Патент на изобретение №2333195
|
||||||||||||||||||||||||||
(54) СПОСОБ ПОЛУЧЕНИЯ АЦЕТАТА ПАЛЛАДИЯ
(57) Реферат:
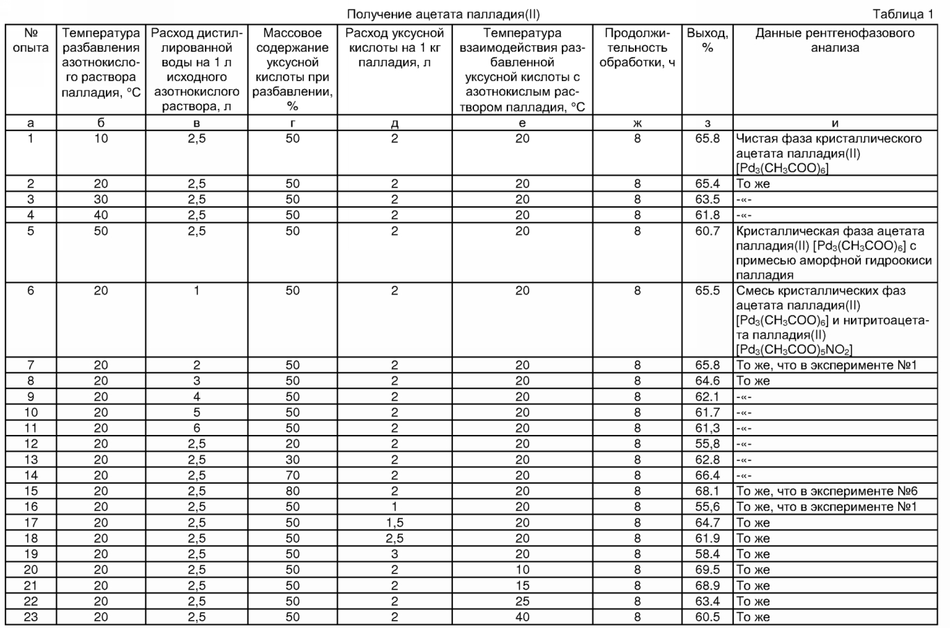
Изобретение относится к области синтеза солей платиновых металлов, в частности солей палладия, а именно ацетата палладия(II), применяемого в качестве катализатора или для получения исходной соли для производства других солей палладия. Способ получения ацетата палладия включает растворение металлического палладия в концентрированной азотной кислоте, фильтрование и упаривание азотнокислого раствора палладия и проведение реакции с уксусной кислотой, где азотнокислый раствор палладия после упаривания, до начала кристаллизации соли нитрата палладия(II), обрабатывают дистиллированной водой в объеме в (2-5) л на 1 кг палладия в исходном азотнокислом растворе, затем разбавленной водой уксусной кислотой (30-70%) с расходом (1,5-2,5) л уксусной кислоты на 1 кг палладия в исходном азотнокислом растворе, и полученный раствор выдерживают не менее 8 ч при температуре (15-40)°С. Технический результат – упрощение способа получения ацетата палладия(II) и его синтез в монофазовом состоянии без примеси нерастворимого полимерного ацетата палладия(II) и нитритоацетатного соединения палладия(II). 1 з.п. ф-лы, 1 табл.
Изобретение относится к области химии платиновых металлов, в частности синтезу соединений палладия, а именно синтезу ацетата палладия, применяемого в качестве катализатора, например, для получения винилацетата или исходной соли для получения других солей палладия, например, для получения ацетилацетоната палладия. Известен способ получения ацетата палладия(II) путем растворения окиси палладия в уксусной кислоте. Окись палладия получают из гидроксида палладия, осажденного из хлоридного раствора палладия гидроксидом натрия (Патент Кореи №KR 8904783, 1989). Недостатком способа является неполное растворение окиси палладия в уксусной кислоте, что требует проведения дополнительной операции фильтрования. При этом гидроксид палладия, полученный осаждением щелочью, требует особого способа выделения. Известен способ получения ацетата палладия путем растворения палладиевой черни в смеси ледяной уксусной кислоты и концентрированной азотной кислоты в инертной атмосфере (Патент Японии №JP 61047440, 1986). Недостатком способа является необходимость присутствия избытка палладиевой черни на протяжении всего процесса, что перед кристаллизацией продукта требует фильтрования раствора от черни. Отсутствие избытка палладиевой черни приводит к образованию окислительной среды в растворе (из-за присутствия азотной кислоты или кислородных соединений азота), что способствует образованию нерастворимого в уксусной кислоте и органических растворителях полимерного ацетата палладия(II) [Pd(СН3СОО)2]n. Известен способ получения ацетата палладия(II) путем взаимодействия упаренного азотнокислого раствора палладия с уксусной кислотой при комнатной температуре, фильтрования образовавшегося осадка и его прогревания в смеси уксусной кислоты и этилового эфира уксусной кислоты и затем прогревания в уксусной кислоте (Патент России №2288214). Недостатком способа является стадийность процесса получения ацетата палладия(II). Промежуточной стадией процесса является выделение нитритоацетата палладия(II) [Pd3(СН3СОО)5NO2], при выделении которого неизбежно присутствие азотной кислоты, что способствует растворению нитритоацетата палладия(II). При этом процесс перевода нитритоацетата палладия(II) в ацетат палладия(II) [Pd3(СН3СОО)6] характеризуется продолжительностью и требует высокой температуры. В таких условиях происходит образование окислов азота, которые обладают окислительной способностью и являются катализаторами перевода растворимого ацетата палладия(II) [Pd3(CH3COO)6] в нерастворимый ацетат палладия(II) [Pd(CH3COO)2]n. Для подавления окислительной способности окислов азота в раствор вводят этиловый эфир уксусной кислоты, недостатком которого является взаимодействие с водой с образованием этилового спирта, который способен восстанавливать ацетат палладия(II) до металлического палладия. Известен способ получения ацетата палладия(II) путем взаимодействия гидратированного оксида палладия(II) с уксусной кислотой. Гидратированный оксид палладия(II) получают гидролизом азотнокислого раствора нитрата палладия водным раствором NaOH и многократной декантацией образуемого осадка (Патент США №3318891, 1967). Данный способ принят за прототип. Недостатком способа является неполное растворение гидратированного оксида палладия(II) в уксусной кислоте и стадийность всего процесса, что усложняет реализацию. При этом используемый гидратированный оксид палладия(II) загрязнен щелочью, которая не может быть полностью удалена многократной декантацией. Присутствие ацетата натрия в уксуснокислом растворе ацетата палладия приводит к образованию анионных комплексов типа [Pd(СН3СОО)4]2- и [Pd2(СН3СОО)6]2-, которые в водном растворе уксусной кислоты способны при нагревании восстанавливаться до металла. Техническим результатом, на достижение которого направлено предлагаемое изобретение, является упрощение процесса получения ацетата палладия(II) и получение его в монофазовом состоянии [Pd3(СН3СОО)6] без примесей полимерного ацетата палладия(II) катена-поли-[Pd(СН3СОО)2]n и нитритоацетата палладия(II) [Pd3(CH3COO)5NO2]. Заданный технический результат достигается тем, что азотнокислый раствор палладия после упаривания, до начала кристаллизации соли нитрата палладия(II), обрабатывают дистиллированной водой и затем разбавленной водой (30-70%) уксусной кислотой при температуре (15-40)°С с расходом (2-5) л дистиллированной воды на 1 л подготовленного азотнокислого раствора и (1,5-2,5) л уксусной кислоты на 1 кг палладия в растворе. Сущность способа состоит в том, что синтез ацетата палладия(II) осуществляют замещением нитратогруппы в комплексном нитрате палладия на ацетатную. Так как в процессе реакции образуется азотная кислота, то для подавления нитрования в раствор вводится вода. При этом вода также необходима для подавления нитрозирования. Так как исходный азотнокислый раствор палладия был получен растворением металлического палладия в азотной кислоте, то в таком растворе присутствуют растворенные окислы азота, способствующие нитрозированию. Проведение процесса без присутствия воды характеризуется образованием нитрозированного ацетата палладия – нитритоацетата палладия [Pd3(СН3СОО)5NO2]. В ходе проведенных исследований установлено, что для проведения процесса получения ацетата палладия(II) из разбавленного азотнокислого раствора палладия замещением комплексносвязанной нитратогруппы на ацетатную введением уксусной кислоты оптимальными условиями являются: – температура разбавления азотнокислого раствора палладия дистиллированной водой не более 40°С; – расход дистиллированной воды на 1 л исходного подготовленного азотнокислого раствора (2-5) л; – разбавление водой уксусной кислоты до ее массового содержания (30-70%); – температура взаимодействия разбавленной уксусной кислоты с азотнокислым раствором палладия (15-40)°С; – расход ледяной уксусной кислоты на 1 кг палладия в азотнокислом растворе (1,5-2,5) л; – продолжительность процесса кристаллизации ацетата палладия(II) при перемешивании реакционного раствора не менее 8 ч. Повышение температуры разбавления упаренного азотнокислого раствора более 40°С приводит к частичному гидролизу комплексного нитрата палладия, что, в конечном счете, приводит к появлению примеси гидрооксида палладия. Расход добавляемой воды менее 2 л на 1 л исходного подготовленного азотнокислого раствора палладия приводит к проявлению в растворе реакций нитрования и нитрозирования, что, в конечном счете, обуславливает появление примеси полимерного ацетата палладия(II) или нитритоацетата палладия(II). Увеличение расхода добавляемой дистиллированной воды более 5 л на 1 л исходного подготовленного азотнокислого раствора палладия приводит к увеличению количества реакционного раствора, что требует большего объема реактора, а также к увеличению растворимости продукта. Повышение разбавления водой ледяной уксусной кислоты до ее массового содержания менее 30% приводит к уменьшению ее реакционной способности, что, в конечном счете, приводит к уменьшению выхода продукта. Уменьшение разбавления водой ледяной уксусной кислоты до ее массового содержания более 70% может приводить к протеканию процессов нитрозирования, что, в конечном счете, ведет к выделению нитритоацетатного комплекса палладия или загрязнению им основного продукта. Повышение температуры ввода разбавленной уксусной кислоты в азотнокислый раствор палладия более 40°С приводит к протеканию процессов нитрозирования или нитрования, чем обуславливается появление примеси нитритоацетатного или полимерного ацетатного комплекса палладия. Расход добавляемой уксусной кислоты менее 1,5 л на 1 кг палладия в азотнокислом растворе приводит к ее недостатку и неполному замещению всего нитрата палладия. Увеличение расхода добавляемой уксусной кислоты более 2,5 л на 1 кг палладия в азотнокислом растворе приводит к увеличению количества раствора и растворению в нем продукта. Уменьшение продолжительности процесса замещения менее 8 ч приводит к неполной кристаллизации продукта. Увеличение температуры взаимодействия воды и уксусной кислоты с азотнокислым раствором палладия более 40°С приводит к проявлению в растворе реакций нитрования и нитрозирования, что, в конечном счете, обуславливает появление примеси полимерного ацетата палладия(II) или нитритоацетата палладия(II). Уменьшение температуры менее 15°С приводит к замедлению обменного взаимодействия, что увеличивает продолжительность процесса. Примеры осуществления способа В качестве исходного продукта для опытов №1-28 (таблица 1) по получению ацетата палладия(II) был приготовлен раствор азотнокислого палладия растворением металлического палладия в азотной кислоте и его упариванием. Содержание палладия в растворе – 500 г/л, свободной азотной кислоты – 200 г/л. Пример 1 В определенный объем приготовленного азотнокислого раствора палладия добавляли расчетный объем дистиллированной воды и затем раствор разбавленной водой уксусной кислоты и перемешивали. Осадок ацетата палладия(II) извлекали фильтрованием, промывали дистиллированной водой, выгружали на противень и сушили при 40°С в течение 24 часов. Осадок взвешивали, анализировали на содержание палладия и определяли фазовый состав. Маточный раствор отправляли на регенерацию. Данные опытов приведены в таблице 1. Как видно из приведенных примеров, использование заявляемого способа позволяет получить ацетат палладия(II) в монофазовом состоянии и исключить появление примеси нерастворимого полимерного ацетата палладия(II) и нитритоацетатного соединения палладия(II).
Формула изобретения
1. Способ получения ацетата палладия, включающий растворение металлического палладия в концентрированной азотной кислоте, упаривание полученного раствора и проведение реакции с уксусной кислотой, отличающийся тем, что азотнокислый раствор палладия после упаривания, до начала кристаллизации соли нитрата палладия(II), обрабатывают дистиллированной водой в объеме в (2-5) л на 1 кг палладия в исходном азотнокислом растворе, затем разбавленной водой уксусной кислотой (30-70%) с расходом (1,5-2,5) л уксусной кислоты на 1 кг палладия в исходном азотнокислом растворе и полученный раствор выдерживают не менее 8 ч при температуре (15-40)°С. 2. Способ по п.1, отличающийся тем, что упаривание азотнокислого раствора палладия проводят до содержания палладия 500 г/л и свободной азотной кислоты 200 г/л.
|
||||||||||||||||||||||||||


