|
(21), (22) Заявка: 2006141215/28, 21.11.2006
(24) Дата начала отсчета срока действия патента:
21.11.2006
(46) Опубликовано: 27.08.2008
(56) Список документов, цитированных в отчете о поиске:
RU 2205430 C1, 27.05.2003. RU 2170446 C1, 10.07.2001. RU 92011860 A, 10.02.1995. CN 1047924 A, 19.12.1990.
Адрес для переписки:
660074, г.Красноярск, ул. Киренского, 26, СФУ, патентно-информационный отдел (ПИО)
|
(72) Автор(ы):
Сушкин Игорь Николаевич (RU)
(73) Патентообладатель(и):
Федеральное государственное образовательное учреждение высшего профессионального образования Сибирский федеральный университет (СФУ) (RU)
|
(54) СПОСОБ ПРЕДСКАЗАНИЯ ЗЕМЛЕТРЯСЕНИЙ
(57) Реферат:
Изобретение относится к области радиофизики и может найти применение в национальных системах наблюдения и обработки данных геофизических измерений для прогноза землетрясений. Сущность: регистрируют волновой процесс, возникающий в среде накануне удара. Вычисляют фазовый центр волнового процесса и его период. Рассчитывают характеристики предстоящего удара по их зависимости от периода, получают серию регистрограмм дискретных отсчетов. Вычисляют период, магнитуду и время ожидаемого удара. Причем в качестве дискретных отсчетов регистрограммы используют рассчитанные значения электронной концентрации в ионосфере, полученной путем измерения времени распространения сигналов от навигационных спутников систем ГЛОНАСС и GPS до приемника на двух частотах, который принимает и дешифрирует навигационную информацию и определяет задержку распространения сигнала навигационного космического аппарата в ионосфере. Технический результат: повышение оперативности и достоверности прогноза. 1 ил.
Изобретение относится к области радиофизики и может найти применение в национальных системах наблюдения и обработки данных геофизических измерений для прогноза землетрясений.
Предсказания землетрясений базируются на анализе различных геофизических полей, изменяющих свои характеристики в потенциальном поле механических напряжений очага. Одним из чувствительных электродинамических датчиков литосферных аномалий является ионосферный слой Земли.
По мере увеличения населения Земли и увеличения плотности населения проблема прогноза землетрясения становится все более актуальной. Правительства многих стран мира тратят большие финансовые и человеческие ресурсы на проведение сейсмологических исследований и развитие сетей различных геофизических наблюдений. В настоящее время известны некоторые литосферные признаки землетрясений, такие как сдвиговые деформации земной поверхности, изменение ориентации осей сжатия, изменение соотношения скоростей продольных и поперечных сейсмических волн, изменение составляющих геомагнитного поля и удельного электрического сопротивления земной коры, неоднородности в ионосфере над очагом и т.д. Одним из чувствительных электродинамических датчиков литосферных аномалий является ионосфера Земли. Появление сейсмической активности в литосфере сопровождается протеканием различных процессов в околоземной плазме, таких как вариация электронной плотности в слоях ионосферы над эпицентральной областью, низкочастотные всплески шумовых излучений в диапазоне 0,01-1 кГц, распространение акустико-гравитационных волн.
Известен способ предсказания землетрясений (см. патент RU 2170446, М. Кл. G01V 9/00, 2001 г.), по которому в сейсмоопасном районе размещают приемные станции космической навигационной системы, разнесенные на протяженной измерительной базе, и осуществляют непрерывное высокоточное измерение координат точек размещения приемных станций. При этом регистрируют момент появления периодических отклонений координат точек, отождествляют его с моментом прихода литосферных волн, вычисляют гипотетический центр очага как точку пересечения радиус-векторов в пространстве и характеристики ожидаемого землетрясения: магнитуду и момент толчка – рассчитывают по параметрам регистрируемого колебательного процесса на основе регрессионных зависимостей.
К недостаткам известного способа можно отнести:
– наличие задержки в обнаружении признака-предвестника, вызванной конечной скоростью распространения литосферных волн от очага до точки регистрации;
– возможность пропуска признака-предвестника, вызванного затуханием волны в литосфере.
Известен также способ предсказания землетрясений (см. патент РФ 2205430, М. Кл. G01V 9/00, 2003 г.), по которому для измерения пространственных волн в ионосфере предлагается размещать измеритель на космическом аппарате. В качестве первичного датчика преобразователя электронной плотности ионосферы в электрический сигнал используют оболочку космического аппарата, выполненную в виде сферического конденсатора. Несколько раз обгоняя пространственную волну, измеритель, размещенный на космическом аппарате, позволяет зарегистрировать весь процесс на одном проходе космического аппарата за укороченный интервал времени. Экспресс-прогноз очага землетрясения осуществляют по карте путем наложения на карту трасс восходящих и нисходящих витков и восстановления траверз к ним в расчетных точках.
К недостаткам этого способа можно отнести:
– технологическое усложнение конструкции космического аппарата, т.к. оболочка космического аппарата должна быть изготовлена в виде сферического конденсатора;
– высокая стоимость системы из-за необходимости запуска большого числа космических аппаратов с низкой орбитой с размещенными на них измерителями.
В основу изобретения положена задача обеспечения возможности эффективного, оперативного, дистанционного измерения признака-предвестника в виде низкочастотных пространственных волн в ионосфере, вызывающих повышение электронной концентрации.
Поставленная задача решается тем, в способе предсказания землетрясений, при котором регистрируют волновой процесс, возникающий в среде накануне удара, вычисляют фазовый центр волнового процесса и его период, рассчитывают характеристики предстоящего удара по их зависимости от периода, получают серию регистрограмм дискретных отчетов Nm(L), вычисляют период Т0(ч), магнитуду М и время ожидаемого удара tx, дополнительно в качестве дискретных отсчетов регистрограммы используют рассчитанные значения электронной концентрации в ионосфере, полученной путем измерения времени распространения сигналов от навигационных спутников систем ГЛОНАСС и GPS до приемника на двух частотах f1 и f2, принимающего и дешифрирующего навигационную информацию и определяющего задержку распространения сигнала i-го навигационного космического аппарата (НКА) в ионосфере по формуле:
Si=1.531·c·( i(f2)- i(f1)) для спутников системы ГЛОНАСС и
Si=1.546·c·( i(f2)- i(f1)) для спутников системы GPS,
где i(f1) – время распространения сигнала от i-го НКА, измеренное на частоте f1,
i(f2) – время распространения сигнала от i-го НКА, измеренное на частоте f2,
с – скорость света в вакууме,
и на последующем этапе вычисляющего электронную концентрацию в ионосфере Земли по формуле:

где Si – задержка распространения сигнала i-го НКА в ионосфере,
H0=200 км,
H1=325 км,
H2=32,5 км,
– высота источника излучения,
Re – радиус Земли,
i – угол места i-го НКА относительно навигационной аппаратуры потребителя (НАП),
Ri – расстояние от i-го НКА до приемника излучения,

fi – частота сигнала i-го НКА,
ci – измеренное время распространения сигнала от i-го НКА до НАП,


где х, у, z – координаты НАП,
xci, уci, zci – координаты i-го НКА.
На чертеже представлена регистрограмма волнового процесса, проходящего в ионосфере Земли.
Техническая сущность изобретения заключается в следующем. В статическом состоянии над очагом землетрясения в ионосфере образуются неоднородности электронной концентрации в виде двух полюсов с перепадом плотности в полюсах до 20%. Накануне землетрясения, за 7-12 ч до удара, в литосфере происходит раскачка очага, сопровождаемая распространением от очага сверхнизких литосферных волн (см. патент RU 2170446, М. Кл. G01V 9/00, 2001 г.). Вследствие резонансной электромагнитной связи литосферы и ионосферы над очагом электромагнитный «диполь» неоднородности электронной концентрации возбуждает в ионосфере пространственные волны плазменных колебаний, синфазно с раскачкой очага литосферы. Ионосферные волны существуют как во времени, так и в пространстве. Для измерения пространственных волн в ионосфере предлагается использовать навигационные космические аппараты (НКА) глобальных навигационных спутниковых систем ГЛОНАСС и GPS. Вследствие конечной скорости распространения пространственных волн в ионосфере 600…800 м/с при движении НКА со скоростью 3 км/с, и измеряя электронную концентрацию в ионосфере, возможно формирование кадра Nm(x, у) зависимости электронной плотности от пространственных координат.
Все связи между приземными потребителями и НКА осуществляются через атмосферу Земли, включая тропосферу и ионосферу. Атмосфера имеет ярко выраженную частотную избирательность. Неоднородное по высоте распределение диэлектрической проницаемости вызывает искривление траектории распространения радиоволн – рефракцию. Вследствие этого на рабочей частоте НКА (1,6 ГГц) погрешность определения псевдодальности составляет от 5 до 50 метров. Основное влияние на задержку радиосигнала в ионосфере вносит электронная концентрация, которая постоянно изменяется в зависимости от времени (часа суток, сезона, фазы цикла солнечной активности), географических координат, высоты над уровнем моря, от солнечной активности.
Для описания высотного профиля концентрации применяются различные модельные зависимости, передающие наиболее характерные особенности строения ионосферы. В настоящее время наиболее часто используют параболически экспоненциальную модель и биэкспоненциальную модель. Из сопоставления графиков этих моделей, представленных в [1], можно сделать вывод, что обе модели приводят примерно к одинаковым результатам. Для примера рассмотрим биэкспоненциальную модель. Поправка к групповому пути для биэкспоненциальной модели профиля электронной концентрации при произвольном угле места [1] равна

Расстояние от НКА до приемника можно определить по формуле

Поскольку опорный генератор, находящийся на навигационной аппаратуре потребителя, не синхронен с опорным генератором, находящимся на навигационном космическом аппарате, то существует расхождение временной шкалы между навигационной аппаратурой потребителя (НАП) и НКА, соответственно дальность между i-м НКА и НАП определяется по формуле

где ci – время распространения сигнала от i-го НКА до НАП;
t – расхождение временных шкал между НАП и навигационной системой.
Угол места НКА относительно НАП можно определить по формуле

Задержка распространения сигнала от НКА до НАП зависит от геометрической дальности, от задержки распространения сигнала в ионосфере и тропосфере. Уравнение для определения задержки будет иметь вид

где – задержка распространения сигнала от i-го НКА до НАП в тропосфере.
Определить время распространения сигнала в ионосфере можно следующим способом, сначала необходимо измерить время распространения сигнала от НКА до НАП на двух частотах f1 и f2, а затем вычислить разность задержек этих сигналов на трассе по формуле  i= i(f2)- i(f1), равную разности дополнительных групповых задержек в ионосфере на разных частотах. В результате можно записать выражения


Используя выражение (1) и выражение (2) или (3), в зависимости от используемого спутника в текущий момент измерения, можно вычислить электронную концентрацию в ионосфере на пути прохождения сигнала от НКА до НАП.
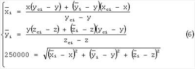
Поскольку орбита движения спутников значительно выше, чем наиболее чувствительный слой ионосферы F2, высота которого от 220 до 280 км, необходимо определить координаты точки пересечения трассы прохождения сигнала от НКА до НАП. Для этого составим уравнение прямой линии, соединяющей НКА и НАП

где , , – координаты точки пересечения трассы от НКА до НАП с ионосферой.
Учитывая, что расстояние от НАП до ионосферного слоя F2 примерно составляет 250 км, то можно составить еще одно уравнение

Учитывая выражения (4) и (5) можно составить систему уравнений

Данная система уравнений решается любым из известных методов относительно , , при условии, что координаты НАП (х, у, z) известны, а координаты НКА (xci, уci, zci) получены в результате дешифрации и обработки информации, принятой навигационной аппаратурой потребителя с космического аппарата.
По мере движения навигационного космического аппарата определяют градиент и максимум электронной концентрации. По полученным данным строится регистрограмма волнового процесса (чертеж), по параметрам которой вычисляют магнитуду М и время ожидаемого удара tx (см. патент РФ 2205430). В момент времени, когда градиент электронной концентрации максимальный (t0, чертеж), полученные координаты , , переводят в географические координаты – широту и долготу [2], тем самым определяют координаты вероятного землетрясения.
Литература
1. Р.В.Бакитько, М.Б.Васильев, А.С.Виницкий. Радиосистемы межпланетных космических аппаратов. – М: «Радио и связь», 1993 г.
2. И.Ф.Куштин. Геодезия. Учебно-практическое пособие. – М.: «Издательство ПРИОР», 2001 – 448 с.
Формула изобретения
Способ предсказания землетрясений, при котором регистрируют волновой процесс, возникающий в среде накануне удара, вычисляют фазовый центр волнового процесса и его период, рассчитывают характеристики предстоящего удара по их зависимости от периода, получают серию регистрограмм дискретных отчетов Nm(L), вычисляют период Т0(ч), магнитуду М и время ожидаемого удара tx, отличающийся тем, что в качестве дискретных отсчетов регистрограммы используют рассчитанные значения электронной концентрации в ионосфере, полученной путем измерения времени распространения сигналов от навигационных спутников систем ГЛОНАСС и GPS до приемника, на двух частотах f1 и f2, принимающего и дешифрирующего навигационную информацию и определяющего задержку распространения сигнала i-го навигационного космического аппарата (НКА) в ионосфере по формуле:
Si=1.531·c·( i(f2)- i(f1)) для спутников системы ГЛОНАСС и
Si=1.546·c·( i(f2)- i(f1)) для спутников системы GPS
где i(f1) – время распространения сигнала от i-го НКА, измеренное на частоте f1,
i(f2) – время распространения сигнала от i-го НКА, измеренное на частоте f2,
с – скорость света в вакууме,
и на последующем этапе вычисляющего электронную концентрацию в ионосфере Земли по формуле:

где Si – задержка распространения сигнала i-го НКА в ионосфере,
Н0=200 км,
H1=325 км,
Н2=32,5 км,
высота источника излучения,
Re – радиус Земли,
i – угол места i-го HKA относительно навигационной аппаратуры потребителя (НАП),
Ri – расстояние от i-го HKA до приемника излучения,

fi – частота сигнала i-го HKA,
ci – измеренное время распространения сигнала от i-го HKA до НАП,


где х, у, z – координаты НАП,
xci, yci, zci – координаты i-го HKA.
РИСУНКИ
|