|
(21), (22) Заявка: 2007107260/09, 26.02.2007
(24) Дата начала отсчета срока действия патента:
26.02.2007
(46) Опубликовано: 20.09.2008
(56) Список документов, цитированных в отчете о поиске:
RU 2283540 C2, 10.09.2006. RU 2150178 C1, 27.06.2003. JP 2007006018, 11.01.2007. JP 2005039762, 10.02.2005. US 7161528 A1, 09.01.2007. US 2003139138 A1, 24.07.2003.
Адрес для переписки:
394052, г.Воронеж, ул. Краснознаменная, 153, ФГУ “ФГНИИЦ РЭБ ОЭСЗ” Минобороны России
|
(72) Автор(ы):
Уфаев Владимир Анатольевич (RU), Чикин Михаил Геннадьевич (RU)
(73) Патентообладатель(и):
Федеральное государственное учреждение “Федеральный научно-исследовательский центр радиоэлектронной борьбы и оценки эффективности снижения заметности” МО РФ (ФГУ “ФГНИИЦ РЭБ ОЭСЗ” Минобороны России) (RU)
|
(54) СПОСОБ ПОДАВЛЕНИЯ РАДИОЛИНИЙ С ПЕРЕСТРОЙКОЙ ЧАСТОТЫ
(57) Реферат:
Изобретение относится к радиотехнике и может быть использовано в системах радиоподавления линий связи и радиоуправления. Техническим результатом является уменьшение допустимого значения длительности подавляемых сигналов, обеспечение синхронного подавления кратковременных излучений радиолиний с быстрой перестройкой частоты в радиолиниях с различающимися длительностями сигналов. Прием радиосигналов и излучение помехи осуществляют одновременно, при этом на частотах отфильтрованных радиосигналов определяют максимум интенсивности излучения со всех возможных направлений прихода радиоволн, определяют разность максимума и значения интенсивности излучения с направления передатчика радиолинии, которую корректируют, текущую частоту радиолинии определяют по положению минимума скорректированной разности, по этому минимуму судят о наличии излучения передатчика радиолинии, помеху излучают из дальней волновой зоны антенной решетки с направления, отличного от направления передатчика радиолинии. 1 з.п. ф-лы, 5 ил.
Изобретение относится к радиотехнике и может быть использовано в системах радиоподавления линий связи и радиоуправления, в частности, маневрирующих по частоте по псевдослучайному закону в соответствии с заданной программой или изменяющих частоту вследствие адаптации к электромагнитной обстановке.
Известен способ создания заградительных помех, заключающийся в генерировании шума в требуемой полосе частот, последующем его усилении по мощности и излучении в пространство [1. Палий А.И. Радиоэлектронная борьба. Воениздат, 1989, с.47-51].
Основными недостатками способа являются ограниченная дистанция подавления и ухудшение условий электромагнитной совместимости радиосредств, не являющихся объектами подавления. Эти недостатки обусловлены распределением мощности помехи в широком диапазоне частот и интервале времени, в том числе на участках, где излучение объекта подавления отсутствует.
Указанные недостатки устраняются применением прицельного подавления методом «погони» по частоте. Так, известен способ подавления радиолиний, включающий периодический контроль радиоэлектронной обстановки с последовательным приемом радиосигналов, обзором выбранных участков частот, обнаружением радиосигналов и измерением их параметров, последующее формирование и излучение помехи на частотах обнаруженных сигналов по циклограмме, включающей режим подавления и режим контроля при выключенной помехе, причем длительность циклограммы значительно меньше длительности сигнала радиолинии. [2. Патент на изобретение №2283540, кл. Н04К 3/00, 2006].
За счет концентрации энергии в полосе частот объекта спектральная плотность помехи увеличивается. Однако данному способу присущи недостатки, обусловленные последовательным характером выполнения основных операций способа. Это определяет основной его недостаток: невозможность подавления радиолиний со скоростью перестройки частоты более 10 скачков/с [2]. Другим недостатком является необходимость, при обнаружении совокупности сигналов, излучения помехи на множестве частот, что приводит к уменьшению дистанции подавления относительно режима излучения помехи на одной частоте. Поочередное выполнение операций излучения помехи и контроля обусловлено применением методов обработки, рассчитанных на прием на каждой частоте не более одного сигнала.
Наиболее близким к предлагаемому способу по технической сущности является способ подавления линий связи с программной перестройкой частоты, включающий прием радиосигналов, их фильтрацию с заданной по частоте дискретностью, детектирование и определение максимума мощности по частоте, по положению которого определяют текущую частоту линии связи, а сравнением с порогом обнаружения наличие ее излучения, последующее, при обнаружении, формирование и излучение помехи на текущей частоте линии связи. При этом операции приема радиосигналов и излучения помехи осуществляют поочередно и циклически с параметрами цикла, зависящими от периода перестройки частоты линии связи, а прием выполняют с помощью антенной решетки, ориентированной в направлении передатчика линии связи. [3. Немчилов А.В., Зинчук В.М., Лимарев А.Е. Оптимизация вероятностно-временных характеристик режима «обнаружение – подавление» сигналов с ППРЧ. Труды XI международной конференции «Радиолокация, навигация, связь», т.2., НФП «САКВООЕ», Воронеж, 2005, с.927-930].
В совокупности операции приема радиосигналов с помощью антенной решетки и детектирования обеспечивают определение интенсивности излучения с направления передатчика радиолинии. Совмещение и распараллеливание основных операций обработки принятых радиосигналов уменьшает временные затраты на обеспечение процесса излучения помехи, однако сохраняющееся поочередное выполнением операций приема радиосигналов и излучения помехи ограничивает возможности подавления радиолиний с высокой скоростью перестройки частоты. Наличие паузы излучения помехи при приеме радиосигналов и рассогласование по времени с излучением объекта снижает эффективность подавления радиолиний, в особенности с кратковременными излучениями, препятствует реализации синхронного подавления совокупности радиолиний с различающейся длительностью сигналов, приводит к неэкономному расходу частотно-временного и энергетического ресурса. Размещение приемных и передающих систем в непосредственной близости друг от друга при их одновременной работе вызывает неконтролируемые наводки в различных элементах радиоэлектронной аппаратуры, что и определяет необходимость разделения операций приема радиосигналов и излучения помехи во времени. Применение в способе-прототипе критерия максимума мощности по ансамблю частот устраняет возможность многочастотного излучения помехи, однако при этом велика вероятность перенацеливания помехи на сторонний источник с высокой интенсивностью излучения даже вне основного лепестка диаграммы направленности антенной решетки. В сложной электромагнитной обстановке это приводит к неприемлемому снижению эффективности радиоподавления.
Задачей данного изобретения является повышение эффективности прицельного радиоподавления за счет исключения паузы излучении помехи и повышения точности нацеливания помехи по времени и частоте. Технический результат, который может быть получен при осуществлении изобретения, – обеспечение подавления радиолиний в сложной электромагнитной обстановке, радиолиний с быстрой перестройкой частоты, с кратковременными излучениями, совокупности радиолиний с различающимися длительностями сигналов.
Поставленная задача и технический результат достигаются за счет того, что в известном способе подавления радиолиний с перестройкой частоты, включающем прием радиосигналов с помощью антенной решетки, фильтрацию принятых радиосигналов с заданной дискретностью по частоте, определение на каждой частоте отфильтрованных радиосигналов интенсивности излучения с направления передатчика радиолинии, формирование и излучение помехи на текущей частоте радиолинии при обнаружении излучения передатчика радиолинии, согласно изобретению прием радиосигналов и излучение помехи осуществляют одновременно, дополнительно на частотах отфильтрованных радиосигналов определяют максимум интенсивности излучения со всех возможных направлений прихода радиоволн, после чего определяют разность максимума интенсивности излучения и его значения с направления передатчика радиолинии, которую корректируют в зависимости от значения интенсивности излучения с направления передатчика радиолинии, а текущую частоту радиолинии определяют по положению минимума скорректированной разности, по величине которого, сравнением с порогом обнаружения, судят о наличии излучения передатчика радиолинии, при этом помеху излучают из дальней волновой зоны антенной решетки с направления, отличного от направления на передатчик радиолинии, а интенсивность излучения с направления передатчика радиолинии и значение максимума интенсивности излучения отфильтрованных радиосигналов на частоте помехи определяют с учетом места ее излучения.
Причем максимум интенсивности излучения, в случае отсутствия излучения помехи и применения антенной решетки с ненаправленными элементами, определяют путем квадратурного перемножения отфильтрованных радиосигналов пар антенн, линейного детектирования и последующего суммирования по совокупности всех пар антенн.
Предложенный способ отличается от известного наличием новых действий над радиосигналами, условиями и порядком их выполнения, а именно:
– дополнительно на частотах отфильтрованных радиосигналов определяют максимум интенсивности излучения со всех возможных направлений;
– определяют разность максимума интенсивности излучения и его значения с направления передатчика радиолинии;
– полученную разность корректируют в зависимости от интенсивности излучения с направления передатчика радиолинии;
– текущую частоту радиолинии определяют по положению минимума скорректированной разности;
– о наличии излучения передатчика радиолинии судят по величине минимума;
– помеху излучают из дальней волновой зоны антенной решетки с направления, отличного от направления передатчика радиолинии;
– интенсивность излучения с направления передатчика радиолинии и значение максимума интенсивности излучения отфильтрованных радиосигналов на частоте помехи определяют с учетом места ее излучения.
Кроме того, максимум интенсивности излучения в отсутствие излучения помехи и применения антенной решетки с ненаправленными элементами определяют путем квадратурного перемножения отфильтрованных радиосигналов пар антенн, линейного детектирования и последующего суммирования по совокупности всех пар антенн.
При изучении других известных технических решений в данной области техники указанная совокупность признаков, отличающая изобретение от ближайшего аналога, не выявлена.
Идея решения поставленной технической задачи состоит в обеспечении одновременного приема радиосигналов и излучения помехи с использованием для идентификации объекта информации о направлении передатчика радиолинии и интенсивности его излучения. Для этого прием выполняют с помощью антенной решетки, а интенсивность излучения передатчика радиолинии определяют с учетом места излучения помехи. Общий порядок определения интенсивности излучения для решетки из двух антенн известен. [4. Ямпольский В.Г., Фролов О.П. Антенны и ЭМС. – М.: Радио и связь, 1983, с.230-231]. Обработка на фоне мешающего излучения включает: когерентное сложение принятых радиосигналов с направления передатчика радиолинии и с направления передатчика помех, компенсацию составляющей помехи в суммарном радиосигнале объекта и его детектирование. Для компенсации помехи с требуемым качеством излучение помехи должно проводиться из дальней волновой зоны антенной решетки с направления, отличного от направления передатчика радиолинии.
Однако использование компенсационных возможностей антенной решетки необходимое, но недостаточное условие решения поставленной технической задачи. Требуется обобщение на вариант числа антенн большего двух, определение при этом текущей рабочей частоты, согласование результатов, получаемых в отсутствие и наличии помехи, при динамическом управлении частотой помехи. Важным элементом при этом является определение разности максимального значения интенсивности излучения со всех возможных направлений прихода радиоволн и интенсивности излучения передатчика радиолинии. Эта разность при приеме излучения подавляемой радиолинии стремится к нулю и ограничивается мощностью шумов приема, а при приеме излучений с других направлений отлична от нуля и зависит от углового расстояния передатчика подавляемой радиолинии. Данное свойство используется для обнаружения и определения текущей частоты радиолинии. Однако и на частотах, где излучения отсутствуют вовсе и принимают только шумы приемных каналов, разность интенсивностей стремится к нулю. Поэтому значение разности корректируют в зависимости от интенсивности излучения с направления передатчика радиолинии. В простейшем случае корректировка состоит в добавлении величины, превышающей мощность шума, при попадании значения интенсивности излучения за пределы допустимого диапазона ее изменения. Для конкретной радиолинии этот диапазон определяют до начала непосредственно радиоподавления, например, расчетным путем или контрольным измерением.
На частотах, где помеха отсутствует, условия приема и обнаружения изменяются, адаптация к изменению этих условий достигается учетом факта отсутствия помехи при определении интенсивности излучения. Для этого используются методы односигнальной обработки, с соответствующим согласованным образованием и корректировкой разности интенсивностей для новых условий.
Совмещением операций приема радиосигналов и излучения помехи достигается исключение непроизводительных затрат времени, энергии и частотного ресурса, свойственных способу-прототипу. Таким образом, использование потенциальных возможностей антенной решетки для компенсации помехи от удаленного специальным образом источника в соответствии с предложенными новыми действиями над радиосигналами, условиями и порядком их выполнения позволяет совместить фазы приема – излучения, согласовать по частоте и времени излучение помехи с излучением объекта и тем самым повысить эффективность прицельного радиоподавления.
Указанные преимущества, а также особенности настоящего изобретения поясняются вариантом его выполнения со ссылками на прилагаемые фиг.1-5.
Фиг.1 изображает структурную схему станции помех; фиг.2 – угловые спектры радиосигналов; фиг.3 – распределение средних уровней радиосигналов; фиг.4 – результаты оценки эффективности подавления; фиг.5 – результаты обнаружения излучения объекта.
Поскольку заявленный способ может быть реализован при использовании соответствующей станции помех, то далее описывается характерный состав функциональных элементов такой станции.
Станция помех (фиг.1), реализующая предложенный способ, содержит пункт приема 1, включающий антенную решетку 2, радиоприемное устройство 3, блок фильтрации 4, первый и второй блоки пространственно-временной обработки 5.1, 5.2, блок управления 6 и передатчик помех 7.
Антенная решетка 2, радиоприемное устройство 3 и блок фильтрации 4 соединены последовательно. Выход блока фильтрации подключен к входам первого и второго блоков пространственно-временной обработки 5.1, 5.2, выходы которых соединены с входами блока управления 6, выход которого соединен с входом передатчика помех 7 и входами управления блоков пространственно-временной обработки 5.1, 5.2.
Прием радиосигналов на пункте приема 1 выполняют с помощью антенн, образующих кольцевую эквидистантную антенную решетку 2, и многоканального радиоприемного устройства 3 с числом каналов, равным числу антенн. Антенная решетка 2 содержит N 2 антенн с номерами n=0,1,…,N-1. Антенна с номером n=0 ориентирована на Север, нумерация других антенн осуществляется в порядке возрастания номеров по часовой стрелке, как и отсчет углов прихода радиоволн.
Блок фильтрации 4 обеспечивает параллельную в полосе перестройки частоты радиолинии фильтрацию принятых радиосигналов и их разделение с заданной дискретностью по частоте. Фильтрация может выполняться с помощью дискретного преобразования Фурье. [5. Сергиенко А.Б. Цифровая обработка сигналов. СПб.: Питер, 2003, с.262-265].
Первый блок пространственно-временной обработки 5.1 предназначен для определения интенсивности излучения с направления передатчика радиолинии, а второй блок 5.2 для определения максимума интенсивности излучения со всех возможных направлений. Режимы работы этих блоков различаются на частотах, не занятых и занятых помехой, управление режимами выполняют по входу управления этих блоков сигналами блока управления 6, где определяют и корректируют разность максимума интенсивности излучения и его значения с направления передатчика радиолинии, с последующим принятием решения о наличии излучения и текущей частоте радиолинии и выработкой сигналов управления.
Передатчик помех 7 дистанционно-управляемый, удален от пункта приема на расстояние, при котором выполняется условие непревышения помехой порога блокирования приемных устройств (порядка сотен метров) в направлении, отличном от направления передатчика радиолинии, например в направлении, перпендикулярном направлению передатчика радиолинии. Управление передатчиком помех осуществляют с пункта управления 1 сигналом с выхода блока управления 6, например, по линиям волоконно-оптической связи, с указанием частоты помехи или фиктивного ее значения в случае прекращения излучения помехи.
Принцип последующего функционирования станции помех, в которой реализуется предложенный способ, состоит в следующем.
Излучение источников принимают на пункте приема 1 с помощью антенной решетки 2 и многоканального приемного устройства 3. В заданной полосе перестройки частоты радиолинии F с помощью блока фильтрации 4 принятые радиосигналы фильтруют и разделяют по частотным каналам с заданной дискретностью по частоте и получением отфильтрованных сигналов в комплексной форме.
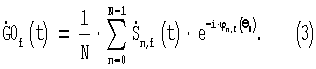
Обозначим радиосигнал, принятый n-й антенной (n=0,1,…,N-1) в t-й момент времени как Un(t). Тогда отфильтрованный на f-й частоте сигнал определяется путем преобразования Фурье

где Т – время интегрирования и контроля, i – мнимая единица.
Частота f=0,1,…,F-1 выражена в бинах, единицах полосы частотного канала, равной f=1 / Т, при общем количестве F. В общем случае дискретность фильтрации по частоте F может превышать полосу частотного канала F f, равенство имеет место при учете полного набора коэффициентов Фурье (1).
Первоначально помеха не излучается, а отфильтрованные сигналы представляют собой смесь излучений внешних источников и шумов приема

где – комплексная огибающая сигнала, приведенная к центру антенной решетки, – фазирующая функция n-й антенны в направлении f источника на f-й частоте, R – радиус решетки, f=C/f· f – длина волны излучения, С – скорость света.
В первом блоке пространственно-временной обработки 5.1 с задержкой от момента начала приема на время интегрирования и контроля Т на каждой частоте фильтрации компенсируют набеги фаз сигналов антенн решетки, соответствующие направлению 0 передатчика радиолинии – объекта подавления, после чего сигналы суммируют с нормировкой на число антенн

Суммарный радиосигнал квадратично детектируют, определяя таким образом интенсивность излучения с направления передатчика радиолинии

Одновременно с выполнением преобразований (3), (4) во втором блоке пространственно-временной обработки 5.2 определяют максимум интенсивности излучения со всех возможных направлений прихода радиоволн

Преобразование (5) аналогично предыдущему (4), но выполняется для всех возможных направлений, например, с заданным шагом квантования углов прихода радиоволн. Однако наиболее эффективно, с меньшим числом операций, максимум интенсивности излучения можно определить, не прибегая к квантованию, преобразованию сигналов в каждом кванте углов прихода радиоволн и затем поиску максимума. В частном случае применения кольцевой антенной решетки с ненаправленными элементами данную операцию целесообразно проводить путем квадратурного перемножения отфильтрованных сигналов пар антенн, линейного детектирования и суммирования результатов детектирования по совокупности всех пар антенн

Звездочкой указана операция комплексного сопряжения. Преобразование (6) основано на том, что при квадратурном перемножении разности фаз сигналов в области максимума близки к истинным значениям и имеет место неравенство вида

причем левая часть неравенства меньше либо равна граничной правой.
Важность определения максимума интенсивности излучения по варианту (6) с уменьшенным числом действий по обработке радиосигналов обусловлена массовым характером выполнения данной операции: для всех частот, за исключением одной частоты занятой помехой.
Подстановкой соотношения (2) в выражения (3)-(6) можно показать, что в отсутствие шумов значение интенсивности P1f(t) на частоте излучения передатчика радиолинии (объекта), а интенсивности P2f(t) на всех частотах, где есть излучение, равно квадрату огибающей (мгновенной мощности) сигнала на момент приема в центре антенной решетки. Значение P1f(t) для излучателей с направлений, отличных от направления на объект, уменьшается в соответствии с суммарной диаграммой направленности антенной решетки. При отсутствии излучений, в результате интегрирования некоррелированных шумов (1), уровень отфильтрованных процессов снижается до значения, примерно равного мощности (дисперсии) шума. Указанные свойства использованы при выполнении последующих операций.
Измеренные значения интенсивности P1f(t),P2f(t) одновременно поступают на входы решающего устройства 6, где определяют разность максимума интенсивности излучения и его значения с направления передатчика радиолинии

Учитывая указанные выше свойства величин P1f(t) и P2f(t), значение разности корректируют в зависимости от интенсивности излучения с направления передатчика радиолинии P1f(t). В простейшем случае корректировка состоит в добавлении величины f(t), превышающей мощность шума приемного устройства, при попадании значения интенсивности излучения за пределы допустимого диапазона ее изменения

Для конкретной радиолинии допустимый диапазон изменения интенсивности определяют до начала непосредственно радиоподавления, например, расчетным путем или контрольным измерением. Однако более полно возможности предлагаемого способа реализуются при наличии информации о статистических параметрах интенсивности излучения с направления передатчика радиолинии. На практике зачастую амплитуда радиосигналов, в нашем случае как корень квадратный из Р1f(t), распределена по логарифмически нормальному закону. Тогда значение добавки определяется по формуле

где – среднее значение и дисперсия флуктуаций огибающей сигнала, 2 – дисперсия шума приемного устройства в полосе частотного канала f.
Текущую частоту радиолинии определяют с учетом добавки (9) по положению минимума скорректированной (8) разности

О наличии излучения передатчика радиолинии судят по величине минимума скорректированной разности, сравнивая ее с порогом обнаружения, при превышении которого регистрируют отсутствие излучения объекта. Величину порога обнаружения устанавливают, исходя из заданной вероятности правильного обнаружения и известной дисперсии шума.
В случае обнаружения излучения объекта по управляющему сигналу блока управления 6 с помощью передатчика помех 7 формируют и излучают помеху на текущей частоте радиолинии . Для сокращения избыточности обработки, обусловленной корреляцией огибающей, очередной прием радиосигналов целесообразно начать в момент времени t’=t+Т. При этом на частотах, не занятых помехой, порядок операций над сигналами не изменяется вплоть до получения скорректированного значения разности интенсивностей (8).
В случае излучения помехи интенсивность излучения с направления передатчика подавляемой радиолинии и значение максимума интенсивности излучения отфильтрованных сигналов на частоте помехи определяют с учетом места излучения помехи. Особенность данного этапа работы станции помех состоит в следующем.
Отфильтрованные на частоте сигналы содержат дополнительно, относительно случая отсутствия помехи (2), помеху с огибающей излучаемую с известного 1 направления передатчика помех

При этом в первом блоке пространственно-временной обработки 5.1 аналогично операции (3) компенсируют набеги фаз сигналов антенн решетки, соответствующие направлению 0 объекта подавления, после чего сигналы суммируют

Дополнительно и одновременно с преобразованием (12) компенсируют набеги фаз сигналов антенн решетки, соответствующие направлению 1 передатчика помех, после чего сигналы суммируют

Затем выполняют компенсацию составляющей помехи в суммарном сигнале объекта и его квадратичное детектирование, определяя таким образом интенсивность излучения с направления передатчика радиолинии

Существенно при этом, что коэффициент масштабирования суммарного радиосигнала (13) в направлении передатчика помех определяется взаимным положением передатчика помех и объекта

Во втором блоке пространственно-временной обработки 5.2 аналогично преобразованиям (12)-(15) определяют максимум интенсивности излучения со всех возможных направлений прихода радиоволн

При необнаружении объекта излучение помехи прекращают. В последующем работа станции помех продолжается аналогично изложенному с выполнением операций (3)-(6) в частотных каналах, где помеха отсутствует, и операций (12)-(16) на частоте помехи с общими операциями (7)-(10) на заключительном этапе обнаружения – определения текущей частоты радиолинии.
Таким образом, в предлагаемом способе традиционно раздельные и последовательные операции обнаружения радиосигналов и идентификации радиоизлучений интегрируются в единую операцию: пространственно-энергетическое обнаружение – идентификацию с установкой единого порога обнаружения излучения объекта.
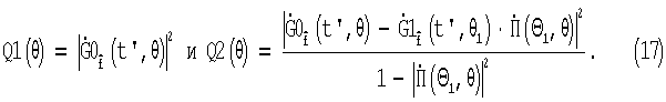
Для подтверждения основных положений, связанных с обработкой радиосигналов объекта при одновременном излучении помехи, на фиг.2 а, б приведены угловые спектры радиосигналов, фигурирующие в качестве промежуточных величин в формуле (16). Угловые спектры представляют собой зависимости интенсивности излучения от возможных направлений прихода радиоволн. В вариантах без компенсации помехи и с ее компенсацией эти спектры определяются соотношениями, соответственно

Показанные на фиг.2 угловые спектры получены для пятиэлементной эквидистантой антенной решетки радиусом 2 м. Частота излучения 90 МГц, размещение объекта в направлении 0°, передатчика помех в направлении 90°, среднее значение огибающей сигнала объекта относительно среднего квадратичного значения шумов приемных каналов равно 26 дБ, помехи 60 дБ. Шаг квантования углов прихода радиоволн 1°. Угловой спектр фиг.2а, он же определяется и в отсутствие помех по формуле (5), имеет максимум в направлении передатчика помех (90°) с величиной, примерно равной квадрату амплитуды помехи (10). В угловом спектре фиг.2б в направлении передатчика помех образуется минимум, что приводит к компенсации помехи, при этом максимум ориентирован в направлении объекта (0°), а его значение (340) примерно равно квадрату амплитуды передатчика радиолинии (400).
По результатам моделирования скорректированная разность интенсивностей (8) распределена по закону хи-квадрат с одной степенью свободы и квантильей соответственно порог обнаружения, для обеспечения заданной Р вероятности правильного обнаружения (и идентификации по направлению и уровню), равен

Следует отметить, что описываемый способ применим и для подавления радиолиний, работающих на фиксированных частотах. В этом случае положение минимума скорректированной разности равно частоте подавляемой радиолинии, поскольку определяется по вырожденному ансамблю частот, содержащему одно значение. При подавлении совокупности радиолиний на различающихся частотах действия над радиосигналами после фильтрации выполняются параллельно и одновременно на каждой частоте подавляемых радиолиний.
Для проверки работоспособности и оценки эффективности предлагаемого способа в сложной электромагнитной обстановке выполнено имитационное моделирование. Имитировался одновременный прием радиосигналов 16-х радиостанций с программной перестройкой частоты в полосе 6,4 МГц и шагом перестройки частоты 25 кГц на несовпадающих равноудаленных на 400 кГц частотах с нижней границей частоты 90 МГц. Перестройка частоты осуществляется одновременно всеми радиостанциями через интервал времени, равный четырем интервалам времени контроля. Направления на радиостанции установлены путем равномерного квантования диапазона углов прихода в верхней полуплоскости относительно пункта приема (-90°…+90°). Передатчик подавляемой радиолинии находится в центре этой полуплоскости в направлении 0°. Средние уровни принимаемых радиосигналов радиостанций распределены согласно фиг.3 в диапазоне от 4 до 41 дБ. Передатчик помех находится в направлении 90°, средний уровень его сигнала 60 дБ.
Радиосигналы некоррелированно флуктуируют во времени относительно средних уровней по логарифмически нормальному закону со средним квадратичным значением 3 дБ. Имитация осуществлялась на интервале времени, равном пятистам периодам перестройки частоты радиостанции или двум тысячам циклов приема и контроля. Во второй половине указанного интервала времени радиостанция объекта выключалась.
Прием радиосигналов выполняется на фоне гауссовских шумов с единичной дисперсией с помощью пятиэлементной антенной решетки радиусом 2 м. Фильтрацию радиосигналов осуществляют на возможных частотах радиолинии с дискретностью 25 кГц. Порог обнаружения h=3,7 при вероятности правильного обнаружения 0,95.
Результаты моделирования показаны на фиг.4, 5. На фиг.5 для отношения сигнал-шум (среднего уровня огибающей сигнала к среднему квадратичному значению шума), равного =12 дБ, представлены результаты обнаружения объекта в моменты времени t. Черными линиями для первой половины наблюдений (t<1000) выделены участки, где частота помехи и частота радиостанции объекта совпадают, для второй половины – где фиксируется ложная тревога, то есть происходит обнаружение излучения и излучается помеха при выключенном передатчике радиолинии – объекте подавления. Видно, что большая часть излучения объекта накрыта помехой, а в отсутствие излучения объекта интенсивность обнаружения резко падает. На фиг.4 приведены интегральные результаты оценки эффективности подавления. Сплошной линией, помеченной кружками, показана зависимость вероятности ( ) совпадения частоты помехи и частоты излучения объекта от регулируемого отношения сигнал-шум. Эта вероятность оценивалась по первой половине наблюдений. Пунктирной линией, выделенной квадратиками, дана аналогичная зависимость для способа-прототипа. Штрихпунктиром показана зависимость вероятности ложной тревоги и излучения помехи при отсутствии излучения объекта подавления. Данная зависимость получена по результатам обработки второй половины наблюдений согласно предлагаемому способу. Как видно из приведенных результатов, пороговый уровень вероятности ( )>0,6 достигается при отношении сигнал-шум около 12 дБ, уровень ложной тревоги при этом 0,04. В способе-прототипе необходимо существенно более высокое отношение сигнал – шум более 36 дБ, а вероятность ложной тревоги из-за наличия сторонних источников всегда равна 1, что не позволяет регистрировать моменты начала-окончания излучения объекта. Ограничение вероятности совпадения частоты величиной около 0,7 (фиг.4, сплошная линия) соответствует варианту синхронного подавления [6. Анишин А.С., Ложкин К.Ю. Характеристики адресного обслуживания скрытных объектов системой с ограниченным контролем. Радиотехника (журнал в журнале «Информационный конфликт в спектре…»), №5, 1999, с.14-15]. Предлагаемый способ обеспечивает автоматическую синхронизацию с моментами перестройки частоты или моментами выхода объекта в эфир, в том числе при подавлении совокупности радиолиний с различающимися длительностями сигналов, реализуя принцип синхронного подавления. Данный принцип при подавлении совокупности радиолиний принципиально не реализуем в способах с поочередным контролем-подавлением. Согласно [6] относительно варианта асинхронного подавления при критическом уровне ( )=0,6 и фиксированном времени контроля наименьшая длительность сигналов предлагаемым способом снижается в 5 раз, это обеспечивает подавление кратковременных излучений и радиолиний с быстрой перестройкой частоты.
Таким образом, эффективность изобретения выражается в повышении эффективности прицельного радиоподавления за счет исключения паузы излучения помехи и повышения точности нацеливания помехи по времени и частоте.
Наибольший эффект от применения предлагаемого способа наблюдается при подавлении радиолиний в сложной электромагнитной обстановке, подавлении радиолиний с быстрой перестройкой частоты, кратковременными излучениями, совокупности радиолиний с различающимися длительностями сигналов.
Формула изобретения
1. Способ подавления радиолиний с перестройкой частоты, включающий прием радиосигналов с помощью антенной решетки, фильтрацию принятых радиосигналов с заданной дискретностью по частоте, определение на каждой частоте отфильтрованных радиосигналов интенсивности излучения с направления передатчика радиолинии, формирование и излучение помехи на текущей частоте радиолинии при обнаружении излучения передатчика радиолинии, отличающийся тем, что прием радиосигналов и излучение помехи осуществляют одновременно, при этом дополнительно на частотах отфильтрованных радиосигналов определяют максимум интенсивности излучения со всех возможных направлений прихода радиоволн, после чего определяют разность максимума интенсивности излучения и его значения с направления, передатчика радиолинии, полученную разность корректируют в зависимости от значения интенсивности излучения с направления передатчика радиолинии, а текущую частоту радиолинии определяют по положению минимума скорректированной разности, по величине которого, сравнением с порогом обнаружения, судят о наличии излучения передатчика радиолинии, при этом помеху излучают из дальней волновой зоны антенной решетки с направления, отличного от направления передатчика радиолинии, а интенсивность излучения с направления передатчика радиолинии и значение максимума интенсивности излучения отфильтрованных радиосигналов на частоте помехи определяют с учетом места ее излучения.
2. Способ подавления радиолиний с перестройкой частоты по п.1, отличающийся тем, что максимум интенсивности излучения со всех возможных направлений прихода радиоволн в случае отсутствия излучения помехи и применения антенной решетки с ненаправленными элементами определяют путем квадратурного перемножения отфильтрованных радиосигналов пар антенн, линейного детектирования и последующего суммирования по совокупности всех пар антенн.
РИСУНКИ
MM4A – Досрочное прекращение действия патента СССР или патента Российской Федерации на изобретение из-за неуплаты в установленный срок пошлины за поддержание патента в силе
Дата прекращения действия патента: 27.02.2009
Извещение опубликовано: 20.07.2010 БИ: 20/2010
|