|
|
(21), (22) Заявка: 2006141214/09, 21.11.2006
(24) Дата начала отсчета срока действия патента:
21.11.2006
(46) Опубликовано: 10.09.2008
(56) Список документов, цитированных в отчете о поиске:
ХЛУСОВ В.А. Совместная оценка координатных и поляризационных параметров радиолокационных объектов. Доклады. – Томск.: изд. ТУСУР, 2004, с.67-79. RU 2079858 С1, 20.05.1997. RU 2107926 С1, 27.03.1998. US 4243935, 06.01.1981. US 4238746, 09.12.1980. US 3633117, 04.01.1977.
Адрес для переписки:
634050, г.Томск, пр. Ленина, 40, ТУСУР, Патентно-информационный отдел
|
(72) Автор(ы):
Бабур Галина Петровна (RU)
(73) Патентообладатель(и):
ГОУ ВПО Томский государственный университет систем управления и радиоэлектроники (ТУСУР) (RU)
|
(54) ФИЛЬТР ПОЛЯРИЗАЦИОННОЙ РЛС ДЛЯ ПРИЕМА ФАЗОМАНИПУЛИРОВАННЫХ СИГНАЛОВ
(57) Реферат:
Изобретение относится к радиотехнике и может быть использовано в качестве адаптивного фильтра для расширения динамического диапазона амплитуд полезных принимаемых сигналов поляризационной РЛС, использующей при формировании зондирующего сигнала фазоманипулированные последовательности. Сущность изобретения состоит в том, что фильтр поляризационной радиолокационной станции для приема фазоманипулированных сигналов, отраженных от пространственно-распределенных радиолокационных объектов, содержит соединенные определенным образом между собой четыре электрических фильтра, два идентичных блока адаптивной обработки сигналов, при этом первый блок адаптивной обработки содержит первое и второе вычислительно-управляющие устройства и первый-четвертый адаптивные фильтры, второй блок адаптивной обработки содержит третье и четвертое вычислительно-управляющие устройства и пятый-восьмой адаптивные фильтры. Достигаемый технический результат изобретения – расширение динамического диапазона амплитуд полезных принимаемых сигналов в поляризационной РЛС за счет снижения уровня боковых лепестков сжатого сигнала. 2 ил.
Изобретение относится к радиотехнике и может быть использовано в качестве адаптивного фильтра для расширения динамического диапазона амплитуд полезных принимаемых сигналов поляризационной РЛС, использующей при формировании зондирующего сигнала фазоманипулированные последовательности.
Известен фильтр адаптивного сжатия импульсов, используемый в одноканальной РЛС, позволяющий получить более низкий по сравнению с согласованным фильтром уровень боковых лепестков сжатого сигнала [1]. Недостатком этого фильтра является то, что он не снижает уровень боковых лепестков сжатого сигнала в поляризационной РЛС.
Наиболее близким по технической сущности к заявляемому фильтру является согласованный матричный фильтр, содержащий четыре электрических фильтра, первый и второй из которых согласованы с первой зондирующей фазоманипулированной последовательностью, используемой при формировании сигнала горизонтальной поляризации, а третий и четвертый – со второй зондирующей фазоманипулированной последовательностью, используемой при формировании сигнала вертикальной поляризации, входы первого и третьего электрических фильтров соединены между собой и образуют первый вход устройства для сигнала горизонтальной поляризации, входы второго и четвертого электрических фильтров соединены между собой и образуют второй вход устройства для сигнала вертикальной поляризации [2]. Недостатком фильтра-прототипа является то, что при радиолокационном зондировании боковые лепестки сжатого сигнала от отражающих элементов распределенного объекта с большой ЭПР могут маскировать сигналы от близкорасположенных отражающих элементов с малой ЭПР, ограничивая динамический диапазон амплитуд принимаемых поляризационной РЛС полезных сигналов. Это объясняется следующим. За длительность сжатого фазоманипулированного сигнала принимается ширина основного пика. Однако за его пределами наблюдаются побочные максимумы (боковые лепестки). Чем выше уровень боковых лепестков сжатого сигнала относительно главного максимума, тем выше порог определения полезного сигнала и, следовательно, тем меньше динамический диапазон полезных сигналов РЛС. В случае поляризационной РЛС динамический диапазон дополнительно ограничивают и боковые лепестки, обусловленные взаимной корреляцией используемых фазоманипулированных последовательностей.
Технический результат, на достижение которого направлено предлагаемое решение, – расширение динамического диапазона амплитуд полезных принимаемых сигналов в поляризационной РЛС за счет снижения уровня боковых лепестков сжатого сигнала.
Это достигается тем, что в адаптивный фильтр поляризационной радиолокационной станции для приема фазоманипулированных сигналов, содержащий четыре электрических фильтра, первый и второй из которых согласованы с первой зондирующей фазоманипулированной последовательностью, используемой при формировании сигнала горизонтальной поляризации, а третий и четвертый – со второй зондирующей фазоманипулированной последовательностью, используемой при формировании сигнала вертикальной поляризации, входы первого и третьего электрических фильтров соединены между собой и образуют первый вход устройства для сигнала горизонтальной поляризации, входы второго и четвертого электрических фильтров соединены между собой и образуют второй вход устройства для сигнала вертикальной поляризации, дополнительно введены два идентичных блока адаптивной обработки сигналов, первый блок адаптивной обработки содержит первое и второе вычислительно-управляющие устройства, каждое из которых имеет два входа и два выхода, и первый-четвертый адаптивные фильтры, каждый из которых имеет вход сигнала горизонтальной поляризации, вход управляющего сигнала и один выход, второй блок адаптивной обработки содержит третье и четвертое вычислительно-управляющие устройства, каждое из которых имеет два входа и два выхода, и пятый-восьмой адаптивные фильтры, каждый из которых имеет вход сигнала вертикальной поляризации, вход управляющего сигнала и один выход, выходы первого и третьего электрических фильтров соединены соответственно с первым и вторым входом первого вычислительно-управляющего устройства, входы второго вычислительно-управляющего устройства первого блока адаптивной обработки соединены с выходами первого и второго адаптивных фильтров, выходы первого и второго вычислительно-управляющих устройств первого блока адаптивной обработки соединены соответственно с управляющими входами первого и второго, третьего и четвертого адаптивных фильтров, а сигнальные входы первого и второго, третьего и четвертого адаптивных фильтров соединены с первым входом устройства, при этом выход третьего и четвертого адаптивных фильтров образуют первый и второй выходы устройства, выходы второго и четвертого электрических фильтров соединены соответственно с первым и вторым входом третьего вычислительно-управляющего устройства, входы четвертого вычислительно-управляющего устройства второго блока адаптивной обработки соединены с выходами пятого и шестого адаптивных фильтров, выходы третьего и четвертого вычислительно-управляющих устройств второго блока адаптивной обработки соединены соответственно с управляющими входами пятого и шестого, седьмого и восьмого адаптивных фильтров, а сигнальные входы пятого и шестого, седьмого и восьмого адаптивных фильтров соединены со вторым входом устройства, при этом выход седьмого и восьмого фильтров образуют третий и четвертый выходы устройства.
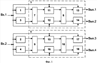
На фиг.1 изображена функциональная схема адаптивного фильтра поляризационной РЛС для приема фазоманипулированных сигналов. На фиг.2 представлены результаты работы адаптивного фильтра для поляризационной РЛС.
На фиг.1 обозначено: 1 и 2 – электрические фильтры, согласованные с первой зондирующей фазоманипулированной последовательностью, используемой при формировании сигнала горизонтальной поляризации; 3 и 4 – электрические фильтры, согласованные со второй зондирующей фазоманипулированной последовательностью, используемой при формировании сигнала вертикальной поляризации; 5 и 6 – первый и второй блоки адаптивной обработки сигналов; 7-10 – первое-четвертое вычислительно-управляющие устройства, выполняющие одинаковые вычислительные операции; 11-18 – первый-восьмой адаптивные фильтры, характеристики каждого из которых изменяются во времени при каждом отсчете входного сигнала.
Фильтр поляризационной РЛС работает следующим образом. На входы адаптивного фильтра, содержащего два входа (Вх.1 и Вх.2), поступают соответственно сигналы горизонтальной и вертикальной поляризации. Обработка сигналов производится последовательно и включает в себя три этапа. На первом этапе происходит сжатие входных сигналов первым-четвертым электрическими фильтрами. В результате существенно увеличивается отношение сигналов к шуму, создаваемому в предыдущих приемно-усилительных каскадах приемника поляризационной РЛС. Однако сжатые сигналы имеют боковые лепестки, ограничивающие динамический диапазон амплитуд полезных сигналов поляризационной РЛС. Сигналы с выходов первого-четвертого электрических фильтров используются для расчета коэффициентов (временных характеристик) адаптивных фильтров, реализующих второй этап обработки входных сигналов и , который осуществляется при помощи первого и третьего вычислительно-управляющих устройств 7 и 9 и адаптивных фильтров 11, 12, 15 и 16, входящих в состав блоков адаптивной обработки сигналов 5 и 6. С выходов вычислительно-управляющих устройств 7 и 9 сигналы, отображающие коэффициенты адаптивных фильтров 11, 12, 15 и 16, одновременно поступают на их управляющие входы. Кроме максимизации отношения сигнал/шум фильтрами 11, 12, 15 и 16 в них осуществляется и минимизация уровня боковых лепестков сжатого сигнала. На выходах адаптивных фильтров 11, 12, 15 и 16 появляются сигналы, являющиеся скорректированными оценками элементов матрицы рассеяния радиолокационного объекта.
Сигналы с выходов адаптивных фильтров 11, 12, 15 и 16 используются для расчета коэффициентов (временных характеристик) адаптивных фильтров 13, 14, 17 и 18, реализующих третий этап обработки входных сигналов и . Третий этап обработки сигналов осуществляется при помощи второго и четвертого вычислительно-управляющих устройств 8 и 10 и адаптивных фильтров 13, 14, 17 и 18, входящих в состав блоков адаптивной обработки сигналов 5 и 6. С выходов вычислительно-управляющих устройств 8 и 10 сигналы, отображающие коэффициенты адаптивных фильтров, одновременно поступают на управляющие входы адаптивных фильтров 13, 14, 17 и 18. Фильтрами 13, 14, 17 и 18 осуществляется минимизация уровня боковых лепестков сжатого сигнала. На выходах адаптивных фильтров 13, 14, 17 и 18 появляются сигналы, являющиеся скорректированными оценками элементов матрицы рассеяния радиолокационного объекта.
Описание алгоритма, реализуемого в предлагаемом адаптивном фильтре, приводится ниже.
Принимаемый сигнал разделяется в антенном тракте РЛС на сигналы горизонтальной и вертикальной поляризации, которые поступают на входы устройства Вх.1 и Вх.2.
Принимаемый сигнал можно записать как:
,
где и – две ортогональные фазоманипулированные последовательности, состоящие из N отсчетов каждая и используемые при формировании сигналов соответственно горизонтальной и вертикальной поляризаций;
, – отсчеты аддитивного белого шума, наложенные на сигналы соответственно горизонтальной и вертикальной поляризаций;
– оператор транспонирования;
l – номера отсчетов, l=1, 2, ….
Каждая выборка принятого сигнала содержит два вектора по N отсчетов каждый, выделяемых из принимаемого сигнала;
, .
Матрица представляет собой совокупность матриц рассеяния для 2N-1 элементарных отражающих элементов в составе распределенного радиолокационного объекта:
.
Первый этап обработки входного сигнала осуществляется при его прохождении через фильтр-прототип, который является согласованным фильтром. Поэтому его импульсная характеристика полностью определяется используемыми фазоманипулированными последовательностями u1 и u2. Сигнал на выходе фильтра-прототипа (четырех электрических фильтров 1-4) в матричной форме может быть записан следующим образом:

или
,
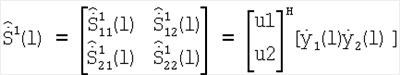
где – оценка матрицы рассеяния распределенного радиолокационного объекта на дальности, соответствующей текущему l-му отсчету принимаемого сигнала; единица в верхнем индексе означает первый этап обработки;
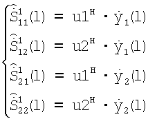
, , и – оценки элементов матрицы рассеяния , получаемые на выходе соответственно первого, второго, третьего и четвертого электрических фильтров;
– оператор сопряженного транспонирования.
Вторым этапом обработки входных сигналов является их сжатие первым и вторым, пятым и шестым адаптивными фильтрами 11 и 12, 15 и 16. Вычисление коэффициентов адаптивных фильтров производится соответственно первым и третьим вычислительно-управляющими устройствами 7 и 9 по следующим формулам:
,
где w112(l) и w122(l), w212(l) и w222(l) – импульсные характеристики первого и второго, пятого и шестого адаптивных фильтров в момент времени, соответствующий отсчету l; нижний индекс означает номер этапа обработки;

, , и – сигналы с выходов первого и второго, третьего и четвертого электрических фильтров.
Матрицы C12(l) и С22(l) определяются как:
,
где u1n состоит из элементов сигнала u1, смещенного на n отсчетов и заполненного нулями остатка. Например, для n=2 имеем , а для n=-2 – . Также и u2n состоит из элементов сигнала u2, смещенного на n отсчетов и заполненного нулями остатка; -N
Сигналы на выходе первого и второго, пятого и шестого адаптивных фильтров записываются в виде:
.
Третьим этапом обработки входных сигналов является их сжатие третьим и четвертым, седьмым и восьмым адаптивными фильтрами 13 и 14, 17 и 18. Вычисление коэффициентов адаптивных фильтров производится соответственно вторым и четвертым вычислительно-управляющими устройствами 8 и 10 по следующим формулам:
,
где w113(l) и w123(l), w213(l) и w223(l) – импульсные характеристики третьего и четвертого, седьмого и восьмого адаптивных фильтров в момент времени l; нижний индекс означает номер этапа обработки (итерации);

, , и – сигналы с выходов соответственно первого и второго, пятого и шестого адаптивных фильтров;
Матрицы С13(l) и С23(l) определяются как:
.
Сигналы на выходах третьего и четвертого, седьмого и восьмого адаптивных фильтров записываются в виде:
.
Сигналы с выходов третьего и четвертого, седьмого и восьмого адаптивных фильтров , , и являются выходными сигналами, присутствующими на выходах устройства Вых.1, Вых.2, Вых.3 и Вых.4.
На фиг.2 представлены результаты математического моделирования работы предложенного фильтра. Радиолокационный объект описывался четырьмя отражающими элементами. Векторный зондирующий сигнал описывался двумя ортогональными М-последовательностями базой N=31. Матрицы рассеяния точечных отражателей задавались случайным образом в комплексном виде. Сигнал дополнительно содержал аддитивный белый шум с нулевым математическим ожиданием и среднеквадратическим отклонением – 40 дБ по отношению к уровню самого сильного сигнала. После сжатия сигнала среднеквадратическое отклонение белого шума, нормированного к уровню самого сильного сигнала, составляло – 55 дБ.
Результаты моделирования представлены в виде нормированных графиков абсолютного значения сигналов на выходах фильтров 1, 3, 2 и 4, фильтров 11, 12, 15 и 16 и фильтров 13, 14, 17 и 18, входящих в состав фильтра поляризационной РЛС (после первого, второго и третьего этапов обработки соответственно).
На фиг.2а (сверху вниз) представлены сигналы с выходов электрических фильтров 1, 3, 2 и 4, на фиг.2б – сигналы с выходов адаптивных фильтров 11, 12, 15 и 16, на фиг.2в – сигналы с выходов адаптивных фильтров 13, 14, 17 и 18.
По оси абсцисс отложены отсчеты, соответствующие дальности до радиолокационного объекта (соответствующие задержке принимаемого сигнала относительно излученного) l=t/ , где t – текущее время,  – интервал дискретизации сигнала. За начало отсчета (t=0) принимается начало излучения зондирующего сигнала. Математическое моделирование работы предлагаемого фильтра осуществлялось в программе MatLAB.
Сравнение результатов работы фильтра-прототипа (фиг.2а) и предлагаемого фильтра (фиг.2в) свидетельствует о существенном подавлении боковых лепестков сжатых сигналов и, как следствие этого, о расширении динамического диапазона амплитуд полезных принимаемых сигналов в поляризационной РЛС. Для используемой модели радиолокационного объекта расширение динамического диапазона составило 25 дБ.
Источники информации
1. S.D.Blunt and K.Gerlach, “Adaptive pulse compression,” IEEE 2004 National Radar Conf., p.271-276, May 2004.
2. Хлусов В.А. Совместная оценка координатных и поляризационных параметров радиолокационных объектов. Сибирский поляризационный семинар СИБПОЛ 2004. 7-9 сентября 2004 г. Сургут, Россия. Доклады. – Томск: Изд-во ТУСУР, 2004. ISBN 5-86889-201-1. С.67-79 – прототип.
Формула изобретения
Фильтр поляризационной радиолокационной станции для приема фазоманипулированных сигналов, содержащий четыре электрических фильтра, первый и второй из которых согласованы с первой зондирующей фазоманипулированной последовательностью, используемой при формировании сигнала горизонтальной поляризации, а третий и четвертый – со второй зондирующей фазоманипулированной последовательностью, используемой при формировании сигнала вертикальной поляризации, входы первого и третьего электрических фильтров соединены между собой и образуют первый вход устройства для сигнала горизонтальной поляризации, входы второго и четвертого электрических фильтров соединены между собой и образуют второй вход устройства для сигнала вертикальной поляризации, отличающийся тем, что в него дополнительно введены два идентичных блока адаптивной обработки сигналов, первый блок адаптивной обработки содержит первый – четвертый адаптивные фильтры, каждый из которых имеет вход сигнала горизонтальной поляризации, вход управляющего сигнала и один выход, и предназначенные для расчета коэффициентов адаптивных фильтров первое и второе вычислительно-управляющие устройства, каждое из которых имеет два входа и два выхода, второй блок адаптивной обработки содержит пятый – восьмой адаптивные фильтры, каждый из которых имеет вход сигнала вертикальной поляризации, вход управляющего сигнала и один выход, и предназначенные для расчета коэффициентов адаптивных фильтров третье и четвертое вычислительно-управляющие устройства, каждое из которых имеет два входа и два выхода, выходы первого и третьего электрических фильтров соединены соответственно с первым и вторым входами первого вычислительно-управляющего устройства, входы второго вычислительно-управляющего устройства первого блока адаптивной обработки соединены с выходами первого и второго адаптивных фильтров, выходы первого и второго вычислительно-управляющих устройств первого блока адаптивной обработки соединены соответственно с управляющими входами первого и второго, третьего и четвертого адаптивных фильтров, при этом выход третьего и четвертого адаптивных фильтров образуют первый и второй выходы устройства, выходы второго и четвертого электрических фильтров соединены соответственно с первым и вторым входами третьего вычислительно-управляющего устройства, входы четвертого вычислительно-управляющего устройства второго блока адаптивной обработки соединены с выходами пятого и шестого адаптивных фильтров, выходы третьего и четвертого вычислительно-управляющих устройств второго блока адаптивной обработки соединены соответственно с управляющими входами пятого и шестого, седьмого и восьмого адаптивных фильтров, при этом выход седьмого и восьмого фильтров образуют третий и четвертый выходы устройства.
РИСУНКИ
|
|