Патент на изобретение №2333303
|
||||||||||||||||||||||||||||||||||||||||||||||||||||||||||||||||||||||||||||||||||||||
(54) КЛЕЙ ДЛЯ ОБРАБОТКИ ЦЕЛЛЮЛОЗНЫХ МАТЕРИАЛОВ
(57) Реферат:
Клей предназначен для обработки целлюлозных материалов и может быть использован в целлюлозно-бумажной промышленности при изготовлении бумаги и картона. Клей включает формальдегид, карбамид, меламин, катионный крахмал и поливиниловый спирт при определенном соотношении компонентов. Техническим результатом является улучшение качества клея за счет повышения его гидрофобности и стабильности. 1 табл.
Изобретение относится к целлюлозно-бумажной промышленности и может быть использовано при изготовлении бумаги и картона. Недостатками этого способа являются: недостаточно высокая эффективность карбамидоформальдегидных олигомеров, модифицированных нативными крахмалами, как упрочняющих агентов; низкая водостойкость и повышенная хрупкость данных олигомеров и обработанного ими материала; низкая стабильность их водных растворов при хранении. Задача, решаемая данным изобретением, заключается в следующем: значительное повышение механической прочности в сухом и влажном состоянии, а также гидрофобности обработанных бумаги и картона; отсутствие хрупкости готового материала; более высокая стабильность водного раствора клея; возможность как поверхностной обработки целлюлозного материала указанным клеем, так и его введения в волокнистую массу перед формованием бумажного полотна. Решение поставленной задачи обеспечивается тем, что в клее для обработки целлюлозных материалов в качестве модификатора карбамидоформальдегидных олигомеров используют меламин, катионный крахмал и поливиниловый спирт при следующем соотношении компонентов, мас.%:
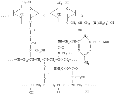
Техническая сущность изобретения заключается в следующем: Схематично структурная формула олигомера может быть представлена в следующем виде: В данной формуле отражены основные структурные единицы карбамидомеламиноформальдегидного олигомера, а также характер химических связей между ними. Характерно наличие большого количества гидроксилов (в т.ч. в составе метилольных групп) и поперечных связей, в частности, их наибольшее количество наблюдается между элементами линейных молекул поливинилового спирта, образованных в результате сшивки формальдегидом при синтезе олигомера. Использование меламина в качестве компонента карбамидоформальдегидного олигомера повышает устойчивость водных растворов последнего, а при обработке данным олигомером бумажно-картонных материалов повышает их гидрофобные свойства. Катионный крахмал как модификатор карбамидоформальдегидного олигомера увеличивает его сродство к целлюлозному материалу за счет наличия большого количества гидроксильных групп и придания катионных свойств (положительного заряда) молекулам олигомера, в то время как поверхность обрабатываемого целлюлозного материала имеет отрицательный заряд. Это облегчает закрепление олигомера на поверхности бумажно-картонного материала. Поливиниловый спирт имеет высокую адгезию к бумажному полотну за счет большого количества активных гидроксильных групп и обеспечивает высокую прочность поверхности бумажного полотна. Изобретение поясняется следующим примером: Изготовляют модифицированный карбамидомеламиноформальдегидный олигомер по следующей технологии: 1. Соотношение компонентов (в % по сухому веществу или в граммах): Формальдегид – 48% (г, в виде 37%-ного формалина – 130 г); Карбамид (основная загрузка, К1) – 22% (г); Карбамид (дополнительная загрузка, К2) – 15% (г); Меламин – 13% (г); Катионный крахмал (например, «Mylbond 143», пр-во компании AMILUM GROUP, Голландия) – 1% (г, в виде 2%-ного водного раствора – 50 г; содержание модификатора – катионного крахмала – минимальное). Поливиниловый спирт – 1% (г, в виде 2%-ного водного раствора – 50 г); (содержание модификатора – поливинилового спирта – минимальное). Технология получения В реакционную колбу емкостью 500 мл, снабженную водяной баней, механической мешалкой, обратным холодильником и термометром, загружают 1 г катионного крахмала, 1 г поливинилового спирта, заливают 98 г воды, включают мешалку и обогрев водяной бани. При достижении температуры смеси в колбе 95°С смесь выдерживают 30 мин при этой температуре. Затем в колбу вводят 13 г меламина, 22 г карбамида (К1) и дают температуре снизиться до 40-50°С, при этом должно произойти полное растворение меламина и карбамида, а рН смеси должно быть 7,5. После этого в колбу вводят 130 г 37%-ного формалина, предварительно нейтрализованного водным раствором NaOH до рН 8,5-9,0. Показатель рН смеси в колбе после этого должен быть равен 8,5±0,2. При необходимости повышают рН, добавляя по каплям 10%-ный водный раствор NaOH. Смесь нагревают до 60-65°С и выдерживают при этих условиях в течение 1,5 ч. Вторую стадию синтеза проводят в слабокислой или нейтральной среде. Для этого рН смеси снижают раствором HCl или NH4Cl до рН 6,5-7,0 и выдерживают при этих условиях в течение 2 ч. После этого доводят рН в колбе до 8,7±0,2, вводят 15 г карбамида (К2) и выдерживают смесь при этих условиях в течение 30 мин. Необходимо следить, чтобы в течение этого времени рН в колбе имело значение 8,7±0,2. При необходимости можно произвести концентрирование водного раствора полученного олигомера путем упаривания. Достижение концентрации выше 45-47% нежелательно, так как это может привести к потере стабильности раствора. Стабильность полученного раствора клея при концентрации 25% и рН 8,5 – не менее 4 мес(для ближайшего аналога – не более 2 мес). 2. Соотношение компонентов (в % по сухому веществу или в граммах): Формальдегид – 47% (г, в виде 37%-ного формалина – 127 г); Карбамид (основная загрузка, К1) – 22% (г); Карбамид (дополнительная загрузка, К2) – 14% (г); Меламин – 12% (г); Катионный крахмал (например, «Mylbond 143», пр-во компании AMILUM GROUP, Голландия) – 2,5% (г, в виде 2,5%-ного водного раствора – 100 г; содержание модификатора – катионного крахмала – минимальное). Поливиниловый спирт – 2,5% (г, в виде 2,5%-ного водного раствора – 100 г, содержание модификатора – поливинилового спирта – максимальное). Технология получения та же, что и в 1-м примере. Различие в свойствах олигомеров с минимальным и максимальным содержанием гидроксилсодержащего полимерного модификатора – катионного крахмала и поливинилового спирта – состоит в том, что при максимальном его содержании (2,5% катионного крахмала и 2,5% поливинилового спирта от массы сухих веществ) предел концентрации раствора олигомера составляет 35%, выше которого концентрирование проводить не следует, так как нарушается стабильность раствора и повышается вязкость, что затрудняет его использование для обработки целлюлозного материала. Стабильность обоих видов растворов олигомеров (если не превышается допустимый предел концентрации) одинакова. Технология использования в производстве бумаги Изготавливалась бумага офсетная №1 массой 100 г/м2, зольностью 22% со следующим составом по волокну: целлюлоза сульфатная хвойная беленая – 50%, степень помола – 30°ШР; целлюлоза сульфатная лиственная беленая – 50%, степень помола – 32°ШР. Изготовление офсетной бумаги №1 на лабораторном листоотливном аппарате включает следующие этапы: 1. Роспуск волокнистого материала (целлюлозы) в воде с образованием водно-волокнистой суспензии. 2. Введение в водно-волокнистую суспензию минерального наполнителя (каолина). 3. Введение в водно-волокнистую суспензию химических добавок в следующей последовательности и со следующими расходами по сухому веществу: канифольный клей – 10 кг/т; сульфат алюминия – 30 кг/т. 4. Корректировка рН водно-волокнистой суспензии добавкой серной кислоты или гидроксида натрия до необходимого значения (рН 5,5). 5. Формование бумажного полотна, заключающееся в фильтрации водно-волокнистой суспензии через сетку листоотливного аппарата с образованием на сетке мокрого бумажного полотна. 6. Прессование бумажного полотна, заключающееся в механическом отжиме воды из него при помощи специального валика. 7. Сушка бумажного полотна при температуре около 95°С в течение 7 минут. 8. Поверхностная обработка бумаги разработанным клеем, заключающаяся в пропуске бумажного полотна через ванну с клеем с последующим отжимом на лабораторном двухвальном прессе. В табл.1 приведены значения физико-механических показателей образцов офсетной бумаги, полученных в результате ее обработки растворами заявленного олигомера в сравнении с ближайшим аналогом.
Расход разработанного клея и ближайшего аналога – 20 кг/т бумаги. После обработки производилась дополнительная сушка образцов бумаги в сушильном шкафу при t=110°С в течение 15 мин. Как видно из данных, приведенных в табл.1, при обработке бумаги разработанным клеем все ее физико-механические показатели возрастают, в т.ч. и по сравнению с ближайшим аналогом. Следует отметить, по сравнению с ближайшим аналогом наблюдается значительный прирост стойкости поверхности бумаги к выщипыванию, особенно при максимальном содержании катионного крахмала и поливинилового спирта в клее, что очень важно при использовании бумаги для печати офсетным способом. В целом оба вида клея по заявленному изобретению превосходят ближайший аналог по способности улучшать физико-механические показатели бумаги.
Формула изобретения
Клей для обработки целлюлозных материалов, включающий карбамидоформальдегидный олигомер и модификатор, отличающийся тем, что в качестве модификатора используют меламин, катионный крахмал и поливиниловый спирт при следующем соотношении компонентов, мас.%:
MM4A – Досрочное прекращение действия патента СССР или патента Российской Федерации на изобретение из-за неуплаты в установленный срок пошлины за поддержание патента в силе
Дата прекращения действия патента: 23.02.2009
Извещение опубликовано: 27.09.2010 БИ: 27/2010
|
||||||||||||||||||||||||||||||||||||||||||||||||||||||||||||||||||||||||||||||||||||||

