4 н. и 1 з.п. ф-лы, 1 табл.
Изобретение относится к химии гетероциклических соединений, а именно к неизвестным ранее замещенным 4-гидрокси-6-нитро-2-фенилиндолам общей формулы I:

где R1 – атом водорода или алкил, R2 – атом водорода и/или алкоксил, и/или галоген, n – 0-5 и к их солям, обладающим фунгицидной активностью, а также к способу получения соединений и применению этих соединений в качестве фунгицидных средств и фунгицидным композициям на их основе.
Соединения общей формулы I могут найти применение в качестве сельскохозяйственных, промышленных, медицинских или ветеринарных фунгицидов в композициях с другими активными и вспомогательными соединениями для борьбы с грибными болезнями растительных организмов, животных или человека.
В литературе описаны соединения, содержащие индольный цикл и обладающие фунгицидной активностью. Наиболее близкими к заявленным замещенным 4-гидрокси-6-нитро-2-фенилиндолам по структуре являются 2-(2-пиридил)индолы, общей формулы II, где X, Y – одинаковые или разные – означают атом водорода, галогена, алкил-, сульфоалкил-, алкокси- и алкилсульфанил-, циано-, нитро-, трифторметильные группы, Z означает атом водорода, галоген, цианогруппа, R означает атом водорода, ацил, фенилсульфонил группы, тип означают целые числа от 0 до 4 [патент Японии №10298011, МКИ A01N 43/42, заявл. 30.04.97, опубл. 10.11.98], обладающие фунгицидной активностью

Соединения II получены по реакции Фишера из гидразонов, синтезированных из соответствующим образом замещенных фенилгидразинов и 2-ацетилпиридинов.
Данная схема непригодна для синтеза 4-гидрокси-6-нитро-2-фенилиндолов, получаемых в соответствии с настоящим изобретением.
Задачей настоящего изобретения является расширение ассортимента соединений, обладающих фунгицидной активностью, разработка способа их получения и создание фунгицидных средств на их основе.
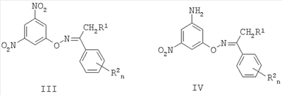
Поставленная задача достигается новыми замещенными 4-гидрокси-6-нитро-2-фенилиндолами общей формулы I, где R1 – атом водорода или алкил; R2 – атом водорода и/или алкоксил, и/или галоген; n – 0-5 и их солями, способом их получения, заключающемся в том, что замещенные 3,5-динитрофенилкетоксимы общей формулы III, где R1, R2 и n имеют вышеуказанное значение, обрабатывают гидразингидратом в алифатическом спирте при кипячении в присутствии соли железа и активированного угля и образующиеся при этом 3-амино-5-нитрокетоксимы общей формулы IV, где R1, R2 и n имеют вышеуказанное значение, подвергают обработке смесью кислоты с алифатическим спиртом при температуре кипения смеси, в соответствии с нижеприведенной схемой

а также применением соединений общей формулы I в качестве фунгицидных средств и фунгицидных композиций на их основе.
Согласно настоящему изобретению новые замещенные 4-гидрокси-6-нитроиндолы формулы I получают в две стадии исходя из известных ранее 3,5-динитрофенилоксимов III (M.D.Dutov, I.A.Vatsadze, S.S.Vorob’ev, S.A. Shevelev, Mendeleev Commun., 2005, 202), где R1, R2 имеют те же значения, что и в формуле I. Сначала селективно восстанавливают одну из нитрогрупп в 3,5-динитрофенилоксимах III гидразингидратом в присутствии активированного угля и соли железа в алифатическом спирте, например метаноле, этаноле, изопропаноле, бутаноле или в целлозольвах, например метилцеллозольве, этилцеллозольве с образованием новых O-(3-амино-5-нитрофенил)кетоксимов IV, которые затем подвергают внутримолекулярной циклизации при кипячении в смеси кислоты, например соляной, уксусной, трифторуксусной, и алифатического спирта, например этанола, метанола, изопропанола, бутанола. В качестве соли железа можно использовать хлорид, сульфат, ацетат или другую растворимую соль железа.
Циклизация O-(3-амино-5-нитрофенил)кетоксимов в 4-гидрокси-6-нитроиндолы формулы I является новым превращением. Циклизация O-арилкетоксимов в индолы происходит лишь при наличии в O-арильной части кетоксима аминогруппы в сочетании с нитрогруппой (в мета-положении к группе NH2), что и является предметом изобретения. К предмету изобретения относится также ранее неизвестное селективное восстановление O-(3,5-динитрофенил)кетоксимов до O-(3-амино-5-нитро)кетоксимов, также не описанных в литературе.
Техническим результатом изобретения являются новые вещества: замещенные 4-гидрокси-6-нитро-2-фенилиндолы общей формулы I, проявляющие высокую фунгицидную активность. По результатам фунгицидных испытаний in vitro замещенные 4-гидрокси-6-нитро-фенилиндолы, например 4-гидрокси-6-нитро-2-фенилиндол и 4-гидрокси-6-нитро-2-(2-хлорфенил)индол (7 и 11), превосходят используемый в качестве эталонного известный фунгицид – триадимефон(3,3-диметил-1-(1,2,4-триазол-1-ил)-1-(4-хлорфенокси)-2-бутанон) по отношению ко всем из испытанных видов грибов-патогенов и в концентрации 30 мг/л полностью подавляют рост мицелия четырех фитопатогенов.
Упомянутые в патенте-прототипе [патент Японии №10298011] 2-(2-пиридил)индолы, общей формулы II на 75% и выше подавляют развитие грибов-патогенов в концентрации 200 мг/л. Заявляемые замещенные 4-гидрокси-6-нитро-2-фенилиндолы в значительно меньшей концентрации 30 мг/л почти на 100% подавляют рост мицелия грибов-патогенов различных таксономических классов, превосходя по активности широко применяемый фунгицид триадимефон. Эталонный препарат триадимефон также относится к классу азотсодержащих гетероциклических соединений
Успешное применение пестицидов для борьбы с различными вредными организмами в большой степени зависит от препаративной формы препарата и условий, при которых действующее вещество контактирует с вредителями и возбудителями заболеваний растений. В зависимости от физико-химических свойств препарата, его назначения и способа применения выбирается наиболее эффективная и экономичная препаративная форма (композиция), это могут быть, например, дусты, гранулы, микрокапсулированные препараты, смачивающиеся порошки, концентраты эмульсий, мази, вододиспергируемые гранулы, суспензионные концентраты. Препаративные формы помимо действующего вещества могут включать в свой состав наполнители, растворители, поверхностно-активные вещества, смягчители воды, синергетические добавки и др. Например, известный препарат триадимефон применяют в виде 10%-ного концентрата эмульсии для защиты зерновых, овощных и плодовых культур от грибковых болезней растений [Пестициды и регуляторы роста растений: Справ. изд. / Н.Н.Мельников, К.В.Новожилов, С.Р.Белан. – М.: Химия, 1995, с.24, с.287].
В связи с этим техническим результатом изобретения также является разработка фунгицидных композиций, состоящих из замещенных 4-гидрокси-6-нитро-2-фенилиндолов общей формулы I в концентрации 0,1-99% и вспомогательных веществ – остальное. Эти композиции успешно могут быть применены для борьбы с вредоносными грибковыми болезнями сельскохозяйственных культур, животных или человека.
Изобретение может быть проиллюстрировано примерами.
Пример 1. 4-Гидрокси-6-нитро-2-фенилиндол (1б).
а) O-(3-амино-5-нитрофенил)-1-фенилэтаноноксим (1а).
Смесь 30,11 г (0,1 моль) O-(3,5-динитрофенил)ацетофеноноксима, 0,13 г (0,0005 моль) гексагидрата хлорида железа (III), 6 г активированного угля, 10 мл (0,2 моль) гидразин-гидрата и 700 мл метанола кипятят с обратным холодильником 7 часов. Реакционную массу фильтруют горячей, фильтрат охлаждают. Выпавший осадок отфильтровывают и получают 19,53 г (72%) O-(3-амино-5-нитрофенил)-1-фенилэтаноноксима (1а), с т.пл. 157-159°С.
Спектр 1Н ЯМР
м.д. (DMSO-d6): 2,45 (s, 3H); 5,92 (s, 2H); 6,92 (s, 1H); 7,22 (m, 2H); 7,5 (m, 3H); 7,83 (m, 2H).
Найдено %: С 61.47, Н 4.63; N 15.86. Вычислено для С14Н13N3О3%: С 61.99, Н 4.83, N 15.49.
б) 4-Гидрокси-6-нитро-2-фенилиндол (1б).
2,71 г (0,01 моль) O-(3-амино-5-нитрофенил)-1-фенилэтаноноксима (1а) помещают в смесь 10 мл этилового спирта и 10 мл концентрированной соляной кислоты. Реакционную массу кипятят 2 ч с обратным холодильником. Охлаждают до комнатной температуры, выпавший осадок отфильтровывают. Фильтрат упаривают досуха, остаток помещают в 50 мл воды и добавляют водный аммиак до слабощелочной реакции, осадок 4-гидрокси-6-нитро-2-фенилиндола (1б) отфильтровывают, кристаллизуют из минимального количества этилового спирта и сушат в вакууме. Выход 2,135 г, 84%, т.пл. 183-185°С.
Спектр 1Н ЯМР
м.д. (DMSO-d6): 7.10 (s, 1Н); 7.22 (s, 1H), 7-31-7.42 (m, 1H), 7.45-7.58 (m, 2H), 7.75-8.00 (m, 3H), 10.4 (s, 1H), 12.15 (s, 1H).
Найдено %: С 66.20, Н 3.83; N 10.96. Вычислено для С14Н10N2О3%: С 66.14, Н 3.94, N 11.02.
Пример 2. 4-Гидрокси-3-метил-6-нитро-2-фенилиндол (2б).
а) O-(3-амино-5-нитрофенил)-1-фенилпропаноноксим (2а).
Смесь 31,53 г (0,1 моль) O-(3,5-динитрофенил)пропиофеноноксима, 0,13 г (0,0005 моль) гексагидрата хлорида железа (III), 6 г активированного угля, 10 мл (0,2 моль) гидразин-гидрата и 600 мл этанола кипятят с обратным холодильником 3 часа. Реакционную массу фильтруют горячей, фильтрат охлаждают. Выпавший осадок отфильтровывают и получают 21,53 г (75%) O-(3-амино-5-нитрофенил)-1-фенилпропаноноксима (2а), с т.пл. 188-192°С.
Спектр 1Н ЯМР
м.д. (DMSO-d6): 1,15 (t, 3H, 3J=7 Hz); 2,92 (q; 2H, 3J=7 Hz); 5,92 (s, 2H); 6,91 (s, 1H); 7,13 (m, 2H); 7,49 (m, 3H); 7,79 (m, 2H).
Найдено %: С, 62.85; Н, 5.01; N, 14.42. Вычислено для С15Н15N3О3%: С, 63.15; Н, 5.30; N, 14.73.
б) 4-Гидрокси-3-метил-6-нитро-2-фенилиндол (2б).
2,85 г (0,01 моль) O-(3-амино-5-нитрофенил)-1-фенилпропан-1-он-оксима (2а) помещают в смесь 10 мл уксусной кислоты и 10 мл концентрированной соляной кислоты (36%). Реакционную массу кипятят 2 ч с обратным холодильником. Охлаждают до комнатной температуры, после чего выпавший осадок отфильтровывают. Фильтрат упаривают досуха, остаток помещают в 50 мл воды и добавляют водный аммиак до слабощелочной реакции, осадок 4-гидрокси-3-метил-6-нитро-2-фенилиндола (2б) отфильтровывают, кристаллизуют из минимального количества этилового спирта и сушат в вакууме. Выход 2.24 г (84%), т.пл. 139-140°С.
Спектр 1Н ЯМР
м.д. (DMSO-d6): 2,60 (s, 3Н), 7,25 (s, 1Н), 7,38-7,46 (m, 2H), 7,51-7,58 (m, 2H), 7,65-7,71 (m, 2H), 10,37 (s, 1Н), 11,83 (s, 1H).
Найдено %: С 67.55; Н 4.40; N 10.57. Вычислено для С15Н12N2О3%: С 67.16; Н 4.48; N 10.45.
Пример 3. 4-Гидрокси-2-(2-метоксифенил)-6-нитроиндол (3б).
а) O-(3-амино-5-нитрофенил)-1-(2-метоксифенил)этаноноксим (3а).
Аналогично примеру 2а). С той разницей, что в качестве растворителя используют 700 мл изопропанола и кипятят с обратным холодильником 4 часа. Выход 23.24 г (77%), т.пл. 146-147°С.
Спектр 1Н ЯМР
м.д. (DMSO-d6): 2,32 (s, 3H); 3,83 (s, 3H); 5,88 (s,2H); 6,82 (s, 1H); 7,1 (m, 4H); 7,4 (m, 2H).
Найдено %: С 59.67; Н 4.87; N 13.64. Вычислено для C15H15N3O4%: С 59.79; Н 5.02; N 13.95.
б) 4-Гидрокси-2-(2-метоксифенил)-6-нитроиндол (3б).
Аналогично примеру 1б). С той разницей, что вместо 10 мл концентрированной соляной кислоты используют 10 мл трифторуксусной кислоты и кипятят с обратным холодильником 5 часов. Выход 2,34 г (82%), т.пл. 252-254°С.
Спектр 1Н ЯМР
м.д. (DMSO-d6): 3,97 (s, 3H); 7,15 (m, 4H); 7,38 (m, 1H); 7,82 (m, 1H); 7,98 (s, 1H); 10,32 (s, 1H); 11,79 (s, 1H).
Найдено %: С 63.56; Н 4.04; N 9.62. Вычислено для C15H12N2O4%: С 63.38; Н 4.25; N 9.85.
Пример 4. 4-Гидрокси-6-нитро-2-(4-хлорфенил)индол (4б).
а) O-(3-амино-5-нитрофенил)-1-(4-хлорфенил)этаноноксим (4а).
Смесь 33,50 г (0,1 моль) O-(3,5-динитрофенил)-4-хлорацетофеноноксима, 0,13 г (0,0005 моль) гексагидрата хлорида железа (III), 6 г активированного угля, 10 мл (0,2 моль) гидразин-гидрата и 300 мл метилцеллозольва выдерживают при перемешивании при 90°С 8 часов. Реакционную массу фильтруют горячей, фильтрат упаривают под вакуумом. Остаток перекристаллизовывают из изопропанола, получают 26,11 г (85%) O-(3-амино-5-нитрофенил)-1-(4-хлорфенил)этаноноксима (4а), с т.пл. 155-157°С.
Спектр 1Н ЯМР
м.д. (DMSO-d6): 2,43 (s, 3H); 5,91 (s, 2H); 6,89 (s, 1H); 7,15 (m, 2H); 7,55 (d, 2H, 3J=8 Hz); 7,65 (d, 2H, 3J=8 Hz).
Найдено %: С 55.29; Н 3.90; N 13.92; Cl 11.41. Вычислено для С14Н12ClN3О3 %: С 55.00; Н 3.96; N 13.74; Cl 11.60.
б) 4-Гидрокси-6-нитро-2-(4-хлорфенил)индол (4б).
Аналогично примеру 3б). С той разницей, что синтез проводят в смеси 10 мл бутанола и 10 мл трифторуксусной кислоты и кипятят с обратным холодильником 3 часа. Выход 2,24 г (78%), т.пл. 232-234°С.
Спектр 1Н ЯМР
м.д. (DMSO-d6): 7,1 (s, 1H); 7,27 (s, 1H); 7,58 (d, 2H, 3J=8 Hz); 7,86 (s, 1H); 7,92 (d, 2H, 3J=8 Hz); 10,49 (s, 1H); 12,32 (s, 1H).
Найдено %: С 58.38; Н 3.26; N 9.55; Cl 12.50. Вычислено для С14H9ClN2О3%: С 58.25; Н 3.14; N 9.70; Cl 12.28.
Пример 5. 4-Гидрокси-6-нитро-2-(2-хлорфенил)индол (5б).
а) O-(3-амино-5-нитрофенил)-1-(2-хлорфенил)этаноноксим (5а).
Аналогично примеру 4а). С той разницей, что выдерживают при нагревании 10 часов. Выход 27,80 г (91%), т.пл. 136-138°С.
Спектр 1Н ЯМР
м.д. (DMSO-d6): 2,45 (s, 3H); 5,91 (s, 2H); 6,85 (s, 1H); 7,12 (m, 2H); 7,46 (t, 1H); 7,55 (m, 2H; С6Н4); 7,61 (d, 1H).
Найдено %: С 55.29; Н 3.90; N 13.92; Cl 11.41. Вычислено для С14H12ClN2О3%: С 55.00; Н 3.96; N 13.74; Cl 11.60.
б) 4-Гидрокси-6-нитро-2-(2-хлорфенил)индол (5б).
Аналогично примеру 3б). Выход 2,24 г (78%), т.пл. 226-228°С.
Спектр 1Н ЯМР
м.д. (DMSO-d6): 7.06 (d, 1H, 4J=1.8 Hz), 7.29 (d, 1H, 4J=1.8 Hz), 7.51-7.60 (m, 2H), 7.65 (dd, 1H, 3J=7.9 Hz 4J=2 Hz), 7.85 (dd, 1H, 3J=7.9 Hz 4J=2 Hz), 7.91 (d, 1H), 10.4 (s, 1H), 12.15 (s, 1H);
Найдено %: С 57.71, Н 4.04, N 9.63. Вычислено для С14Н9N2O3Cl %: С 57.63, Н 4.12, N 9.61.
Пример 6. 4-Гидрокси-2-(3-метоксифенил)-6-нитроиндол (6б).
а) O-(3-амино-5-нитрофенил)-1-(3-метоксифенил)этаноноксим (6а).
Аналогично примеру 2а). Выход 24.56 г (81%), т.пл. 131-132°С.
Спектр 1Н ЯМР
м.д. (DMSO-d6): 2,42 (s, 3H); 3,82 (s, 3H); 5,92 (s, 2H); 6.91 (s, 1H); 7,13 (m, 3H); 7,31 (m, 1H); 7,39 (m, 2H; С6Н4).
Найдено %: С 59.59; Н 4.89; N 13.69. Вычислено для C15H15N3O4%: С 59.79; Н 5.02; N 13.95.
б) 4-Гидрокси-2-(3-метоксифенил)-6-нитроиндол (6б).
Аналогично примеру 4б). Выход 2.30 г (81%), т.пл. 127-131°С.
Спектр 1Н ЯМР
м.д. (DMSO-d6): 3,89 (s, 3H); 6,95 (d, 1H); 7,11 (s, 1H); 7,22 (s, 1H); 7,43 (m, 3H); 7,81 (s, 1H); 10.4 (s, 1H); 12,15 (s, 1H).
Найдено %: С 63.43; Н 4.34; N 9.90. Вычислено для C15H12N2O4 %: С 63.38; Н 4.25; N 9.85.
Пример 7. Калиевая соль 4-гидрокси-3-метил-6-нитро-2-фенилиндол.
К раствору 2,54 г (0,01 моль) 4-гидрокси-6-нитро-2-фенилиндола (1б) в 25 мл метанола приливают раствор 0,56 г (0,01 моль) гидроксида калия в 10 мл метанола. Раствор упаривают в вакууме и получают 2,90 г (99%) калиевой соли 4-гидрокси-6-нитро-2-фенилиндола, т.пл. >360°С.
Найдено %: С 57.31; Н 3.23; N 9.75. Вычислено для C14H9N2O3K%: С 57.52; Н 3.10; N 9.58.
Пример 8. Композиция концентрата эмульсии.
Действующее вещество: 4-гидрокси-3-метил-6-нитро-2-фенилиндол – 90 г.
Алкилбензолсульфокислоты кальциевая соль (АБСК) – 15 г.
Оксиэтилированный октилфенол (ОП-7) – 75 г.
Циклогексанон – 290 г.
Смесь ксилололов – 110 г.
Нефтяной сольвент в количестве, достаточном для получения 1 л раствора.
Пример 9. Испытания на фунгицидную активность соединений проводили в экспериментах in vitro [Методические рекомендации по определению фунгицидной активности новых соединений. Черкассы: ВНИИХСЗР, ОНИИТЭХИМ, 1983 – 32 с.]
Действие препаратов на радиальный рост мицелия определяли растворением композиции соединения в ацетоне и внесением аликвоты в картофеле-сахарозный агар при 50°С до концентрации 30 мг/л по действующему веществу. Конечная концентрация ацетона в контрольных растворах и в растворах с действующими веществами составила 1%. В чашки Петри, содержащие 15 мл агаровой среды, наносили иглой культуры грибов на агаровую поверхность. Образцы выдерживали в инкубаторе при 25°С и измеряли радиальный рост через 3 суток. Процент ингибирования рассчитывали по Эбботу по отношению к необработанному контролю. В качестве эталона использовали коммерческий фунгицид триадимефон в той же концентрации. Результаты испытаний представлены в таблице.
| Результаты испытаний 4-гидрокси-6-нитроиндолов на фунгицидную активность в концентрации 30 мг/л |
| Соединение |
Подавление радиального роста мицелия грибов, в % к контролю |
| V.i. |
R.s. |
F.o. |
F.m. |
H.s. |
S.s. |
| 1б |
89 |
100 |
88 |
100 |
100 |
100 |
| 2б |
93 |
100 |
87 |
100 |
89 |
100 |
| 3б |
26 |
8 |
15 |
36 |
20 |
20 |
| 4б |
28 |
56 |
56 |
66 |
70 |
34 |
| 5б |
44 |
100 |
88 |
100 |
100 |
100 |
| 6б |
56 |
65 |
69 |
65 |
68 |
65 |
| Эталон |
53 |
54 |
72 |
90 |
45 |
59 |
| Эталон – триадимефон (3,3-диметил-1-(1,2,4-триазол-1-ил)-1-(4-хлорфенокси)-2-бутанон). Обозначения фитопатогенных грибов: V.i. – Venturia inaequalis, R.s. – Rhizoctonia solani, F.o. – Fusarium oxysporum, F.m. – Fusarium moniliforme, H.s. – Helminthosporum sativum, S.s. – Sclerotinia sclerotiorum |
1. Замещенные 4-гидрокси-6-нитро-2-фенилиндолы общей формулы I
и их соли, за исключением 4-гидрокси-6-нитро-2-фенилиндола.
2. Соединения по п.1, включая 4-гидрокси-6-нитро-2-фенилиндол, обладающие фунгицидной активностью.
3. Способ получения соединений по п.1 или 2, заключающийся в том, что замещенные O-(3,5-динитрофенил)кетоксимы общей формулы III, где R1, R2 и n имеют вышеуказанные значения, обрабатывают гидразингидратом в алифатическом спирте при кипячении в присутствии соли железа и активированного угля, образующиеся при этом соответствующие O-(3-амино-5-нитрофенил)кетоксимы общей формулы IV, где R1, R2 и n имеют вышеуказанные значения, подвергают обработке смесью кислоты с алифатическим спиртом, при температуре кипения смеси:
4. Применение соединений по п.1 или 2 в качестве фунгицидных средств.
5. Фунгицидная композиция, содержащая соединения по любому из пп.1, 2 и 4 в концентрации 0,1-99% и вспомогательные вещества – остальное.