|
(21), (22) Заявка: 2006142153/03, 28.11.2006
(24) Дата начала отсчета срока действия патента:
28.11.2006
(46) Опубликовано: 10.09.2008
(56) Список документов, цитированных в отчете о поиске:
SU 717299 А1, 25.02.1980. SU 1469105 А1, 30.03.1989. RU 2093674 С1, 20.10.1997. US 3520375 А, 14.07.1970. ЛАПИН А.Д. Применение резонаторов для уменьшения передачи звука в трубах. Борьба с шумами и вибрацией. – М.: Литература по строительству, 1966, с.304-309.
Адрес для переписки:
625000, г.Тюмень, ул. Володарского, 38, ТюмГНГУ, патентно-информационный отдел
|
(72) Автор(ы):
Савиных Юрий Александрович (RU), Негомедзянова Гузель Азатовна (RU), Музипов Халим Назипович (RU), Васильева Анастасия Юрьевна (RU)
(73) Патентообладатель(и):
Государственное образовательное учреждение высшего профессионального образования “Тюменский государственный нефтегазовый университет” (RU)
|
(54) СПОСОБ КОНТРОЛЯ ОСЕВОЙ НАГРУЗКИ НА ДОЛОТО ПО КПД БУРЕНИЯ
(57) Реферат:
Изобретение относится к нефтяной промышленности, в частности к бурению скважин, и может быть использовано для управления процессом бурения. Техническим результатом является повышение надежности определения КПД бурения. Для этого способ предусматривает встраивание в нагнетательную линию акустического режекторного фильтра, передачу акустической информации с забоя скважины от долота и турбобура, дальнейшее подавление помех от бурового насоса, генерируемого широкополосный частотный спектр звуковых волн навстречу забойной информации, распространяющейся от долота и забойного двигателя, акустическим режекторным фильтром. Контроль за осевой нагрузкой на долото осуществляют наземным измерительным комплексом по интегральному уровню энергии частотного спектра звуковых волн в подавленной полосе частот, генерируемых буровым насосом. КПД бурения вычисляют по математической формуле. 9 ил.
Изобретение относится к нефтяной промышленности, в частности к бурению скважин, и может быть использовано для управления процессом бурения.
Известен способ контроля режимов бурения, основанный на использовании колебаний бурильной колонны, в котором в качестве показателя эффективности режима бурения используются значения амплитуды или частоты таких колебаний [1].
Недостаток данного способа заключается в малой надежности, так как используемые при их реализации параметры – амплитуда и частота колебаний колонны, подвержены флуктуациям и зависят от ряда различных случайных причин, не связанных с режимами бурения (биений и т.п.).
Наиболее близким способом к технической сущности относится способ, основанный на замере энергии колебаний, расходуемых в бурильной колонне, по минимуму которых определяют оптимальное значение осевой нагрузки на долото, а момент изменения осевой нагрузки определяют в процессе бурения по отклонению текущих измеренных значений колебаний бурильной колонны от установленных [2].
Недостаток данного способа заключается в том, что по данному способу, основанному на измерении колебаний, возникающих при взаимодействии породоразрушающего инструмента с забоем скважины, измеряют на поверхности земли в одни и те же моменты времени энергию колебаний, распространяющихся от забоя по колонне бурильных труб и горных породах, и находят оптимальный режим по максимальному значению величины КПД бурения, который определяют из выражения

где EГП – плотность энергии, переносимая звуковыми колебаниями в горной породе, Дж/м3;
ЕБК – плотность энергии звуковых волн в колонне бурильных труб, Дж/м3;
Однако датчик звуковых колебаний, установленный на верхней части бурильной колонны, принимает сигналы от трех источников:
– первый источник – это энергия звуковых волн, принимаемая датчиками вертикальных и горизонтальных составляющих колебаний по бурильной колонне с забоя скважины от долота;
– второй источник – это энергия звуковых волн, принимаемая датчиком вертикальных и горизонтальных составляющих колебаний по буровой колонне от бурового насоса;
– третий источник – это энергия звуковых волн, генерируемая турбинными лопатками турбобура.
С учетом второго источника энергии звуковых волн энергия звуковых волн в бурильной колонне EБК будет состоять из трех составляющих

где ЕД и ЕТБ – соответственно плотность энергии звуковых волн от долота и турбобура, Дж/м3;
ЕБН – плотность энергии звуковых волн от бурового насоса, Дж/м3.
Тогда КПД бурения определяется, после подстановки (2) в (1) следующим выражением

Из формулы (3) видно, что сейсмическое КПД не соответствует истинному состоянию нагрузки на долото.
Задачей изобретения является повышение механической скорости бурения.
To есть из КПД бурения (3) исключить плотность энергии бурового насоса ЕБН.
Тогда КПД бурения будет соответствовать выражению

Техническим результатом является повышение надежности определения КПД бурения.
Указанный технический результат достигается тем, что способ контроля осевой нагрузки на долото по КПД бурения скважины, оборудованной буровым насосом, нагнетательной линией, бурильной колонной, турбобуром и наземным измерительным комплексом с датчиками предусматриваем следующие операции: а) – встраивание в нагнетательную линию акустического режекторного фильтра; б) – генерирование в нагнетательную линию буровым насосом спектра [f(l)-f(m)]БН звуковых волн с помеховой полосой частот [f(i)-f(i+n)]П; в) – подавление акустическим режекторным фильтром в нагнетательной линии помеховой полосы частот [f(i)-f(i+n)]П, расположенной в полосе частот [f(l)-f(m)]П, генерируемой буровым насосом; г) – генерирование спектра частот f(l)-f(m)]ТБ звуковых волн, с размещенной в нем информационной полосы частот [f(i)-f(i+n)]И, в промывочную жидкость турбинными лопатками турбобура и возбуждение вибрации с энергией ЕТБ в бурильной колонне; д) – генерирование долотом спектра частот [f(l) – f(m))]Д, с размещенным в нем информационной полосы частот [f(l)-f(m)]И звуковых волн с энергией ЕД, в бурильную колонну; е) – генерирование долотом спектра частот [f(l)-f(m)]Д, с размещенным в нем информационной полосы частот [f(l)-f(m))]И звуковых волн в горную породу с энергией ЕГП; ж) – регистрацию датчиками в подавленной помеховой полосе частот [f(i)-f(i+n)]П, генерируемого буровым насосом информационной полосы частот [f(i)-f(i+n)]П, находящихся в спектре [f(l)-f(m))]Д; генерируемого долотом и в спектре [f(l)-f(m)]ТБ, генерируемым турбобуром; з) – осуществление контроля за осевой нагрузкой на долото наземным измерительным комплексом с датчиками по интегральному уровню энергии спектра звуковых волн [f(l)-f(m)]Д долота и [f(l)-f(m)]Т турбобура в подавленной, акустическим режекторным фильтром, полосе [f(i)-f(i+n)]П частотного спектра f(l)-f(m) звуковых волн и вычисление КПД бурения по формуле:

где – КПД бурения; ЕД и ЕТБ – соответственно плотность энергии звуковых волн от долота и турбобура, Дж/м3; ЕГП – плотность энергии звуковых волн, переносимая звуковыми колебаниями в горной породе, Дж/м3.
Сопоставительный анализ с прототипом показывает, что в заявленном способе контроля осевой нагрузки на долото используют подавление акустической помехи (звуковых волн), генерируемой буровым насосом и распространяющейся навстречу информации от долота и турбобура, путем встраивания в нагнетательную линию акустического режекторного фильтра. Тем самым повышается надежность определения КПД бурения.
Таким образом, предлагаемое изобретение соответствует критерию «Новизна».
Сравнение заявленного решения с другими решениями показывает, что передача акустической информации с забоя скважины от долота и турбобура – известна [2]. Однако неизвестно, что подавление помехи (звуковых волн) от бурового насоса, генерируемого широкополосный частотный спектр звуковых волн навстречу забойной информации, распространяющейся от долота и забойного двигателя, можно подавить акустическим режекторным фильтром, расположенным в нагнетательной линии в насосной буровой установки.
Кроме того, контроль за осевой нагрузкой на долото осуществляется наземным измерительным комплексом по интегральному уровню энергии частотного спектра звуковых волн в подавленной полосе частот акустическим режекторным фильтром, генерируемых буровым насосом.
Таким образом, предлагаемое изобретение соответствует критерию «Изобретательский уровень».
Основные положения физической сущности для осуществления способа.
В основу разработки способа положены основные положения.
1. Генерирование звуковых волн в промывочную жидкость буровым насосом.
2. Подавление полосы частот в спектре шума бурового насоса размещением в нагнетательной линии акустического режекторного фильтра (выполненного, например, в виде четвертьволнового резонатора [3]).
3. Генерирование звуковых волн турбинными лопатками турбобура и долотом.
4. Распространение по промывочной жидкости спектра звуковых волн турбобура и долота в подавленной полосе частот спектра звуковых волн бурового насоса акустическим режекторным фильтром.
Покажем возможность использования подавления акустической помехи, генерируемой буровым насосом.
1. Возбуждение в бурильной колонне звуковых волн (вибрации), генерируемых буровым насосом.
Согласно физическим процессам известно, что в стенках трубопроводов за насосом как следствие пульсации давления в транспортируемой жидкости возбуждается вибрация, которая суммируется с вибрацией, обусловленной колебаниями корпуса насоса.
Взаимосвязь между переменным давлением в жидкости и колебательной скоростью стенки трубы описывается следующим выражением [4]

где h – толщина стенки трубы, см: г- внутренний радиус трубы, см.
После подстановки в уравнение (4) характеристики промывочной жидкости и трубы, разницу между уровнем звука в промывочной жидкости LПР и уровнем звуковой вибрации трубы LБК можно определить по формуле [4]

где f – частота, Гц.
Из формулы (6) видно, что с уменьшением (или подавлением) в промывочной жидкости звуковых волн (LЖ) уменьшается (или подавляется) звуковая вибрация, возникающая в трубе.
2. Подавление заданной полосы частотного спектра звуковых волн в жидкости нагнетательной линии в частотном спектре звуковых волн, генерируемых буровым насосом.
Если в волноводе распространяется нормальная волна номера q с частотой , то для волновода с жесткими стенками эта волна имеет вид [5]

где ; – компоненты волнового числа; с – скорость звука в жидкости; х, z -координата плоскости.
Под действием волны (7) резонатор возбуждается и создает поле Р(х,z), которое определяется по формуле [5]

где k= /с; = плотность жидкости;

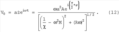
Величину V0 и, следовательно, поле Р(х, z) можно найти, используя уравнение вынужденных колебаний резонатора под действием поля P0(х, z). Это уравнение имеет вид:

где М – эффективная масса (масса жидкости в горле резонатора плюс присоединенная масса); а – ширина горла; – гибкость; r0 – сопротивление трения; г – сопротивление излучения.
Величина r определяется по формуле

где N – число нормальных волн, распространяющихся в волноводе (кроме нулевой волны).
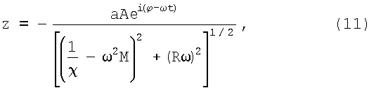
Решение уравнения (9) можно представить в форме

где

Следовательно, объемная скорость V0 записывается в виде

Если частота звука совпадает с собственной частотой резонатора

и сопротивление трения мало по сравнению с сопротивлением излучения (r0<

Пользуясь формулами (9) и (14), получим для рассеянного поля

где амплитуды An нормальных волн вычисляются по формуле

Из этих формул следует, что амплитуды рассеянных вперед и назад нормальных волн одинаковы. Из формул (16) видно, что возбуждение нормальных волн в волноводе не зависит от номера q падающей волны. Это объясняется тем, что резонатор реагирует лишь на давление, а давление, создаваемое падающей волной на жесткой стенке волновода, зависит только от амплитуды этой волны. Поскольку амплитуды Аn обратно пропорциональны величине n, то степень возбуждения нормальной волны возрастает при увеличении ее номера. Наибольшую амплитуду имеет волна, критическая частота которой ближе к частоте звука. В предельном случае совпадения критической частоты для нормальной волны номера l с частотой звука получим

При kh=l , где =l – любое целое число, возбуждается только нормальная волна номера l; другие волны не возбуждаются.
Таким образом, в трубопроводе при рассеянии звука на резонаторе нормальные волны низких номеров трансформируются в нормальные волны высоких номеров, которые хорошо поглощаются буровым раствором.
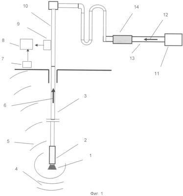
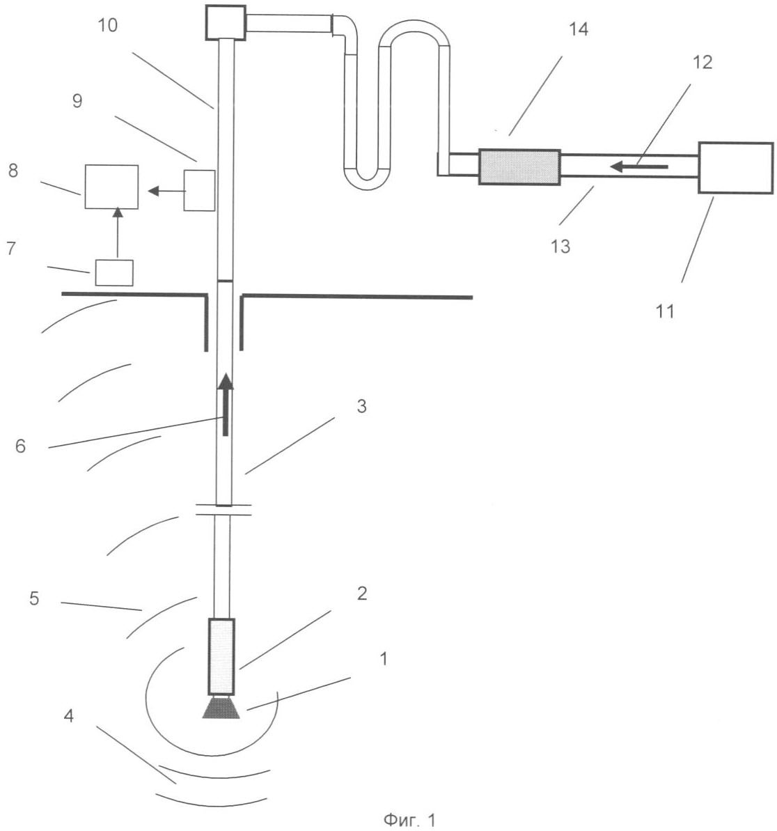
На фиг.1 изображена схема размещения элементов для реализации способа; на фиг.2 изображен поток энергии звуковой волны, распространяющийся по бурильной колонне; на фиг.3 изображены потоки энергии звуковых волн, распространяющихся по бурильной колонне и горной породе в зависимости от нагрузки на долото; на фиг.4-9 изображены частотные спектры звуковых волн, генерируемых буровым насосом, турбобуром, долотом и подавление полосы частот в спектре звуковых волн, генерируемых буровым насосом.
На фиг.1 изображено: 1 – долото, 2 – турбобур, 3 – бурильная колонна, 4 – звуковые волны, генерируемые долотом 1 и поглощаемые горной породой, 5 – звуковые волны, распространяющиеся от долота 1 к устью скважины по горной породе, 6 – звуковые волны, распространяющиеся по жидкости в бурильной колонне 3 от турбобура 1, 7 – датчик, регистрирующий звуковые волны 5, распространяющиеся по горной породе от долота 1, 8 -измерительный комплекс, 9 – датчик, регистрирующий звуковые волны с ведущей трубы 10, 11 – буровой насос, 12 – звуковые волны, генерируемые буровым насосом 11 в нагнетательную линию 13, 14 – акустический режекторный фильтр. Датчики 7 и 9 входят в наземный измерительный комплекс 8.
На фиг.2 изображены: 15 – поток энергии ЕБК(1) в бурильной колонне 3 (без учета энергии ЕБН, генерируемой буровым насосом 11, т.е. звуковые волны подавлены режекторным фильтром 14 в полосе частот [f(i)-f(i+n)]П (индекс П в [f(i)-f(i+n)]П означает помеху в частотном спектре f(l)-f(m) бурового насоса) звуковых волн, бегущих по бурильной колонне 3 от турбобура 2 к устью скважины при отсутствии нагрузки на долото 1; 16 – горная порода.
На фиг.3 изображены: 16 – горная порода; 17 – поток энергии ЕБК (2) с нагрузкой на долото 1 (без учета энергии бурового насоса ЕБН, генерируемой буровым насосом 11, т.е. звуковые волны подавлены режекторным фильтром 14 в полосе частот [f(i)-f(i+n)]П в частотном спектре f(l)-f(m) бурового насоса) звуковых волн, бегущих по бурильной колонне 3 от турбобура 2 и долота 1 к устью скважины при нагрузке на долото G(1), 18 – поток энергии ЕГП звуковых волн, поглощаемых горной породой 16 при ее разрушении, при нагрузке на долото G(1).
На фиг.4 изображен частотный спектр звуковых волн в диапазоне частот f(l)-f(m), генерируемых буровым насосом 11. Полоса частот [f(i)-(i+n)]П в частотном спектре f(l)-f(m) бурового насоса 11 подавляется режекторным фильтром 14 с целью обеспечения эффективной защиты глубинной информации от помех бурового насоса 11.
На фиг.5 изображен частотный спектр звуковых волн в бурильной колонне 3 за акустическим режекторным фильтром 14, размещенным в нагнетательной линии 13 бурового насоса 11.
На фиг.6 изображен частотный спектр звуковых волн в диапазоне частот [f(l)-f(m)]ТБ, генерируемых в бурильную колонну 3 турбобуром 2 (индекс ТБ в [f(i)-f(i+n)]ТБ означает – спектр турбобура). Полоса частот [f(i)-f(i-n)]И равна полосе частот [f(i)-f(i+n)]ТБ (индекс И в [f(i)-f(i+n)]П означает информационная) в частотном спектре [f(l)-f(m)]ТБ, генерируемого турбобуром 2, является информационной частотой, показывающая отсутствие нагрузки на долото 1 (долото оторвано от забоя скважины).
На фиг.7 изображен частотный спектр звуковых волн в диапазоне частот [f(l)-f(m)]Д, (индекс Д в [f(i)-f(1+n)]Д означает спектр, генерируемый долотом), генерируемых долотом 1 и в бурильную колонну 3 и в горную породу 16. Полоса частот [f(i)-f(i+n)]И равна полосе частот [f(i)-f(1+n)]Д в частотном спектре f(l)-f(m), генерируемого долотом 1, является информационной частотой, показывающая нагрузку на долото (которая меняется по амплитуде).
На фиг.8 изображен частотный спектр звуковых волн в диапазоне частот [f(l)-f(m)]ТиД ((индекс ТиД в [f(i)-f(i+n)]ТиД означает спектр генерируемый турбобуром и долотом)), генерируемых долотом 1 и турбобуром 2. Полоса частот [f(i)-а(1+n)]И в частотном спектре [f(l)-f(m)]]ТиД, генерируемого долотом и турбобуром, является информационной частотой, показывающая и нагрузку на долото 1 и работу турбобура 2. (нагрузка задана согласно геолого-технологическму наряду (ГТН)).
На фиг.9 изображен частотный спектр звуковых волн в диапазоне частот [f(l)-f(m)]ТиД, генерируемых долотом 1 и турбобуром 2. Полоса частот [f(i)-f(i+n)]И, равная полосе частот [f(i)-f(1+n)]Д в частотном спектре частот [f(l)-f(m)]Д, генерируемых долотом 1, является информационной частотой (индекс И в [f(i)-f(i+n)]И означает информационный), показывающей нагрузку на долото 1 при отсутствии работы бурового насоса 11. То есть обеспечена эффективная защита глубинной информации в бурильной колонне 3 от помех бурового насоса 11.
Пример осуществления способа.
Первая операция.
Встраивают в нагнетательную линию 13 (фиг.1) акустический режекторный фильтр 14 (фиг.1), выполненный, например, в виде составного акустического преобразователя шума из четвертьволновых резонаторов (не показан, например, [6]).
Вторая операция.
Генерируют в нагнетательную линию 13 (фиг.1) буровым насосом 11 (фиг.1) спектр [f(l)-f(m)]БН звуковых волн (фиг.4) с помеховой полосой частот [f(i)-f(i+n)]П
Третья операция.
Подавляют акустическим режекторным фильтром 14 (фиг.1) в нагнетательной линии 13 (фиг.1) помеховую полосу частот [f(i)-f(i+n)]П (фиг.5), расположенную в полосе частот [f(l)-f(m)]БН, генерируемых буровым насосом 11 (фиг.1).
Этим обеспечивается эффективная защита глубинной информации от помех бурового насоса 11 путем уменьшения уровня звука в промывочной жидкости и, как следствие, снижение вибрации бурильной трубы согласно формуле (6). Тогда КПД бурения согласно формуле (4) обеспечит реальное значение осевой нагрузки.
Четвертая операция.
Генерируют спектр частот [f(l)-f(m)]ТБ (фиг.6) звуковых волн с размещенной в нем информационной полосой частот [f(i)-f(i+n)]И (фиг.6) в буровой раствор турбинными лопатками турбобура 2 (фиг.1) и возбуждают вибрацию и в бурильной колонне 3 (фиг.1) и в ведущей трубе 10 (фиг.1) с энергией ЕБК (1) и (фиг.2), с которой впоследствии снимается глубинная информация о нагрузке на долото 1 (фиг.1).
Пятая операция.
Генерируют долотом 1 (фиг.1) (при нагрузке на долото согласно геолого-технологическому наряду (ГТН)) спектр частот [f(l)-f(m))]Д (фиг.7), с размещенной в нем информационной полосы частот [f(i)-f(i+n)]И (фиг.7), звуковых волн 4 (фиг.1) и 5 (фиг.1) с энергией ЕГП (18) (фиг.3) в бурильную колонну 3 (фиг.1) и в горную породу 16 (фиг.3).
Шестая операция.
Регистрируют датчиком 7 (фиг.1) звуковые волны 5 (фиг.1) с энергией ЕГП (фиг.3), генерируемые долотом 1 (фиг.1), распространяющиеся по горной породе в информационной полосе частот [f(i)-f(i+n)]И.
Седьмая операция.
Регистрируют информационную полосу частот [f(i)-f(i+n)]И (фиг.8) в подавленной полосе частот [f(i)-f(i+n)]П (фиг.8) помехи датчиком 9 (фиг.1) с ведущей трубы 10 (фиг.1) вибрацию с энергией ЕБК (фиг.3), преобразованную из промывочной жидкости звуковых волн 6 (фиг.1), генерируемых турбобуром 2 (фиг.1).
Восьмая операция.
Осуществляют контроль за осевой нагрузкой на долото 1 путем вычисления КПД бурения наземным измерительным комплексом 8 (фиг.1) согласно формуле (4):

Предложенный способ контроля осевой нагрузки на долото, основанный на преобразовании звуковых волн низких частот в частотном спектре, генерируемых буровым насосом, в звуковые волны высоких частот с последующим их рассеиванием в промывочной жидкости, прошел промышленные испытания на буровой установке ВУ-3000 УЭК на Тарасовском месторождении Пурпейского УБР на скважинах №№4, 1, 2 и 66 с размещенным составным акустическим преобразователем шума из четвертьволновых резонаторов (режекторные фильтры) в нагнетательной линии на расстоянии 15 м от бурового насоса.
По отношению к показателям параметров бурения ранее пробуренных скважин №№3, 5 и 8 (без режекторных фильтров) в интервале бурения из-под кондуктора (500-1500 м) позволило повысить механическую скорость бурения (с 37,4 м/час до 45, 2 м/час) на 17,5%.
Источники информации
1. Балицкий П.В. Взаимодействие бурильной колонны с забоем скважины. М.: Недра, 1975. С.22-25, 37-39.
2. А.С. 717299, М. Кл.2 Е21В 45/00, БИ №7, 1980. Способ регулирования оптимальной осевой нагрузки на долото при бурении скважин.
3. Борьба с шумом на производстве: Справочник / Е.Я.Южин, Л.А.Борисов, И.В.Горенштейн и др. – М.: Машиностроение, 1985. – С.303.
4. Справочник по технической акустике: Пер. с нем. / Под ред. М.Хекла и Х.А.Мюллера. – Л.: Судостроение, 1980. С.218-219.
Формула изобретения
Способ контроля осевой нагрузки на долото по КПД бурения скважины, оборудованной буровым насосом, нагнетательной линией, бурильной колонной, турбобуром и наземным измерительным комплексом с датчиками, предусматривающий следующие операции: а) встраивание в нагнетательную линию акустического режекторного фильтра; б) генерирование в нагнетательную линию буровым насосом спектра [f(l)-f(m)]БН звуковых волн с помеховой полосой частот [f(i)-f(i+n)]П; в) подавление акустическим режекторным фильтром в нагнетательной линии помеховой полосы частот [f(i)-f(i+n)]П, расположенной в полосе частот [f(l)-f(m)]БН, генерируемой буровым насосом; г) генерирование спектра частот f(l)-f(m)]ТБ звуковых волн с размещенной в нем информационной полосой частот [f(i)-f(i+n)]И в промывочную жидкость турбинными лопатками турбобура и возбуждение вибрации с энергией ЕТБ В бурильной колонне; д) генерирование долотом спектра частот [f(l)-f(m)]Д с размещенной в нем информационной полосой частот [f(l)-f(m)]И звуковых волн с энергией ЕД в бурильную колонну; е) генерирование долотом спектра частот [f(l)-f(m)Д с размещенной в нем информационной полосой частот [f(l)-f(m)]И звуковых волн в горную породу с энергией ЕГП ж) регистрацию датчиками в подавленной помеховой полосе частот [f(i)-f(i+n)]П, генерируемой буровым насосом информационной полосы частот [f(i)-f(i+n)]И, находящихся в спектре [f(l)-f(m)]Д, генерируемом долотом, и в спектре [f(l)-f(m)]ТБ, генерируемом турбобуром; з) осуществление контроля за осевой нагрузкой на долото наземным измерительным комплексом с датчиками по интегральному уровню энергии спектра звуковых волн [f(l)-f(m))]Д долота и [f(l)-f(m)]Т турбобура в подавленной акустическим режекторным фильтром полосе [f(i)-f(i+n)]И частотного спектра f(l)-f(m) звуковых волн и вычисление КПД бурения по формуле

где – КПД бурения;
ЕД и ЕТБ – соответственно плотность энергии звуковых волн от долота и турбобура, Дж/м3;
ЕГП – плотность энергии звуковых волн, переносимая звуковыми колебаниями в горной породе, Дж/м3.
РИСУНКИ
),>
|