|
|
(21), (22) Заявка: 2007119180/09, 24.05.2007
(24) Дата начала отсчета срока действия патента:
24.05.2007
(46) Опубликовано: 10.09.2008
(56) Список документов, цитированных в отчете о поиске:
МОИН B.C. Стабилизированные транзисторные преобразователи. – М.: Энергоатомиздат, 1986, с.18, 19. RU 2139625 C1, 10.10.1999. SU 909775 A1, 28.02.1982. SU 1056402 A1, 23.11.1983. SU 1541726 A1, 07.02.1990. DE 10138751, 06.03.2003.
Адрес для переписки:
111250, Москва, ул. Красноказарменная, 14, ГОУВПО “МЭИ(ТУ)”, НИЧ, патентный отдел, пат. пов. Т. А. Лобзова, рег. № 179
|
(72) Автор(ы):
Царенко Анатолий Иванович (RU), Серегин Дмитрий Андреевич (RU)
(73) Патентообладатель(и):
Государственное образовательное учреждение высшего профессионального образования “Московский энергетический институт (технический университет)” (ГОУВПО “МЭИ(ТУ)”) (RU)
|
(54) СТАТИЧЕСКИЙ ПРЕОБРАЗОВАТЕЛЬ
(57) Реферат:
Изобретение относится к области электротехники. Технический результат заключается в снижении потерь в преобразователе, расширении диапазона регулирования выходного напряжения, снижении помех, наводимых преобразователем в сети питания. Статический преобразователь содержит четыре двупроводящих ключа, источник питания, нагрузку, также снабжен конденсатором, одна из обкладок которого соединена со вторым выводом второго ключа, а его вторая обкладка соединена со вторым выводом первого ключа, двумя реакторами, один вывод реактора соединен с одним из выводов нагрузки, один вывод реактора соединен с другим выводом нагрузки, вторые выводы первого и второго реакторов соединены между собой и подключены к другому полюсу питания. 2 ил.
Изобретение относится к области электротехники, в частности к преобразовательной технике, и может быть использовано в автономных преобразователях в источниках гарантированного электропитания, преобразователях постоянного тока в постоянный.
Известен статический преобразователь, выполненный по схеме однофазного двухтактного автономного полумостового инвертора напряжения [Моин В.С. Стабилизированные транзисторные преобразователи. – М.: Энергоатомиздат, 1986, стр.82]. Статический преобразователь, выполненный по схеме однофазного двухтактного автономного полумостового инвертора напряжения, содержит два двупроводящих ключа, причем один из выводов первого ключа соединен с одним из выводов второго ключа, второй вывод первого ключа подключен к одному из полюсов источника питания, второй вывод второго ключа подключен к другому полюсу источника питания, два конденсатора, одна из обкладок первого конденсатора соединена с одной из обкладок второго конденсатора, вторая обкладка первого конденсатора подключена к одному из полюсов источника питания, вторая обкладка второго конденсатора подключена к другому полюсу источника питания, и нагрузку, один из выводов которой соединен с точкой соединения выводов двупроводящих ключей, а ее второй вывод соединен с точкой соединения обкладок конденсаторов.
Недостатками известного преобразователя являются большие потери в преобразователе, малый диапазон регулирования выходного напряжения, сильные помехи, наводимые преобразователем в сети питания.
Наиболее близким техническим решением является статический преобразователь, выполненный по схеме однофазного двухтактного автономного мостового инвертора напряжения [Моин B.C. Стабилизированные транзисторные преобразователи. – М.: Энергоатомиздат, 1986, стр.18-19]. Статический преобразователь, выполненный по схеме однофазного двухтактного автономного мостового инвертора напряжения, содержит четыре двупроводящих ключа, причем один из выводов первого ключа соединен с одним из выводов второго ключа, второй вывод первого ключа соединен с одним из полюсов источника питания, один из выводов третьего ключа соединен с одним из выводов четвертого ключа, второй вывод третьего ключа соединен со вторым выводом первого ключа, нагрузку, один из выводов которой соединен с точкой соединения выводов первого и второго ключей, а другой вывод нагрузки соединен с точкой соединения выводов третьего и четвертого ключей, второй вывод второго ключа соединен со вторым выводом четвертого ключа, а другой полюс источника питания соединен с точкой соединения выводов второго и четвертого ключей.
Недостатками известного преобразователя являются большие потери в преобразователе, малый диапазон регулирования выходного напряжения, сильные помехи, наводимые преобразователем в сети питания.
Технической задачей изобретения является снижение потерь в преобразователе, расширение диапазона регулирования выходного напряжения, снижение помех, наводимых преобразователем в сети питания.
Эта задача достигается тем, что известный преобразователь, содержащий четыре двупроводящих ключа, причем один из выводов первого ключа соединен с одним из выводов второго ключа, второй вывод первого ключа соединен с одним из полюсов источника питания, один из выводов третьего ключа соединен с одним из выводов четвертого ключа, второй вывод третьего ключа соединен со вторым выводом первого ключа, нагрузку, один из выводов которой соединен с точкой соединения выводов первого и второго ключей, а другой вывод нагрузки соединен с точкой соединения выводов третьего и четвертого ключей, второй вывод второго ключа соединен со вторым выводом четвертого ключа, снабжен конденсатором, одна из обкладок которого соединена со вторым выводом второго ключа, а его вторая обкладка соединена со вторым выводом первого ключа, двумя реакторами, один вывод первого реактора соединен с одним из выводов нагрузки, один вывод второго реактора соединен с другим выводом нагрузки, вторые выводы реакторов соединены между собой и соединены с другим полюсом источника питания.
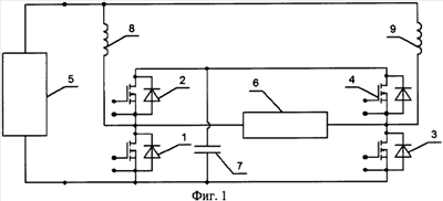
Сущность статического преобразователя поясняется чертежами, где на фиг.1 приведена принципиальная схема статического преобразователя, на фиг.2 приведены временные диаграммы токов i и напряжений и.
Статический преобразователь содержит четыре двупроводящих ключа 1, 2, 3, 4, причем один из выводов первого ключа 1 соединен с одним из выводов второго ключа 2, второй вывод первого ключа 1 соединен с одним из полюсов источника питания 5, один из выводов третьего ключа 3 соединен с одним из выводов четвертого ключа 4, второй вывод третьего ключа 3 соединен со вторым выводом первого ключа 1, нагрузку 6, один из выводов которой соединен с точкой соединения выводов первого 1 и второго 2 ключей, а другой вывод нагрузки 6 соединен с точкой соединения выводов третьего 3 и четвертого 4 ключей, второй вывод второго ключа 2 соединен со вторым выводом четвертого ключа 4. Статический преобразователь имеет конденсатор 7, одна из обкладок которого соединена со вторым выводом второго ключа 2, а его вторая обкладка соединена со вторым выводом первого ключа 1, два реактора 8 и 9, один вывод первого реактора 8 соединен с одним из выводов нагрузки 6, один вывод второго реактора 9 соединен с другим выводом нагрузки 6, вторые выводы первого 8 и второго 9 реакторов соединены между собой и соединены с другим полюсом источника питания 5.
Двупроводящие ключи 1, 2, 3, 4 могут быть выполнены в виде полевых транзисторов, шунтированных встречно-параллельными диодами.
Статический преобразователь работает следующим образом.
В установившемся режиме в момент t0 замыкаются ключи 1, 4, к нагрузке 6 прикладывается напряжение ранее заряженного конденсатора 7, ток реактора 8 увеличивается под действием напряжения источника питания 5, а ток реактора 9, замыкаясь по цепи полюс источника питания 5, реактор 9, ключ 4, конденсатор 7, другой полюс источника питания 5, уменьшается под действием разности напряжения на конденсаторе 7 и напряжения источника питания 5. Через конденсатор 7 на этом интервале, то есть на интервале импульса tu, течет ток, равный разности тока нагрузки 6 и тока реактора 9.
В момент t1 размыкается ключ 1 и замыкается ключ 2. Через ключ 2 и ранее замкнутый ключ 4 протекают токи реакторов 8 и 9, заряжая конденсатор 7 и уменьшаясь по абсолютной величине под действием разности напряжения на конденсаторе 7 и напряжения источника питания 5. На интервале t1-t2 на нагрузке 6 формируется нулевое напряжение.
В момент t2 размыкается ключ 4 и замыкается ключ 3. Нагрузка с помощью ключей 2 и 3 оказывается подключенной с другой полярностью к конденсатору 7. Ток реактора 9 увеличивается под действием напряжения источника питания 5, а ток реактора 8 уменьшается под действием разности напряжения на конденсаторе 7 и напряжения источника питания 5. Через конденсатор 7 течет ток, равный разности тока нагрузки 6 и тока реактора 8.
В момент t3 размыкается ключ 3 и замыкается ключ 4. На интервале t3-t4 замкнуты ключи 2, 4 и процессы в схеме статического преобразователя аналогичны процессам, протекающим на интервале t1-t2.
В момент t4 вновь размыкается ключ 2, замыкается ключ 1, и процессы в схеме статического преобразователя повторяются. Пренебрегая потерями в элементах схемы, полагая, что ключи переключаются мгновенно, заметив, что в установившемся режиме среднее значение напряжения на реакторах равно нулю, то есть положительная вольт-секундная площадь равна отрицательной вольт-секундной площади, можно записать для любого реактора при симметричном управлении:

где Е – напряжение питания,
UC – напряжение на конденсаторе,
tu – длительность импульса,
Т – период выходного напряжения.
Решая уравнение (1) относительно UC, получим:

где – относительная длительность импульса.
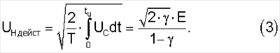
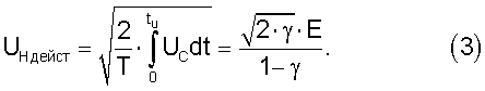
В диапазоне регулирования от 0 до 0,5 напряжение на конденсаторе, соответственно, и амплитуда напряжения на нагрузке, меняется от Е до 2·Е, а действующее значение напряжения на нагрузке равно

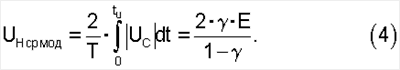
Среднее по модулю напряжение на нагрузке равно

Из (2) – (4) следует, что при =0,5 действующее и среднее по модулю напряжения на нагрузке в два раза превышают напряжение питания, в отличие от статического преобразователя, выполненного по схеме однофазного двухтактного автономного мостового инвертора напряжения, где действующее и среднее по модулю напряжения на нагрузке всегда меньше либо равны напряжению питания, то есть по сравнению со статическим преобразователем, выполненным по схеме однофазного двухтактного автономного мостового инвертора напряжения, расширяется диапазон регулирования выходного напряжения.
В диапазоне регулирования от 0 до 0,5 наибольшая мощность в постоянной нагрузке выделяется при =0,5, когда UНдейст=2·Е. При этом

где IН – ток нагрузки,
РНмак – мощность, выделяющаяся в нагрузке при =0,5.
В симметричном статическом преобразователе среднее значение потребляемого тока, обозначенное Iпот, равно удвоенному значению тока реактора, обозначенному IL, и, при отсутствии потерь в схеме, равно при =0,5

откуда IL=IH.
На интервале проводимости ключей 1 и 3 через них замыкается ток, равный сумме тока нагрузки и тока реактора, следовательно, при =0,5 ток этих ключей на интервале проводимости равен потребляемому току. Значение токов ключей 2 и 4 в этом случае равно нулю. Таким образом, в контур силового тока при максимальной мощности в нагрузке, то есть при =0,5, включен один силовой ключ, потери проводимости которого и определяют потери в ключевых элементах схемы. В отличие от схемы статического преобразователя в схеме статического преобразователя, выполненного по схеме однофазного двухтактного автономного мостового инвертора напряжения, в контур силового тока всегда включены последовательно два ключа, что определяет в два раза большие потери проводимости в вентильном комплекте статического преобразователя, выполненного по схеме однофазного двухтактного автономного мостового инвертора напряжения, при одинаковых параметрах ключей, и, следовательно, большие потери в преобразователе.
Ток, потребляемый статическим преобразователем, является непрерывным, в отличие от статического преобразователя, выполненного по схеме однофазного двухтактного автономного мостового инвертора напряжения, и при достаточной величине индуктивности реакторов пульсации этого тока могут быть минимальными. При максимальной мощности в нагрузке, то есть при =0,5, ток, потребляемый статическим преобразователем, не пульсирует, коэффициент пульсаций равен нулю. Непрерывность тока, потребляемого статическим преобразователем, позволяет уменьшить помехи, наводимые преобразователем в сети питания.
Использование статического преобразователя позволяет снизить потери в преобразователе, увеличить диапазон регулирования выходного напряжения, снизить помехи, наводимые преобразователем в сети питания.
Формула изобретения
Статический преобразователь, содержащий четыре двупроводящих ключа, причем один из выводов первого ключа соединен с одним из выводов второго ключа, второй вывод первого ключа соединен с одним из полюсов источника питания, один из выводов третьего ключа соединен с одним из выводов четвертого ключа, второй вывод третьего ключа соединен со вторым выводом первого ключа, нагрузку, один из выводов которой соединен с точкой соединения выводов первого и второго ключей, а другой вывод нагрузки соединен с точкой соединения выводов третьего и четвертого ключей, второй вывод второго ключа соединен со вторым выводом четвертого ключа, отличающийся тем, что он снабжен конденсатором, одна из обкладок которого соединена со вторым выводом второго ключа, а его вторая обкладка соединена со вторым выводом первого ключа, двумя реакторами, один вывод первого реактора соединен с одним из выводов нагрузки, один вывод второго реактора соединен с другим выводом нагрузки, вторые выводы реакторов соединены между собой и соединены с другим полюсом источника питания.
РИСУНКИ
|
|