочтительные условия проведения реакций в соответствии с этим вариантом описаны, в частности, в примере Р3.3. Соединения формулы (I) могут быть представлены в виде одного из их возможных изомеров либо в виде смеси их изомеров, в виде чистых изомеров или в виде смесей изомеров, например в виде рацемических смесей, при этом в объем изобретения включены и чистые изомеры, и рацемические смеси, что подразумевается в предыдущем и последующем описании, даже если детали стереохимического строения и не указаны в каждом конкретном случае. Рацематы можно известными методами разделять на оптические антиподы, например перекристаллизацией из оптически активного растворителя, хроматографией на хиральных адсорбентах, например жидкостной хроматографией высокого давления (ЖХВД) на ацетилцеллюлозе, с помощью пригодных для этой цели микроорганизмов, расщеплением с помощью особых иммобилизованных ферментов или образованием соединений включения, например с использованием хиральных краун-эфиров, в каковом случае только один изомер образует комплекс. Помимо разделения соответствующих смесей изомеров согласно изобретению существует также возможность получать общеизвестными методами энантиоселективного синтеза оптически чистые изомеры, например, за счет использования при проведении предлагаемого в изобретении способа исходных материалов с соответствующим стереохимическим строением. В любом случае предпочтительно выделять или синтезировать биологически более активный изомер, если индивидуальные компоненты обладают различной биологической активностью. Соединения формулы (I) можно также получать в виде их гидратов и/или они могут содержать молекулы других растворителей, например растворителей, которые могли использоваться для кристаллизации соединений, образующихся в твердом виде. Настоящее изобретение относится ко всем тем вариантам осуществления предлагаемого в нем способа, в которых соединение, получаемое на любой его стадии в виде исходного соединения или промежуточного продукта, используется в качестве исходного материала с последующим проведением всех или некоторых из оставшихся стадий или в которых исходный материал используется в виде производного либо соли и/или их рацематов или антиподов или прежде всего образуется в реакционных условиях. В предлагаемом в изобретении способе предпочтительно использовать те исходные материалы и промежуточные продукты, которые позволяют получать соединения формулы (I), которые являются наиболее предпочтительными. Настоящее изобретение относится, в частности, к тем вариантам осуществления способа получения соединений, которые описаны ниже в примерах Р1.1-Р4.3. Предлагаемые в изобретении соединения формулы (I) являются действующими веществами, позволяющими вести борьбу с вредителями и паразитами и обладающими ценными профилактическими и/или лечебными свойствами с исключительно благоприятным спектром биоцидной активности и исключительно широким спектром действия даже в низких концентрациях и вместе с тем обладающими хорошей переносимостью теплокровными животными, рыбами и растениями. Эти соединения, как неожиданно было установлено, в одинаковой степени пригодны и для борьбы с вредителями растений, и для борьбы с экто- и эндопаразитами у человека и в первую очередь у продуктивного скота, домашних животных и комнатных животных. Действующие вещества по изобретению проявляют эффективность на всех или отдельных стадиях развития не только обладающих нормальной чувствительностью вредителей, но и устойчивых вредителей, таких как насекомые и представители отряда клещей (Acarina), нематоды, ленточные черви и трематоды, и в то же время защищают полезные организмы. Инсектицидное или акарицидное действие действующих веществ по изобретению может проявляться непосредственно, т.е. проявляться в гибели вредителей и паразитов, наступающей сразу же после обработки либо только по истечении некоторого времени, например в процессе линьки, либо опосредованно, например проявляться в уменьшении количества откладываемых яиц и/или количества вылупляющихся из яиц особей, при этом хорошая активность соответствует гибели по меньшей мере 50-60% вредителей. К указанным выше вредителям относятся, например, вредители, описанные в заявке ЕР-А 736252 со с.5, строка 55, до с.6, строка 55. Описанный в указанной публикации перечень вредителей включен, таким образом, в качестве ссылки в объем настоящего изобретения. С использованием предлагаемых в изобретении соединений можно также вести борьбу с вредителями и паразитами из класса нематод. К подобным вредителям и паразитам относятся, например, галловые нематоды, цистообразующие нематоды, а также стеблевые и листовые нематоды, в частности нематоды Heterodera spp., например Heterodera schachtii, Heterodora avenae и Heterodora trifolii, нематоды Globodera spp., например Globodera rostochiensis, нематоды Meloidogyne spp., например Meloidogyne incognita и Meloidogyne javanica, нематоды Radopholus spp., например Radopholus simiis, нематоды Pratylenchus, например Pratylenchus neglectans и Pratylenchus penetrans, нематоды Tylenchulus, например Tylenchulus semipenetrans, нематоды Longidorus, Trichodorus, Xiphinema, Ditylenchus, Apheenchoides и Anguina, прежде всего неметоды Meloidogyne, например Meloidogyne incognita, и Heterodera, например Heterodera glycines. Особо важным аспектом настоящего изобретения является применение предлагаемых в нем соединений формулы (I) для защиты растений от питающихся ими насекомых-вредителей. Предлагаемые в изобретении соединения могут использоваться для борьбы, т.е. для ингибирования или уничтожения, вредителей и паразитов указанного выше типа, встречающихся, соответственно паразитирующих прежде всего на растениях, главным образом на полезных и декоративных растениях в сельскохозяйственном, садоводческом и лесоводческом секторах, или на частях подобных растений, таких как плоды, цветки, листья, стебли, клубни или корни, при этом в некоторых случаях от подобных вредителей уже оказываются защищены и вырастающие в более поздний момент времени части растений. Целевыми растениями, защищаемыми от вредителей, являются прежде всего зерновые культуры, такие как пшеница, ячмень, рожь, овес, рис, маис и сорго, свекла, такая как сахарная свекла и кормовая свекла, плодовые культуры, например яблоневые, косточковые плодовые культуры и кустовые плодовые культуры, такие как яблоня, груша, слива, персик, миндальное дерево, вишня, черешня и ягодные культуры, например клубника, малина и ежевика, бобовые растения, такие как фасоль, чечевица, горох и соя, масличные растения, такие как рапс, горчица, мак, оливковое дерево, подсолнечник, кокосовая пальма, клещевина, дерево какао и арахис, тыквенные, такие как кабачок, огурец, дыня и арбуз, волокнистые растения, такие как хлопчатник, лен, конопля и джут, цитрусовые растения, такие как апельсиновое дерево, лимон, грейпфрут и мандарин, овощные культуры, такие как шпинат, латук-салат, спаржа, капуста, морковь, лук, томаты, картофель и перец овощной сладкий, лавровые культуры, такие как авокадо, коричное дерево и камфарное дерево, а также табак, орех, кофейное дерево, баклажан, сахарный тростник, чай, перец, виноградная лоза, хмель, банановая пальма, каучуконосы и декоративные растения. Другими возможными областями применения предлагаемых в изобретении соединений являются защита складских запасов, хранилищ, сырья и различных материалов, а также использование в санитарно-гигиеническом секторе, прежде всего для защиты домашних животных и продуктивного скота от вышеуказанных вредителей и паразитов, главным образом для защиты домашних животных, в частности кошек и собак, от заражения блохами, клещами и нематодами. В соответствии с этим настоящее изобретение относится также к пестицидным композициям, таким как эмульгирующиеся концентраты, суспензионные концентраты, непосредственно распыляемые или разбавляемые растворы, пасты для обмазки растений, разбавленные эмульсии, смачивающиеся порошки, растворимые порошки, диспергируемые порошки, дусты, гранулы, а также микрокапсулированные в полимер препараты, содержащим по меньшей мере одно из предлагаемых в изобретении соединений, при этом конкретный тип препаративной формы выбирается в соответствии с поставленными целями и превалирующими обстоятельствами. Действующее вещество используют в таких композициях в чистой форме, т.е. в виде твердого действующего вещества, например в виде частиц определенного размера, или, что более предпочтительно, совместно по меньшей мере с одним из обычно применяемых в технологии получения препаративных форм вспомогательных веществ, таких как разбавители, например растворители или твердые носители, или поверхностно-активные вещества (ПАВ). Очевидно, что в состав препаратов, предназначенных для борьбы с паразитами у человека, домашних животных, продуктивного скота и комнатных животных, можно включать только физиологически приемлемые (совместимые) добавки. В качестве вспомогательных веществ в составе композиций используют, например, твердые носители, растворители, стабилизаторы, “замедляющие высвобождение” действующего вещества вспомогательные вещества, красители и необязательно поверхностно-активные вещества (ПАВ). С этой целью можно использовать все носители и вспомогательные вещества, обычно применяемые в технологии приготовления препаративных форм. Пригодные для применения в используемых согласно изобретению композициях вспомогательные вещества, к числу которых относятся растворители, твердые носители, поверхностно-активные вещества, включая неионогенные ПАВ, катионогенные ПАВ и анионогенные ПАВ, а также другие вспомогательные вещества, представляют собой, например, таковые, описанные в заявке ЕР-А 736252, со с.7, строка 51, до с.8, строка 39. Композиции, предназначенные для защиты сельскохозяйственных культур от вредителей и для защиты человека, домашних животных и продуктивного скота от паразитов, обычно содержат от 0,1 до 99%, прежде всего от 0,1 до 95%, действующего вещества и от 1 до 99,9%, прежде всего от 5 до 99,9%, по меньшей мере одного твердого или жидкого вспомогательного вещества, при этом в состав композиции обычно включают от 0 до 25%, прежде всего от 0,1 до 20%, ПАВ (данные в % во всех случаях соответствуют массовым процентам (мас.%)). В качестве поставляемых в продажу продуктов обычно предпочтительны составы или композиции в виде концентратов, тогда как конечный потребитель, как правило, использует разбавленные препараты, в которых действующее вещество содержится в значительно более низких концентрациях. Спектр действия предлагаемых в изобретении соединений и содержащих их композиций для борьбы против насекомых-вредителей можно значительно расширить и адаптировать к заданным условиям добавлением других инсектицидов, акарицидов или нематоцидов. В качестве примера пригодных для этой цели добавок можно назвать представителей следующих классов действующих веществ: фосфорорганические соединения, нитрофенолы и их производные, формамидины, мочевины, карбаматы, пиретроиды, хлорированные углеводороды и препараты Bacillus thuringiensis. Наиболее пригодными для использования в смеси с предлагаемыми в изобретении соединениями являются, например, азаметиофос, хлорфенвинфос, бупиримат, циперметрин, циперметрин-хай-цис, циромазин, диафентиурон, диазинон, дихлорвос, дикротофос, дицикланил, феноксикарб, флуазурон, фуратиокарб, изазофос, иодфенфос, кинопрен, луфенурон, метакрифос, метидатион, монокротофос, фосфамидон, профенофос, диофенолан, соединение, получаемое из штамма Bacillus thuringiensis GC91 или NCTC11821, пиметрозин, бромопропилат, метопрен, дисульфутон, хиналфос, тау-флувалинат, тиоциклам, тиометон, альдикарб, азинфос-метил, бенфуракарб, бифентрин, бупрофезин, карбофуран, дибутиламинотио, картап, хлорфлуазурон, хлорпирифос, цифлутрин, альфа-циперметрин, зета-циперметрин, дельтаметрин, дифлубензурон, эндосульфан, этиофенкарб, фенитротион, феназахин, фенобукарб, фенвалерат, формотион, метиокарб, гептенофос, имидаклоприд, изопрокарб, метамидофос, метомил, мевинфос, паратион, паратион-метил, фозалон, пиримикарб, пропоксур, тефлубензурон, тербуфос, триазамат, абамектин, фенобукарб, тебуфенозид, фипронил, бета-цифлутрин, силафлуофен, фенпироксимат, пиридабен, примикарб, пирипроксифен, пиримидифен, нематорин, нитенпирам, NI-25, ацетамиприд, авермектин B1 (абамектин), инсектицидно активный экстракт растения, препарат, содержащий инсектицидно активные нематоды, препарат, получаемый из Bacillus subtilis, препарат, содержащий инсектицидно активные грибы, препарат, содержащий инсектицидно активные вирусы, АС 303630, ацефат, акринатрин, аланикарб, альфаметрин, амитраз, AZ 60541, азинфос А, азинфос М, азоциклотин, бендиокарб, бенсултап, бета-цифлутрин, БФМК, брофенпрокс, бромофос А, буфенкарб, бутокарбоксим, бутилпиридабен, кадусафос, карбарил, карбофенотион, хлоэтокарб, хлорэтоксифос, хлормефос, цис-ресметрин, клоцитрин, клофентезин, цианофос, циклопротрин, цигексатин, деметон М, деметон S, деметон-S-метил, дихлофентион, диклифос, диэтион, диметоат, диметилвинфос, диоксатион, эдифенфос, эмамектин, эсфенвалерат, этион, этофенпрокс, этопрофос, этримфос, фенамифос, фенбутатиноксид, фенотиокарб, фенпропатрин, фенпирад, фентион, флуазинам, флуциклоксурон, флуцитринат, флуфеноксурон, флуфенпрокс, фонофос, фостиазат, фубфенпрокс, НСН, гексафлумурон, гекситиазокс, IKI-220, ипробенфос, изофенфос, изоксатион, ивермектин, лямбда-цигалотрин, малатион, мекарбам, месульфенфос, метильдегид, метолкарб, милбемектин, моксидектин, налед, NC 184, ометоат, оксамил, оксидеметон М, оксидепрофос, перметрин, фентоат, форат, фосмет, фоксим, пиримифос М, пиримифос А, промекарб, пропафос, протиофос, протоат, пираклофос, пирада-фентион, пиресметрин, пиретрум, RH 5992, салитион, себуфос, сульфотеп, сульпрофос, тебуфенпирад, тебупиримифос, тефлутрин, темефос, тербам, тетрахлорвинфос, тиаклоприд, тиаметоксам, тиафенокс, тиодикарб, тиофанокс, тионазин, турингенсин, тралометрин, триаратен, триазофос, триазурон, трихлорфон, трифлумурон, триметакарб, вамидотион, ксилилкарб, YI 5301/5302, зетаметрин, DPX-MP062, RH-2485, D-2341 или КМК (3,5-ксилилметилкарбамат). Ниже представлены составы предпочтительных препаративных форм для защиты сельскохозяйственных растений (% = мас.%): Эмульгирующиеся концентраты:
Дусты:
Суспензионные концентраты:
Смачивающиеся порошки:
Гранулы:
В состав предлагаемых в изобретении композиций могут также входить другие твердые или жидкие вспомогательные вещества, такие как стабилизаторы, например растительные масла или эпоксидированные растительные масла (в частности, эпоксидированное кокосовое масло, рапсовое масло или соевое масло), антивспениватели, например силиконовое масло, консерванты, регуляторы вязкости, связующие и/или прилипатели, а также удобрения или другие действующие вещества для достижения особых эффектов, например акарициды, бактерициды, фунгициды, нематоциды, моллюскоциды или селективные гербициды. Предлагаемые в изобретении препаративные формы для защиты сельскохозяйственных растений получают по известной технологии, для чего при получении препарата без добавления к нему вспомогательных веществ твердое действующее вещество или смесь действующих веществ подвергают, например, размолу, просеиванию и/или прессованию с получением, например, частиц определенного размера, а при получении препарата с добавлением к нему по меньшей мере одного вспомогательного вещества действующее вещество или смесь действующих веществ подвергают, например, гомогенному смешению и/или измельчению со вспомогательным веществом или вспомогательными веществами. В соответствии с этим изобретение относится также к подобным способам получения предлагаемых в нем композиций и к применению соединений формулы (I) для получения таких композиций. Изобретение относится также к способам применения указанных препаративных форм для защиты сельскохозяйственных растений, т.е. к таким способам борьбы с вышеописанными вредителями, как опрыскивание, обработка в виде туманов (мелкокапельное опрыскивание), опыливание, нанесение покрытий, протравливание, разбрасывание или полив, которые выбирают в соответствии с поставленными целями и превалирующими обстоятельствами, и к применению таких композиций для борьбы с вышеописанными вредителями. Обычно содержание действующего вещества в композиции составляет от 0,1 до 1000 част./млн, предпочтительно от 0,1 до 500 част./млн. Нормы расхода действующего вещества из расчета на гектар обрабатываемой площади обычно составляют от 1 до 2000 г/га, прежде всего от 10 до 1000 г/га, предпочтительно от 20 до 600 г/га. Предпочтительным методом внесения при защите сельскохозяйственных растений является обработка листьев растений (лиственная обработка), при этом частота обработок и нормы расхода зависят от риска поражения конкретным вредителем. Однако действующее вещество может также проникать в растения через корневую систему (системное действие) при насыщении места произрастания растений жидким составом или при заделке или внесении действующего вещества в твердом виде в место произрастания растений, например в почву, в частности, в гранулированной форме (почвенная обработка). При обработке посевов риса-падди такие гранулы можно вносить в дозированных количествах на затопленное рисовое поле. Предлагаемые в изобретении препараты для защиты сельскохозяйственных культур пригодны также для защиты от насекомых-вредителей материала для размножения растений, например посевного материала, такого как плоды, клубни или зерно, либо растительной рассады. Материал для размножения можно обрабатывать соответствующей композицией до начала культивирования, например подвергать семена протравливанию до их посева. Предлагаемые в изобретении действующие вещества можно также наносить на семена (покрытие) либо пропитыванием семян жидкой композицией, либо нанесением на них покрытия с использованием твердой композиции. Помимо этого соответствующую композицию можно вносить на возделываемые площади уже после заделки в них материала для размножения, например после внесения семян в семенную борозду. Подобные способы обработки материала для размножения растений, а также обработанный этими способами материал для размножения растений также являются объектами изобретения. Примеры получения Пример Р1.1: 4”-дезокси-4”-эпи-(N-3-фторфенилметиламино)авермектин В1 1,0 г 4”-дезокси-4”-эпиаминоавермектина В1 растворяют в 12 мл тетрагидрофурана. Далее добавляют 1,8 мл уксусной кислоты, 0,2 мл воды и 0,18 мл 3-фторбензальдегида. После этого добавляют 90 мг цианборогидрида натрия. Смесь перемешивают при комнатной температуре в течение 12 ч. Затем реакционную смесь экстрагируют этилацетатом и насыщенным раствором хлорида натрия, после чего органическую фазу сушат над сульфатом натрия и отгоняют растворители. Остаток очищают хроматографией на силикагеле (гексан/этилацетат) с получением 4”-дезокси-4”-эпи-(N-3-фторфенилметиламино)авермектина В1. Пример Р1.2: 4”-дезокси-4”-эпи-N-этиламиноавермектин В1 4,0 г 4”-дезокси-4”-эпиаминоавермектина В1 растворяют в 24 мл этилацетата. Далее добавляют 7,4 мл этилиодида и 24 мл бикарбоната натрия (1 н. в воде). Смесь интенсивно перемешивают при комнатной температуре в течение 14 ч. После этого фазы разделяют, органическую фазу сушат над сульфатом натрия и отгоняют растворители. Остаток очищают хроматографией на силикагеле (гексан/этилацетат) с получением 4”-дезокси-4”-эпи-N-этиламиноавермектина В1. Пример Р1.3: 4”-дезокси-4”-эпи-N-(изопропоксикарбонилметил)аминоавермектин В1 300 мг 4”-дезокси-4”-эпиаминоавермектина В1 растворяют в 3 мл этилацетата. Далее добавляют 620 мг изопропилбромацетата и 3 мл бикарбоната натрия (1 н. в воде). Смесь интенсивно перемешивают при комнатной температуре в течение 18 ч. После этого фазы разделяют, органическую фазу сушат над сульфатом натрия и отгоняют растворитель. Остаток очищают хроматографией на силикагеле (гексан/этилацетат) с получением 4”-дезокси-4”-эпи-N-(изопропоксикарбонилметил)аминоавермектин В1. Пример Р2.1: 4”-дезокси-4”-эпи-(N-метил-N-1-пропен-3-иламино)авермектин В1 600 мг 4”-дезокси-4”-эпиметиламиноавермектина В1 растворяют в 6 мл этилацетата. Далее добавляют 0,56 мл аллилбромида и 6 мл бикарбоната натрия (1 н. в воде). Смесь интенсивно перемешивают при 60°С в течение 18 ч, а затем охлаждают. После этого фазы разделяют, органическую фазу сушат над сульфатом натрия и отгоняют растворитель. Остаток очищают хроматографией на силикагеле (гексан/этилацетат) с получением 4”-дезокси-4”-эпи-(N-метил-N-1-пропен-3-иламино)авермектина В1. Пример Р2.2: 4”-дезокси-4”-эпи-(N-2-гидроксиэтил-N-метиламино)авермектин В1 Стадия 1: 4,55 г 4”-дезокси-4”-эпиметиламиноавермектина В1 растворяют в 45 мл этилацетата. Далее добавляют 8,6 г этилбромацетата и 45 мл бикарбоната натрия (1 н. в воде). Смесь интенсивно перемешивают при 60°С в течение 18 ч, а затем охлаждают. После этого фазы разделяют, органическую фазу сушат над сульфатом натрия и отгоняют растворитель. Остаток очищают хроматографией на силикагеле (гексан/этилацетат) с получением 4”-дезокси-4”-эпи-(N-метил-N-этоксикарбонилметиламино)авермектина В1. Стадия 2: 300 мг 4”-дезокси-4”-эпи-(N-метил-N-этоксикарбонилметиламино)авермектина В1 растворяют в 6 мл толуола. Затем при перемешивании и при комнатной температуре добавляют 1,3 мл диизобутилалюмогидрида (1,2 моль/л в толуоле). Через 15 мин реакционную смесь экстрагируют этилацетатом и насыщенным раствором хлорида аммония. После этого фазы разделяют, органическую фазу сушат над сульфатом натрия и отгоняют растворитель. Остаток очищают хроматографией на силикагеле (этилацетат/метанол) с получением 4”-дезокси-4”-эпи-(N-2-гидроксиэтил-N-метиламино)авермектина В1. Пример Р2.3: 4”-дезокси-4”-эпи-(N-изопропил-N-метиламино)авермектин B1. 2,0 г 4”-дезокси-4”-эпиизопропиламиноавермектина В1 растворяют в 20 мл этилацетата. Далее добавляют 4 мл метилиодида и 20 мл бикарбоната натрия (1 н. в воде), и смесь интенсивно перемешивают при 60°С в течение 14 ч, а затем охлаждают. После этого фазы разделяют, органическую фазу сушат над сульфатом натрия и отгоняют растворитель. Остаток очищают хроматографией на силикагеле (этилацетат) с получением 4”-дезокси-4”-эпи-(N-изопропил-N-метиламино)авермектина В1. Пример Р2.4: 4”-дезокси-4”-эпи-(N-изопропил-N-метиламино)авермектин В1 9,14 г 4”-дезокси-4”-эпиизопропиламиноавермектина В1 растворяют в 100 мл метанола. Далее добавляют 15 мл пивалиновой кислоты и 25 мл раствора формальдегида (37%-ного в воде). Затем добавляют 0,7 г цианоборогидрида натрия. Смесь перемешивают при комнатной температуре в течение 1 ч, после чего метанол выпаривают в вакууме и остаток экстрагируют этилацетатом и насыщенным раствором бикарбоната натрия. После этого фазы разделяют, органическую фазу сушат над сульфатом натрия и отгоняют растворитель. Остаток очищают хроматографией на силикагеле (этилацетат/метанол) с получением 4”-дезокси-4”-эпи-(N-изопропил-N-метиламино)авермектина В1. Пример Р2.5: 4”-дезокси-4”-эпи-(N-карбоксиметил-N-метиламино)авермектин В1 Стадия 1: 10 г 4”-дезокси-4”-эпиметиламиноавермектина В1 растворяют в 100 мл этилацетата. Далее добавляют 15,6 г бензилбромацетата и 100 мл бикарбоната натрия (1 н. в воде). Смесь интенсивно перемешивают при 60°С в течение 5 дней, а затем охлаждают. После этого фазы разделяют, органическую фазу сушат над сульфатом натрия и отгоняют растворитель. Остаток очищают хроматографией на силикагеле (гексан/этилацетат) с получением 4”-дезокси-4”-эпи-(N-бензилоксикарбонилметил-N-метиламино)авермектина В1. Стадия 2: 7,8 г 4”-дезокси-4”-эпи-(N-бензилоксикарбонилметил-N-метиламино)авермектина В1 растворяют в 100 мл тетрагидрофурана. Далее добавляют 780 мг палладия (5%-ного на угле) и гидрируют при нормальном давлении и комнатной температуре. Поглощение водорода прекращается через час. После этого смесь фильтруют через целит и выпаривают растворитель с получением 4”-дезокси-4”-эпи-(N-карбоксиметил-N-метиламино)авермектина В1. Пример Р2.6: 4”-дезокси-4”-эпи-(N-карбоксиметил-N-метиламино)авермектин В1 Стадия 1: 15 г 4”-дезокси-4”-эпиметиламиноавермектина В1 растворяют в 120 мл этилацетата. Далее добавляют 26 г метилбромацетата и 120 мл бикарбоната натрия (1 н. в воде). Смесь интенсивно перемешивают при 60°С в течение 5 дней, а затем охлаждают. После этого фазы разделяют, органическую фазу сушат над сульфатом натрия и отгоняют растворитель. Остаток очищают хроматографией на силикагеле (гексан/этилацетат) с получением 4”-дезокси-4”-эпи-(N-метоксикарбонилметиламино-N-метил)авермектина В1. Стадия 2: 10 г 4”-дезокси-4”-эпи-(N-метоксикарбонилметиламино-N-метил)авермектина В1 растворяют в 90 мл тетрагидрофурана. Далее добавляют 10 мл воды и 440 мг моногидрата гидроксида лития и перемешивают при комнатной температуре в течение 14 ч. Затем реакционную смесь экстрагируют водой и диэтиловым эфиром, водную фазу отделяют и лиофилизуют. Остаток экстрагируют этилацетатом и лимонной кислотой (10%-ной в воде), органическую фазу сушат над сульфатом натрия и отгоняют растворитель с получением 4”-дезокси-4”-эпи-(N-карбоксиметил-N-метиламино)авермектина В1. Пример Р2.7: 4”-дезокси-4”-эпи-(N-этил-N-метиламино)авермектин В1 8,0 г 4”-дезокси-4”-эпи-N-метиламиноавермектина В1 растворяют в 50 мл этилацетата. Далее добавляют 15 мл этилиодида и 50 мл бикарбоната натрия (1 н. в воде). Смесь интенсивно перемешивают при 60°С в течение 2 дней. После этого фазы разделяют, органическую фазу сушат над сульфатом натрия и отгоняют растворители. Остаток очищают хроматографией на силикагеле (этилацетат/метанол) с получением 4”-дезокси-4”-эпи-(N-этил-N-метиламино)авермектина В1. Пример Р2.8: 4”-дезокси-4”-эпи-{N-[(1-бензилоксикарбонилэтилкарбамоил)метил]-N-метиламино}авермектин В1 500 мг 4”-дезокси-4”-эпи-(N-карбоксиметил-N-метиламино)авермектина В1 растворяют в 5 мл этилацетата, после чего добавляют 170 мг бензилового эфира L-аланина, 72 мг 1-гидрокси-7-азабензотриазола и 110 мг N,N-дициклогексил-карбодиимида. Затем реакционную смесь перемешивают при комнатной температуре в течение 7 дней. После этого смесь экстрагируют этилацетатом и бикарбонатом натрия (1 н. в воде), органическую фазу сушат над сульфатом натрия и отгоняют растворитель. Остаток очищают хроматографией на силикагеле (гексан/этилацетат) с получением 4”-дезокси-4”-эпи-{N-[(1-бензилоксикарбонилэтилкарбамоил)метил]-N-метиламино}авермектина В1. Пример Р2.9: 4”-дезокси-4”-эпи-{N-[(1-карбоксиэтилкарбамоил)метил]-N-метиламино}авермектин В1 160 мг 4”-дезокси-4”-эпи-{N-[(1-бензилоксикарбонилэтилкарбамоил)метил]-N-метиламино}авермектина В1 растворяют в 10 мл тетрагидрофурана. Далее добавляют 50 мг палладия (5%-ного на угле) и гидрируют при нормальном давлении и комнатной температуре. Поглощение водорода прекращается через 3 ч. После этого смесь фильтруют через целит и выпаривают растворитель с получением 4”-дезокси-4”-эпи-{N-[(1-карбоксиэтилкарбамоил)метил]-N-метиламино}авермектина В1. Пример Р2.10: 4”-дезокси-4”-эпи-[N-(2-гидрокси-2-метилпропил)-N-метиламино]авермектин В1 300 мг 4”-дезокси-4”-эпи-(N-метил-N-этоксикарбонилметиламино)авермектина В1 (пример Р2.2, стадия 1) растворяют в 6 мл тетрагидрофурана. Далее при перемешивании и при комнатной температуре добавляют 0,64 мл метилмагнийбромида (3 моль/л в диэтиловом эфире). Через один час реакционную смесь экстрагируют этилацетатом и насыщенным раствором хлорида аммония. После этого фазы разделяют, органическую фазу сушат над сульфатом натрия и отгоняют растворители. Остаток очищают хроматографией на силикагеле (этилацетат/метанол) с получением 4”-дезокси-4”-эпи-[N-(2-гидрокси-2-метилпропил)-N-метиламино]авермектина В1. Пример Р3.1: 4”-дезокси-4”-эпи-[N,N-бис(1-фенил-1-пропен-3-ил)амино]авермектин В1 3,48 г 4”-дезокси-4”-эпиаминоавермектина В1 растворяют в 40 мл этилацетата. Далее добавляют 4,62 г 3-бром-1-фенил-1-пропена и 40 мл бикарбоната натрия (1 н. в воде). Смесь интенсивно перемешивают при 60°С в течение 3 дней, а затем охлаждают. После этого фазы разделяют, органическую фазу сушат над сульфатом натрия и отгоняют растворитель. Остаток очищают хроматографией на силикагеле (гексан/этилацетат) с получением 4”-дезокси-4”-эпи-[N,N-бис(1-фенил-1-пропен-3-ил)амино]авермектина В1. Пример Р3.2: 4”-дезокси-4”-эпи-(азетидин-1-ил)авермектин В1 300 мг 4”-дезокси-4”-эпиаминоавермектина В1 растворяют в 1 мл толуола. Далее добавляют 0,106 мл 1,3-дибромпропана и 1 мл бикарбоната натрия (1 н. в воде). Смесь интенсивно перемешивают при 90°С в течение 24 ч, а затем охлаждают. После этого фазы разделяют, органическую фазу сушат над сульфатом натрия и отгоняют растворитель. Остаток очищают хроматографией на силикагеле (этилацетат/метанол) с получением 4”-дезокси-4”-эпи-(азетидин-1-ил)авермектина В1. Пример Р3.3: 4”-дезокси-4”-эпи-[N,N-бис(3,3-диметилбутил)амино]авермектин В1 0,87 г 4”-дезокси-4”-эпиаминоавермектина В1 растворяют в 10 мл тетрагидрофурана. Далее добавляют 1 мл пивалиновой кислоты, 0,1 мл воды и 0,60 г 3,3-диметилмасляного альдегида. После этого добавляют 0,38 г цианоборогидрида натрия. Смесь перемешивают при комнатной температуре в течение 14 ч. Затем реакционную смесь экстрагируют этилацетатом и бикарбонатом натрия (1 н. в воде), органическую фазу сушат над сульфатом натрия и отгоняют растворители. Остаток очищают хроматографией на силикагеле (гексан/этилацетат) с получением 4”-дезокси-4”-эпи-[N,N-бис(3,3-диметилбутил)амино]авермектина В1. Пример Р4.1: 4”-дезокси-4”-эпи-[N-(3-ацетоксипропил)-N-метиламино]авермектин В1 100 мг 4”-дезокси-4”-эпи-[N-(3-иодпропил)-N-метиламино]авермектина В1 и 100 мг ацетата натрия растворяют в 2 мл N,N-диметилформамида. Смесь нагревают до 60°С и перемешивают при этой температуре в течение 90 мин. Затем смесь охлаждают до комнатной температуры и экстрагируют диэтиловым эфиром. Органический слой отделяют, промывают бикарбонатом натрия (1 н. в воде) и сушат над сульфатом натрия. После этого отгоняют растворитель и остаток очищают на силикагеле, используя гексан/этилацетат в качестве элюента, с получением 4”-дезокси-4”-эпи-[N-(3-ацетоксипропил)-N-метиламино]авермектина В1. Пример Р4.2: 4”-дезокси-4”-эпи-[N-(3-иодпропил)N-метиламино]авермектин В1 3 г 4”-дезокси-4”-эпи-N-метиламиноавермектина В1 и 9 мл 1,3-дииодпропана растворяют в 9 мл этилацетата. Далее добавляют 18 мл раствора бикарбоната натрия (1 н. в воде), и смесь перемешивают в течение трех дней при 60°С. Затем смесь охлаждают до комнатной температуры, органический слой отделяют и сушат над сульфатом натрия. После этого отгоняют растворитель и остаток очищают на силикагеле, используя гексан/этилацетат в качестве элюента, с получением 4”-дезокси-4”-эпи-[N-(3-иодпропил)-N-метиламино]авермектина В1. Пример Р4.3: 4”-дезокси-4”-эпи-N-(2-цианоэтиламино)авермектин В1 872 мг 4”-дезокси-4”-эпи-N-аминоавермектина В1 растворяют в 5 мл метанола. Далее добавляют 212 мг акрилонитрила и смесь перемешивают в течение трех дней при комнатной температуре. После этого отгоняют растворитель и остаток очищают на силикагеле, используя гексан/этилацетат в качестве элюента, с получением 4”-дезокси-4”-эпи-N-(2-цианоэтиламино)авермектина В1. Аналогично рассмотренным выше примерам можно также получать соединения, указанные ниже в таблицах 1-3. В этих таблицах символ Поскольку в большинстве случаев предлагаемые в изобретении соединения представлены в виде смеси производных авермектинов В1а и B1b, использование традиционных физических данных, таких как температура плавления или показатель преломления, в качестве характеристик таких соединений не имеет большого смысла. По этой причине соединения охарактеризованы ниже временем удерживания при их анализе с помощью ЖХВР (жидкостная хроматография высокого разрешения). В данном случае основным компонентом является соединение В1а, в котором R1 обозначает втор-бутил и содержание которого обычно превышает 80%. Компонентом, который содержится в меньшем количестве, является соединение B1b, в котором R1 обозначает изопропил. Соединения, у которых для обоих производных В1а и B1b указаны два значения времени удерживания, представляют собой смеси диастереомеров, которые можно разделить хроматографией. Соединения, у которых время удерживания указано только в колонке В1а или только в колонке B1b, т.е. в колонке, относящейся к чистому компоненту В1а или B1b соответственно, можно получить в результате переработки. Точную структуру компонентов В1а и B1b определяют масс-спектрометрией. Для ЖХВР-анализа используются следующие условия:
Колонка YMC-Pack ODS-AQ, используемая для хроматографии соединений, выпускается фирмой YMC, расположенной по адресу: Alte Raesfelderstrasse 6, 46514 Schermbeck, Germany. Примеры композиций (препаративных форм), используемых для защиты сельскохозяйственных культур (% = мас.%) Пример F1: Эмульгирующиеся концентраты
Смешением тонкоизмельченного действующего вещества с добавками получают эмульгирующийся концентрат, из которого разбавлением водой можно получать эмульсии любой требуемой концентрации. Пример F2: Растворы
Смешением тонкоизмельченного действующего вещества с добавками получают раствор, пригодный для использования в виде микрокапель. Пример F3: Гранулы
Действующее вещество растворяют в дихлорметане, полученный раствор напыляют на смесь носителей и растворитель выпаривают под пониженным давлением. Пример F4: Смачивающийся порошок
Действующее вещество смешивают с добавками и полученную смесь измельчают в пригодной для этой цели мельнице. В результате получают смачивающиеся порошки, которые можно разбавлять водой с получением суспензий любой требуемой концентрации. Пример F5: Эмульгирующийся концентрат
Смешением тонкоизмельченного действующего вещества с добавками получают эмульгирующийся концентрат, из которого разбавлением водой можно получать эмульсии любой требуемой концентрации. Пример F6: Экструдированные гранулы.
Действующее вещество смешивают с добавками, полученную смесь измельчают, увлажняют водой, экструдируют и гранулируют, после чего полученные гранулы сушат в потоке воздуха. Пример F7: Гранулы с покрытием
Тонкоизмельченное действующее вещество равномерно наносят в смесителе на каолин, увлажненный полиэтиленгликолем. Таким путем получают беспылевые гранулы с покрытием. Пример F8: Суспензионный концентрат
Тонкоизмельченное действующее вещество смешивают с добавками, получая суспензионный концентрат, из которого разбавлением водой можно получать суспензии любой требуемой концентрации. Биологические примеры Пример В1: Действие против Spodoptera littoralis Молодые растения сои опрыскивали рабочим раствором для опрыскивания в виде водной эмульсии, содержащей 12,5 част./млн действующего вещества, и затем после высыхания нанесенного опрыскиванием покрытия растения заражали 10-ю гусеницами Spodoptera littoralis в первой фазе развития, после чего помещали в пластиковый ящик. Через 3 дня в процентном выражении определяли уменьшение популяции и нанесенного растениям вреда от их поедания гусеницами (% активности), сравнивая количество погибших гусениц на обработанных растениях с количеством гусениц на необработанных растениях и сравнивая повреждение обработанных растений с повреждениями необработанных растений. В этом опыте соединения из приведенных выше таблиц проявляли хорошую активность. Так, в частности, соединения 1.001, 1.002, 1.003, 1.004, 1.005, 1.006, 1.007, 1.008, 1.009, 1.010, 1.011, 1.012, 1.013, 1.014, 1.015, 1.016, 1.017, 1.018, 1.019, 1.020, 1.021, 1.022, 1.023, 1.024, 1.025, 1.026, 1.027, 1.028, 1.029, 1.030, 1.031, 1.032, 1.033, 1.034, 1.035, 1.036, 1.037, 1.038, 1.039, 1.040, 1.041, 1.042, 1.043, 1.044, 1.045, 1.046, 1.047, 1.048, 1.050, 1.051, 1.052, 1.053, 1.054, 1.055, 1.056, 1.057, 1.058, 1.059, 1.060, 1.061, 1.062, 1.063, 1.064, 1.065, 1.066, 1.067, 1.068, 1.069, 1.070, 1.071, 1.072, 1.073, 1.074, 1.075, 1.076, 1.077, 1.078, 1.079, 1.080, 1.081, 1.082, 1.083, 1.084, 1.085, 1.086, 1.087, 1.088, 1.089, 1.090, 1.091, 1.092, 1.093, 1.094, 1.095, 1.096, 1.097, 1.098, 1.099, 1.100, 1.101, 1.102, 1.103, 1.104, 1.106, 1.107, 1.109, 1.110, 1.111, 1.112, 1.113, 1.114, 1.115, 1.116, 1.117, 1.118, 1.119, 1.120, 1.121, 1.122, 1.123, 1.124, 1.125, 1.126, 1.127, 1.128, 1.129, 1.130, 1.131, 1.132, 1.133, 1.134, 1.135, 1.136, 1.137, 1.138, 1.138, 1.139, 1.140, 1.141, 1.142, 1.143, 1.144, 1.145, 1.146, 1.147, 1.148, 1.149, 1.150, 1.151, 1.152, 1.153, 1.154, 1.155, 1.156, 1.157, 1.158, 2.001, 2.002, 2.003, 2.004, 2.005, 2.006, 2.007, 2.008, 2.009, 2.010, 2.011, 2.012, 2.013, 2.014, 2.015, 2.016, 2.017, 2.018, 2.019, 2.020, 2.021, 2.022, 2.023, 2.023, 2.024, 2.025, 2.026, 2.027, 2.028, 2.029, 2.030, 2.031, 2.032, 2.033, 2.034, 2.035, 2.036, 2.037, 2.038, 2.039, 2.040, 2.041, 2.042, 2.043, 2.044, 2.045, 2.046, 2.047, 2.048, 2.049, 2.050, 2.051, 2.052, 2.053, 2.054, 2.055, 2.056, 2.057, 2.058, 2.059, 2.060, 2.061, 2.062, 2.063, 2.064, 2.065, 2.066, 2.067, 2.068, 2.069, 2.070, 2.071, 2.072, 2.073, 2.074, 2.075, 2.076, 2.077, 2.078, 2.079, 2.080, 2.081, 3.001, 3.002, 3.003, 3.004, 3.005, 3.006, 3.007, 3.008, 3.009, 3.010, 3.011 и 3.012 приводят к уменьшению популяции вредителей более чем на 80%. Пример В2: Действие против Spodoptera littoralis, системное Проростки кукурузы помещали в тестируемый раствор. Через 6 дней от растений отрезали листья, которые на влажной фильтровальной бумаге помещали в чашку Петри и заражали 12-15 личинками Spodoptera littoralis, достигших фазы L1. Через 4 дня в процентном выражении определяли уменьшение популяции (% активности), сравнивая количество погибших гусениц на обработанных растениях с количеством гусениц на необработанных растениях. В этом опыте соединения из приведенных выше таблиц проявляли хорошую активность. Так, в частности, соединения 1.001, 1.002, 1.003, 1.004, 1.005, 1.006, 1.007, 1.008, 1.009, 1.010, 1.012, 1.013, 1.014, 1.015, 1.016, 1.017, 1.018, 1.019, 1.020, 1.021, 1.022, 1.023, 1.024, 1.025, 1.026, 1.027, 1.028, 1.029, 1.030, 1.031, 1.032, 1.033, 1.034, 1.035, 1.036, 1.037, 1.038, 1.039, 1.040, 1.041, 1.042, 1.043, 1.044, 1.045, 1.046, 1.047, 1.048, 1.049, 1.050, 1.051, 1.052, 1.053, 1.054, 1.055, 1.056, 1.057, 1.058, 1.059, 1.060, 1.061, 1.062, 1.064, 1.065, 1.066, 1.067, 1.068, 1.069, 1.070, 1.071, 1.072, 1.073, 1.074, 1.075, 1.076, 1.077, 1.078, 1.079, 1.080, 1.081, 1.082, 1.083, 1.084, 1.085, 1.086, 1.087, 1.088, 1.089, 1.090, 1.091, 1.092, 1.093, 1.094, 1.095, 1.096, 1.097, 1.098, 1.099, 1.100, 1.101, 1.102, 1.103, 1.104, 1.105, 1.106, 1.107, 1.108, 1.109, 1.110, 1.111, 1.112, 1.113, 1.114, 1.115, 1.116, 1.117, 1.118, 1.119, 1.120, 1.121, 1.122, 1.123, 1.124, 1.125, 1.126, 1.127, 1.128, 1.129, 1.130, 1.131, 1.132, 1.133, 1.134, 1.135, 1.136, 1.137, 1.138, 1.138, 1.139, 1.140, 1.141, 1.142, 1.143, 1.144, 1.145, 1.146, 1.147, 1.148, 1.149, 1.150, 1.151, 1.152, 1.153, 1.154, 1.155, 1.156, 1.157, 1.158, 2.001, 2.002, 2.003, 2.004, 2.005, 2.006, 2.007, 2.008, 2.009, 2.010, 2.011, 2.012, 2.013, 2.014, 2.015, 2.016, 2.017, 2.018, 2.019, 2.020, 2.021, 2.022, 2.023, 2.024, 2.025, 2.026, 2.027, 2.028, 2.029, 2.030, 2.031, 2.032, 2.033, 2.034, 2.035, 2.036, 2.037, 2.038, 2.039, 2.040, 2.041, 2.042, 2.043, 2.044, 2.045, 2.046, 2.047, 2.048, 2.049, 2.050, 2.051, 2.052, 2.053, 2.054, 2.055, 2.056, 2.057, 2.058, 2.059, 2.060, 2.061, 2.062, 2.063, 2.064, 2.065, 2.066, 2.067, 2.068, 2.069, 2.070, 2.071, 2.072, 2.073, 2.074, 2.075, 2.076, 2.077, 2.078, 2.079, 2.080, 2.081, 3.001, 3.002, 3.003, 3.004, 3.005, 3.006, 3.007, 3.008, 3.009, 3.010, 3.011 и 3.012 приводят к уменьшению популяции вредителей более чем на 80%. Пример В3: Действие против Heliothis virescens В чашку Петри со слоем искусственного корма помещали на фильтровальной бумаге 30-35 яиц Heliothis virescens, с момента кладки которых прошло от 0 до 24 ч. После этого каждый листок фильтровальной бумаги обрабатывали 0,8 мл добавляемого с помощью пипетки тестируемого раствора. Оценку проводили через 6 дней. Уменьшение популяции определяли в процентном выражении (% активности), сравнивая количество погибших яиц и личинок на обработанных фильтровальной бумаге с количеством яиц и личинок на необработанной фильтровальной бумаге. В этом опыте соединения из приведенных выше таблиц проявляли хорошую активность. Так, в частности, соединения 1.001, 1.002, 1.003, 1.004, 1.005, 1.006, 1.007, 1.008, 1.009, 1.010, 1.011, 1.012, 1.013, 1.014, 1.015, 1.016, 1.017, 1.018, 1.019, 1.020, 1.021, 1.022, 1.023, 1.024, 1.025, 1.026, 1.027, 1.028, 1.029, 1.030, 1.031, 1.032, 1.033, 1.034, 1.035, 1.036, 1.037, 1.038, 1.039, 1.040, 1.041, 1.042, 1.043, 1.044, 1.045, 1.046, 1.047, 1.048, 1.052, 1.053, 1.054, 1.055, 1.056, 1.057, 1.069, 1.070, 1.071, 1.072, 1.073, 1.074, 1.075, 1.076, 1.078, 1.079, 1.080, 1.081, 1.082, 1.083, 1.084, 1.085, 1.086, 1.087, 1.088, 1.089, 1.090, 1.091, 1.092, 1.093, 1.094, 1.095, 1.096, 1.097, 1.098, 1.099, 1.100, 1.101, 1.102, 1.103, 1.104, 1.107, 1.109, 1.110, 1.111, 1.112, 1.113, 1.114, 1.115, 1.116, 1.117, 1.118, 1.119, 1.120, 1.121, 1.122, 1.123, 1.124, 1.125, 1.126, 1.127, 1.128, 1.129, 1.130, 1.131, 1.132, 1.133, 1.134, 1.135, 1.136, 1.137, 1.138, 1.138, 1.139, 1.140, 1.141, 1.142, 1.143, 1.144, 1.145, 1.147, 1.148, 1.149, 1.150, 1.151, 1.152, 1.153, 1.154, 1.155, 1.156, 1.157, 1.158, 2.001, 2.002, 2.003, 2.005, 2.006, 2.007, 2.008, 2.009, 2.010, 2.011, 2.012, 2.013, 2.014, 2.015, 2.016, 2.017, 2.018, 2.019, 2.020, 2.021, 2.026, 2.027, 2.028, 2.029, 2.030, 2.031, 2.032, 2.033, 2.034, 2.035, 2.036, 2.037, 2.038, 2.039, 2.040, 2.042, 2.043, 2.044, 2.045, 2.046, 2.047, 2.048, 2.049, 2.050, 2.051, 2.052, 2.053, 2.054, 2.055, 2.056, 2.057, 2.058, 2.059, 2.062, 2.063, 2.064, 2.066, 2.067, 2.068, 2.069, 2.070, 2.071, 2.073, 2.074, 2.075, 2.076, 2.077, 2.078, 2.079, 2.080, 2.081, 3.001, 3.002, 3.003, 3.004, 3.005, 3.006, 3.007, 3.008, 3.009 и 3.010 приводят к уменьшению популяции вредителей более чем на 80%. Пример В4: Действие против гусениц Plutella xylostella Молодые растения капусты опрыскивали рабочим раствором для опрыскивания в виде водной эмульсии, содержащей 12,5 част./млн действующего вещества. После высыхания нанесенного опрыскиванием покрытия растения капусты заражали 10-ю гусеницами Plutella xylostella в первой фазе развития и помещали в пластиковый ящик. Оценку проводили через 3 дня. Уменьшение популяции и нанесенный растениям вред от их поедания гусеницами определяли в процентном выражении (% активности), сравнивая количество погибших гусениц на обработанных растениях с количеством гусениц на необработанных растениях и сравнивая повреждение обработанных растений с повреждениями необработанных растений. В этом опыте соединения из приведенных выше таблиц проявляли хорошую активность против Plutella xylostella. Так, в частности, соединения 1.001, 1.002, 1.003, 1.004, 1.005, 1.006, 1.007, 1.008, 1.009, 1.010, 1.011, 1.012, 1.013, 1.014, 1.015, 1.016, 1.017, 1.018, 1.019, 1.020, 1.021, 1.022, 1.023, 1.024, 1.025, 1.026, 1.027, 1.028, 1.029, 1.030, 1.031, 1.032, 1.033, 1.034, 1.035, 1.037, 1.038, 1.039, 1.040, 1.041, 1.042, 1.043, 1.046, 1.050, 1.051, 1.052, 1.053, 1.054, 1.055, 1.056, 1.057, 1.058, 1.060, 1.061, 1.070, 1.075, 1.082, 1.083, 1.084, 1.085, 1.086, 1.087, 1.088, 1.089, 1.090, 1.091, 1.092, 1.093, 1.094, 1.095, 1.096, 1.097, 1.098, 1.099, 1.100, 1.101, 1.102, 1.104, 1.113, 1.114, 1.115, 1.116, 1.117, 1.118, 1.119, 1.120, 1.121, 1.122, 1.123, 1.125, 1.126, 1.127, 1.128, 1.129, 1.130, 1.131, 1.132, 1.133, 1.134, 1.135, 1.138, 1.140, 1.141, 1.142, 1.143, 1.144, 1.145, 1.147, 1.149, 1.151, 1.152, 1.153, 1.154, 1.155, 1.156, 1.157, 1.158, 2.001, 2.002, 2.003, 2.005, 2.006, 2.007, 2.008, 2.009, 2.010, 2.011, 2.012, 2.013, 2.014, 2.015, 2.017, 2.018, 2.019, 2.020, 2.021, 2.022, 2.026, 2.027, 2.028, 2.029, 2.030, 2.031, 2.032, 2.033, 2.034, 2.035, 2.042, 2.046, 2.057, 2.068, 2.070, 2.073, 2.077, 2.078, 3.001, 3.002, 3.003, 3.004, 3.005, 3.006, 3.007, 3.008 и 3.009 приводят к уменьшению популяции вредителей более чем на 80%. Пример В5: Действие против Frankliniella occidentalis Листья бобов, нарезанные круглыми пластинками, помещали на агар в чашках Петри и опрыскивали тестируемым раствором в камере для опрыскивания. После этого листья заражали смешанной популяцией Frankliniella occidentalis. Оценку проводили через 10 дней. Уменьшение популяции определяли в процентном выражении (% активности), сравнивая количество вредителей в популяции на обработанных листьях с количеством вредителей в популяции на необработанных листьях. Так, в частности, соединения 1.027, 1.037, 1.038, 1.039, 1.040, 1.050, 1.061, 1.065, 1.068, 1.082, 2.005, 2.006, 2.007, 2.008, 2.009, 2.010, 2.011, 2.012, 2.013, 2.014, 2.015, 2.016, 2.017, 2.018, 2.020, 2.021, 2.026, 2.027, 2.028, 2.029, 2.030, 2.032, 2.033, 2.034, 2.036, 2.038, 2.040, 2.042, 2.046, 2.047, 2.049, 2.050, 2.051, 2.055, 2.057, 2.062, 2.070, 2.071, 2.072, 3.003, 3.006 и 3.012 приводят к уменьшению популяции вредителей более чем на 80%. Пример В6: Действие против Diabrotica balteata Проростки кукурузы опрыскивали рабочим раствором для опрыскивания в виде водной эмульсии, содержащей 12,5 част./млн действующего вещества, и затем после высыхания нанесенного опрыскиванием покрытия растения заражали 10-ю личинками Diabrotica balteata во второй фазе развития, после чего помещали в пластиковый ящик. Через 6 дней в процентном выражении определяли уменьшение популяции (% активности), сравнивая количество погибших личинок на обработанных растениях с количеством личинок на необработанных растениях. В этом опыте соединения из приведенных выше таблиц проявляли хорошую активность. Так, в частности, соединения 1.002, 1.003, 1.004, 1.005, 1.006, 1.007, 1.008, 1.009, 1.010, 1.011, 1.012, 1.013, 1.014, 1.015, 1.016, 1.017, 1.018, 1.019, 1.020, 1.021, 1.022, 1.023, 1.024, 1.025, 1.027, 1.028, 1.029, 1.030, 1.031, 1.032, 1.033, 1.034, 1.035, 1.037, 1.038, 1.039, 1.040, 1.041, 1.042, 1.043, 1.045, 1.046, 1.047, 1.048, 1.052, 1.053, 1.054, 1.055, 1.056, 1.057, 1.058, 1.059, 1.063, 1.064, 1.065, 1.066, 1.067, 1.068, 1.069, 1.070, 1.071, 1.072, 1.074, 1.075, 1.076, 1.077, 1.078, 1.079, 1.080, 1.081, 1.082, 1.083, 1.084, 1.085, 1.086, 1.087, 1.088, 1.090, 1.091, 1.092, 1.093, 1.094, 1.095, 1.096, 1.097, 1.098, 1.099, 1.100, 1.101, 1.102, 1.104, 1.105, 1.107, 1.108, 1.109, 1.111, 1.113, 1.114, 1.115, 1.116, 1.117, 1.118, 1.119, 1.120, 1.121, 1.122, 1.123, 1.125, 1.126, 1.127, 1.128, 1.129, 1.130, 1.131, 1.132, 1.133, 1.134, 1.135, 1.136, 1.137, 1.138, 1.139, 1.140, 1.141, 1.142, 1.143, 1.144, 1.145, 1.147, 1.148, 1.149, 1.150, 1.151, 1.152, 1.153, 1.154, 1.155, 1.156, 1.157, 1.158, 2.001, 2.002, 2.003, 2.004, 2.005, 2.006, 2.007, 2.008, 2.009, 2.010, 2.011, 2.012, 2.013, 2.014, 2.015, 2.016, 2.017, 2.018, 2.019, 2.020, 2.021, 2.022, 2.025, 2.026, 2.027, 2.028, 2.030, 2.031, 2.032, 2.033, 2.034, 2.046, 2.050, 2.051, 2.052, 2.056, 2.073, 2.074, 2.076, 2.077, 3.001, 3.002, 3.004, 3.005, 3.006, 3.007, 3.008 и 3.009 приводят к уменьшению популяции вредителей более чем на 80%. Пример В7: Действие против Tetranychus urticae Молодые растения бобов заражали смешанной популяцией Tetranychus urticae и через 1 день опрыскивали рабочим раствором для опрыскивания в виде водной эмульсии, содержащей 12,5 част./млн действующего вещества, выдерживали в течение 6 дней при 25°С и затем проводили оценку. Уменьшение популяции определяли в процентном выражении (% активности), сравнивая количество погибших яиц, личинок и взрослых насекомых на обработанных растениях с количеством яиц, личинок и взрослых насекомых на необработанных растениях. В этом опыте соединения из приведенных выше таблиц проявляли хорошую активность. Так, в частности, соединения 1.001, 1.002, 1.003, 1.004, 1.005, 1.006, 1.007, 1.008, 1.009, 1.010, 1.011, 1.012, 1.013, 1.014, 1.015, 1.016, 1.017, 1.018, 1.019, 1.020, 1.021, 1.022, 1.023, 1.024, 1.025, 1.026, 1.027, 1.028, 1.029, 1.030, 1.031, 1.032, 1.033, 1.034, 1.035, 1.036, 1.037, 1.038, 1.039, 1.040, 1.041, 1.042, 1.043, 1.044, 1.045 1.046, 1.047, 1.048, 1.049, 1.050, 1.051, 1.052, 1.053, 1.054, 1.055, 1.056, 1.057, 1.058, 1.059, 1.060, 1.061, 1.062, 1.063, 1.064, 1.065, 1.066, 1.067, 1.068, 1.069, 1.070, 1.071, 1.072, 1.073, 1.074, 1.075, 1.076, 1.077, 1.078, 1.079, 1.080, 1.081, 1.082, 1.083, 1.084, 1.085, 1.086, 1.087, 1.088, 1.089, 1.090, 1.091, 1.092, 1.093, 1.094, 1.095, 1.096, 1.097, 1.098, 1.099, 1.100, 1.101, 1.102, 1.103, 1.104, 1.105, 1.106, 1.107, 1.108, 1.109, 1.110, 1.111, 1.112, 1.113, 1.114, 1.115, 1.116, 1.117, 1.118, 1.119, 1.120, 1.121, 1.122, 1.123, 1.124, 1.126, 1.127, 1.128, 1.129, 1.130, 1.131, 1.132, 1.133, 1.134, 1.135, 1.136, 1.137, 1.138, 1.139, 1.140, 1.141, 1.142, 1.143, 1.144, 1.145, 1.146, 1.147, 1.148, 1.149, 1.150, 1.151, 1.152, 1.153, 1.154, 1.155, 1.156, 1.157, 1.158, 2.001, 2.002, 2.003, 2.004, 2.005, 2.006, 2.007, 2.008, 2.009, 2.010, 2.011, 2.012, 2.013, 2.014, 2.015, 2.016, 2.017, 2.018, 2.019, 2.020, 2.021, 2.022, 2.023, 2.024, 2.025, 2.026, 2.027, 2.028, 2.029, 2.030, 2.031, 2.032, 2.033, 2.034, 2.035, 2.036, 2.037, 2.038, 2.039, 2.040, 2.041, 2.042, 2.043, 2.044, 2.045, 2.046, 2.047, 2.048, 2.049, 2.051, 2.052, 2.053, 2.054, 2.055, 2.056, 2.057, 2.058, 2.059, 2.060, 2.061, 2.062, 2.063, 2.064, 2.065, 2.066, 2.067, 2.068, 2.069, 2.070, 2.071, 2.072, 2.073, 2.074, 2.075, 2.076, 2.077, 2.078, 2.079, 2.081, 3.001, 3.002, 3.003, 3.004, 3.005, 3.006, 3.007, 3.008, 3.009, 3.010, 3.011 и 3.012 приводят к уменьшению популяции вредителей более чем на 80%.
Формула изобретения
1. Замещенные производные авермектина формулы (I) в которой R1 обозначает втор-бутил или изопропил, R2 обозначает Н, незамещенный либо монозамещенный C1-С12алкил или незамещенный либо монозамещенный С2-С12алкенил, R3 обозначает C2-С12алкил, моно-пентазамещенный C1-С12алкил, незамещенный либо монозамещенный C3-С12циклоалкил, незамещенный либо моно-пентазамещенный C2-С12алкенил, незамещенный либо монозамещенный C2-С12алкинил, либо R2 и R3 совместно обозначают трех-семичленный алкиленовый мостик, при этом заместители указанных алкильных, алкенильных, алкинильных и циклоалкильных радикалов выбраны из группы, включающей ОН, галоген, CN, SCN, С3-С8-циклоалкил, который замещен одной метильной группой, C1-С12алкилтиогруппту, -N(R8)2, где два R8 имеют независимые друг от друга значения, -C(=O)R5, -O-С(=O)R6, -NHC(=O)R5, -S-С(=S)R6, -Р(=O)(OC1-С6алкил)2, -NH-S(=O)2R9, -ОС(=O)-C1-С6алкил-S(=O)2R9, арил, представляющий собой фенил, нафтил, антраценил, фенантренил, гетероциклил, представляющий собой пиперидинил, оксиранил, морфолинил, тиоморфолинил, пиридил, N-оксидпиридинилтио, пиперазинил, фуранил, пирролинил, имидазолил, тиазолил, фталимидоил, индолинил, бензилоксигруппу, а также арил, гетероциклил, которые в зависимости от возможностей замещения в кольце моно-тризамещены заместителями, выбранными из группы, включающей ОН, галоген, NO2, C1-С12алкил, C1-С12галоалкил, C1-С12алкоксигруппу, C1-С12галоалкоксигруппу, метилендиоксигруппу, -C(=O)R5, -N(R8)2, где два R8 имеют независимые друг от друга значения; R5 обозначает ОН, -N(R8)2, где два R8 имеют независимые друг от друга значения, C1-С24алкил, C2-С12алкенил, C1-С8гидроксиалкил, C1-С12алкоксигруппу, C1-С6алкоксиC1-С6-алкил, C1-С6алкоксиC1-С6алкоксигруппа, C1-С6алкоксиC1-С6алкоксиC1-С6алкил, C2-С8алкенилоксигруппа, бензилоксигруппа, фенил, незамещенный или замещенный галогеном, фурил; R6 обозначает Н, C1-С24алкил, С2-С8алкенил, C1-С6алкоксиC1-С6алкил, (NR8)2, где два R8 имеют независимые друг от друга значения, C1-С12гидроксиалкил, -C1-С6алкил-S(=O)2R9, фенил, возможно замещенный одним-тремя заместителями, выбранными из галогена и C1-С12алкила, пиразинил, пиридил, замещенный галогеном; R8 обозначает Н, C1-С6алкил, который необязательно замещен заместителем, выбранным из группы, включающей гидроксигруппу, C3-С8циклоалкил и незамещенный фенил; R9 обозначает C1-С6алкил, фенил, замещенный галогеном, C1-С12 алкилом или C1-С12алкоксигруппой, бензил, при условии, что R1 не обозначает втор-бутил или изопропил, если R2 представляет собой Н, а R3 представляет собой 2-гидроксиэтил, изопропил, н-октил или бензил, в виде смеси двух индивидуальных соединений, в которой R1 означает втор-бутил (В1а) и изопропил (B1b), R2 и R3 принимают одинаковые значения, определенные выше, причем соотношение указанных соединений в смеси составляет 9:1 (B1a:B1b). 2. Соединения по п.1, где R1 обозначает втор-бутил или изопропил, R2 обозначает Н, незамещенный либо монозамещенный C1-С12алкил или незамещенный либо монозамещенный C2-С12алкенил, R3 обозначает C1-С12алкил, моно-пентазамещенный C1-С12алкил, незамещенный либо монозамещенный C3-С12циклоалкил, незамещенный либо моно-пентазамещенный C2-С12алкенил, незамещенный либо монозамещенный C2-С12алкинил, либо R2 и R3 совместно обозначают трех-семичленный алкиленовый мостик, при этом заместители указанных алкильных, алкенильных, алкинильных и циклоалкильных радикалов выбраны из группы, включающей ОН, галоген, CN, SCN, C3-С8циклоалкил, который замещен одной метальной группой, C1-С12алкилтиогруппу, -N(R8)2, где два R8 имеют независимые друг от друга значения, -C(=O)R5, -O-С(=O)R6, -NHC(=O)R5, -S-C(=S)R6, -P(=O)(OC1-С6алкил)2, -NH-S(=O)2R9, -OC(=O)-C1-С6алкил-S(=O)2R9, арил, представляющий собой фенил, нафтил, антраценил, фенантренил или арилоксигруппу, которая представляет собой бензилоксигруппу, а также арил, который в зависимости от возможностей замещения в кольце моно-тризамещен замещен заместителями, выбранными из группы, включающей ОН, галоген, NO2, C1-С12алкил, C1-С12галоалкил, C1-С12алкоксигруппу, C1-С12галоалкоксигруппу, метилендиоксигруппу, -C(=O)R5, -N(R8)2, где два R8 имеют независимые друг от друга значения; R5 обозначает ОН, -N(R8)2, где два R8 имеют независимые друг от друга значения, C1-С24алкил, C2-С12алкенил, C1-С8гидроксиалкил, C1-С12алкоксигруппу, C1-С6алкоксиC1-С6алкил, C1-С6алкоксиC1-С6 алкоксигруппа, C1-С6алкоксиC1-С6алкоксиC1-С6алкил, C2-С8 алкенилоксигруппа, бензилоксигруппа, фенил, незамещенный или замещенный галогеном, фурил; R6 обозначает Н, C1-С24алкил, С2-С8алкенил, C1-С6алкоксиC1-С6алкил, (NR8)2, где два R8 имеют независимые друг от друга значения, C1-С12гидроксиалкил, -C1-С6алкил-S(=O)R9, фенил, возможно замещенный одним-тремя заместителями, выбранными из галогена и C1-С12алкила, пиразинил, и пиридил, замещенный галогеном, R8 обозначает Н, C1-С6алкил, который необязательно замещен заместителем, выбранным из группы, включающей гидроксигруппу, С3-С8циклоалкил и незамещенный фенил; R9 обозначает C1-С6алкил, фенил, замещенный галогеном, C1-С12алкилом, C1-С12алкоксигруппой, бензил.
|
||||||||||||||||||||||||||||||||||||||||||||||||||||||||||||||||||||||||||||||||||||||||||||||||||||||||||||||||||||||||||||||||||||||||||||||||||||||||||||||||||||||||||||||||||||||||||||||||||||||||||||||||||||||||||||||||||||||||||||||||||||||||||||||||||||



обозначает связь, через которую соответствующий остаток присоединен к атому азота скелета.


























