|
(21), (22) Заявка: 2006117767/09, 22.10.2004
(24) Дата начала отсчета срока действия патента:
22.10.2004
(30) Конвенционный приоритет:
18.10.2004 US 10/968,787
(43) Дата публикации заявки: 27.11.2007
(46) Опубликовано: 10.09.2008
(56) Список документов, цитированных в отчете о поиске:
US 6256508 А, 03.07.2001. RU 2200367 С2, 10.03.2003. JP 2002064450 А, 28.02.2002. ЕР 1244234 A1, 25.09.2002. US 2003/045314 A, 06.03.2003.
(85) Дата перевода заявки PCT на национальную фазу:
24.05.2006
(86) Заявка PCT:
US 2004/034883 (22.10.2004)
(87) Публикация PCT:
WO 2005/043829 (12.05.2005)
Адрес для переписки:
129010, Москва, ул. Б. Спасская, 25, стр.3, ООО “Юридическая фирма Городисский и Партнеры”, пат.пов. Ю.Д.Кузнецову, рег.№ 595
|
(72) Автор(ы):
МУРАЛИ Рамасвами (US), ЛИН Фуюнь (US), ВИДЖАЯН Раджив (US), УОЛКЕР Кент Г. (US), МАНТРАВАДИ Ашок (US), СУБРАМАНИАМ Ананд Д. (US)
(73) Патентообладатель(и):
КВЭЛКОММ ИНКОРПОРЕЙТЕД (US)
|
(54) ЛОКАЛЬНЫЕ И ГЛОБАЛЬНЫЕ ПЕРЕДАЧИ В БЕСПРОВОДНЫХ ШИРОКОВЕЩАТЕЛЬНЫХ СЕТЯХ
(57) Реферат:
Изобретение относится к системам связи. Техническим результатом является разработка беспроводной широковещательной сети, которая может эффективно транслировать контент различных типов с различными областями покрытия. Для этого при трансляции передач различных типов, имеющих различные уровни покрытия в беспроводной широковещательной сети, каждая базовая станция обрабатывает данные для глобальной передачи в соответствии с первой модой (или схемой кодирования и модуляции) для генерации символов данных для глобальной передачи и обрабатывает данные для локальной передачи в соответствии со второй модой для генерации символов данных для локальной передачи. Первая и вторая моды выбираются на основе желаемого покрытия для глобальной и локальной передач, соответственно. Базовая станция также генерирует контрольные сигналы и дополнительную служебную информацию для локальной и глобальной передач. Данные, контрольные сигналы и дополнительная служебная информация для локальной и глобальной передач мультиплексируются в свои интервалы передачи, которые могут быть разными наборами частотных поддиапазонов, временных сегментов или разными группами поддиапазонов в различных временных сегментах. Более чем два типа передач может быть также мультиплексировано и транслировано. 6 н. и 53 з.п. ф-лы, 13 ил. 1 табл.
По настоящей заявке испрашивается приоритет по предварительной патентной заявке № 60/514152, поданной в США 24 октября 2003, озаглавленной “Method for Transmitting Local and Wide-Area Content over a Wireless Multicast Network”.
Область техники, к которой относится изобретение
Настоящее изобретение относится, в общем, к системам связи, а именно – к передаче данных в беспроводных сетях связи.
Уровень техники
Беспроводные и проводные широковещательные сети широко используются для предоставления информации большой группе пользователей. Типичная проводная широковещательная сеть является кабельной сетью, доставляющей мультимедийный контент большому количеству домашних хозяйств. Кабельная сеть, как правило, содержит головные и распределительные узлы. Каждый головной узел принимает программы от различных источников, генерирует отдельный модулированный сигнал для каждой программы, мультиплексирует модулированные сигналы для всех программ в выходной сигнал и посылает этот выходной сигнал распределительным узлам. Каждая программа может быть распределена по большой географической области (например, по целому штату) или по меньшей географической области (например, городу). Каждый распределительный узел покрывает определенную область в большой географической области (например, поселок). Каждый распределительный узел принимает выходные сигналы от головных узлов, мультиплексирует модулированные сигналы для программ, которые должны распространяться в его зоне покрытия, по различным частотным каналам и посылает свой выходной сигнал домашним хозяйствам в пределах его зоны покрытия. Выходной сигнал от каждого распределительного узла, как правило, содержит как национальные, так и локальные программы, которые часто посылаются по различным модулированным сигналам, которые мультиплексируются в выходной сигнал.
Беспроводные широковещательные сети передают данные по радио беспроводным устройствам в пределах зоны покрытия сети. Беспроводная широковещательная сеть отличается от проводной широковещательной сети в нескольких ключевых аспектах. Во-первых, сигнал, переданный различными базовыми станциями в беспроводной широковещательной сети, интерферирует с другим сигналом, если эти сигналы неодинаковы. Напротив, выходной сигнал от каждого распределительного узла посылается по выделенным кабелям и, таким образом, не испытывает интерференции от других распределительных узлов. Во-вторых, каждая базовая станция в беспроводной широковещательной сети, как правило, передает модулированный сигнал, несущий данные для всех программ, транслируемых этой базовой станцией, на одной радиочастоте. Напротив, каждый распределительный узел в проводной широковещательной сети может мультиплексировать индивидуальные модулированные сигналы для различных программ по различным частотным каналам. Из-за этих отличий методики, используемые для трансляции программ в проводных широковещательных сетях, как правило, не применимы для беспроводных широковещательных сетей.
Поэтому в данной области техники существует необходимость разработки беспроводной широковещательной сети, которая может эффективно транслировать контент различных типов с различными областями покрытия.
СУЩНОСТЬ ИЗОБРЕТЕНИЯ
Далее будут описаны методики для трансляции различных типов передач (например, локальных и глобальных передач) в беспроводной широковещательной сети. В данном документе термин “трансляция” и “транслировать” обозначает передачу контента/данных группе пользователей любого размера и может также обозначать многоадресную передачу или какой либо другой термин. Локальная передача – это передача, которая может транслироваться подмножеством передатчиков для заданной глобальной передачи. Различные локальные передачи могут транслироваться различными подмножествами передатчиков для заданной глобальной передачи. Различные глобальные передачи также могут транслироваться различными группами передатчиков в сети. Местная передача также может транслироваться меньшим подмножеством данного подмножества передатчиков для данной локальной передачи. Глобальные, локальные и местные передачи могут рассматриваться как передачи разных типов, имеющие различные уровни покрытия, а зона покрытия для каждой передачи определяется всеми передатчиками, транслирующими эту передачу. Глобальные, локальные и местные передачи, как правило, несут разный контент, но эти передачи также могут нести одинаковый контент.
На каждой базовой станции (или передатчике) в беспроводной широковещательной сети данные для глобальной передачи обрабатываются в соответствии с первой схемой кодирования и схемой модуляции (или модой), выбранными для глобальной передачи, для генерации символов данных для глобальной передачи. Данные для локальной передачи обрабатываются в соответствии со второй схемой кодирования и модуляции, выбранной для локальной передачи, для генерации символов данных для локальной передачи. Первая и вторая схемы кодирования и модуляции могут быть выбраны на основе желаемого покрытия от базовой станции для глобальных и локальных передач, соответственно. Генерируются контрольный сигнал с временным мультиплексированием (TDM) и/или контрольный сигнал с частотным уплотнением (FDM), используемые для восстановления локальной и глобальной передач. Также генерируется дополнительная служебная информация, отражающая временное и/или частотное расположение каждого канала данных, посылаемых в локальной и глобальной передачах. Эти каналы данных несут мультимедийный контент и/или другие данные, отправляемые в локальной и глобальной передачах.
Данные, контрольные сигналы и дополнительная служебная информация для локальной и глобальной передач могут быть мультиплексированы различными способами. Например, символы данных для глобальной передачи могут быть мультиплексированы в “полосе передачи”, выделенной для глобальной передачи, символы данных для локальной передачи могут быть мультиплексированы в полосу передачи, выделенную для локальной передачи, TDM и/или FDM контрольные сигналы для глобальной передачи могут быть мультиплексированы в полосу передачи, выделенную для этих контрольных сигналов, и TDM и/или FDM контрольные сигналы для локальной передачи могут быть мультиплексированы в полосу передачи, выделенную для этих контрольных сигналов. Дополнительная служебная информация для локальной и глобальной передач может быть мультиплексирована в одну или более спроектированную полосу пропускания. Различные полосы передачи могут соответствовать (1) различным наборам частотных поддиапазонов, если беспроводной широковещательной сетью используется FDM, (2) различным временным сегментам, если используется TDM, или (3) различным группам поддиапазонов в различных временных сегментах, если используются и TDM, и FDM. Различные схемы мультиплексирования описаны ниже. Более чем два различных типа передачи с более чем двумя уровнями покрытия также могут быть обработаны, мультиплексированы и транслированы.
Беспроводное устройство в беспроводной широковещательной сети выполняет дополнительную обработку для восстановления данных для локальной и глобальной передач. Различные аспекты и реализации настоящего изобретения будут подробно описаны ниже.
КРАТКОЕ ОПИСАНИЕ ЧЕРТЕЖЕЙ
Особенности и природа настоящего изобретения станут более понятны из нижеследующего детального описания при рассмотрении совместно с чертежами, на которых ссылочные номера обозначают соответствующие элементы и на которых:
Фиг.1 показывает беспроводную широковещательную сеть;
Фиг.2А показывает зону покрытия для глобальной передачи;
Фиг.2B показывает зоны покрытия для различных локальных передач;
Фиг.3А показывает FDM структуру для трансляции локальной и глобальной передач;
Фиг.3B показывает трансляцию передач с использованием FDM структуры по Фиг.3А;
Фиг.4А показывает TDM структуру для трансляции локальной и глобальной передач;
Фиг.4B показывает трансляцию передач с использованием TDM структуры по Фиг. 4А;
Фиг.5 показывает структуру суперкадра для трансляции локальной и глобальной передач;
Фиг.6 показывает разделение поддиапазонов данных на три непересекающихся множества;
Фиг.7 показывает FDM контрольный сигнал для локальной и глобальной передач;
Фиг.8 показывает процесс трансляции локальной и глобальной передач;
Фиг.9 показывает процесс приема локальной и глобальной передач;
Фиг.10 показывает блок-схему базовой станции и беспроводного устройства.
ПОДРОБНОЕ ОПИСАНИЕ ОСУЩЕСТВЛЕНИЯ ИЗОБРЕТЕНИЯ
Слово “примерный” используется в этом описании в значении “служащий для примера или иллюстрации”. Любая реализация или конструкция, описанные здесь как “примерные”, не должны рассматриваться как предпочтительные или имеющие преимущества по сравнению с другими реализациями или конструкциями.
На Фиг.1 показана беспроводная широковещательная сеть 100, которая может транслировать различные типы передач, такие как, например, глобальные передачи и локальные передачи. Каждая глобальная передача транслируется множеством базовых станций в сети, которое может содержать все или большинство базовых станций в сети. Каждая глобальная передача, как правило, транслируется на большую географическую область. Каждая локальная передача транслируется подмножеством базовых станций в заданном множестве данной широковещательной передачи. Каждая локальная передача, как правило, транслируется на меньшую географическую область. Для простоты большая географическая область для глобальной передачи также называется областью глобального покрытия или просто глобальная зона, и меньшая географическая область для локальной передачи называется локальной областью покрытия или просто локальной зоной. Сеть 100 может иметь большую зону покрытия, такую как вся территория США, большой регион в США (например, западные штаты), целый штат и тому подобное. Например, единичная глобальная передача может транслироваться на целый штат Калифорния, и различные локальные передачи могут транслироваться на различные города, например, Лос-Анжелес или Сан-Диего.
Для простоты Фиг.1 показывает сеть 100, покрывающую глобальные зоны 110a и 110b, где глобальная зона 110a охватывает три локальных зоны 120a, 120b и 120c. В общем случае, сеть 100 может содержать любое количество глобальных зон с различными глобальными передачами и любое количество локальных зон с различными локальными передачами. Каждая локальная зона может примыкать к другой локальной зоне или быть изолированной. Сеть 100 может также транслировать любое количество передач различных типов, предназначенных для приема в любом количестве географических областей различных размеров. Например, сеть 100 может также транслировать местную передачу, предназначенную для приема в меньшей географической области, которая может быть частью данной локальной зоны. Для простоты в большинстве нижеследующих описаний предполагается, что сеть 100 покрывает единственную глобальную зону и множество локальных зон для двух различных типов передач.
На Фиг.2A представлена зона покрытия для глобальной передачи в сети 100. Все базовые станции в заданной глобальной зоне транслируют одну и ту же глобальную передачу, и сеть называется сетью с единственной частотой. Если все базовые станции в глобальной зоне транслируют одну и ту же глобальную передачу, то беспроводное устройство может комбинировать сигналы, полученные от различных базовых станций, для улучшения производительности. На физическом уровне основными источниками искажения приема данных в сети SFN являются тепловой шум и падение производительности из-за временных вариаций и превышения разброса задержек в беспроводном канале. Разброс задержек – это временная разница между самым первым прибывшим сигналом и последним прибывшим сигналом в беспроводном устройстве.
На Фиг.2B показаны различные зоны покрытия для различных локальных передач в сети 100. Базовые станции в различных локальных зонах передают различные локальные передачи, и сеть называется сеть с множеством частот (MFN).
Термины SFN и MFN являются часто используемыми терминами для описания характеристик сети, и MFN сеть не всегда означает, что различные базовые станции передают на различных радиочастотах. Даже если базовые станции в различных локальных зонах транслируют различные локальные передачи, беспроводное устройство в пределах данной локальной зоны может испытывать небольшую интерференцию от базовых станций в соседних локальных зонах из-за относительно большого расстояния до интерферирующей базовой станции. Например, беспроводное устройство 1 в локальной зоне A, беспроводное устройство 4 в локальной зоне B и беспроводное устройство 6 в локальной зоне С могут испытывать небольшую интерференцию от соседних локальных зон. Локальная передача является, по существу, SFN передачей для этих внутренних беспроводных устройств.
Беспроводное устройство около границы локальной зоны может наблюдать значительную интерференцию смежных локальных каналов (ALCI) от сигналов, передаваемых базовой станцией в соседней локальной зоне. Например, беспроводное устройство 2 в локальной зоне А может испытывать значительную ALCI интерференцию от базовых станций в соседних локальных областях B и C, беспроводное устройство 3 в локальной зоне B может испытывать значительную ALCI интерференцию от базовых станций соседних локальных зон A и C, и беспроводное устройство 5 в локальной зоне С может испытывать значительную ALCI интерференцию от базовых станций соседних локальных зон A и В. Сеть является, по существу, сетью MFN для этих периферийных беспроводных устройств. ALCI интерференция приводит к дополнительному ухудшению производительности, по сравнению со случаем SFN сети. Если данные обрабатываются и передаются одинаковым способом как для SFN, так и для MFN, то ALCI интерференция, наблюдаемая периферийными беспроводными устройствами в случае MFN, ухудшает качество принятого сигнала на этих устройствах и вызывает уменьшения покрытия на границах соседних локальных зон.
В общем случае покрытие для каждого типа передач (например, глобальные или локальные) может соответствовать требованию использования для этого типа передачи. Передача с более широкой применимостью может быть отправлена беспроводным устройствам в больших географических областях. Соответственно, передача с более ограниченной применимостью может быть отправлена беспроводным устройствам в меньших географических областях.
Сеть 100 может быть спроектирована для обеспечения хорошей производительности как для локальных, так и для глобальных передач. Это может быть достигнуто выполнением следующего:
мультиплексирования локальной и глобальной передач по времени, частоте и/или кодовому домену так, чтобы интерференция между двумя типами передач уменьшалась;
передачи локальной и глобальной передач (вместе с соответствующими контрольными сигналами) на основе различных характеристик MFN и SFN, соответственно; и
обеспечения гибкости в выделении ресурсов для удовлетворения требований переменной (исходной) скорости для локальной и глобальной передач.
Локальные передачи отправляются на основе MFN характеристик для обеспечения лучшего покрытия для беспроводных устройств, находящихся на границах локальных зон. Глобальные передачи для различных глобальных зон также имеют MFN характер на границах между этими глобальными зонами и могут отправляться с использованием описанной выше методики. Каждый из трех приведенных выше аспектов подробно описан ниже.
1. Мультиплексирование локальных и глобальных передач
На Фиг.3А показана FDM структура 300, которая может быть использована для трансляции локальных и глобальных передач через заданную пропускную способность системы в сети с множеством несущих. FDM структура 300 поддерживает прием как локальных, так и глобальных передач приемником, настроенным на единственную радиочастоту, и она отличается от схемы, которая посылает локальные и глобальные передачи с использованием различных радиочастот. Общая пропускная способность системы делится на множество (N) ортогональных частотных поддиапазонов при помощи методики модуляции с множеством несущих, например, мультиплексирования с ортогональным частотным разделением сигналов (OFDM) или какой-либо другой методики. Эти поддиапазоны также называются тонами, несущими, поднесущими, элементами кодированного сигнала и частотными каналами. При использовании OFDM, каждый поддиапазон связывается с соответствующей поднесущей, которая может быть промодулирована данными. Из полного числа поддиапазонов N, U поддиапазонов может быть использовано для передачи данных и контрольного сигнала, и они называются “используемые” поддиапазоны, где UN. Оставшиеся G поддиапазонов не используются и называются “защитные” поддиапазоны, где N=U+G. В качестве конкретного примера – сеть может использовать OFDM структуру с N=4096 поддиапазонами, с U=4000 используемыми поддиапазонами и с G=96 защитными поддиапазонами. В общем случае N, U и G могут принимать любые значения. Для простоты в нижеследующем описании предполагается, что все N поддиапазонов используются для передачи, то есть U=N и G=0, так что в этом случае нет защитных поддиапазонов.
В каждый символьный период с передачей данных P поддиапазонов из N используемых поддиапазонов могут быть использованы для контрольного сигнала FDM и называются контрольными поддиапазонами, где P
Для реализации, показанной на Фиг.3А, контрольный сигнал FDM передается по P контрольным поддиапазонам и распределяется по пропускной способности всей системы для обеспечения лучшей дискретизации частотного спектра. D поддиапазонов данных может быть выделено для локальной передачи, глобальной передачи, дополнительной служебной информации и так далее. Набор из Lsb поддиапазонов может быть выделен для локальной передачи, и набор из Wsb поддиапазонов может быть выделен для глобальной передачи, где Wsb+LsbD. Wsb поддиапазонов для глобальной передачи и Lsb поддиапазонов для локальной передачи могут быть распределены по всей полосе пропускания системы для улучшения частотного разнесения, как показано на Фиг.3А. Wsb поддиапазонов несут данные для глобальной передачи (или глобальные данные), и Lsb поддиапазонов несут данные для локальной передачи (или локальные данные).
На Фиг.3В показана передача данных для различных локальных зон с использованием FDM структуры 300. Для минимизации интерференции между локальной и глобальной передачами все базовые станции в данной глобальной зоне используют одинаковый набор Wsb поддиапазонов для трансляции глобальной передачи. Базовые станции в различных локальных зонах могут транслировать различные локальные передачи по набору Lsb поддиапазонов, выделенных для локальных передач. Количество поддиапазонов, выделенных для локальной и глобальной передач, может варьироваться на основе требуемых ресурсов. Например, Wsb и Lsb могут варьироваться (1) динамически от символа к символу или от временного интервала до временного интервала, (2) на основе времени суток, дня недели и так далее, (3) на основе предопределенного расписания или (4) на основе комбинации вышеперечисленного. Например, Wsb и Lsb могут динамически варьироваться в течение части каждого дня недели, могут быть фиксированы в течение оставшейся части каждого дня недели и могут устанавливаться на основе предопределенного расписания в течение выходных дней.
Для упрощения выделения ресурсов и улучшения частотного разнесения N используемых поддиапазонов могут быть упорядочены в M чередований или наборов неперекрывающихся поддиапазонов. M чередований являются непересекающимися, так как каждый из N используемых поддиапазонов принадлежит только одному чередованию. Каждое чередование содержит P используемых поддиапазонов, где N=M·P. P поддиапазонов в каждом чередовании могут быть равномерно распределены по N используемым поддиапазонам, так что последовательные поддиапазоны в каждом чередовании разделяются M поддипазонами. Для примерной OFDM структуры, описанной выше, могут быть сформированы чередования с M=8, где каждое чередование содержит P=512 используемых поддиапазонов, которые равномерно распределены с разнесением в 8 поддиапазонов. P используемых поддиапазонов в каждом чередовании чередуются с P используемыми диапазонами в каждом из M-1 чередовании.
Примерная OFDM структура и схема чередования была описана выше. Другие OFDM структуры и схемы выделения поддиапазонов также могут быть использованы для поддержки FDM для локальной и глобальной передач.
На Фиг.4А показана TDM структура 400, которая может быть использована для трансляции локальной и глобальной передач в сети с единственной несущей или со множеством несущих. Временная линейка передачи разделена на кадры 410, каждый кадр имеет предопределенную длительность. Длительность кадра может быть выбрана на основе различных факторов, таких как величина временного разнесения, желаемая для передачи данных. Каждый кадр содержит поле 412, несущее контрольный сигнал и дополнительную служебную информацию, сегмент 414, несущий глобальные данные, и сегмент 416, несущий локальные данные. Каждый кадр может также содержать поля для другой информации.
На Фиг.4В показана передача данных для различных локальных областей с использованием TDM структуры 400. Для минимизации интерференции между локальной и глобальной передачами глобальный сегмент 414 для всех базовых станций в данной глобальной зоне может быть расположен во времени так, что эти базовые станции транслируют глобальную передачу одновременно. Базовые станции в различных локальных зонах могут транслировать различные локальные передачи в сегменте 416. Размеры сегментов 414 и 416 могут варьироваться динамически или предопределенным образом, на основе требований по ресурсам.
Для FDM структуры 300 по Фиг.3А и TDM структуры 400 по Фиг.4А, локальная и глобальная передачи мультиплексируются по частоте и времени, соответственно, таким образом, чтобы перекрывание этих двух типов передач было минимальным. Это распределение позволяет избежать или минимизирует интерференцию между двумя типами передачи. Тем не менее, строгое соблюдение неперекрывания передач различных типов не является обязательным. Более того, различные локальные зоны могут иметь различную частоту или распределение времени. В общем случае различные структуры мультиплексирования могут быть использованы для трансляции различных типов передач в различных зонах покрытия. Определенная структура мультиплексирования, подходящая для беспроводных широковещательных сетей OFDM, описана ниже.
На Фиг.5 показана примерная структура 500 суперкадра, которая может быть использована для трансляции локальной и глобальной передач в беспроводной широковещательной сети на основе OFDM. Передача данных происходит в блоках суперкадра 510. Каждый суперкадр имеет предопределенную продолжительность, которая может быть выбрана на основе различных факторов, таких как, например, желаемое статистическое мультиплексирование для транслируемых потоков данных, величина временного разнесения, желаемая для потоков данных, время обнаружения для потоков данных, требования буфера для беспроводных устройств и так далее. Суперкадр размером в 1 секунду может обеспечить хороший баланс между различными факторами, упомянутыми выше. Тем не менее, также могут быть использованы суперкадры другого размера.
Для реализации, показанной на Фиг.5, каждый суперкадр 510 содержит сегмент 520 заголовка, четыре кадра 530а-530d одинакового размера и завершающий сегмент 540, который не показан на шкале на Фиг. 5. В таблице 1 приведены различные поля для сегментов 520 и 540 и для каждого кадра 530.
| |
Таблица 1 |
| Поле |
Описание |
| Контрольный сигнал TDM |
Контрольный сигнал TDM, используемый для детектирования сигнала, синхронизации кадров, оценки ошибки частоты и синхронизации по времени |
| Контрольный сигнал перехода |
Контрольный сигнал перехода, используемый для оценки канала и возможной синхронизации по времени и посылаемый на границе глобальной и локальной полей/передач |
| WIC |
Глобальный канал идентификации (WIC) – несет идентификатор, присвоенный обслуживаемой глобальной зоне |
| LIC |
Глобальный канал идентификации (LIC) – несет идентификатор, присвоенный обслуживаемой локальной зоне |
| Глобальный OIS |
Символ глобальной дополнительной служебной информации (OIS) – несет дополнительную служебную информацию (например, частоту/расположение во времени) для каждого канала данных, отправляемого в поле глобальных данных |
| Локальный OIS |
Локальный OIS – несет дополнительную служебную информацию для каждого канала данных, отправляемого в поле локальных данных |
| Глобальные данные |
Несет каналы данных для глобальной передачи |
| Локальные данные |
Несет каналы данных для локальной передачи |
Для реализации, показанной на Фиг.5, различные контрольные сигналы используются в различных целях. Контрольный сигнал TDM передается в начале каждого суперкадра и может быть использован для целей, отмеченных в таблице 1. Контрольный сигнал передачи посылается на границе между локальной и глобальной полями/передачами, делая возможным плавную передачу между локальным и глобальным полями/передачами, и может быть сгенерирован, как описано ниже.
Локальная и глобальная передачи могут быть для мультимедийного контента, такого как видео, аудио, телетекст, данные, видео/аудиоклипы и так далее, и могут быть посланы в отдельных потоках данных. Например, отдельная мультимедийная программа (например, телевидение) может быть послана в трех отдельных потоках данных для видео, аудио и данных. Потоки данных посылаются по каналам данных. Каждый канал данных может нести один или множество потоков данных. Канал данных, несущий потоки данных для локальной передачи, называется также локальным каналом, а канал данных, несущий потоки данных для глобальной передачи, называется также глобальным каналом. Локальные каналы посылаются в полях локальных данных, и глобальные каналы посылаются в полях глобальных данных суперкадра.
Каждому каналу данных может быть выделено фиксированное или переменное количество чередований в каждом суперкадре, в зависимости от нагрузки на канал данных, наличия чередований в суперкадре и ряда других факторов. Каждый канал данных может быть активным или неактивным в любом заданном суперкадре. Каждому активному каналу данных выделено, по меньшей мере, одно чередование. Каждому активному каналу данных также назначены определенные чередования в суперкадре на основе схемы распределения, которая пытается (1) упаковать все активные каналы данных наиболее эффективным образом, (2) уменьшить время передачи для каждого канала данных, (3) обеспечить адекватное временное разнесение для каждого канала данных, (4) минимизировать количество передаваемых сигналов, необходимых для обозначения чередований, назначенных каждому каналу данных. Для каждого канала данных одно и то же распределение чередований может быть использовано для четырех кадров суперкадра.
Поле локального OIS обозначает частотно-временное распределение для каждого активного локального канала для текущего суперкадра. Поле глобального OIS обозначает частотно-временное распределение для каждого активного глобального канала для текущего суперкадра. Локальный OIS и глобальный OIS посылаются в начале каждого суперкадра для того, чтобы беспроводные устройства могли определить частотно-временное расположение каждого интересующего их канала данных в суперкадре.
Различные поля суперкадра могут быть отправлены в порядке, показанном на Фиг.5 или каком-либо другом порядке. В общем случае, желательно отправлять контрольный сигнал TDM и дополнительную служебную информацию в начале суперкадра, так чтобы контрольный сигнал TDM и дополнительная служебная информация могли быть использованы для приема данных, отправленных в суперкадре позднее. Глобальная передача может быть отправлена перед локальной передачей, как показано на Фиг.4А и 5, или после локальной передачи.
На Фиг.5 показана определенная структура суперкадра. В общем случае, суперкадр может иметь произвольную длительность и содержать любое количество сегментов любых типов, кадров и полей. Тем не менее, как правило, имеется некоторый диапазон длительности суперкадра, связанный со временем обнаружения и циклическим временем принимающей электроники. Другие структуры суперкадра и кадра также могут быть использованы для трансляции передач различных типов и все они попадают в пределы объема настоящего изобретения.
Мультиплексирование с временным разделением локальной и глобальной передач, как показано на Фиг.5, делает возможным использование преимуществ OFDM для глобальной передачи в сети с единственной несущей частотой без интерференции от локальной передачи. Так как только локальная или глобальная передача посылается в любой заданный момент времени с использованием TDM, локальная и глобальная передачи могут транслироваться с использованием различных параметров передачи, которые могут быть независимо оптимизированы для достижения хорошей производительности для локальной и глобальной передач, соответственно, как описано ниже.
2. Передача данных
Глобальные каналы, которые транслируются в каждом суперкадре, могут быть упакованы самым эффективным образом. Все базовые станции в данной глобальной зоне транслируют одну и ту же глобальную передачу в четырех полях глобальных данных суперкадра. Беспроводное устройство может затем скомбинировать глобальные передачи, полученные от любого количества базовых станций, для улучшения качества приема данных.
Базовые станции в различных локальных зонах транслируют различные локальные передачи в четырех полях локальных данных в каждом суперкадре. Периферийное беспроводное устройство, находящееся около границы соседних локальных зон, будет испытывать интерференцию смежных локальных каналов (ALCI), которая ухудшает качество принятого устройством сигнала. Качество принятого сигнала можно измерить с помощью отношения сигнал к шуму и интерференции (SINR) или какой-либо другой мерой. Периферийное беспроводное устройство будет достигать более низкого значения SINR из-за деградации, вызванной ALCI. На базовой станции данные для локальной передачи обрабатываются с помощью схемы кодирования и модуляции, которая требует определенного значения SINR для правильного приема. ALCI имеет эффект сжатия локальной зоны, так как данное беспроводное устройство может достичь требуемого значения SINR в меньшей зоне при наличии ALCI.
Различные методики могут быть использованы для улучшения покрытия для локальной передачи. Эти методики, как правило, ухудшают производительность внутри зоны для расширения покрытия на границе. Эти методики включают в себя частичную загрузку и выбор кодирования/модуляции.
При использовании частичной загрузки, которая также называется повторное использование частот, не все поддиапазоны, которые можно использовать для передачи данных, действительно используются для передачи данных. Более того, соседним локальным зонам могут быть назначены поддиапазоны так, что их локальные передачи интерферируют между собой минимальным образом. Это может быть достигнуто при использовании ортогональной частичной загрузки или случайной частичной загрузки.
При ортогональной частичной загрузке соседним локальным зонам назначаются непересекающиеся наборы поддиапазонов. Затем базовые станции в каждой локальной зоне транслируют локальную передачу на наборе поддиапазонов, назначенном этой локальной зоне. Так как поддиапазоны не пересекаются, то беспроводные устройства в каждой зоне не испытывают ALCI от базовых станций в соседних локальных зонах.
На Фиг.6 показано примерное разбиение D поддиапазонов данных на три непересекающиеся набора, обозначенные S1, S2 и S3. В общем случае, каждый набор может содержать любое количество поддиапазонов данных и любой из D поддиапазонов данных. Поддиапазоны для каждого набора также могут изменяться динамически или предопределенным образом. Для достижения частотного разнесения каждый набор может содержать поддиапазоны, выбранные с чередованием из D поддиапазонов данных. Поддиапазоны в каждом наборе могут быть равномерно или неравномерно распределены по D поддиапазонам данных.
Обратимся к Фиг.2В – локальной зоне А может быть назначен набор поддиапазонов S1, локальной зоне B может быть назначен набор поддиапазонов S2, и локальной зоне C может быть назначен набор поддиапазонов S3. Затем базовые станции в локальной зоне A транслируют локальную передачу для локальной зоны A по набору поддиапазонов S1, базовые станции в локальной зоне B транслируют локальную передачу для локальной зоны A по набору поддиапазонов S2, и базовые станции в локальной зоне C транслируют локальную передачу для локальной зоны A по набору поддиапазонов S3.
Фиг.2В и 6 показывают случай с тремя локальными зонами. Ортогональная частичная загрузка может быть расширена на любое количество локальных зон. Q непересекающихся набора поддиапазонов может быть сформировано для Q соседних локальных зон, где Q>1. Q наборов могут содержать одинаковое или разное количество поддиапазонов. Для схемы чередования, описанной выше, M-1 чередований, имеющихся для передачи данных, может быть выделено для Q наборов. Каждый набор может содержать любое количество чередований. Чередования для каждого набора могут изменяться динамически или предопределенным образом. Каждой локальной зоне назначается соответствующий набор чередований для локальной передачи. Частотное планирование может быть выполнено для всей сети для того, чтобы гарантировать, что соседним локальным зонам назначены непересекающиеся наборы.
При использовании случайной частичной загрузки каждой локальной зоне назначается K поддиапазонов данных, где KD, и базовая станция в этой локальной зоне транслирует локальную передачу по K поддиапазонам, выбранным псевдослучайным образом из D поддиапазонов данных. Для каждой локальной зоны генератор псевдослучайных чисел (PN) может быть использован для выбора различного набора из K поддиапазонов в каждом символьном периоде. Различные локальные зоны могут использовать разные PN генераторы для того, чтобы поддиапазоны, используемые каждой локальной зоной, были псевдослучайными по отношению к поддиапазонам, используемым в соседних локальных зонах. В действительности, локальная передача для каждой локальной зоны переключается по D поддиапазонам данных. ALCI наблюдается, когда возникает столкновение, и соседние локальные зоны используют одинаковый поддиапазон в один и тот же символьный период. Тем не менее, ALCI случайно, из-за псевдослучайного способа выбора K подиапазонов в каждом символьном периоде для каждой локальной зоны. Беспроводное устройство знает о перестройке частоты, выполняемой базовыми станциями, и может выполнить соответствующую свертку сигнала с псевдослучайной перестройкой частоты для восстановления локальной передачи.
Для случайной частичной загрузки вероятность столкновения уменьшается, и величина ALCI уменьшается при уменьшении K. Таким образом, покрытие может быть расширено с меньшими значениями K. Тем не менее, меньшие значения K также приводят к снижению общей пропускной способности для данной схемы кодирования и модуляции. Таким образом, K может быть выбрано исходя из баланса между зоной покрытия и общей пропускной способностью.
Для частичной загрузки любого типа мощность передачи для каждого поддиапазона, используемого для передачи данных, может быть увеличена без увеличения полной мощности передачи. Полная мощность передачи может быть распределена по K поддиапазнам, используемым для локальной передачи в каждом символьном периоде, которые можно назвать активными поддиапазонами. Если K поддиапазонов используется для локальной передачи, и D поддиапазонов используется для глобальной передачи, где K
Ортогональная и случайная частичная загрузка могут применяться только для поддиапазонов данных, только для контрольных поддиапазонов или для поддиапазонов данных и контрольных поддиапазонов. Ортогональная и случайная частичная загрузка могут улучшить покрытие ценой снижения общей пропускной способности. Это связано с тем, что меньшее количество поддиапазонов используется для передачи данных при частичной загрузке, и меньше информационных бит может быть отправлено в каждом символьном периоде по этому меньшему числу поддиапазонов. Количество поддиапазонов для использования при локальной передаче может быть выбрано исходя из баланса между улучшением покрытия и общей пропускной способностью.
Сеть может поддерживать набор мод передачи или просто мод. Каждая мода связана с определенной схемой кодирования или скоростью кодирования, определенной схемой модуляции, определенной спектральной эффективностью и определенным минимальным значением SINR, требуемым для достижения определенного уровня производительности, например, частота появления ошибочных пакетов 1% (PER) для незатухающего AWGN канала. Спектральная эффективность может быть задана в таких единицах, как информационный бит на символ модуляции и определяться на основе скорости кодирования и схемы модуляции. В общем случае, моды с более низкой спектральной эффективностью имеют более низкое требуемое значение SINR. Для каждой моды требуемое значение SINR может быть получено на основе определенной конструкции системы (такой как скорость кодирования, схема чередования и схема модуляции, используемые для этой моды) и для определенного профиля канала. Требуемое значение SINR может быть определено с помощью компьютерного моделирования, эмпирических измерений и тому подобного.
Зона покрытия для локальной передачи может быть подстроена с помощью выбора соответствующей моды для использования при локальной передаче. Мода с более низким требуемым значением SINR может быть использована для локальной передачи с целью расширения покрытия около границы с соседними локальными зонами. Определенная мода передачи, которая будет использоваться для локальной передачи, может быть определена на основе баланса между улучшением покрытия и спектральной эффективностью. Покрытие для глобальной передачи может быть аналогичным образом подстроено с помощью выбора соответствующей моды для глобальной передачи. В общем случае, одинаковые или разные моды могут быть использованы для локальной и глобальной передач.
Покрытие для локальной передачи может быть улучшено с помощью частичной загрузки и/или выбора моды. Покрытие может быть расширено при использовании меньшего процента используемых поддиапазонов и/или выбора моды с меньшей спектральной эффективностью. Скорость информационных бит (R) может быть выражена следующим образом , где есть спектральная эффективность для выбранной моды, и K есть количество активных поддиапазонов. Заданная скорость информационных бит может быть достигнута с помощью использования (1) подмножества всех поддиапазонов данных и моды с более высокой спектральной эффективностью или (2) всех поддиапазонов данных и моды с более низкой спектральной эффективностью. Можно показать, что второй вариант обеспечивает лучшую производительность (например, большее покрытие при заданном значении PER) по сравнению с вариантом (1) для определенных сценариев работы (например, для частичной загрузки и без оценки интерференции).
3. Передача контрольного сигнала
На Фиг.7 показана схема передачи контрольного сигнала, которая может поддерживать как локальную, так и глобальную передачи. Для простоты – Фиг.7 показывает передачу контрольного сигнала только для одного кадра в суперкадре. Каждая базовая станция передает контрольный сигнал перехода между локальным и глобальным полями/передачей. Каждая базовая станция также передает контрольный сигнал FDM для одного чередования в каждом символьном периоде вместе с передачей данных. Для реализации, показанной на Фиг.7, восемь чередований имеется в каждом символьном периоде, и контрольный сигнал FDM передается в чередовании 3 в четных индексах символьного периода и в чередовании 7 в нечетных индексах символьного периода, которые можно обозначить как смещенный шаблон {3,7}. Контрольный сигнал FDM также может передаваться с другими смещенными шаблонами, например, {1,2,3,4,5,6,7,8} и {1,4,7,2,5,8,3,6}.
Как показано на Фиг.7, контрольный сигнал FDM передается в течение глобальной передачи и в течение локальной передачи. Контрольный сигнал FDM может быть использован для получения (1) оценки канала для глобальной передачи, которая также называется оценка глобального канала, и (2) оценки канала для локальной передачи, которая также называется оценка локального канала. Оценки локального и глобального каналов могут быть использованы для детектирования данных и для декодирования для локальной и глобальной передач, соответственно.
Контрольный сигнал FDM, передаваемый в течение глобальной передачи, называется глобальный контрольный сигнал FDM и может быть спроектирован для упрощения оценки глобального канала. Одинаковый глобальный контрольный сигнал FDM может передаваться по всей глобальной зоне. Контрольный сигнал FDM, передаваемый в течение локальной передачи, называется локальный контрольный сигнал FDM и может быть сконструирован для упрощения оценки локального канала. Различные локальные контрольные сигналы могут передаваться для различных локальных зон для того, чтобы сделать возможным прием оценок локального канала для разных локальных зон беспроводным устройством. Различные локальные контрольные сигналы FDM интерферируют между собой на границе локальных зон, аналогично ALCI для различных локальных передач. Локальные контрольные сигналы FDM могут быть спроектированы так, что хорошая оценка локального канала может быть получена в присутствии интерференции контрольного сигнала от соседних локальных зон. Это может быть достигнуто с помощью ортогонализации или рандомизации локальных контрольных сигналов FDM для различных локальных зон по частоте, времени и/или способу кодирования, как будет описано ниже.
На Фиг.7 также показана реализация локального контрольного сигнала FDM. Набор из P модулированных символов используется для P контрольных поддиапазонов для локального контрольного сигнала FDM. P модулированных символов могут быть умножены на первую последовательность комплексных величин по частоте и/или вторую последовательность комплексных величин по времени для генерации контрольных символов для локального контрольного сигнала FDM. Первая последовательсть обозначается как {S(k)}, где S(k) есть комплексное значение для поддиапазона k. Вторая последовательность обозначается как {C(n)}, где C(n) есть комплексное значение для символьного периода n. Различные характеристики могут быть получены для локального контрольного сигнала FDM с помощью использования первой и второй последовательности различных типов.
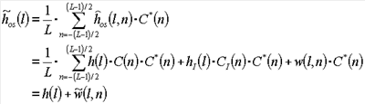
PN генератор может быть использован для генерации первой последовательности комплексных значений. PN генератор может быть линейным регистром сдвига с обратными связями (LFSR), который реализует выбранный полином генератора, например, . PN генератор инициализируется определенной калибровочной величиной (или начальным состоянием) в начале каждого символьного периода и генерирует последовательность псевдослучайных бит. Эти биты используются для формирования комплексных значений первой последовательности.
Контрольные символы для локального контрольного сигнала FDM для данной локальной зоны могут быть вычислены как:
, 1)
Где есть контрольный символ для поддиапазона, k – в символьном периоде n. Уравнение (1) подразумевает, что символы модуляции, используемые для локального контрольного сигнала FDM, имеют значения 1 + j0.
Принятые контрольные символы в беспроводном устройстве могут быть выражены как:
(2)
где – контрольный символ, отправленный по поддиапазону k в символьный период n базовой станцией в желаемой локальной зоне (то есть желаемой базовой станцией);
– действительный отклик канала для желаемой базовой станции;
– контрольный символ, отправленный по поддиапазону k в символьный период n интерферирующей базовой станцией в соседней локальной зоне;
– действительный отклик канала для интерферирующей базовой станции;
– принятый контрольный сигнал для поддиапазона k в символьный период n;
– шум для поддиапазона k в символьный период n.
Для простоты в уравнении (2) предполагается наличие одной желаемой базовой станции и одной интерферирующей базовой станции, которая обозначается индексом I.
Локальные контрольные сигналы FDM для различных локальных областей могут быть ортогонализированы по времени и/или частоте с помощью передачи этих локальных контрольных сигналов FDM в различные символьные периоды и/или поддиапазоны, соответственно. Тем не менее, меньше контрольных символов должно быть послано для локального контрольного сигнала FDM в каждой локальной зоне, и, соответственно, меньше контрольных символов будет доступно для оценки локального канала.
Локальные контрольные сигналы FDM для различных локальных зон также могут быть ортогонализированы и/или рандомизированы в кодовом домене при помощи использования различных ортогональных и/или случайных последовательностей, соответственно, для этих локальных контрольных сигналов FDM. Различные методики ортогонализации/рандомизации кода могут быть использованы для локальных контрольных сигналов FDM, включая ортогональную перестановку, случайную перестановку и ортогональную и случайную перестановку.
Для ортогональной перестановки локальные контрольные сигналы FDM для разных локальных зон умножаются на ортогональные последовательности по символьным периодам. Контрольные символы для желаемой и интерферирующей локальных зон могут быть выражены как:
и (3)
где ортогональна . Как показано в уравнении (3), одинаковая PN последовательность используется для генерации первой последовательности комплексных величин для желаемой и интерферирующей локальной зоны. Тем не менее, разные ортогональные последовательности и используются для желаемой и интерферирующей локальной зоны.
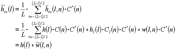
Беспроводное устройство может вывести оценку локального канала с помощью, во-первых, получения оценки комплексного коэффициента усиления канала для каждого контрольного поддиапазона, используемого для локального контрольного сигнала FDM, следующим образом:
(4)
Уравнение (4) устраняет эффекты PN последовательности по контрольным поддиапазонам, что также называется дескрамблированием. Беспроводное устройство получает P оценок коэффициента усиления канала для P равномерно распределенных контрольных поддиапазонов. Затем беспроводное устройство выполняет P-точечное обратное дискретное преобразование Фурье (IDFT) над P оценками коэффициента усиления канала для получения P-отводной оценки импульсного отклика методом наименьших квадратов, которая может быть выражена следующим образом:
, (5)
где есть индекс для ответвления канала для оценки импульсного отклика;
есть действительный импульсный отклик для желаемой базовой станции;
есть действительный импульсный отклик для интерферирующей базовой станции;
есть оценка импульсного отклика методом наименьших квадратов для символьного периода , где индекс os обозначает ортогональную перестановку; и
есть шум для символьного периода .
В уравнении (5) предполагается, что действительный импульсный отклик канала для каждой базовой станции является постоянным в течение интересующего нас периода времени, так что и не являются функциями символьного периода .
Оценка импульсного отклика для желаемой локальной зоны может быть получена с помощью фильтрации оценок импульсного отклика методом наименьших квадратов для различных символьных периодов следующим образом:
(6)
где , так как и являются ортогональными последовательностями;
есть шум после обработки; и
L есть длина ортогональной последовательности (например, L = 3).
Индекс суммирования в уравнении (6) определен для нечетных значений L и отличается для четных значений L. Беспроводное устройство, расположенное в интерферирующей локальной зоне, может вывести оценку импульсного отклика для локальной зоны при помощи умножения на и интегрирования по длине ортогональной последовательности. Как показано в уравнении (6), ортогональная перестановка может подавить интерференцию контрольного сигнала от соседней локальной зоны. Тем не менее, ортогональность может быть нарушена из-за временных вариаций канала.
Ортогональные последовательности могут быть определены различными способами. В одной реализации ортогональная последовательность определяется следующим образом:
и , для n = 0 … (L – 1). (7)
Для случайной перестановки контрольные символы для желаемой локальной зоны являются псевдослучайными по отношению к контрольным символам для интерферирующей локальной зоны. Контрольные символы могут считаться независимо и идентично распределенными (i.i.d) по времени, частоте и локальным зонам. Псевдослучайные контрольные символы могут быть получены инициализацией PN генераторов для различных локальных зон различными начальными числами, которые зависят от символьного периода n и идентификатора локальной зоны.
Для случайной перестановки, оценка импульсного отклика методом наименьших квадратов может быть получена с помощью выполнения (1) дескрамблирования, как показано в уравнении (4), для устранения псевдослучайной последовательности для желаемой локальной зоны, (2) последующей обработки для получения P оценок коэффициентов усиления канала, и (3) IDFT по P оценкам коэффициентов усиления канала, как описано выше. Оценка импульсного отклика методом наименьших квадратов может быть выражена как:
, (8)
где есть интерференция для -го ответвления , и индекс rs обозначает случайную перестановку. Интерференция возникает из-за того, что импульсный отклик канала для интерферирующей локальной зоны размыт по P ответвлениям PN последовательностями для локальной и интерферирующей зоны. Оценка импульсного отклика методом наименьших квадратов может быть непосредственно использована как оценка импульсного отклика для желаемой локальной зоны. Уравнение (8) показывает, что случайная перестановка только размывает (и не подавляет) интерференцию контрольного сигнала от соседней локальной зоны. Регулировка порога может быть выполнена для сохранения ответвлений канала, которые превышают предопределенное пороговое значение и для обнуления ответвлений канала ниже предопределенного порогового значения. Регулировка порога может устранить большую часть интерференции контрольного сигнала и может обеспечить производительность, сопоставимую с производительностью, достигаемой при ортогональной перестановке. Кроме того, при случайной перестановке производительность оценки канала не зависит от ортогональности и может быть более надежной при определенных рабочих условиях.
Для ортогональной или случайной перестановки локальные контрольные сигналы FDM для различных локальных зон умножаются на разные PN последовательности по поддиапазонам и затем умножаются на разные ортогональные последовательности по символьным периодам. Контрольные символы для желаемой и интерферирующей локальной зоны могут быть выражены следующим образом:
и , (9)
где и – разные псевдослучайные последовательности, и и – разные ортогональные последовательности.
Для ортогональной и случайной перестановки оценка импульсного отклика методом наименьших квадратов может быть получена выполнением обработки, описанной выше для ортогональной перестановки. Оценка импульсного отклика методом наименьших квадратов может быть выражена как:
, (10)
где индекс or обозначает ортогональную и случайную перестановку. Оценка импульсного отклика для желаемой локальной зоны может быть получена умножением на и интегрированием по длине ортогональной последовательности, как показано в уравнении (6).
Дискретный импульсный отклик канала для каждой (локальной или глобальной) зоны содержит до N ответвлений, где N=M·P. Импульсный отклик канала может рассматриваться как состоящий из основного канала и избыточного канала. Основной канал содержит первые P ответвлений из импульсного отклика канала. Избыточный канал содержит оставшиеся N-P ответвления. Если контрольный сигнал FDM передается в одном чередовании с P поддиапазонами, то оценка импульсного отклика , или с P ответвлениями может быть получена на основе принятого контрольного сигнала FDM. В общем случае длина оценки импульсного отклика определяется количеством различных поддиапазонов, использованных для контрольного FDM сигнала. Более длинная оценка импульсного отклика канала, с более чем P ответвлениями, может быть получена передачей контрольного сигнала FDM по большему числу чередований. Например, контрольный сигнал FDM может быть передан по двум различным чередованиям в разных символьных периодах, как показано на Фиг.7. Методики для определения коэффициентов временных фильтров для основного и избыточного каналов описаны в патенте США № 10/926,884 от 25 августа 2005 г., озаглавленном “Staggered Pilot Transmission for Channel Estimation and Time Tracking”.
Различные оценки канала могут быть получены для локальной и глобальной зоны. Беспроводное устройство может получать сигналы от базовых станций, которые сильнее удалены для глобальной передачи, по сравнению с базовыми станциями для локальной передачи. Соответственно, задержка распространения для глобальной передачи может быть больше, чем задержка распространения для локальной передачи. Более длинная оценка импульсного отклика канала (например, 3P) может быть получена для глобальной зоны. Более короткая оценка импульсного отклика канала (например, 2P) может быть получена для локальной зоны.
Более длинная оценка импульсного отклика канала для глобальной зоны может быть получена при использовании большего количества чередований для контрольного сигнала FDM для глобальной зоны. В качестве альтернативы одинаковое количество чередований может быть использовано для контрольного сигнала FDM для локальных и глобальных зон. Оценка импульсного отклика методом наименьших квадратов для глобальной зоны может быть отфильтрована с первым набором из одного или более временных фильтров для получения фильтрованной оценки импульсного отклика с заданным количеством ответвлений (например, 3P) для глобальной зоны. Оценка импульсного отклика методом наименьших квадратов для желаемой локальной зоны может быть отфильтрована со вторым набором временных фильтров для получения фильтрованной оценки импульсного отклика с заданным количеством ответвлений (например, 2P) для локальной зоны.
В общем случае, временное фильтрование для оценки канала может быть выполнено на основе различных рассмотрений, таких как, например, способ, которым передается контрольный сигнал FDM, количество чередований, использованное для контрольного сигнала FDM, желаемая длина (или количество ответвлений) для оценки импульсного отклика канала, подавление интерференции и так далее. Временная фильтрация может быть выполнена разным образом для контрольных сигналов FDM для локальной и глобальной зоны, для получения разных фильтрованных оценок отклика канала для локальной и глобальной зоны.
Фильтрованная оценка отклика канала для данной (локальной или глобальной) зоны может быть дополнительно обработана для дальнейшего улучшения производительности. Дополнительная обработка может включать в себя, например, установку последних Z ответвлений равными нулю, где Z может быть любым целым числом, установку ответвлений с энергией ниже предопределенного порогового значения, равными нулю (отсечение по порогу), и так далее. Дополнительно обработанные ответвления канала могут быть преобразованы с помощью DFT для получения окончательной оценки частотного отклика, используемой для детектирования данных и декодирования.
Обращаясь к Фиг.5, контрольный сигнал перехода может быть использован для оценки канала, синхронизации по времени, захвата (например, автоматического контроля мощности (AGC)) и так далее. Например, контрольный сигнал перехода может содержать контрольный сигнал FDM, так что временная фильтрация для каждого символьного периода может быть выполнена для принятых контрольных символов, полученных для текущего символьного периода, по меньшей мере, одного более раннего символьного периода, и, по меньшей мере, одного следующего символьного периода. Контрольный сигнал перехода также может быть использован для получения улучшенной синхронизации для локальной передачи, а также глобальной передачи.
4. Широковещательная передача и прием
На Фиг.8 показана диаграмма последовательности операций для процесса 800 трансляции локальной и глобальной передачи в сети 100. Каждая базовая станция в сети может выполнять процесс 800 в каждом спланированном интервале, который может быть, например, каждым символьным периодом для FDM структуры 300 по Фиг.3А, каждым кадром для TDM структуры 400 по Фиг.4А или каждым суперкадром для структуры 500 суперкадра по Фиг.5.
Данные для глобальной передачи обрабатываются в соответствии с первой схемой кодирования и модуляции (или модой), выбранной для глобальной передачи, для генерации символов данных для глобальной передачи (блок 812). Данные для локальной передачи обрабатываются в соответствии со второй схемой кодирования и модуляции для локальной передачи для генерации символов данных для локальной передачи (блок 814). Различные схемы кодирования и модуляции могут быть использованы для локальной и глобальной передач для достижения желаемого покрытия. Дополнительная служебная информация для локальной и глобальной передач определяется в блоках 816 и 818. Контрольный сигнал FDM для глобальной зоны, контрольный сигнал FDM для локальной зоны и контрольный сигнал перехода генерируются в блоках 822, 824 и 826, соответственно.
Дополнительная служебная информация для глобальной передачи и дополнительная служебная информация для локальной передачи мультиплексируются в выделенные для них интервалы передачи (блок 832 и 834). Символы данных для глобальной передачи мультиплексируются в интервал передачи, выделенный для глобальной передачи (блок 836), и контрольные символы для глобального контрольного сигнала FDM мультиплексируются в интервал передачи, выделенный для этого контрольного сигнала (блок 838). Аналогичным образом, символы данных для локальной передачи мультиплексируются в интервал передачи, выделенный для локальной передачи (блок 840), и контрольные символы для локального контрольного сигнала FDM мультиплексируются в интервал передачи, выделенный для этого контрольного сигнала (блок 842). Каждый интервал передачи может соответствовать группе поддиапазонов (например, FDM структуре 300), временному сегменту (например, TDM структуре 400), группе поддиапазонов во временном сегменте (например, структура 500 суперкадра) или какому-либо другому типу частотно-временного выделения. Контрольные сигналы TDM и перехода, другие управляющие сигналы, и другие данные могут быть также мультиплексированы в блоке 844. Затем мультиплексированные дополнительная служебная информация, контрольные сигналы и данные для локальной и глобальной передач транслируются в блоке 846.
На Фиг.9 показана диаграмма последовательности операций для процесса 900 приема локальной и глобальной передач, транслируемых сетью 100. Беспроводное устройство в сети может выполнять процесс 900 в любой спланированный интервал.
Беспроводное устройство принимает широковещательную передачу с локальной и глобальной передачами (блок 912). Беспроводное устройство обрабатывает контрольный сигнал TDM для получения синхронизации кадров и символов, оценки и исправления частотной ошибки и так далее (блок 914). Беспроводное устройство идентифицирует глобальный и локальный каналы для обработки с использованием WIC и LIC, соответственно, которые показаны на Фиг.5 (блок 916). Затем беспроводное устройство может восстановить локальную передачу, глобальную передачу или локальную и глобальную передачи из принятой широковещательной передачи.
Если беспроводное устройство приняло глобальную передачу, как определено в блоке 920, то беспроводное устройство демультиплексирует и обрабатывает дополнительную служебную информацию для глобальной передачи для определения частотно-временного расположения каждого интересующего глобального канала (блок 922). Беспроводное устройство также демультиплексирует и обрабатывает глобальные контрольные сигналы FDM и перехода из интервала передачи, выделенного для этих контрольных сигналов (блок 924), и выводит оценку канала для глобальной зоны (блок 926). Беспроводное устройство демультиплексирует символы данных для глобальных каналов из интервала передачи, выделенного для глобальной передачи (блок 928). Затем беспроводное устройство обрабатывает символы данных для глобальной передачи с учетом оценки глобального канала и в соответствии со схемой кодирования и демодуляции, применимой для глобальной передачи, и восстанавливает данные для каждого интересующего глобального канала (блок 930).
Если беспроводное устройство приняло локальную передачу, как определено в блоке 940, то беспроводное устройство демультиплексирует и обрабатывает дополнительную служебную информацию для локальной передачи для определения частотно-временного расположения каждого интересующего локального канала (блок 942). Беспроводное устройство также демультиплексирует и обрабатывает локальные контрольные сигналы FDM и перехода из интервала передачи, выделенного для этих контрольных сигналов (блок 944), и выводит оценку канала для желаемой локальной зоны (блок 946). Беспроводное устройство демультиплексирует символы данных для локальных каналов из интервала передачи, выделенного для локальной передачи (блок 948). Затем беспроводное устройство обрабатывает символы данных для локальной передачи с учетом оценки локального канала и в соответствии со схемой кодирования и демодуляции, применимой для локальной передачи, и восстанавливает данные для каждого интересующего локального канала (блок 950).
Если беспроводное устройство принимает локальную и глобальную передачу, то беспроводное устройство может выполнять обработку в порядке, отличающемся от порядка, показанного на Фиг.9. Например, беспроводное устройство может демультиплексировать и обработать дополнителную служебную информацию как для локальной, так и для глобальной передач при приеме этой информации.
5. Система
На Фиг.10 показана блок-схема базовой станции 1010 и беспроводного устройства 1050 в беспроводной широковещательной сети 100 по Фиг.1. Как правило, базовая станция 1010 является фиксированной станцией и может также называться точкой доступа, передатчиком или как-нибудь еще. Беспроводное устройство 1050 может быть фиксированным или мобильным и также может называться терминалом пользователя, мобильной станцией, приемником или как-нибудь еще. Также беспроводное устройство 1050 может быть портативным блоком, таким как сотовый телефон, карманным устройством, беспроводным модулем, персональным цифровым помощником (PDA) и тому подобным.
На базовой станции 1010 процессор 1022 данных передачи (TX) получает данные для глобальной передачи от источников 1012, обрабатывает (например, кодирует, уплотняет и отображает в символы) глобальные данные и генерирует символы данных для глобальной передачи. Символы данных являются символами модуляции для данных, и символ модуляции является комплексным значением точки в комбинации сигнала для схемы модуляции (например, M-PSK, M-QAM и тому подобное). TX процессор 1022 данных также генерирует контрольные сигналы FDM и перехода для глобальной зоны, к которой принадлежит базовая станция 1010, и предоставляет данные и контрольные символы для глобальной зоны мультиплексору (Mux) 1026. TX процессор 1024 данных получает данные для локальной передачи от источников 1014, обрабатывает локальные данные и генерирует символы данных для локальной передачи. TX процессор 1024 данных также генерирует контрольные сигналы FDM и перехода для локальной зоны, к которой принадлежит базовая станция 1010, и предоставляет данные и контрольные символы для локальной зоны мультиплексору 1026. Кодирование и модуляция для данных могут быть выбраны на основе различных факторов, таких как, например, предназначены ли данные для локальной или глобальной передачи, типа данных, желаемого покрытия для данных и так далее.
Мультиплексор 1026 мультиплексирует символы данных и контрольных сигналов для локальной и глобальной зон, а также символы для дополнительной служебной информации и контрольного сигнала TDM в поддиапазоны и периоды символов, выделенные для этих символов. Модулятор (Mod) 1028 выполняет модуляцию в соответствии с методикой модуляции, используемой сетью 100. Например, модулятор 1028 может выполнять OFDM модуляцию над мультиплексированными символами для генерации OFDM символов. Блок 1032 передачи (TMTR) конвертирует символы от модулятора 1028 в один или более аналоговый сигнал и дополнительно обрабатывает (например, усиливает, фильтрует и преобразует с повышением частоты) аналоговые сигналы для генерации модулированных сигналов. Затем базовая станция 1010 передает модулированный сигнал через антенну 1034 беспроводным устройствам в сети.
В беспроводном устройстве 1050 переданный от базовой станции 1010 сигнал принимается антенной 1052 и предоставляется блоку 1054 приема (RCVR). Блок 1054 приема обрабатывает (например, фильтрует, усиливает, преобразует с понижением частоты) принятый сигнал и оцифровывает обработанный сигнал для генерации потока выборок данных. Демодулятор (Demod) 1060 выполняет (например, OFDM) демодуляцию выборок данных и предоставляет принятые контрольные символы блоку 1080 оценки синхронизации (Sync) канала. Блок 1080 также получает выборки данных от блока 1054 приема, определяет синхронизацию кадров и символов на основе выборок данных и выводит оценку канала для локальной и глобальной зон на основе принятых контрольных символов для этих зон. Блок 1080 предоставляет синхронизацию символов и оценку канала демодулятору 1060 и предоставляет синхронизацию кадров демодулятору 1060 и/или контроллеру 1090. Демодулятор 1060 выполняет детектирование данных в принятых символах данных для локальной передачи с оценкой локального канала, выполняет детектирование данных в принятых символах данных для глобальной передачи с оценкой глобального канала и предоставляет детектированные символы данных для локальной и глобальной передач демультиплексору (Demux) 1062. Детектированные символы данных являются оценкой символов данных, отправленных базовой станцией 1010, и могут быть представлены в форме логарифмических отношений правдоподобия (LLRs) или в другой форме.
Демультиплексор 1062 предоставляет детектированные символы данных для всех интересующих глобальных каналов процессору 1072 данных приема (RX) и предоставляет детектированные символы данных для всех интересующих локальных каналов процессору 1074 данных приема (RX). RX процессор 1072 данных обрабатывает (например, устраняет чередование и декодирует) детектированные символы данных для глобальной передачи в соответствии с подходящей схемой демодуляции и декодирования и предоставляет данные для глобальной передачи. RX процессор 1074 данных обрабатывает детектированные символы данных для локальной передачи в соответствии с подходящей схемой демодуляции и декодирования и предоставляет данные для локальной передачи. В общем случае обработка демодулятором 1060, демультплексором 1062, RX процессорами 1072 и 1074 в беспроводном устройстве совместима с обработкой модулятором 1028, мультиплексором 1026 и TX процессорами 1022 и 1024, соответственно, на базовой станции 1010.
Контроллеры 1040 и 1090 управляют работой базовой станции 1010 и беспроводным устройством 1050, соответственно. Блоки 1042 и 1092 памяти хранят коды программ и данные, используемые контроллерами 1040 и 1090, соответственно. Планировщик 1044 планирует трансляцию локальной и глобальной передач и выделяет, и назначает ресурсы для передач различного типа.
Для простоты на Фиг.10 показана обработка данных для локальной и глобальной передач, выполняемые двумя разными процессорами данных, как на базовой станции 1010, так и в беспроводном устройстве 1050. Обработка данных для передач всех типов может быть выполнена единственным процессором данных на каждой базовой станции 1010 и мольном устройстве 1050. На Фиг.10 также показана обработка передач двух разных типов. В общем случае любое количество типов передач с различным покрытием может быть передано базовой станцией 1010 и принято беспроводным устройством 1050. Для ясности на Фиг.10 также показано, что все блоки базовой станции 1010 расположены на одной установке. В общем случае эти блоки могут находиться на одной или на разных установках и могут взаимодействовать через различные каналы связи. Например, источники 1012 и 1014 данных могут быть расположены за пределами установки, блок 1032 передачи и/или антенна 1034 могут быть расположены на передающей установке и так далее.
Схемы мультиплексирования, описанные здесь (например, на Фиг.3А, 4А и 5), имеют различные преимущества по сравнению с традиционной схемой, которая транслирует передачи различных типов по разным радиочастотным каналам. Во-первых, схемы мультиплексирования, описанные здесь, могут обеспечить большее частотное разнесение по сравнению с традиционной схемой, так как передача каждого типа передается по всей полосе пропускания системы в отличие от единственного радиочастотного канала. Во-вторых, схемы мультиплексирования, описанные здесь, позволяют блоку 1054 принимать и демодулировать передачи всех типов с единственным радиочастотным блоком, который настроен на единственную радиочастоту. Это упрощает конструкцию беспроводного устройства. Наоборот, традиционная схема может потребовать множество радиочастотных блоков для восстановления передач различных типов, отправленных по разным радиочастотным каналам.
Методики, описанные здесь для трансляции передач различных типов по радио, могут быть реализованы множеством способов. Например, эти методики могут быть реализованы в аппаратном обеспечении, программном обеспечении или в их комбинации. Для аппаратной реализации блоки обработки на базовой станции, используемые для трансляции передач различных типов, могут быть реализованы в одной или нескольких специализированных интегральных микросхемах (ASICs), цифровых процессорах сигнала (DSPs), цифровых устройствах обработки сигналов (DSPDs), программируемых логических устройствах (PLDs), программируемых вентильных матрицах (FPGAs), процессорах, контроллерах, микроконтроллерах, микропроцессорах, других электронных устройствах, спроектированных для выполнения описанных здесь функций, или их комбинацией. Блоки обработки в беспроводном устройстве, используемом для приема передач различных типов, также могут быть реализованы с использованием одной или более ASICs, DSPs и так далее.
Для программной реализации методики, описанные здесь, могут быть реализованы с помощью модулей (например, процедур, функций и тому подобное), которые выполняют описанные здесь функции. Программный код может быть сохранен в блоке памяти (например, блоки 1042 и 1092 памяти по Фиг.10) и выполняется процессором (например, контроллером 1040 или 1090). Блоки памяти могут быть реализованы внутри процессора или быть внешними по отношению к процессору, в этом случае они могут быть оперативно связаны с процессором с помощью различных средств, известных в данной области техники.
Заголовки включены здесь для ссылки и помощи в нахождении определенных секций. Эти заголовки не предназначены для ограничения объема концепций, описанных под этими заголовками, и эти концепции могут иметь применимость в других разделах по всей спецификации.
Приведенное выше описание раскрытых реализаций представлено для того, чтобы специалист в данной области техники смог изготовить или использовать настоящее изобретение. Различные модификации к этим реализациям будут очевидны специалисту в данной области техники, и базовые принципы, определенные в этом описании, могут быть применены к другим реализациям, не выходя за пределы объема и сущности изобретения. Таким образом, настоящее изобретение не предназначено для ограничения к приведенным реализациям, но согласуется с самым широким объемом, согласующимся с принципами и новыми особенностями, раскрытыми здесь.
Формула изобретения
1. Способ трансляции данных в беспроводных широковещательных сетях, способ включает в себя этапы, на которых:
обрабатывают данные для глобальной передачи в соответствии с первой схемой модуляции и кодирования;
обрабатывают данные для локальной передачи в соответствии со второй схемой модуляции и кодирования;
при этом первая и вторая схемы кодирования и модуляции выбираются на основе желаемого покрытия для глобальной и локальной передач, соответственно;
мультиплексируют данные для глобальной передачи в первый интервал передачи, глобальная передача посылается от множества передатчиков в сети;
мультиплексируют данные для локальной передачи во второй интервал передачи, локальная передача посылается от подмножества множества передатчиков в сети; и
транслируют локальную и глобальную передачи по беспроводному каналу связи.
2. Способ по п.1, в котором различные локальные передачи посылаются от различных подмножеств множества передатчиков.
3. Способ по п.1, в котором различные глобальные передачи посылаются от различных множеств передатчиков.
4. Способ по п.1, дополнительно включающий в себя этап, на котором:
мультиплексируют данные для местной передачи в третий интервал передачи, местная передача посылается от меньшего подмножества подмножества множества передатчиков.
5. Способ по п.1, в котором данные для глобальной передачи мультиплексированы с временным разделением (TDM) с данными для локальной передачи, и где первый и второй интервал передачи являются первым и вторым временным сегментом, соответственно, кадра предопределенной длительности.
6. Способ по п.1, в котором данные для глобальной передачи мультиплексированы с частотным разделением (FDM) с данными для локальной передачи, и где первый и второй интервал передачи являются первым и вторым набором частотных поддиапазонов, соответственно, полученных при многочастотной модуляции.
7. Способ по п.1, в котором беспроводная широковещательная сеть использует мультиплексирование с ортогональным частотным разделением сигналов (OFDM).
8. Способ по п.7, в котором данные для глобальной передачи мультиплексированы с временным разделением (TDM) с данными для локальной передачи, где первый интервал передачи содержит все частотные поддиапазоны, пригодные для передачи данных в первом временном сегменте или кадре, и где второй интервал передачи содержит все частотные поддиапазоны, пригодные для передачи данных во втором временном сегменте кадра.
9. Способ по п.8, в котором данные для локальной передачи мультиплексируются в меньшее, чем все пригодные частотные поддиапазоны, количество для уменьшения интерференции.
10. Способ по п.9, в котором данные для локальной передачи от подмножества множества передатчиков мультиплексируются в частотные поддиапазоны, которые ортогональны частотным поддиапазонам, используемым, по меньшей мере, одним другим подмножеством множества передатчиков.
11. Способ по п.9, в котором данные для локальной передачи мультиплексируются в частотные поддиапазоны, выбранные псевдослучайным образом из всех пригодных частотных поддиапазонов.
12. Способ по п.1, в котором вторая схема кодирования и модуляции имеет более низкую спектральную эффективность по сравнению с первой схемой кодирования и модуляции для увеличения покрытия для локальной передачи.
13. Способ по п.1, в котором первая схема кодирования и модуляции имеет более низкую спектральную эффективность по сравнению со второй схемой кодирования и модуляции.
14. Способ по п.1, который также включает в себя этап, на котором:
обрабатывают данные для глобальной и локальной передач на основе передачи, в которой посылаются данные и тип данных.
15. Способ по п.1, который также включает в себя этапы, на которых:
мультиплексируют первый контрольный сигнал в третий интервал передачи, первый контрольный сигнал пригоден для получения первой оценки канала для глобальной передачи; и
мультиплексируют второй контрольный сигнал в четвертый интервал передачи, второй контрольный сигнал пригоден для получения второй оценки канала для локальной передачи.
16. Способ по п.15, в котором первый и второй контрольный сигналы мультиплексируются в различные наборы частотных поддиапазонов в различных символьных периодах.
17. Способ по п.8, который также включает в себя этапы, на которых:
мультиплексируют первый контрольный сигнал в различные наборы частотных поддиапазонов, используемых для передачи контрольного сигнала в различных символьных периодах первого временного сегмента, первый контрольный сигнал пригоден для получения первой оценки канала для глобальной передачи;
мультиплексируют второй контрольный сигнал в различные наборы частотных поддиапазонов, используемых для передачи контрольного сигнала в различных символьных периодах второго временного сегмента, второй контрольный сигнал пригоден для получения второй оценки канала для локальной передачи.
18. Способ по п.15, который также включает в себя этап, на котором: генерируют второй контрольный сигнал с использованием ортогональной последовательности, назначенной подмножеству множества передатчиков, где второй контрольный сигнал для подмножества множества передатчиков ортогонален, по меньшей мере, другому второму контрольному сигналу для, по меньшей мере, одного другого подмножества множества передатчиков.
19. Способ по п.15, который также включает в себя этап, на котором: генерируют второй контрольный сигнал с использованием псевдослучайной последовательности, назначенной подмножеству множества передатчиков, где второй контрольный сигнал для подмножества множества передатчиков псевдослучаен, по меньшей мере, по отношению к другому второму контрольному сигналу для, по меньшей мере, одного другого подмножества множества передатчиков.
20. Способ по п.1, который также включает в себя этапы, на которых:
умножают символы модуляции для различных частотных поддиапазонов на псевдослучайную последовательность, назначенную подмножеству множества передатчиков, для получения отмасштабированных символов, где псевдослучайная последовательность используется для каждого символьного периода;
и умножают отмасштабированные символы для разных символьных периодов на ортогональную последовательность, назначенную подмножеству множества передатчиков, для генерации второго контрольного сигнала, где второй контрольный сигнал псевдослучаен по частоте и ортогонален по времени по отношению к по меньшей мере, одному другому второму контрольному сигналу для, по меньшей мере, одного другого подмножества множества передатчиков.
21. Способ по п.1, который также включает в себя этапы, на которых:
мультиплексируют дополнительную служебную информацию для глобальной передачи в третий интервал передачи; и
мультиплексируют дополнительную служебную информацию для локальной передачи в четвертый интервал передачи.
22. Способ по п.21, в котором дополнительная служебная информация для глобальной передачи обозначает частотно-временное расположение каждого канала данных для глобальной передачи, и где дополнительная служебная информация для локальной передачи обозначает частотно-временное расположение каждого канала данных для локальной передачи.
23. Способ по п.1, который также включает в себя этап, на котором:
выбирают первый и второй интервал передачи на основе количества данных, которое надо транслировать для глобальной передачи и количества данных, которое надо транслировать для локальной передачи.
24. Способ по п.1, который также включает в себя этап, на котором:
подстраивают первый и второй интервал передачи на основе времени суток.
25. Способ по п.1, который также включает в себя этап, на котором:
подстраивают первый и второй интервал передачи на основе предопределенного расписания.
26. Устройство для трансляции данных в беспроводной широковещательной сети, содержащее:
мультиплексор, способный получать и мультиплексировать данные для глобальной передачи в первый интервал передачи и получать и мультиплексировать данные для локальной передачи во второй интервал передачи,
первый процессор данных, способный обрабатывать данные для глобальной передачи в соответствии с первой схемой модуляции и кодирования,
второй процессор данных, способный обрабатывать данные для локальной передачи в соответствии со второй схемой модуляции и кодирования,
передатчик, способный транслировать локальную и глобальную передачу по беспроводному каналу связи,
при этом глобальная передача посылается от множества передатчиков в сети, и локальная передача посылается от подмножества множества передатчиков в сети.
27. Устройство по п.26, в котором беспроводная широковещательная сеть использует мультиплексирование с ортогональным частотным разделением сигналов (OFDM), где данные для глобальной передачи мультиплексированы с временным разделением (TDM) с данными для локальной передачи, причем первый интервал передачи содержит все частотные поддиапазоны, пригодные для передачи данных в первом временном сегменте или кадре, и при этом второй интервал передачи содержит все частотные поддиапазоны, пригодные для передачи данных во втором временном сегменте или кадре.
28. Устройство по п.26, в котором первый процессор данных также способен генерировать первый контрольный сигнал, пригодный для получения первой оценки канала для глобальной передачи, при этом второй процессор данных также способен генерировать второй контрольный сигнал, пригодный для получения второй оценки канала для локальной передачи, и при этом мультиплексор также способен мультиплексировать первый контрольный сигнал в третий интервал передачи и мультиплексировать второй контрольный сигнал в четвертый интервал передачи.
29. Устройство по п.26, в котором мультиплексор также способен мультиплексировать дополнительную служебную информацию для глобальной передачи в третий интервал передачи и мультиплексировать дополнительную служебную информацию для локальной передачи в четвертый интервал передачи.
30. Устройство по п.26, которое также содержит:
контроллер, способный выбрать первый и второй интервалы передачи на основе количества транслируемых данных для глобальной передачи и количества транслируемых данных для локальной передачи.
31. Устройство для приема данных в беспроводной широковещательной сети, содержащее:
средство для обработки данных для глобальной передачи в соответствии с первой схемой модуляции и кодирования, причем обработанные данные для глобальной передачи мультиплексируются в первый интервал передачи;
средство для обработки данных для локальной передачи в соответствии со второй схемой модуляции и кодирования, причем обработанные данные для локальной передачи мультиплексируются во второй интервал передачи;
средство для мультиплексирования данных для глобальной передачи в первый интервал передачи, глобальная передача посылается от множества передатчиков в сети;
средство для мультиплексирования данных для локальной передачи во второй интервал передачи, локальная передача посылается от подмножества множества передатчиков в сети; и
средство для трансляции локальной и глобальной передач по беспроводному каналу связи.
32. Устройство по п.31, в котором беспроводная широковещательная сеть использует мультиплексирование с ортогональным частотным разделением сигналов (OFDM), при этом данные для глобальной передачи мультиплексированы с временным разделением (TDM) с данными для локальной передачи, при этом первый интервал передачи содержит все частотные поддиапазоны, пригодные для передачи данных в первом временном сегменте или кадре, и при этом второй интервал передачи содержит все частотные поддиапазоны, пригодные для передачи данных во втором временном сегменте кадра.
33. Устройство по п.31, которое также содержит:
средство для мультиплексирования первого контрольного сигнала в третий интервал передачи, первый контрольный сигнал пригоден для получения первой оценки канала для глобальной передачи; и
средство для мультиплексирования второго контрольного сигнала в четвертый интервал передачи, второй контрольный сигнал пригоден для получения второй, оценки канала для локальной передачи.
34. Устройство по п.31, которое также содержит:
средство для мультиплексирования дополнительной служебной информации для глобальной передачи в третий интервал передачи; и
средство для мультиплексирования дополнительной служебной информации для локальной передачи в четвертый интервал передачи.
35. Устройство по п.31, которое также содержит:
средство для выбора первого и второго интервала передачи на основе количества транслируемых данных для глобальной передачи и количества транслируемых данных для локальной передачи.
36. Способ приема данных в беспроводной широковещательной сети, включающий в себя этапы, на которых:
принимают по беспроводному каналу связи широковещательную передачу, состоящую из глобальной передачи и локальной передачи, глобальная передача отправлена от множества передатчиков в сети, и локальная передача отправлена от подмножества множества передатчиков в сети;
если принята глобальная передача, то обрабатывают данные для глобальной передачи в соответствии с первой схемой демодуляции и декодирования; и
если принята локальная передача, то обрабатывают данные для локальной передачи в соответствии со второй схемой демодуляции и декодирования;
если принята глобальная передача, то демультиплексируют данные для глобальной передачи из первого интервала передачи; и
если принята локальная передача, то демультиплексируют данные для локальной передачи из второго интервала передачи.
37. Способ по п.36, в котором данные для глобальной передачи мультиплексированы с частотным разделением (FDM) с данными для локальной передачи, и при этом первый и второй интервал передачи являются первым и вторым набором частотных поддиапазонов, соответственно, полученных при многочастотной модуляции.
38. Способ по п.36, в котором данные для глобальной передачи мультиплексированы с временным разделением (TDM) с данными для локальной передачи, и при этом первый и второй интервал передачи являются первым и вторым временным сегментом, соответственно, кадра.
39. Способ по п.38, в котором первый временной сегмент для глобальной передачи предшествует второму временному сегменту для локальной передачи.
40. Способ по п.36, в котором беспроводная сеть использует мультиплексирование с ортогональным частотным разделением сигналов (OFDM).
41. Способ по п.40, в котором данные для глобальной передачи мультиплексированы с временным разделением (TDM) с данными для локальной передачи, причем первый интервал передачи содержит все частотные поддиапазоны, пригодные для передачи данных в первом временном сегменте или кадре, и причем второй интервал передачи содержит все частотные поддиапазоны, пригодные для передачи данных во втором временном сегменте кадра.
42. Способ по п.36, который также включает в себя этапы, на которых:
если принята глобальная передача, то демультиплексируют дополнительную служебную информацию для глобальной передачи из третьего интервала передачи; и
если принята локальная передача, то демультиплексируют дополнительную служебную информацию для локальной передачи из четвертого интервала передачи.
43. Способ по п.42, в котором дополнительная служебная информация для глобальной передачи обозначает частотно-временное расположение каждого канала данных для глобальной передачи, и при этом дополнительная служебная информация для локальной передачи обозначает частотно-временное расположение каждого канала данных для локальной передачи.
44. Способ по п.36, который также включает в себя этапы, на которых:
если принята глобальная передача,
демультиплексируют первый контрольный сигнал из третьего интервала передачи,
получают первую оценку канала для глобальной передачи на основе первого контрольного сигнала, и
обрабатывают данные для глобальной передачи с первой оценкой канала.
45. Способ по п.44, который также включает в себя этапы, на которых:
если принята локальная передача,
демультиплексируют второй контрольный сигнал из четвертого интервала передачи,
получают вторую оценку канала для локальной передачи на основе второго контрольного сигнала, и
обрабатывают данные для локальной передачи со второй оценкой канала.
46. Способ по п.45, в котором первая и вторая оценки канала, соответственно, связаны с первой и второй оценками импульсного отклика, имеющими разную длину.
47. Способ по п.36, который также включает в себя этапы, на которых:
выполняют отсечение по порогу для обнуления ответвлений канала для первой оценки импульсного отклика, которая ниже первого предопределенного порога; и
выполняют отсечение по порогу для обнуления ответвлений канала для второй оценки импульсного отклика, которая ниже второго предопределенного порога.
48. Способ по п.47, в котором первый предопределенный порог равен второму предопределенному порогу.
49. Способ по п.45, который также включает в себя этапы, на которых:
если получена глобальная передача, обрабатывают первый контрольный сигнал первым набором из, по меньшей мере, одного временного фильтра для получения первой оценки канала; и
если получена локальная передача, обрабатывают второй контрольный сигнал первым набором из, по меньшей мере, одного временного фильтра для получения второй оценки канала.
50. Способ по п.49, в котором первый и второй набор из, по меньшей мере, одного временного фильтра имеют различные длины, различные коэффициенты или различные длины и различные коэффициенты.
51. Устройство для приема данных в беспроводной широковещательной сети, содержащее:
блок приема, способный принимать по беспроводному каналу связи широковещательную передачу, состоящую из глобальной передачи и локальной передачи, глобальная передача отправлена от множества передатчиков в сети, и локальная передача отправлена от подмножества множества передатчиков в сети;
процессор данных, способный обрабатывать данные для глобальной передачи в соответствии с первой схемой демодуляции и декодирования, если принята глобальная передача, и способный обрабатывать данные для локальной передачи в соответствии со второй схемой демодуляции и декодирования, если принята локальная передача; и
демультиплексор, способный демультиплексировать данные для глобальной передачи из первого интервала передачи, если принята глобальная передача, и способный демультиплексировать данные для локальной передачи из второго интервала передачи, если принята локальная передача.
52. Устройство по п.51, в котором беспроводная сеть использует мультиплексирование с ортогональным частотным разделением сигналов (OFDM), причем данные для глобальной передачи мультиплексированы с временным разделением (TDM) с данными для локальной передачи, причем первый интервал передачи содержит все частотные поддиапазоны, пригодные для передачи данных в первом временном сегменте или кадре, и причем второй интервал передачи содержит все частотные поддиапазоны, пригодные для передачи данных во втором временном сегменте кадра.
53. Устройство по п.51, в котором демультиплексор также способен демультиплексировать дополнительную служебную информацию для глобальной передачи из третьего интервала передачи, если принята глобальная передача, и способен демультиплексировать дополнительную служебную информацию для локальной передачи из четвертого интервала передачи, если принята глобальная передача.
54. Устройство по п.51, которое также содержит:
оценщик канала, способный вывести первую оценку канала для глобальной передачи на основе первого контрольного сигнала, демультиплексированного из третьего интервала передачи, если была принята глобальная передача, и способный вывести вторую оценку канала для локальной передачи на основе второго контрольного сигнала, демультиплексированного из четвертого интервала передачи, если была принята локальная передача.
55. Устройство по п.51, в котором блок приема способен принимать глобальную передачу и локальную передачу одновременно на одной радиочастоте.
56. Устройство для приема данных в беспроводной широковещательной сети, содержащее:
средство для приема по беспроводному каналу связи широковещательной передачи, состоящей из глобальной передачи и локальной передачи, глобальная передача отправлена от множества передатчиков в сети, и локальная передача отправлена от подмножества множества передатчиков в сети;
средство для обработки данных для глобальной передачи в соответствии с первой схемой демодуляции и декодирования, если принята глобальная передача;
средство для обработки данных для локальной передачи в соответствии со второй схемой демодуляции и декодирования, если принята локальная передача; и
средство для демультиплексирования данных для глобальной передачи из первого интервала передачи, если принята глобальная передача; и средство для демультиплексирования данных для локальной передачи из второго интервала передачи, если принята локальная передача.
57. Устройство по п.56, в котором беспроводная сеть использует мультиплексирование с ортогональным частотным разделением сигналов (OFDM), причем данные для глобальной передачи мультиплексированы с временным разделением (TDM) с данными для локальной передачи, причем первый интервал передачи содержит все частотные поддиапазоны, пригодные для передачи данных в первом временном сегменте или кадре, и причем второй интервал передачи содержит все частотные поддиапазоны, пригодные для передачи данных во втором временном сегменте кадра.
58. Устройство по п.56, который также содержит:
средство для демультиплексирования дополнительной служебной информации для глобальной передачи из третьего интервала передачи, если принята глобальная передача; и
средство для демультиплексирования дополнительной служебной информации для локальной передачи из четвертого интервала передачи, если принята локальная передача.
59. Устройство по п.56, который также содержит:
средство для демультиплексирования первого контрольного сигнала из третьего интервала передачи, если принята глобальная передача;
средство для демультиплексирования второго контрольного сигнала из четвертого интервала передачи, если принята локальная передача;
средство для получения первой оценки канала для глобальной передачи на основе первого контрольного сигнала, если принята глобальная передача;
средство для получения второй оценки канала для локальной передачи на основе второго контрольного сигнала, если принята локальная передача;
средство для обработки данных для глобальной передачи с первой оценкой канала, если принята глобальная передача;
средство для обработки данных для локальной передачи со второй оценкой канала, если принята локальная передача.
РИСУНКИ
|