|
|
(21), (22) Заявка: 2007113158/28, 09.04.2007
(24) Дата начала отсчета срока действия патента:
09.04.2007
(46) Опубликовано: 27.08.2008
(56) Список документов, цитированных в отчете о поиске:
RU 2290629 C1, 27.12.2006. СН 1928540 А, 14.03.2007. RU 2213699 C1, 10.10.2003. RU 2231787 C1, 27.06.2004. RU 28400 U1, 20.03.2003.
Адрес для переписки:
410012, г.Саратов, ул. Московская, 155, СГУ, ПЛО, Н.В. Романовой
|
(72) Автор(ы):
Усанов Дмитрий Александрович (RU), Скрипаль Александр Владимирович (RU), Коротин Борис Николаевич (RU), Феклистов Владимир Борисович (RU), Вагарин Анатолий Юрьевич (RU)
(73) Патентообладатель(и):
ГОУ ВПО “Саратовский государственный университет им. Н.Г. Чернышевского” (RU)
|
(54) ИНДИКАТОР КАЧЕСТВА ВОДЫ
(57) Реферат:
Изобретение может быть использовано для определения концентрации растворенных в воде солей. Устройство индикации качества воды содержит расположенные в корпусе генератор переменного сигнала 1, дифференциальный усилитель 5, нагруженный на прецизионный детектор 6, подключенный к блоку индикации 7, источник питания 10, источник напряжения 2, управляемый напряжением, являющийся нагрузкой генератора 1, выполненный на операционном усилителе с отрицательной обратной связью, и резистивный элемент 4. К выходу источника напряжения 2 последовательно подключены электроды датчика 11 и резистивный элемент 4, подключенный к входу дифференциального усилителя 5. Генератор переменного сигнала 1, источник напряжения 2, дифференциальный усилитель 5, прецизионный детектор 6 и блок индикации 7 подключены к источнику питания 10. Изобретение в повышение линейности характеристики устройства вплоть до высоких значений концентраций, стабильность измерений, снижение технической сложности конструкции, создание простой и наглядной индикации качества воды, доступной для широкого круга пользователей. 2 з.п. ф-лы, 4 ил.
Изобретение относится к области санитарной гигиены и промышленной экологии и может быть использовано для определения концентрации растворенных в воде солей.
Известен индикатор качества очистки воды, содержащий камеры очищенной и исходной воды, соединенные с атмосферой и разделенные полупроницаемой мембраной. Камеры при помощи вентилей соединены с системой подачи очищенной и исходной воды соответственно. Камера очищенной воды имеет измерительный капилляр диаметром 1-3 мм, в нижней части которого выполнен расширитель. При этом объем камеры исходной воды превышает суммарный объем камеры очищенной воды и измерительного капилляра с расширителем в 3-10 раз, суммарный объем измерительного капилляра с расширителем превышает объем камеры очищенной воды в 1-5 раз, объем расширителя в 20-25 раз превышает объем измерительного капилляра (см. патент РФ №2073556, МКИ B01D 65/00).
Недостатком устройства является недостаточная точность проводимых измерений и узкий диапазон контролируемых значений, сложность технического решения, отсутствие наглядного, например, цветового отображения информации о качестве воды.
Известно устройство определения количественных характеристик вод типа конденсата, которое может быть использовано на тепловых электрических станциях. Сущность изобретения заключается в следующем: проводят одновременные измерения рН и электропроводности пробы воды, затем проводят измерения рН и электропроводности пробы воды, прошедшей Н-катионитовую колонку, все измерения проводят с учетом температуры пробы воды, а определение показателей качества воды осуществляют путем обработки измерений на ЭВМ с использованием системы уравнений, характеризующей ионные равновесия в исходной пробе воды и в Н-фильтрате.
Однако устройство имеет недостаточную точность проводимых измерений и не обладает мобильностью по отношению к различным источникам пробы воды, характеризуется сложностью технического решения, отсутствием наглядного цветового отображения информации о качестве воды.
Известна также электронная система контроля работы автономного обратноосмотического устройства для очистки жидкости, содержащая корпус, образованный основанием и крышкой, и две пары электродов. В основании выполнены два канала для движения жидкости соответственно до и после обработки. Каждый электрод первой пары имеет два участка, один из которых вставлен в первый канал, а другой выведен внутрь корпуса. Находящиеся в первом канале участки электродов установлены на расстоянии один от другого так, что один из них расположен ближе ко входу канала, а другой – ближе к выходу. Каждый электрод второй пары также имеет два участка, один из которых вставлен во второй канал, а другой – пропущен внутрь корпуса. При этом находящиеся во втором канале участки электродов также расположены соответственно около его входа и выхода. В корпусе закреплена печатная плата с генератором переменного сигнала, электрически соединенная с выведенным в корпус вторым участком всех электродов, измеряющих электропроводность жидкости, движущейся в обоих каналах, в которых находится первый участок всех электродов. Электрическая схема на печатной плате, соединенная с установленным в корпусе источником питания, формирует электрические выходные сигналы, пропорционально измеряемой электропроводности жидкости до и после обработки. Печатная плата имеет выводы для передачи выходных сигналов на внешний показывающий прибор с целью индикации рабочего состояния устройства (см. патент США №5362383, МПК B01D 65/10).
Недостатком устройства является недостаточная точность и чувствительность проводимых измерений, техническая сложность конструкции, отсутствие наглядного цветового отображения информации о качестве воды.
Известно устройство для измерения качества воды, содержащее расположенные в корпусе генератор переменного сигнала с подключенным к нему датчиком в виде двух электродов, каждый из которых одним участком обращен внутрь корпуса, а другим участком выходит наружу, блок индикации, источник питания, термистор, соединенный с генератором, блоки памяти и сравнения измеряемых сигналов, включенные между генератором и блоком индикации, блок памяти имеет корректировку нуля, один из электродов выполнен кольцеобразным, а второй в виде сплошного цилиндра и размещен внутри первого с кольцевым зазором между ними, зазор заполнен диэлектрическим материалом, генератор выполнен в виде автодинного устройства (Патент РФ №2231787, МПК G01N 33/18).
Недостатком устройства является нелинейность характеристик и нестабильность измерений вследствие сильной связи нагрузки с автодинным генератором и быстрого перехода в режим насыщения, малый динамический диапазон блока памяти и его инерционность, сложность технического решения, отсутствие наглядного, например, цветового отображения информации о качестве воды.
Наиболее близким по технической сущности к предлагаемому решению является устройство для измерения качества воды, содержащее расположенные в корпусе автодинный генератор переменного сигнала, датчик в виде двух электродов, один из которых выполнен кольцеобразным, а второй в виде сплошного цилиндра и размещен внутри первого с кольцевым зазором между ними, зазор заполнен диэлектрическим материалом, каждый из электродов одним участком обращен внутрь корпуса, а другим участком выходит наружу для контакта с водным раствором, блок индикации, источник питания, согласно предложенного технического устройства дополнительно содержит дифференциальный усилитель, нагруженный на прецизионный детектор, выполненный на операционном усилителе с отрицательной обратной связью, динамическую память, выполненную на операционном усилителе с положительной обратной связью, и четырехплечный мост, являющийся нагрузкой автодинного генератора, при этом электроды датчика подключены к одному из плеч четырехплечного моста, одна из точек выходной диагонали которого подключена ко входу динамической памяти, а другая – к одному из входов дифференциального усилителя, выход динамической памяти подключен ко второму входу дифференциального усилителя, при этом прецизионный детектор подключен к блоку индикации, снабженному статической памятью (Патент РФ №2290629, МПК G01N 27/00).
Недостатком устройства является нелинейность характеристики при высоких концентрациях, сложность технического решения, отсутствие наглядного отображения информации о качестве воды.
Задача настоящего решения заключается в повышении линейности характеристики устройства вплоть до высоких значений концентраций, стабильности измерений, снижении технической сложности конструкции, создании простой и наглядной индикация качества воды, доступной для широкого круга пользователей.
Поставленная задача достигается тем, что в индикатор качества воды, содержащий расположенные в корпусе генератор переменного сигнала, дифференциальный усилитель, нагруженный на прецизионный детектор, подключенный к блоку индикации, источник питания, датчик в виде электродов, согласно техническому решению введен источник напряжения, управляемый напряжением, являющийся нагрузкой генератора, выполненный на операционном усилителе с отрицательной обратной связью, и резистивный элемент, при этом к выходу источника напряжения последовательно подключены электроды датчика и резистивный элемент, подключенный к входу дифференциального усилителя, генератор переменного сигнала, источник напряжения, дифференциальный усилитель, прецизионный детектор и блок индикации подключены к источнику питания.
Блок индикации выполнен в виде системы многоуровневой светодиодной индикации на компараторах с диодно-резистивной логикой, подключенных к светодиодам для индикации диапазонов концентрации растворенных в воде солей.
Количество электродов датчика выбрано равным трем, они выполнены в виде цилиндров, расположенных вертикально соосно друг с другом с кольцеобразными зазорами, заполненными диэлектрическим материалом и выступают за пределы корпуса.
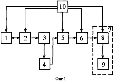
Предлагаемое устройство поясняется чертежами. На фиг.1 приведена схема индикатора, на фиг.2 – устройство датчика, на фиг.3 показан внешний вид индикатора, фиг.4 иллюстрирует трехуровневую цветовую визуализацию качества воды, где: 1 – генератор переменного сигнала, 2 – источник напряжения, управляемый напряжением (ИНУН), 3 – датчик, 4 – резистивный элемент, 5 – дифференциальный усилитель, 6 – прецизионный детектор, 7 – блок индикации; 8 – компараторы блока индикации, 9 – светодиоды блока индикации, 10 – источник питания, 11 – электроды датчика, 12 – вкладыши из диэлектрического материала, 13 – корпус устройства.
Устройство индикации качества воды содержит расположенные в корпусе генератор переменного сигнала 1, дифференциальный усилитель 5, нагруженный на прецизионный детектор 6, подключенный к блоку индикации 7, источник питания 10, источник напряжения 2, управляемый напряжением, являющийся нагрузкой генератора 1, выполненный на операционном усилителе с отрицательной обратной связью, и резистивный элемент 4. Датчик 3 соединяется с корпусом 13, например, с помощью резьбового соединения. Датчик имеет три электрода, которые выполнены в виде цилиндров, расположенных вертикально соосно друг с другом с кольцеобразными зазорами между ними, в которых расположены вкладыши из диэлектрического материала. К выходу источника напряжения 2 последовательно подключены электроды датчика 11 и резистивный элемент 4, подключенный к входу дифференциального усилителя 5. Генератор переменного сигнала 1, источник напряжения 2, дифференциальный усилитель 5, прецизионный детектор 6 и блок индикации 7 подключены к источнику питания 10. Блок индикации 7 выполнен в виде системы многоуровневой светодиодной индикации на компараторах 8 с диодно-резистивной логикой, подключенных к светодиодам 9 для индикации диапазонов концентрации растворенных в воде солей. Светодиоды могут быть, например различного цвета, то есть излучающими на разных длинах волн. Соответствие цветовой индикации на индикаторе качеству воды приведено в таблице 1 и на фиг.4.
| Таблица 1 |
| Цветовая светодиодная индикация |
Зеленый цвет |
Желтый цвет |
Красный цвет |
| Оценка качества воды |
Питьевая очищенная вода после фильтрации с помощью бытовых фильтров |
Питьевая нефильтрованная водопроводная, колодезная либо родниковая вода |
Вода минерализованная или водопроводная вода с повышенным уровнем солесодержания |
Устройство функционирует следующим образом.
Источник питания 10 запускает работу генератора 1. Начальный режим его работы задается параметрами собственной схемы генератора 1, а также нагрузки 3, 4 источника напряжения 2. При отсутствии растворенных в воде солей выходной сигнал с резистивного элемента 4 и на выходе прецизионного детектора 6 будет равен нулю.
При помещении электродов датчика 3 в водные растворы с растворенными в них солями изменяется режим работы генератора 1 и источника напряжения управляемого напряжением 2. В результате на выходе резистивного элемента 4 появляется сигнал, который после детектирования подается на входы компараторов 8. По мере увеличения концентрации растворенных солей растет переменный сигнал, снимаемый с резистивного элемента 4, и при достижения концентрации солей определенного значения срабатывает один из компараторов, запускающий зеленый светодиод (диапазон концентраций растворенных в воде солей, соответствующих питьевой очищенной воде после фильтрации с помощью бытовых фильтров), при дальнейшем увеличении концентрации солей срабатывает компаратор следующего диапазона и запускается желтый светодиод (диапазон концентраций растворенных в воде солей, соответствующих питьевой нефильтрованной водопроводной, колодезной либо родниковой воде), при больших концентрациях растворенных солей срабатывает компаратор, запускающий красный светодиод (диапазон концентраций растворенных в воде солей, соответствующих воде минерализованной или водопроводной воде с повышенным уровнем солесодержания).
Пример практической реализации способа.
Генератор переменного сигнала выполнен на микросхеме ICM 7555, резистивный элемент – металлопленочный резистор с точностью не менее 1%. Источник напряжения, усилитель и прецизионный детектор выполнены на микросхеме МС 33174. Компараторы выполнены на микросхеме LP 324. Светодиоды EL1254HDT2, EL1254GDT2, EL1254YDT2 с малым током потребления. Внешний вид индикатора качества воды приведен на Фиг.3.
Цветовая индикация на индикаторе качества воды может быть переведена в концентрацию растворенных в воде солей с помощью таблицы 2.
| Таблица 2 |
| Цветовая светодиодная индикация |
Зеленый цвет |
Желтый цвет |
Красный цвет |
| Диапазон концентраций растворенных в воде солей в мг/л |
50-200 |
200-1000 |
свыше 1000 |
Основные технические характеристики индикатора качества воды приведены в табл.3.
| Таблица 3 |
| Диапазон индикации концентраций |
|
| растворенных в воде солей, г/л |
0.05-0,2 |
| |
0,2-1 |
| |
свыше 1 |
| Минимальный объем раствора, мл |
100 |
| Вес индикатора вместе с элементом питания, кг |
не более 0,1 |
| габариты, мм |
130х28х28 |
| Питание индикатора |
автономное напряжение |
| |
12 В |
| Потребляемая электрическая мощность, ВА |
не более 0.01 |
| Время установления рабочего режима, с |
не более 2 |
Таким образом, предлагаемое устройство позволяет расширить динамический диапазон измерений с уменьшением степени нелинейности характеристики устройства, повысить стабильность измерения, а цветовая светодиодная индикация наглядно отображает соответствующее качество воды.
Формула изобретения
1. Индикатор качества воды, содержащий расположенные в корпусе генератор переменного сигнала, дифференциальный усилитель, нагруженный на прецизионный детектор, подключенный к блоку индикации, источник питания, датчик в виде электродов, отличающийся тем, что в него введен источник напряжения, управляемый напряжением, являющийся нагрузкой генератора, выполненный на операционном усилителе с отрицательной обратной связью, и резистивный элемент, при этом к выходу источника напряжения последовательно подключены электроды датчика и резистивный элемент, подключенный к входу дифференциального усилителя, генератор переменного сигнала, источник напряжения, дифференциальный усилитель, прецизионный детектор и блок индикации подключены к источнику питания.
2. Индикатор по п.1, отличающийся тем, что блок индикации выполнен в виде системы многоуровневой светодиодной индикации на компараторах с диоднорезистивной логикой, подключенных к светодиодам для индикации диапазонов концентрации растворенных в воде солей.
3. Индикатор по п.1, отличающийся тем, что количество электродов датчика выбрано равным трем, они выполнены в виде цилиндров, расположенных вертикально соосно друг с другом с кольцеобразными зазорами, заполненными диэлектрическим материалом, и выступают за пределы корпуса.
РИСУНКИ
|
|