Патент на изобретение №2334743
|
||||||||||||||||||||||||||
(54) ЦИКЛИЧЕСКИЕ СУЛЬФОНАМИДЫ ДЛЯ ИНГИБИРОВАНИЯ ГАММА-СЕКРЕТАЗЫ
(57) Реферат:
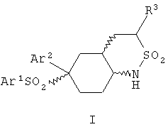
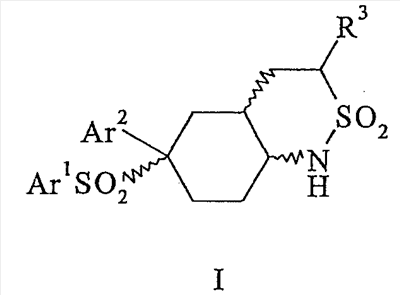
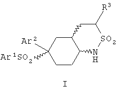
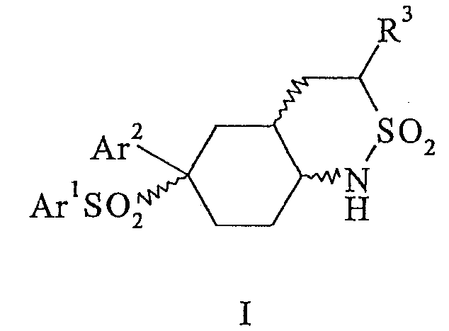
Настоящее изобретение относится к производным циклических сульфонамидов общей формулы I:
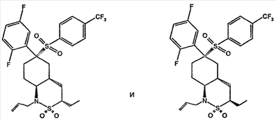
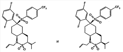
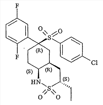
где связи, указанные волнистыми линиями, представляют собой взаимно цис- в отношении циклогексанового кольца; R3 представляет Н или углеводородную группу, имеющую до 10 атомов углерода; Ar1 и Ar2 независимо представляют фенил, который несет 0-3 заместителя, независимо выбранных из галогена, CF3, CHF2; или его фармацевтически приемлемой соли. Также изобретение относится к способу получения соединений общей формулы I и к фармацевтической композиции на основе соединения общей формулы I, которую применяют в качестве ингибитора гамма-секретазы. Технический результат: получены новые производные циклических сульфонамидов, обладающих ингибирующей активностью в отношении гамма-секретазы и пригодных для лечения и профилактики болезни Альцгеймера. 4 н. и 5 з.п. ф-лы.
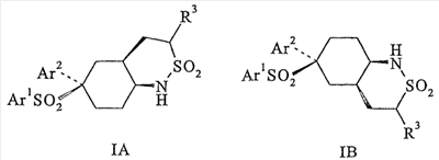
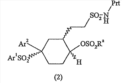
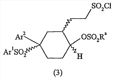
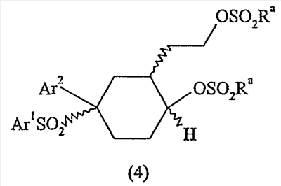
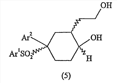
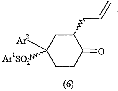
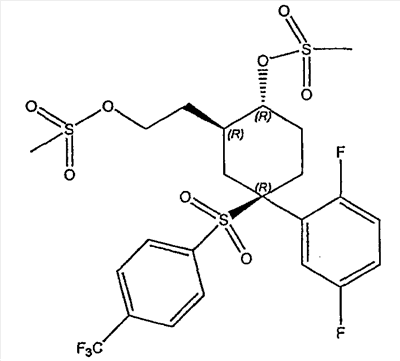
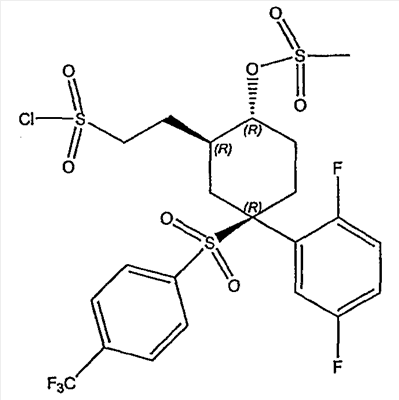
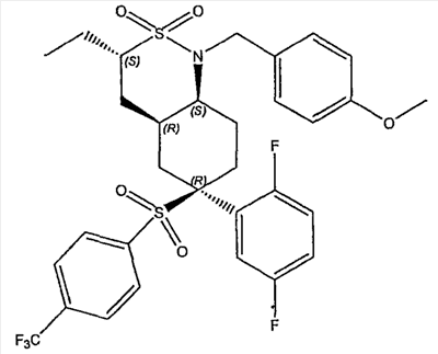
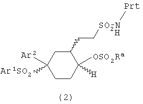
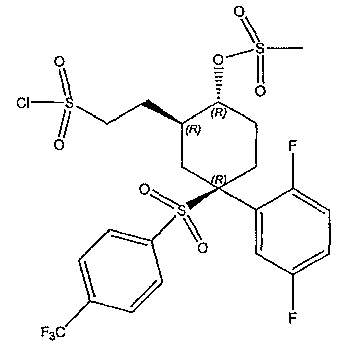
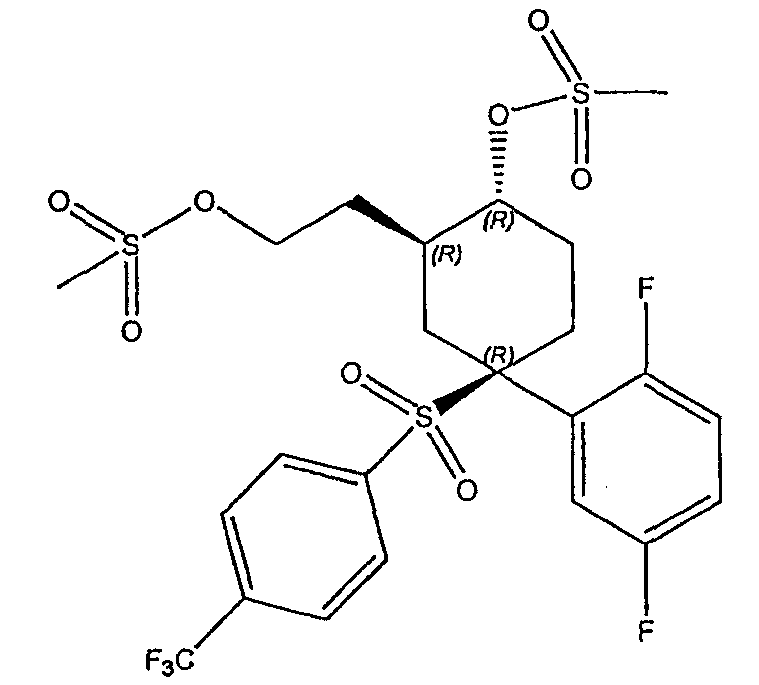
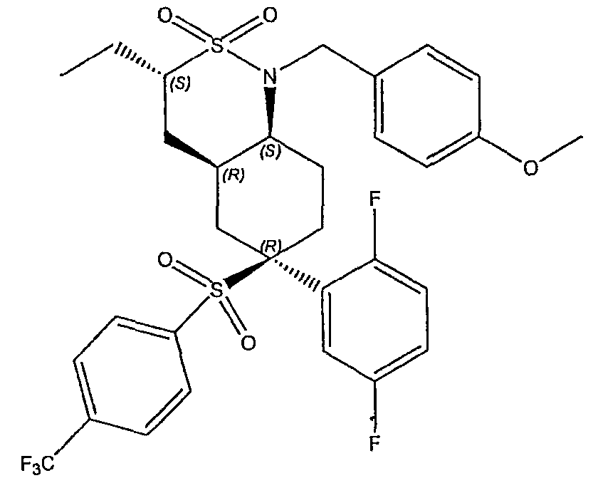
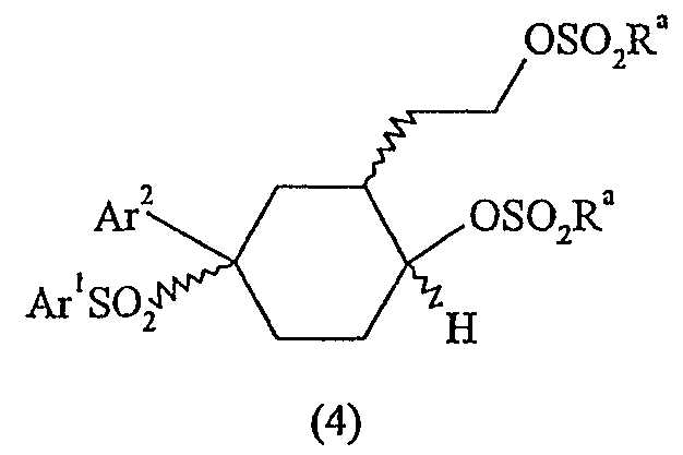
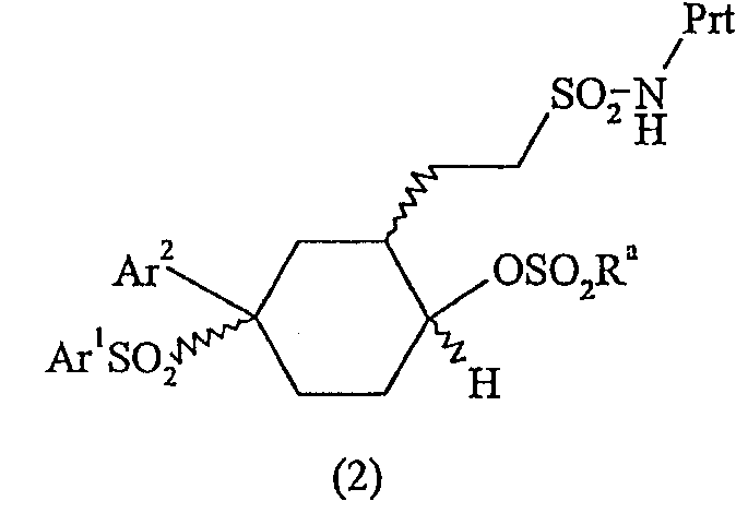
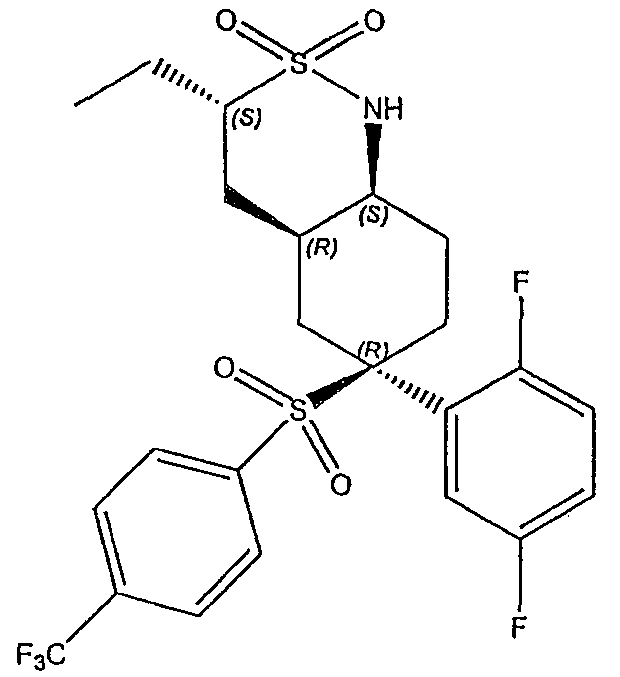
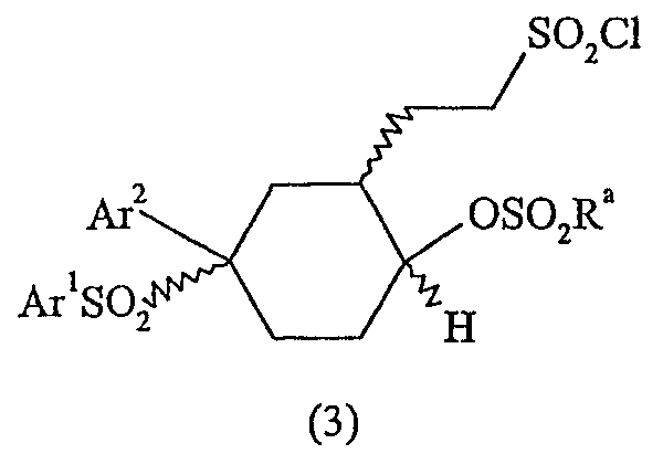
Настоящее изобретение относится к новому классу соединений, их солям, фармацевтическим композициям, включающим их, способам для их изготовления и их применению при лечении организма человека. В частности, изобретение относится к новым циклогексилсульфонам, включающим дополнительную конденсированную кольцевую циклическую сульфонамидную группу. Соединения ингибируют процессинг АРР Болезнь Альцгеймера (AD) представляет собой наиболее распространенную форму деменции. Хотя AD в первую очередь является заболеванием лиц пожилого возраста, поражающим до 10% населения в возрасте старше 65 лет, она также поражает значительные количества более молодых пациентов с генетической предрасположенностью. Она представляет собой нейродегенеративное расстройство, клинически характеризуемое прогрессирующей потерей памяти и познавательной функции, и патоморфологически характеризуется отложением внеклеточных белковых бляшек в корковых и ассоциативных областях мозга лиц, страдающих этим заболеванием. Эти бляшки главным образом включают фибриллярные агрегаты Имеется все большее количество сообщений в литературе о соединениях с ингибиторной активностью в отношении В документе WO 00/50391 раскрыт широкий класс сульфонамидов в качестве модуляторов продуцирования Настоящее изобретение предоставляет новый класс циклогексилсульфонов, включающих дополнительное конденсированное кольцо, которое содержит сульфонамидную группу. Соединения ингибируют процессинг АРР предполагаемой В соответствии с изобретением предоставляется соединение формулы I: где связи, указанные волнистыми линиями, представляют собой взаимно цис- в отношении циклогексанового кольца; R3 представляет Н или углеводородную группу, имеющую до 10 атомов углерода, необязательно замещенную CF3, CHF2, галогеном, CN, OR5, COR5, CO2R5, OCOR6, N(R5)2, CON(R5)2, или NR5COR6; R5 представляет Н или С1-4алкил; R6 представляет С1-4алкил; и Ar1 и Ar2 независимо представляют фенил или гетероарил, любой из которых несет 0-3 заместителя, независимо выбранных из галогена, CN, NO2, CF3, CHF2, OH, OCF3, CHO, CH=NOH, С1-4алкокси, С1-4алкоксикарбонила, С2-6ацила, С2-6алкенила и С1-4алкила, который необязательно несет заместитель, выбранный из галогена, CN, NO2, CF3, OH и С1-4алкокси; или его фармацевтически приемлемую соль. В формуле I и других формулах, представленных в настоящем описании, используется условное обозначение, посредством которого показывают, что волнистые линии обозначают связи, которые представляют собой взаимно цис- в отношении циклогексанового кольца. Все такие связи или выступают кверху от кольца, или выступают книзу от кольца. Сигма связи, присоединенные к циклогексановому кольцу и представленные сплошной линией, обязательно имеют ориентацию, противоположную ориентации связей, представленных волнистыми линиями. Соединения формулы I существуют в двух энантиомерных формах, в зависимости от того, выступают ли связи, указанные волнистыми линиями, кверху или книзу, соответствующие формулам IA и IB: где R3, Ar1 и Ar2 имеют такие же значения, как указано выше. Следует понимать, что любое соединение в соответствии с изобретением может существовать или в гомохиральных формах IA и IB, или в виде смеси обоих в любой пропорции. В дополнение к описанному выше изомеризму, соединения в соответствии с изобретением могут включать один или более асимметричных центров и, соответственно, могут существовать в виде энантиомеров. Когда соединения в соответствии с изобретением обладают двумя или более асимметричными центрами, они могут дополнительно существовать в виде диастереоизомеров. Следует понимать, что все такие изомеры и их смеси в любом соотношении охватываются объемом настоящего изобретения. При отсутствии других указаний, когда переменная величина встречается более одного раза в формуле I, отдельные значения независимы друг от друга. Используемое в настоящем описании выражение «углеводородная группа» относится к группам, состоящим только из атомов углерода и водорода. Такие группы могут включать линейные, разветвленные или циклические структуры, отдельно или в любой комбинации, согласующейся с указанным максимальным количеством атомов углерода, и они могут быть насыщенными или ненасыщенными, включая ароматические, когда это допускается указанным максимальным числом атомов углерода. Используемое в настоящем описании выражение «С1-халкил», где х представляет собой целое число больше 1, относится к нормальным и разветвленным алкильным группам, где количество составляющих атомов углерода находится в диапазоне от 1 до х. Конкретными алькильными группами являются метил, этил, н-пропил, изопропил и трет-бутил. Производные выражения, такие как «С2-6алкенил», «гидроксиС1-6алкил», «гетероарилС1-6алкил», «С2-6алкинил» и «С1-6алкокси», следует рассматривать аналогичным образом. Наиболее подходяще количество атомов углерода в таких группах составляет не более 6. Используемое в настоящем описании выражение «С2-6ацил» относится к С1-5алкилкарбонильным группам, в которых алкильная часть может быть нормальной, разветвленной или циклической и может быть галогенизированной. Примеры включают ацетил, пропионил и трифторацетил. Используемое в настоящем описании выражение «гетероарил» означает моноциклическую систему из 5 или 6 кольцевых атомов или конденсированную бициклическую систему, имеющую до 10 кольцевых атомов, выбранных из C, N, O и S, где, по меньшей мере, одно из составляющих колец является ароматическим и включает, по меньшей мере, один кольцевой атом, который отличается от атома углерода. Предпочтительны моноциклические системы из 5 или 6 членов. Примеры гетероарильных групп включают пиридинильную, пиридазинильную, пиримидинильную, пиразинильную, пирролильную, фурильную, тиенильную, пиразолильную, оксазолильную, изоксазолильную, тиазолильную, изотиазолильную, имидазолильную, оксадиазолильную, триазолильную и тиадиазолильную группы и их безо-конденсированные аналоги. Дополнительные примеры гетероарильных групп включают тетразол, 1,2,4-триазин и 1,3,5-триазин. Пиридиновые кольца могут быть в N-оксидной форме. Когда фенильная группа или гетероарильная группа несет более одного заместителя, предпочтительно не более чем один из указанных заместителей является отличным от галогена или алкила. Когда алкильная группа несет более одного заместителя, предпочтительно не более чем один из указанных заместителей является отличным от галогена. Используемый в настоящем описании термин «галоген» включает фтор, хлор, бром и йод, из которых предпочтительны фтор и хлор. Для применения в медицине соединения формулы I могут быть преимущественно в форме фармацевтически приемлемых солей. Однако другие соли можно использовать при получении соединений формулы I или их фармацевтически приемлемых солей. Подходящие фармацевтически приемлемые соли соединений настоящего изобретения включают кислотно-аддитивные соли, которые могут, например, быть образованы смешиванием раствора соединения в соответствии с изобретением с раствором фармацевтически приемлемой кислоты, такой как хлористоводородная кислота, серная кислота, бензолсульфоновая кислота, метансульфоновая кислота, фумаровая кислота, малеиновая кислота, янтарная кислота, уксусная кислота, безойная кислота, щавелевая кислота, лимонная кислота, винная кислота, угольная кислота или фосфорная кислота. Альтернативно, когда соединение изобретения несет кислотную часть, фармацевтически приемлемая соль может быть образована нейтрализацией указанной кислотной части подходящим основанием. Примеры образованных таким образом фармацевтически приемлемых солей включают соли щелочных металлов, такие как соли натрия и калия; соли аммония; соли щелочно-земельных металлов, такие как соли кальция и магния; и соли, образованные с подходящими органическими основаниями, такие как аминовые соли (включая соли пиридиния) и соли четвертичного аммония. В соединениях формулы I Ar1 и Ar2 независимо представляют необязательно замещенный фенил или гетероарил. Ar1 предпочтительно выбран из необязательно замещенного фенила и необязательно замещенного 6-членного гетероарила. Предпочтительные 6-членные гетероарильные варианты Ar1 включают необязательно замещенный пиридил, в частности необязательно замещенный 3-пиридил. Ar1 предпочтительно выбран из 6-(трифторметил)-3-пиридила и фенила, который необязательно замещен в положении 4 галогеном, CN, винилом, аллилом, ацетилом, метилом или моно-, ди- или трифторметилом. В одном предпочтительном варианте осуществления изобретения Ar1 представляет 4-хлорфенил. В другом предпочтительном варианте осуществления Ar1 представляет 4-трифторметилфенил. В другом предпочтительном варианте осуществления изобретения Ar1 представляет 6-(трифторметил)-3-пиридил. Ar2 предпочтительно представляет необязательно замещенный фенил, в частности фенил, несущий 2 или 3 заместителя, выбранные из галогена, CN, CF3 и необязательно замещенного алкила. Ar2 обычно выбран из фенильных групп, несущих галогеновые заместители (предпочтительно фтор) в положениях 2- и 5-, положениях 2- и 6- или в положениях 2-, 3- и 6- или из фенильных групп, несущих заместитель в виде фтора в положении 2- и галогена, CN, метила или гидроксиметила в положении 5-. В предпочтительном варианте осуществления изобретения Ar2 представляет 2,5-дифторфенил, 2,6-дифторфенил или 2,3,6-трифторфенил. В конкретном варианте осуществления Ar1 представляет собой 4-хлорфенил или 4-трифторметилфенил и Ar2 представляет собой 2,5-дифторфенил. R3 представляет Н или углеводородную группу, имеющую до 10 атомов углерода, необязательно замещенных, как определено ранее. Углеводородные группы, представленные R3, являются предпочтительно неароматическими и незамещенными и предпочтительно включают до 6 атомов углерода. Типичные примеры включают алкильные группы (такие как метил, этил, н-пропил, изопропил и н-бутил) и алкенильные группы (такие как аллил). Предпочтительные соединения изобретения включают соединения, в которых Ar1 представляет 4-хлорфенил или 4-трифторметилфенил, Ar2 представляет 2,5-дифторфенил и R3 представляет Н, метил, этил, н-пропил, изопропил или аллил, и их фармацевтически приемлемые соли. Специфические примеры соединений в соответствии с изобретением включают 2,2-диоксид (4aRS,6RS,8aSR)-6-(2,5-дифторфенил)-6-{[4-(трифторметил)фенил]сульфонил}октагидро-1Н-2,1-бензотиазина; 2,2-диоксид (3S,4aR,6R,8aS)-6-(2,5-дифторфенил)-3-этил-6-{[4-(трифторметил)фенил]сульфонил}октагидро-1Н-2,1-бензотиазина; 2,2-диоксид (3R,4aR,6R,8aS)-6-(2,5-дифторфенил)-3-этил-6-{[4-(трифторметил)фенил]сульфонил}октагидро-1Н-2,1-бензотиазина; 2,2-диоксид (3RS,4aRS,6RS,8aSR)-6-(2,5-дифторфенил)-3-изопропил-6-{[4-(трифторметил)фенил]сульфонил}октагидро-1Н-2,1-бензотиазина; 2,2-диоксид (3SR,4aRS,6RS,8aSR)-6-(2,5-дифторфенил)-3-изопропил-6-{[4-(трифторметил)фенил]сульфонил}октагидро-1Н-2,1-бензотиазина и 2,2-диоксид (3S,4aR,6R,8aS)-6- [(4-(хлорфенил)сульфонил]-6-(2,5-дифторфенил)-3-этилоктагидро-1Н-2,1-бензотиазина; и их фармацевтически приемлемые соли. Соединения настоящего изобретения имеют активность в качестве ингибиторов Изобретение также предоставляет фармацевтические композиции, включающие одно или несколько соединений настоящего изобретения и фармацевтически приемлемый носитель. Предпочтительно эти композиции представлены в стандартных лекарственных формах, таких как таблетки, пилюли, капсулы, порошки, гранулы, стерильные парентеральные растворы или суспензии, дозированные аэрозольные или жидкие спреи, капли, ампулы, трансдермальные пластыри, аутоинжекторные устройства или суппозитории; для перорального, парентерального, интраназального, сублингвального или ректального введения, или для введения ингаляцией или инсуффляцией. Основной активный ингредиент обычно смешивают с фармацевтическим носителем, например с обычными ингредиентами для таблетирования, такими как кукурузный крахмал, лактоза, сахароза, сорбит, тальк, стеариновая кислота, стеарат магния и дикальцийфосфат, или смолами, диспергирующими средствами, суспендирующими средствами или поверхностно-активными веществами, такими как моноалеат сорбитана и полиэтиленгликоль, и другими фармацевтическими разбавителями, например водой, для образования однородной предварительно составленной композиции, содержащей соединение настоящего изобретения или его фармацевтически приемлемую соль. При указании того, что эти предварительно составленные композиции являются однородными, подразумевается, что активный ингредиент равномерно распределен по всей композиции так, что композиция может быть легко подразделена на одинаково эффективные стандартные лекарственные формы, такие как таблетки, пилюли и капсулы. Затем эта предварительно составленная композиция подразделяется на стандартные лекарственные формы описанного выше типа, содержащие от 0,1 до примерно 500 мг активного ингредиента настоящего изобретения. Типичные стандартные лекарственные формы содержат от 1 до 100 мг, например 1, 2, 5, 10, 25, 50 или 100 мг, активного ингредиента. Таблетки или пилюли новой композиции могут быть покрыты или другим образом компаундированы для предоставления лекарственной формы, обеспечивающей преимущество продолжительного действия. Например, таблетка или пилюля может включать внутренний компонент дозировки и наружный компонент дозировки, причем последний представлен в форме оболочки вокруг первого. Эти 2 компонента могут быть отделены энтеросолюбильным слоем, который служит для противодействия разрушению в желудке и дает возможность внутреннему компоненту проходить в неизмененном виде в 12-перстную кишку или высвобождаться с задержкой. Разнообразные материалы можно использовать для таких энтеросолюбильных слоев или покрытий, причем такие материалы включают ряд полимерных кислот и смесей полимерных кислот с такими материалами, как шеллак, цетиловый спирт и ацетат целлюлозы. Жидкие формы, в которых новые композиции настоящего изобретения могут быть включены для перорального введения или инъекцией, включают водные растворы, капсулы, заполненные жидкостью или гелем, подходящим образом ароматизированные сиропы, водные или масляные суспензии и ароматизированные эмульсии с пищевыми маслами, такими как масло семян хлопка, кунжутное масло или кокосовое масло, а также эликсиры и подобные фармацевтические носители. Подходящие диспергирующие или суспендирующие агенты для водных суспензий включают синтетические и естественные смолы, такие как трагакант, акация, альгинат, декстран, карбоксиметилцеллюлоза натрия, метилцеллюлоза, поли(этиленгликоль), поли(винилпирролидон) или желатин. Настоящее изобретение также предоставляет соединение формулы Ia или его фармацевтически приемлемую соль для использования в способе лечения организма человека. Предпочтительно лечение проводится по поводу состояния, связанного с отложением Настоящее изобретение, кроме того, предоставляет применение соединения формулы I или его фармацевтически приемлемой соли при изготовлении лекарственного средства для лечения или профилактики болезни Альцгеймера. Раскрыт также способ лечения индивидуума, страдающего болезнью Альцгеймера или склонного к ее развитию, который включает введение этому индивидууму эффективного количества соединения в соответствии с настоящим изобретением или его фармацевтически приемлемую соль. Для лечения или профилактики болезни Альцгеймера подходящий уровень дозировки составляет примерно от 0,01 до 250 мг/кг/д, предпочтительно примерно от 0,05 до 100 мг/кг/д, предпочтительнее примерно от 0,1 до 50 мг/кг массы тела/д, а для наиболее предпочтительных соединений примерно от 0,1 до 20 мг/кг массы тела/д. Соединения можно вводить по схеме 1-4 раза/д. Однако в некоторых случаях можно применять дозировку вне этих пределов. Предпочтительный способ получения соединений формулы I, в которых R3 отличен от Н, включает алкилирование соединения (1) R3a-L с последующим отщеплением N-защитной группы: где R3a представляет собой R3, который отличен от H, L представляет собой уходящую группу, такую как галогенид (в частности, бромид иди йодид), мезилат, тозилат или трифлат, Prt представляет собой защитную группу, такую как пара-метоксибензил, и Ar1 и Ar2 имеют такие же значения как ранее. Алкилирование происходит в апротонном растворителе (таком как THF) в присутствии сильного основания (такого как бис(триметилсилил)амид лития) при пониженной температуре (например, -78°С). Когда Prt представляет собой пара-метоксибензил, отщепление может быть осуществлено обработкой кислотой, например трифторуксусной кислотой, при температуре окружающей среды в инертном растворителе, таком как дихлорметан. Предпочтительный способ получения соединений (1) включает циклизацию сульфонамидов (2): где Ar1, Ar2 и Prt имеют такие же значения, как ранее, а Ra представляет С1-6алкил, который необязательно несет до 3 галогеновых заместителей (таких как F или Cl), или фенил, который необязательно несет до 3 заместителей, выбранных из галогена и С1-4алкила. Примеры групп, представленных Ra, включают метил, CF3, фенил и пара-толил, из которых предпочтителен метил. Циклизацию можно проводить обработкой сильным основанием, таким как гидрид натрия, в апротонном растворителе, таком как DMF, при умеренно повышенной температуре (например, примерно 75°С). Соединения (2) можно получить взаимодействием сульфонилхлоридов (3) с PrtNH2: где Ra, Ar1, Ar2 и Prt имеют такие же значения, как ранее. Реакцию можно проводить в инертном растворителе, таком как дихлорметан, примерно при 0°С с использованием избытка амина. Сульфонилхлориды (3) можно получить взаимодействием сульфонатов (4) с тиомочевиной и обработкой полученных аддуктов хлором: где Ra, Ar1 и Ar2 имеют такие же значения, как ранее. Реакцию с тиомочевиной можно проводить при кипячении в этаноле с обратным холодильником, и полученный аддукт можно обработать газообразным хлором в водном растворе уксусной кислоты. Сульфонаты (4) можно получить обработкой диолов (5) RaSO2Cl или (RaSO2)2O: где Ra, Ar1 и Ar2 имеют такие же значения, как ранее. Реакцию можно проводить в дихлорметане примерно при -10°С в присутствии основания, такого как триэтиламин. Диолы можно получить последовательной обработкой кетонов (6) озоном и боргидридом натрия: где Ar1 и Ar2 имеют такие же значения, как ранее. Озонирование обычно проводят примерно при -78°С в смеси дихлорметана/метанола, затем добавляют боргидрид натрия при нагревании до температуры окружающей среды. Кетоны (6) получают алкилированием циклогексанонов (7) аллилбромидом или аллилйодидом: где Ar1 и Ar2 имеют такие же значения, как ранее. Реакцию можно проводить в THF при -78°С в присутствии сильного основания, такого как гексаметилдисилазид лития. В качестве альтернативы гексаметилдисилазиду лития может быть использован продукт, полученный в результате взаимодействия BuLi с хиральным амином, таким как [S-(R*,R*)]-(-)-бис( Подробные методики для этого и других способов получения соединений формулы I предоставлены в разделе «Примеры». Для специалистов в данной области будет очевидно, что отдельные соединения формулы I, полученные описанными выше способами, могут быть превращены в другие соединения, соответствующие формуле I, следуя хорошо известным методикам синтеза, таким как алкилирование, этерификация, амидное сочетание, гидролиз, сочетание, опосредованное металлоорганическими соединениями, окисление и восстановление. Такие методики можно аналогичным образом проводить на предшественниках соединений формулы I. Например, заместители в ароматических группах Ar1 и Ar2 могут быть введены или взаимно превращены стандартными способами синтеза, проводимыми на соединениях формулы I, или их предшественниках. Например, атом хлора или брома на Ar1 и Ar2 могут быть замещены винилом обработкой винилтрибутилоловом в присутствии три-трет-бутилфосфата, фторида цезия и трис(дибензилиденацетон)дипалладия(0). Озонирование винильной группы обеспечивает соответствующее формильное производное, которое может быть трансформировано разнообразными путями, включая окисление в соответствующую кислоту, восстановление в соответствующий бензиловый спирт и превращение в соответствующий нитрил обработкой гидроксиламином, затем трифенилфосфином и тетрахлоридом углерода. Аналогичным образом, соединения формулы I, в которых R3 представляет собой алкенил, такой как аллил, можно подвергнуть озонированию и дальнейшей трансформации способом, описанным в предыдущем абзаце. Когда они сами не имеются в продаже, исходные вещества и реагенты, используемые в описанных выше схемах синтеза, можно получить применением стандартных методик органического синтеза к имеющимся в продаже веществам. Следует понимать, что многие из описанных выше синтетических схем могут вызвать образование смесей стереоизомеров. Такие смеси можно отделить обычными способами, такими как фракционная кристаллизация и препаративная хроматография. Определенные соединения в соответствии с изобретением могут существовать в виде оптических изомеров вследствие присутствия одного или нескольких хиральных центров или ввиду общей асимметрии молекулы. Такие соединения можно получить в рацемической форме, или отдельные энантиомеры можно получить или энантиоспецифическим синтезом, или разделением. Новые соединения могут быть, например, разделены на составляющие смесь энантиомеры стандартными методиками, таким как препаративная ВЭЖХ, или образование диастереомерных пар образованием соли оптически активной кислотой, такой как ди-пара-толуил-D-винная кислота и/или ди-пара-толуил-L-винная кислота, с последующей фракционной кристаллизацией и регенерацией свободного основания. Новые соединения могут также быть разделены образованием сложных диастереомерных эфиров с последующим хроматографическим разделением и последующим удалением фрагмента хирального вспомогательного агента. Во время любой из указанных выше синтетических последовательностей может быть необходимо и/или желательно защитить чувствительные или реакционно-способные группы в любой из рассматриваемых молекул. Это может быть достигнуто посредством обычных защитных групп, таких как группы, описанные в публикациях Protective Groups in Organic Chemistry, ed. J.F.W. McOmie, Plenum Press, 1973; and T.W. Greene & P.G.M. Wuts, Protective Groups in Organic Synthesis, John Wiley & Sons, 3rd ed., 1999. Защитные группы могут быть удалены на удобной последующей стадии, используя способы, известные в данной области. Анализ, который можно использовать для определения уровня активности соединений настоящего изобретения, описан в публикации WO01/70677. Предпочтительный анализ для определения такой активности описан в публикации WO03/093252. Альтернативные анализы описаны в Biochemistry, 2000, 39(30), 8698-8704. См. также J.Neuroscience Methods, 2000, 102, 61-68. Соединения всех примеров настоящего изобретения имели ED50 менее чем 0,5 мкМ, обычно менее чем 50 нМ, в большинстве случаев менее чем 10 нМ и в предпочтительных классах менее чем 1,0 нМ, по меньшей мере, в одном из указанных выше анализов. Следующие примеры иллюстрируют настоящее изобретение. В интересах удобства, соединения изображены как соответствующие формуле IA, даже если они являются рацемическими. Гомохиральные соединения описаны с указанием конфигурации R и S. ПРИМЕРЫ Промежуточное соединение 1 4-[(4-хлорфенил)сульфонил]-4-(2,5-дифторфенил)-2-[2-(триметилсилил)этоксиметил]циклогексанон 4-[(4-хлорфенил)сульфонил]-4-(2,5-дифторфенил)циклогексанон (WO 02/081435) (2,0 г, 5,2 ммоль) в безводном тетрагидрофуране (10 мл) добавляют по каплям к охлажденному раствору 0,5 М гексаметилдисалазида лития в тетрагидрофуране (11,4 мл) при -78°С. Смесь перемешивают в при этой температуре в течение 2 ч перед добавлением 2-(триметилсилил)этоксиметилхлорида (1,4 мл, 7,8 ммоль) и раствору дают возможность нагреться до комнатной температуры в течение 16 ч. Реакционную смесь разбавляют этилацетатом (10 мл), промывают водой (10 мл) и органическую фазу отделяют, сушат (MgSO4) и выпаривают досуха. Продукт очищают на диоксиде кремния, элюируя [9:1] гексана-этилацетата для получения 1,2 г указанного в заголовке соединения. 1Н ЯМР CDCl3 7,38 (4H, с), 7,24-7,16 (1H, м), 7,12-7,06 (1Н, м), 6,97-6,87 (1H, м), 3,66 (1H, дд, J=9,7 и 3,0 Гц), 3,51-3,45 (3H, м), 3,17-3,15 (1H, м), 3,05-2,98 (1Н, м), 2,56-2,49 (2H, м), 2,41-2,35 (2H, м), 2,23-2,17 (1H, м), 0,91-0,87 (2H, м) и 0,03 (9H, с). Промежуточное соединение 2 4-[(4-трифторметилфенил)сульфонил]-4-(2,5-дифторфенил)-2-[2-(триметилсилил)этоксиметил]циклогексанон Получают так же как промежуточное соединение 1, исходя из 4-[(4-трифторметилфенил)сульфонил]-4-(2,5-дифторфенил)циклогексанона (WO 02/081435), в виде твердого вещества. 1Н ЯМР CDCl3 7,69-7,59 (4H, м), 7,24-7,18 (1Н, м), 7,12-7,06 (1H, м), 6,93-6,86 (1H, м), 3,67 (1H, дд, J=9,7 и 2,9 Гц), 3,58-3,47 (3H, м), 3,20-3,16 (1Н, м), 3,04-2,98 (1Н, м), 2,57-2,51 (2H, м), 2,41-2,38 (2H, м), 2,24-2,16 (1Н, м), 0,91-0,87 (2H, м) и 0,03 (9H, с). Промежуточное соединение 3 (R,S)-4-[(4-трифторметилфенил)сульфонил]-4-(2,5-дифторфенил)-2-[2-(триметилсилил)этоксиметил]циклогексанон [S-(R*,R*)]-(-)-бис( Промежуточное соединение 4 (R,S) (R,S)-4-[(4-хлорфенил)сульфонил]-4-(2,5-дифторфенил)-2-[2-(триметилсилил)этоксиметил]циклогексанон Получают таким же образом, как промежуточное соединение 3, используя 4-[(4-хлорфенил)сульфонил]-4-(2,5-дифторфенил)циклогексанон в качестве исходного материала. Данные ЯМР, как для промежуточного соединения 1. Пример 1 2,2-диоксид (4aRS,6RS,8aSR)-6-(2,5-дифторфенил)-6-{[4-(трифторметил)фенил]сульфонил}октагидро-1Н-2,1-бензотиазина Стадия 1 Промежуточное соединение 2 в изопропаноле обрабатывают NaBH4 (4 эквивалента) при -40°С и перемешивают, по ходу реакции давая нагреться до комнатной температуры, в течение 16 ч. Реакцию гасят 8% водным раствором лимонной кислоты, разбавляют этилацетатом, затем органическую фазу отделяют, сушат (MgSO4) и выпаривают досуха. Транспродукт очищают на диоксиде кремния, элюируя смесями гескана-этилацетата. Стадия 2 Спирт из стадии 1 в дихлорметане (100 мл) обрабатывают триэтиламином (2 эквивалента) при 0°С и перемешивают при добавлении метансульфонилхлорида (1,2 эквивалента). Реакционной смеси дают возможность нагреться до комнатной температуры в течение 1 ч, промывают водой, 10% водной лимонной кислотой и насыщенным водным гадрокарбонатом натрия, затем сушат (MgSO4) и выпаривают досуха. Остаток фильтруют через диоксид кремния, элюируя 20% этилацетатом в гексанах, получая мезилат. Это твердое вещество в диметилформамиде обрабатывают азидом натрия (приблизительно 2-кратным избытком) и нагревают до 95°С в течение 8 ч. Смесь обрабатывают водой и экстрагируют дважды этилацетатом. Объединенные органические вещества промывают раствором соли, сушат (MgSO4) и выпаривают досуха. Остаток в тетрагидрофуране и воде (10:1 об./об.) обрабатывают трифенилфосфином (1,2 эквивалента) при комнатной температуре в течение 15 мин и затем смесь нагревают при кипении с обратным холодильником в течение 4 ч. Смеси дают возможность охладиться до комнатной температуры, а затем пропускают через кассету SCX Varian Bond ElutTM. Основную фракцию выпаривают для получения первичного амина. 1Н ЯМР CDCl3 7,67-7,55 (4H, м), 7,09-7,00 (2H, м), 6,85-6,77 (1H, м), 3,51-3,16 (5H, м), 2,65-2,29 (4H, м), 1,76-1,71 (3H, м), 0,93-0,89 (2H, м) и 0,03 (9H, с). МС MH+ 550. Стадия 3 Триэтиламин (175 мкл, 1,26 ммоль) добавляют к раствору продукта стадии 2 (230 мг, 0,419 ммоль) и метансульфонилхлорида (65 мкл, 0,838 ммоль) в дихлорметане (5 мл). Смесь перемешивают при комнатной температуре в течение 3 ч, выпаривают досуха и остаток распределяют между этилацетатом и 2М хлористоводородной кислотой. Органический слой промывают 2М хлористоводородной кислотой и затем 4М гидроокисью натрия, сушат (MgSO4), фильтруют и растворитель удаляют для получения желательного метансульфонамида в виде светло-желтой пены. Выход 263 мг. 1H ЯМР (400 МГц, CDCl3) Стадия 4 Продукт стадии 3 (263 мг, 0,419 ммоль) в диметилформамиде (5 мл) обрабатывают гидридом натрия (60% дисперсия в минеральном масле, 90 мг, 2,25 ммоль), смесь перемешивают при комнатной температуре в течение 30 мин, затем добавляют аллилбромид (382 мкл, 4,51 ммоль), смесь нагревают до 65°С и перемешивают в течение ночи. Охлажденную смесь гасят водой и экстрагируют этилацетатом. Органический экстракт промывают водой, сушат (MgSO4), фильтруют и растворитель удаляют. Остаток очищают колоночной хроматографией на диоксиде кремния, элюируя 25% этилацетатом:75% изогексаном для получения производного N-аллила в виде желтой пены. Выход 150 мг. 1H ЯМР (300 МГц, CDCl3) Стадия 5 Продукт стадии 4 (150 мг, 0,225 ммоль) в дихлорметане обрабатывают трифториддиэтилэтератом бора (250 мкл, 1,99 ммоль) и через 2 ч смесь охлаждают до 0°С и перемешивают во время добавления гидроокиси натрия (2,5М). Слои разделяют и органические вещества промывают раствором соли, сушат (MgSO4) и выпаривают с получением масла, которое подвергают азеотропной перегонке с гептаном для получения спирта (115 мг). 1H ЯМР (500 МГц, CDCl3) Стадия 6 Спирт со стадии 5 (115 мг, 0,203 ммоль) и метансульфонилхлорид (47 мкл, 0,609 ммоль) в дихлорметане (5 мл) обрабатывают триэтиламином (141 мкл, 1,01 ммоль) и смесь перемешивают при комнатной температуре в течение 3 ч. Растворитель удаляют под пониженным давлением и остаток распределяют между этилацетатом и 2М хлористоводородной кислотой. Органические фракции отделяют, промывают 2М хлористоводородной кислотой и затем 4М гидроксидом натрия, сушат (MgSO4), фильтруют и растворитель удаляют азеотропной перегонкой с толуолом для удаления следов этилацетата, для получения мезилата в виде белой пены. Выход 130 мг. Стадия 7 Мезилат со стадии 6 (130 мг, 0,202 ммоль) в тетрагидрофуране (5 мл) при -30°С в атмосфере газообразного азота обрабатывают бутиллитием (1,6 М раствор в гексанах, 252 мкл) и реакционной смеси дают возможность медленно нагреться до комнатной температуры, затем гасят водой и экстрагируют этилацетатом. Органический экстракт промывают водой, сушат (MgSO4), фильтруют и выпаривают. Остаток очищают колоночной хроматографией на силикагеле, элюируя 25% этилацетатом:75% изогексаном для получения требуемого циклического сульфонамида в виде белого порошка. Выход 15 мг (14%). 1H ЯМР (500 МГц, CDCl3) Стадия 8 Продукт стадии 7 (12 мг, 0,022 ммоль) в толуоле (2 мл) обрабатывают [1,3-бис(дифенилфосфин)пропан]дихлорникелем (II) (1,2 мг, 0,0022 ммоль), затем гидридом диизобутиламмония (1,5 М раствор в толуоле, 30 мкл). Смесь перемешивают при комнатной температуре в течение 3 ч, затем гасят 4 М гидроксидом натрия и экстрагируют этилацетатом. Органические экстракты сушат (MgSO4), фильтруют через слой силикагеля, элюируя этилацетатом, и выпаривают досуха. Остаток растирают в порошок в простом диэтиловом эфире и твердое вещество отделяют, получая указанное в заголовке соединение в виде белого твердого вещества. Выход 6 мг (55%). 1H ЯМР (500 МГц, CDCl3) Пример 2 2,2-диоксид (3S,4aR,6R,8aS)-6-(2,5-дифторфенил)-3-этил-6-{[4-(трифторметил)фенил]сульфонил}октагидро-1Н-2,1-бензотиазина Стадия 1 Промежуточное соединение 3 (830 мг, 1,29 ммол) обрабатывают, как описано в примере 1, стадии 1-7, для получения хирального N-аллилсульфонамида в виде белого твердого вещества. Выход 300 мг (42%). 1H ЯМР (500 МГц, CDCl3) Стадия 2 Продукт стадии 1 (80 мг, 0,146 ммоль) в тетрагидрофуране (5 мл) при 0°С обрабатывают бис(триметилсилил)амидом лития (1М раствор в тетрагидрофуране, 292 мкл) и смесь перемешивают при 0°С в течение 30 мин перед добавлением йодэтана (15 мкл, 0,188 ммоль). Полученной смеси дают возможность медленно нагреться в течение ночи, гасят водой, затем экстрагируют этилацетатом. Органические экстракты сушат (MgSO4), фильтруют и растворитель удаляют. Остаток очищают колоночной хроматографией на силикагеле, элюируя 10-15% этилацетата:изогексана с получением менее полярного продукта (белое твердое вещество, выход 28 мг, 33%): 1H ЯМР (500 МГц, CD3OH) а также более полярного продукта (белое твердое вещество, выход 23 мг, 27%): 1H ЯМР (500 МГц, CD3OH) Стадия 3 Менее полярный продукт со стадии 2 (25 мг, 0,0433 ммоль) обрабатывают, как описано в примере 1, стадия 8, для получения требуемого хирального сульфонамида в виде белого твердого вещества. Выход 20 мг (86%). 1H ЯМР (500 МГц, CD3OH) Пример 3 2,2-диоксид (3R,4aR,6R,8aS)-6-(2,5-дифторфенил)-3-этил-6-{[4-(трифторметил)фенил]сульфонил}октагидро-1Н-2,1-бензотиазина Более полярный изомер из примера 2, стадия 2 (23 мг, 0,0433 ммоль) обрабатывают, как описано в примере 1, стадия 8, для получения требуемого хирального сульфонамида в виде белого твердого вещества. Выход 10 мг (46%). 1H ЯМР (500 МГц, CD3OH) Пример 4 2,2-диоксид (3RS,4aRS,6RS,8aSR)-6-(2,5-дифторфенил)-3-изопропил-6-{[4-(трифторметил)фенил]сульфонил}октагидро-1Н-2,1-бензотиазина Стадия 1 Продукт из примера 1, стадии 2 обрабатывают эфирным комплексом трифторида бора, как описано в примере 1, стадии 5. Полученный спирт (2 г, 3,1 ммоль) в дихлорметане (25 мл) обрабатывают триэтиламином (1,7 мл, 12,4 ммоль), 4-диметиламинопиридином (с катализатором) и трет-бутилдиметилсилилхлоридом (1,16 г, 7,75 ммоль). Через 16 ч смесь промывают 10% лимонной кислотой (10 мл), бикарбонатом натрия (насыщенным, 20 мл) и раствором соли (насыщенным, 15 мл). Органические вещества сушат (MgSO4) и выпаривают и остаток фильтруют через диоксид кремния, элюируя 1% аммиаком в этилацетате для получения желательного простого трет-бутилдиметилсилилового эфира в виде белого твердого вещества (1,8 г) MS ES+564. Стадия 2 Простой силиловый эфир со стадии 1 (1,8 г, 3,2 ммоль) и изобутансульфонилхлорид (1,12 г, 8 ммоль) перемешивают в дихлорметане (20 мл) и добавляют триэтиламин (1,34 мл, 9,5 ммоль). После перемешивания при комнатной температуре в течение 16 ч смесь выпаривают досуха и остаток распределяют между этилацетатом и 2М хлористоводородной кислотой. Органический слой отделяют, промывают 2М хлористоводородной кислотой, а затем 4М гидроксидом натрия, сушат (MgSO4), фильтруют и растворитель удаляют в вакууме. Остаток очищают колоночной хроматографией (элюируя 20% этилацетатом в гексанах) для получения сульфонамида (900 мг). Продукт растворяют в диметилформамиде (6 мл) и добавляют гидрид натрия (60% дисперсия в минеральном масле, 132 мг, 3,3 ммоль). Смесь перемешивают при комнатной температуре в течение 30 мин, добавляют аллилбромид (1,1 мл, 13 ммоль), затем смесь нагревают до 65°С в течение 72 ч. После охлаждения до комнатной температуры и гашения водой смесь экстрагируют этилацетатом. Органический экстракт промывают водой, сушат (MgSO4), фильтруют и растворитель удаляют. Остаток очищают колоночной хроматографией на силикагеле, элюируя 20% этилацетатом:80% изогексана для получения N-аллильного производного (400 мг). 1H ЯМР (360 МГц, CDCl3) Стадия 3 Получают из продукта стадии 2 (0,2 г) и пара-толуолсульфонилхлорида (3 эквивалента) в пиридине в присутствии 4-диметиламинопиридина (0,3 эквивалента) при 40°С. После экстракции, очистки колоночной хроматографией на диоксиде кремния элюирование 30% этилацетатом в гексанах дает тозилат (185 мг). Стадия 4 Тозилат из стадии 3 (186 мг, 0,24 ммоль) в тетрагидрофуране (9 мл) при -40°С в атмосфере азота обрабатывают гексаметилдисилазидом лития (1,0М раствор в тетрагидрофуране, 480 мкл) и реакционной смеси дают возможность медленно нагреться до комнатной температуры, затем гасят насыщенным водным хлоридом аммония и экстрагируют этилацетатом. Органический экстракт промывают водой, сушат (MgSO4), фильтруют и растворитель удаляют. Остаток очищают колоночной хроматографией на силикагеле, элюируя 15% этилацетатом:85% изогексана для получения менее полярного продукта в виде белого твердого вещества (48 мг): 1H ЯМР (500 МГц, CDCl3) а также более полярного продукта в виде белого твердого вещества (67 мг): 1H ЯМР (500 МГц, CDCl3) Стадия 5 Менее полярный продукт из стадии 4 (40 мг, 0,067 ммоль) обрабатывают, как описано в примере 1, стадия 8, для получения указанного в заголовке соединения в виде белого твердого вещества (23 мг). 1H ЯМР (500 МГц, CDCl3) Пример 5 2,2-диоксид (3SR,4aRS,6RS,8aSR)-6-(2,5-дифторфенил)-3-изопропил-6-{[4-(трифторметил)фенил]сульфонил}октагидро-1Н-2,1-бензотиазина Повторяют стадию 5 примера 4, используя более полярный изомер из стадии 4 (40 мг, 0,067 ммоль) для получения указанного в заголовке соединения в виде твердого белого вещества (23 мг). 1H ЯМР (500 МГц, CDCl3) Пример 6 2,2-диоксид (3S,4aR,6R,8aS)-6- [(4-(хлорфенил)сульфонил]-6-(2,5-дифторфенил)-3-этилоктагидро-1Н-2,1-бензотиазина Стадия 1 Промежуточное соединение 4 обрабатывают, как описано в примере 1, стадии 1 и 2. Полученный продукт (80% э.и.) (3,6 г, 6,96 ммоль) растворяют в изо-пропаноле (34 мл) и добавляют (1S)-(+)-камфорсульфоновую кислоту (1,37 г, 5,91 ммоль). Смесь кипятят с обратным холодильником, дают возможность медленно охладиться до комнатной температуры, а затем оставляют в холодильнике на ночь. Полученное твердое вещество отделяют, промывают предварительно охлажденным изопропанолом, затем суспендируют в этилацетате и промывают 4М гидроксидом натрия. Органические вещества сушат (MgSO4), фильтруют и растворитель удаляют для получения хирального амина (98% э.и.). Выход 3 г. 1H ЯМР CDCl3 7,39-7,31 (4H, м), 7,09-6,96 (2H, м), 6,85-6,80 (1H, м), 3,48-3,15 (5H, м), 2,93-2,29 (4H, м), 1,74-1,19 (3H, м), 0,93-0,89 (2H, м) и 0,03 (9H, с). МС MH+ 516(518). Стадия 2 Амин из стадии 1 (3 г) обрабатывают, как описано в примере 1, стадии 3-8, для получения требуемого гомохирального сульфонамида (60 мг). 1H ЯМР (500 МГц, CD3OH) Пример 7 2,2-диоксид (3S,4aR,6R,8aS)-6-(2,5-дифторфенил)-3-этил-6-{[4-(трифторметил)фенил]сульфонил}октагидро-1Н-2,1-бензотиазина – альтернативный путь Стадия 1 Раствор (1S)-1-фенил-N-[(1S)-1-фенилэтил}этанамина (10,8 г, 47,85 ммоль) и высушенный в печи хлорид лития (3,0 г, 71,80 ммоль) в тетрагидрофуране (200 мл) дегазируют в атмосфере азота. Реакционную смесь охлаждают до -78°С (в реакционной массе) и обрабатывают н-бутиллитием (1,6М в гексане, 30 мл, 47,85 ммоль) по каплям в течение 25 мин. После добавления реакционную смесь нагревают до -20°С и затем охлаждают до -100°С и перемешивают в течение 2 ч. Раствор 4-(2,5-дифторфенил)-4-[[4-(трифторметил)фенил]сульфонил]циклогексанона (20 г, 47,85 ммоль) в тетрагидрофуране (100 мл) (охлажденным до -78°С) канюлируют в реакционный сосуд в течение 20 мин. Еще через 30 мин при -100°С добавляют аллилйодид (8,80 мл, 95,60 ммоль) и реакционной смеси дают возможность нагреться до комнатной температуры в течение 18 ч. Реакционную смесь подкисляют раствором лимонной кислоты (200 мл) и разводят этилацетатом (300 мл). Слой этилацетата отделяют и повторно промывают раствором лимонной кислоты (200 мл), 10% раствором аммиака (200 мл), раствором соли, сушат над MgSO4, фильтруют и выпаривают в вакууме. Очистка колоночной хроматографией дает указанное в заголовке соединение в виде белого твердого вещества (8,97 г, 41%, 70% э.и.). Раствор этого вещества (7,31 г, 61% э.и.) в толуоле (181 мл) добавляют каплями к изогексану (760 мл), перемешивая при 70°С в течение 45 мин. В реакционную смесь вносят затравку рацемического продукта (100 мг) и медленно охлаждают в течение 2,5 ч. Полученное твердое вещество фильтруют и фильтрат выпаривают в вакууме, получая прозрачное смолистое масло (49 г, 95% э.и.). Стадия 2 Кислород барботируют через перемешиваемый раствор продукта стадии 1 (67,8 г, 148 ммоль) в дихлорметане (750 мл) и метаноле (150 мл) при -78°С в течение 10 мин. Озон барботируют в реакционную смесь до тех пор, пока сохраняется синее окрашивание (3,5 ч) с последующим барботированием кислорода, а затем азота до тех пор, пока не исчезает синяя окраска. К реакционной смеси добавляют боргидрид натрия (14 г, 370 ммоль), затем дают ей возможность медленно нагреться до комнатной температуры. Смесь подкисляют раствором лимонной кислоты (200 мл) и 2 н. хлористоводородной кислотой до достижения рН 2 и разбавляют дихлорметаном (800 мл). Слой дихлорметана отделяют и промывают водой, раствором соли, сушат над MgSO4, фильтруют и выпаривают в вакууме. Очистка перекристаллизацией из эфира и изогексана (50:50) дает диол в виде белого твердого вещества (50 г, 73%, 97% э.и.). Стадия 3 Метансульфонилхлорид (20 мл, 259 ммоль) медленно добавляют к раствору продукта стадии 2 (50 г, 108 ммоль) в дихлорметане (700 мл) и триэтиламине (45 мл, 324 ммоль), перемешивая при -10°С. Реакционную смесь перемешивают при -10°С в течение 2 ч. Реакционную смесь подкисляют раствором лимонной кислоты (500 мл) и разбавляют дихлорметаном (500 мл). Слой дихлорметана отделяют и промывают раствором гидрокарбоната натрия (500 мл), раствором соли, сушат над MgSO4, фильтруют и выпаривают в вакууме для получения бис-мезилата в виде белой пены (6,67 г, >100%), который используют без дальнейшей очистки. Стадия 4 Раствор продукта стадии 3 (67,7 г, 109 ммоль) в этаноле обрабатывают тиомочевиной (8,7 г, 115 ммоль). Реакционную смесь перемешивают при 80°С в течение 18 ч, охлаждают до комнатной температуры и выпаривают в вакууме с получением требуемого продукта в виде бледно-желтой пены (80,6 г, >100%). Стадия 5 Уксусную кислоту (500 мл) добавляют к раствору продукта стадии 4 (80,7 г) в воде (100 мл) при комнатной температуре. Газообразный хлор (приблизительно 55 г) барботируют в реакционную смесь в течение 30 мин до тех пор, пока реакционная смесь не становится темно-желтой. Реакционную смесь разбавляют диэтиловым эфиром (1000 мл) и водой (1000 мл). Слой эфира отделяют и промывают еще одной порцией воды (1000 мл), раствором сульфита натрия (500 мл), раствором гидрокарбоната натрия (3х500 мл), сушат над MgSO4, фильтруют и выпаривают в вакууме для получения сульфонилхлорида в виде белой пены (65,7 г, >100%). Стадия 6 4-Метоксибензиламин (35 мл, 263 ммоль) добавляют по каплям в течение 10 мин к раствору продукта стадии 5 (65,7 г, 105 ммоль) в дихлорметане (500 мл), перемешиваемому при 0°С в атмосфере азота. Реакционную смесь нагревают до комнатной температуры в течение 90 мин, разбавляют дихлорметаном (500 мл) и подкисляют раствором лимонной кислоты (500 мл). Слой дихлорметана отделяют и промывают раствором соли, водой (700 мл), сушат над MgSO4, фильтруют и выпаривают в вакууме. Очистка колоночной хроматографией дает указанное в заголовке промежуточное соединение в виде бледно-коричневой пены (59,3 г, 88% в 4 стадии). Стадия 7 Гидрид натрия (4,90 г, 127 ммоль) добавляют к раствору продукта стадии 6 (59,3 г, 82 ммоль) в диметилформамиде (700 мл). После перемешивания при комнатной температуре в течение 10 мин реакционную смесь нагревают до 75°С. Через 2 ч реакционную смесь охлаждают до комнатной температуры, подкисляют раствором лимонной кислоты (500 мл) и разбавляют этилацетатом (800 мл). Слой этилацетата отделяют, промывают водой (3х500 мл), раствором соли, сушат над MgSO4, фильтруют и выпаривают в вакууме. Очистка колоночной хроматографией дает циклизованное промежуточное соединение в виде белого твердого вещества (28,7 г, 56%). Стадия 8 Бис(триметилсилил)амид лития (1М в THF, 114 мл, 114 ммоль) добавляют по каплям к раствору продукта стадии 7 (28,7 г, 45,5 ммоль) в тетрагидрофуране (300 мл), перемешивая при -2°С (в реакционной массе). Реакционную смесь перемешивают в течение 1 ч при 0°С в атмосфере азота, затем охлаждают до -78°С и обрабатывают этилйодидом (4,7 мл, 59,2 ммоль). Реакционную смесь перемешивают при -25°С в течение 18 ч, затем нагревают до -8°С, а затем до комнатной температуры в течение 2 ч. Реакционную смесь разбавляют этилацетатом (500 мл), водой (500 мл) и подкисляют раствором лимонной кислоты (500 мл). Слой этилацетата отделяют и водный слой экстрагируют этилацетатом (3х500 мл). Органические фракции объединяют, промывают раствором соли, сушат над MgSO4, фильтруют и выпаривают в вакууме. Очистка колоночной хроматографией дает алкилированное промежуточное соединение в виде белой пены (23,1 г, 77%). Стадия 9: 2,2-диоксид (3S,4aR,6R,8aS)-6-(2,5-дифторфенил)-3-этил-6-{[4-(трифторметил)фенил]сульфонил}октагидро-1Н-2,1-бензотиазина Раствор продукта стадии 8 (23,1 г) в дихлорметане (115 мл) обрабатывают трифторуксусной кислотой (60 мл) по каплям в течение 5 мин и перемешивают при комнатной температуре в атмосфере азота в течение 30 мин. Реакционную смесь выпаривают в вакууме и очищают колоночной хроматографией, получая указанный в заголовке продукт в виде белой пены (17 г, 90%, 98,5% э.и.). Белую пену (17 г, 98,5% э.и.) растворяют в этилацетате (34 мл) и нагревают до 70°С. Гептан (136 мл) добавляют порциями к перемешанному раствору в атмосфере азота. Через 2 ч в реакционный раствор вносят затравку гомохирального образца указанного в заголовке соединения и перемешивают в течение еще 1 ч, а затем охлаждают до комнатной температуры. Полученное белое вещество выделяют фильтрацией (12 г, 99,5% э.и.). 1H ЯМР
Формула изобретения
1. Соединение формулы I:
где связи, указанные волнистыми линиями, представляют собой взаимно цис- в отношении циклогексанового кольца; R3 представляет Н или углеводородную группу, имеющую до 10 атомов углерода; Ar1 и Ar2 независимо представляют фенил, который несет 0-3 заместителя, независимо выбранных из галогена, CF3, CHF2, или его фармацевтически приемлемая соль. 2. Соединение по п.1, соответствующее формуле IA или IB
R3 представляет Н или углеводородную группу, имеющую до 10 атомов углерода; Ar1 и Ar2 независимо представляют фенил, который несет 0-3 заместителя, независимо выбранных из галогена, CF3, CHF2, или его фармацевтически приемлемая соль. 3. Соединение по п.1 или 2, где Ar1 представляет собой 4-хлорфенил или 4-трифторметилфенил, а Ar2 представляет собой 2,5-дифторфенил. 4. Соединение по по п.1 или 2, где R3 представляет Н или углеводородную группу, имеющую до 6 атомов углерода. 5. Соединение по п.4, где R3 представляет Н, метил, этил, н-пропил, изопропил или аллил. 6. Соединение по п.5, выбранное из 2,2-диоксида (4аRS,6RS,8аSR)-6-(2,5-дифторфенил)-6-{[4-(трифтор-метил)фенил]сульфонил}октагидро-1Н-2,1-бензотиазина; 2,2-диоксида (3S,4аR,6R,8аS)-6-(2,5-дифторфенил)-3-этил-6-{[4-(трифторметил)фенил]сульфонил}октагидро-1Н-2,1-бензотиазина; 2,2-диоксида (3R,4аR,6R,8аS)-6-(2,5-дифторфенил)-3-этил-6-{[4-(трифторметил)фенил]сульфонил}октагидро-1Н-2,1-бензотиазина; 2,2-диоксида (3RS,4аRS,6RS,8аSR)-6-(2,5-дифторфенил)-3-изопропил-6-{[4-(трифторметил)фенил]сульфонил}октагидро-1Н-2,1-бензотиазина; 2,2-диоксида (3SR,4аRS,6RS,8аSR)-6-(2,5-дифторфенил)-3-изопропил-6-{[4-(трифторметил)фенил]сульфонил}октагидро-1Н-2,1-бензотиазина и 2,2-диоксида (3S,4aR,6R,8aS)-6-[(4-(хлорфенил)сульфонил]-6-(2,5-дифторфенил)-3-этилоктагидро-1Н-2,1-бензотиазина; и их фармацевтически приемлемых солей. 7. Фармацевтическая композиция для применения в качестве ингибитора гамма-секретазы, включающая соединение по любому из пп.1-6 и фармацевтически приемлемый носитель. 8. Применение соединения по любому из пп.1-6 для изготовления лекарственного средства для лечения или профилактики болезни Альцгеймера. 9. Способ получения соединения формулы I, определенной в п.1, включающий стадии: (а) циклизацию соединения формулы (2)
обработкой сильным основанием в апротонном растворителе с образованием соединения формулы (I)
(b) необязательное алкилирование соединения формулы (1) R3a-L и (c) удаление N-защитной группы; где Prt представляет собой защитную группу, L представляет собой уходящую группу, R3a представляет собой R3, который отличен от Н, Ra представляет собой С1-4алкил, который необязательно несет до 3 галогеновых заместителей, или фенил, который необязательно несет до 3 заместителей, выбранных из галогена и С1-4алкила, а Ar1, Ar2 и R3 определены в п.1.
|
||||||||||||||||||||||||||


-секретазы с тем, чтобы подавить или ослабить секрецию
-амилоида, и, следовательно, их можно использовать при лечении или профилактике болезни Альцгеймера.








-метилбензил)амин. Это обеспечивает возможность выделения соединений (6) в гомохиральной форме и, следовательно, синтеза гомохиральных соединений формулы I. Получение циклогексанонов (7) описано в документах WO 02/081435 и WO 04/013090.


7,69 (2H, д, J=8,4 Гц), 7,60 (2H, д, J=8,4 Гц), 7,23-7,18 (1H, м), 7,15-7,08 (1Н, м), 6,96-6,86 (1H, м), 3,70-3,64 (1H, м), 3,53-3,48 (3H, м), 3,22-3,16 (1Н, м), 3,08-2,98 (1Н, м), 2,61-2,51 (2H, м), 2,43-2,36 (2H, м), 2,25-2,14 (1Н, м), 0,94-0,83 (2H, м), 0,00 (9H, с). Хиральную чистоту определяют хиральной ВЭЖХ.

































