Изобретение относится к методам измерения дальности при помощи измерения времени прохождения радиочастотного сигнала. Измерения производят как в точке отсчета, так и на объекте, дальность до которого измеряют. Единицы измерения времени в точке отсчета и на объекте незначительно отличаются друг от друга, что обеспечивает эффект нониуса, позволяющий за счет проведения повторных измерений и последующей статистической обработки на основе дискретной фильтрации Калмана снизить погрешность измерения значительно ниже единицы измерения. Число повторных измерений определяется заданной погрешностью измерения дальности. Достигаемым техническим результатом является повышение точности измерения дальности и обеспечение возможности измерения коротких расстояний. 1 ил.
Область техники, к которой относится изобретение
Изобретение относится к методам измерения дальности, основанным на измерении времени прохождения электромагнитных волн.
Уровень техники
Известен способ измерения расстояния с применением радиочастотных сигналов, основанный на измерении времени прохождения радиочастотного сигнала от точки отсчета до объекта и обратно (европейский патент № ЕР 0098160, кл. G01S 13/78). Недостатком известного способа является невозможность измерения коротких расстояний. Так, при реализации способа на современных электронных компонентах с применением генератора измерительных импульсов, работающего на частоте 25 МГц, период измерительных импульсов составит 40 нс, а минимальная дальность, измеряемая с погрешностью 10%, составит 120 м. Другим недостатком известного способа является отсутствие мер снижения погрешностей измерения.
Также известен способ измерения дальности, основанный на измерении времени распространения радиочастотного сигнала от точки отсчета до объекта и обратно (патент США №5499199, кл. G01S 13/10). За счет проведения повторных посылок радиочастотного сигнала известный способ позволяет уменьшить ошибку измерения длинных расстояний методом усреднения результатов повторных измерений. Недостатком известного способа является невозможность измерения коротких расстояний.
Наиболее близким к заявляемому изобретению является способ измерения дальности, основанный на измерении времени распространения радиочастотного сигнала от точки отсчета до объекта и обратно (патент Японии №6331733, кл. G01С 3/06). За счет проведения повторных посылок радиочастотного сигнала и последующих вычислений известный способ позволяет минимизировать ошибку измерения длинных расстояний методом наименьших квадратов. Недостатком известного способа является невозможность измерения коротких расстояний.
Раскрытие изобретения
Техническим результатом заявляемого способа измерения дальности является: а) обеспечение возможности измерения коротких расстояний; б) обеспечение возможности повышения точности измерения дальности.
Указанный технический результат достигается тем, что в способе измерения дальности, заключающемся в том, что измеряют время прохождения сигнала от точки отсчета до объекта и обратно, причем измерения проводят многократно в точке отсчета и на объекте, а количество необходимых измерений определяют исходя из требуемой точности, для измерения времени в точке отсчета в качестве единицы измерения используют длительность первого эталонного процесса, например период следования импульсов, производимых первым источником импульсов, а для измерения времени на объекте используют длительность второго эталонного процесса, например период следования импульсов, производимых вторым источником импульсов, отношение длительностей первого и второго эталонного процессов приблизительно (но не точно) равно единице. Существование разности длительностей первого и второго эталонного процессов обеспечивает возможность итерационного уточнения результатов измерения дальности за счет проведения повторных измерений времени прохождения сигнала от точки отсчета до объекта и обратно и последующих вычислений, основанных на дискретной фильтрации Калмана.
Результатами измерений, на основе которых строится оценка дальности, являются количества тактов, сгенерированные эталоном частоты на моменты приема и отправки сигналов.
Измерительной сессией называется процесс обмена тремя следующими сигналами между точкой отсчета и объектом;
1) Инициирующий сигнал отправляют из точки отсчета в адрес объекта;
2) Ответный сигнал отправляют от объекта в точку отсчета по результатам распознавания инициирующего сигнала;
3) Информационное сообщение отправляют от объекта в точку отсчета, по результатам приема инициирующего и отправки ответного сигналов; информационное сообщение содержит число, равное промежутку времени от получения инициирующего сигнала объектом до отправки ответного сигнала в единицах длительности второго эталонного процесса.
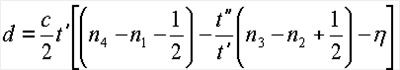
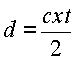
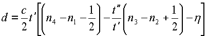
Измеряемая дальность между точкой отсчета и объектом d связана с моментами n1…n4 следующим соотношением:
, где с – скорость света в вакууме.
Разрешая данное равенство относительно дальности, получаем соотношение:

где
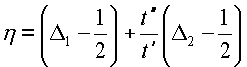
– случайная ошибка измерения:

Как следует из характера распределений
1 и
2, а также из того обстоятельства, что отношение длительностей первого и второго эталонных процессов t’ и t” приблизительно равно единице, случайная величина
будет обладать распределением, близким к треугольному распределению Симпсона.
При заданной дисперсии результатов измерения, полученной после обработки первого измерения D1, потребная длительность эталонного процесса t составит:
,
, где D
– дисперсия случайной ошибки измерения
.
Расчеты показывают, что для обеспечения погрешности не более ±1 м с первого измерения необходимо располагать эталонным процессом длительностью не более 7 нс.
Снижение погрешности измерения в предлагаемом изобретении обеспечивается за счет статистической обработки результатов измерений нескольких сессий при помощи дискретного фильтра Калмана.
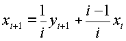
Дискретный фильтр Калмана реализует рекурсивную процедуру уточнения первоначально измеренного значения дальности d1 путем итерационных вычислений по формуле:
, 
y
n4-n1-(n3-n2)-1
,
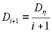
где Di+1 – дисперсия xi+1
, t
t’
t”
xi+1 – оцениваемая величина, пропорциональная дальности (ее использование упрощает способ расчета), i=1, 2, 3, …, (N-1);
yi+1 – результат измерения времени прохождения радиосигнала от точки отсчета до объекта и обратно, выраженный в единицах длительности эталонного процесса, полученный в (i+1)-й измерительной сессии.
Число измерительных сессий N определяется исходя из требуемой дисперсии измерения дальности DN, достижимой в результате обработки этого количества измерительных сессий

D
1/6, что соответствует дисперсии распределения Симпсона,
откуда: 
Сопоставительный анализ прототипа и заявляемого изобретения показывает, что заявляемый способ измерения дальности отличается тем, что время прохождения сигнала от точки отсчета до объекта и обратно измеряют как разность длительностей первого и второго измеряемых процессов, причем в точке отсчета измеряют длительность первого измеряемого процесса, который включает отправку инициирующего сигнала из точки отсчета, прием инициирующего сигнала на объекте, распознавание инициирующего сигнала на объекте, отправку ответного сигнала от объекта в точку отсчета и прием ответного сигнала в точке отсчета, причем измерения длительности первого измеряемого процесса производят в единицах длительности первого эталонного процесса, на объекте измеряют длительность второго измеряемого процесса, который включает прием инициирующего сигнала на объекте, распознавание инициирующего сигнала на объекте, отправку ответного сигнала от объекта в точку отсчета, причем измерения длительности второго измеряемого процесса производят в единицах длительности второго эталонного процесса, результаты измерения длительности второго измеряемого процесса передают от объекта в точку отсчета, длительности первого и второго эталонных процессов фиксированы, а их отношение примерно равно единице, время прохождения контрольного сигнала от точки отсчета до объекта и обратно уточняют при помощи повторных измерений длительностей первого и второго измеряемых процессов.
Способ измерения дальности включает следующие операции.
1) из точки отсчета в адрес объекта отправляют инициирующий сигнал;
2) по результатам распознавания инициирующего сигнала отправляют ответный сигнал от объекта в точку отсчета;
3) на объекте вычисляют длительность промежутка времени от получения объектом инициирующего сигнала до отправки им ответного сигнала в единицах длительности второго эталонного процесса;
4) результат вычислений длительности промежутка времени от получения объектом инициирующего сигнала до отправки им ответного сигнала в виде числа отправляют в точку отсчета;
5) в точке отсчета вычисляют время прохождения радиочастотного сигнала от точки отсчета до объекта и обратно как разность длительностей первого и второго измеряемых процессов;
6) повторяют пп.1…5 и уточняют в точке отсчета время прохождения радиочастотного сигнала от точки отсчета до объекта и обратно до тех пор, пока будет достигнута требуемая точность измерения;
7) в точке отсчета на основании измеренного времени прохождения радиочастотного сигнала от точки отсчета до объекта и обратно рассчитывают дальность между точкой отсчета и объектом.
На чертеже показана временная диаграмма измерительной сессии, где:
T’ – дискретная шкала времени в единицах длительности первого эталонного процесса t’;
T” – дискретная шкала времени в единицах длительности второго эталонного процесса t”;
dz – смещение нуля шкалы Т’ относительно нуля шкалы T”, выраженное в единицах длительности первого эталонного процесса t’;
d – измеряемая дальность между точкой отсчета и объектом;
n1 – момент отправки инициирующего сигнала;
n2 – момент распознавания инициирующего сигнала;
n3 – момент отправки ответного сигнала;
n4 – момент распознавания ответного сигнала;
1,
2 – времена ожидания завершения текущего первого и второго эталонных процессов, измеренные в единицах длительности первого и второго эталонных процессов t’ и t” соответственно.
Осуществление изобретения
Все необходимые для осуществления заявляемого способа приемопередающие и вычислительные устройства известны из уровня техники и используются в различных отраслях промышленности.
В частности, прием и передача радиосигнала, а также измерение длительностей первого и второго измеряемых процессов могут быть выполнены на основе одноплатного устройства MeshBean компании Мешнетикс, которое предназначено для использования в качестве узла беспроводной сенсорной сети. Одно устройство должно размещаться в точке отсчета, а другое – на объекте. Функции приема и передачи радиосигнала в устройстве MeshBean выполняет интегральная схема СС2420 компании ChipCon, которая представляет собой приемопередатчик с диапазоном рабочих частот 2,4 ГГц, с внешней 2,4-ГГц антенной Comata компании GigaAnt. Автоматическую работу устройства MeshBean и измерение длительностей первого и второго измеряемых процессов обеспечивает интегральная схема микроконтроллера Atmega 128L, выпускаемая компанией Atmel. Источником эталонных процессов в устройстве MeshBean является кварцевый генератор тактовых импульсов частотой 24 МГц. Из-за технологического разброса параметров два разных образца устройства MeshBean содержат источники эталонных процессов с несколько отличающимися длительностями (на практике – доли процента). Для взаимодействия с компьютером устройство MeshBean содержит последовательный СОМ порт.
Устройство, размещенное в точке отсчета, соединено с персональным компьютером для передачи результатов измерений. Статистическая обработка результатов измерений ведется на персональном компьютере с помощью типового программного обеспечения, например MATLAB компании MathWorks, Inc.
Способ измерения дальности, заключающийся в том, что измеряют время прохождения радиосигнала от точки отсчета до объекта и обратно, причем измерения проводят многократно в точке отсчета и на объекте, количество необходимых измерений определяют исходя из требуемой точности, отличающийся тем, что время прохождения радиосигнала от точки отсчета до объекта и обратно измеряют как разность длительностей первого и второго измеряемых процессов, причем в точке отсчета измеряют длительность первого измеряемого процесса, который включает отправку инициирующего радиосигнала из точки отсчета на объект, прием и распознавание инициирующего радиосигнала на объекте, отправку ответного радиосигнала от объекта в точку отсчета и прием ответного радиосигнала в точке отсчета, причем измерение длительности первого измеряемого процесса производят в единицах длительности периода следования эталонных импульсов первого эталонного процесса, источником которых является первый источник эталонных импульсов, на объекте измеряют длительность второго измеряемого процесса, который включает прием и распознавание инициирующего радиосигнала на объекте, отправку ответного радиосигнала от объекта в точку отсчета, причем измерение длительности второго измеряемого процесса производят в единицах длительности периода следования эталонных импульсов второго эталонного процесса, источником которых является второй источник эталонных импульсов, при этом длительности первого и второго эталонных процессов фиксированы, а их отношение примерно равно единице, результаты измерения длительности второго измеряемого процесса передают от объекта в точку отсчета, в точке отсчета на основании измеренной разности длительностей первого и второго измеряемых процессов рассчитывают дальность между точкой отсчета и объектом, при этом снижение погрешности измерения дальности, исходя из требуемой точности измерений, обеспечивают при помощи повторных измерений времени прохождения радиосигнала от точки отсчета до объекта и обратно в первом и втором измерительных процессах на основе дискретной фильтрации Калмана, реализующей рекурсивную процедуру уточнения первоначально измеренной дальности путем итерационных вычислений.