|
|
(21), (22) Заявка: 2006131684/09, 05.03.2005
(24) Дата начала отсчета срока действия патента:
05.03.2005
(30) Конвенционный приоритет:
05.03.2004 KR 10-2004-0015199 26.08.2004 KR 10-2004-0071045
(43) Дата публикации заявки: 10.03.2008
(46) Опубликовано: 10.09.2008
(56) Список документов, цитированных в отчете о поиске:
RU 2186465 C1, 27.07.2002. RU 2208911 C2, 20.07.2003. US 6618352 B1, 09.09.2003. US 6181714 B1, 30.01.2001. KR 10-0283086 B1, 02.04.2001.
(85) Дата перевода заявки PCT на национальную фазу:
04.09.2006
(86) Заявка PCT:
KR 2005/000624 (05.03.2005)
(87) Публикация PCT:
WO 2005/086397 (15.09.2005)
Адрес для переписки:
129010, Москва, ул. Б. Спасская, 25, стр.3, ООО “Юридическая фирма Городисский и Партнеры”, пат.пов. Ю.Д.Кузнецову, рег.№ 595
|
(72) Автор(ы):
ПАРК Сунг-Еун (KR), ЧОЙ Сеунг-Хоон (KR), ПАРК Донг-Сеек (KR), КИМ Дзае-Йоел (KR), ЙУН Сунг-Риул (KR), ЧО Сие-Дзоон (KR), ЧО Дзае-Веон (KR), ЛИМ Чи-Воо (KR)
(73) Патентообладатель(и):
САМСУНГ ЭЛЕКТРОНИКС КО., ЛТД. (KR)
|
(54) УСТРОЙСТВО И СПОСОБ ПЕРЕДАЧИ/ПРИЕМА ПИЛОТ-СИГНАЛА В СИСТЕМЕ СВЯЗИ, ИСПОЛЬЗУЮЩЕЙ СХЕМУ OFDM
(57) Реферат:
Изобретение относится к технике связи и может использоваться в схемах мультиплексирования с ортогональным частотным разделением сигналов. Технический результат состоит в повышении количества идентифицируемых базовых станций в системе. Для этого в системе, которая включает в себя базовые станции, расположенные по соседству друг с другом, передают поднесущие, идентифицирующие BS, которые представляют последовательности для идентификации базовых станций в частотной области пилот-символа, и передают поднесущие PAPR (отношение пиковой и средней мощностей), которые представляют последовательности для уменьшения PAPR пилот-символа, вместе с передачей поднесущих, идентифицирующих BS в частотной области. 6 н. и 43 з.п. ф-лы, 11 ил., 28 табл.
Текст описания приведен в факсимильном виде.                                                         
Формула изобретения
1. Способ передачи пилот-символа от базовых станций (BS) на абонентскую станцию (SS) в системе связи, которая включает в себя базовые станции, расположенные по соседству друг с другом, заключающийся в том, что:
передают поднесущие, идентифицирующие BS, которые представляют последовательности для идентификации базовых станций в частотной области пилот-символа; и
передают поднесущие PAPR (отношение пиковой и средней мощностей), которые представляют последовательности для уменьшения PAPR пилот-символа, вместе с передачей поднесущих, идентифицирующих BS в частотной области.
2. Способ по п.1, в котором последовательности для идентификации базовых станций создают с использованием матрицы Уолша-Адамара, каждая строка которой включает в себя коды Уолша, причем определенная строка матрицы Уолша-Адамара соответствует идентификатору определенной базовой станции и ее перемежают согласно заранее определенной схеме перемежения, сигнал, подвергшийся перемежению, отображают в заранее определенные поднесущие для формирования поднесущих, идентифицирующих BS, когда передают поднесущие, идентифицирующие BS.
3. Способ по п.2, в котором последовательности, идентифицирующие базовые станции, определяют как

где H128 обозначает матрицу Уолша-Адамара 128-го порядка, а П1(·) обозначает перемежение столбца матрицы H128 Уолша-Адамара 128-го порядка.
4. Способ по п.2, в котором перемеженный сигнал имеет значения, как показано в

где l обозначает элементы строки или столбца матрицы Уолша-Адамара 128-ого порядка.
5. Способ по п.2, в котором коды Уолша являются кодами Уолша типа «все единицы», каждый из которых имеет значение 1, в системе связи, где в идентификации сектора нет необходимости.
6. Способ по п.1, в котором последовательности для уменьшения PAPR пилот-символа определены заранее и соответствуют идентификатору определенной базовой станции.
7. Способ по п.1, в котором пилот-символ, включающий в себя поднесущие, идентифицирующие BS, и поднесущие PAPR, определяют как


где обозначает пилот-символ, IDcell обозначает идентификатор базовой станции, n обозначает идентификатор передающей антенны, m обозначает текущий индекс последовательности k обозначает индекс поднесущей, а Nused обозначает количество поднесущих, в которые не вставлены нулевые данные.
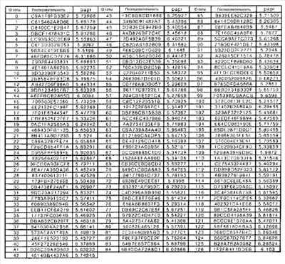
8. Способ по п.7, в котором имеет значение, определяемое как

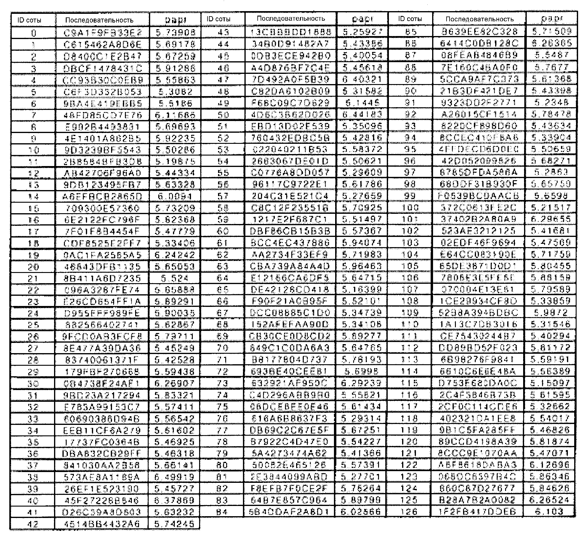
9. Способ по п.8, в котором, когда количество Nt передающих антенн равно двум, а количество NFFT точек операции обратного быстрого преобразования Фурье (IFFT), используемых в системе связи, составляет 2048, то имеет значение, определяемое как

а и имеют значения, определяемые шестнадцатеричными числами, как показано в






и

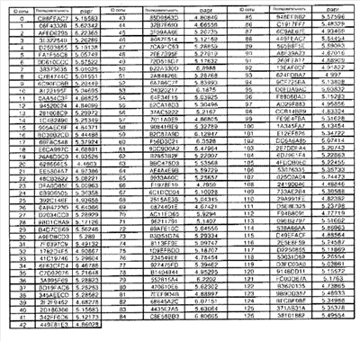
10. Способ по п.8, в котором, когда количество Nt передающих антенн равно двум, а количество NFFT точек операции IFFT, используемых в системе связи, составляет 1024, то имеет значение, определяемое как

a и имеют значения, определяемые шестнадцатеричными числами, как показано в




и

11. Способ по п.8, в котором, когда количество Nt передающих антенн равно двум, а количество NFFT точек операции IFFT, используемых в системе связи, составляет 512, то имеет значение, определяемое как 
а и имеют значения, определяемые шестнадцатеричными числами, как показано в


и

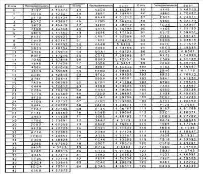
12. Способ по п.8, в котором, когда количество Nt передающих антенн равно трем, а количество NFFT точек операции IFFT, используемых в системе связи, составляет 2048, то имеет значение, определяемое как 
a и имеют значения, определяемые шестнадцатеричными числами, как показано в




и

13. Способ по п.8, в котором когда количество Nt передающих антенн равно трем, а количество NFFT точек операции IFFT, используемых в системе связи, составляет 1024, то имеет значение, определяемое как 
а и имеют значения, определяемые шестнадцатеричными числами, как показано в


и

14. Способ по п.8, в котором когда количество Nt передающих антенн равно трем, а количество NFFT точек операции IFFT, используемых в системе связи, составляет 512, то имеет значение, определяемое как 
а и имеют значения, определяемые шестнадцатеричными числами, как показано в


и

15. Устройство для передачи пилот-символа от базовых станций (BS) на абонентскую станцию (SS) в системе связи, которая включает в себя базовые станции, расположенные по соседству друг с другом, содержащее:
передатчик для передачи поднесущих, идентифицирующих BS, которые представляют последовательности для идентификации базовых станций в частотной области пилот-символа, и передачи поднесущих PAPR (отношение пиковой и средней мощностей), которые представляют последовательности для уменьшения PAPR пилот-символа, вместе с передачей поднесущих, идентифицирующих BS в частотной области.
16. Устройство по п.15, дополнительно содержащее селектор для создания последовательности для идентификации базовых станций путем использования заранее определенной матрицы Уолша-Адамара, каждая строка которой включает в себя коды Уолша, причем селектор выбирает определенную строку матрицы Уолша-Адамара, соответствующую идентификатору определенной базовой станции, и повторяет выбранную строку заранее определенное количество раз;
повторитель для повторения заранее определенного количества раз кода Уолша, соответствующего идентификатору сектора, из числа заранее установленных кодов Уолша;
множество перемежителей для перемежения каждой строки матрицы Уолша-Адамара согласно заранее определенной схеме перемежения; и множество сумматоров для выполнения операции «исключающее ИЛИ» (XOR) с каждой из строк матрицы Уолша-Адамара, подвергшихся перемежению, и повторенными кодами Уолша.
17. Устройство по п.15, в котором передатчик содержит блок обратного быстрого преобразования Фурье (IFFT) для вставки нулевых данных в поднесущие, соответствующие DC-компонентам (сигнала постоянного тока) и компонентам, исключающим взаимные помехи между поднесущими, из числа N поднесущих, вставки элементов пилот-символа в М поднесущих, отличных от поднесущих, в которые вставляют нулевые данные из числа N поднесущих, и выполнения преобразования IFFT сигнала, включающего в себя элементы пилот-символа и М поднесущих; и процессор радиочастотных (RF) сигналов для RF обработки и передачи сигнала, обработанного с использованием преобразования IFFT.
18. Устройство по п.15, в котором последовательности для уменьшения PAPR пилот-символа определены заранее и соответствуют идентификатору определенной базовой станции.
19. Устройство по п.15, в котором, когда система связи включает в себя только один сектор для идентификации сот, коды Уолша являются кодами Уолша типа «все единицы», каждый из которых имеет значение 1.
20. Устройство по п.19, в котором пилот-символ, включающий в себя поднесущие, идентифицирующие BS, и поднесущие PAPR, определяется как


где обозначает пилот-символ, IDcell обозначает идентификатор базовой станции, n обозначает идентификатор передающей антенны, m обозначает текущий индекс последовательности k обозначает индекс поднесущей, Nused обозначает количество поднесущих, в которые не вставлены нулевые данные, a обозначает последовательности.
21. Устройство по п.19, в котором последовательности имеют значения, определяемые как

22. Устройство по п.21, в котором, когда количество Nt передающих антенн равно двум, а количество NFFT точек операции обратного быстрого преобразования Фурье (IFFT), используемых в системе связи, составляет 2048, то имеет значение, определяемое как

а и имеют значения, определяемые шестнадцатеричными числами, как показано в






и

23. Устройство по п.21, в котором, когда количество Nt передающих антенн равно двум, а количество NFFT точек операции IFFT, используемых в системе связи, составляет 1024, то имеет значение, определяемое как 
а и имеют значения, определяемые шестнадцатеричными числами, как показано в




и

24. Устройство по п.21, в котором, когда количество Nt передающих антенн равно двум, а количество NFFT точек операции IFFT, используемых в системе связи, составляет 512, то имеет значение, определяемое как

а и имеют значения, определяемые шестнадцатеричными числами, как показано в


и

25. Устройство по п.21, в котором, когда количество Nt передающих антенн равно трем, а количество NFFT точек операции IFFT, используемых в системе
связи, составляет 2048, то имеет значение, определяемое как
а и имеют значения, определяемые шестнадцатеричными числами, как показано в




и

26. Устройство по п.21, в котором, когда количество Nt передающих антенн равно трем, а количество NFFT точек операции IFFT, используемых в системе связи, составляет 1024, то имеет значение, определяемое как

a и имеют значения, определяемые шестнадцатеричными числами, как показано в


и

27. Устройство по п.21, в котором когда количество Nt передающих антенн равно трем, а количество NFFT точек операции IFFT, используемых в системе связи, составляет 512, то имеет значение, определяемое как

а и имеют значения, определяемые шестнадцатеричными числами, как показано в


и
.
28. Способ передачи опорных сигналов в системе связи, которая включает в себя множество сот и имеет полосу частот, разделенную на N полос поднесущих, причем каждая сота имеет по меньшей мере один сектор и по меньшей мере одну передающую антенну, при этом опорные сигналы идентифицируют соты и сектор, заключающийся в том, что выбирают строку матрицы Уолша-Адамара, соответствующую идентификатору соты, и повторяют выбранную строку заранее определенное количество раз; повторяют заранее определенное количество раз код Уолша, соответствующий идентификатору сектора, выбранный из числа заранее установленных кодов Уолша;
выбирают последовательность, соответствующую идентификатору соты и идентификатору сектора, из числа заранее установленных последовательностей;
перемежают каждую строку матрицы Уолша-Адамара в соответствии с заранее определенной схемой перемежения;
создают опорный сигнал путем сцепления упомянутой последовательности с сигналом, полученным путем выполнения операции «исключающее ИЛИ» (XOR) с каждой из строк матрицы Уолша-Адамара, подвергшихся перемежению, и повторенными кодами Уолша; и передают опорный сигнал в заранее определенном интервале передачи опорного сигнала.
29. Способ по п.28, в котором этап передачи опорного сигнала содержит этапы, на которых
вставляют нулевые данные в поднесущие, соответствующие DC- компонентам (сигнала постоянного тока) и компонентам, исключающим взаимные помехи между поднесущими, из числа N поднесущих;
вставляют элементы опорного сигнала в М поднесущих, отличных от поднесущих, в которые вставляют нулевые данные из числа N поднесущих;
выполняют обратное быстрое преобразование Фурье (IFFT) сигнала, включающего в себя элементы опорного сигнала и М поднесущих; и передают сигнал, обработанный с использованием преобразования IFFT.
30. Способ приема сигналов для идентификации базовых станций или секторов в системе связи, которая включает в себя базовые станции, расположенные по соседству друг с другом, заключающийся в том, что принимают пилот-сигнал, переданный от базовой станции, причем пилот-сигнал включает в себя поднесущие, идентифицирующие BS, для идентификации базовой станции и поднесущие PAPR (отношение пиковой и средней мощностей) для уменьшения PAPR пилот-символа;
преобразуют пилот-сигнал согласно заранее определенной схеме модуляции;
демодулируют преобразованный пилот-сигнал;
исключают последовательность для уменьшения PAPR, соответствующую поднесущим PAPR, из демодулированного пилот-сигнала;
разделяют пилот-сигнал на заранее определенное количество ответвленных сигналов и затем осуществляют обращенное перемежение каждого из ответвленных сигналов;
выполняют обратное быстрое преобразование Адамара (IFHT) ответвленных сигналов, подвергшихся обращенному перемежению; и выводят идентификатор базовой станции, который представляет собой сигнал, имеющий максимальное значение корреляции для строк заранее определенной матрицы Уолша-Адамара, из числа ответвленных сигналов, обработанных с использованием преобразования IFHT.
31. Способ по п.30, в котором сигналы используют для идентификаций секторов и дополнительно
повторяют заранее определенное количество раз код Уолша, соответствующий идентификатору сектора, из числа заранее установленных кодов Уолша;
выполняют операцию «исключающее ИЛИ» (XOR) с заранее определенным количеством ответвленных сигналов и повторенных кодов Уолша; и выводят идентификатор сектора, который представляет собой сигнал, имеющий максимальное значение корреляции для заранее определенных кодов Уолша из числа сигналов, обработанных с использованием операций XOR и IFHT.
32. Способ по п.30, в котором преобразование пилот-сигнала согласно заранее определенной схеме модуляции содержит этапы, на которых осуществляют радиочастотную (RF) обработку принятого пилот-сигнала;
преобразуют пилот-сигнал из аналогового сигнала в цифровой сигнал;
исключают защитный интервал из цифрового сигнала;
преобразуют цифровой сигнал из последовательного сигнала в параллельные сигналы;
выполняют быстрое преобразование Фурье (FFT) параллельных сигналов;
преобразуют сигналы, обработанные с использованием преобразования FFT, в преобразованный последовательный сигнал;
выбирают пилот-сигнал в интервале приема пилот-сигнала из преобразованного последовательного сигнала и затем выводят пилот-сигнал.
33. Устройство для приема сигналов для идентификации базовых станций (BS) или секторов в системе связи, которая включает в себя базовые станции, расположенные по соседству друг с другом, содержащее блок выделения пилот-сигнала для приема пилот-сигнала, переданного от базовой станции, причем пилот-сигнал включает в себя поднесущие, идентифицирующие BS, для идентификации упомянутой базовой станции и поднесущие PAPR (отношение пиковой и средней мощностей) для уменьшения PAPR пилот-символа, при этом блок выделения пилот-сигнала исключает из пилот-сигнала последовательность для уменьшения PAPR, соответствующую поднесущим PAPR, разделяет пилот-сигнал на заранее определенное количество ответвленных сигналов, а затем выводит ответвленные сигналы;
обращенные перемежители для соответствующего обращенного перемежения ответвленных сигналов;
блок обратного быстрого преобразования Адамара для выполнения обратного быстрого преобразования Адамара (IFHT) ответвленных сигналов, подвергшихся обращенному перемежению; и
селектор для выбора сигнала, имеющего максимальное значение корреляции для строк заранее определенной матрицы Уолша-Адамара из числа ответвленных сигналов, обработанных с использованием преобразования IFHT, и вывода выбранного сигнала в качестве идентификатора базовой станции.
34. Устройство по п.33, дополнительно содержащее повторитель кода Уолша для повторения заранее определенное количество раз кода Уолша, соответствующего идентификатору сектора, из числа заранее установленных кодов Уолша; и
сумматор для выполнения операции «исключающее ИЛИ» (XOR) с заранее определенным количеством ответвленных сигналов и повторенных кодов Уолша.
35. Устройство по п.34, в котором селектор выбирает сигнал, имеющий максимальное значение корреляции для заранее определенных кодов Уолша, из числа сигналов, обработанных с использованием операций XOR и IFHT, и выводит выбранный сигнал в качестве идентификатора базовой станции.
36. Способ создания пилот-символа для вхождения в синхронизм и оценки канала в системе связи, которая включает в себя множество базовых станций (BS), расположенных по соседству друг с другом, множество сот, занятых базовыми станциями, и абонентскую станцию (SS), перемещающуюся между сотами, причем пилот-символ включает в себя множество поднесущих, заключающийся в том, что
создают последовательности, идентифицирующие BS, подлежащие отображению в поднесущие, идентифицирующие BS, для идентификации базовых станций, из числа поднесущих пилот-символа; и создают последовательности PAPR (отношение пиковой и средней мощностей), подлежащих отображению в поднесущие PAPR, для уменьшения PAPR пилот-символа, из числа поднесущих пилот-символа.
37. Способ по п.36, в котором дополнительно
отображают последовательности, идентифицирующие BS, и последовательности PAPR в соответствующие поднесущие;
выполняют обратное быстрое преобразование Фурье (IFFT) отображенных поднесущих и передают поднесущие, обработанные с использованием преобразования IFFT.
38. Способ по п.36, в котором последовательности, идентифицирующие BS, определяют как

где H128 обозначает матрицу Уолша-Адамара 128-го порядка, а Пi(·) обозначает перемежение столбца матрицы H128 Уолша-Адамара 128-го порядка.
39. Способ по п.36, в котором перемеженный сигнал имеет значения как показано в

где l обозначает элементы строки или столбцы матрицы Уолша-Адамара 128-го порядка.
40. Способ по п.36, в котором последовательности для идентификации базовых станций создают с использованием матрицы Уолша-Адамара, каждая строка которой включает в себя коды Уолша, причем определенная строка матрицы Уолша-Адамара соответствует идентификатору определенной базовой станции и ее перемежают согласно заранее определенной схеме перемежения, сигнал, подвергшийся перемежению, отображают в заранее определенные поднесущие для формирования поднесущих, идентифицирующих BS, когда передают поднесущие, идентифицирующие BS.
41. Способ по п.40, в котором коды Уолша являются кодами Уолша типа «все единицы», каждый из которых имеет значение 1, в системе связи, где в идентификации сектора нет необходимости.
42. Способ по п.36, в котором пилот-символ, включающий в себя поднесущие, идентифицирующие BS, и поднесущие PAPR, определяют как


где обозначает пилот-символ, IDcell обозначает идентификатор базовой станции, n обозначает идентификатор передающей антенны, k обозначает индекс поднесущей, a Nused обозначает количество поднесущих, в которые не вставлены нулевые данные.
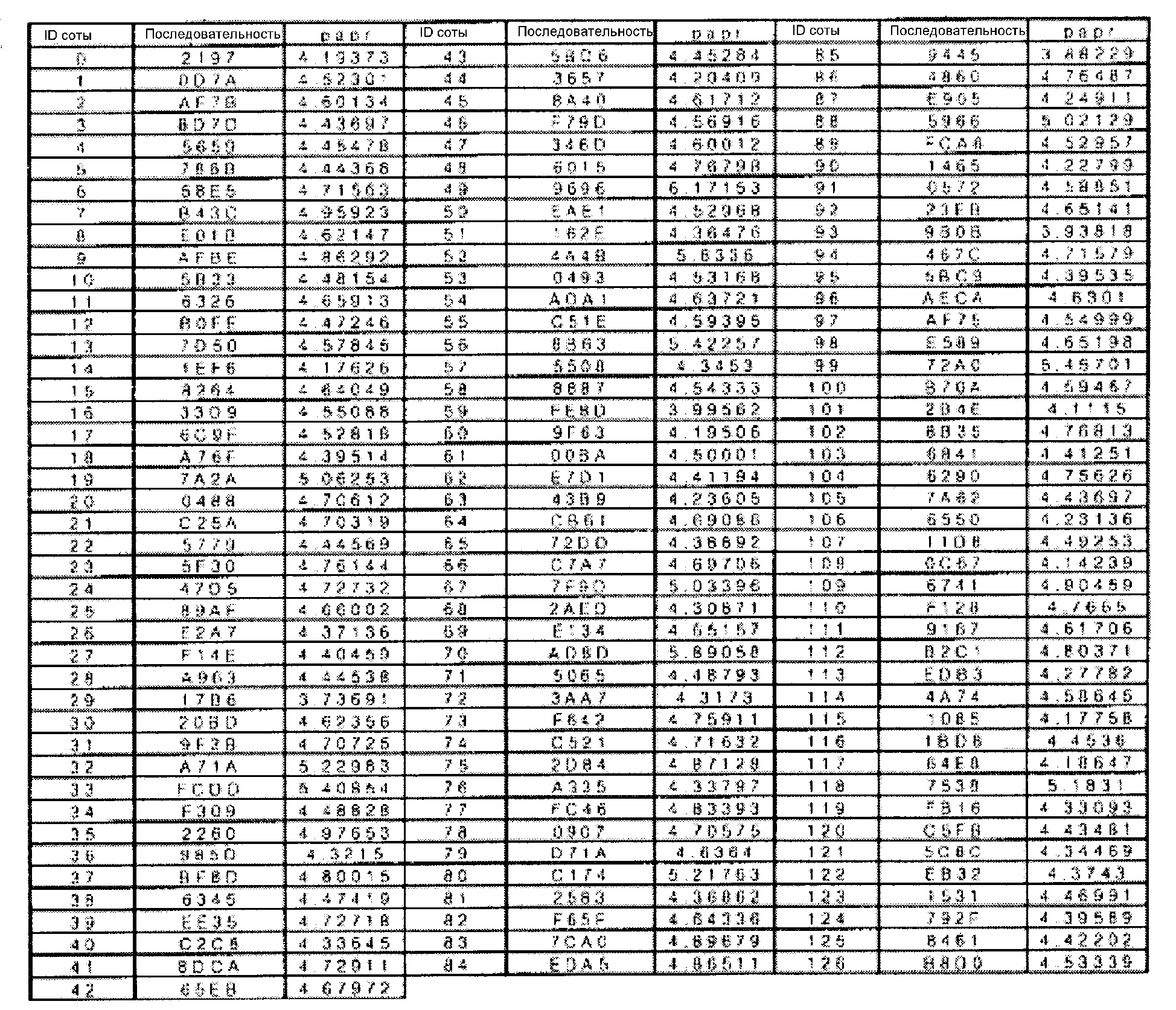
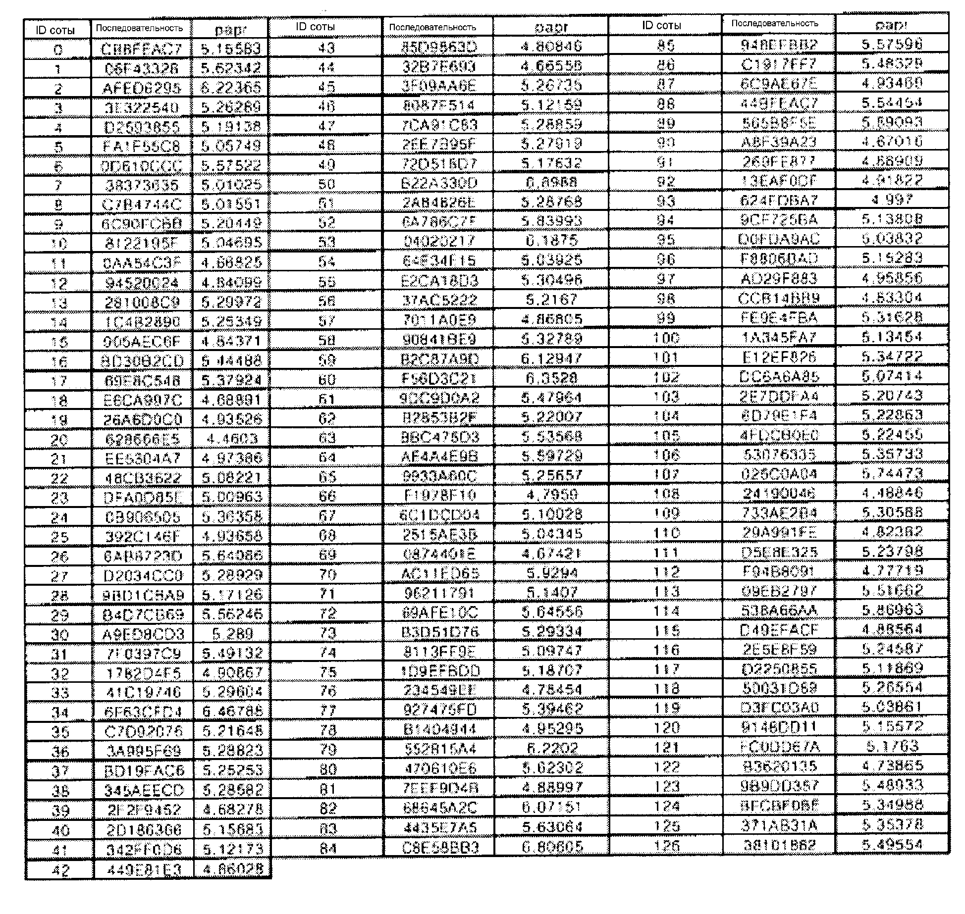
43. Способ по п.42, в котором имеет значение, определяемое как

44. Способ по п.43, в котором, когда количество Nt передающих антенн равно двум, а количество NFFT точек операции обратного быстрого преобразования Фурье (IFFT), используемых в системе связи, составляет 2048, то имеет значение, определяемое как

а и имеют значения, определяемые шестнадцатеричными числами, как показано в






и
.
45. Способ по п.44, в котором, когда количество Nt передающих антенн равно двум, а количество NFFT точек операции IFFT, используемых в системе связи, составляет 1024, то имеет значение, определяемое как

а и имеют значения, определяемые шестнадцатеричными числами, как показано в




и
.
46. Способ по п.43, в котором, когда количество Nt передающих антенн равно двум, а количество NFFT точек операции IFFT, используемых в системе связи, составляет 512, то имеет значение, определяемое как

а и имеют значения, определяемые шестнадцатеричными числами, как показано в


и
.
47. Способ по п.43, в котором, когда количество Nt передающих антенн равно трем, а количество NFFT точек операции IFFT, используемых в системе связи, составляет 2048, то имеет значение, определяемое как

а и имеют значения, определяемые шестнадцатеричными числами, как показано в




и
.
48. Способ по п.43, в котором, когда количество Nt передающих антенн равно трем, а количество NFFT точек операции IFFT, используемых в системе связи, составляет 1024, то имеет значение, определяемое как

а и имеют значения, определяемые шестнадцатеричными числами, как показано в


и
.
49. Способ по п.43, в котором, когда количество Nt передающих антенн равно трем, а количество NFFT точек операции IFFT, используемых в системе связи, составляет 512, то имеет значение, определяемое как

а и имеют значения, определяемые шестнадцатеричными числами, как показано в


и
.
Приоритеты по пунктам:
05.03.2004 пп.1, 2, 4-6, 15-19, 28-36, 40, 41;
26.08.2004 пп.3, 7-14, 20-27, 37-39, 42-49.
РИСУНКИ
|
|