Патент на изобретение №2333498
|
||||||||||||||||||||||||||
(54) СПОСОБ ГРАДУИРОВКИ ИЗМЕРИТЕЛЯ СКОРОСТИ ПОТОКА
(57) Реферат:
Изобретение относится к измерительной технике и может быть использовано при градуировке и поверке измерителей скорости потока жидкостей или газов. Способ заключается в перемещении датчика в потоке и вне потока и фиксации значения его выходного сигнала в обоих положениях. В качестве датчика используют многокомпонентный датчик скорости обтекания потоком, в геометрическом центре которого размещен многокомпонентный датчик ускорения собственных движений. Датчики располагают в потоке рабочей среды и перемещают их поступательно-возвратно по прямой линии без изменения ориентации осей. При этом фиксируют по каждой из координат ряд значений выходного сигнала датчика скорости обтекания потоком и ряд значений выходного сигнала датчика ускорения собственных движений. Далее располагают датчики в рабочей среде при отсутствии потока, обеспечивают их неподвижность и фиксируют значения выходного сигнала датчика скорости обтекания потоком. После этого определяют коэффициенты градуировочной характеристики по полученной совокупности значений. Технический результат заключается в повышение достоверности и точности градуировки и поверки.
Изобретение относится к измерительной технике и предназначено для использования при градуировке и поверке измерителей скорости потока жидкостей или газов, например, переносных измерителей скорости течения вод или скорости ветра в гидрометеорологии. Известны способы градуировки измерителей скорости потока на специальных аэро- или гидродинамических стендах, где скорость потока задается и контролируется образцовым измерительным средством и коэффициенты градуировочной характеристики аттестуемого измерителя определяются по показаниям измерителя и образцового средства в рабочем диапазоне скоростей потока. Общим недостатком этих способов градуировки измерителей скорости потока, характеристики которых зависят от физических параметров среды, является ограниченная точность из-за того, что физические параметры среды (температура, теплоемкость, теплопроводность, плотность, кинематическая вязкость, электропроводность, скорость звука) и характеристики потоков (спектр турбулентности и его пространственная анизотропия) в стенде и в реальной среде почти всегда различны. Например, это характерно для гидродинамических, термоанемометрических и акустических измерителей, содержащих датчики скорости обтекания потоком [1]. Известен способ градуировки датчика термоанемометра [2] в организованном потоке газа с известным расходом, состоящий в том, что при различных значениях расхода перемещают датчик скорости обтекания поперек потока и синхронно с измерением выходного сигнала датчика измеряют значение поперечной координаты, по полученным значениям выходного сигнала датчика при известных расходах, в том числе при отсутствии потока, и положениях датчика с учетом его геометрических и физических характеристик определяют градуировочную характеристику. Этот способ принят в качестве прототипа по совокупности признаков, т.к. содержит, в частности, признак, в наибольшей степени по сравнению с признаками других аналогов, влияющий на достижение технического результата изобретения – перемещение датчика в потоке при измерениях, по i-й координате, его выходного сигнала. Общими признаками для прототипа и заявленного способа градуировки с принятой градуировочной характеристикой по значениям выходного сигнала используемого в измерителе n-компонентного датчика скорости обтекания потоком по i-й координате являются перемещение датчика в потоке, размещение датчика вне потока и фиксирование в обоих случаях значений его выходного сигнала, а также определение коэффициентов градуировочной характеристики. Недостатком прототипа является ограниченная точность вследствие того, что операции способа проводят в искусственно созданном потоке с известными расходами, а не в реальной рабочей среде, в которой осуществляют эксплуатацию измерителя. Кроме того, при градуировке измерителей скорости потока на стенде имеются сложности контроля скорости перемещения измерителя. В основе изобретения лежит решение задачи создания способа градуировки измерителя скорости потока, в котором путем совместного использования датчика скорости обтекания потоком и датчика ускорения собственных движений, а также за счет особенностей операций определения коэффициентов конкретных градуировочных функций обеспечивается технический результат изобретения – повышение достоверности определения коэффициентов градуировочной характеристики, что повышает точность способа градуировки. Поставленная задача решается тем, что в способе градуировки измерителя скорости потока с градуировочной характеристикой по значениям Ni выходного сигнала по i-й координате используемого в измерителе n-компонентного датчика скорости обтекания потоком при значениях составляющей Vi скорости обтекания, заключающемся в перемещении датчика в потоке и фиксации значений его выходного сигнала, фиксации значений выходного сигнала датчика вне потока, определении коэффициентов градуировочной характеристики, новым является то, что используют для градуировочной характеристики вида
где где
и определяют коэффициенты аi0
или, при отсутствии шумов и градуировочной характеристике вида
определяют коэффициенты aij для
где коэффициенты аij для и определяют коэффициенты аia или при отсутствии шумов и градуировочной характеристике вида
определяют коэффициенты к и aij для j=1 по выражениям
и определяют коэффициенты аi0
Сущность способа состоит в следующем. Рассматриваем измерители вектора или модуля скорости потока, градуировочные характеристики которых по i-й координате в приборной системе координат с достаточной точностью аппроксимируются полиномом (1):
где Ni – показания измерителя по i-й координате при значении Vi составляющей скорости обтекания по i-й координате; aij – коэффициенты градуировочной характеристики, которые надо определить
В частности, если градуировочная характеристика измерителя удовлетворительно аппроксимируется степенным полиномом степени m, то
и выражение принимает вид Такие градуировочные характеристики характерны для акустических измерителей скорости потока. Для аэрогидродинамических измерителей (типа трубки Пито) характерна градуировочная характеристика вида
где Ni – отсчеты давления напора от потока, здесь Для термоанемометрического измерителя типовая градуировочная характеристика имеет вид (8):
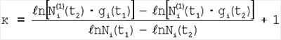
где ai0 – коэффициент, пропорциональный коэффициенту теплообмена датчика со средой при отсутствии потока при Vi=0 и зависящий от физических параметров среды; ai1 – коэффициент, зависящий от конструкции датчика, физических параметров среды и характеристик потока; Ni – отсчеты показаний измерителя, пропорциональные коэффициенту теплообмена датчика со средой, зависящему от скорости потока; к – коэффициент, зависящий от характеристики потока, определяемый числом Рейнольдса и принимающий значения от 0,2 до 0,6; здесь При одновременной во времени фиксации отсчетов измерителя скорости потока Ni(t) и показаний датчика ускорений собственных движений gi(t) получают два ряда отсчетов при Для скорости обтекания датчика скорости потока по i-й координате можно записать
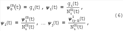
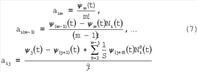
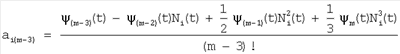
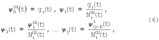
где Vix(t) – составляющая скорости потока; Vi0(t) – составляющая собственной скорости датчика. Отсчеты Ni(t) соответствуют градуировочной характеристике скорости обтекания датчика Vi(t). Если за время l отсчетов составляющая скорости потока Vix(t) меняется незначительно, так что можно принять Дифференцируя выражение (1) для ряда Ni(t) по градуировочной характеристике, получим где При фиксации отсчета Ni0 датчика скорости потока в рабочей среде при отсутствии скорости потока и собственной скорости определяют коэффициент аi0 В частном случае для градуировочной характеристики измерителя скорости потока в виде степенного полинома вида (13) получим или В случае высокоточной модели градуировочной характеристики и малых шумов, при В случае не очень точной модели и при наличии шумов градуировочные коэффициенты При малом уровне шумов в отсчетах gi(t) и Ni(t) и m-дифференциальности функций ускорения собственных движений для вычисления коэффициентов аij могут быть использованы рекуррентные формулы. Введем обозначения Тогда после m-го дифференцирования выражения (18) получим:
Предполагается, что вычисление функции Для градуировочной характеристики вида (14) получим выражение из которого
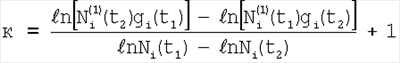
Для градуировочной характеристики вида (8) получим где неизвестными являются m и аi1. Берем отсчеты для двух моментов времени t1 и t2. Можем записать Отсюда: Далее из выражения 22
Таким образом определяются коэффициенты градуировочных характеристик типовых моделей измерителей скорости потока. Рассмотрим пример реализации способа для термоанемометра с двумя датчиками температуры, один из которых подогрет и имеет сферическую диаграмму направленности по чувствительности к вектору скорости обтекания. Выходной сигнал такого термоанемометра, которым является величина, обратная разности температур двух датчиков температуры, определяется модулем вектора скорости обтекания датчика потоком и не зависит от направления. Поэтому градуировочная характеристика термоанемометра может быть представлена выражением
где функции Для выполнения градуировки термоанемометра в реальных условиях в него встроен акселерометр, позволяющий определить ускорение собственного градуировочного движения вдоль некоторой прямой. Если это однокомпонентный акселерометр, то градуировочное движение должно быть вдоль его оси. Если это двухкомпонентный акселерометр, то градуировочное движение должно быть по прямой в плоскости осей акселерометра. Если это трехкомпонентный акселерометр, то градуировочное движение может быть по произвольной прямой в пространстве. В процессе градуировочного движения по прямой с переменной скоростью с помощью акселерометра определяется ускорение собственного движения g(t) и ряд выходных отсчетов N(t) термоанемометра. Из формулы (17) можем записать
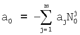
Допустим, градуировочная характеристика термоанемометра является степенным полиномом, и аналогично выражению (19) можем записать При разных Коэффициент а0 определяем по отсчету N0 выходного сигнала неподвижного термоанемометра, помещенного в рабочую среду при нулевой скорости потока, по формуле
Использованные источники 1. Принципы построения технических средств исследования океана. М.: Наука, 1981, 324 с., С.29-31. 2. Авторское свидетельство СССР №1538130, кл. 5 G01Р 5/12. Способ градуировки датчика термоанемометра. Авторы: Ю.Л.Тонконогий, В.Н.Буз, А.А.Гарбуз. Опубл. 23.01.90, бюл. №3 (прототип).
Формула изобретения
Способ градуировки измерителя скорости потока с определением коэффициентов градуировочной характеристики по значениям Ni выходного сигнала, по i-й координате, используемого в измерителе n-компонентного датчика скорости обтекания потоком, при значениях Vi составляющей скорости обтекания, заключающийся в том, что датчик перемещают в потоке и фиксируют значения его выходного сигнала, располагают датчик вне потока и фиксируют значения его выходного сигнала, отличающийся тем, что используют
где
где
и определяют коэффициенты аi0 или, при отсутствии шумов и градуировочной характеристике вида
определяют коэффициенты аij для
где
коэффициенты аij для
и определяют коэффициенты аi0
или, при отсутствии шумов и градуировочной характеристике вида
определяют коэффициенты к и аij для j=1 по выражениям
и определяют коэффициенты аi0
|
||||||||||||||||||||||||||

компонентный датчик скорости обтекания потоком, в геометрическом центре которого размещен
компонентный датчик ускорения собственных движений, располагают датчики в потоке рабочей среды и перемещают их поступательно-возвратно по прямой линии без изменения ориентации осей, фиксируют по каждой i-й
пространственной координате при
одновременно ряд значений Ni(t) выходного сигнала датчика скорости обтекания потоком и ряд значений gi(t) выходного сигнала датчика ускорения собственных движений, располагают датчики в рабочей среде при отсутствии потока, обеспечивают их неподвижность и фиксируют значения Ni0 выходного сигнала датчика скорости обтекания потоком, коэффициенты градуировочной характеристики определяют по полученной совокупности значений Ni(t), gi(t) и Ni0 следующим образом:
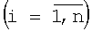
ij – известные функции, определяют коэффициенты аij для
, например, методом наименьших квадратов, из регрессионной зависимости
– первая производная по t от функции
,
0 по выражению


– ряд отсчетов первой производной ряда отсчетов Ni(t), или при введенных обозначениях






;


. Использование операций заявленного способа позволяет определить с высокой степенью достоверности по рядам значений Ni(t) и gi(t) коэффициенты градуировочной характеристики для этого типа измерителей скорости потока, что повышает точность их градуировки.
,
.
.
а скорость собственных движений датчика Vi0(t) изменяется существенно
(что вполне реализуемо), то для производной выражения (15) можем записать

– первые производные по времени функций
.

, l
m выражение (19) дает систему из m линейных алгебраических уравнений с m неизвестными
, которая может решаться относительно aij известными способами, например, по правилу Крамера.
могут быть также определены как коэффициенты регрессии по рядам gi(t) и Ni(t) и выражению (19) методом наименьших квадратов.
,
,


.
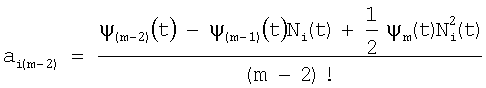
j(t) производится численно по рядам отсчетов. Малый уровень шумов в рядах отсчетов Ni(t) возможен при ламинарном потоке, а m-дифференцируемость функции g(t) может быть обеспечена при поступательно-возвратном движении измерителя по i-й координате, когда скорость собственных движений является периодической функцией.




,
.
,
.
.
; l
.
.
– компонентный датчик скорости обтекания потоком, в геометрическом центре которого размещен
пространственной координате при
одновременно ряд значений Ni(t) выходного сигнала датчика скорости обтекания потоком и ряд значений gi(t) выходного сигнала датчика ускорения собственных движений, располагают датчики в рабочей среде при отсутствии потока, обеспечивают их неподвижность и фиксируют значения Ni0 выходного сигнала датчика скорости обтекания потоком, коэффициенты градуировочной характеристики определяют по полученной совокупности значений Ni(t), gi(t) и Ni0, причем для градуировочной характеристики вида
,
, например методом наименьших квадратов, из регрессионной зависимости
,
– первая производная по t от функции
,
,
,
– ряд отсчетов первой производной ряда отсчетов Ni(t), или, при введенных обозначениях
,
,
,
, …
;
,

.