|
|
(21), (22) Заявка: 2006144652/09, 14.12.2006
(24) Дата начала отсчета срока действия патента:
14.12.2006
(46) Опубликовано: 27.08.2008
(56) Список документов, цитированных в отчете о поиске:
SU 1493958 A1, 15.07.1989. SU 1806364 A3, 30.03.1993. US 3745459 A, 10.07.1973.
Адрес для переписки:
183010, г.Мурманск, ул. Спортивная, 13, ФГОУВПО Мурманский государственный технический университет, патентный отдел
|
(72) Автор(ы):
Ершов Александр Михайлович (RU), Маслов Алексей Алексеевич (RU), Совлуков Александр Сергеевич (RU), Фатеев Валерий Яковлевич (RU), Яценко Виктория Владимировна (RU)
(73) Патентообладатель(и):
Федеральное государственное образовательное учреждение высшего профессионального образования Мурманский государственный технический университет (RU)
|
(54) СПОСОБ ИЗМЕРЕНИЯ ФИЗИЧЕСКИХ СВОЙСТВ ЖИДКОСТИ
(57) Реферат:
Вырабатываемый генератором частотно-модулированный сигнал с девиацией частоты f подают на резонатор. В резонаторе возникают дополнительно модулированные по амплитуде колебания. С помощью амплитудного детектора из этих колебаний выделяют низкочастотную составляющую и измеряют максимальное и минимальное значения напряжения этих колебаний. На основании полученных данных о максимальном и минимальном значениях напряжения рассчитывают добротность резонатора. По найденному значению добротности вычисляют тангенс угла диэлектрических потерь и по нему судят о физических свойствах исследуемой жидкости. Технический результат – повышение точности и упрощение. 1 з.п. ф-лы, 5 ил.
Изобретение относится к измерительной технике и может быть использовано для высокоточного определения различных физических свойств (концентрации смеси веществ, влагосодержания, плотности и др.) жидкостей, находящихся в емкостях (технологических резервуарах, измерительных ячейках и т.п.). В частности, оно может быть применено в пищевой промышленности для измерения концентрации коптильных препаратов, водо-спиртовых растворов и др.
Известны различные способы определения физических свойств жидкостей, основанные на измерении электрофизических параметров (диэлектрической проницаемости и/или тангенса угла диэлектрических потерь) жидкостей с применением радиоволновых ВЧ- и СВЧ-резонаторов, содержащих контролируемую жидкость (монографии: Брандт А.А. Исследование диэлектриков на сверхвысоких частотах. М.: Физматгиз, 1963, стр.37-144; Викторов В.А., Лункин Б.В., Совлуков А.С. Радиоволновые измерения параметров технологических процессов. М.: Наука, 1989, стр.168-177). Недостатком таких способов измерения является их ограниченная область применения, обусловленная возможностью контроля жидкостей, которые являются достаточно хорошими диэлектриками. Для диэлектрических жидкостей с большими диэлектрическими потерями добротность резонаторов может быть малой величиной и, соответственно, амплитуда информативных сигналов мала для надежной регистрации.
Наиболее близким к предлагаемому способу является способ измерения добротности СВЧ-резонаторов, который заключается в возбуждении в резонаторе электромагнитных колебаний, модулированных по частоте пилообразным низкочастотным сигналом, измерении резонансной частоты и ширины резонансной кривой на уровне половинной мощности; при этом данный уровень определяют по положению вершины резонансной кривой при подаче на вход резонатора сигнала, модулированного по частоте пилообразным низкочастотным сигналом и низкочастотным гармоническим сигналом с индексом модуляции, соответствующим уменьшению мощности резонансного отклика в два раза (а.с. СССР №1493958, МПК 4 G01R 27/26).
Недостатком способа-протогипа является сложность его реализации, обусловленная необходимостью выполнения совокупности следующих операций: измерения индекса модуляции; установки индекса модуляции, равного 1,126; визуальной фиксации уровня половинной мощности по экрану индикатора и последующего отключения генератора синусоидального напряжения; визуального измерения ширины резонансного импульса на уровне половинной мощности и визуальной фиксации резонансной частоты по экрану индикатора. Все эти операции выполняются вручную, и поэтому реализация автоматического устройства на основе способа-прототипа представляет существенные трудности. Кроме того, измерение по экрану индикатора ширины резонансного импульса и фиксация резонансной частоты имеют существенную погрешность, которая присуща любым осциллоскопическим измерениям.
Технический результат, на достижение которого направлено заявляемое изобретение, состоит в повышении точности и упрощении процесса измерения.
Для достижения указанного технического результата в предлагаемом способе измерения физических свойств жидкости, заключающемся в возбуждении резонатора вырабатываемым генератором сигналом, модулированным по частоте, выделении низкочастотной составляющей возникающих при возбуждении резонатора колебаний и в вычислении добротности резонатора, последний помещают в исследуемого жидкость, настраивают генератор на резонансную частоту f0, подают на резонатор сигнал с девиацией частоты f, после выделения низкочастотной составляющей возникающих при возбуждении резонатора дополнительно модулированных по амплитуде колебаний измеряют максимальное Umax и минимальное Umin значения напряжения этих колебаний, на основании полученных данных рассчитывают добротность резонатора по формулам:
в случае детектора с линейной характеристикой
и
в случае детектора с квадратичной характеристикой,
на основании рассчитанной добротности Q находят тангенс угла диэлектрических потерь tg , по рассчитанному тангенсу угла диэлектрических потерь определяют физические свойства жидкости. Тангенс угла диэлектрических потерь определяют по формуле:
,
где Q0 – добротность резонатора вне исследуемой жидкости.
Отличительными признаками предлагаемого способа измерения физических свойств жидкости от указанного выше известного, наиболее близкого к нему, являются следующие: резонатор помещают в исследуемую жидкость, генератор настраивают на резонансную частоту f0, генератор вырабатывает модулированный по частоте сигнал, который подают на резонатор, в последнем возбуждаются дополнительно модулированные по амплитуде колебания, с помощью амплитудного детектора выделяют из этих колебаний низкочастотную составляющую, затем с помощью измерителей напряжения измеряют максимальное Umax и минимальное Umin значения напряжения этих колебаний, на основании полученных данных рассчитывают добротность резонатора Q, а затем тангенс угла диэлектрических потерь tg и по рассчитанным tg определяют физические свойства исследуемой жидкости.
Благодаря наличию этих признаков обеспечивается положительный эффект – повышение точности и упрощение процесса измерения.
После прохождения частотно-модулированного (ЧМ) сигнала через резонатор 2 этот сигнал оказывается дополнительно промодулирован по амплитуде в соответствии с известным выражением, которое описывает амплитуду Uвых напряжения на выходе резонатора 2 при подаче на его вход ЧМ сигнала с амплитудой Uвх, частотой модуляции fм и девиацией частоты f (3epнов H.B., Карпов В.Г. Теория радиотехнических цепей. М.-Л.: Энергии, 1965, с.620)

где К – коэффициент передачи резонатора при резонансе; Q – добротность резонатора; f0 – резонансная частота; t – время.
При fмt=(n+1)/4, где n=0, 1, 2, …, Uвых(t) принимает максимальное значение Umax:
Umax=KQUвх,
а при fмt=n/2, где n=0, 1, 2, …, Uвых(t) принимает минимальное значение Umin:

Взяв отношение Umax/Umin и используя (2) и (3), можно вывести формулу для определения добротности Q:

Таким образом, при известных значениях f0 и f, измеряя только напряжения Umax и Umin, можно определить добротность Q и связанные с ней функционально физические свойства жидкости. При реализации предлагаемого способа следует иметь в виду, что формулой (4) можно пользоваться только в случае применения детектора с линейной характеристикой. Для детектора с квадратичной характеристикой справедлива формула

Резонатор 2 может представлять собой отрезок длинной линии, объемный резонатор и др. Контролируемая жидкость находится в электромагнитном поле резонатора, заполняя пространство между проводниками отрезка длинной линии, пространство между обкладками конденсатора, являющегося оконечной нагрузкой длинной линии, полость объемного резонатора и др. В зависимости от конструкции резонатора и характера размещения жидкости в его электромагнитном поле имеет место соответствующая функциональная связь добротности Q с электрофизическими параметрами контролируемой жидкости – тангенсом угла диэлектрических потерь tg , электропроводностью (Брандт А.А. Исследование диэлектриков на сверхвысоких частотах. – М.: Физматгиз, 1963). Так, если контролируемая жидкость, имеющая диэлектрические потери, заполняет полностью пространство между проводниками резонатора на основе отрезка длинной линии или полость объемного резонатора, то справедлива следующая формула:

где Q0 и Q – добротность резонатора без исследуемой жидкости и добротность резонатора, помещенного в исследуемую жидкость.
Если жидкость имеет достаточно большие диэлектрические потери (электропроводность), то Q<0 и, следовательно,

В свою очередь, электрофизические параметры жидкости (tg , ) зависят функционально от того или иного, подлежащего измерению, физического свойств жидкости (концентрации, плотности и др.). В частности, это имеет место в случае измерения концентрации различных водосодержащих растворов (Теория и практика экспрессного контроля влажности твердых и жидких материалов / Под общей ред. Е.С.Кричевского. – М.: Энергия. 1980, с.45-66, 107-121).
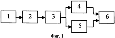
Предлагаемый способ поясняется чертежами, представленными на фиг.1-5. На фиг.1 изображена схема устройства, с помощью которого реализуют предлагаемый способ; на фиг.2 – резонансные кривые исследуемых резонаторов с резонансной частотой f0 и добротностями Q1 и Q2, причем Q2>Q1; на фиг.3 – график зависимости напряжения колебаний, возбуждаемых в резонаторе с добротностью Q1 и в резонаторе с добротностью Q2, от времени t; на фиг.4 – график зависимости частоты f сигнала генератора от времени t; на фиг.5 – график зависимости напряжения U возникающих в резонаторе колебаний от частоты f сигнала генератора для двух случаев: Q1 – в электромагнитном поле резонатора отсутствует исследуемая жидкость, f1 – резонансная частота; Q2 – резонатор помещен в исследуемую жидкость, f2 – резонансная частота.
Введены следующие обозначения: 1 – генератор частотно-модулированных колебаний; 2 – резонатор; 3 – амплитудный детектор; 4 – измеритель максимального значения напряжения; 5 – измеритель минимального значения напряжения; 6 – вычислительное устройство.
Сущность предлагаемого способа заключается в следующем. Генератор 1 (фиг.1) настраивают на резонансную частоту f0 вручную путем перестройки частоты генератора 1 или в автоматическом режиме с помощью известного устройства следящей настройки экстремального типа (Новицкий П.В., Кнорринг В.Г., Гутников B.C. Цифровые приборы с частотными датчиками. – Л.: Энергия, 1970, с.18-20). Резонатор 2 (фиг.1) опускают в емкость (на фиг. не показана) с исследуемой жидкостью. Генератор 1 вырабатывает частотно-модулированный сигнал с девиацией частоты f (фиг.4), который подают на резонатор 2, характеризуемый соответствующей ему резонансной кривой (фиг.2). При этом в резонаторе 2 возбуждаются дополнительно модулированные по амплитуде колебания. С помощью амплитудного детектора 3 (фиг.1) выделяют низкочастотную составляющую этих колебаний, в амплитуде которых содержится информация о добротности резонатора 2 (фиг.3), и измеряют с помощью измерителя максимального напряжения 4 (фиг.1) и измерителя минимального напряжения 5 (фиг.1) соответственно максимальное напряжение Umax и минимальное напряжение Umin этих колебаний. В качестве измерителей максимального и минимального напряжений могут быть использованы компенсационные вольтметры (Измерения в электронике / под ред. Б.А.Доброхотова, т.1. – М.-Л.: Энергия, 1965, с.33). Данные измерений поступают в вычислительное устройство 6 (фиг.1), с помощью которого производят расчет добротности Q резонатора в соответствии с формулами (4) или (5). На основании рассчитанной добротности Q и зная добротность резонатора Q0, когда резонатор не помещен в исследуемую жидкость, определяют тангенс диэлектрических потерь tg исследуемой жидкости по известным формулам (6) или (7).
Измерения всех входящих в формулы (4) или (5) величин могут быть осуществлены с высокой точностью с помощью соответствующих цифровых устройств, поэтому погрешность измерения физических свойств жидкости предлагаемым способом определяется, главным образом, только неидеальностью характеристики амплитудного детектора, вид которой влияет на значение показателя степени в подкоренном выражении формулы (4). Уменьшить влияние этого фактора можно путем предварительной тарировки измерительного устройства.
Преимуществом предлагаемого способа является также упрощение процесса измерения, характеризуемое возможностью построения на основе данного способа достаточно простого устройства для автоматического измерения добротности и, следовательно, физических свойств жидкости. Реализация данного способа, в отличие от прототипа, не предусматривает таких операций, как переключение режимов работы генератора, последовательная фиксация определенных уровней резонансной кривой и измерение частот, соответствующих этим уровням, и может быть осуществлена в непрерывном режиме.
Формула изобретения
1. Способ измерения физических свойств жидкости, заключающийся в возбуждении резонатора вырабатываемым генератором сигналом, модулированным по частоте, выделении низкочастотной составляющей возникающих при возбуждении резонатора колебаний и в вычислении добротности резонатора, отличающийся тем, что помещают резонатор в исследуемую жидкость, настраивают генератор на резонансную частоту f0, подают на резонатор сигнал с девиацией частоты f, после выделения низкочастотной составляющей возникающих при возбуждении резонатора дополнительно модулированных по амплитуде колебаний измеряют максимальное Umax и минимальное Umin значения напряжения этих колебаний, на основании полученных данных рассчитывают добротность Q резонатора по формулам:
в случае детектора с линейной характеристикой
в случае детектора с квадратичной характеристикой, на основании рассчитанной добротности Q находят тангенс угла диэлектрических потерь tg , по рассчитанному тангенсу угла диэлектрических потерь определяют физические свойства жидкости.
2. Способ по п.1, отличающийся тем, что тангенс угла диэлектрических потерь находят по формуле:
,
где Q0 – добротность резонатора вне исследуемой жидкости.
РИСУНКИ
|
|