|
(21), (22) Заявка: 2006131700/09, 31.01.2005
(24) Дата начала отсчета срока действия патента:
31.01.2005
(30) Конвенционный приоритет:
05.02.2004 US 10/773,646
(43) Дата публикации заявки: 10.03.2008
(46) Опубликовано: 27.08.2008
(56) Список документов, цитированных в отчете о поиске:
ЕР 1211819 А, 05.06.2002. RU 2157592 С1, 10.10.2000. WO 97/44916 А1, 27.11.1997. JP 2003069451 А, 07.03.2003.
(85) Дата перевода заявки PCT на национальную фазу:
05.09.2006
(86) Заявка PCT:
US 2005/003156 (31.01.2005)
(87) Публикация PCT:
WO 2005/079031 (25.08.2005)
Адрес для переписки:
129090, Москва, ул. Б. Спасская, 25, стр.3, ООО “Юридическая фирма Городисский и Партнеры”, пат.пов. Ю.Д.Кузнецову, рег.№ 595
|
(72) Автор(ы):
МАНТРАВАДИ Ашок (US), КХАНДЕКАР Аамод (US)
(73) Патентообладатель(и):
КВЭЛКОММ ИНКОРПОРЕЙТЕД (US)
|
(54) ОЦЕНКА КАНАЛА БЕСПРОВОДНОЙ СИСТЕМЫ СВЯЗИ С МНОЖЕСТВОМ ПАРАЛЛЕЛЬНЫХ ПОТОКОВ ДАННЫХ
(57) Реферат:
Изобретение относится к системам связи. Техническим результатом является обеспечение оценки канала с высоким качеством. Для этого при восстановлении множества потоков данных, передаваемых одновременно, получают первую оценку канала для беспроводного канала на основе принятых пилот-символов. Детектирование выполняется для принятых символов данных с использованием первой оценки канала для получения продетектированных символов для первого потока данных. Эти продетектированные символы декодируются для получения декодированного первого потока данных, которые повторно кодируются для получения повторно модулированных символов. Получают вторую оценку канала на основе повторно модулированных символов. Первую и вторую оценки канала объединяют для получения третьей оценки канала, имеющей более высокое качество. Оценивают помеху, обусловленную первым потоком данных, с использованием третьей оценки канала и устраняют помеху их принятых символов данных. Выполняют детектирование символов при устранении оцененной помехи из основного потока и с использованием третьей оценки канала для получения продетектированных символов для второго потока данных. Эти продетектированные символы дополнительно декодируют для получения декодированных данных второго потока данных. 5 н. и 32 з.п. ф-лы, 6 ил.
Область техники
Настоящее изобретение относится к системам связи, более конкретно к оценке канала для беспроводной системы связи, которая одновременно передает множество потоков данных.
Предшествующий уровень техники
Система беспроводной связи может обеспечивать речевую связь, пакетные данные, широковещательную передачу и/или другие услуги. Услуги широковещательной передачи в типовом случае предусматривают трансляцию данных ко всем пользователям в указанной области вместо передачи к конкретным пользователям. Поскольку широковещательная передача предназначена для приема множеством пользователей в области широковещательной передачи, скорость широковещательной передачи данных обычно определяется пользователем с наихудшими условиями канала. В типовом случае пользователь с наихудшими условиями канала располагается удаленно от передающей базовой станции и имеет низкое отношение сигнала к шуму и помехам (SINR).
Пользователи в области широковещательной передачи в типовом случае испытывают разные условия в канале, получают разные отношения SINR и могут принимать данные с разными скоростями передачи данных. Для улучшения услуги широковещательной передачи может использоваться иерархическая передача. При иерархической передаче транслируемые данные делятся на «основной поток» и «расширенный поток». Основной поток передается таким способом, что все пользователи в области широковещательной передачи могут восстановить этот поток. Расширенный поток передается таким способом, что пользователи, имеющие лучшие условия канала, могут восстановить этот поток. Иерархическая передача также упоминается как иерархическое кодирование, причем термин «кодирование» в этом контексте относится к канальному кодированию, а не к кодированию данных в передатчике.
В одном способе реализации иерархического кодирования, базовая станция обрабатывает (например, кодирует, перемежает и модулирует) основной поток и расширенный поток отдельно для получения двух потоков символов. Базовая станция затем масштабирует и комбинирует (например, суммирует) два потока символов данных и передает объединенный поток символов. Приемник с высоким отношением SINR сначала обнаруживает и восстанавливает основной поток, обращаясь с расширенным потоком как с шумом. Приемник затем оценивает и компенсирует помеху, обусловленную основным потоком, и затем восстанавливает расширенный поток с подавленной помехой из основного потока. Приемник также оценивает отклик беспроводного канала и использует оценку канала для трех этапов обработки – для детектирования основного потока, для оценки помехи, обусловленной основным потоком, и для детектирования расширенного потока. Качество оценки канала непосредственно влияет на эффективность системы. Таким образом, весьма желательны способы, которые могут обеспечивать оценку канала с высоким качеством.
Сущность изобретения
Предложены способы для выполнения оценивания канала и обработки данных в беспроводной системе связи, которая одновременно передает множество потоков данных. Эти способы могут использоваться для различных типов систем, таких как, например, системы с иерархическим кодированием, которые передают два потока данных: основной поток и расширенный поток.
В одной приведенной для примера схеме оценивания канала и обработки данных первая (начальная) оценка канала выводится из беспроводного канала (например, на основе принятых пилот-символов). Пилот-символы могут передаваться с использованием схемы передачи на основе мультиплексирования с частотным разделением каналов (FDM), схемы передачи на основе мультиплексирования с временным разделением каналов (TDM) или некоторой другой схемы. Первая оценка канала может быть выведена с использованием оценивания канала по методу наименьших квадратов (описан ниже) или некоторого иного метода. В любом случае выполняется детектирование по принятым символам данных с использованием первой оценки канала для получения продетектированных символов для первого потока данных (например, основного потока). Каждый продетектированный символ в типовом случае может представлять собой многобитное значение (например, «мягкое решение»), которое может быть действительным или комплексным, и может быть представлено в различных формах (например, как логарифм отношения правдоподобия (LLR)).
Эти продетектированные символы декодируются для получения декодированных символов для первого потока данных, которые повторно кодируются для получения повторно модулированных символов. Вторая (ориентированная на данные или ориентированная на решение) оценка канала выводится на основе повторно модулированных символов. Первая и вторая оценки канала затем объединяются для получения третьей (улучшенной) оценки канала, имеющей более высокое качество. Помеха, обусловленная первым потоком данных, оценивается с использованием третьей оценки канала и устраняется из принятых символов данных. Затем выполняется детектирование символов с подавленной помехой с использованием третьей оценки канала для получения продектированных символов для второго потока данных (например, расширенного потока), которые затем декодируются для получения декодированных данных для второго потока данных.
Третья оценка канала, полученная с использованием повторно модулированных символов для первого потока данных, имеет высокое качество и может обеспечить улучшенные рабочие показатели. В частности, третья оценка канала может обеспечить: (1) более точную оценку помехи, обусловленной первым потоком данных, и (2) более высокое качество продетектированных символов для второго потока данных.
Различные аспекты и варианты осуществления изобретения описаны более подробно ниже.
Краткое описание чертежей
Признаки и сущность настоящего изобретения поясняются в последующем детальном описании, изложенном со ссылками на чертежи, на которых одинаковые ссылочные позиции использованы для соответствующего обозначения на всех чертежах и на которых представлено следующее:
фиг. 1 – процедура восстановления основного потока и расширенного потока в приемнике в системе с иерархическим кодированием;
фиг. 2 – процедура выполнения оценивания канала и обработки данных для множества одновременно передаваемых потоков данных;
фиг. 3А и 3В – примеры схем передачи пилот-сигналов на основе FDM и TDM соответственно для системы OFDM;
фиг. 4 – передатчик и приемник в системе, основанной на OFDM;
фиг. 5 – различные блоки обработки в передатчике;
фиг. 6 – различные блоки обработки в приемнике.
Детальное описание
Термин «примерный» используется исключительно в смысле «служащий в качестве примера или иллюстрации». Любой вариант осуществления, описанный как «примерный», не должен обязательно пониматься как предпочтительный или преимущественный по сравнению с другими вариантами осуществления.
Способы оценивания каналов и обработки данных, описанные ниже, могут использоваться для различных типов беспроводных систем связи, включая системы связи с одной несущей или с множеством несущих. Множество несущих может быть получено с использованием мультиплексирования с ортогональным частотным разнесением каналов (OFDM) или некоторых других методов модуляции с использованием множества несущих. Схема OFDM может эффективно подразделять всю полосу системы на множество (N) ортогональных поддиапазонов, которые также обычно называются тонами, поднесущими, элементами и частотными каналами. При использовании схемы OFDM каждый поддиапазон связан с соответствующей несущей, которая может модулироваться данными. Для ясности, методы оценивания каналов и обработки данных конкретно описаны ниже применительно к системе, которая основана на схеме OFDM и которая может представлять собой систему OFDM, систему множественного доступа с ортогональным частотным разделением каналов (OFDMA) и т.д.
Способы оценивания каналов и обработки данных могут также использоваться для различных беспроводных систем связи, которые передают множество потоков данных одновременно (то есть параллельно) и которые могут использовать подавление помех для восстановления передаваемых потоков данных. Для ясности, эти способы конкретно описаны для системы, которая использует иерархическое кодирование и передает одновременно два потока данных.
В системе, основанной на схеме OFDM с иерархическим кодированием, передатчик объединяет символы данных для основного потока с символами данных для расширенного потока для получения объединенных символов. В настоящем описании термин «символ данных» представляет собой символ модуляции для данных, а «пилот-символ» представляет собой символ модуляции для пилот-сигнала и известен априорно в приемнике. Передатчик может объединять символы данных для основного потока и расширенного потока путем (1) суммирования двух символов данных для двух потоков в каждом периоде OFDM-символа для получения объединенного символа, (2) отображения двух символов данных на основе функции отображения для получения объединенных символов. Для ясности, в последующем описании предполагается, что основной поток и расширенный поток суммируются или объединяются суперпозицией. После объединения передатчик объединяет и передает объединенные символы по беспроводному каналу.
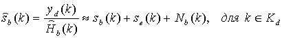
Принятые символы в приемнике могут быть выражены следующим образом:
 (1)
где sb(k) – символ данных, переданный в поддиапазоне k для основного потока;
sе(k) – символ данных, переданный в поддиапазоне k для расширенного потока;
H(k) – комплексное усиление канала для поддиапазона k;
N(k) – шум и помеха, наблюдаемые в поддиапазоне k;
уd(k) – принятый символ данных для поддиапазона k;
Kd – набор всех поддиапазонов, используемых для передачи данных (т.е. «поддиапазонов данных»).
Для простоты обработка в передатчике и приемнике для системы OFDM не описывается.
В принципе, одна и та же или разная мощность передачи может использоваться для основного потока и расширенного потока. Для простоты, в уравнении (1) предполагается, что для двух потоков используется одна и та же мощность передачи. Альтернативно, символы данных sb(k) и sе(k) могут предполагаться включающими в себя фактор распределения мощности для двух потоков данных.
На фиг. 1 показана блок-схема процесса 100 для восстановления основного потока и расширенного потока в приемнике. Приемник сначала получает оценку канала для поддиапазонов данных, например, на основе пилот-символов, принятых приемником вместе с объединенными символами (блок 112). Оценка канала может быть получена, как описано ниже.
Приемник выполняет детектирование для основного канала с использованием оценки канала (блок 114). В одном варианте осуществления детектирование выполняется следующим образом:
 (2)
где – оценка усиления канала для поддиапазона k;
– продетектированный символ для поддиапазона k для основного потока;
– шум после обработки в поддиапазоне k для основного потока.
Уравнение (2) показывает, что символы sb(k) и sе(k) данных, переданные в поддиапазоне k, могут быть восстановлены путем деления принятого символа уd(k) данных для поддиапазона k на оценку усиления канала для поддиапазона k. Эта операция обычно упоминается как коррекция и в типовом случае используется для некодированной системы. В другом варианте осуществления детектирование выполняется следующим образом:
(3)
где символ «*» обозначает комплексно сопряженную величину. Операция, представленная в уравнении (3), обычно называется оптимальной фильтрацией и в типовом случае используется для системы с кодированием.
После детектирования приемник «декодирует» продетектированные символы для основного потока для получения продетектированного основного потока , который является оценкой переданного основного потока (блок 116). Декодирование в типовом случае включает в себя демодуляцию (например, обращенное отображение символов или вычисление логарифма отношения правдоподобия (LLR), обращенное перемежение, декодирование с исправлением ошибок (например, блочное, по Витерби, и/или турбодекодирование) и декодирование с исправлением ошибок (например, декодирование с проверкой циклическим избыточным кодом (CRC)). Как показано в уравнениях (2) и (3), продетектированные символы включают в себя как символы {sb} данных для основного потока, так и символы {se} данных для расширенного потока, которые интерпретируются как шум при декодировании основного потока. Приемник дополнительно «повторно кодирует» продетектированный основной поток для получения повторно модулированных символов , которые являются оценками переданных символов {sb} данных для основного потока (также блок 116). Повторное кодирование в типовом случае включает в себя кодирование, перемежение и модуляцию (т.е. отображение символов).
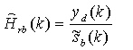
Если основной поток декодирован корректным образом, то декодер получает ориентированную на данные оценку канала для поддиапазонов данных на основе принятых символов данных и повторно модулированных символов (блок 120). В качестве примера ориентированная на данные оценка канала может быть получена следующим образом:
или для  (4)
где (k) – оценка усиления канала для поддиапазона k, полученная на основе повторно модулированного символа для основного потока. Две операции, показанные в уравнении (4), не эквивалентны некоторой схеме модуляции (например, 16-QAM). Оценка канала может также быть получена другими способами, как описано ниже.
Декодирован ли основной поток корректным образом или нет, может быть определено на основе кода обнаружения ошибок, такого как код CRC. Если основной поток декодирован корректным образом, то повторно модулированные символы для основного потока могут рассматриваться как свободные от ошибок и могут использоваться аналогичным образом как пилот-символы для оценки канала. Однако поскольку принятые символы {yd} данных включают в себя символы {sb} и {se} данных для обоих потоков, как показано в уравнениях (2) и (3), то оценка канала включает шум и помеху от символов {se} данных для расширенного потока. Для иерархического кодирования мощность передачи, используемая для расширенного потока, может составлять малую часть (например, 1/4, 1/10 или 1/20) мощности передачи, используемой для основного потока. В этом случае шум/помеха, обусловленные расширенным потоком, могут быть малыми. Тем не менее, оценка канала может в типовом случае обеспечивать дополнительную полезную информацию для отклика беспроводного канала.
Затем приемник объединяет первоначальную оценку канала с ориентированной на данные оценкой канала для получения оценки расширенного канала (блок 122). Декодированный основной поток, таким образом, используется для получения ориентированного на решение обновления данных для оценки канала. Объединение может выполняться различными способами, которые могут учитывать компромисс между эффективностью и сложностью. В одном варианте осуществления оценки канала объединяются следующим образом:
для  (5)
где h – значение, которое выбрано на основе относительной надежности двух оценок и канала. Надежность может зависеть от различных факторов, таких как мощность передачи, использованная для пилот-символов, число поддиапазонов пилот-сигнала, фильтрация, используемая для получения и т.д. Надежность может также зависеть от различных факторов, таких как относительная мощность для основного потока и расширенного потока, состояния канала и т.д. Различные меры относительно надежности могут быть использованы для оценок канала, таких как, например, среднеквадратичные ошибки оценки канала. Большее значение h дает больший вес оценке канала, что может быть желательным, если рассматривается как менее надежная оценка, чем И наоборот, меньшее значение h дает больший вес оценке канала. Значение h может быть фиксированным или динамическим (например, вычисляться для каждого пакета данных). Объединение оценок и канала также может выполняться во временной области или в частотной области.
Приемник может выполнять фильтрацию для получения оценок канала более высокого качества. Фильтрация может выполняться различными способами и с использованием различных типов фильтров. Например, приемник может фильтровать оценку канала и/или оценку канала по множеству периодов символов OFDM перед объединением двух оценок канала. В качестве другого примера приемник может фильтровать оценку расширенного канала по множеству периодов символов OFDM после объединения. В качестве еще одного примера приемник может фильтровать оценки и Приемник может выполнять фильтрацию: (1) во временной области или в частотной области и (2) с использованием различных типов фильтров, таких как фильтр с бесконечным импульсным откликом (IIR), фильтр с конечным импульсным откликом (FIR) и т.д. Фильтрация с помощью фильтров IIR и FIR описана ниже.
Приемник затем выводит оценку помехи, обусловленной основным потоком, с использованием оценки расширенного канала (блок 132) следующим образом:
для  (6)
где ib(k) – оценка помехи в поддиапазоне k, обусловленной основным потоком. Приемник затем удаляет оцененную помеху из принятых символов данных (также блок 132) следующим образом:
для  (7)
где ye(k) – символ с подавленной помехой для поддиапазона k, в котором устранена оцененная помеха из основного потока. Приемник может выполнять оценивание помехи и ее подавление при условиях: (1) только если основной поток декодирован корректным образом, (2) только если качество декодированного основного потока, как определено количественно одной или более метрик декодирования, превышает предварительно определенный порог, или (3) постоянно, независимо от результата декодирования.
Приемник затем выполняет детектирование для расширенного потока с использованием оценки расширенного канала (134). Детектирование может выполняться следующим образом:
для  (8)
где – продетектированный символ в поддиапазоне k;
Ne(k) – шум после обработки в поддиапазоне k для расширенного потока.
Альтернативно, детектирование может быть выполнено следующим образом:
, для  (9)
В любом случае, когда приемник декодирует продетектированные символы для получения декодированного расширенного потока , который является оценкой переданного расширенного потока {de} (блок 136).
На фиг. 1 показана процедура оценивания канала и обработки данных для системы, основанной на OFDM с иерархическим кодированием, где два наложенных потока данных передаются одновременно. В общем случае, подобная обработка может быть выполнена для других типов систем и на любом количестве потоков данных.
На фиг. 2 представлена блок-схема процедуры 200 для выполнения оценивания канала и обработки данных для множества потоков данных, передаваемых одновременно. Процедура 200 итеративно восстанавливает один поток данных на каждом этапе и обновляет оценку канала, когда восстанавливается каждый поток данных.
Индекс i, используемый для обозначения номера этапа и потока данных, который должен восстанавливаться следующим, инициализируется на 1 (т.е. i=1) для первого этапа (блок 212). Оценка канала для первого потока данных выводится, например, на основе принятых пилот-символов (блок 214).
Для этапа i детектирование выполняется по входным символам {yi} c использованием оценки канала для получения продетектированных символов для потока данных (блок 216). Для первого этапа входные символы {yi} являются принятыми символами данных. Для каждого последующего этапа входные символы {yi} представляют собой символы с подавленной помехой из предшествующего этапа i-1. Продетектированные символы декодируются для получения декодированного потока данных (также блок 216).
Затем определяется, все ли потоки данных были восстановлены (блок 218). Если ответом является «да», то процесс обработки завершается. В противном случае, декодированный поток данных повторно кодируется для получения повторно модулированных символов для потока данных (блок 220). Если поток данных декодирован корректно, то повторно модулированные символы используются для вывода ориентированной на данные оценки канала (блок 222). Оценки и канала затем объединяются (например, как показано в уравнении (5)), для получения оценки для следующего этапа (блок 224). Помеха, обусловленная потоком данных, оценивается с использованием оценки канала и удаляется из входных символов {yi} для i-го этапа для получения символов {yi+1} для следующего этапа (блок 226). Индекс i получает приращение (блок 228), и процедура возвращается к блоку 216 для восстановления следующего потока данных.
Оценка расширенного канала, полученная с использованием повторно модулированных символов из декодированного потока данных, может обеспечивать улучшенные рабочие показатели в целом. Оценка расширенного канала может быть использована для получения более точной оценки помехи, обусловленной декодированным потоком данных, поскольку повторно модулированные символы умножаются на оценку канала, как показано в уравнении (6). Оценка расширенного канала может также использоваться для получения продетектированных символов высокого качества для следующего потока данных, подлежащего декодированию, поскольку принятые символы данных делятся или умножаются на оценку канала для детектирования, как показано в уравнениях (8) и (9). Улучшенная оценка канала для этапа i может использоваться для выполнения подавления помехи для этапа i (как описано выше). Улучшенная оценка канала для этапа i может также использоваться для выполнения подавления помехи для всех этапов вплоть до и включая этап i, то есть этапы с 1 по i (на фиг. 2 для простоты не показано).
Способы оценивания канала и обработки данных, описанные выше, могут использоваться в связи с различными схемами передачи пилот-сигнала. Для схемы передачи пилот-сигнала на основе TDM пилот-символы передаются на всех поддиапазонах в некоторых из периодов OFDM-символов, и символы данных передаются в остальных периодах OFDM-символов. Для FDM-схемы передачи пилот-сигнала пилот-символы передаются на каждый период OFDM-символов, но только в поддиапазонах, предназначенных для передачи пилот-сигнала (то есть «в поддиапазонах пилот-сигнала»). Пилот-символы могут также передаваться другими способами, и это входит в объем изобретения.
На фиг. 3А показана приведенная для примера структура поддиапазонов, которая может использоваться для системы на основе OFDM. Система на основе OFDM имеет общую ширину полосы BW МГц, которая подразделена на N ортогональных поддиапазонов с использованием схемы OFDM. Каждый поддиапазон имеет ширину полосы BW/N МГц. В системе OFDM со сформированным спектром только М из полного числа N поддиапазонов используется для передачи данных/пилот-сигналов, причем M
На фиг. 3А показана приведенная для примера FDM-схема 300 передачи пилот-сигналов для системы OFDM. Для передачи пилот-сигналов используется Р поддиапазонов. Для простоты вычисления оценки канала, Р поддиапазонов пилот-сигналов могут быть равномерно распределены по общему числу N поддиапазонов таким образом, что последовательные поддиапазоны пилот-сигналов разнесены на N/P поддиапазонов.
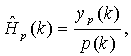
Для блока 112 на фиг. 1 и блока 214 на фиг. 2 приемник может получить первоначальную оценку частотного отклика беспроводного канала на основе принятых пилот-символов следующим образом:
для  (10)
где yp(k) – принятый пилот-символ для поддиапазона k;
p(k) – пилот-символ, переданный для поддиапазона k;
– оценка усиления канала для поддиапазона k пилот-сигнала;
Кр – набор всех поддиапазонов пилот-сигналов.
Вектор размера Р×1 для первоначальной оценки частотного отклика для Р равномерно распределенных поддиапазонов пилот-сигналов может быть сформирован как где «Т» обозначает транспонирование. Экстраполяция и/или интерполяция может использоваться, как это необходимо, для получения оценок усиления канала для поддиапазонов пилот-сигнала без передачи пилот-сигнала на основе принятых пилот-символов для поддиапазонов пилот-сигналов с передачами пилот-сигналов.
Вектор размера N×1 для оценки частотного отклика для полного числа N поддиапазонов может быть получен на основе оценки частотного отклика с использованием различных способов. Для способа наименьшей квадратичной оценки канала сначала получают наименьшую квадратичную оценку импульсного отклика в следующем виде:
 (11)
где является вектором размера Р×1 для наименьшей квадратичной оценки импульсного отклика;
– ДПФ-матрица размера Р×Р, используемая для выполнения дискретного преобразования Фурье (ДПФ) над для получения и «Н» обозначает комплексно-сопряженное транспонирование.
ДПФ-матрица определяется таким образом, что (n,m)-й элемент wn,m задан в следующем виде:
для и  (12)
где n – индекс строки и m – индекс столбца.
Уравнение (11) указывает, что оценка импульсного отклика может быть получена путем выполнения Р-точечного обратного быстрого преобразования Фурье (ОБПФ) над первоначальной оценкой частотного отклика. Вектор может подвергаться пост-обработке, например, путем: (1) установки элементов с низкими значениями, меньшими, чем предварительно заданный порог, на нуль и/или (2) установки элементов с L-го по P-й в векторе на нуль, где L – ожидаемый разброс задержек в системе. Вектор затем заполняется нулями до длины N. Заполненный нулями вектор затем преобразуется в соответствии с N-точечным быстрым преобразованием Фурье (БПФ) для получения вектора в следующем виде:
 (13)
где  .
Начальная оценка частотного отклика, оценка импульсного отклика и/или оценка частотного отклика могут подвергаться фильтрации для обеспечения более высокого качества. Например, начальная оценка частотного отклика может фильтроваться с использованием фильтра IIR следующим образом:
 (14)
где (n) – оценка частотного отклика, полученная для периода n символов OFDM;
– отфильтрованная оценка частотного отклика, полученная для периода n символов OFDM;
t – постоянная времени для фильтрации.
Постоянная времени t может быть выбрана для обеспечения хороших показателей для диапазона доплеровских частот. Отфильтрованная оценка частотного отклика затем используется для получения оценки импульсного отклика в уравнении (11).
В качестве другого примера начальная оценка частотного отклика может фильтроваться с использованием фильтра FIR следующим образом:
 (15)
где сi – коэффициент фильтра для отвода i фильтра FIR, L1 и L2 – протяженность фильтра FIR. Для каузального фильтра FIR L1 =0, L2 1, и отфильтрованная оценка частотного отклика является взвешенной суммой оценок (n) частотного отклика для L2 предыдущих и текущего периодов символов OFDM. Для некаузального фильтра FIR L1 1, L2 1, и отфильтрованная оценка частотного отклика является взвешенной суммой оценок (n) частотного отклика для L2 предыдущих, текущего и L1 будущих периодов символов OFDM. Буферизация L1 принятых символов OFDM необходима для реализации некаузального фильтра FIR. Оценка импульсного отклика и/или оценка частотного отклика может также отфильтровываться, например, как показано в уравнениях (14) и (15).
Получение оценки частотного отклика канала, основанной на принятых пилот-символах для поддиапазонов пилот-сигнала, детально описано в патентной заявке США того же заявителя (номер дела поверенного 030287), озаглавленной «Оценка канала для системы связи OFDM со сформированным спектром». Вектор может также быть получен иными способами, например методом минимальной среднеквадратичной ошибки (MMSE).
В случае блока 120 на фиг. 1 и блока 122 на фиг. 2 ориентированные на данные оценки и канала получают на основе повторно модулированных символов для декодированного потока данных, например, как показано в уравнении (4). Повторно модулированные символы могут рассматриваться как «новые» пилот-символы, которые могут использоваться для улучшения оценок канала для следующего потока, подлежащего детектированию. Оценки и каналов, используемые для текущего потока, могут объединяться с ориентированными на данные оценками и канала для получения оценок или каналов для следующего потока, которые могут быть дополнительно улучшены с использованием методов интерполяции. Объединение и интерполяция могут быть выполнены различными способами. Для ясности, приведенное ниже описание относится к системе с иерархическим кодированием, содержащей только основной поток и расширенный поток.
В одном варианте осуществления оценки усиления каналов, полученные с использованием начального и нового пилот-символов, конкатенируются/объединяются и используются для получения оценок канала для следующего потока. Например, если пилот-сигнал передается в Р поддиапазонах пилот-сигнала, а данные передаются в остальных N-P поддиапазонах, то повторно модулированные символы, полученные из декодированного основного потока для N-P поддиапазонов данных, могут быть использованы в качестве новых пилот-символов для этих поддиапазонов. Обновленная первоначальная оценка частотного отклика для всех N поддиапазонов может быть получена, например, путем конкатенации (1) Р оценок усиления канала в для Р поддиапазонов пилот-сигналов с (2) N-P оценками усиления канала, полученными из N-P новых пилот-символов для N-P поддиапазонов данных. Обновленная первоначальная оценка частотного отклика может затем использоваться для получения оценки расширенного частотного отклика посредством любого алгоритма частотной интерполяции. Например, с использованием критерия наименьших квадратов оценка расширенного частотного отклика может быть получена сначала следующим образом:

где – подматрица размером N×P матрицы БПФ размером N×N, образованная использованием первых Р столбцов матрицы Оценка расширенного частотного отклика может быть затем получена путем (1) пороговой обработки и усечения (что является факультативным) и заполнения нулями оценки импульсного отклика и (2) выполнения N-точечного БПФ над заполненной нулями оценкой импульсного отклика. Оценка расширенного частотного отклика затем используется для детектирования расширенного потока.
В другом варианте осуществления используется интерполяция и объединения выполняются в частотной области. Метод среднеквадратичного оценивания канала может использоваться для получения ориентированной на данные среднеквадратичной оценки импульсного отклика (например, с Р отводами) на основе новых пилот-символов для N-P поддиапазонов данных следующим образом:

где является подматрицей размера (N-P)×P для ДПФ-матрицы размера N×N, образованной из первых Р столбцов и N-P строк матрицы , которые соответствуют поддиапазонам данных. Ориентированная на данные оценка частотного отклика может быть получена путем пороговой обработки и усечения, заполнения нулями и выполнения N-точечного БПФ над заполненной нулями оценкой частотного отклика. Ориентированная на данные оценка частотного отклика может затем быть объединена с оценкой частотного отклика, основанной на пилот-символах, для получения оценки расширенного частотного отклика для расширенного потока. Объединение с может быть выполнено так, как показано в уравнении (5).
В другом варианте осуществления используется интерполяция и объединение выполняется во временной области. Оценка импульсного отклика по методу наименьших квадратов для основного потока и ориентированная на данные оценка импульсного отклика методом наименьших квадратов могут быть объединены (например, как показано в уравнении (5)), подвергнуты пороговой обработке и усечению, заполнены нулями и преобразованы для получения оценки расширенного частотного отклика. Для всех вариантов осуществления, описанных выше, выигрыш за счет дискретизации с повышенной частотой может быть достигнут для оценок и , поскольку N-P может быть значительно больше, чем P.
Фиг. 3В показывает иллюстративную схему 310 передачи пилот-сигналов на основе TDM для системы OFDM. Пилот-символы передаются на всех поддиапазонах в периодах символов OFDM, используемых для передачи пилот-сигналов (или просто «в периодах пилот-сигналов). В периодах символов OFDM, используемых для передачи данных (или просто «в периодах передач данных»), никакие пилот-символы не передаются.
Приемник может вывести оценку канала на основе принятых пилот-символов, полученных в течение периодов пилот-сигнала. Приемник может вывести оценку канала на основе повторно модулированных символов, полученных в течение периодов передачи данных. Приемник может объединять оценки и канала для получения оценки расширенного канала, которая может использоваться для оценивания помехи в текущем периоде данных и детектирования данных в будущем периоде данных. Оценка канала может выводиться и обновляться во взаимосвязи с интерполяцией и другими методами, обычно используемыми для схемы передачи пилот-сигнала на основе TDM.
Для ясности оценивание канала и обработка данных описаны детально ниже для системы, основанной на OFDM, с иерархическим кодированием.
На фиг. 4 показана блок-схема передатчика 410 и приемника 450 в системе 400, основанной на OFDM. Передатчик 410, процессор 420 данных передачи (TX) принимает, кодирует, перемежает и модулирует основной поток {db} и выдает соответствующий поток {sb} символов данных. Процессор 420 ТХ-данных также принимает, кодирует, перемежает и модулирует расширенный поток {de} и выдает соответствующий поток {se} символов данных. Блок 430 объединения масштабирует и объединяет два потока {sb} и {se} символов данных, мультиплексирует в пилот-символы и выдает поток {x} символов передачи. Передающий блок (TMTR) 440 получает и обрабатывает поток символов передачи и генерирует модулированный сигнал, который передается от антенны 442 через беспроводный канал.
В приемнике 450 антенна 458 принимает модулированный сигнал, переданный передатчиком 410, и подает принятый сигнал в приемный блок (RCVR) 450. Приемный блок 460 выполняет преобразование, оцифровку и обработку принятого сигнала и выдает принятый поток {y} символов, который включает в себя принятые символы {yd} данных и принятые пилот-символы {yp}. Блок 470 оценки канала получает (1) оценку канала, используемую для детектирования основного потока, и (2) оценку расширенного канала, используемую для оценивания помехи, обусловленной основным потоком, и для детектирования расширенного потока. Детектор 480 выполняет детектирование для получения продетектированного потока символов для основного потока, оценивает помеху, обусловленную основным потоком, и выполняет детектирование для получения продетектированного потока символов для расширенного потока.
Процессор 490 данных приема (RX) демодулирует, выполняет обратное перемежение и декодирует продетектированный поток символов для получения декодированного основного потока . Процессор 490 RX-данных также демодулирует, выполняет обратное перемежение и декодирует продетектированный поток символов для получения декодированного расширенного потока . Блоки обработки в передатчике 410 и приемнике 450 описаны ниже более подробно.
Контроллеры 412 и 452 управляют работой передатчика 410 и приемника 450 соответственно. Блоки 414 и 454 памяти обеспечивают хранение программных кодов и данных, используемых контроллерами 412 и 452 соответственно.
На фиг. 5 показана блок-схема варианта осуществления процессора 420 ТХ-данных, блока 430 объединения и передающего блока 440 в передатчике 410.
Процессор 420 ТХ-данных содержит два процессора 520а и 520b потоков ТХ-данных для основного потока и расширенного потока соответственно. В процессоре 520а потока ТХ-данных кодер 522а принимает и кодирует основной поток в соответствии со схемой кодирования и выдает биты кода. Кодирование повышает надежность передачи данных. Схема кодирования может содержать сверточный код, турбокод, блочный код (например, код Рида-Соломона), код проверки циклическим избыточным кодом (CRC) или комбинацию указанных кодов. Канальный перемежитель 524а перемежает (т.е. переупорядочивает) биты кода с кодера 522а на основе схемы перемежения. Перемежение обеспечивает временное и/или частотное разнесение для битов кода. Блок 526а отображения символов затем модулирует (т.е. отображает символы) перемеженных данных с канального перемежителя 524а в соответствии со схемой модуляции и выдает символы данных. Модуляция может быть реализована посредством: (1) группирования наборов из В перемеженных битов для формирования В-битовых двоичных значений, где В 1, и (2) отображения каждого В-битового двоичного значения на комплексное значение для точки в совокупности сигналов для схемы модуляции. Блок 526а отображения символов обеспечивает поток символов {sb} данных, где каждый символ данных является комплексным значением. Кодирование, канальное перемежение и отображение символов может выполняться отдельно для каждого пакета данных в основном потоке. Процессор 520b потока ТХ-данных аналогичным образом обрабатывает расширенный поток и выдает соответствующий поток символов данных. Схемы кодирования, перемежения и модуляции для расширенного потока могут быть теми же самыми или отличаться от соответствующих схем для основного потока.
Блок 430 объединения выполняет объединение для иерархического кодирования и мультиплексирует пилот-символы. В блоке 430 объединения умножитель 532а принимает и умножает поток {sb} символов данных на коэффициент Kb масштабирования, а умножитель 532b принимает и умножает поток символов данных на коэффициент Kе масштабирования. Коэффициенты Kb и Kе масштабирования определяют величину мощности передачи, которая должна использоваться для основного потока и расширенного потока соответственно и могут быть выражены следующим образом:
и (18)

где Рtotal – полная мощность передачи, доступная в основном и расширенном потоках;
р – доля полной мощности передачи, предназначенная для использования для основного потока,
(1- р) – доля полной мощности передачи, предназначенная для использования для расширенного потока.
Величина мощности передачи, предназначенная для выделения каждому потоку, может зависеть от различных факторов, таких как относительные скорости передачи основного потока и расширенного потока, отношений SINR, реализованных у пользователей, желательной надежности для двух потоков, желательных скоростей передачи для этих потоков и т.д. Более высокая доля полной мощности передачи Рtotal обычно выделяется для основного потока.
Для варианта осуществления, показанного на фиг. 5, сумматор 534 принимает и суммирует масштабированные символы данных с умножителей 532а и 532b для получения объединенных символов следующим образом:
для (19)
где xd(k) – объединенный символ, подлежащий передаче в поддипазоне k для основного и расширенного потока. Уравнение (19) в явном виде показывает масштабирование каждого символа данных для получения желательной мощности передачи для символа данных, в то время как уравнения, приведенные выше, предполагали, что масштабирование уже отражено в символе данных. Символы данных с процессоров 520а и 520b могут также объединяться иными способами. Например, блок отображения может принимать и отображать символы данных (или перемеженные биты) для двух потоков на основе функции отображения и обеспечивать объединенные символы. Функция отображения может реализовывать, например, линейную функцию, нелинейную функцию, функцию для неравномерной схемы модуляции (например, со схемой модуляции для расширенного потока, которая накладывается на схему модуляции для основного потока) или некоторую другую функцию.
Мультиплексор 536 принимает и мультиплексирует объединенные символы с пилот-символами. Мультиплексирование выполняется таким образом, что объединенные символы обеспечиваются в поддиапазонах данных, пилот-символы обеспечиваются в поддиапазонах пилот-сигналов и сигнальное значение «нуль» (или «нулевой символ») обеспечивается для каждого неиспользованного поддиапазона. Мультиплексор 536 обеспечивает поток {x} символов передачи, где каждый символ передачи может представлять собой объединенный символ xd(k), пилот-символ xp(k) или нулевой символ.
Передающий блок 440 выполняет OFDM-модуляцию и преобразование сигнала для формирования модулированного сигнала. Передающий блок 440 содержит OFDM-модулятор 540 и радиочастотный передающий (TX RF) блок 546. В OFDM-модуляторе 540 блок 542 обратного быстрого преобразования Фурье (ОБПФ) принимает поток {x} символов передачи от блока 430 объединения и группирует каждый набор из N символов передачи для N поддиапазонов. Блок 542 ОБПФ преобразует каждый набор из N символов передачи во временную область с использованием N-точечного обратного быстрого преобразования Фурье и выдает соответственно преобразованные символы, которые содержат N кодовых элементов. Генератор 544 циклического префикса затем повторяет часть каждого преобразованного символа для получения соответствующего OFDM-символа, который содержит N+Ncp кодовых элементов. Повторяющаяся часть определяется как циклический префикс, а Ncp представляет число кодовых элементов, которые повторяются. Циклический префикс гарантирует то, что OFDM-символ сохраняет свои ортогональные свойства в присутствии разброса задержек, обусловленных многолучевым распространением, вызванного частотно-селективным замиранием (т.е. частотный отклик не является равномерным). Генератор 544 циклического префикса обеспечивает поток OFDM-символов. TX RF блок 546 принимает и выполняет преобразование (например, преобразует в аналоговую форму, преобразует с повышением частоты, фильтрует и усиливает) поток OFDM-символов и генерирует модулированный сигнал, которые передается от антенны 442.
На фиг. 6 показана блок-схема варианта осуществления приемного блока 460, блока 470 оценивания канала, детектора 480 и процессора 490 RX данных в приемнике 450. Приемный блок 460 содержит радиочастотный приемный (RX RF) блок 612 и OFDM-демодулятор 620. RX RF блок 612 принимает, преобразует и оцифровывает принятый сигнал с антенны 458 и выдает поток выборок на OFDM-демодулятор 620. В OFDM-демодуляторе 620 блок 622 удаления циклического префикса удаляет циклический префикс в каждом принятом OFDM-символе и выдает соответствующий принятый преобразованный символ. Блок 624 быстрого преобразования Фурье (БПФ) затем преобразует каждый принятый преобразованный символ в частотную область с использованием N-точечного быстрого преобразования Фурье для получения N принятых символов для N поддиапазонов. OFDM-демодулятор 620 выдает принятые символы {yd} данных для поддиапазонов данных на блок 470 оценивания канала и детектор 480 и, кроме того, выдает принятые пилот-символы {yp} для поддиапазона пилот-сигнала на блок 470 оценивания канала.
Блок 470 оценивания канала, детектор 480 и процессор 490 RX данных реализуют два последовательных каскада обработки в приемнике для двух потоков данных, подлежащих восстановлению. Каскад 1 восстанавливает основной поток и содержит блок 670а оценивания пилотного канала, детектор 680а основного потока и процессор 690а потока RX данных. Каскад 2 восстанавливает расширенный поток и содержит блок 670b оценивания расширенного канала, компенсатор 682 помех, процессор 692 потока TX данных, детектор 680b расширенного потока и процессор 690b потока RX данных. Структура приемника, показанная на фиг. 6, может быть расширена на любое число каскадов для любого числа потоков данных, причем каждый последующий каскад включает в себя те же блоки обработки, что и для каскада 2.
Для каскада 1 блок 670а оценивания канала получает оценку канала на основе принятых пилот-символов {yp} и выдает оценку канала в блок 670b оценивания канала и детектор 680а. Блок 670а оценивания канала может реализовать метод наименьших квадратов для оценивания канала, описанный выше в уравнениях (10)-(13), или некоторый иной метод оценивания канала. Детектор 680а выполняет детектирование над принятыми символами {yd} данных с использованием оценки канала и выдает продетектированные символы для основного потока. Процессор 690а потока RX данных выполняет демодуляцию, обращенное перемежение и декодирование продетектированных символов для получения декодированного основного потока Процессор 690а потока RX данных содержит блок отображения символов, обращенный перемежитель и декодер (на фиг. 6 не показаны), которые выполняют обработку, являющуюся комплементарной обработке в процессоре 520а потока TX данных на фиг. 5.
Для каскада 2 процессор 692 потока ТХ данных кодирует, перемежает и модулирует декодированный основной поток для получения повторно модулированных символов для основного потока, которые подаются на блок 670b оценивания канала и компенсатор 682 помех. Процессор 692 потока ТХ данных выполняет ту же самую обработку, что и процессор 520а потока ТХ данных. Блок 670b оценивания каналов получает ориентированную на данные оценку канала на основе принятых символов {yd} данных и повторно модулированных символов , например, как показано в уравнении (4). Блок 670b оценивания каналов также объединяет оценки и каналов (например, с использованием любого из методов, описанных выше) для получения оценки расширенного канала, которая подается на компенсатор 682 помех и детектор 680b. Компенсатор 682 помех оценивает помеху, обусловленную основным потоком, с использованием оценки канала. Компенсатор 682 помех также устраняет оцененную помеху из принятых символов {yd} данных, как показано в уравнении (7), и подает символы с подавленной помехой на детектор 680b. Детектор 680b выполняет детектирование символов с подавленной помехой с использованием оценки канала и выдает продетектированные символы для расширенного потока. Процессор 690b потока RX данных выполняет демодуляцию, обращенное перемежение и декодирование продетектированных символов для получения декодированного расширенного потока .
Для вариантов, описанных выше, ориентированная на данные оценка канала выводится из повторно модулированных символов для основного потока. Повторно модулированные символы имеют более высокое качество, чем принятые символы данных, поскольку они формируются после декодирования в приемнике и получают выгоду от коррекции ошибок схемы кодирования. Кроме того, оценка канала может быть получена, только если основной поток декодирован корректно. В этом случае повторно модулированные символы могут рассматриваться как свободные от ошибок, а оценка канала является надежной по отношению к ошибкам решения.
Оценка канала может быть получена из продетектированных символов для основного потока. Блок отображения символов может отображать продетектированные символы на ближайшие символы модуляции на основе схемы модуляции, использованной для основного потока. Блок обращенного отображения символов должен затем обеспечивать жесткое решение или демодулированные символы , которые могут использоваться вместо повторно модулированных символов для получения оценки канала. Поскольку декодирование для основного потока требует некоторого времени, приемник может получить оценку канала с более короткой задержкой с использованием демодулированных символов . Однако демодулированные символы не получают выгоды от коррекции ошибок схемы кодирования и менее надежны, чем повторно модулированные символы. Таким образом, оценка канала, полученная с использованием демодулированных символов, имеет худшее качество.
Передатчик в типовом случае кодирует каждый пакет данных в каждом потоке данных и обеспечивает кодовое слово для каждого пакета данных. Приемник в типовом случае ожидает до тех пор, пока все кодовое слово не будет принято, прежде чем декодировать кодовое слово. Для минимизации задержки обработки размер кодового слов может выбираться для охвата небольшого числа OFDM-символов. Например, если каждое кодовое слово охватывает один OFDM-символ, то приемник может декодировать каждое кодовое слово, как только оно выдается блоком 624 БПФ, и не требуется ожидать множество OFDM-символов, пока не будет получено все кодовое слово.
Для ясности, способы оценивания каналов и обработки данных специально рассмотрены для системы на основе OFDM с иерархическим кодированием. В общем случае эти способы могут использоваться для различных беспроводных систем, которые передают множество потоков данных одновременно и которые могут выполнять или не выполнять подавление помех. Для такой системы каждый декодированный поток данных может использоваться для улучшения оценки каналов. В зависимости от системы оценки расширенного канала могут использоваться для оценивания и компенсации помех, обусловленных декодированным потоком данных и/или для детектирования другого потока данных. В действительности, повторно модулированные символы (или демодулированные символы ) для каждого декодированного потока данных могут быть использованы в качестве дополнительных пилот-символов для улучшения качества оценки канала. Компенсация декодированного потока данных и детектирование следующего потока данных могут быть улучшены с использованием оценки канала более высокого качества. Эти методы особенно полезны для системы с иерархическим кодированием, поскольку: (1) основной поток и расширенный поток передаются по одному и тому же беспроводному каналу, и (2) основной поток в типовом случае имеет более высокую мощность, чем расширенный поток, и ориентированная на данные оценка канала наблюдает меньше помех из расширенного потока.
Описанные здесь методы могут использоваться для системы с одной несущей без использования OFDM. В этом случае оценивание канала выполняется для одного поддиапазона. Для широкополосной системы с одной несущей различные методы, известные в технике, могут использоваться для учета частотной избирательности в широкополосном канале.
Способы оценивания каналов и обработки данных также могут использоваться для системы с множеством входов и множеством выходов (MIMO). В системе MIMO передатчик может одновременно передавать множество (L) потоков данных от множества (T) антенн и приемник может принимать переданные потоки множеством (R) антенн, где R T. Приемник может вывести матрицу канальных откликов размера R×T на основе принятых пилот-символов, выполнить пространственную обработку приемника (что является детектированием в случае системы MIMO) для R принятых потоков символов с использованием матрицы для получения L продетектированных потоков символов и декодировать один из продетектированных потоков символов (например, поток ). Приемник может затем вывести матрицу канальных откликов размера R×T на основе повторно модулированных символов для декодированного потока данных. Матрица будет содержать столбец оценок усилений каналов для каждой антенны, использованной для передачи потока данных. Приемник может объединить матрицы и для получения матрицы отклика расширенного канала. Приемник может затем использовать матрицу для оценивания и устранения помех, обусловленных потоком данных, и для выполнения пространственной обработки приемника для другого потока данных.
При восстановлении первого потока символов в системе MIMO нет необходимости определять все L потоков символов или знать оценки каналов для других L-1 потоков символов, которые не восстанавливаются. Методы оценивания каналов и обработки данных могут быть использованы, если имеется некоторое соотношение между каналом для первого потока и каналами для других потоков.
Способы оценивания каналов и обработки данных также могут быть использованы для системы MIMO, которая использует OFDM (т.е. для системы MIMO-OFDM). В системе MIMO-OFDM передатчик может одновременно передавать множество потоков данных во множестве поддиапазонов множества антенн. Приемник может выводить матрицу (k) канальных откликов размера R×T для каждого надлежащего поддиапазона (например, каждого поддиапазона, каждого поддиапазона данных или каждого используемого поддиапазона) на основе принимаемых пилот-символов. Приемник может также выводить матрицу (k) канальных откликов размера R×T для каждого надлежащего поддиапазона на основе повторно модулированных символов для декодированного потока данных. Матрицы (k) для всех надлежащих поддиапазонов должны содержать оценки усилений каналов для каждого поддиапазона каждой антенны, используемой для передачи потока данных. Приемник может объединить матрицы (k) и (k) для каждого надлежащего поддиапазона для получения матрицы (k) отклика расширенного канала для данного поддиапазона. Приемник может затем использовать матрицы (k) для всех надлежащих поддиапазонов для оценивания и устранения помех, обусловленных потоком данных, и для выполнения пространственной обработки приемника для другого потока данных. При восстановлении каждого потока символов в системе MIMO-OFDM нет необходимости декодировать остальные потоки или даже знать оценки каналов для этих потоков, чтобы использовать способы оценивания каналов и обработки данных, описанные выше. Иллюстративная схема передачи множества потоков данных в системе MIMO-OFDM описана в совместно переуступленной патентной заявке США (номер дела поверенного 020722), озаглавленной «Схема передачи для систем MIMO с множеством несущих».
Способы оценивания каналов и обработки данных, описанные выше, могут использоваться как для прямой, так и для обратной линий связи в беспроводной системе связи. При этом прямой линией связи является линия связи от базовой станции к пользовательскому терминалу, а обратной линией связи является линия связи от пользовательского терминала к базовой станции.
Способы оценивания каналов и обработки данных, описанные выше, могут быть реализованы различными средствами. Например, эти способы могут быть реализованы аппаратными средствами, программным обеспечением или комбинацией обоих указанных средств. В случае аппаратной реализации блоки обработки, использованные для выполнения оценивания каналов и обработки данных, могут быть реализованы на одной или более ориентированных на приложение специализированных интегральных схемах (ASIC), процессорах цифровых сигналов (DSP), устройствах цифровой обработки сигналов (DSPD), программируемых логических устройствах (PLD), программируемых пользователем матрицах логических элементов (FPGA), процессорах, контроллерах, микроконтроллерах, других электронных блоках, предназначенных для выполнения описанных функций, или комбинации указанных средств.
В случае программной реализации способы оценивания каналов и обработки данных могут быть реализованы модулями (например, процедурами, функциями и т.д.), которые выполняют описанные функции. Коды программного обеспечения могут храниться в блоке памяти (например, в блоке 454 памяти на фиг. 4) и исполняться процессором (например, контроллером 452). Блок памяти может быть реализован в процессоре или внешним относительно процессора образом, причем в этом случае он может быть коммуникативно связан с процессором различными средствами, известными в технике.
Представленное выше описание раскрытых вариантов осуществления предназначено для того, чтобы обеспечить возможность любому специалисту в данной области техники реализовать или использовать настоящее изобретение. Различные модификации этих вариантов осуществления будут очевидны для специалистов в данной области техники, и общие определенные здесь признаки могут применяться в других вариантах осуществления без отклонения от сущности и объема изобретения. Таким образом, настоящее изобретение не ограничено раскрытыми вариантами осуществления, а должно соответствовать самому широкому объему, совместимому с раскрытыми принципами и новыми признаками.
Формула изобретения
1. Способ восстановления первого и второго потоков данных, передаваемых одновременно по беспроводному каналу в беспроводной системе связи, содержащий
получение первой оценки канала для беспроводного канала на основе принятых символов;
выполнение детектирования для первого потока данных с использованием первой оценки канала;
получение второй оценки канала на основе продетектированного первого потока данных;
получение третьей оценки канала на основе первой и второй оценок канала и
выполнение детектирования для второго потока данных с использованием третьей оценки канала.
2. Способ по п.1, в котором первая оценка канала для беспроводного канала формируется на основе принятых пилот-символов.
3. Способ по п.1, дополнительно содержащий
оценивание помехи, обусловленной первым потоком данных, с использованием третьей оценки канала, при этом детектирование для второго потока данных выполняется при устранении оцененной помехи из первого потока данных.
4. Способ по п.3, в котором первый и второй потоки данных объединяются перед передачей по беспроводному каналу.
5. Способ по п.1, в котором получение первой оценки канала содержит
получение оценки частотного отклика для беспроводного канала на основе принятых символов;
получение оценки импульсного отклика во временной области для беспроводного канала на основе оценки частотного отклика; и
получение первой оценки канала на основе оценки импульсного отклика во временной области.
6. Способ по п.5, в котором оценку импульсного отклика во временной области получают путем выполнения обратного быстрого преобразования Фурье (ОБПФ) для оценки частотного отклика, при этом первую оценку канала получают путем выполнения быстрого преобразования Фурье (БПФ) для оценки импульсного отклика во временной области.
7. Способ по п.1, в котором получение второй оценки канала включает
получение оценки частотного отклика для беспроводного канала на основе продетектированного первого потока данных;
получение оценки импульсного отклика во временной области для беспроводного канала на основе оценки частотного отклика; и
получение второй оценки канала на основе оценки импульсного отклика во временной области.
8. Способ по п.1, в котором первая и вторая оценки канала являются оценками импульсного отклика во временной области, причем третья оценка канала является оценкой частотного отклика, полученной путем объединения и преобразования оценок импульсного отклика во временной области для первой и второй оценок канала.
9. Способ по п.1, в котором первая оценка канала содержит оценки усиления канала для первой группы поддиапазонов, и вторая оценка канала содержит оценки усиления канала для второй группы поддиапазонов, при этом третью оценку канала получают на основе конкатенации оценок усиления канала для первой и второй групп поддиапазонов.
10. Способ по п.9, в котором третью оценку канала получают посредством частотной интерполяции оценок усиления канала для первой и второй групп поддиапазонов.
11. Способ по п.9, в котором первая группа поддиапазонов используется для передачи пилот-сигнала, а вторая группа поддиапазонов используется для передачи данных.
12. Способ по п.1, в котором детектирование для первого потока данных выполняется над принятыми символами данных и обеспечивает продетектированные символы для первого потока данных.
13. Способ по п.12, дополнительно содержащий
декодирование продетектированных символов для первого потока данных для получения декорированных данных для первого потока данных и
повторное кодирование, включающее в себя также перемежение и модуляцию у декодированных данных для получения повторно модулированных символов для первого потока данных, при этом вторую оценку канала получают на основе повторно модулированных символов и принятых символов данных.
14. Способ по п.12, дополнительно содержащий
отображение продетектированных символов для первого потока данных на символы модуляции на основе схемы модуляции, использованной для первого потока данных, при этом вторую оценку канала получают на основе символов модуляции и принятых символов данных.
15. Способ по п.1, в котором получение третьей оценки канала содержит
масштабирование первой оценки канала первым коэффициентом масштабирования;
масштабирование второй оценки канала вторым коэффициентом масштабирования; и
объединение масштабированной первой оценки канала и масштабированной второй оценки канала для получения третьей оценки канала.
16. Способ по п.15, в котором первый и второй коэффициенты масштабирования выбраны на основе надежности первой оценки канала по отношению к надежности второй оценки канала.
17. Способ по п.1, дополнительно содержащий
фильтрацию первой оценки канала, при этом третью оценку канала получают на основе отфильтрованной первой оценки канала.
18. Способ по п.1, дополнительно содержащий
фильтрацию второй оценки канала, при этом третью оценку канала получают на основе отфильтрованной второй оценки канала.
19. Способ по п.1, дополнительно содержащий
фильтрацию третьей оценки канала, при этом детектирование для второго потока данных выполняют с использованием отфильтрованной третьей оценки канала.
20. Способ по п.1, дополнительно содержащий
фильтрацию первой, второй или третьей оценки канала во временной области или в частотной области.
21. Способ по п.20, в котором фильтрация выполняется фильтром с бесконечным импульсными откликом (IIR).
22. Способ по п.20, в котором фильтрация выполняется фильтром с конечным импульсными откликом (FIR).
23. Способ по п.1, в котором беспроводная система связи использует мультиплексирование на основе ортогонального частотного разделения (OFDM).
24. Способ по п.23, в котором принятые символы получают в каждом периоде OFDM-символа и для набора поддиапазонов, использованных для передачи пилот-сигналов.
25. Способ по п.23, в котором принятые символы получают для периодов OFDM-символов, использованных для передачи пилот-сигналов, причем первую оценку канала получают для каждого периода OFDM-символа, использованного для передачи пилот-сигнала, и вторую оценку канала получают для каждого периода OFDM-символа, использованного для передачи данных.
26. Способ по п.1, в котором система беспроводной связи представляет собой систему связи с множеством входов и множеством выходов (MIMO), при этом первый и второй потоки данных передают одновременно от множества антенн.
27. Устройство для восстановления первого и второго потоков данных, передаваемых одновременно по беспроводному каналу в беспроводной системе связи, содержащее
блок оценки канала, предназначенный для получения первой оценки канала для беспроводного канала на основе принятых символов, получения второй оценки канала на основе продетектированных символов для первого потока данных и получения третьей оценки канала на основе первой и второй оценок канала и
детектор, предназначенный для выполнения детектирования для первого потока данных с использованием первой оценки канала, обеспечения продетектированных символов для первого потока данных, выполнения детектирования для второго потока данных с использованием третьей оценки канала и обеспечения продетектированных символов для второго потока данных.
28. Устройство по п.27, в котором детектор дополнительно предназначен для оценивания помехи, обусловленной первым потоком данных, с использованием третьей оценки канала и для выполнения детектирования второго потока данных при устранении оцененной помехи из первого потока данных.
29. Устройство по п.27, дополнительно содержащее
процессор данных приема, предназначенный для декодирования продетектированных символов для первого потока данных для получения декодированных данных для первого потока данных и повторного кодирования декодированных данных для получения повторно модулированных символов для первого потока данных,
при этом блок оценки канала предназначен для получения второй оценки канала на основе повторно модулированных символов и принятых символов данных.
30. Устройство по п.29, в котором упомянутые блок оценки канала и детектор входят в состав упомянутого процессора.
31. Устройство по п.27, дополнительно содержащее приемный блок с подключенной к нему антенной.
32. Устройство для восстановления первого и второго потоков данных, передаваемых одновременно по беспроводному каналу в беспроводной системе связи, содержащее
средство для получения первой оценки канала для беспроводного канала на основе принятых символов;
средство для выполнения детектирования для первого потока данных с использованием первой оценки канала;
средство для получения второй оценки канала на основе продетектированного первого потока данных;
средство для получения третьей оценки канала на основе первой и второй оценок канала и
средство для выполнения детектирования для второго потока данных с использованием третьей оценки канала.
33. Устройство по п.32, дополнительно содержащее
средство для оценивания помехи, обусловленной первым потоком данных, с использованием третьей оценки канала, при этом детектирование для второго потока данных выполняется при устранении оцененной помехи из первого потока данных.
34. Устройство по п.32, дополнительно содержащее
средство для декодирования продетектированных символов для первого потока данных для получения декодированных данных для первого потока данных и
средство для повторного кодирования декодированных данных для получения повторно модулированных символов для первого потока данных, при этом вторая оценка канала выводится на основе повторно модулированных символов и принятых символов данных.
35. Способ восстановления основного потока и расширенного потока, передаваемых одновременно по беспроводному каналу в беспроводной системе связи, содержащий
получение первой оценки канала для беспроводного канала на основе принимаемых пилот-символов;
выполнение детектирования для основного потока данных с использованием первой оценки канала для получения продетектированных символов для основного потока;
декодирование продетектированных символов для основного потока для получения декодированных данных для основного потока;
повторное кодирование, включающее в себя также перемежение и модуляцию, декодированных данных для основного потока для получения повторно модулированных символов для основного потока;
получение второй оценки канала на основе повторно модулированных символов;
получение третьей оценки канала на основе первой и второй оценок канала;
оценивание помехи, обусловленной основным потоком, с использованием третьей оценки канала,
выполнение детектирования для расширенного потока при устранении оцененной помехи из основного потока и с использованием третьей оценки канала для получения продетектированных символов для расширенного потока и
декодирование продетектированных символов для расширенного потока для получения декодированных данных для расширенного потока.
36. Способ по п.35, в котором получение первой оценки канала включает
получение оценки частотного отклика для беспроводного канала на основе принятых пилот-символов;
получение оценки импульсного отклика для беспроводного канала на основе оценки частотного отклика и
получение первой оценки канала на основе оценки импульсного отклика.
37. Машиночитаемый носитель, содержащий сохраненные на нем инструкции, которые при выполнении их компьютером обеспечивают выполнение этапов способа по п.1.
РИСУНКИ
,>
|