Патент на изобретение №2333200
|
|||||||||||||||||||||||||||||||||||||||||||||||||||||||||||||||||||||||||||||||||||||||||||||||||||||||||||||||||||||||||||||||||||||||||||||||||||||||||||||||||||||||||||||||||||||||||||||||||||||||||||||||||||||||||||||||||||||||||||||||||||||||||||||||||||||||||||||||||||||||||||||||||||||||||||||||||||||||||||||||||||||||||||||||||||||||||||||||||||||||||||||||||||||||||||||||||||||||||||||||||||||||||||||||||||||||||||||||||||||||||||||||||||||||||||||||||||||||||||||||||||||||||||||||||||||||||||||||||||||||||||||||||||||||||||||||||||||||||||||||||||||||||||||||||||||||||||||||||||||||||||||||||||||||||||||||||||||||||||||||||||||||||||||||||||||||||||||||||||||||||||||||||||||||||||||||||||||||||||||||||||||||||||||||||||||||||||||||||||||||||||||||||||||||||||||||||||||||||||||||||||||||||||||||||||||||||||||||||||||||||||||||||||||||||||||||||||||||||||||||||||||||||||||||||||||||||||||||||||||||||||||||||||||||||||||||||||||||||||||||||||||||||||||||||||||||||||||||||||||
(54) АЗОТСОДЕРЖАЩИЕ ГЕТЕРОЦИКЛИЧЕСКИЕ ПРОИЗВОДНЫЕ, СОДЕРЖАЩИЕ 2,6-ДИЗАМЕЩЕННЫЙ СТИРИЛ
(57) Реферат:
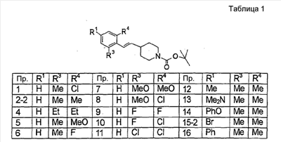
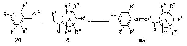
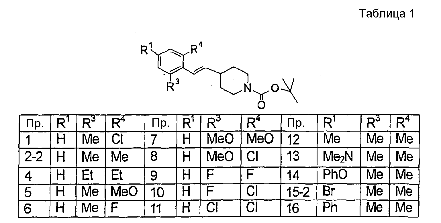
Изобретение относится к новым азотсодержащим гетероциклическим производным, представленным приведенной ниже формулой (I): (где условные обозначения в приведенной выше формуле (I) имеют следующие значения: R1 и R2, которые могут быть одинаковыми или различными, означают Н-, С1-С6-алкил, С3-С14-циклоалкил, С1-С6-алкил-СО-, НО-СО-, С1-С6-алкил-O-СО-, H2N-CO-, С1-С6-алкил-HN-CO, (С1-С6-алкил)2N-CO-, С1-С6-алкил-O-, С1-С6-алкил-СО-O-, H2N-, С1-С6-алкил-HN-, (С1-С6-алкил)2]N-, С1-С6-алкил-СО-NH-, галоген, нитро, морфолин, пирролидин, имидазол или циано; R3 и R4, которые могут быть одинаковыми или различными, означают С1-С6-алкил, С1-С6-алкил-O-, (С1-С6-алкил)2N- или галоген; R5 и R6, которые могут быть одинаковыми или различными, означают Н-, С1-С6-алкил или галоген; R7 и R8, которые могут быть одинаковыми или различными, означают Н-, С1-С6-алкил, НО-, С1-С6-алкил-О- или галоген; R7 и R8 вместе могут образовывать оксо (O=); R9 означает гетероциклическая группа-С1-С6-алкил-СО-, который может быть необязательно замещен по меньшей мере одним заместителем, выбранным из группы b, описанной ниже, где гетероциклическая группа выбрана из морфолина, пиперазина, пирролидина, пиперидина, тиоморфолина, азепина, диазепина, оксиазепина, декагидрохинолина, декагидроизохинолина, гексагидроазепина или 2,5-диазабицикло[2.2.1]гептана; R10, R11, R12 и R13, которые могут быть одинаковыми или различными, означают Н- или С1-С6-алкил; группа b: (1) НО, (2) С1-С6-алкил-O-, (3) R101 R102 N (где R101 и R102, которые могут быть одинаковыми или различными, означают (i) Н, (ii) С1-С6-алкил), (4) галоген, (5) оксо (O=), (6) С3-С14-циклоалкил, (7) фенил, (8) пирролидин, (9) С1-С6-алкил, который, необязательно, может быть замещен НО, С1-С6-алкил-O-, фенилом, С1-С6-алкил-СО- или морфолином, (10) ацил, который, необязательно, может быть замещен оксо (O=), где ацил представляет собой С1-С6-алкил-СО- или гетероциклическая группа-СО, где гетероциклическая группа представляет собой имидазол, пиридин или пиразин, (11) H2N-СО- и (12) С1-С6-алкил-SO2; А означает гетероциклоалкильную группу, которая выбрана из пиперидина, пирролидина или гексагидроазепина; и n означает 0, или к его фармацевтически приемлемым солям. Изобретение также относится к фармацевтической композиции и к применению азотсодержащих гетероциклических производных по любому из пп.1-11. Технический результат – получение новых биологически активных соединений и фармацевтической композиции на их основе, обладающих способностью к ингибированию активности натриевых каналов. 3 н. и 13 з.п. ф-лы, 32 табл.
ОБЛАСТЬ ТЕХНИКИ Настоящее изобретение относится к новому азотсодержащему гетероциклическому производному, содержащему 2,6-дизамещенный стирил, и его фармацевтически приемлемой соли. Настоящее изобретение также относится к фармацевтической композиции, включающей новое азотсодержащее гетероциклическое производное, содержащее 2,6-дизамещенный стирил, и его фармацевтически приемлемую соль, и, в частности, фармацевтической композиции, обладающей аналгетическим действием, в особенности при невропатической боли, действующей как ингибитор натриевых каналов. УРОВЕНЬ ТЕХНИКИ Потенциалозависимый натриевый канал представляет собой белок, отвечающий за инициацию и распространение потенциалов действия в нейронах. Потенциалозависимый натриевый канал состоит из одной более крупной В последние годы стало очевидно, что потенциалозависимые натриевые каналы глубоко вовлечены в нейронную трансмиссию боли, и предполагается, что блокаторы натриевых каналов должны являться превосходными терапевтическими средствами против боли, в особенности терапевтическими средствами от невропатической боли (Taylor CP, Current Pharmaceutical Design 2: 375-388, 1996). Понятие невропатической боли означает боль, возникающую в результате дисфункции в центральных или периферических нейронах, и относится к диабетической невропатической боли, раковой боли, невралгии тройничного нерва, фантомной боли, постгерпетической невралгии, таламической боли и т.д. Клиническая картина невропатической боли включает колющую боль, жгучую боль, гипералгезию, аллодинию и т.д. В медицине для обезболивания используют нестероидные противовоспалительные средства, наркотические аналгетики, такие как морфин и т.д. Кроме того, недавно в целях обезболивания стали использоваться антиаритмические лекарственные средства и противосудорожные средства, являющиеся блокаторами натриевых каналов. Нестероидные противовоспалительные средства не вполне удовлетворительны в плане аналгетического действия и связаны с проблемой побочных эффектов, таких как желудочно-кишечные заболевания или почечные нарушения. Наркотические аналгетики, такие как морфин, эффективны при ноцицептивной боли, но оказывают ряд побочных воздействий на пищеварительную, респираторную или центральную нервную систему. Вдобавок эти лекарственные средства обычно малоэффективны при невропатической боли. В целях обезболивания получили применение антиаритмические лекарственные средства, такие как лидокаин или мексилетин, и противосудорожные средства, такие как карбамазепин, являющиеся блокаторами натриевых каналов. Мексилетин был разработан и получил применение в качестве антидиабетического лекарственного средства при невропатической боли. Однако эти блокаторы натриевых каналов влекут за собой проблемы, состоящие в центральных побочных действиях, таких как судороги или сонливость, или периферических побочных действиях, таких как брадикардия, и в связи с этим становится сложно увеличивать дозы до достаточного уровня, что приводит к невозможности достижения удовлетворительного анальгезирующего эффекта. Из вышесказанного следует, что аналгетики, пригодные для лечения невропатической боли и полностью безопасные, до сих пор не найдены. Следовательно, желательны блокаторы натриевых каналов, обладающие значительно улучшенным аналгетическим действием, в особенности при невропатической боли, с минимальными побочными эффектами. Известны вышеупомянутые лидокаин, мексилетин, карбамазепин и т.д., но они не принадлежат к азотсодержащим гетероциклическим производным, содержащим стирильную группу. Описаны производные, содержащие 1-пиридилалкилпиперидин в качестве основного скелета и обладающие активностью ингибиторов натриевых каналов (патентный документ 1). В указанном документе описаны соединения, содержащие 2-циклогексилметилокси-6-фторфенилэтенил в качестве заместителя в пиперидиновом цикле. Также описаны соединения, содержащие монозамещенный фенилэтенил, имеющий в качестве заместителя галоген или циклогексилметилокси в 2- или 3-положении 1-ароматической гетероциклической группы алкилпиперидинового цикла (патентный документ 2). С другой стороны, описаны соединения, но не в качестве натриевых ингибиторов, а как ингибиторы метаботропного глутаматного рецептора (mGluR) и аналгетики, относящиеся к терапевтическим средствам от различных заболеваний, основанным на ингибирующем действии в отношении mGluR (патентный документ 3-4). В частности, описаны соединения 2-пиридина, содержащие стирильную группу (патентный документ 3), соединения тиазола, оксазола, 1,2,4-тиадиазола, 1,2,4-оксадиазола, 1H-1,2,4-триазола, 2-оксо-1,3,4-оксатиазола, 2H-тетразола, 2-пиридина, пиридиния, пиразина, индолиния, бензотиофена, бензотиазония, хинолина или хинолиния, содержащие стирильную группу (патентный документ 4), соединения имидазола, содержащие стирильную группу (патентный документ 5) и соединения имидазола, 1,2,4-триазола или 2H-тетразола, содержащие стирильную группу (патентный документ 6), Но эти соединения являются ненасыщенными гетероциклическими соединениями, содержащими стирильную группу. Кроме того, описаны соединения пиперидина, содержащие бензил или фенилметилен, действие которых основано на антагонизме в отношении NMDA/NR2B (патентный документ 7). С другой стороны, описаны азотсодержащие гетероциклические производные, содержащие стирильную группу, образованные путем комбинирования групп, (патентный документ 8 и 9) и из числа этих производных конкретно раскрыты только соединения, в которых фенильная группа и азотсодержащее гетероциклическое кольцо объединены через группы -О-низший алкилен- (патентный документ 3), -S-низший алкилен- или -низший алкилен-C(O)O- (патентный документ 4), но не описаны конкретно и даже не упомянуты азотсодержащие гетероциклические производные. Более того, эти производные применимы в качестве антагонистов кальциевых каналов (патентный документ 8) или для промотирования высвобождения ацетилхолина (патентный документ 9), но нигде не описаны и даже не упомянуты ни ингибирующая активность в отношении натриевых каналов, ни аналгетическое действие. Патентный документ 1 Европейская патентная публикация № 1254904 Патентный документ 2 WO 03/84948 Реферат Патентный документ 3 WO 99/02497 Реферат Патентный документ 4 WO 01/16121 Реферат Патентный документ 5 WO 02/46166 Реферат Патентный документ 6 WO 99/08678 Реферат Патентный документ 7 WO 01/32615 Реферат Патентный документ 8 WO 94/13291 Реферат Патентный документ 9 WO 97/19059 Реферат СУЩНОСТЬ ИЗОБРЕТЕНИЯ Цель настоящего изобретения состоит в получении азотсодержащего гетероциклического производного, содержащего 2,6-дизамещенный стирил, или его фармацевтически приемлемой соли. Другая цель настоящего изобретения состоит в получении фармацевтической композиции, в частности, фармацевтической композиции в качестве ингибитора натриевых каналов, оказывающей исключительное аналгетическое действие при невропатической боли, включающей азотсодержащие гетероциклические производные, имеющие 2,6-дизамещенный стирил, или их фармацевтически приемлемые соли и фармацевтически приемлемый носитель. Авторами настоящего изобретения проведены обширные исследования азотсодержащих гетероциклических производных в целях достижения вышеуказанных целей и, как результат, установлено, что производные, включающие азотсодержащий гетероцикл с 2,6-дизамещенным стирилом в качестве основного скелета, или соли указанных производных, обладают высокой ингибирующей активностью в отношении натриевых каналов и оказывают действие на мышей с диабетической невропатией, вызванной стрептозотоцином, используемых в качестве экспериментальной модели болезни на животных, таким образом было завершено настоящее изобретение, которое может быть полезно для получения лекарственных средств против невропатической боли. Итак, настоящее изобретение касается азотсодержащих гетероциклических производных, представленных приведенной ниже формулой (I). Азотсодержащие гетероциклические производные по настоящему изобретению отличаются тем, что включают стирильную группу, всегда содержащую два заместителя в орто-положении, а именно 2,6-дизамещенную стирильную группу, и азотсодержащую гетероциклическую группу. Указанная стирильная группа, необязательно, может иметь дополнительный заместитель (заместители). Из числа азотсодержащих гетероциклических производных предпочтительными являются насыщенные азотсодержащие гетероциклические производные. В частности, настоящее изобретение касается приведенных ниже азотсодержащих гетероциклических производных или их фармацевтически приемлемых солей, фармацевтических композиций, включающих указанные соединения и фармацевтически приемлемые носители, применения указанных соединений, способа лечения болезней, опосредованных натриевым каналом, способа терапии невропатической боли и способа терапии диабетической невропатической боли. [1] Азотсодержащее гетероциклическое производное, представленное приведенной ниже формулой (I): (где условные обозначения в приведенной выше формуле (I) имеют следующие значения: R1 и R2, которые могут быть одинаковыми или различными, означают H-, необязательно замещенный низший алкил, циклоалкил, арил, ацил, HO-CO-, низший алкил-O-CO-, H2N-CO-, низший алкил-HN-CO-, (низший алкил)2N-CO-, HO-, низший алкил-O-, арил-O-, ацил-O-, H2N-, низший алкил-HN-, (низший алкил)2N-, ацил-NH-, галоген, нитро, гетероциклическую группу или циано; R3 и R4, которые могут быть одинаковыми или различными, означают необязательно замещенный низший алкил, циклоалкил, ацил, HO-CO-, низший алкил-O-CO-, H2N-CO-, низший алкил-HN-CO-, (низший алкил)2N-CO-, HO-, низший алкил-O-, ацил-O-, H2N-, низший алкил-HN-, (низший алкил)2N-, ацил-NH-, галоген, нитро или циано; R5 и R6, которые могут быть одинаковыми или различными, означают H-, низший алкил или галоген; R7 и R8, которые могут быть одинаковыми или различными, означают H-, низший алкил, HO-, низший алкил-O- или галоген; R7 и R8 вместе могут образовывать оксо (O=); R9 означает H-, необязательно замещенный низший алкил, необязательно замещенный циклоалкил, необязательно замещенный ацил, низший алкил-C(=NH)-, HO-CO-, необязательно замещенный низший алкил-O-CO-, H2N-CO-, необязательно замещенный низший алкил-HN-CO-, (необязательно замещенный низший алкил)2N-CO-, H2NC(=NH)-, H2NC(=NCN)-, H2NC(=N-CONH2)-, H2NC(=NS(=O)2NH2)-, необязательно замещенный низший алкил-SO2– или необязательно замещенная гетероциклическая группа-SO2-; R10, R11, R12 и R13, которые могут быть одинаковыми или различными, означают H- или низший алкил, и две группы из R10, R11, R12 и R13 вместе могут образовывать оксо (O=); A означает азотсодержащую гетероциклическую группу, хинолил или пиридин-4-ил; при условии, что когда A означает хинолил или пиридин-4-ил, R9 отсутствует и n означает 0, 1 или 2), его фармацевтически приемлемая соль. [2] Азотсодержащее гетероциклическое производное по п. [1] или его фармацевтически приемлемая соль, где азотсодержащая гетероциклическая группа, обозначенная символом A в формуле (I), означает азотсодержащую насыщенную моноциклическую гетероциклическую группу или азотсодержащий насыщенный цикл с внутренним мостиком. [3] Азотсодержащее гетероциклическое производное по п. [2] или его фармацевтически приемлемая соль, где азотсодержащая гетероциклическая группа, обозначенная символом A в формуле (I), означает азотсодержащую насыщенную моноциклическую гетероциклическую группу. [4] Азотсодержащее гетероциклическое производное по п. [3] или его фармацевтически приемлемая соль, где азотсодержащая гетероциклическая группа, обозначенная символом A в формуле (I), означает 6-членную азотсодержащую насыщенную моноциклическую гетероциклическую группу. В азотсодержащих гетероциклических производных или их фармацевтически приемлемых солях по любому из пп. [1]-[4] предпочтительно азотсодержащая насыщенная гетероциклическая группа, обозначенная символом A в формуле (I), означает пиперидин. [5] Азотсодержащее гетероциклическое производное по любому из пп. [1]-[4] или его фармацевтически приемлемая соль, где символы R7 и R8 в приведенной выше формуле (I), которые могут быть одинаковыми или различными, означают H-, низший алкил, HO-, низший алкил-O- или галоген. [6] Азотсодержащее гетероциклическое производное по любому из пп. [1]-[5] или его фармацевтически приемлемая соль, где символ n в формуле (I) означает 0. [7] Азотсодержащее гетероциклическое производное по любому из пп. [1]-[6] или его фармацевтически приемлемая соль, где символ R9 в формуле (I) означает H. [8] Азотсодержащее гетероциклическое производное по любому из пп. [1]-[6] или его фармацевтически приемлемая соль, где символ R9 в формуле (I) означает необязательно замещенный низший алкил. [9] Азотсодержащее гетероциклическое производное по п. [8] или его фармацевтически приемлемая соль, где заместитель в необязательно замещенном низшем алкиле, обозначенном символом R9 в формуле (I), означает, по меньшей мере, один заместитель, выбираемый из приведенной ниже группы а: группа a: (1) галоген, (2) HO, (3) низший алкил-O-, (4) H2N, (5) низший алкил-NH-, (6) (низший алкил)2N-, (7) арил и (8) гетероциклическая группа; указанная гетероциклическая группа предпочтительно означает моноциклическую гетероциклическую группу. [10] Азотсодержащее гетероциклическое производное по любому из пп. [1]-[6] или его фармацевтически приемлемая соль, где символ R9 в формуле (I) означает необязательно замещенный ацил. [11] Азотсодержащее гетероциклическое производное по п. [10] или его фармацевтически приемлемая соль, где необязательно замещенный ацил, обозначенный символом R9 в формуле (I), означает необязательно замещенный низший алкил-CO-, необязательно замещенный циклоалкил-CO-, необязательно замещенный арил-CO-, необязательно замещенная гетероциклическая группа-CO- или необязательно замещенная гетероциклическая группа-низший алкил-CO-. [12] Азотсодержащее гетероциклическое производное по п. [10] или его фармацевтически приемлемая соль, где заместитель в необязательно замещенном ациле, обозначенном символом R9 в формуле (I), означает, по меньшей мере, один заместитель, выбираемый из приведенной ниже группы b: группа b: (1) HO, (2) низший алкил-O-, (3) R101R102N (где R101 и R102, которые могут быть одинаковыми или различными, означают (i) H, (ii) низший алкил, который, необязательно, может быть замещен группами: HO, низший алкил-O-, NH2, H2N-CO-, ацил-NH-, низший алкил-NH-, циклоалкил, HO-циклоалкил, гетероциклическая группа или (низший алкил)2N-, (iii) ацил, (iv) низший алкил-O-CO-, (v) гетероциклическая группа или (vi) арил, который, необязательно, может быть замещен галогеном), (4) галоген, (5) оксо (O=), (6) циклоалкил, который, необязательно, может быть замещен R101R102N, (7) арил, (8) гетероциклическая группа, (9) низший алкил, который, необязательно, может быть замещен HO, низший алкил-O-, арилом, ацилом или гетероциклической группой, (10) ацил, который, необязательно, может быть замещен оксо (O=), (11) H2N-CO-, (12) низший алкил-SO2 и (13) гетероциклическая группа-SO2-. [13] Азотсодержащее гетероциклическое производное по любому из пп. [1]-[6] или его фармацевтически приемлемая соль, где символ R9 в формуле (I) означает HO-OC-, необязательно замещенный низший алкил-O-CO-, H2N-CO-, необязательно замещенный низший алкил-NH-CO-, (необязательно замещенный низший алкил)2N-CO- или необязательно замещенный низший алкил-SO2-. В азотсодержащих гетероциклических производных или его фармацевтически приемлемых солях по любому из пп. [1]-[13] символы R4 и R5 в указанной выше формуле (I) более предпочтительно означают низший алкил и наиболее предпочтительно указанные R4 и R5 означают метильную группу. [14] Азотсодержащее гетероциклическое производное по п. [1] или его фармацевтически приемлемая соль, которое представляет собой, по меньшей мере, одно соединение, выбираемое из группы, включающей: 4-[(E)-2-(2,6-диметилфенил)винил]хинуклидин, 4-[(E)-2-(2-хлор-6-метилфенил)винил]пиперидин, 4-[(Z)-2-(2,6-диметилфенил)винил]пиперидин, 4-[(E)-2-(2,6-диметилфенил)винил]пиперидин, 3,5-диметил-4-[(E)-2-пиперидин-4-илвинил]бензонитрил, N,N,3,5-тетраметил-4-[(E)-2-пиперидин-4-илвинил]анилин, 2-[(E)-2-(2,6-диметилфенил)винил]пиперидин, 4-[(E)-2-(2,6-диметилфенил)винил]азепан, 4-[(2E)-3-(2,6-диметилфенил)проп-2-ен-1-ил]пиперидин, 3-[(E)-2-(2,6-диметилфенил)винил]-1-метилпиперидин, 1-бензил-4-[(E)-2-(2,6-диметилфенил)винил]пиперидин, (2-{4-[(E)-2-(2,6-диметилфенил)винил]пиперидин-1-ил}этил)диметиламин, 5-({4-[(E)-2-(2,6-диметилфенил)винил]пиперидин-1-ил}карбонил)-1Н-1,2,4-триазол-3-амин, 4-(2-{4-[(E)-2-(2,6-диметил-4-феноксифенил)винил]пиперидин-1-ил}-2-оксоэтил)морфолин, 4-(2-{2-[(E)-2-(2,6-диметилфенил)винил]пиперидин-1-ил}-2-оксоэтил)морфолин, 1-(2-{4-[(E)-2-(2,6-диметилфенил)винил]пиперидин-1-ил}-2-оксоэтил)-4-(пиридин-3-илкарбонил)пиперазин, (2-{4-[(E)-2-(2,6-диметилфенил)винил]пиперидин-1-ил}-1,1-диметил-2-оксоэтил)амин, [1-({4-[(E)-2-(2,6-диметилфенил)винил]пиперидин-1-ил}карбонил)циклобутил]амин, 4-[(E)-2-(2,6-диметилфенил)винил]-1-[(2S)-пирролидин-2-илкарбонил]пиперидин, 4-[(E)-2-(2,6-диметилфенил)винил]-1-(1Н-имидазол-1-илацетил)пиперидин, N-(2-{4-[(E)-2-(2,6-диметилфенил)винил]пиперидин-1-ил}-2-оксоэтил)оксетан-3-амин, N-{2-[(2-[4-[(E)-2-(2,6-диметилфенил)винил]пиперидин-1-ил]-2-оксоэтил)амино]этил}ацетамид, 2-[(2-{4-[(E)-2-(2,6-диметилфенил)винил]пиперидин-1-ил}-2-оксоэтил)амино]этанол, 1-(2-{4-[(E)-2-(2,6-диметилфенил)винил]пиперидин-1-ил}-2-оксоэтил)пиперидин-2-карбоксамид, 1-(2-{4-(E)-2-(2,6-диметилфенил)винил]пиперидин-1-ил}-2-оксоэтил)-3,5-диметилпиперидин, 4-[(E)-2-(2,6-диметилфенил)винил]-1-[(4-пирролидин-1-илпиперидин-1-ил)ацетил]пиперидин, 4-(2-{4-[(E)-2-(2,6-диметилфенил)винил]пиперидин-1-ил}-2-оксоэтил)морфолин, [4-(2-{4-[(E)-2-(2,6-диметилфенил)винил]пиперидин-1-ил}-2-оксоэтил)морфолин-2-ил]метанол, 4-(2-{4-[(E)-2-(2,6-диметилфенил)винил]пиперидин-1-ил}-2-оксоэтил)-1,4-оксазепан, 1-(2-{4-[(E)-2-(2,6-диметилфенил)винил]пиперидин-1-ил}-2-оксоэтил)пиперидин-4-амин, 1-(2-{4-[(E)-2-(2,6-диметилфенил)винил]пиперидин-1-ил}-2-оксоэтил)пиперазин, (1R,4R)-2-(2-{4-[(E)-2-(2,6-диметилфенил)винил]пиперидин-1-ил}-2-оксоэтил)-2,5-диазабицикло[2.2.1]гептан и (2-{4-[(E)-2-(2,6-диметилфенил)винил]пиперидин-1-ил}-2-оксоэтил)метил[(3R)-тетрагидрофуран-3-ил]амин. [15] Фармацевтическая композиция, включающая азотсодержащее гетероциклическое производное по любому из пп. [1]-[14] или его фармацевтически приемлемую соль, и фармацевтически приемлемый носитель. [16] Фармацевтическая композиция по п. [15], являющаяся ингибитором натриевых каналов. [17] Фармацевтическая композиция по п. [15] или [16], являющаяся терапевтическим средством от невропатической боли. [18] Фармацевтическая композиция по п. [17], являющаяся терапевтическим средством от диабетической невропатической боли. [19] Применение азотсодержащего гетероциклического производного по любому из пп. [1]-[14] или его фармацевтически приемлемой соли для получения фармацевтической композиции. [20] Применение азотсодержащего гетероциклического производного по п. [19] или его фармацевтически приемлемой соли для получения терапевтического средства от невропатической боли. [21] Применение азотсодержащего гетероциклического производного по п. [20] или его фармацевтически приемлемой соли для получения терапевтического средства от диабетической невропатической боли. [22] Способ лечения болезни, связанной с натриевым каналом, включающий введение пациенту терапевтически эффективной дозы азотсодержащего гетероциклического производного по любому из пп. [1]-[12] или его фармацевтически приемлемой соли. [23] Способ лечения невропатической боли, включающий введение пациенту терапевтически эффективной дозы азотсодержащего гетероциклического производного по п. [22] или его фармацевтически приемлемой соли. [24] Способ лечения диабетической невропатической боли, включающий введение пациенту терапевтически эффективной дозы азотсодержащего гетероциклического производного по п. [23] или его фармацевтически приемлемой соли. НАИЛУЧШИЙ СПОСОБ ОСУЩЕСТВЛЕНИЯ ИЗОБРЕТЕНИЯ Ниже подробно описаны соединения по настоящему изобретению, представленные формулой (I) (здесь далее иногда называемые просто “соединение (I) по настоящему изобретению”). [Определения] В приведенных в описании определениях структурных формул используемый термин “низший” означает линейную или разветвленную углеводородную цепь с числом атомов углерода от 1 до 6, если не оговорено особо. Примеры используемого термина “низший алкил” включают, например, метил, этил, пропил, изопропил, бутил, изобутил, вторбутил, трет-бутил, пентил, изопентил, неопентил, трет-пентил, гексил, изогексил и тому подобное, предпочтительно метил, этил, пропил, бутил и трет-бутил. Используемый термин “низший алкенил” означает углеводородную группу, содержащую, по меньшей мере, одну двойную связь, и включает, например, винил, пропенил, аллил, изопропенил, гексенил и тому подобное. Используемый термин “низший алкинил” означает углеводородную группу, содержащую, по меньшей мере, одну тройную связь, и включает, например, этинил, пропинил, бутинил и тому подобное. Используемый термин “циклоалкил” означает алифатическую насыщенную углеводородную группу с 1-3 циклами и количеством углеродов от 3 до 14 и включает, например, циклопропил, циклобутил, циклопентил, циклогексил, циклогептил, циклооктил, бициклогептил, бициклооктил, бициклононил, бициклодеканил, трициклононил, трициклодеканил, трициклоундеканил, трициклододеканил, бицикло[2.2.1]гептил, бицикло[2.2.2]октил и тому подобное, предпочтительно циклопропил, циклобутил, циклопентил, циклогексил, циклогептил и циклооктил. Используемый термин “арил” означает ароматическую углеводородную группу с 1-3 циклами и количеством атомов углерода от 6 до 14, где циклоалкил, необязательно, может быть конденсирован с фенилом. Арил включает, например, фенил, инденил, нафтил, антрил, фенантрил, инданил, тетрагидронафтил и тому подобное, предпочтительно фенил и нафтил. Используемый термин “гетероциклическая группа” означает 4-16-членное моноциклическое, бициклическое или трициклическое насыщенное или ненасыщенное кольцо, содержащее 1-4 гетероатома, выбираемых из N, S и O. Указанная гетероциклическая группа, необязательно, может иметь внутренний мостик или может, необязательно, принимать спироформу. Ненасыщенный цикл включает ароматический цикл (гетероарил) и неароматический цикл. Моноциклическая группа включает азетидинил, оксетанил, пирролидинил, тетрагидрофуранил, 1,3-диоксоранил, тетрагидро-2H-пиранил, пиразолидинил, пиперазинил, пиперидинил, морфолинил, тиоморфолинил, 1,4-оксазепанил, тритианил, диоксоранил, фурил, тиенил, пирролил, 2,5-дигидро-1Н-пиррол-1-ил, имидазолил, пиразолил, тиазолил, оксазолил, пиридил, пиразинил, пиримидил, триазолил, тиадиазолил, пиридазинил, триазинил, тетрагидропиранил, оксадиазолил и тому подобное; бициклическая группа включает индолинил, изоиндолинил, 3,4-метилендиоксифенил, 3,4-этилендиоксифенил, бензофуранил, бензотиенил, бензотиадиазолил, бензотиазолил, бензимидазолил, индолил, 2,3-дигидроиндолил, хинолил, изохинолил, 1,2,3,4-тетрагидрохинолил, декагидрохинолил, 1,2,3,4-тетрагидроизохинолил, декагидроизохинолил и тому подобное; и трициклическая группа включает карбазолил, акридинил, фенотиадинил и тому подобное. Гетероциклическая группа с внутренним мостиком включает хинуклидинил, 2,5-диазабицикло[2.2.1]гептил, 8-азабицикло[3.2.1]октил, 7-азабицикло[2.2.1]гептил и тому подобное. Спирогетероциклическая группа включает 1,4-диокса-8-азаспиро[4.5]деканил и тому подобное. Используемый термин “азотсодержащий гетероарил” означает 4-10-членный моно- или бициклический азотсодержащий гетероарил с 1-3 атомами азота в вышеуказанных гетероциклических группах и включает, например, пирролил, имидазолил, пиразолил, триазолил, тетразолил, пиридил, пиридазил, пиримидил, пиразил, триазил, индолил, изоиндолил, бензимидазолил, бензопиразолил, пирролопиридил, имидазопиридил, хинолил, изохинолил, хиноксалил и тому подобное, предпочтительно имидазолил, пиридил и хинолил. Используемый термин “азотсодержащая насыщенная гетероциклическая группа” означает 3-10-членный моно- или бициклический азотсодержащий гетероциклоалкил с 1-3 атомами азота в вышеуказанных гетероциклических группах и включает, например, азиридинил, азетидинил, пирролидил, пиперидил, пиперазил, морфолинил, гексагидроазепинил, 1,4-диазепинил, 1,4-оксазепинил, хинуклидинил, 2,5-диазабицикло[2.2.1]гептан, азабициклооктил (например, азабицикло[3.2.1]октил), диазабициклооктил, азабициклононил, азабициклодеканил, 1,4-диокса-8-азаспиро[4.5]деканил и тому подобное, предпочтительно пирролидил, пиперидил, пиперазил, морфолинил, гексагидроазепинил, 1,4-диазепинил, 1,4-оксазепинил, хинуклидинил, 2,5-диазабицикло[2.2.1]гептан и азабицикло[3.2.1]октил. Используемый термин “азотсодержащая гетероциклическая группа” означает вышеуказанный азотсодержащий гетероарил, вышеуказанную азотсодержащую насыщенную гетероциклическую группу или группу, образованную конденсацией азотсодержащей гетероциклической группы или азотсодержащего гетероарила и азотсодержащего гетероциклоалкила, и предпочтительно означает пирролидил, пиперидил, морфолинил, гексагидроазепинил, азабицикло[3.2.1]октил, 1,4-диокса-8-азаспиро[4.5]деканил, имидазолил, пиридил и хинолил. “Ацил” включает HCO-, низший алкил-CO-, низший алкенил-CO-, циклоалкил-CO-, арил-CO-, гетероциклическая группа-CO-, гетероциклическая группа-низший алкил-CO-, гетероциклическая группа-низший алкенил-CO-, гетероциклическая группа-низший алкинил-CO-, низший алкил-CS-, низший алкенил-CS-, циклоалкил-CS-, арил-CS-, гетероциклическая группа-CS-, гетероциклическая группа-низший алкил-CS-, гетероциклическая группа-низший алкенил-CS- и гетероциклическая группа-низший алкинил-CS-. Предпочтительно, ацил означает низший алкил-CO-, циклоалкил-CO-, арил-CO-, гетероциклическая группа-CO- и гетероциклическая группа-низший алкил-CO-. Указанная гетероциклическая группа-CO- более предпочтительно означает моноциклическая гетероциклическая группа-CO-. Конкретными примерами являются HCO-, ацетил, пропионил, циклопропилкарбонил, циклобутилкарбонил, циклопентилкарбонил, циклогексилкарбонил, азетидин-2-илкарбонил, 2,5-дигидро-1H-пиррол-1-илметилкарбонил, пирролидин-2-илкарбонил, пирролидин-1-илметилкарбонил, пиперидин-2-илкарбонил, пиперидин-3-илкарбонил, пиперидин-4-илкарбонил, морфолин-2-илкарбонил, морфолин-3-илкарбонил, морфолин-4-илметилкарбонил, 1,4-оксазепан-4-ил-карбонил, 1,4-оксазепан-4-ил-метилкарбонил, пиперидин-1-илметилкарбонил, бензоил, имидазол-4-илкарбонил, имидазол-1-илметилкарбонил, 1,2,4-триазол-2-илкарбонил, пиридин-2-илкарбонил, никотиноил, пиридин-2-илметилкарбонил, изоникотиноил, бензимидазол-5-илкарбонил, теноил, пирролидинилкарбонил, пиперидинилкарбонил, 2,5-диазабицикло[2.2.1]гептан-1-илметилкарбонил и т.д. “Галоген” включает фтор, хлор, бром и иод, предпочтительно, фтор и хлор. Заместитель в группах “необязательно замещенный низший алкил” и “необязательно замещенный циклоалкил” включает, по меньшей мере, один из заместителей, выбираемых из группы a. Заместитель в группах “необязательно замещенный ацил”, “необязательно замещенный низший алкил-SO2-” и “необязательно замещенная гетероциклическая группа-SO2-” включает, по меньшей мере, один из заместителей, выбираемых из группы b. Группа a: (1) галоген, (2) HO, (3) низший алкил-O-, (4) H2N, (5) низший алкил-NH-, (6) (низший алкил)2N-, (7) арил и (8) гетероциклическая группа; указанная гетероциклическая группа предпочтительно представляет собой моноциклическую гетероциклическую группу. Группа b: (1) HO, (2) низший алкил-O-, (3) R101R102N (где R101 и R102, которые могут быть одинаковыми или различными, означают (i) H, (ii) низший алкил, который, необязательно, может быть замещен HO, низший алкил-O-, NH2, H2N-CO-, ацил-NH-, низший алкил-NH-, циклоалкилом, HO-циклоалкилом, гетероциклической группой или (низший алкил)2N-, (iii) ацил, (iv) низший алкил-O-CO-, (v) гетероциклическая группа или (vi) арил, который, необязательно, может быть замещен галогеном), (4) галоген, (5) оксо (O=), (6) циклоалкил, который, необязательно, может быть замещен R101R102N, (7) арил, (8) гетероциклическая группа, (9) низший алкил, который, необязательно, может быть замещен HO, низший алкил-O-, арилом, ацилом или гетероциклической группой, (10) ацил, который, необязательно, может быть замещен оксо (O=), (11) H2N-CO-, (12) низший алкил-SO2 и (13) гетероциклическая группа-SO2-. Соединение (I) по настоящему изобретению может быть представлено оптическими изомерами (энантиомеры, диастереомеры и т.д.) или геометрическими изомерами в зависимости от типа заместителей. Следовательно, соединение (I) по настоящему изобретению включает эти оптические изомеры или геометрические изомеры или в изолированной форме, или в виде смесей. Соединение (I) по настоящему изобретению может образовывать аддитивную соль с кислотой или с основанием. Конкретные примеры таких солей включают кислотно-аддитивные соли с неорганической кислотой, такой как хлористоводородная кислота, бромистоводородная кислота, серная кислота, азотная кислота, фосфорная кислота и т.д.; с органической кислотой, такой как муравьиная кислота, уксусная кислота, пропионовая кислота, щавелевая кислота, малоновая кислота, янтарная кислота, фумаровая кислота, малеиновая кислота, молочная кислота, яблочная кислота, лимонная кислота, винная кислота, угольная кислота, пикриновая кислота, метансульфоновая кислота, этансульфоновая кислота, глутаминовая кислота и т.д.; основно-аддитивные соли с неорганическим основанием, таким как натрий, калий, магний, кальций, алюминий и т.д., органическим основанием, таким как метиламин, этиламин, моноэтаноламин, диэтаноламин, триэтаноламин, циклогексиламин, лизин, орнитин и т.д. Кроме того, соединение (I) по настоящему изобретению или его фармацевтически приемлемые соли могут образовывать гидраты, сольваты с этанолом и т.д. или характеризоваться полиморфизмом. Более того, соединение (I) по настоящему изобретению включает все так называемые пролекарства, т.е. соединения, преобразующиеся в ходе обмена веществ in vivo и превращающиеся в соединение (I) по настоящему изобретению или соответствующие фармацевтически приемлемые соли. Примерами группы, образующей пролекарства соединения (I) по настоящему изобретению, являются группы, описанные в Prog. Med. 5: 2157-2161 (1985), и группы, описанные в “Iyakuhin no Kaihatsu” (Development of Pharmaceuticals) published in 1990 by Hirokawa Shoten, Vol. 7, “Molecular Design”, pages 163-198. В частности, такая группа представляет собой группу, которая может быть превращена в первичный амин или вторичный амин, HO-, HO-CO- и т.д., описанные в данном изобретении, путем гидролиза или сольволиза в условиях жизнедеятельности. Пролекарства для HO- включают, например, необязательно замещенный низший алкил-COO-, необязательно замещенный арил-CO-O-, RO-CO-необязательно замещенный низший алкилен-CO-O- (где R означает H- или низший алкил; в дальнейшем то же самое), RO-CO-необязательно замещенный низший алкенилен-CO-O-, RO-CO-низший алкилен-O-низший алкилен-CO-O-, RO-CO-CO-O-, ROS(=O)2-необязательно замещенный низший алкенилен-CO-O-, фталидил-O-, 5-метил-1,3-диоксолен-2-он-4-илметилокси и т.д. [Способы получения] Соединение (I) по настоящему изобретению может быть получено применением разнообразных синтетических методик с учетом характерных особенностей, определяемых основным скелетом или типом заместителей. Характерные способы описаны ниже. СПОСОБ 1: (где A, R1-R13 и n принимают вышеуказанные значения; в дальнейшем то же самое). Соединение (Ia) по настоящему изобретению может быть получено по реакции Виттига (Org. React., 14, 270-490 (1965)) при осуществлении взаимодействия фосфониевой соли (II) с альдегидом или кетоном (III) обычным способом. Реакционный растворитель, который может быть использован, включает растворитель, инертный к данному взаимодействию, такой как тетрагидрофуран, диоксан, диметилформамид, диметилсульфоксид, толуол и т.д. В качестве основания может быть использован гидрид натрия, трет-бутилат калия, этилат натрия, литийдиизопропиламид и т.д. Взаимодействие может быть выполнено в условиях, охватывающих интервал от охлаждения (например, -70°C) до нагревания. СПОСОБ 2: Соединение (Ib) по настоящему изобретению может быть получено альдольной конденсацией (Org. React., 16, 1-438 (1968)) альдегида (IV) с (V) обычным способом. Реакционный растворитель, который может быть использован, включает растворитель, инертный к данному взаимодействию, такой как тетрагидрофуран, диоксан, диметилформамид, диметилсульфоксид, толуол и т.д. Взаимодействие может быть осуществлено в основных условиях, и в этом случае может быть использован гидрид натрия, трет-бутилат калия, этилат натрия, литийдиизопропиламид, литийбис(триметилсилил)амид и т.д. В качестве кислоты, используемой при осуществлении взаимодействия в кислотных условиях, может быть использована хлористоводородная кислота, трифторуксусная кислота, п-толуолсульфоновая кислота, трифторид бора, трихлорид алюминия, тетрахлорид титана и т.д. Взаимодействие может быть выполнено в условиях, охватывающих интервал от охлаждения (например, -70°C) до нагревания. СПОСОБ 3: (где М означает Li, MgCl и т.д.; в дальнейшем то же самое). Соединение (Ic) по настоящему изобретению может быть получено при взаимодействии арилметалла, такого как ариллитий, арильного производного реактива Гриньяра и т.д. с карбонильным соединением, обычным способом (Org. Synth. III, 200 (1955); Org. React., 6, 339-366 (1964); Org. React., 8, 258-304 (1967)). Реакционный растворитель, который может быть использован, включает растворитель, инертный к данному взаимодействию, такой как диэтиловый эфир, тетрагидрофуран, диоксан, диметилсульфоксид, толуол и т.д. Взаимодействие может быть выполнено в условиях, охватывающих интервал от охлаждения (например, -70°C) до нагревания. В дополнение к вышеуказанным способам соединение (I) по настоящему изобретению может также быть получено, например, по реакции Петерсона (Org. React., 38, 1-223 (1990)), приводящей к образованию тройной связи, с последующим частичным восстановлением (J. Am. Chem. Soc, 77, 3378 (1955); J. Am. Chem. Soc, 99, 2805 (1977); Synthesis, 1973, 457; Tetrahedron 30, 3817 (1974)) и т.д. СПОСОБ 4 (алкилирование): (где R9a означает R9, отличный от H, и X1 означает уходящую группу, такую как галоген, метансульфонилокси, п-толуолсульфонилокси и т.д.; в дальнейшем то же самое). Данный способ представляет собой алкилирование. На этот раз алкилирование осуществляют, как в способах, описанных выше, например, в инертном к взаимодействию растворителе, используя амин (Id) и соединение (VIII) с уходящей группой, соответствующей взаимодействию, в отвечающем взаимодействию химически эквивалентном количестве или в избытке одного из реагентов, в условиях, охватывающих интервал от охлаждения до нагревания. В некоторых случаях взаимодействие протекает легко в присутствии основания (например, неорганического основания, такого как карбонат калия, карбонат натрия, карбонат цезия и т.д.; органического основания, такого как триэтиламин, диизопропилэтиламин и т.д.; алкоголятов металлов, таких как трет-бутилат калия, трет-бутилат натрия и т.д.; гидрида натрия; гидрида лития и т.д.), вспомогательной добавки (тетра-н-бутиламмонийиодида, иодида калия, иодида натрия и т.д.), что предпочтительно. Реакционный растворитель, который может быть использован, включает растворитель, инертный к данному взаимодействию, такой как тетрагидрофуран, дихлорметан, дихлорэтан, ацетонитрил, диметилформамид, диметилсульфоксид и т.д. СПОСОБ 5: (где R9b-CO- означает необязательно замещенный ацил и X2 означает OH; уходящую группу, такую как галоген, 1-гидроксибензотриазол-1-илокси, метокси, фенокси, азидо и т.д., или удаляемый остаток в смешанном ангидриде или симметричном ангидриде; в дальнейшем то же самое.) Указанный способ представляет собой амидирование. В данном случае амидирование выполняют, как в описанных выше способах, например, осуществляя взаимодействие амина (Id) с карбоновой кислотой или соответствующим производным (IX) в химически эквивалентном количестве, согласно способам, описанным, например, M. Bodanszky, “Peptide Chemistry” (1988, pages 55-73), Nobuo Izumiya, et. al, “Basis and Experimentals of Peptide Synthesis” (1985, pages 89-142) и т.д. В частности, данное взаимодействие предпочтительно осуществлять способом, предусматривающим применение общепринятого конденсирующего агента (дициклогексилкарбодиимида, 1-этил-3-(3-диметиламинопропил)карбодиимида, 1,1′-карбонилдиимидазола (CDI) и т.д.); по методу смешанных ангидридов с использованием этилхлорформиата или изобутилхлорформиата; по методу симметричных ангидридов с использованием этоксиацетилена, алкиниламина, такого как трет-бутилэтинилдиметиламин, и т.д. При необходимости может быть использован катализатор, такой как 1-гидроксибензотриазол и т.д. Взаимодействие также может быть осуществлено по реакции карбоновой кислоты с галогенирующим агентом, таким как тионилхлорид, оксалилхлорид, оксихлорид фосфора и т.д., в целях превращения кислоты в реакцинно-способное производное, такое как галогенангидрид, и осуществления последующего взаимодействия реакцинно-способного производного с первичным или вторичным амином. Взаимодействие проводят в растворителе, инертном к данному взаимодействию, таком как тетрагидрофуран, диоксан, дихлорметан, дихлорэтан, диметилформамид, диметилсульфоксид, толуол и т.д., при необходимости, в присутствии основания (например, органического основания, такого как триэтиламин, диизопропилэтиламин, пиридин, и т.д.; неорганического основания, такого как карбонат калия, гидрокарбонат натрия и т.д.), в условиях, охватывающих интервал от охлаждения льдом до нагревания, при перемешивании. СПОСОБ 6: (где R9C означает группу, имеющую число атомов углерода, на один меньше, чем необязательно замещенный низший алкил, обозначенный R9, в дальнейшем то же самое). Указанный способ представляет собой восстановительное аминирование. В частности, взаимодействие осуществляют, как описано в вышеуказанных способах, например, по реакции амина (Id) с альдегидом и кетоном (X) в стандартных условиях восстановительного аминирования, например, по способу, описанному в “Experimental Chemistry Series (Maruzen)” (4th edition, 20, 1992, page 300), edited by The Chemical Society of Japan, и т.д. А именно, соединение (Ig) может быть получено осуществлением взаимодействия амина с химически эквивалентным количеством альдегида или кетона в инертном для данного взаимодействия растворителе, таком как тетрагидрофуран, диоксан, дихлорметан, дихлорэтан, диметилформамид, диметилсульфоксид, толуол и т.д., в присутствии восстанавливающего агента, такого как цианоборгидрид натрия, триацетоксиборгидрид натрия, боргидрид натрия, муравьиная кислота и т.д., в условиях, охватывающих интервал от охлаждения льдом до нагревания, при перемешивании. В некоторых случаях взаимодействие легче осуществлять в присутствии кислоты (например, кислоты Льюиса, такой как тетраизопропилат титана и т.д.; уксусной кислоты; п-толуолсульфоновой кислоты и т.д.), что предпочтительно. Вышеуказанное восстановление может также быть выполнено в вышеуказанном инертном растворителе по реакции каталитического восстановления в присутствии катализатора на основе металла, такого как палладий (Pd), платина (Pt) и т.д. Восстанавливающий агент может быть добавлен сразу же после смешивания первичного или вторичного амина с альдегидом или кетоном или спустя некоторое время. Выше представлены способы получения характерных соединений. Кроме того, соединения, отличные от соединений по настоящему изобретению, или исходные соединения, но с подобными заместителями могут быть подвергнуты взаимодействиям с целью модификации заместителей, отвечающих вышеуказанным способам, для получения соединений по настоящему изобретению. В дополнение к вышеуказанным способам эти соединения могут быть получены другими хорошо известными способами, включающими стандартное имидирование или амидирование, или способами, описанными в “Experimental Chemistry Series (Maruzen)” (4th edition, 25, pages 396-427) edited by The Chemical Society of Japan, Protective Group Organic Synthesis, Second Ed., John Wiley & Sons, Inc., or Angew. Chem. Int. Ed. Engl. 1998, 37, p2046-2067 и т.д. Полученное таким образом соединение (I) по настоящему изобретению выделяют в свободной форме или в виде солей. Соль соединения (I) по настоящему изобретению может быть получена с применением стандартной методики получения солей к соединениям (I) по настоящему изобретению в виде свободного основания. Также соединение (I) по настоящему изобретению или соответствующая соль могут быть выделены и очищены в форме гидрата, сольвата или полиморфной формы. Выделение и очистку осуществляют, используя стандартные химические приемы, включающие экстракцию, концентрацию, перегонку, кристаллизацию, фильтрацию, перекристаллизацию, различные методы хроматографии и т.д. Различные изомеры могут быть разделены путем подбора соответствующего исходного соединения или использованием различия в физических и химических свойствах между изомерами. Например, оптические изомеры могут быть превращены в стереохимически чистые изомеры путем подбора соответствующих исходных соединений или рацемическим разделением исходных рацемических соединений (например, по способу оптического разделения, который включает превращение рацемических соединений в диастереомерные соли с обычными оптически активными кислотами и т.д.). [Получение композиций] Различные общепринятые технологии приготовления лекарственного средства применимы для соединения (I) по настоящему изобретению. Характерные приемы получения композиций приведены ниже. Фармацевтическая композиция может содержать один или два или более типов соединения (I) по настоящему изобретению или его фармацевтически приемлемых солей в качестве эффективного ингредиента и фармацевтически приемлемые носители, указанный состав может быть представлен в виде таблеток, порошков, тонко измельченных гранул, гранул, капсул, пилюль, жидкостей, инъекций, суппозиториев, мазей, кашиц или тому подобного с использованием обычно применяемых для получения фармацевтических препаратов носителей и наполнителей и других вспомогательных веществ. Полученные составы вводят перорально (включая подъязычное введение) или парентерально. Клиническая доза соединения (I) по настоящему изобретению или его фармацевтически приемлемых солей для человека подбирается соответственно в зависимости от симптомов, возраста, пола и массы тела конкретного пациента, которому вводят соединение (I) или его фармацевтически приемлемые соли. Обычно соединение (I) или его фармацевтически приемлемые соли вводят перорально взрослым в дозе от 1 до 1000 мг в день за один прием или в виде раздельных доз, в форме твердой композиции или жидкой композиции. Альтернативно соединение вводят внутривенно взрослым в дозе от 1 до 500 мг в день за один прием или в виде раздельных доз или вводят внутривенно методом замедленного высвобождения за период от 1 часа до 24 часов в день. Как указано выше, поскольку доза может варьироваться в зависимости от различных условий, то иногда может быть достаточной доза ниже вышеуказанного предела. В случае твердой композиции для перорального введения по настоящему изобретению используют таблетки, порошки, гранулы и тому подобное. Для такой твердой композиции одно или более активных веществ смешивают с, по меньшей мере, одним неактивным растворителем, например, таким как лактоза, маннит, глюкоза, гидроксипропилцеллюлоза, микрокристаллическая целлюлоза, крахмал, поливинилпирролидон или метасиликаталюминат магния. Согласно общепринятой методике композиция может дополнительно содержать добавки, отличные от неактивных растворителей, например скользящие вещества, такие как стеарат магния, дезинтегрирующие средства, такие как кальцийгликолят целлюлозы, стабилизаторы, такие как лактоза, солюбилизирующие или способствующие растворению средства, такие как глутаминовая кислота или аспарагиновая кислота. Таблетки или пилюли могут быть покрыты сахаром или покрыты растворимой в желудке или энтеросолюбильной оболочкой с применением сахарозы, желатина, гидроксипропилцеллюлозы и фталата гидроксипропилметилцеллюлозы и тому подобного. Жидкая композиция для перорального введения содержит фармацевтически приемлемые эмульгаторы, солюбилизирующие средства, суспендирующие средства, сиропы, эликсиры и тому подобное, а также включает общеприменимые неактивные растворители, например дистиллированную воду или этиловый спирт. Композиция может дополнительно содержать вспомогательные средства, такие как солюбилизирующие или способствующие растворению средства, увлажнители и суспендирующие средства, подсластители, корригенты, ароматизирующие средства и консерванты. Инъекции для парентерального введения включают асептическиие, водные или неводные солюбилизаторы, суспендирующие средства и эмульгаторы. Водные солюбилизаторы и суспендирующие средства включают, например, дистиллированную воду для инъекций и физиологический раствор. Нерастворимые в воде солюбилизаторы и суспендирующие средства включают, например, пропиленгликоль, полиэтиленгликоль, растительные масла, такие как оливковое масло, спирты, такие как этанол, полисорбат 80 (фирменное наименование) и т.д. Такая композиция может дополнительно содержать добавки, включающие изотонические средства, консерванты, увлажнители, эмульгаторы, диспергирующие средства, стабилизаторы (например, лактозу) и солюбилизирующие или способствующие растворению средства. Указанные инъекции стерилизуют путем фильтрования через, например, удерживающий бактерии фильтр, или дополнительно используя стерилизаторы или облучение. Указанные инъекции могут также быть получены в виде асептических твердых композиций, и полученные асептические твердые композиции предназначены для применения после растворения в асептической воде или в асептическом растворителе для инъекций непосредственно перед употреблением. Кроме того, соединение (I) по настоящему изобретению может быть использовано в комбинации с терапевтическими средствами от вышеуказанных болезней или с другими лекарственными средствами, действующими против боли по другому механизму, иному, чем блокирование натриевых каналов. Обезболивающие лекарственные средства, которые можно использовать в комбинации, включают наркотические аналгетики, антипиретические аналгетики, нестероидные противовоспалительные средства и т.д. Примеры Далее настоящее изобретение описано более подробно следующими примерами, которые не могут рассматриваться в качестве ограничивающих. Используемые исходные соединения описаны в стандартных примерах. Химические структуры отдельных соединений, полученных в примерах, номера примеров, соответствующие соединениям, и структурные особенности представлены ниже в таблицах 1-13, а физико-химические свойства указанных соединений приведены в таблицах 14-25. Примеры получения используемых в примерах исходных соединений описаны, в частности, в стандартных примерах 1-33. Химические структуры соединений, полученных в стандартных примерах 4-15, 17, 22-25, 28-29 и 31-32, приведены в таблице 26, и физико-химические свойства соединений, отвечающих стандартным примерам 1-33, приведены в таблице 27. Таблицы 1-25, относящиеся к примерам, и таблицы 26 и 27, относящиеся к стандартным примерам, приведены в конце описания. Используемые в таблицах 1-25, относящихся к примерам, и таблицах 26 и 27, относящихся к стандартным примерам, символы означают следующее. Rf: стандартный пример №, Пр.: пример №, Me: метил, Et: этил, Pr: пропил, iPr: изопропил, Bu: бутил, iBu: изобутил, tBu: трет-бутил, Ph: фенил, Ac: ацетил, Bn: бензил, cBu: циклобутил, cPen: циклопентил, cHex: циклогексил, cHep: циклогептил, Mo: морфолин, ThioMo: тиоморфолин, Py: пиридин, Pyrrolid: пирролидин, Piperi: пиперидин, Pipera: пиперазин, IM: имидазол, MeO: метокси, EtO: этокси, Me2N: диметиламино, PhO: фенокси, Bu2N: дибутиламино, yl: ил, Соль: соль, fum: фумарат, difumarate: дифумарат, dimaleate: дималеат, Структура: структурная формула, ЯМР: спектр ядерного магнитного резонанса (если не оговорено особо, 400 МГц, ДМСО-d6, ТМС-внутренний стандарт, Стандартный пример 1 1) 3,32 г анилина добавляют к раствору 4,99 г 2-хлорбензальдегида в 48 мл бензола и смесь нагревают до температуры кипения с обратным холодильником в течение 20 часов. После концентрации реакционной смеси при пониженном давлении концентрат азеотропно перегоняют с толуолом, получая 6,16 г желтого масла. Желтое масло растворяют в 120 мл уксусной кислоты и к раствору добавляют 5,45 г ацетата палладия с последующим нагреванием до температуры кипения с обратным холодильником в течение 2 часов. После охлаждения к реакционной смеси добавляют воду и выпавшие в осадок кристаллы собирают фильтрованием. Кристаллы растворяют в 50 мл метиленхлорида и к раствору добавляют 75 мл насыщенного водного раствора хлорида натрия и 50 мл ацетона. Смесь перемешивают при температуре окружающей среды в течение 15 часов. Выпавшие в осадок кристаллы собирают фильтрованием и промывают этанолом, бензолом и метиленхлоридом, получая 5,50 г зеленых кристаллов. Кристаллы суспендируют в 250 мл бензола и к суспензии добавляют 8,08 г трифенилфосфина с последующим перемешиванием при температуре окружающей среды в течение 50 минут. К реакционной смеси добавляют 13 мл 1,2 M метиллития в диэтиловом эфире. Смесь перемешивают в течение 2 часов и затем добавляют 250 мл 1н. хлористоводородной кислоты с последующим перемешиванием в течение 2 часов. Реакционную смесь экстрагируют диэтиловым эфиром. Органический слой промывают насыщенным водным раствором хлорида натрия и затем сушат над безводным сульфатом натрия. После фильтрования фильтрат концентрируют и полученный остаток очищают хроматографией на колонке с силикагелем (смесь гексан-этилацетат), получая 1,51 г 2-хлор-6-метилбензальдегида в виде светло-желтого масла. 2) При охлаждении льдом 185 мг натрийборгидрида добавляют к раствору 1,51 г 2-хлор-6-метилбензальдегида в 15 мл метанола с последующим перемешиванием в течение 35 минут. Реакционную смесь концентрируют при пониженном давлении и к остатку добавляют насыщенный водный аммонийхлорид. Смесь экстрагируют диэтиловым эфиром. Органический слой промывают насыщенным водным раствором хлорида натрия и затем сушат над безводным сульфатом натрия. После фильтрования фильтрат концентрируют и полученный остаток очищают хроматографией на колонке с силикагелем (смесь гексан-этилацетат), получая 1,24 г 2-хлор-6-метилбензилового спирта в виде бесцветных кристаллов. 3) При охлаждении 5 капель диметилформамида и 0,75 мл тионилхлорида добавляют к раствору 1,24 г 2-хлор-6-метилбензилового спирта в 15 мл толуола. Смесь перемешивают при температуре окружающей среды в течение 2 часов. Реакционную смесь концентрируют при пониженном давлении и затем остаток 3 раза азеотропно перегоняют с 5 мл толуола, получая масло. Полученное масло растворяют в 15 мл ацетонитрила и к раствору добавляют 2,08 г трифенилфосфина. Смесь нагревают до температуры кипения с обратным холодильником в течение 16 часов. Реакционную смесь концентрируют при пониженном давлении и собранные кристаллы промывают этилацетатом, получая 3,15 г (2-хлор-6-метилбензил)(трифенил)фосфонийхлорида в виде бесцветных кристаллов. Стандартный пример 2 К раствору 20,0 г 4-бром-2,6-диметиланилина в 250 мл толуола добавляют 250 мл воды и затем 60 мл этанола, 18,3 г фенилбороновой кислоты, 39,8 г карбоната натрия и 1,1 г хлорида палладия, смесь нагревают до температуры кипения с обратным холодильником в течение 18,5 часов. После охлаждения органический слой фракционируют и водный слой экстрагируют толуолом. Объединенные органические слои промывают насыщенным водным раствором хлорида натрия и затем сушат над безводным сульфатом натрия. После чего растворитель упаривают при пониженном давлении. Остаток очищают хроматографией на колонке с силикагелем (смесь гексан-этилацетат), получая 18,5 г коричневого масла. Масло суспендируют в 45 мл 48% бромистоводородной кислоты и 125 мл воды и к суспензии добавляют по каплям при охлаждении льдом 100 мл водного раствора 7,11 г сульфита натрия. После добавления 0,31 г меди в порошке смесь нагревают до температуры кипения с обратным холодильником в течение 2 часов. Смесь оставляют охлаждаться и затем экстрагируют толуолом. Органический слой промывают 50% водным раствором гидроксида натрия и насыщенным водным раствором хлорида натрия и затем сушат над безводным сульфатом натрия. Растворитель выпаривают при пониженном давлении. Образовавшийся остаток очищают хроматографией на колонке с силикагелем (смесь гексан-этилацетат), получая 5,69 г 4-бром-3,5-диметилбифенила. Стандартный пример 3 К раствору 12,0 г 4-бром-3,5-диметилфенола в 300 мл метиленхлорида добавляют 21,7 г фенилбороновой кислоты, 32,5 г ацетата меди, 126 мл триэтиламина и 36,0 г молекулярных сит (4Å), и смесь нагревают до температуры кипения с обратным холодильником в течение 47 часов. Реакционную смесь фильтруют, и фильтрат концентрируют при пониженном давлении. Остаток очищают хроматографией на колонке с силикагелем (гексан), получая 5,23 г бесцветного масла. Реактив Гриньяра получают из этого масла, 0,51 г магния и 25 мл тетрагидрофурана. При охлаждении льдом к реактиву добавляют по каплям раствор 1,27 г диметилформамида в 15 мл тетрагидрофурана. После перемешивания при температуре окружающей среды в течение 45 минут реакционную смесь выливают в насыщенный водный раствор хлорида аммония с последующей экстракцией диэтиловым эфиром. Органический слой промывают насыщенным водным раствором хлорида натрия и затем сушат над безводным сульфатом натрия и растворитель упаривают при пониженном давлении. Полученный остаток очищают хроматографией на колонке с силикагелем (смесь гексан-этилацетат), получая 3,79 г светло-желтого масла. Полученное масло растворяют в 40 мл метанола. При охлаждении льдом к раствору добавляют 0,32 г натрийборгидрида с последующим перемешиванием при температуре окружающей среды в течение 45 минут. Реакционную смесь концентрируют при пониженном давлении и к остатку добавляют насыщенный водный раствор хлорида аммония с последующей экстракцией этилацетатом. Органический слой промывают насыщенным водным раствором хлорида натрия и затем сушат над безводным сульфатом натрия. Растворитель выпаривают при пониженном давлении, получая 3,78 г (2,6-диметил-4-феноксифенил)метанола. Соединение по стандартному примеру 4 получают тем же способом, что в стандартном примере 3. Соединения по стандартным примерам 5-15 получают тем же способом, что в стандартном примере 1. Стандартный пример 16 После добавления 4,34 г N-бромсукцинимида и 0,54 г бензоилпероксида к раствору 3,03 г 2,3-диметиланизола в 70 мл четыреххлористого углерода смесь нагревают до температуры кипения с обратным холодильником в течение 30 минут. После охлаждения нерастворимое в реакционной смеси твердое вещество отделяют фильтрованием и фильтрат концентрируют при пониженном давлении, получая масло. Полученное масло растворяют в 50 мл бензола и к раствору добавляют 5,82 г трифенилфосфина. Смесь нагревают до температуры кипения с обратным холодильником в течение 11 часов. После охлаждения выпавшие в осадок кристаллы собирают фильтрованием и перекристаллизовывают из смеси метиленхлорид-бензол, получая 6,51 г (2-метокси-6-метилбензил)(трифенил)фосфонийбромида в виде бесцветных кристаллов. Соединение по стандартному примеру 17 получают тем же способом, что в стандартном примере 16. Стандартный пример 18 После добавления 10,4 г карбоната калия и 6,80 мл метилиодида к раствору 10,0 г 4-бром-3,5-диметилфенола в 100 мл ацетона смесь нагревают до температуры кипения с обратным холодильником в течение 15 часов. Реакционную смесь концентрируют при пониженном давлении и к остатку добавляют насыщенный водный раствор хлорида аммония с последующей экстракцией этилацетатом. Органический слой промывают насыщенным водным раствором хлорида натрия и затем сушат над безводным сульфатом натрия. После фильтрования фильтрат концентрируют и полученный остаток очищают хроматографией на колонке с силикагелем (смесь гексан-этилацетат), получая 9,18 г 4-бром-3,5-диметиланизола в виде бесцветного масла. Стандартный пример 19 Этил-4-(гидроксиимино)циклогексанкарбоксилат подвергают взаимодействию в присутствии конц. серной кислоты в этаноле, получая этил-7-оксоазепан-4-карбоксилат. Стандартный пример 20 Этил-7-оксоазепан-4-карбоксилат подвергают взаимодействию в присутствии литийалюмогидрида, получая азепан-4-илметанол. Стандартный пример 21 8,60 мл дитрет-бутилдикарбоната добавляют к раствору 5,00 г 2-пиперидин-4-илэтанола в 50 мл тетрагидрофурана с последующим перемешиванием при температуре окружающей среды в течение 30 минут. Реакционную смесь концентрируют при пониженном давлении, полученный остаток очищают хроматографией на колонке с силикагелем (смесь гексан-этилацетат), получая 8,80 г масла. Масло растворяют в 60 мл диметилсульфоксида и к полученному раствору добавляют 20,5 мл триэтиламина и 12,2 г комплекса триоксид серы-пиридин с последующим перемешиванием при температуре окружающей среды в течение 30 минут. Реакционную смесь выливают в насыщенный водный бикарбонат натрия с последующей экстракцией этилацетатом. Органический слой промывают насыщенным водным раствором хлорида натрия и затем сушат над безводным сульфатом натрия. После фильтрования фильтрат концентрируют и остаток очищают хроматографией на колонке с силикагелем (смесь гексан-этилацетат), получая 6,40 г трет-бутил-4-(2-оксоэтил)пиперидин-1-карбоксилата. Соединения по стандартным примерам 22-25 получают тем же способом, что в стандартном примере 21. Стандартный пример 26 (1-Бензилпирролидин-3-ил)метанол подвергают взаимодействию в присутствии триэтиламина и комплекса триоксид серы-пиридин в диметилсульфоксиде, получая 1-бензилпирролидин-3-карбальдегид. Стандартный пример 27 трет-Бутил-3-оксо-8-азабицикло[3.2.1]октан-8-карбоксилат подвергают взаимодействию в присутствии п-толуолсульфонилметилизоцианида, трет-бутилата калия и этанол в 1,2-диметоксиэтане, получая трет-бутил-3-циано-8-азабицикло[3.2.1]октан-8-карбоксилат. Соединения по стандартным примерам 28-29 получают тем же способом, что в стандартном примере 27. Стандартный пример 30 трет-Бутил-3-циано-8-азабицикло[3.2.1]октан-8-карбоксилат подвергают взаимодействию в присутствии диизобутилалюмогидрида в тетрагидрофуране, получая трет-бутил-3-формил-8-азабицикло[3.2.1]октан-8-карбоксилат. Соединения по стандартным примерам 31-32 получают тем же способом, что в стандартном примере 30. Стандартный пример 33 При охлаждении льдом 18 мл 2-(бромметил)-1,3-диоксолана, 9,87 г трет-бутилата калия и 6,57 г тетрабутиламмонийиодида добавляют к раствору 14,0 г метил-2-оксопиперидин-4-карбоксилата в 300 мл тетрагидрофурана и 50 мл диметилформамида и смесь перемешивают при 70°C в течение 14 часов. Реакционную смесь выливают в воду с последующей экстракцией этилацетатом. Органический слой промывают насыщенным водным раствором хлорида натрия и затем сушат над безводным сульфатом натрия. После фильтрования фильтрат концентрируют и остаток очищают хроматографией на колонке с силикагелем (смесь гексан-этилацетат), получая 4,50 г желтого масла. Полученное масло растворяют в 90 мл тетрагидрофурана и к раствору при охлаждении льдом добавляют 1,00 г литийборгидрида с последующим перемешиванием при температуре окружающей среды в течение 4 часов. Затем к реакционной смеси добавляют насыщенный водный раствор хлорида аммония, смесь экстрагируют хлороформом. Органический слой промывают насыщенным водным раствором хлорида натрия и затем сушат над безводным сульфатом натрия. После фильтрования фильтрат концентрируют и полученный остаток очищают хроматографией на колонке с силикагелем (смесь хлороформ-метанол), получая 2,60 г бесцветного масла. Полученное масло растворяют в 30 мл диметилсульфоксида и к раствору добавляют 5,14 г триэтиламина и 4,04 г комплекса триоксид серы-пиридин с последующим перемешиванием при температуре окружающей среды в течение 1,5 часов. Реакционную смесь выливают в воду с последующей экстракцией хлороформом. Органический слой промывают насыщенным водным раствором хлорида натрия и затем сушат над безводным сульфатом натрия. Растворитель выпаривают при пониженном давлении, получая 2,36 г 1-(1,3-диоксолан-2-илметил)-2-оксопиперидин-4-карбальдегид. Пример 1 264 мг гидрида натрия (55%) добавляют к раствору 2,65 г (2-хлор-6-метилбензил)(трифенил)фосфонийхлорида в 20 мл диметилсульфоксида с последующим перемешиванием при температуре окружающей среды в течение 1 часа. После добавления к реакционной смеси 994 мг трет-бутил-4-формилпиперидин-1-карбоксилата смесь перемешивают при температуре окружающей среды в течение 1 часа. Реакционную смесь выливают в насыщенный водный раствор хлорида аммония с последующей экстракцией этилацетатом. Органический слой промывают водой и насыщенным водным раствором хлорида натрия и затем сушат над безводным сульфатом натрия. После фильтрования фильтрат концентрируют и полученный остаток очищают хроматографией на колонке с силикагелем (смесь гексан-этилацетат), получая 645 мг трет-бутил-4-[(E)-2-(2-хлор-6-метилфенил)винил]пиперидин-1-карбоксилата в виде масла. Пример 2 В качестве исходных материалов используют 5,00 г (2,6-диметилбензил)(трифенил)фосфонийхлорида и 1,79 г трет-бутил-4-формилпиперидин-1-карбоксилата и обрабатывают тем же способом, что приведен в примере 1. Затем реакционную смесь очищают хроматографией на колонке с силикагелем (смесь гексан-этилацетат), получая 192 мг трет-бутил-4-[(Z)-2-(2,6-диметилфенил)винил]пиперидин-1-карбоксилата (пример 2-1) и 1,96 г трет-бутил-4-[(E)-2-(2,6-диметилфенил)винил]пиперидин-1-карбоксилата (пример 2-2). Соединения по примерам 3-14, 16-24, 27 и 28 получают тем же способом, что в примере 1. Соединения по примерам 15-1, 15-2, 25-1, 25-2, 26-1 и 26-2 получают тем же способом, что в примере 2. Пример 29 В атмосфере аргона 1 M тетрагидрофурановый раствор 1,3 мл литийбис(триметилсилил)амида добавляют при -78°C к раствору 300 мг трет-бутил-4-ацетилпиперидин-1-карбоксилата в 4,0 мл тетрагидрофурана с последующим перемешиванием в течение 15 минут. К реакционной смеси добавляют раствор 167 мг 2,6-диметилбензальдегида в 1,0 мл тетрагидрофурана с последующим перемешиванием при температуре окружающей среды в течение 12 часов. К реакционной смеси добавляют насыщенный водный раствор хлорида аммония с последующей экстракцией диэтиловым эфиром. Органический слой промывают водой и затем сушат над безводным сульфатом натрия. После фильтрования фильтрат концентрируют и остаток очищают хроматографией на колонке с силикагелем (смесь гексан-этилацетат), получая 235 мг трет-бутил-4-[(E)-3-(2,6-диметилфенил)проп-2-еноил]пиперидин-1-карбоксилата. Пример 30 При охлаждении до -78°C раствор 1,50 г 4-бром-2,6-диметиланизола в 20 мл тетрагидрофурана добавляют к раствору 1,6 M гексанового раствора 4,8 мл н-бутиллития в 20 мл тетрагидрофурана. Смесь перемешивают в течение 1 часа. К смеси добавляют раствор 1,50 г трет-бутил-4-(2-оксоэтил)пиперидин-1-карбоксилата в 20 мл тетрагидрофурана. После перемешивания в течение 30 минут смесь дополнительно перемешивают при температуре окружающей среды в течение 3 часов. Реакционную смесь выливают в воду с последующей экстракцией этилацетатом. Органический слой промывают насыщенным водным раствором хлорида натрия и затем сушат над безводным сульфатом натрия. После фильтрования фильтрат концентрируют и остаток очищают хроматографией на колонке с силикагелем (смесь гексан-этилацетат), получая 628 мг трет-бутил-4-[2-гидрокси-2-(4-метокси-2,6-диметилфенил)этил]пиперидин-1-карбоксилата в виде масла. К маслу добавляют 15 мл 10% хлористоводородной кислоты и смесь нагревают до температуры кипения с обратным холодильником в течение 2 часов. После охлаждения реакционную смесь подщелачивают 20% водным раствором гидроксида натрия с последующей экстракцией этилацетатом. Органический слой промывают насыщенным водным раствором хлорида натрия и затем сушат над безводным сульфатом магния. Растворитель выпаривают при пониженном давлении, получая 291 мг трет-бутил-4-[(E)-2-(4-метокси-2,6-диметилфенил)винил]пиперидин-1-карбоксилата. Пример 31 В атмосфере аргона 3 мл пропионитрила добавляют к смеси 339 мг трет-бутил-4-[(E)-2-(4-бром-2,6-диметилфенил)винил]пиперидин-1-карбоксилата, 89 мг цианида натрия, 53 мг тетракистрифенилфосфинпалладия и 17 мг иодида меди с последующим нагреванием до температуры кипения с обратным холодильником в течение 7 часов. К реакционной смеси добавляют воду с последующей экстракцией этилацетатом. Экстракт сушат над безводным сульфатом магния и остаток очищают хроматографией на колонке с силикагелем (смесь гексан-этилацетат), получая 299 мг трет-бутил-4-[(E)-2-(4-циано-2,6-диметилфенил)винил]пиперидин-1-карбоксилата. Пример 32 В атмосфере монооксида углерода, 120 мкл бутанола и 265 мкл трибутиламина добавляют к смеси 409 мг трет-бутил-4-[(E)-2-(4-бром-2,6-диметилфенил)винил]пиперидин-1-карбоксилата и 39 мг дихлорбистрифенилфосфинпалладия. Смесь нагревают до 100°C в течение ночи при перемешивании. Затем к реакционной смеси добавляют 87 мг дихлорбистрифенилфосфинпалладия, 120 мкл бутанола и 265 мкл трибутиламина и смесь нагревают до 120°C в течение ночи при перемешивании. К реакционной смеси добавляют воду с последующей экстракцией этилацетатом. Органический слой промывают последовательно 0,1н. хлористоводородной кислотой, насыщенным водным раствором гидрокарбоната натрия, водой и насыщенным водным раствором хлорида натрия. После высушивания над безводным сульфатом магния растворитель выпаривают при пониженном давлении. Остаток очищают хроматографией на колонке с силикагелем (смесь гексан-этилацетат), получая 217 мг трет-бутил-4-{(E)-2-[4-(бутоксикарбонил)-2,6-диметилфенил]винил}пиперидин-1-карбоксилата (пример 32-1) и 123 мг трет-бутил-4-((E)-2-{4-[(дибутиламино)карбонил]-2,6-диметилфенил}винил)пиперидин-1-карбоксилата (пример 32-2). Пример 33 В атмосфере аргона 10 мл толуола и 87 мкл морфолина добавляют к смеси 300 мг трет-бутил-4-[(E)-2-(4-бром-2,6-диметилфенил)винил]пиперидин-1-карбоксилата, 110 мг трет-бутилата натрия, 45 мг бисдибензилиденацетонпалладия и 48 мг BINAP. Полученную смесь нагревают до 100°C в течение 11 часов при перемешивании. Растворитель выпаривают при пониженном давлении и остаток очищают хроматографией на колонке с силикагелем (смесь гексан-этилацетат), получая 289 мг трет-бутил-4-[(E)-2-(2,6-диметилфенил-4-морфолин-4-ил-фенил)винил]пиперидин-1-карбоксилата. Соединение по примеру 34 получают тем же способом, что в примере 33. Пример 35 К суспензии 133 мг трет-бутил-4-[(E)-2-(4-циано-2,6-диметилфенил)винил]пиперидин-1-карбоксилата в 5 мл ацетона и 2 мл воды добавляют 146 мг комплекса пероксид водорода-мочевина и 7 мг карбоната калия с последующим перемешиванием в течение ночи. Затем добавляют смесь 221 мг комплекса пероксид водорода-мочевина и смесь перемешивают в течение ночи и дополнительно добавляют 293 мг комплекса пероксид водорода-мочевина с последующим перемешиванием в течение 4 дней. К реакционной смеси добавляют водный раствор сульфата натрия и экстрагируют хлороформом. Органический слой промывают насыщенным водным раствором хлорида натрия и затем сушат над безводным сульфатом магния. Растворитель выпаривают при пониженном давлении и остаток очищают хроматографией на колонке с силикагелем (смесь хлороформ-метанол), получая 134 мг трет-бутил-4-{(E)-2-[4-(аминокарбонил)-2,6-диметилфенил]винил}пиперидин-1-карбоксилата. Пример 36 К раствору 209 мг трет-бутил-4-{(E)-2-[4-(бутоксикарбонил)-2,6-диметилфенил]винил}пиперидин-1-карбоксилата в 5 мл этанола добавляют 1,5 мл 1н. водного раствора гидроксида натрия, с последующим перемешиванием при температуре окружающей среды в течение 3,5 часов. После добавления к реакционной смеси 1 мл тетрагидрофурана смесь перемешивают при 50°C в течение ночи. Растворитель выпаривают при пониженном давлении, добавляют воду и 1,6 мл 1н. хлористоводородной кислоты. Образовавшийся осадок собирают фильтрованием и сушат, получая 179 мг 4-{(E)-2-[1-(трет-бутоксикарбонил)пиперидин-4-ил]винил}-3,5-диметилбензойной кислоты. Пример 37 К раствору 645 мг трет-бутил-4-[(E)-2-(2-хлор-6-метилфенил)винил]пиперидин-1-карбоксилата в 4 мл этанола добавляют 3 мл смеси 35% хлористый водород-этанол, с последующим перемешиванием при температуре окружающей среды в течение 5 часов. Реакционную смесь упаривают при пониженном давлении и остаток азеотропно перегоняют 3 раза с 5 мл толуола, получая кристаллы. Собранные кристаллы перекристаллизовывают из смеси этанол-этилацетат, получая 377 мг 4-[(E)-2-(2-хлор-6-метилфенил)винил]пиперидингидрохлорид. Соединения по примерам 38-67 получают тем же способом, что в примере 37. Пример 68 К раствору 125 мг 1-бензил-4-[(E)-2-(2,6-диметилфенил)винил]-3-метилпиперидина в 3 мл 1,2-дихлорэтана добавляют при температуре окружающей среды 139 мг 1-хлорэтилхлорформиата. Смесь нагревают до температуры кипения с обратным холодильником в течение 1 часа. После охлаждения к реакционной смеси добавляют 10 мл метанола и полученную смесь нагревают до температуры кипения с обратным холодильником еще 30 минут. После охлаждения растворитель выпаривают при пониженном давлении. Остаток растворяют в 5 мл этилацетата и раствор фильтруют. К фильтрату добавляют 1 мл смеси 4н. хлористоводородная кислота-этилацетат и растворитель выпаривают при пониженном давлении. Остаток порошкуют с этилацетатом. После фильтрования полученный твердый продукт перекристаллизовывают из смеси этилацетат-метанол, получая 47 мг 4-[(E)-2-(2,6-диметилфенил)винил]-3-метилпиперидингидрохлорида. Соединение по примеру 69 получают тем же способом, что в примере 68. Пример 70 К раствору 520 мг 2-[(E)-2-(2,6-диметилфенил)винил]пиперидинмоногидрохлорида в 7 мл диметилформамида добавляют 0,13 мл метилиодида, 0,58 мл триэтиламина и 572 мг карбоната калия с последующим перемешиванием при температуре окружающей среды в течение 12 часов. Реакционную смесь выливают в воду с последующей экстракцией этилацетатом. Органический слой промывают насыщенным водным раствором хлорида натрия и затем сушат над безводным сульфатом натрия. После фильтрования фильтрат концентрируют и полученный остаток очищают хроматографией на колонке с силикагелем (смесь хлороформ-метанол), получая 470 мг 2-[(E)-2-(2,6-диметилфенил)винил]-1-метилпиперидина. Продукт растворяют в 5 мл этанола и к раствору добавляют 2,5 мл смеси 35% хлористый водород-этанол с последующим перемешиванием при температуре окружающей среды в течение 1 часа. Реакционную смесь упаривают при пониженном давлении и остаток азеотропно перегоняют 3 раза с 5 мл толуола, получая кристаллы. Собранные кристаллы перекристаллизовывают из смеси этанол-этилацетат, получая 395 мг 2-[(E)-2-(2,6-диметилфенил)винил]-1-метилпиперидинмоногидрохлорида. Соединения по примерам 71-77 получают тем же способом, что в примере 70. Пример 78 При охлаждении льдом 6,77 мл триэтиламина и 3,87 мл хлорацетилхлорида добавляют к раствору 9,96 г 4-[(E)-2-(2,6-диметилфенил)винил]пиперидина в 150 мл тетрагидрофурана. После перемешивания при температуре окружающей среды в течение 20 минут к смеси добавляют 200 мл воды. После фракционирования органического слоя водный слой экстрагируют диэтиловым эфиром. Объединенный органический слой промывают насыщенным водным раствором хлорида натрия. После высушивания над безводным сульфатом магния растворитель выпаривают при пониженном давлении. Остаток очищают хроматографией на колонке с силикагелем (смесь гексан-этилацетат). Собранные кристаллы промывают смесью диизопропиловый эфир-гексан и сушат при пониженном давлении, получая 10,69 г 1-(хлорацетил)-4-[(E)-2-(2,6-диметилфенил)винил]пиперидина. Соединения по примерам 79-84 получают тем же способом, что в примере 78. Пример 85 К раствору 200 мг 4-[(E)-2-(2,6-диметилфенил)винил]пиперидинмоногидрохлорида в 5 мл диметилформамида добавляют при температуре окружающей среды 111 мкл триэтиламина, 107 мг имидазол-4-карбоновой кислоты, 161 мг 1-гидроксибензотриазола и 228 мг 1-этил-3-(3-диметиламинопропил)карбодиимидгидрохлорида. После перемешивания при температуре окружающей среды в течение ночи реакционную смесь концентрируют при пониженном давлении. После добавления к реакционной смеси 50 мл хлороформа и 15 мл насыщенного водного раствора гидрокарбоната натрия органический слой фракционируют и растворитель выпаривают при пониженном давлении. Остаток очищают хроматографией на колонке с силикагелем (смесь хлороформ-метанол-аммиачная вода), получая 280 мг бесцветного масла. Полученное масло растворяют в 2 мл этанола и к раствору добавляют 226 мкл смеси 4 н. хлористоводородная кислота-этилацетат. Выпавшие в осадок кристаллы собирают фильтрованием и промывают диэтиловым эфиром. Кристаллы перекристаллизовывают из смеси этанол-диэтиловый эфир, получая 191 мг 4-[(E)-2-(2,6-диметилфенил)винил]-1-(1Н-имидазол-4-илкарбонил)пиперидинмоногидрохлорида. Соединения по примерам 86-107 получают тем же способом, что в примере 85. Пример 108 К раствору 250 мг 4-[(E)-2-(2,6-диметилфенил)винил]пиперидинмоногидрохлорида в 5 мл диметилформамида добавляют при температуре окружающей среды 138 мкл триэтиламина, 222 мг 2-[(трет-бутоксикарбонил)амино]-2-метилпропионовой кислоты, 201 мг 1-гидроксибензотриазола и 286 мг 1-этил-3-(3-диметиламинопропил)карбодиимидгидрохлорида. После перемешивания при температуре окружающей среды в течение ночи реакционную смесь концентрируют при пониженном давлении. После добавления к остатку 50 мл хлороформа и 15 мл насыщенного водного раствора гидрокарбоната натрия органический слой фракционируют и растворитель выпаривают при пониженном давлении. Остаток очищают хроматографией на колонке с силикагелем (смесь гексан-этилацетат), получая 364 мг белых кристаллов. Собранные кристаллы растворяют в 5 мл смеси 4 н. хлористоводородная кислота-этилацетат. После перемешивания при температуре окружающей среды в течение 1 часа к раствору добавляют 10 мл диэтилового эфира, с последующим перемешиванием в течение 30 минут. Выпавшие в осадок кристаллы собирают фильтрованием и промывают диэтиловым эфиром. Кристаллы перекристаллизовывают из смеси этанол-диэтиловый эфир, получая 227 мг (2-{4-[(E)-2-(2,6-диметилфенил)винил]пиперидин-1-ил}-1,1-диметил-2-оксоэтил)аминмоногидрохлорида. Соединения по примерам 109-122 получают тем же способом, что в примере 108. Пример 123 К раствору 300 мг 4-[(E)-2-(2,6-диметилфенил)винил]пиперидинмоногидрохлорида в 5 мл этанола добавляют при температуре окружающей среды 736 мг этилацетимидатгидрохлорида и 996 мкл триэтиламина. После перемешивания при температуре окружающей среды в течение ночи реакционную смесь концентрируют при пониженном давлении. После добавления к реакционной смеси 50 мл хлороформа и 15 мл насыщенного водного раствора гидрокарбоната натрия органический слой фракционируют и растворитель выпаривают при пониженном давлении. Остаток очищают хроматографией на колонке с силикагелем (смесь хлороформ-метанол-аммиачная вода), получая 313 мг бледно-желтых кристаллов. Собранные кристаллы растворяют в 5 мл этанола и к раствору добавляют 305 мкл смеси 4 н. хлористоводородная кислота-этилацетат. Растворитель выпаривают при пониженном давлении. Остаток кристаллизуют из смеси этанол-диэтиловый эфир и выпавшие в осадок кристаллы собирают фильтрованием и промывают диэтиловым эфиром. Кристаллы перекристаллизовывают из смеси этанол-диэтиловый эфир, получая 89 мг 4-[(E)-2-(2,6-диметилфенил)винил]-1-(1-иминоэтил)пиперидинмоногидрохлорида. Пример 124 349 мг 1Н-пиразол-1-карбоксамидина и 1,45 мл N,N-диизопропилэтиламина добавляют к раствору 300 мг 4-[(E)-2-(2,6-диметилфенил)винил]пиперидинмоногидрохлорида в 5 мл диметилформамида при температуре окружающей среды. После перемешивания при температуре окружающей среды в течение ночи реакционную смесь концентрируют при пониженном давлении. Остаток очищают хроматографией на колонке с силикагелем (смесь этилацетат-этанол-вода), получая 427 мг белых кристаллов. Полученные кристаллы растворяют в 5 мл метанола и к раствору добавляют 415 мкл смеси 4 н. хлористоводородная кислота-этилацетат. Растворитель выпаривают при пониженном давлении, и остаток кристаллизуют из смеси этанол-диэтиловый эфир. Выпавшие в осадок кристаллы собирают фильтрованием и промывают диэтиловым эфиром. Кристаллы перекристаллизовывают из смеси этанол-диэтиловый эфир, получая 154 мг 1-амидино-4-[(E)-2-(2,6-диметилфенил)винил]пиперидинмоногидрохлорид. Пример 125 84 мг 1Н-имидазола и 142 мг карбоната калия добавляют к раствору 300 мг 1-(хлорацетил)-4-[(E)-2-(2,6-диметилфенил)винил]пиперидина в 5 мл ацетонитрила с последующим нагреванием до температуры кипения с обратным холодильником в течение 3 часов. После охлаждения к реакционной смеси добавляют насыщенный водный раствор гидрокарбоната натрия с последующей экстракцией хлороформом. Органический слой концентрируют при пониженном давлении и остаток очищают хроматографией на колонке с силикагелем (смесь хлороформ-метанол-аммиачная вода), получая 314 мг 4-[(E)-2-(2,6-диметилфенил)винил]-1-(1Н-имидазол-1-илацетил)пиперидина в виде желтых кристаллов. Часть кристаллов, 288 мг, растворяют в 2 мл этанола и к раствору добавляют 334 мкл смеси 4 н. хлористоводородная кислота-этилацетат, с последующей концентрацией при пониженном давлении. Остаток кристаллизуют из смеси этанол-диэтиловый эфир и кристаллы собирают фильтрованием. Кристаллы промывают диэтиловым эфиром. Кристаллы перекристаллизовывают из смеси этанол-диэтиловый эфир, получая, 188 мг 4-[(E)-2-(2,6-диметилфенил)винил]-1-(1Н-имидазол-1-илацетил)пиперидинмоногидрохлорида. Соединения по примерам 126-196 получают тем же способом, что в примере 125. Пример 197 329 мг трет-бутил-(3S)-пиперидин-3-илкарбамата и 189 мг карбоната калия добавляют к раствору 400 мг 1-(хлорацетил)-4-[(E)-2-(2,6-диметилфенил)винил]пиперидина в 10 мл ацетонитрила, с последующим нагреванием до температуры кипения с обратным холодильником в течение 2 часов. Затем реакционную смесь концентрируют при пониженном давлении, к остатку добавляют хлороформ и насыщенный водный раствор гидрокарбоната натрия, после чего органический слой фракционируют. Растворитель выпаривают при пониженном давлении. Остаток очищают хроматографией на колонке с силикагелем (смесь хлороформ-метанол-аммиачная вода). Полученное масло растворяют в 10 мл этанола и к раствору добавляют 10 мл смеси 4 н. хлористоводородная кислота-этилацетат, с последующим перемешиванием при температуре окружающей среды в течение 3 часов. Реакционную смесь концентрируют при пониженном давлении и полученный остаток кристаллизуют из смеси 2-пропанол-диизопропиловый эфир. Кристаллы перекристаллизовывают из смеси вода-этанол, получая 473 мг (3S)-1-(2-{4-[(E)-2-(2,6-диметилфенил)винил]пиперидин-1-ил}-2-оксоэтил)пиперидин-3-аминдигидрохлорида. Соединения по примерам 198-206 получают тем же способом, что в примере 197. Пример 207 454 мкл 37% водного раствора формальдегида и 175 мкл уксусной кислоты добавляют к раствору 219 мг (2-{4-[(E)-2-(2,6-диметилфенил)винил]пиперидин-1-ил}-2-оксоэтил)тетрагидро-2H-пиран-4-иламина в 5 мл дихлорэтана с последующим перемешиванием при температуре окружающей среды в течение 2 часов. После чего к реакционной смеси добавляют 388 мг натрийтриацетоксиборгидрида с последующим перемешиванием при температуре окружающей среды в течение 1 часа. К смеси добавляют насыщенный водный раствор гидрокарбоната натрия и хлороформ, после чего органический слой фракционируют и растворитель выпаривают при пониженном давлении. Остаток очищают хроматографией на колонке с силикагелем (смесь хлороформ-метанол-аммиачная вода). Полученное масло растворяют в 5 мл этанола и к смеси добавляют 172 мкл смеси 4 н. хлористоводородная кислота-этилацетат. Растворитель выпаривают при пониженном давлении. Остаток кристаллизуют из смеси 2-пропанол-диизопропиловый эфир. Кристаллы перекристаллизовывают из смеси 2-пропанол-диизопропиловый эфир, получая 201 мг (2-{4-[(E)-2-(2,6-диметилфенил)винил]пиперидин-1-ил}-2-оксоэтил)метил(тетрагидро-2H-пиран-4-ил)аминмоногидрохлорида. Соединения по примерам 208-222 получают тем же способом, что в примере 207. Пример 223 Раствор 200 мг 4-(2-{4-[(E)-2-(2,6-диметилфенил)винил]пиперидин-1-ил}-2-оксоэтил)морфолина в 1 мл тетрагидрофурана добавляют по каплям к суспензии 42 мг литийалюмогидрида в 6 мл тетрагидрофурана при охлаждении льдом с последующим нагреванием до температуры кипения с обратным холодильником в течение 2 часов. Затем смесь оставляют охлаждаться. При охлаждении льдом к реакционной смеси последовательно добавляют 42 мкл воды, 42 мкл 15% водного раствора гидроксида натрия и затем 126 мкл воды. После перемешивания при температуре окружающей среды в течение 30 минут добавляют 500 мг безводного сульфата натрия и нерастворимый твердый продукт фильтруют. Фильтрат упаривают при пониженном давлении и остаток очищают хроматографией на колонке с силикагелем (смесь хлороформ-метанол-аммиачная вода), получая 150 мг желтого масла. Часть масла, 143 мг, растворяют в 5 мл этилацетата и к раствору добавляют 2 мл смеси 4 н. хлористоводородная кислота-этилацетат. Растворитель выпаривают при пониженном давлении остаток промывают ацетонитрилом, получая 133 мг 4-(2-{4-[(E)-2-(2,6-диметилфенил)винил]пиперидин-1-ил}этил)морфолиндигидрохлорида. Соединение по примерам 224 получают тем же способом, что в примере 223. Пример 225 675 мкл морфолина добавляют по каплям к раствору 380 мг 1-(акрилоил)-4-[(E)-2-(2,6-диметилфенил)винил]пиперидина в 10 мл толуола. Смесь нагревают до температуры кипения с обратным холодильником в течение 2 дней в общей сложности. После концентрации реакционной смеси при пониженном давлении остаток очищают хроматографией на колонке с силикагелем (смесь хлороформ-метанол-аммиачная вода). Полученное масло растворяют в 5 мл этанола и к раствору добавляют 2 мл смеси 4 н. хлористоводородная кислота-этилацетат. Растворитель выпаривают при пониженном давлении. Выпавшие в осадок кристаллы перекристаллизовывают из этанола, получая 450 мг 4-(3-{4-[(E)-2-(2,6-диметилфенил)винил]пиперидин-1-ил}-3-оксопропил)морфолинмоногидрохлорида. Пример 226 После добавления 3 мл 10% хлористоводородной кислоты к раствору 818 мг 4-[(E)-2-(2,6-диметилфенил)винил]-1-(1,3-диоксолан-2-илметил)пиперидин-2-она в 10 мл тетрагидрофурана смесь нагревают до температуры кипения с обратным холодильником в течение 4,5 часов. После охлаждения реакционную смесь выливают в насыщенный водный раствор гидрокарбоната натрия и экстрагируют этилацетатом. Органический слой промывают водой и насыщенным водным раствором хлорида натрия. После высушивания над безводным сульфатом натрия растворитель выпаривают при пониженном давлении, получая 685 мг {4-[(E)-2-(2,6-диметилфенил)винил]-2-оксопиперидин-1-ил}ацетальдегида. В дополнение к соединениям, описанным в примерах, соединения, приведенные в таблицах 28-30, могут быть получены вышеуказанными способами, способами, описанными в стандартных примерах и примерах, способами, известными специалистам в данной области и модификацией указанных способов, что не требует каких-либо специальных исследований. Таблицы 28-30 приведены в конце описания, вслед за таблицами 1-27. ПРОМЫШЛЕННАЯ ПРИМЕНИМОСТЬ Соединения по настоящему изобретению обладают ингибирующей активностью в отношении натриевых каналов и полезны в качестве фармацевтических средств, в особенности терапевтических средств от болезней, связанных с натриевым каналом, и симптомов, сопровождающих указанные болезни, преимущественно в качестве аналгетиков от невропатической боли. Например, невропатическая боль подразумевает боль, вызванную дисфункцией центральной или периферической нервной системы, и включает диабетическую невропатическую боль и т.д. [Фармакологические испытания] Ниже подробно описаны испытания на ингибирующую активность в отношении натриевых каналов с использованием характерных соединений по настоящему изобретению и испытания на животных с использованием мышей и крыс. (Испытание на ингибирующую активность в отношении натриевых каналов) Ингибирующую активность в отношении натриевых каналов для характерных соединений, представляющих соединение (I) по настоящему изобретению, устанавливают с помощью эксперимента по поглощению [14C]-гуанидина, используя ткань головного мозга крыс. Эксперимент по поглощению [14C]-гуанидина осуществляют согласно способу Bonisch et al.(British Journal of Pharmacology 108, 436-442, 1993), используя некоторые модификации. [14C]-гуанидин используют в качестве натриевого индикатора и измеряют ингибирующее действие в отношении поглощения [14C]-гуанидина, индуцируемого вератридином в качестве активатора натриевых каналов, в первичной культуре нейронных клеток коры головного мозга крыс. a. Получение первичной культуры нейронных клеток коры головного мозга крыс Проводят анастезию беременных крыс (Wistar, самки, срок беременности 19 дней) с помощью эфира. Гибель животных происходит от потери крови в результате рассечения сонной артерии. Из беременных крыс извлекают зародыши и после стерилизации этанолом извлекают кору головного мозга зародышей. Кору головного мозга подвергают биологической переработке с помощью папаина и диспергируют в культуральной среде с последующим высеванием на покрытый поли-1-лизином 96-луночный белый планшет при плотности 2,5×105 клетки/лунка. Инкубацию осуществляют в инкубаторе с CO2 (37°C, 5% CO2) в течение 2 дней. b. Оценка испытуемых соединений После однократного промывания каждой лунки аналитическим буфером (135 мМ холин-Cl, 5 мМ KCl, 1 мМ MgSO4, 5,5 мМ глюкозы, 1 мг/мл BSA, 10 мМ Hepes-Tris, pH 7,4) к лункам добавляют свежий аналитический буфер с последующей инкубацией при 25°C в течение 10 минут. Затем реакционный раствор (испытуемое соединение, [14C]-гуанидин и 100 мкМ вератридина) вносят в буфер с последующей инкубацией при 25°C в течение 15 минут. Реакцию обрывают, промывая 3 раза охлажденным промывным буфером (135 мМ NaCl, 5 мМ KCl, 1 мМ MgSO4, 10 мМ Hepes-Tris, pH 7,4). К каждой лунке добавляют 17 мкл 0,1 н. NaOH. После перемешивания к каждой лунке добавляют 100 мкл сцинтиллятора и затем продолжают перемешивание. Радиоактивность измеряют количественно с помощью жидкостного сцинтилляционного счетчика. В каждом эксперименте долю специфического поглощения натриевых каналов от общего поглощения определяют как часть, которая ингибируется 1 мМ мексилетином. Действие испытуемого соединения на натриевый канал выражают через концентрацию 50% ингибирования (IC50), установленную на основании специфического поглощения. Как показано в таблице 31, соединения по настоящему изобретению обладают превосходной ингибирующей активностью.
(Аналгетическое воздействие на животное с диабетической невропатией, вызванной стрептозотоцином) Характерные соединения, представляющие соединение (I) по настоящему изобретению, испытывают на аналгетическое действие на мышей с диабетической невропатией, вызванной стрептозотоцином (STZ), для подтверждения эффективности при невропатической боли. Оценку производят методом Kamei et al. (Pharmacology Biochemistry & Behavior 39, 541-544, 1991), используя некоторые модификации. Самцам ICR-мышей возрастом 4 недели впрыскивают внутрибрюшинно 200 мг/кг массы STZ для получения мышей с диабетической невропатической болью. Аналгетическое действие оценивают с помощью теста сдавливания хвоста. В частности, аналгетическое действие определяют как удлинение срока запаздывания отдергивания (в секундах), т.е. время до того, как животное проявит реакцию поворота головы после сдавливания хвоста щипцами. На 14 день после впрыскивания STZ проводят предварительное испытание для определения латентного периода реакции перед введением испытуемого соединения. Для оценки испытуемых соединений на следующий день (день 15 после впрыскивания STZ), используют только животных с латентным периодом реакции в предварительном испытании не менее 3 секунд. При оценке испытуемого соединения измеряют латентный период после введения испытуемого соединения. Испытуемое соединение вводят перорально при дозе 30 мг/кг за 45 минут до измерения латентного периода реакции. Аналгетическое действие испытуемого соединения выражают через удлинение латентного периода (в секундах), рассчитываемое по формуле: (латентный период реакции после введения испытуемого соединения) – (латентный период реакции до введения испытуемого соединения). Как показано в таблице 32, характерные соединения по настоящему изобретению характеризуются удлинением латентного периода (в секундах), составляющим приблизительно от 1 до 5 секунд. Отдельно проводят испытание аналогичным образом, но используя растворитель (10% м/м смеси ДМСО/вода) вместо соединения по настоящему изобретению. Результаты показывают, что удлинение латентного периода (в секундах) составляет 0,69±0,38 секунд (средняя величина ± стандартная ошибка). Обычно в данном испытании на анальгезирующее действие удлинение, по меньшей мере, порядка 1 секунды считается эффективным, и когда удлинение составляет более 1,5 секунды, активность оценивается как отличная; когда удлинение превышает значение порядка 2 секунд, анальгезирующее действие оценивается как чрезвычайно высокое. Итак, испытанные в примерах соединения оказывают более эффективное действие, чем соединения по примерам сравнения 1 и 2. Мексилетин обеспечивает пролангацию порядка 3 секунд.
Пример сравнения 1: Соединение, описанное в примере 308 (патентный документ 1: EPC 1254904) Пример сравнения 2: Соединение, описанное в примере 334 (патентный документ 1: EPC 1254904) (Эффективность против аллодинии у крыс с лигированием L5/L6-спинномозгового нерва) Одним из основных симптомов невропатической боли является значительно сниженный порог чувствительности в ответной реакции на тактильное раздражение (аллодиния). Эффективность против аллодинии характерных соединений, представляющих соединения по настоящему изобретению, подтверждают путем оценки аналгетического действия на крыс с лигированием L5/L6-спинномозгового нерва. Оценку производят по методу Kim’a и Chung’a (Pain 50, 355-363, 1992), используя некоторые модификации. Самцов SD-крыс в возрасте 5 или 6 недель подвергают хирургической операции при анастезии пентобарбиталом с целью плотного перевязывания обоих, левого L5 и L6, поясничных нервов с помощью шелковых нитей. Для оценки аналгетического действия адаптированный тест ван Фрея на выщипывание волос. То есть из задней лапы животного выщипывают волосы и наименьшее сопротивление выщипыванию волос, состоящее в отдергивании задней конечности, принимают за порог чувствительности (грам-логарифм) к механической стимуляции. Поскольку в предварительном исследовании было установлено, что порог чувствительности задней лапы животного одноименной стороне лигирования значительно снижен в течение 7-14 дней после оперативного вмешательства (в состоянии аллодинии), эффективность испытуемого соединения против аллодинии оценивают на день, попадающий в интервал между 7 и 14 днями после операции. На день, предшествующий оценке испытуемого соединения, измеряют порог чувствительности до введения испытуемого соединения. Животных подразделяют на 4-5 групп, так чтобы различия в средних значениях порогов чувствительности до введения между группами и отклонение внутри групп было небольшим. Для оценки испытуемого соединения измеряют порог чувствительности после введения испытуемого соединения. Испытуемое соединение вводят перорально за 30 минут до измерения порога чувствительности. Силу действия испытуемого соединения против аллодинии выражают через ED50. При расчете ED50 пороги чувствительности одноименной и противоположной лап в контрольной группе с растворителем принимают за 0% и 100% соответственно. Установлено, что соединения из числа соединений по изобретению обладают превосходными значениями ED50, тогда как мексилетин дает значение ED50 порядка 70 мг/кг. Приведенные выше испытания подтверждают, что характерные соединения из числа соединений по настоящему изобретению оказывают ингибирующее действие на натриевые каналы, также установлено, что указанные соединения при пероральном введении оказывают аналгетическое действие, которое превосходит до сих пор известные соединения в экспериментальных моделях на животных, т.е. на мышах с диабетической невропатией и на крысах с лигированием L5/L6-спинномозгового нерва. На основании приведенных выше результатов можно сделать вывод, что некоторые соединения, представляющие соединение (I) по настоящему изобретению, обладают ингибирующим действием на натриевые каналы, которое превосходит действие мексилетина. Также установлено, что некоторые соединения, представляющие соединение (I) по настоящему изобретению, при пероральном введении оказывают аналгетическое действие, равное или превосходящее действие мексилетина в экспериментальных моделях на животных, т.е. на мышах с диабетической невропатией. На основании вышеупомянутых данных может быть сделано заключение, что соединения по настоящему изобретению являются превосходными ингибиторами натриевых каналов и полезны для снятия боли, в особенности невропатической боли, такой как боль, сопровождающая диабетическую невропатию и т.д.
Формула изобретения
1. Азотсодержащее гетероциклическое производное, представленное приведенной ниже формулой (I) где условные обозначения в приведенной выше формуле (I) имеют следующие значения: R1 и R2, которые могут быть одинаковыми или различными, означают Н-, С1-С6-алкил, С3-С14-циклоалкил, С1-С6-алкил-СО, НО-СО-, C1-С6-алкил-О-СО, H2N-CO-, С1-С6-алкил-HM-СО-, (С1-С6-алкил)2N-СО-, С1-С6-алкил-O-, С1-С6-алкил-СО-О-, H2N-, С1-С6-алкил-HN-, (С1-С6-алкил)2N-, С1-С6-алкил-СО-NH-, галоген, нитро, морфолин, пирролидин, имидазол или циано; R3 и R4, которые могут быть одинаковыми или различными, означают С1-С6-алкил, C1-С6-алкил-О-, (С1-С6-алкил)2N- или галоген; R5 и R6, которые могут быть одинаковыми или различными, означают Н-, С1-С6-алкил или галоген; R7 и R8, которые могут быть одинаковыми или различными, означают Н-, С1-С6-алкил, НО-, С1-С6-алкил-O- или галоген; R7 и R8 вместе могут образовывать оксо (O=); R9 означает гетероциклическая группа-С1-С6-алкил-СО-, который может быть необязательно замещен по меньшей мере одним заместителем, выбранным из группы b, описанной ниже, где гетероциклическая группа выбрана из морфолина, пиперазина, пирролидина, пиперидина, тиоморфолина, азепина, диазепина, оксиазепина, декагидрохинолина, декагидроизохинолина, гексагидроазепина или 2,5-диазабицикло[2.2.1]гептана; R10, R11, R12 и R13, которые могут быть одинаковыми или различными, означают Н- или С1-С6-алкил; группа b: (1) НО, (2) С1-С6-алкил-0-, (3) R101 R102N (где R101 и R102, которые могут быть одинаковыми или различными, означают (i) Н, (ii) С1-С6-алкил), (4) галоген, (5) оксо (O=), (6) С3-С14-циклоалкил, (7) фенил, (8) пирролидин, (9) С1-С6-алкил, который, необязательно, может быть замещен НО, С1-С6-алкил-О-, фенилом, С1-С6-алкил-СО- или морфолином, (10) ацил, который, необязательно, может быть замещен оксо (O=), где ацил представляет собой С1-С6-алкил-CO- или гетероциклическая группа-СО, где гетероциклическая группа представляет собой имидазол, пиридин или пиразин, (11) H2N-CO- и (12) С1-С6-алкил-SO2; А означает гетероциклоалкильную группу, которая выбрана из пиперидина, пирролидина или гексагидроазепина; и n означает 0, или его фармацевтически приемлемая соль. 2. Азотсодержащее гетероциклическое производное по п.1, или его фармацевтически приемлемая соль, где гетероциклоалкильная группа, обозначенная символом А в формуле (I), означает пиперидин. 3. Азотсодержащее гетероциклическое производное по п.1, или его фармацевтически приемлемая соль, где символы R1 и R2 в формуле (I), которые могут быть одинаковыми или различными, означают Н, С1-С6-алкил или С1-С6-алкил-О-. 4. Азотсодержащее гетероциклическое производное по п.1, или его фармацевтически приемлемая соль, где символы R3 и R4 в формуле (I), которые могут быть одинаковыми или различными, означают С1-С6-алкил или галоген. 5. Азотсодержащее гетероциклическое производное по п.1, или его фармацевтически приемлемая соль, где гетероциклическая группа в составе обозначенного символом R9 в формуле (I) фрагмента гетероциклическая группа-С1-С6-алкил-СО-, который может быть необязательно замещен по меньшей мере одним заместителем, выбранным из группы b, представляет собой пирролидин, пиперидин, пиперазин, морфолин, гексагидроазепинил или 2,5-диазабицикло[2.2.1]гептан. 6. Азотсодержащее гетероциклическое производное по п.5, или его фармацевтически приемлемая соль, где обозначенный символом R9 в формуле (I) фрагмент гетероциклическая группа-С1-С6-алкил-СО-, который может быть необязательно замещен по меньшей мере одним заместителем, выбранным из группы b, представляет собой пирролидин-1-илметилкарбонил, пиперидин-1-илметилкарбонил, морфолин-1-илметилкарбонил или 2,5-диазабицикло[2.2.1]гептан-1-илметилкарбонил, и указанные группы могут быть необязательно замещены по меньшей мере одним заместителем, выбранным из группы b. 7. Азотсодержащее гетероциклическое производное по п.6, или его фармацевтически приемлемая соль, где группа b в составе обозначенного символом R9 в формуле (I) фрагмента гетероциклическая группа-С1-С6-алкил-СО-, который может быть необязательно замещен по меньшей мере одним заместителем, выбранным из группы b, включает (1) НО, (2) С1-С6-алкил-O, (3) R101 R102N (где R101 и R102, которые могут быть одинаковыми или различными, означают (i) Н или (ii) С1-С6-алкил), (4) галоген, (5) оксо (O=), (6) пирролидин, (7) С1-С6-алкил, который, необязательно, может быть замещен НО, С1-С6-алкил-О-, фенилом, С1-С6-алкил-СО- или морфолином, (8) ацил, который, необязательно, может быть замещен оксо (O=), где ацил представляет собой С1-С6-алкил-СО- или гетероциклическая группа-СО, где гетероциклическая группа представляет собой имидазол, пиридин или пиразин, и (9) H2N-CO-. 8. Азотсодержащее гетероциклическое производное по п.7, или его фармацевтически приемлемая соль, где группа b в составе обозначенного символом R9 в формуле (I) фрагмента гетероциклическая группа-С1-С6-алкил-СО-, который может быть необязательно замещен по меньшей мере одним заместителем, выбранным из группы b, включает (1)НО, (2) H2N, (3) галоген, (4) оксо, (5) пирролидин, (6) С1-С6-алкил, который, необязательно, может быть замещен НО, С1-С6-алкил-О- или фенилом, (7) ацил, который, необязательно, может быть замещен оксо (O=), где ацил представляет собой С1-С6-алкил-СО- или гетероциклическая группа-СО, где гетероциклическая группа представляет собой имидазол, пиридин или пиразин, и (8) H2N-CO-. 9. Азотсодержащее гетероциклическое производное по п.8, или его фармацевтически приемлемая соль, где группа b в составе обозначенного символом R9 в формуле (I) фрагмента гетероциклическая группа-С1-С6-алкил-СО-, который может быть необязательно замещен по меньшей мере одним заместителем, выбранным из группы b, включает (1) НО, (2) H2N, (3) галоген, (4) С1-С6-алкил, который, необязательно, может быть замещен НО, С1-С6-алкил-О- или фенилом, (5) ацил, который, необязательно, может быть замещен оксо (О=), где ацил представляет собой С1-С6-алкил-СО- или гетероциклическая группа-СО, где гетероциклическая группа представляет собой имидазол, пиридин или пиразин, и (6) H2N-CO-. 10. Азотсодержащее гетероциклическое производное по п.1 или его фармацевтически приемлемая соль, которое представляет собой, по меньшей мере, одно соединение, выбираемое из группы, включающей: 4-(2-{2-[(Е)-2-(2,6-диметилфенил)винил]пиперидин-1-ил}-2-оксоэтил)морфолин, 1-(2-{4-[(Е)-2-(2,6-диметилфенил)винил]пиперидин-1-ил}-2-оксоэтил)-4-(пиридин-3-илкарбонил)пиперазин, 1-(2-{4-[(Е)-2-(2,6-диметилфенил)винил]пиперидин-1-ил}-2-оксоэтил)пиперидин-2-карбоксамид, 1-(2-{4-[(Е)-2-(2,6-диметилфенил)винил]пиперидин-1-ил}-2-оксоэтил)-3,5-диметилпиперидин, 2S-4-[(Е)-2-(2,6-диметилфенил)винил]-1-[(4-пирролидин-1-илпиперидин-1-ил)ацетил]пиперидин, 4-(2-{4-[(Е)-2-(2,6-диметилфенил)винил]пиперидин-1-ил}-2-оксоэтил)морфолин, [4-(2-{4-[(Е)-2-(2,6-диметилфенил)винил]пиперидин-1-ил}-2-оксоэтил)морфолин-2-ил]метанол, 4-(2-{4-[(Е)-2-(2,6-диметилфенил)винил]пиперидин-1-ил}-2-оксоэтил)-1,4-оксазепан, 1-(2-{4-[(Е)-2-(2,6-диметилфенил)винил]пиперидин-1-ил}-2-оксоэтил)пиперидин-4-амин, 1-(2-{4-[(Е)-2-(2,6-диметилфенил)винил]пиперидин-1-ил}-2-оксоэтил)пиперазин, (1R,4R)-2-(2-{4-[(Е)-2-(2,6-диметилфенил)винил]пиперидин-1-ил}-2-оксоэтил)-2,5-диазабицикло[2.2.1]гептан, 1-(2-{4-[(Е)-2-(2,6-диметилфенил)винил]пиперидин-1-ил}-2-оксоэтил)-4-(1Н-имидазол-4-илкарбонил)пиперазин, 1-(2-{4-[(Е)-2-(2,6-диметилфенил)винил]пиперидин-1-ил}-2-оксоэтил)пиперидин-3-ол, 1-(2-{4-[(Е)-2-(2,6-диметилфенил)винил]пиперидин-1-ил}-2-оксоэтил)-1,4-диазепан, 4-{2-[4-(2-{4-[(Е)-2-(2,6-диметилфенил)винил]пиперидин-1-ил}-2-оксоэтил)пиперидин-1-ил]этил}морфолин, 2-{[4-(2-{4-[(Е)-2-(2,6-диметилфенил)винил]пиперидин-1-ил}-2-оксоэтил)пиперазин-1-ил]карбонил}пиразин и 1-(2-{4-[(Е)-2-(2,6-диметилфенил)винил]пиперидин-1-ил}-2-оксоэтил)-3,3-дифторпиперидин. 11. Фармацевтическая композиция, обладающая способностью к ингибированию активности натриевых каналов, включающая азотсодержащее гетероциклическое производное по любому из пп.1-10, или его фармацевтически приемлемую соль, и фармацевтически приемлемый носитель. 12. Фармацевтическая композиция по п.11, являющаяся терапевтическим средством от невропатической боли. 13. Фармацевтическая композиция по п.12, являющаяся терапевтическим средством от диабетической невропатической боли. 14. Применение азотсодержащего гетероциклического производного по любому из пп.1-10 или его фармацевтически приемлемой соли для получения фармацевтической композиции, обладающей способностью к ингибированию активности натриевых каналов. 15. Применение по п.14, где указанная фармацевтическая композиция является терапевтическим средством от невропатической боли. 16. Применение по п.15, где указанная фармацевтическая композиция является терапевтическим средством от диабетической невропатической боли.
|
|||||||||||||||||||||||||||||||||||||||||||||||||||||||||||||||||||||||||||||||||||||||||||||||||||||||||||||||||||||||||||||||||||||||||||||||||||||||||||||||||||||||||||||||||||||||||||||||||||||||||||||||||||||||||||||||||||||||||||||||||||||||||||||||||||||||||||||||||||||||||||||||||||||||||||||||||||||||||||||||||||||||||||||||||||||||||||||||||||||||||||||||||||||||||||||||||||||||||||||||||||||||||||||||||||||||||||||||||||||||||||||||||||||||||||||||||||||||||||||||||||||||||||||||||||||||||||||||||||||||||||||||||||||||||||||||||||||||||||||||||||||||||||||||||||||||||||||||||||||||||||||||||||||||||||||||||||||||||||||||||||||||||||||||||||||||||||||||||||||||||||||||||||||||||||||||||||||||||||||||||||||||||||||||||||||||||||||||||||||||||||||||||||||||||||||||||||||||||||||||||||||||||||||||||||||||||||||||||||||||||||||||||||||||||||||||||||||||||||||||||||||||||||||||||||||||||||||||||||||||||||||||||||||||||||||||||||||||||||||||||||||||||||||||||||||||||||||||||||||


-субъединицы с четырьмя доменами, каждый из которых содержит шесть трансмембранных сегментов, в качестве общей структуры, и двух меньших
-субъединиц. Большая часть функции каналов выполняется 






м.д.), MS: масс-спектр (если не оговорено особо, FAB или ESI m/z), Данные: физико-химические свойства.
















